Utgiftsområde 2

Samhällsekonomi och

finansförvaltning

1

Prop. 2025/26:1 Utgiftsområde 2

Utgiftsområde 2 – Samhällsekonomi och finansförvaltning

Innehållsförteckning

1 Förslag till riksdagsbeslut .................................................................................................

5

2 Utgiftsområde 2 Samhällsekonomi och finansförvaltning..........................................

7

2.1

Utgiftsområdets omfattning.................................................................................

7

2.2

Utgiftsutveckling....................................................................................................

8

2.3

Mål för utgiftsområdet........................................................................................

10

 

2.3.1

Finansmarknadsområdet ......................................................................

10

 

2.3.2

Statlig förvaltningspolitik .....................................................................

11

 

2.3.3 Sveriges genomförande av Agenda 2030...........................................

11

 

2.3.4 Korrekta utbetalningar från välfärdssystemen ..................................

11

2.4

Resultatredovisning .............................................................................................

11

2.5

Politikens inriktning ............................................................................................

11

2.6

Den årliga revisionens iakttagelser....................................................................

11

3 Finansmarknad och internationella finansiella institutioner .....................................

13

3.1

Mål för området ...................................................................................................

13

3.2

Resultatindikatorer och andra bedömningsgrunder.......................................

13

3.3

Resultatredovisning .............................................................................................

14

 

3.3.1 Stabilitet, högt förtroende och säkerställande av viktiga

 

 

 

samhällsfunktioner ................................................................................

14

 

3.3.2 Tillgång till finansiella tjänster och medverkan till hållbar

 

 

 

utveckling................................................................................................

17

 

3.3.3 Väl fungerande marknader med konkurrens och starkt

 

 

 

konsumentskydd....................................................................................

20

 

3.3.4

Statlig finansförvaltning........................................................................

23

 

3.3.5 Resultat för internationella finansiella institutioner .........................

25

3.4

Regeringens bedömning av måluppfyllelsen ...................................................

26

 

3.4.1 Det finansiella systemet är stabilt........................................................

26

3.4.2De finansiella företagen tillgodoser behovet av finansiella tjänster

 

 

och medverkar till hållbar utveckling .................................................

27

 

3.4.3 De finansiella marknaderna fungerar väl ...........................................

27

 

3.4.4 Statens finansförvaltning bedrivs effektivt........................................

28

3.5

Politikens inriktning ............................................................................................

28

 

3.5.1

Värna finansiell stabilitet ......................................................................

28

 

3.5.2

Motverka brottslighet............................................................................

29

 

3.5.3

Utveckla kapitalmarknader...................................................................

29

 

3.5.4 Motverka överskuldsättning och medverka till en hållbar

 

 

 

utveckling................................................................................................

30

3.6

Budgetförslag........................................................................................................

30

 

3.6.1 1:2 Finansinspektionens avgifter till EU:s tillsynsmyndigheter......

30

 

3.6.2

1:10 Finansinspektionen.......................................................................

31

 

3.6.3

1:11 Riksgäldskontoret .........................................................................

34

 

3.6.4 1:13 Vissa garanti- och medlemsavgifter ...........................................

39

 

3.6.5

1:15 Finansmarknadsforskning ...........................................................

40

4 Statlig förvaltningspolitik, statliga arbetsgivarfrågor och Agenda 2030..................

43

4.1

Mål för området ...................................................................................................

43

4.2

Resultatindikatorer och andra bedömningsgrunder.......................................

43

4.3

Resultatredovisning .............................................................................................

44

 

4.3.1

Statlig förvaltningspolitik .....................................................................

44

 

4.3.2

Statliga arbetsgivarfrågor ......................................................................

52

 

4.3.3 Sveriges genomförande av Agenda 2030...........................................

62

2

Prop. 2025/26:1 Utgiftsområde 2

4.4

Regeringens bedömning av måluppfyllelsen ...................................................

62

 

4.4.1

Statlig förvaltningspolitik .....................................................................

62

 

4.4.2

Statliga arbetsgivarfrågor ......................................................................

63

 

4.4.3 Sveriges genomförande av Agenda 2030...........................................

63

4.5

Politikens inriktning ............................................................................................

64

 

4.5.1 Statlig förvaltningspolitik och arbetsgivarfrågor...............................

64

 

4.5.2 Sveriges genomförande av Agenda 2030...........................................

68

4.6

Budgetförslag........................................................................................................

69

 

4.6.1

1:1 Kammarkollegiet .............................................................................

69

 

4.6.2

1:3 Arbetsgivarpolitiska frågor ............................................................

72

 

4.6.3 1:4 Statliga tjänstepensioner m.m........................................................

72

 

4.6.4

1:7 Statskontoret....................................................................................

74

 

4.6.5

1:14 Statens servicecenter.....................................................................

76

5 Fastighetsförvaltning.......................................................................................................

79

5.1

Mål för området ...................................................................................................

79

5.2

Resultatindikationer och andra bedömningsgrunder .....................................

79

5.3

Resultatredovisning .............................................................................................

80

5.4

Regeringens bedömning av måluppfyllelsen ...................................................

87

5.5

Politikens inriktning ............................................................................................

88

5.6

Förvärv av fast egendom....................................................................................

89

5.6.1Utvecklingen av totalförsvaret ställer särskilda krav vid förvärv av

fastigheter................................................................................................

89

5.6.2Förvärv av fastigheterna Sigtuna Märsta 25:5 och Sigtuna

 

 

Norslunda 1:31.......................................................................................

91

5.7

Budgetförslag........................................................................................................

91

 

5.7.1

Fortifikationsverket...............................................................................

91

 

5.7.2

Statens fastighetsverk............................................................................

93

 

5.7.3

1:9 Bidragsfastigheter............................................................................

95

6 Prognoser, redovisning, statistik och uppföljning......................................................

97

6.1

Mål för området ...................................................................................................

97

6.2

Resultatindikatorer och andra bedömningsgrunder.......................................

97

6.3

Resultatredovisning .............................................................................................

97

 

6.3.1

Statistiska centralbyrån .........................................................................

98

6.4

Regeringens bedömning av måluppfyllelsen .................................................

100

6.5

Politikens inriktning ..........................................................................................

101

6.6

Budgetförslag......................................................................................................

101

 

6.6.1

1:5 Finanspolitiska rådet.....................................................................

101

 

6.6.2

1:6 Konjunkturinstitutet .....................................................................

102

 

6.6.3

1:8 Statistiska centralbyrån .................................................................

103

 

6.6.4

1:12 Bokföringsnämnden ...................................................................

104

7 Offentlig upphandling ..................................................................................................

107

7.1

Mål för området .................................................................................................

107

7.2

Resultatindikatorer och andra bedömningsgrunder.....................................

107

7.3

Resultatredovisning ...........................................................................................

107

7.4

Regeringens bedömning av måluppfyllelsen .................................................

110

7.5

Politikens inriktning ..........................................................................................

111

7.6

Budgetförslag......................................................................................................

113

 

7.6.1

1:16 Upphandlingsmyndigheten .......................................................

113

8 Korrekta utbetalningar från välfärdssystemen ..........................................................

115

8.1

Mål för området .................................................................................................

115

8.2

Resultatindikatorer och andra bedömningsgrunder.....................................

115

8.3

Resultatredovisning ...........................................................................................

116

 

8.3.1 Andelen upptäckta felaktiga utbetalningar var oförändrad...........

116

3

 

Prop. 2025/26:1 Utgiftsområde 2

 

 

8.3.2 Antalet återkrav var oförändrat medan det totala beloppet för

 

 

återkrav ökade ......................................................................................

118

 

8.3.3 Antalet polisanmälningar ökade 2024 ..............................................

119

 

8.3.4 Andelen av befolkningen som anser att det är lätt att göra rätt är

 

oförändrad ............................................................................................

122

 

8.3.5 Andelen av befolkningen med tillåtande attityder till bidragsbrott

 

är oförändrad........................................................................................

123

 

8.3.6 Den upplevda upptäcktsrisken vid bidragsbrott är oförändrad ...

124

 

8.3.7 Regeringens arbete mot felaktiga utbetalningar och brottslighet

 

 

riktad mot välfärdssystemen har stärkts...........................................

124

8.4

Regeringens bedömning av måluppfyllelsen .................................................

126

8.5

Politikens inriktning ..........................................................................................

127

 

8.5.1 Arbetet mot felaktiga utbetalningar stärks.......................................

127

8.6

Budgetförslag......................................................................................................

128

 

8.6.1 1:17 Utbetalningsmyndigheten..........................................................

128

Bilaga 1

Statsförvaltningens utveckling

 

4

Prop. 2025/26:1 Utgiftsområde 2

1 Förslag till riksdagsbeslut

Regeringens förslag:

1.Riksdagen godkänner målen för finansmarknadsområdet (avsnitt 2.3.1).

2.Riksdagen bemyndigar regeringen att för 2026 besluta om en kredit i Riksgäldskontoret för att tillgodose Krigsförsäkringsnämndens behov av likviditet vid utbetalning av ersättning från försäkringar som har meddelats av nämnden som uppgår till högst 200 000 000 000 kronor (avsnitt 3.6.2).

3.Riksdagen bemyndigar regeringen att för 2026 för stabilitetsfonden besluta om en kreditram på högst 50 000 000 000 kronor och en garantiram på högst 750 000 000 000 kronor (avsnitt 3.6.3).

4.Riksdagen bemyndigar regeringen att för 2026 för resolutionsreserven besluta om en kreditram på högst 100 000 000 000 kronor och en garantiram på högst 200 000 000 000 kronor (avsnitt 3.6.3).

5.Riksdagen bemyndigar regeringen att för 2026 besluta om en kredit i Riksgäldskontoret för att tillgodose Kammarkollegiets behov av likviditet i samband med inrättandet av nya myndigheter som inklusive tidigare utnyttjad kredit uppgår till högst 250 000 000 kronor (avsnitt 4.6.1).

6.Riksdagen bemyndigar regeringen att för 2026 besluta om en kredit i Riksgäldskontoret för att tillgodose Kammarkollegiets behov av likviditet i det statliga försäkringssystemet som inklusive tidigare utnyttjad kredit uppgår till högst 100 000 000 kronor (avsnitt 4.6.1).

7.Riksdagen bemyndigar regeringen att för 2026 besluta om en kredit i Riksgäldskontoret för att tillgodose Statens tjänstepensionsverks behov av likviditet i pensionshanteringen som inklusive tidigare utnyttjad kredit uppgår till högst 100 000 000 kronor (avsnitt 4.6.3).

8.Riksdagen godkänner att regeringen under 2026–2029 får besluta om avsteg från principen om affärsmässighet vid förvärv av fastigheter som ska ingå i det slutna beståndet av försvarsanläggningar även om de har ett betydande värde, under förutsättning att det krävs för genomförandet av beslut om totalförsvaret (avsnitt 5.6.1).

9.Riksdagen godkänner att regeringen under 2026 förvärvar fastigheterna Sigtuna Märsta 25:5 och Sigtuna Norslunda 1:31 för sammanlagt högst

552 000 000 kronor (avsnitt 5.6.2).

10.Riksdagen godkänner investeringsplanen för fastigheter och markanläggningar för 2026–2028 som en riktlinje för Fortifikationsverkets investeringar (avsnitt 5.7.1).

11.Riksdagen bemyndigar regeringen att för 2026 besluta att Fortifikationsverket får ta upp lån i Riksgäldskontoret för investeringar i fastigheter och markanläggningar som inklusive tidigare upplåning uppgår till högst

75 000 000 000 kronor (avsnitt 5.7.1).

12.Riksdagen godkänner investeringsplanen för fastigheter och markanläggningar för 2026–2028 som en riktlinje för Statens fastighetsverks investeringar (avsnitt 5.7.2).

13.Riksdagen bemyndigar regeringen att för 2026 besluta att Statens fastighetsverk får ta upp lån i Riksgäldskontoret för investeringar i fastigheter och markanläggningar som inklusive tidigare upplåning uppgår till högst

15 200 000 000 kronor (avsnitt 5.7.2).

14.Riksdagen anvisar anslagen för budgetåret 2026 inom utgiftsområde 2 Samhällsekonomi och finansförvaltning enligt tabell 1.1.

5

Prop. 2025/26:1 Utgiftsområde 2

15.Riksdagen bemyndigar regeringen att under 2026 ingå ekonomiska åtaganden som inklusive tidigare åtaganden medför behov av framtida anslag på högst de belopp och inom de tidsperioder som anges i tabell 1.2.

Tabell 1.1

Anslagsbelopp

 

Tusental kronor

 

 

Anslag

 

 

1:1 Kammarkollegiet

179 196

 

 

1:2 Finansinspektionens avgifter till EU:s tillsynsmyndigheter

33 050

 

 

1:3 Arbetsgivarpolitiska frågor

2 443

1:4 Statliga tjänstepensioner m.m.

17 279 000

 

 

1:5 Finanspolitiska rådet

12 360

 

 

1:6 Konjunkturinstitutet

76 622

1:7 Statskontoret

325 130

 

 

1:8 Statistiska centralbyrån

711 961

 

 

1:9 Bidragsfastigheter

515 000

1:10 Finansinspektionen

893 410

 

 

1:11 Riksgäldskontoret

400 432

 

 

1:12 Bokföringsnämnden

15 028

1:13 Vissa garanti- och medlemsavgifter

264 626

 

 

1:14 Statens servicecenter

913 560

 

 

1:15 Finansmarknadsforskning

33 353

1:16 Upphandlingsmyndigheten

125 311

 

 

1:17 Utbetalningsmyndigheten

258 219

 

 

Summa anslag inom utgiftsområdet

22 038 701

 

 

 

Tabell 1.2

Beställningsbemyndiganden

 

 

Tusental kronor

 

 

 

Anslag

 

Beställningsbemyndigande

Tidsperiod

1:9 Bidragsfastigheter

100 000

2027

 

 

 

Summa beställningsbemyndiganden inom utgiftsområdet

100 000

 

 

 

 

 

6

Prop. 2025/26:1 Utgiftsområde 2

2Utgiftsområde 2 Samhällsekonomi och finansförvaltning

2.1Utgiftsområdets omfattning

Utgiftsområde 2 Samhällsekonomi och finansförvaltning omfattar den statliga förvaltningspolitiken, politiken för finansmarknaden och arbetet för korrekta utbetalningar från välfärdssystemen. I utgiftsområdet ingår följande områden:

finansmarknad och internationella finansiella institutioner

statlig förvaltningspolitik, statliga arbetsgivarfrågor och Agenda 2030

fastighetsförvaltning

prognoser, redovisning, statistik och uppföljning

offentlig upphandling

korrekta utbetalningar från välfärdssystemen.

Delområdet finansmarknad omfattar åtgärder för ett stabilt finansiellt system som präglas av ett högt förtroende och har förmåga att säkerställa viktiga samhälls- funktioner. Delområdet omfattar även åtgärder för att de finansiella företagen ska tillgodose hushållens och företagens behov av finansiella tjänster och medverka till en hållbar utveckling. Därtill omfattas åtgärder för att de finansiella marknaderna ska vara väl fungerande med konkurrens och ett starkt konsumentskydd, samt en effektiv statlig finansförvaltning. I delområdet ingår Finansinspektionen, Riksgäldskontoret och Krigsförsäkringsnämnden.

Delområdet internationella finansiella institutioner omfattar exempelvis årliga medlemsavgifter till tankesmedjan Bruegel, European Institute of Public Admin- istration och Europarådets utvecklingsbank, samt garantier till sex internationella finansieringsinstitut.

Delområdet statlig förvaltningspolitik omfattar styrning, ledning, organisation och utveckling av de statliga myndigheterna samt vissa övergripande frågor om relationen mellan stat och kommun, inklusive regional ansvarsfördelning. Delområdet omfattar även myndigheterna Kammarkollegiet, Statens servicecenter, Statskontoret och delar av Ekonomistyrningsverkets (ESV) verksamhet.

Delområdet statliga arbetsgivarfrågor omfattar statliga personal- och lönepolitiska frågor, såsom löneutveckling, pensionsvillkor, arbets- och anställningsvillkor avseende offentliga anställningar, statlig arbetsrätt och kompetensförsörjning inom staten samt frågor om arbetsmiljö och hälsa, jämställdhet, mångfald och värdegrundsarbete inom staten. Delområdet omfattar Arbetsgivarverket, Offentliga sektorns särskilda nämnd, Skiljenämnden i vissa trygghetsfrågor, Statens ansvarsnämnd, Statens tjänstepensions- verk, Statens tjänstepensions- och grupplivnämnd, Statens överklagandenämnd och Trygghetsstiftelsen – en kollektivavtalsstiftelse.

Delområdet Sveriges genomförande av Agenda 2030 omfattar uppföljning av regeringens politik för att genomföra agendan.

7

Prop. 2025/26:1 Utgiftsområde 2

Området fastighetsförvaltning omfattar förvaltning av fastigheter som av försvars- politiska, kulturhistoriska eller andra skäl har ansetts lämpliga att förvaltas av staten. Området omfattar myndigheterna Fortifikationsverket och Statens fastighetsverk.

Området prognoser, redovisning, statistik och uppföljning omfattar myndigheterna Bokföringsnämnden, ESV, Expertgruppen för studier i offentlig ekonomi, Finans- politiska rådet, Konjunkturinstitutet och Statistiska centralbyrån. Området omfattar vidare verksamhet som ska bidra till att det finanspolitiska ramverket följs, att politiska beslut och prioriteringar är välgrundade samt verksamhet som ska bidra till transparens vid redovisningen av den ekonomiska politiken.

Området offentlig upphandling omfattar flera lagar med bestämmelser som syftar till att upphandlande myndigheter och enheter ska göra effektiva offentliga inköp. Området omfattar Upphandlingsmyndigheten och den del av Konkurrensverkets verksamhet som avser tillsyn över den nämnda lagstiftningen.

Området korrekta utbetalningar från välfärdssystemen omfattar den samlade styr- ningen och uppföljningen av arbetet mot felaktiga utbetalningar från välfärdssyste- men. Det innefattar bl.a. att samordna och stödja berörda myndigheters arbete inom området och samlat återrapportera detta till regeringen. Området omfattar Utbetalningsmyndigheten.

2.2Utgiftsutveckling

Tabell 2.1 Utgiftsutveckling inom utgiftsområde 2 Samhällsekonomi och finansförvaltning

Miljoner kronor

 

Utfall

Budget

Prognos

Förslag

Beräknat

Beräknat

 

2024

20251

2025

2026

2027

2028

1:1 Kammarkollegiet

123

176

142

179

191

192

1:2 Finansinspektionens avgifter till EU:s

 

 

 

 

 

 

tillsynsmyndigheter

24

26

26

33

33

33

 

 

 

 

 

 

 

1:3 Arbetsgivarpolitiska frågor

2

2

2

2

2

2

1:4 Statliga tjänstepensioner m.m.

16 571

17 295

17 097

17 279

17 490

17 942

 

 

 

 

 

 

 

1:5 Finanspolitiska rådet

11

12

12

12

13

13

 

 

 

 

 

 

 

1:6 Konjunkturinstitutet

77

75

75

77

78

79

1:7 Statskontoret

221

224

216

325

319

318

 

 

 

 

 

 

 

1:8 Statistiska centralbyrån

635

687

682

712

723

736

 

 

 

 

 

 

 

1:9 Bidragsfastigheter

365

445

442

515

265

265

1:10 Finansinspektionen

824

847

834

893

930

949

 

 

 

 

 

 

 

1:11 Riksgäldskontoret

382

393

394

400

411

410

 

 

 

 

 

 

 

1:12 Bokföringsnämnden

14

15

13

15

15

16

1:13 Vissa garanti- och medlemsavgifter

235

398

407

265

168

168

 

 

 

 

 

 

 

1:14 Statens servicecenter

905

937

928

914

877

895

 

 

 

 

 

 

 

1:15 Finansmarknadsforskning

56

31

31

33

35

35

1:16 Upphandlingsmyndigheten

102

104

104

125

133

138

 

 

 

 

 

 

 

1:17 Utbetalningsmyndigheten

163

198

192

258

409

421

 

 

 

 

 

 

 

Äldreanslag

 

 

 

 

 

 

 

 

 

 

 

 

 

2025 1:1 Statskontoret

112

113

108

 

 

 

 

 

 

 

 

 

 

Totalt för utgiftsområde 2

 

 

 

 

 

 

Samhällsekonomi och finansförvaltning

20 824

21 977

21 705

22 039

22 091

22 611

 

 

 

 

 

 

 

1Inklusive beslut om ändringar i statens budget 2025 och förslag till ändringar i samband med denna proposition.

8

Prop. 2025/26:1 Utgiftsområde 2

Utgiftsområdets sammanlagda utgifter uppgick 2024 till 20,82 miljarder kronor. Prognosen för utfallet för 2025 är 21,7 miljarder kronor, vilket är 272 miljoner kronor mindre än de anvisade medlen. Den föreslagna anslagsnivån för utgiftsområdet för 2026 uppgår till 22,1 miljarder kronor, vilket är en ökning med totalt 62miljoner kronor. Anslagsförändringarna redovisas detaljerat under respektive delområde.

Tabell 2.2 Förändringar av utgiftsramen 2026–2028 för utgiftsområde 2 Samhällsekonomi och finansförvaltning

Miljoner kronor

 

2026

2027

2028

Anvisat 20251

21 734

21 734

21 734

Pris- och löneomräkning2

72

130

204

Beslutade, föreslagna och aviserade åtgärder

246

29

23

varav BP263

217

168

163

Makroekonomisk utveckling

109

94

415

 

 

 

 

Volymer

-125

101

232

Överföring till/från andra utgiftsområden

3

2

2

 

 

 

 

Övrigt

 

 

 

 

 

 

 

Ny utgiftsram

22 039

22 091

22 611

 

 

 

 

1Statens budget enligt riksdagens beslut i december 2024 (bet. 2024/25:FiU10). Beloppet är således exklusive beslut om ändringar i statens budget.

2Pris- och löneomräkningen baseras på anvisade medel 2025. Övriga förändringskomponenter redovisas i löpande priser och inkluderar därmed en pris- och löneomräkning. Pris- och löneomräkningen för 2027–2028 är preliminär.

3Exklusive pris- och löneomräkning.

Tabell 2.3

Utgiftsram 2026 realekonomiskt fördelad för utgiftsområde 2

 

 

Samhällsekonomi och finansförvaltning

 

Miljoner kronor

 

 

 

 

2026

 

 

Transfereringar1

17 479

Verksamhetsutgifter2

4 559

Investeringar3

 

1

Summa utgiftsram

22 039

 

 

 

Anm.: Den realekonomiska fördelningen baseras på utfall 2024 samt kända förändringar av anslagens användning.

1Med transfereringar avses inkomstöverföringar, dvs. utbetalningar av bidrag från staten till exempelvis hushåll, företag eller kommuner utan att staten får någon direkt motprestation.

2Med verksamhetsutgifter avses resurser som statliga myndigheter använder i verksamheten, t.ex. utgifter för löner, hyror och inköp av varor och tjänster.

3Med investeringar avses utgifter för anskaffning av varaktiga tillgångar såsom byggnader, maskiner, immateriella tillgångar och finansiella tillgångar.

Utgifter för transfereringar utgör 79 procent av den anslagsfinansierade verksamheten och utbetalningar sker främst från anslaget 1:5 Statliga tjänstepensioner m.m. Verksamhetsutgifter för 11 myndigheter utgör 21 procent av utgiftsområdets anslagsmedel.

9

Prop. 2025/26:1 Utgiftsområde 2

2.3Mål för utgiftsområdet

Nedan redovisas de av riksdagen beslutade målen för vissa verksamheter inom utgiftsområdet.

2.3.1Finansmarknadsområdet

Regeringens förslag

Målen för finansmarknadsområdet är följande:

Det finansiella systemet ska vara stabilt, präglas av ett högt förtroende och sund konkurrens och ha förmåga att säkerställa viktiga samhällsfunktioner.

De finansiella företagen ska tillgodose hushållens och företagens behov av finansiella tjänster, ta sitt ansvar för ett starkt skydd för konsumenter och medverka till en hållbar utveckling.

De finansiella marknaderna ska vara väl fungerande.

Statens finansförvaltning ska bedrivas effektivt.

Skälen för regeringens förslag

Riksdagen har beslutat om följande mål för finansmarknadsområdet (prop. 2023/24:1 utg.omr. 2, bet. 2023/24:FiU2, rskr. 2023/24:111):

Det finansiella systemet ska vara stabilt, präglas av ett högt förtroende och ha förmåga att säkerställa viktiga samhällsfunktioner.

De finansiella företagen ska tillgodose hushållens och företagens behov av finansiella tjänster och medverka till en hållbar utveckling.

De finansiella marknaderna ska vara väl fungerande med konkurrens och ett starkt skydd för konsumenter.

Statens finansförvaltning ska bedrivas effektivt.

I denna proposition föreslås att målen revideras i förtydligande syfte. För att tydlig- göra att hela det finansiella systemet ska präglas av sund konkurrens flyttas skrivningen om konkurrens från det tredje till det första målet. För att understryka de finansiella företagens ansvar för ett starkt konsumentskydd revideras skrivningen om konsumentskydd och flyttas från det tredje till det andra målet. Det sista målet om statens finansförvaltning kvarstår oförändrat.

Förtydligat ansvar i mål för området

Att det finansiella systemet är stabilt betyder att det kan upprätthålla sina grund- läggande funktioner, även vid störningar. Det finansiella systemet ska kännetecknas av att konsumenter har ett högt förtroende för företag som erbjuder finansiella produkter till konsumenter. Förtroendet ska också vara högt mellan marknadsaktörer. Sund konkurrens bör prägla hela systemet och bidra till ett brett, ändamålsenligt och kostnadseffektivt utbud av finansiella tjänster. Det är viktigt att betona att konkurrensen ska vara sund, eftersom konkurrens kan stå i konflikt med andra mål på området, såsom finansiell stabilitet, starkt konsumentskydd och högt förtroende.

De finansiella företagens ansvar för att säkerställa ett starkt konsumentskydd när de erbjuder finansiella produkter bör förtydligas i målformuleringen. Finansiella produkter och tjänster är en viktig del av konsumenters vardag, bl.a. betaltjänster, bostadslån, försäkringar och pensionssparande, och behövs för att som konsument fungera i samhället. Många beslut om finansiella produkter och tjänster har en

10

Prop. 2025/26:1 Utgiftsområde 2

avgörande betydelse för konsumentens ekonomi samtidigt som konsumenter generellt befinner sig ett informationsunderläge gentemot de finansiella företagen. Det är därför viktigt att finansiella företag tar ansvar för ett starkt konsumentskydd. Det innebär att dessa inte bara ska erbjuda konsumenter ändamålsenliga och kostnadseffektiva tjänster och produkter, utan också ta ansvar för att det finansiella systemet inte missbrukas och t.ex. motverka bedrägerier. Konsumenterna ska kunna ha förtroende för att de finansiella företagen tar ansvar och utgår från konsumenternas individuella behov och förutsättningar i sin verksamhet och att de därmed tar tillvara kundens intresse. Detta kommer bl.a. till uttryck i sund kreditgivning, god försäkringsstandard, skydd mot bedrägerier i betaltjänster, och att konsumentens bästa intresse beaktas vid tex. rådgivning och i fondförvaltning. Regeringen och myndigheterna disponerar flera olika medel för arbetet med att nå målet, bl.a. i form av reglering och tillsyn.

2.3.2Statlig förvaltningspolitik

Målet för den statliga förvaltningspolitiken är en innovativ och samverkande stats- förvaltning som är rättssäker och effektiv, har väl utvecklad kvalitet, service och till- gänglighet och som därigenom bidrar till Sveriges utveckling och ett effektivt EU- arbete (prop. 2009/10:175, bet. 2009/10:FiU38, rskr. 2009/10:315).

2.3.3Sveriges genomförande av Agenda 2030

Målet för Sveriges genomförande av Agenda 2030 är att Sverige ska genomföra Agenda 2030 för en ekonomiskt, socialt och miljömässigt hållbar utveckling genom en samstämmig politik nationellt och internationellt. Genomförandet ska präglas av agendans princip att ingen ska lämnas utanför (prop. 2019/20:188,

bet. 2020/21:FiU28, rskr. 2020/21:154).

2.3.4Korrekta utbetalningar från välfärdssystemen

Målet för området korrekta utbetalningar från välfärdssystemen är att de felaktiga utbetalningarna från välfärdssystemen och den brottslighet som riktas mot dessa system ska minska (prop. 2024/25:1 utg.omr. 2, bet. 2024/25:FiU2,

rskr. 2024/25:120).

2.4Resultatredovisning

Resultat för utgiftsområdet redovisas på delområdesnivå (se respektive avsnitt).

2.5Politikens inriktning

Politikens inriktning för utgiftsområdet redovisas i förekommande fall på delområdesnivå (se respektive avsnitt).

2.6Den årliga revisionens iakttagelser

Riksrevisionen har lämnat revisionsberättelser utan reservationer för samtliga myndigheter inom utgiftsområde 2.

11

Prop. 2025/26:1 Utgiftsområde 2

3Finansmarknad och internationella finansiella institutioner

3.1Mål för området

Riksdagen har beslutat om följande mål för finansmarknadsområdet (prop. 2023/24:1 utg.omr. 2, bet. 2023/24:FiU2, rskr. 2023/24:111):

Det finansiella systemet ska vara stabilt, präglas av ett högt förtroende och ha förmåga att säkerställa viktiga samhällsfunktioner.

De finansiella företagen ska tillgodose hushållens och företagens behov av finansiella tjänster och medverka till en hållbar utveckling.

De finansiella marknaderna ska vara väl fungerande med konkurrens och ett starkt skydd för konsumenter.

Statens finansförvaltning ska bedrivas effektivt.

I denna proposition föreslås en ändring av de beslutade målen (se avsnitt 2.3.1).

Statsskuldsförvaltningen, som också är en del av den statliga finansförvaltningen, redovisas inom utgiftsområde 26 Statsskuldsräntor m.m. Arbetet med att uppnå målen delas mellan regeringen, Finansinspektionen och Riksgäldskontoret. Även andra myndigheter, bl.a. Riksbanken och AP-fonderna, har uppgifter inom området, men omfattas formellt inte av målen. Detsamma gäller de internationella finansiella institutioner som Sverige är medlem i. Måluppfyllelsen påverkas dessutom av faktorer i omvärlden, eftersom svenska finansmarknader är integrerade med andra, inte minst de i närområdet. Regelutvecklingen drivs därför i huvudsak i EU och i olika standardsättande organ.

3.2Resultatindikatorer och andra bedömningsgrunder

Resultatindikatorerna används som stöd för att visa om målen uppfylls. En helhetsbedömning redovisas utifrån flera indikatorer. De mest centrala indikatorerna är

storbankernas kapitaltäckning och likviditetsreserver (stabilitet och högt förtroende)

de icke-finansiella företagens skulder (stabilitet, tillgodose behov av finansiella tjänster och väl fungerande marknader)

avbrott i de finansiella infrastruktursystemen (säkerställa viktiga samhällsfunktioner, tillgodose behov av finansiella tjänster och väl fungerande marknader)

företagens finansieringsmöjligheter (tillgodose behov av finansiella tjänster och väl fungerande marknader)

hushållens skulder och tillgångar (stabilitet, tillgodose behov av finansiella tjänster, väl fungerande marknader och konsumentskydd)

indexerad utveckling av certifierade gröna obligationer (hållbar utveckling)

betalningsbedrägerier (högt förtroende, väl fungerande marknader och konsumentskydd)

13

Prop. 2025/26:1 Utgiftsområde 2

marknadsandelar i utlåning (konkurrens)

fondavgifter (väl fungerande marknader, konkurrens och konsumentskydd)

styckkostnad per statlig betalning (effektiv finansförvaltning).

De moderniserade målen för finansmarknadsområdet som gäller sedan 2024 (prop. 2023/24:1 utg.omr. 2, bet. 2023/24:FiU2, rskr. 2023/24:111) medför ett antal ändringar av resultatindikatorerna för området, i syfte att anpassa och modernisera resultatuppföljningen. Måttet storbankernas kapitaltäckning kompletteras med likviditetsreserver. För att mäta tillgänglighet i infrastrukturen, hur väl viktiga samhällsfunktioner kunnat upprätthållas och marknadens funktionssätt införs indikatorn avbrott i de finansiella infrastruktursystemen. Indikatorn volym gröna obligationer och lån utgår eftersom det finns svårigheter kopplade till definitionen av certifierade gröna lån. Den ersätts med en indikator som enbart täcker emitteringen av certifierade gröna obligationer, vilken ger en bild av den generella utvecklingen på hållbarhetsområdet. Bedrägerier i samband med användningen av betaltjänster tillkommer för att mäta marknadens funktion, konsumentskydd och förtroendet. Även bankernas marknadsandelar i utlåningen till allmänheten har tillkommer för att redovisa utvecklingen av konkurrensen inom en del av bankmarknaden. Fondavgifter ersätter kundnöjdhet i syfte att mäta kostnadsnivån i fondsektorn och bättre reflektera om marknaden erbjuder konsumenter kostnadseffektiva, konkurrenskraftiga och finansiella produkter och tjänster som uppfyller ett starkt konsumentskydd.

3.3Resultatredovisning

3.3.1Stabilitet, högt förtroende och säkerställande av viktiga samhällsfunktioner

Fortsatt motståndskraft i banksektorn

Under 2024 har Sverige befunnit sig i en lågkonjunktur med hög arbetslöshet, vilket bidragit till en ökad risk för kreditförluster och lägre efterfrågan på krediter för de svenska storbankerna. Svenska banker har dock hög motståndskraft och kan möta en försämrad utveckling, eftersom deras kapitalbuffertar fortsatt är höga, se diagram 3.1. För att täcka risken för förluster i samband med utlåning och övrig verksamhet finns regler för hur mycket kapital som banker ska ha. I syfte att öka motståndskraften ytterligare fattade regeringen under 2024 beslut om nya krav i förordningen (2014:993) om särskild tillsyn och kapitalbuffertar, på hur mycket kapital bankerna ska ha. De nya reglerna trädde i kraft den 1 januari 2025. Bankverksamhet bygger på förtroende och en välkapitaliserad bank med god tillgång till likviditet löper låg risk att få problem. Även bankernas likviditetsbuffertar visar på god motståndskraft, diagram 3.1. Rapporten Motståndskraft i bankernas likviditetsreserver och säkerhetsmassor visar på att de svenska bankerna har en god förmåga att hantera ekonomiska chocker och marknadsvolatilitet genom att hålla tillräckligt stora likviditetsreserver med hög kreditkvalitet (Finansinspektionen 2024).

14

Prop. 2025/26:1 Utgiftsområde 2

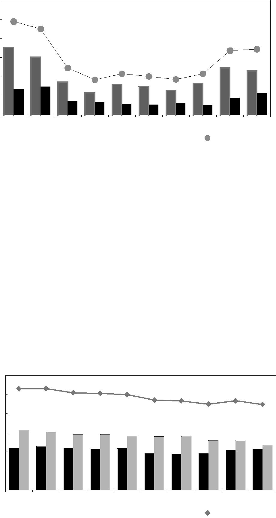
Diagram 3.1 Svenska storbankers kapitaltäckning och likviditetsreserver

Procent

Anm.: Genomsnitt för de tre svenska storbankerna (Handelsbanken, SEB och Swedbank). Kärnprimärkapitalrelationen avser bankernas kapital i förhållande till riskvägda tillgångar. Bruttosoliditeten avser bankernas kapital i förhållande till totala (ej riskvägda) tillgångar. Vilket kapital som får räknas in skiljer sig något i de olika kapitalmåtten. För perioden 2013–2018 har kärnprimärkapitalrelationen räknats om i enlighet med en teknisk justering av metoden för riskvikts- golvet för bolån som trädde i kraft 2018. LCR (Liquidity Coverage Ratio) avser likviditetstäckningsgraden. NSFR (Net Stable Funding Ratio) avser bankernas stabila nettofinansieringskvot, som något förenklat innebär att banker kan finansiera tillgångar vars löptid överstiger ett år med skulder vars löptid också överstiger ett år, eller som av annat skäl bedöms vara stabila.

Källa: Finansinspektionen.

De icke-finansiella företagen anpassar sin finansiering

Både bankutlåningen och marknadsbaserad finansiering till icke-finansiella företag fortsatte att minska under 2024 och totalt sett var deras skuldkvot lägre vid utgången av 2024 än under 2023, se diagram 3.2.

Diagram 3.2 De icke-finansiella företagens skulder

Procent av BNP

Anm.: Avser skulder i förhållande till BNP. Jämfört med budgetpropositionen för 2025 (prop. 2024/25:1 utg.omr. 2 avsnitt 3.3.1) är de icke-finansiella företagens skulder uppdelade på bankutlåning och marknadsbaserad finansiering för att kunna kommentera företagens finansieringskällor.

Källa: Statistiska centralbyrån.

Höga räntor har pressat högt skuldsatta fastighetsföretag de senaste åren. Riksbankens räntesänkningar 2024 bidrog dock till dämpad oro för fastighetsföretagens skuld- sättning och bidrog till lägre kreditriskpremier för sektorn på obligationsmarknaden. Trots lägre marknadsräntor och att många företag återigen kunde finansiera sig på obligationsmarknaderna pressades många fastighetsföretag av fortsatt stigande ränte- kostnader. Det beror på att stora lån som finansierades under lågräntemiljön löpte ut

15

Prop. 2025/26:1 Utgiftsområde 2

under 2024, vilka behövde refinansieras till högre räntenivåer. Fortsatt stora refinansieringsbehov framöver och låga räntetäckningsgrader gör att flera fastighetsföretag fortfarande är pressade och känsliga för ränteförändringar.

Livförsäkrings- och tjänstepensionsföretagen är stabila

Livförsäkrings- och tjänstepensionsföretagens förmåga att fullgöra sina åtaganden mäts genom solvenskvoten, dvs. kapitalbasen i förhållande till kapitalkravet. Företag ska ha en solvenskvot på minst 1,0. För livförsäkringsföretag som tillämpar Solvens II-regelverket sjönk solvenskvoten under 2022 men har sedan dess varit relativt stabil, om än lägre än genomsnittet de senaste åren, se diagram 3.3. För tjänstepensions- företag var den genomsnittliga solvenskvoten 2024 fortsatt stabil.

Diagram 3.3 Genomsnittlig solvenskvot för livförsäkrings- och tjänstepensionsföretag

Kvot

Anm.: Kvoterna beräknas enligt Solvens II-regelverket som kapitalbas dividerat med solvenskapitalkrav och för tjänstepensionsföretagen som kapitalbas dividerat med riskkänsligt kapitalkrav. Från och med 2023 ingår alla tjänstepensionsföretag i urvalet, men de 5 största utgör i stort sett hela kvoten.

Källa: Finansinspektionen.

Nya regler för försäkringsföretag utreds

I augusti 2024 beslutade regeringen att utreda hur det nya EU-direktivet om återhämtning och resolution av försäkrings- och återförsäkringsföretag samt ändringar i Solvens II-direktivet ska genomföras i svensk rätt (dir. 2024:77). Det nya EU- direktivet syftar till att skapa en gemensam ram inom EU för att hantera finansiella kriser inom försäkringssektorn, liknande den som finns för banker och centrala motparter. Ändringarna i Solvens II-direktivet syftar till att öka proportionaliteten och minska den administrativa bördan för försäkringsföretag. Uppdraget ska redovisas

i september 2025.

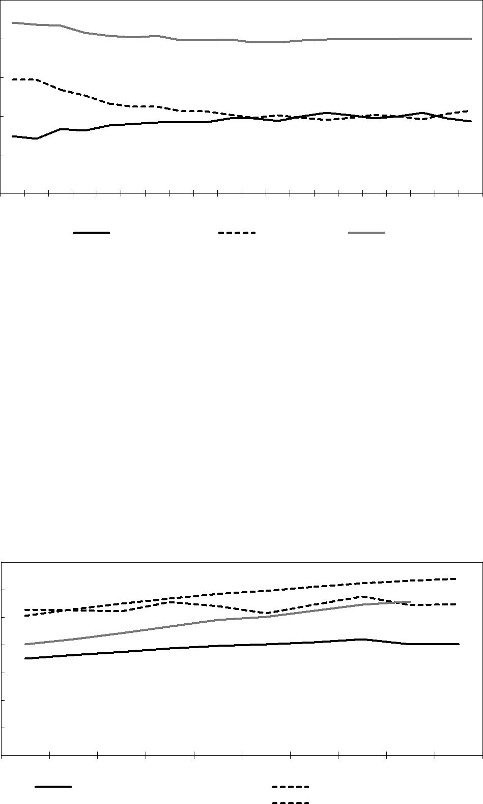
Färre avbrott i den finansiella infrastrukturen

Under 2024 var den procentuella andelen avbrott av total tillgänglighet i den finansiella strukturen 0,14 procentenheter lägre än 2023. Den procentuella andelen avbrott av total tillgänglighet var även lägre än de senaste åren, se diagram 3.4. De avbrott som skett har inte fått några betydande konsekvenser för den finansiella stabiliteten (Riksbanken, Finansiell stabilitetsrapport 2025:1).

16

Prop. 2025/26:1 Utgiftsområde 2

Diagram 3.4 Avbrott i de finansiella infrastruktursystemen

Procent

Anm. Avbrott avser procentuell andel av total tillgänglighet. 0 procent innebär full tillgänglighet. 0,2 procent innebär ungefär fem timmars avbrott under ett år. För Swish, Bank-ID, RIX-INST avser 0,2 procent 17,5 timmar då tjänsterna är tillgängliga alla dagar dygnet runt. RIX-INST lanserades 2024. Data för Bank-ID avser 2023 och 2024.

Källa: Riksbanken.

Nya verktyg för att stärka digital motståndskraft

Genom EU:s förordning om digital operativ motståndskraft för finanssektorn har det införts nya krav på företag inom den finansiella sektorn. Detta innebär krav på företagens riskhantering när det gäller informations- och kommunikationsteknik, incidentrapportering, hantering av utlagd verksamhet och testning av digital operativ motståndskraft. EU:s förordning började tillämpas den 17 januari 2025 och samtidigt trädde en ny lag med kompletterande bestämmelser till EU-förordningen i kraft (prop. 2024/25:44, bet. 2024/25:FiU13, rskr. 2024/25:96). Genom det nya regelverket får Riksbanken och Finansinspektionen nya verktyg för att stärka den operativa digitala motståndskraften i den finansiella sektorn. Det innebär att Finansinspektionen får befogenhet att kontrollera att finansiella företag följer EU-förordningen och att Finansinspektionen och Riksbanken blir ansvariga myndigheter för att testa vissa företags digitala motståndskraft mot cyberattacker.

Åtgärder för att stärka samhällets krisberedskap och civilt försvar

Finansinspektionen är sektorsansvarig myndighet för beredskapssektorn Finansiella tjänster, där även Riksgäldskontoret ingår. Riksgäldskontoret ingår även i beredskaps- sektorn Ekonomisk säkerhet. Arbetet inom beredskapssektorerna beskrivs i utgiftsområde 6 Försvar och samhällets krisberedskap avsnitt 5.3.1. Ett väl fungerande betalningssystem har stor betydelse för hur samhället fungerar, inte minst ur ett beredskapsperspektiv. Det är viktigt att inte göra sig beroende av enskilda betalningsalternativ, exempelvis sådana som kräver tillgång till elektricitet och datakommunikation. Mot bakgrund av det fick en utredare i uppdrag att se över möjligheterna att betala med kontanter och tillgången till kontanter. Kontantutredningen redovisades den 19 december 2024 (Fi2024/00068). Förslagen har remitterats och bereds i Regeringskansliet.

3.3.2Tillgång till finansiella tjänster och medverkan till hållbar utveckling

Förbättrade finansieringsmöjligheter för företagen

Bankerna och kapitalmarknaderna bidrar till företagens tillgång till finansiering. Det emitterades rekordstora volymer på den svenska företagsobligationsmarknaden 2024,

17

Prop. 2025/26:1 Utgiftsområde 2

till följd av stora refinansieringsbehov och lägre marknadsräntor i och med Riksbankens sänkningar av reporäntan och pressade riskpremier. I Konjunktur- barometern minskade andelen företag som uppgav att det var svårare eller avsevärt svårare än normalt att finansiera sin verksamhet från 29 procent 2023 till 21 procent 2024, se diagram 3.5.

Diagram 3.5 Företagens finansieringsmöjligheter

Procent

Anm.: Konjunkturbarometern per det fjärde kvartalet varje år. Företagens finansieringsmöjligheter redovisades även i budgetpropositionen för 2025 (prop. 2024/25:1 utg.omr. 2 avsnitt 3.3.2) men inte i diagram.

Källa: Konjunkturinstitutet.

Hushållens tillgång till krediter och sparande

För att hushållen ska kunna köpa och äga bostäder är det viktigt att de finansiella företagen tillgodoser behovet av en lånemarknad. Som en följd av ökade ränte- kostnader (räntekvot) och minskad efterfrågan på krediter har hushållens skulder minskat sedan 2022. Minskningen föregicks emellertid av två decenniers tillväxt, se diagram 3.6. Alltför höga skulder gör hushållens konsumtion känslig för ekonomiska störningar. För att kunna bredda beslutsunderlaget för den ekonomiska politiken behöver hushållens ekonomiska ställning belysas. Mot bakgrund av det har Statistiska centralbyrån i enlighet med regeringsuppdrag (Fi2022/03071, Fi2024/01529) lämnat förslag på hur stickprovsinsamling av sådana uppgifter kan ske. Vidare redovisade Kommittén om översyn av låntagarbaserade makrotillsynsåtgärder sitt uppdrag den 4 november 2024 i betänkandet Reglering av hushållens skulder (SOU 2024:71). Betänkandet innebär en översyn av låntagarbaserade makrotillsynsåtgärder, som bl.a. syftar till att minska en alltför hög kredittillväxt. Arbetet med frågan har fortsatt i Regeringskansliet och en promemoria med förslag på utveckling av makrotillsynsområdet har skickats på remiss.

Det är också viktigt att de finansiella företagen tillgodoser hushållens behov av finansiella produkter och tjänster för sitt sparande. År 2022 minskade hushållens nysparande till följd av ökade kostnader som pressade hushållens ekonomi, men hushållens sparande i förhållande till disponibel inkomst (sparkvot) och BNP har sedan dess ökat, och närmar sig de höga nivåerna 2020 och 2021, se diagram 3.6.

18

Prop. 2025/26:1 Utgiftsområde 2

Diagram 3.6 Hushållens skulder och tillgångar

Procent

Anm.: Hushållens skuld- och sparkvot visar skulder respektive sparande i förhållande till disponibla inkomster. Hushållens räntekvot visar ett glidande medelvärde de fyra senaste kvartalen för räntebetalningar, brutto, i förhållande till disponibla inkomster.

Källa: Statistiska centralbyrån.

Flera åtgärder för att bekämpa kriminellas missbruk av betalmarknaden

Alternativa betalningssystem som existerar parallellt med traditionella betalnings- system har i ökad utsträckning kommit att missbrukas av kriminella i finansieringssyfte. För att försvåra för kriminella, har det införts krav på att bl.a. flertalet betaltjänster ska omfattas av tillståndsplikt i stället för registreringsplikt, vilket ger Finansinspektionen bättre förutsättningar att kontrollera verksamhet med alternativa betalningssystem (prop. 2024/25:67, bet. 2024/25:FiU27,

rskr. 2024/25:165). Lagändringarna trädde i kraft den 1 juli 2025. Därtill har förslag lämnats i en promemoria att det ska vara kriminellt att bedriva finansiell verksamhet utan Finansinspektionens tillstånd eller registrering (Fi2024/01905). Promemorian har remitterats och bereds i Regeringskansliet.

Kryptotillgångar används bl.a. som betalningsmedel, vilket också inneburit att det använts för att tvätta brottsvinster eller återinvestera brottsvinster i kriminell verksamhet. Finansinspektionens tillsynsbefogenheter har utökats när det gäller handel med kryptotillgångar. Den 30 december 2024 trädde lagändringar i kraft som innebär att tillsynsbefogenheter för Finansinspektionen införs gentemot företag som bedriver verksamhet som omfattas av EU:s förordning om marknader för kryptotillgångar (prop. 2024/25:43, bet. 2024/25:FiU12, rskr. 2024/25:61).

De finansiella företagen medverkar till en hållbar utveckling

De finansiella företagen bidrar till omställningen till en hållbar utveckling genom att identifiera, mäta och prissätta de möjligheter och risker som omställningen medför. Genom att olika risker och möjligheter återspeglas i räntor, tillgångspriser och försäkringspremier skapas förutsättningar för en allsidig riskhantering och för att sparande effektivt kanaliseras till rätt investeringar. De finansiella företagen kan dessutom bidra till omställningen genom sina investeringsbeslut.

Utvecklingen av emitteringen av certifierade gröna obligationer ger en bild av den generella utvecklingen på hållbarhetsområdet genom att avspegla intresset hos offentliga aktörer och privata företag att söka finansiering för projekt som är avsedda att bidra till den gröna omställningen och som uppfyller de uppställda kraven. Emitteringen av certifierade gröna obligationer från företag, inklusive finansiella

19

Prop. 2025/26:1 Utgiftsområde 2

företag, har under perioden 2015–2024 ökat stadigt medan de från offentliga aktörer fluktuerat något, se diagram 3.7.

Diagram 3.7 Indexerad utveckling av certifierade gröna obligationer

Index, år 2015=100

Anm.: Volym av emitterade gröna obligationer som klassas som CBI-Aligned eller CBI-certified. Datan är indexerad för att ge en tydlig bild av utvecklingen. Med certifierade gröna obligationer avses obligationer som klassas som CBI- Aligned eller CBI-certified, efter standarden som arbetats fram av Climate Bonds Initiative, en internationell organisation som arbetar för att mobilisera globalt kapital till klimatarbetet. CBI-certifiering är väl etablerad på marknaden och syftar till att ge emittenter en oberoende och vetenskapligt baserad standard för att visa på hållbarheten i deras gröna obligationsprojekt. Till skillnad från budgetpropositionen för 2025 (prop. 2024/25:1 utg.omr. 2 avsnitt 3.3.4) innehåller statistiken endast vad dataleverantören LSEG workspace definierar som CBI-Aligned eller CBI-Certified obligationer då dataleverantören LSEG workspace uppdaterar data retroaktivt och det är svårt att avgöra vad de definierar som "gröna lån".

Källa: Finansinspektionen.

Under 2024 beslutade regeringen skrivelsen Nationell strategi och regeringens handlingsplan för klimatanpassning (skr. 2023/24:97) som bl.a. betonar vikten av frågan för finansmarknaden, och särskilt för försäkringsföretagen.

Ny standard för gröna obligationer i syfte för att förhindra grönmålning

Att förhindra s.k. grönmålning, vilket innebär att den som bedriver miljöfarlig verksamhet ändå försöker beskriva sin verksamhet som miljövänlig, är en viktig del i arbetet för en hållbar utveckling. Som ett led i detta arbete har en ny EU-förordning om europeiska gröna obligationer antagits av Europaparlamentet och rådet, vilket innebär en frivillig standard för gröna obligationer. Lagen (2024:1085) med kompletterande bestämmelser till EU:s förordning om europeiska gröna obligationer trädde i kraft den 21 december 2024 (prop. 2024/25:21, bet. 2024/25:FiU7,

rskr. 2024/25:33).

3.3.3Väl fungerande marknader med konkurrens och starkt konsumentskydd

Tillgång till information bidrar till att upptäcka och förhindra penningtvätt

För att bekämpa kriminella inslag på finansmarknaden är det viktigt att banker och polisen får tillgång till information om betalningar som kan härröra från kriminell verksamhet. Sådan information kan bidra till att förebygga, förhindra och upptäcka penningtvätt och annan relaterad brottslighet. I juli 2024 remitterades en promemoria som innehåller förslag som innebär att clearingbolag ska vara skyldiga att övervaka transaktioner, lämna uppgifter om misstänkta transaktioner till banker och rapportera misstänkt penningtvätt eller finansiering av terrorism till Polismyndigheten (Fi2024/01527). Lagändringarna trädde i kraft 1 juli 2025 (prop. 2024/25:134,

bet. 2024/25:FiU38, rskr. 2024/25:223). Det är även viktigt att Finansinspektionen

20

Prop. 2025/26:1 Utgiftsområde 2

har verktyg för att motverka att det finansiella systemet missbrukas av kriminella. Under 2024 fattade regeringen beslut om ändring i förordningen (1999:1134) om belastningsregister som trädde i kraft den 1 januari 2025. Syftet är att ge Finansinspektionen utökad tillgång till belastningsregistret vid myndighetens lämplighetsprövningar. Finansinspektionen har också i enlighet med regeringsuppdrag (Fi2024/01097) lämnat rapporten Utveckling av Finansinspektionens penning- tvättstillsyn (Finansinspektionen 2024). I rapporten lyfter Finansinspektionens fram att ökade resurser har lett att tillsynen har utvecklats och ökat i omfattning genom åren.

Arbete med att stärka svenska finansmarknaders konkurrenskraft

Kapitalmarknader är centrala för jobb, tillväxt och omställning, samtidigt som de ger avkastning till hushållen genom bl.a. privat sparande och pensionssystemet. Inom ramen för regeringens arbete för fördjupat samråd och samarbete med näringsliv och organisationer om EU-frågor som är särskilt viktiga för Sveriges konkurrenskraft tog finansmarknadsministern under 2024 initiativ till två informella rundabordssamtal. Ett sådant branschråd var om hållbarhetsreglering på finansmarknaden och ett för att diskutera marknaden för värdepapperisering.

Något minskad dominans bland kreditgivare i utlåningen

Att hushåll och företag kan göra aktiva val på bankmarknaden och har möjlighet att söka bättre villkor är angeläget, inte minst i ett läge där deras ekonomi är pressad av höga räntor. Den svenska bankmarknaden är koncentrerad och tillsammans står sju banker för mer än 80 procent av utlåningen till allmänheten i Sverige. De

tre storbankerna har dock över tid tappat marknadsandelar till fördel för framför allt bolånebankerna, se diagram 3.8.

Diagram 3.8 Marknadsandelar i utlåning

Procent

Anm.: Avser andel av total utlåning till allmänheten i Sverige inkl. utländska bankers utlåning.

Källa: Finansinspektionen.

Flera åtgärder mot överskuldsättningen

En bidragande orsak till problem med överskuldsättning bland vissa svenska hushåll är att marknaden för konsumtionslån har vuxit i snabb takt under de senaste åren. Tendensen drivs på av den tekniska utvecklingen. Ökad tillgänglighet till lån över internet har ökat under senare år och bidrar till att skapa osunda konsumtionsmönster. Den 21 maj 2025 antog riksdagen regeringens förslag om att bara banker ska få driva

21

Prop. 2025/26:1 Utgiftsområde 2

näringsverksamhet som har till ändamål att lämna eller förmedla krediter till konsumenter (prop. 2024/25:138, bet. 2024/25:FiU37, rskr. 2024/25:216). Lagändringarna trädde i kraft den 1 juli 2025. Den 27 november 2024 antogs även skärpta regler om bl.a. ränte- och kostnadstak och möjligheten att förlänga löptiden för en kredit (prop. 2024/25:17, bet. 2024/25:CU5, rskr. 2024/25:62 och 63). Lagändringarna trädde i kraft den 1 mars 2025. Vidare har konsumtionslån som tas utan säkerhet ökat, t.ex. har blancolånen nästan fördubblats i storlek de senaste

tio åren. Ränteutgifter har kunnat dras av, vilket har gjort det billigare att ta sådana lån. Efter förslag i propositionen Avtrappat ränteavdrag för lån utan säkerhet har riksdagen beslutat att begränsa rätten till avdrag för ränteutgifter på lån utan säkerhet (prop. 2024/25:26, bet. 2024/25:FiU1, rskr. 2024/25:49). Lagändringen trädde i kraft den 1 januari 2025. För ytterligare åtgärder för att motverka överskuldsättning, se utgiftsområde 18 Samhällsplanering, bostadsförsörjning och byggande samt konsumentpolitik avsnitt 4.

Lägre avgifter för fonder

Finansiella produkter och tjänster är en viktig del av konsumenters vardag, bl.a. dagliga betaltjänster, bostadslån och sparande. Svenska hushåll har en högre andel av sitt sparande i fonder och andra finansiella produkter jämfört med hushåll i andra EU- länder och fondsparande är en viktig del av pensionssparandet. Eftersom avgifter i fondsparandet påverkar den långsiktiga värdetillväxten är det viktigt att svenska hushåll inte betalar för mycket i avgifter på sitt fondsparande. Sedan 2020 har de genomsnittliga fondavgifterna minskat något, se tabell 3.1.

Tabell 3.1

Utveckling fondavgifter

 

 

 

 

Procent

 

 

 

 

 

Fondkategori

2020

2021

2022

2023

2024

Aktiefond

1,17

1,16

1,16

1,17

1,15

 

 

 

 

 

 

Räntefond

0,41

0,41

0,38

0,39

0,39

 

 

 

 

 

 

Blandfond

0,84

0,89

0,88

0,70

0,69

 

 

 

 

 

 

Indexfond

0,31

0,31

0,31

0,31

0,30

 

 

 

 

 

 

Anm.: Avser volymviktade medelvärden för årliga förvaltningsavgifter uttryckta som andel av förvaltat kapital för svenska värdepappersfonder och specialfonder. Indexfonder omfattar även samtliga s.k. börshandlade fonder.

Källa: Finansinspektionen.

Bedrägeribeloppen minskade under 2024

Att motverka brottslighet är en av regeringens högst prioriterade frågor. Det gäller även brottslighet i det finansiella systemet. Det stora flertalet bedrägerier förutsätter att kriminella missbrukar produkter och tjänster som tillhandahålls av bankerna. Sedan 2020 har bedrägeribeloppen via betaltjänster ökat kraftigt och mer än fördubblats medan antalet rapporterade bedrägerier inte haft samma kraftiga utveckling. Det framgår av statistik från Finansinspektionen som baseras på rapportering från betaltjänstleverantörer under tillsyn. Statistiken visar dock på ett trendbrott för bedrägeribeloppen och det har skett en minskning under 2024, se diagram 3.9. Även antalet anmälda investeringsbedrägerier har ökat de senaste åren och brottsvinsterna beräknades utgöra 30 procent av brottsvinsterna från bedrägerier 2023 (Finansinspektionen 2024). Som ett led i arbetet mot bedrägerier höll regeringen möten med företrädare för bankerna och Polismyndigheten under 2024. Syftet var bl.a. att diskutera hur bankerna kunde ta ett större ansvar för att förhindra bedrägerier och hur samarbetet mellan bankerna och Polismyndigheten kunde stärkas. Bankerna presenterade då ett åtgärdspaket för att stärka kundskyddet som skulle implementeras under 2024 och 2025. Regeringen följer löpande upp att bankernas åtgärder genomförs och får effekt.

22

Prop. 2025/26:1 Utgiftsområde 2

Diagram 3.9 Utveckling av bedrägerier via betaltjänster

Antal i tusental

Miljoner kronor

Anm.: Antal bedrägerier som rapporterats från betaltjänstleverantörer under tillsyn redovisas på vänstra axeln i tusental och bedrägeribelopp till höger i miljoner kronor.

Källa: Finansinspektionen.

Riksdagens tillkännagivanden om flytt av tjänstepension

Riksdagen har i två tillkännagivanden tillkännagett för regeringen dels att regeringen bör utreda hur flytt av tjänstepension kan underlättas, dels att regeringen bör utreda om det är möjligt att ta bort kravet på underskrift av tidigare arbetsgivare vid flytt av tjänstepension (bet. 2021/22:FiU36 punkt 2 och 3, rskr. 2021/22:304). Som en följd av tillkännagivandena gav regeringen i regleringsbrevet för 2023 Finansinspektionen i uppdrag att genomföra en kartläggning av hur flytt av individuell tjänstepensions- försäkring mellan och inom försäkringsföretag och tjänstepensionsföretag ser ut och hur rörligheten har utvecklats under de senaste fem åren. Myndigheten skulle också identifiera eventuella legala och praktiska hinder för flytt av individuell tjänste- pensionsförsäkring och föreslå åtgärder för att undanröja dem. Uppdraget redovisades den 15 september 2023 i rapporten Flytt av individuell tjänstepensionsförsäkring (Fi2023/02498). I rapporten analyseras kravet på underskrift av tidigare arbetsgivare vid flytt av tjänstepension. Finansinspektionen föreslår inte några lagändringar. Regeringen instämmer i Finansinspektionens slutsatser och bedömer att det inte bör vidtas några lagstiftningsåtgärder. Regeringen anser att tillkännagivandena mot denna bakgrund är tillgodosedda och därmed slutbehandlade.

3.3.4Statlig finansförvaltning

För att statens finansförvaltning ska kunna bedrivas på ett effektivt sätt krävs att de regelverk, avtal och kontostrukturer som utgör statens betalningsmodell och modellen för statens garanti- och utlåningsverksamhet är ändamålsenliga. Riksgäldskontoret ansvarar, i sin roll som statens internbank, för att förvalta och utveckla den statliga betalningsmodellen samt för att tillhandahålla den infrastruktur som de statliga myndigheterna behöver för att genomföra sina betalningar och för att de ska få tillgång till anslagsmedel och lån.

Styckkostnaden per statlig betalning har ökat

Under 2024 var den genomsnittliga kostnaden för en statlig betalning 1,25 kronor, vilket är en ökning med 17 öre jämfört med 2023, se tabell 3.2. Priserna är högre i de ramavtal som började tillämpas under 2023 än i föregående ramavtal. Merparten av myndigheterna gick över till de nya ramavtalen i maj 2023, vilket innebär att pris- ökningen slog igenom fullt ut på genomsnittspriset först under 2024. Begränsad

23

Prop. 2025/26:1 Utgiftsområde 2

konkurrens och vissa inlåsningseffekter genom att enskilda banker har utvecklat lösningar som är unika för staten kan ha bidragit till prisökningen. Bankernas arbete med förändringar kopplat till ny betalinfrastruktur och regelkrav har troligen också bidragit till de ökade kostnaderna. Styckkostnaden redovisas inte heller justerad för inflationen.

Tabell 3.2 Styckkostnad per betalning

Kronor

 

2015

2016

2017

2018

2019

2020

2021

2022

2023

2024

Styckkostnad

0,55

0,51

0,59

0,62

0,59

0,56

0,57

0,59

1,08

1,25

 

 

 

 

 

 

 

 

 

 

 

Anm.: Löpande priser som inte är justerade för inflationen. Snittkostnaden för 2023 har reviderats från 0,96 kr till

1,08 kr per betalning jämfört med budgetpropositionen för 2025 (prop. 2024/25:1 utg.omr. 2 avsnitt 3.3.5), eftersom tidigare uppgifter från en av ramavtalsbankerna innehöll vissa dubbelräkningar av antalet transaktioner och tillhörande kostnad. Från och med maj 2023 ingår inte heller kortinlösen i den genomsnittskostnad som redovisas i diagrammet.

Källa: Riksgäldskontoret.

Centraliserade valutabetalningar medför besparingar

Centraliserade valutabetalningar inom valutakoncernkontomodellen (VKK) ger en effektivare valutahantering för staten, eftersom valutabetalningar från myndigheter nettas mot valutabetalningar i statsskuldsförvaltningen. Vid utgången av 2024 var

21 myndigheter anslutna till VKK. Riksgäldskontoret uppskattar att besparingen för att växla valuta inom VKK blev 13 miljoner kronor under 2024 jämfört med om växlingarna hade gjorts till marknadskurs.

Minskade utestående garantier men ökad utlåning till låntagare

Riksgäldskontorets garantiverksamhet uppvisade 2024 ett större överskott jämfört med föregående år, tabell 3.3. Det beror till största delen på att de förväntade framtida avgifterna för förväntad förlust ökade. Saldot på reservkontot ökade till följd av avgiftsbetalningar för nya garantier. Nuvärdet av de förväntade förlusterna i garanti- verksamheten ökade också, framför allt på grund av nytillkomna garantiåtaganden. Kreditrisken i portföljen 2024 ligger i stort sett i nivå med föregående år.

Tabell 3.3 Utestående garantier, reservtillgångar och förväntade förluster

Miljoner kronor

 

2020

2021

2022

2023

2024

 

 

 

 

 

 

Utestående garantier

24 218

20 043

18 893

16 128

13 252

 

 

 

 

 

 

Reservtillgångar

1 180

1 403

1 497

1 482

1 983

 

 

 

 

 

 

Reservkonto

470

706

1 429

1 418

1 486

 

 

 

 

 

 

Värdering fordringar

620

658

12

35

18

Förväntade framtida avgifter för förväntad förlust

90

39

57

29

479

 

 

 

 

 

 

Förväntade förluster

1 174

1 123

826

816

1 163

 

 

 

 

 

 

Skillnad mellan tillgångar och förväntade förluster

5

280

672

666

820

 

 

 

 

 

 

Källa: Riksgäldskontoret.

 

 

 

 

 

Vid utgången av 2024 visade Riksgäldskontorets utlåningsverksamhet ett överskott på omkring 650 miljoner kronor som utgörs av skillnaden mellan reservtillgångar och förväntade förluster, se tabell 3.4. Lånet till SAS har reglerats via bidrag, vilket innebär att Riksgäldskontoret inte längre har någon förväntad förlust. Detta har bidragit till att utlåningsverksamheten vid utgången av 2024 visade ett överskott.

24

Prop. 2025/26:1 Utgiftsområde 2

Tabell 3.4 Utestående lån till låntagare utanför staten, reservtillgångar och förväntade förluster

Miljoner kronor

 

2020

2021

2022

2023

2024

Utestående lån

15 414

15 724

7 422

7 701

5 668

 

 

 

 

 

 

Reservtillgångar

617

579

604

626

650

 

 

 

 

 

 

Reservkonto

614

579

604

626

650

Förväntade framtida avgifter för

 

 

 

 

 

förväntad förlust

3

0,6

0

0

0

 

 

 

 

 

 

Förväntade förluster

1

0,1

1 350

1 350

0

Skillnad mellan tillgångar och

 

 

 

 

 

förväntade förluster

604

579

-746

-724

650

 

 

 

 

 

 

Källa: Riksgäldskontoret.

3.3.5Resultat för internationella finansiella institutioner

Regeringen redogör för verksamheten i Asiatiska banken för infrastrukturinvesteringar (AIIB), Europeiska banken för återuppbyggnad och utveckling (EBRD), Europeiska investeringsbanken (EIB), Internationella valutafonden (IMF), Nordiska investerings- banken (NIB) och Världsbanksgruppen i återkommande skrivelser till riksdagen (se t.ex. skr. 2024/25:82). Verksamheten för Europarådets utvecklingsbank (CEB) redovisas i den återkommande skrivelsen om verksamheten inom Europarådets ministerkommitté m.m. (se t.ex. skr. 2023/24:94).

Tankesmedjan Bruegel

Bruegel är en oberoende europeisk tankesmedja med fokus på internationell ekonomiskpolitisk forskning. Tankesmedjans mål är att bidra till ökad kvalitet inom ekonomisk politik genom faktabaserad analys och diskussion. Genom det svenska medlemskapet finns en möjlighet att lämna synpunkter på tankesmedjans forsknings- områden och att delta vid seminarier som anordnas för medlemmar. Under 2024 producerade Bruegel 175 publikationer och arrangerade 79 event om bl.a. världsekonomin, handelspolitik, digitalisering och offentliga finanser i EU.

Garantier till vissa internationella finansiella institutioner

Sverige har medlemsåtaganden i elva internationella finansiella institutioner. Medlemskapen kan likställas med delägande, eftersom varje medlemsland bidrar med en andel av institutionernas egna kapital. Det egna kapitalet består av inbetalt kapital och garantikapital. Genom garantikapitalet förbinder sig medlemsländerna att, utöver det inbetalda kapitalet, under vissa omständigheter tillskjuta ytterligare ett bestämt kapitalbelopp till institutionerna.

Riksdagen har tidigare godkänt att garantikapital till internationella finansiella institutioner inte ska hanteras inom ramen för den statliga garantimodellen, där riskavspeglande avgifter sätts in på ett konto i Riksgäldskontoret (prop. 2001/02:1 Förslag till statsbudget, reviderad finansplan m.m. avsnitt 7.2.3, bet. 2001/02:FiU2, rskr. 2001/02:129). Eventuella infrianden ska i stället belasta anslag. Infrianden av garantikapital till AIIB, CEB, EBRD, EIB, NIB och Världsbanksgruppen ska belasta anslaget 1: 13 Vissa garanti- och medlemsavgifter. De utestående garantiåtagandena gentemot dessa institutioner, vilka har redovisats i skrivelsen Årsredovisning för staten 2024 (skr. 2024/25:101), uppgick vid utgången av 2024 till ca 164 miljarder kronor.

Riksdagen har vidare godkänt två garantiprogram som inte hanteras inom ramen för den statliga garantimodellen, och där infrianden i stället belastar anslag (prop. 2019/20:181, bet. 2019/20:FiU61, rskr. 2019/20:351). Det är dels fråga om en garanti

25

Prop. 2025/26:1 Utgiftsområde 2

om högst 863 337 362 euro till en garantifond till EIB för stöd till i första hand företag i ekonomiska svårigheter orsakade av utbrottet av covid-19, dels en garanti om högst 848 537 250 euro till Europeiska unionen för ett europeiskt instrument för tillfälligt stöd för att minska risken för arbetslöshet i en krissituation till följd av utbrottet av covid-19 (SURE). Vid årsskiftet 2024/25 hade EIB:s garantifond beslutat att ställa ut garantier motsvarande 23,5 miljarder euro. Dessa garantier förväntas möjliggöra 188,5 miljarder euro i investeringar. Den förväntade nettoförlusten är

14 procent. Fram t.o.m. den 31 mars 2025 hade garantiinfrianden motsvarande 54,7 miljoner kronor belastat anslaget.

Perioden för det temporära instrumentet SURE löpte ut den 31 december 2022, och det är inte längre möjligt att ansöka om stöd från instrumentet. Stöd från SURE har beviljats till 19 av EU:s medlemsstater till ett belopp om 98,4 miljarder euro. För att finansiera lånen har Europeiska kommissionen emitterat obligationer för motsvarande belopp. Risken för ett garantiinfriande bedöms vara låg, bl.a. eftersom låntagarna är stater. Vid en betalningsinställelse av en sådan stat ska EU-budgeten användas i första hand.

Under 2022 godkände riksdagen ytterligare två garantiprogram som inte hanteras inom ramen för den statliga garantimodellen, och där infrianden belastar anslag. Programmen avser dels en garanti till Internationella återuppbyggnads- och utvecklingsbanken om högst 44,7 miljoner euro plus ränta för bankens kompletterande lån till Ukraina (prop. 2021/22:152, bet. 2021/22:FiU45, rskr. 2021/22:190), dels en garanti till Europeiska unionen för ett makrofinansiellt stöd till Ukraina om högst ca 136,6 miljoner euro (prop. 2022/23:2, bet. 2022/23:FiU11, rskr. 2022/23:52). Eventuella infrianden av garantierna kommer att kunna klassificeras som internationellt bistånd enligt den definition som används av OECD:s biståndskommitté DAC och avses därmed finansieras från anslaget 1:1 Biståndsverksamhet inom utgiftsområde 7 Internationellt bistånd.

Bidrag till EU för räntekostnader för makrofinansiellt stöd till Ukraina

Under 2023 godkände riksdagen ett avtal med Europeiska kommissionen om bidrag till EU för räntekostnader och kostnader för likviditetsförvaltning som avser ett makrofinansiellt stöd i form av lån till Ukraina under 2023 (prop. 2022/23:99,

bet. 2022/23:FiU21, rskr. 2022/23:254) och bemyndigade regeringen att under 2024– 2027 för anslaget 1:1 Biståndsverksamhet inom utgiftsområde 7 Internationellt bistånd besluta om bidrag enligt avtalet på sammanlagt högst ca 1 153,5 miljoner kronor. I maj 2025 hade ca 272 miljoner kronor i bidrag betalats ut till EU.

3.4Regeringens bedömning av måluppfyllelsen

Regeringen bedömer att uppfyllelsen av målen för finansmarknadsområdet har varit god, men ser samtidigt att bl.a. arbetet med att motverka bedrägerier behöver fortsätta.

3.4.1Det finansiella systemet är stabilt

Höga genomsnittliga räntekostnader för företag har lett till att sårbarheterna med hög skuldsättning låg kvar på höga nivåer under 2024, inte minst för fastighetsföretag, men det svenska finansiella systemet har varit stabilt. Bankerna fortsätter att visa upp höga kapital- och likviditetsbuffertar samt låga kreditförluster, trots att Sverige befinner sig i en lågkonjunktur och att bankerna är särskilt exponerade mot den kommersiella fastighetssektorn. Försäkringssektorns motståndskraft bedöms fortsatt vara god. Försäkrings- och tjänstepensionsföretagen har trots sina stora tillgångar, såsom aktier,

26

Prop. 2025/26:1 Utgiftsområde 2

fastigheter och olika typer av obligationer, visat sig kunna hantera osäkerheten på de finansiella marknaderna.

Samhällsviktiga funktioner har kunnat upprätthållas i en betryggande utsträckning, trots att ett försämrat säkerhetsläge ökar risken för angrepp mot det finansiella systemet. Tillgängligheten i den finansiella infrastrukturen har varit god 2024 och den procentuella andelen avbrott har sjunkit jämfört med tidigare år.

3.4.2De finansiella företagen tillgodoser behovet av finansiella tjänster och medverkar till hållbar utveckling

Villkoren för de finansiell företagen bedöms vara utformade så att de kan bidra till att behovet av finansiella tjänster kan tillgodoses. Som ett resultat av det är både bankernas utbud av krediter till de svenska hushållen och hushållens tillgång till finansiella produkter och tjänster för sparande fortsatt god. Svenska hushåll har höga skulder, samtidigt som hushållen har visat motståndskraft när räntorna legat på högre nivåer än för några år sedan. En viktig del av hushållens ekonomiska motståndskraft kommer också från att de har sparade tillgångar. Företagens finansieringsmöjligheter förbättrades under 2024.

Systemet för att genomföra betalningar har fortsatt att tillgodose behovet av betalningar, även om betalningsområdet genomgår en omfattande struktur- omvandling. Det finns utmaningar på området och kräver ett fortsatt arbete. Regeringen har vidtagit flera åtgärder för att motverka att betalningssystemet missbrukas av de kriminella.

Utvecklingen avseende emitteringen av certifierade gröna obligationer visar att volymen fortsätter att öka, vilket innebär att projekt som bidrar till omställningen är fortsatt attraktiva. Finansiella företag fortsätter att integrera klimatrelaterade risker i sin verksamhet och använder EU:s gröna taxonomi och omställningsplaner som strategiska verktyg för grön finansiering och hållbarhetsarbete. Regeringen arbetar aktivt inom EU för att göra EU:s regelverk tydligare och mer användbart, vilket ökar möjligheterna för de finansiella företagen att medverka till en hållbar utveckling.

3.4.3De finansiella marknaderna fungerar väl

Arbetet mot penningtvätt och finansiering av terrorism är ett prioriterat område för regeringen som kräver förebyggande arbete inom flera områden, t.ex. har ökade resurser till tillsynen de senaste åren lett till att tillsynen har utvecklats och ökat i omfattning. Under 2024 har ytterligare förslag lämnats där clearingbolag blir en viktig aktör i att förebygga, förhindra och upptäcka penningtvätt och annan relaterad brottslighet.

Överskuldsättning är ett allvarligt problem som drabbar många hushåll, men även samhället i stort. Regeringen har vidtagit flera åtgärder för att motverka överskuld- sättning, men ser samtidigt att ytterligare åtgärder och långsiktigt arbete krävs för att få effekt.

Sverige har i förhållande till många EU-länder välfungerande finansiella marknader och ett högt och aktivt deltagande från konsumenter. Regeringen är därför drivande i arbetet för att utveckla EU:s finansmarknader och stärka tillgången till privat kapital genom ökat konsumentdeltagende. Aktiva konsumenter bidrar också till att öka konkurrensen på de finansiella marknaderna. Ett mått på det är bankernas brutto- marginal på bolån som har stigit något under 2024 men sjunkit på lång sikt. Också avgifterna för fondsparande fortsatte att minska under 2024, även om stora skillnader finns mellan olika sparprodukter.

27

Prop. 2025/26:1 Utgiftsområde 2

3.4.4Statens finansförvaltning bedrivs effektivt

Styckkostnaden per statlig betalning 2024 har ökat jämfört med föregående år. Samtidigt har myndigheternas fortsatta deltagande i statens valutakoncernkonto medfört en besparing på kostnaden för valutaväxlingar. Regeringen bedömer sammantaget att uppfyllelsen av målet att statens finansförvaltning ska bedrivas effektivt har varit god utifrån de givna förutsättningarna, men det är viktigt att det kontinuerliga arbetet för en god måluppfyllelse fortsätter.

3.5Politikens inriktning

Regeringens arbete på finansmarknadsområdet fokuserar på att värna finansiell stabilitet, motverka brottslighet och överskuldsättning, utveckla kapitalmarknader, samt se till att de finansiella företagen tar sitt ansvar för ett starkt konsumentskydd och medverkar till en hållbar utveckling.

3.5.1Värna finansiell stabilitet

Det finansiella systemet ska vara stabilt och ha förmåga att säkerställa viktiga samhälls- funktioner. Med ett försämrat säkerhetsläge ökar risken för allvarliga driftsstörningar som kan få negativa effekter för den finansiella sektorn, och i förlängningen påverka den finansiella stabiliteten med konsekvenser för stora delar av samhället. För att stärka förmågan att hantera en allvarlig driftsstörning i den finansiella sektorns digitala infrastruktur har ett förslag om att inrätta en ny funktion för operativ krishantering vid en sådan driftsstörning remitterats (Fi2025/01510). Ärendet kommer därefter beredas vidare inom Regeringskansliet. Det remitterade förslaget innebär att Riksbanken ska få uppdraget att leda den nya krishanteringsfunktionen. Det allvarliga säkerhetsläget understryker vikten av att även stärka myndigheternas förmåga. För det förmåge- höjande arbetet inom ramen för det civila försvaret föreslås att Finansinspektionen tilldelas ytterligare medel och att en tidigare satsning på att säkerställa Riksgälds- kontorets verksamhet förlängs för att bibehålla upparbetad förmåga.

Omvärldsläget präglas av stor osäkerhet, med ett allvarligt säkerhetspolitiskt läge och pågående handelskonflikter. Väl rustade finansiella företag och hushåll som har god motståndskraft vid ekonomiska störningar, till följd av olika händelser i omvärlden, är viktigt för den finansiella stabiliteten. Arbetet med att utveckla makrotillsynen, som syftar till att värna den finansiella stabiliteten, fortsätter. I syfte att bredda besluts- underlaget för bl.a. makrotillsynen fortsätter också arbetet med att bättre kunna belysa hushållens ekonomiska ställning. För ändamålet tilldelas Statistiska centralbyrån ökade medel, se avsnitt 6.6.3.

Ett väl fungerande finansiellt system är avgörande för finansiell stabilitet och en stark samhällsekonomi. Finansinspektionen har i uppdrag att övervaka den finansiella sektorn, granska att företagen följer reglerna och att de kan hantera risker. För att stärka tillsynen, inte minst i syfte att stärka förmågan att motverka den kriminella ekonomin genom exempelvis utvecklad penningtvättstillsyn, tilldelas Finansinspektionen ytterligare medel fr.o.m. 2026.

Ibörjan av covid-19-pandemin 2020 uppstod problem på företagsobligations- marknaden och i fonder som investerar i företagsobligationer. Omsättningen för företagsobligationer och certifikat sjönk tillfälligt och riskpremierna ökade kraftigt samtidigt som fonder som investerat i dessa hade stora utflöden. För att hantera likviditetsobalansen tvingades fonder sälja sina tillgångar, vilket ökade stressen ytterligare. För att minska känsligheten för denna typ av störningar pågår ett arbete med att stärka fondmarknaden genom att bl.a. införa effektiva verktyg för att motverka likviditetsrisker i fonder och se över reglerna för inlösensfrekvens. Det

28

Prop. 2025/26:1 Utgiftsområde 2

pågår också arbete med att se över och stärka den svenska företagsobligations- marknaden.

Resolutionsregelverken är i hög utsträckning gemensamma inom EU och utvecklas kontinuerligt i syfte att stärka arbetet med att förebygga och hantera finansiella kriser. EU:s nya regelverk för resolution av försäkringsföretag ska införlivas i svensk rätt.

3.5.2Motverka brottslighet

Att bekämpa brottslighet i det finansiella systemet, såsom bedrägerier, penningtvätt och terrorismfinansiering är fortsatt en högt prioriterad fråga för regeringen. EU:s nya regelverk för att bekämpa penningtvätt och finansiering av terrorism kommer att införlivas i svensk rätt. EU:s nya penningtvättsdirektiv ska i huvudsak ha genomförts till juli 2027. Vid samma tidpunkt börjar EU:s penningtvättsförordning tillämpas. En av åtgärderna som följer med det nya regelverket är att det ställs ökade krav på att medlemsstaternas register över verkliga huvudmän och konto- och värdefackssystem. För utveckling av registret över verkliga huvudmän och föreslår regeringen ökade medel till Bolagsverket, se utgiftsområde 24 Näringsliv avsnitt 3.7.11. Inom EU pågår också uppbyggnaden av den nya EU-myndigheten för bekämpning av penningtvätt och finansiering av terrorism (Amla), som också kommer att förstärka penningtvättstillsynen.

Det krävs fortsatta insatser från de finansiella företagen för att motverka både betal- och investeringsbedrägerier, även om bedrägeribeloppen via betaltjänster har minskat något från höga nivåer. Regeringen kommer att ha en fortsatt dialog med såväl ansvariga finansiella företag som Finansinspektionen, för att följa upp arbetet mot bedrägerier. Förhandlingarna fortsätter om EU:s regelverk för betaltjänster, som innehåller flera nya inslag med syfte att bekämpa bedrägerier på betalningsmarknaden.

3.5.3Utveckla kapitalmarknader

En väl fungerade finansmarknad kan bidra till att stärka både Sveriges och EU:s konkurrenskraft. På finansmarknadsområdet kommer regeringen därför att fortsätta bjuda in till informella branschråd för att samla berörda aktörer och identifiera frågor som är viktiga för att stärka svensk konkurrenskraft och andra vitala intressen. För att stärka den svenska marknadens konkurrenskraft pågår nationellt arbete, bl.a. genom Fondmarknadsutredningen som syftar till att modernisera den svenska fondlag- stiftningen och se över hur den kan anpassas till marknadens behov (dir. 2023:163).

Europeiska finansmarknader ska fungera väl och vara konkurrenskraftiga. Den fortsatta utvecklingen av EU:s finansmarknader är en prioriterad fråga på EU-nivå och den nya kommissionen har som mål att skapa en sparande- och investeringsunion (SIU), där både bank- och kapitalmarknader ingår. Arbetet med att fördjupa den inre marknaden och ytterligare integrera EU:s kapitalmarknader handlar bl.a. om att ta bort hinder för gränsöverskridande verksamheter och att minska regelbördor och administrativa kostnader. Regeringen avser därför att fortsätta verka för att kapital- marknaderna utvecklas med en marknadsbaserad ansats som främjar konkurrens och öppenhet mot tredjeland.

Tillgång till information om aktörer på EU:s marknader bidrar till att ytterligare integrera finansiella tjänster inom EU och främja gränsöverskridande investeringar. En ny EU-förordning innebär att all information som lämnas ska ingå i en gemensam europeisk kontaktpunkt för finansiell och icke-finansiell information (Esap). Regeringen föreslår därför att Finansinspektionen tillförs medel.

Företagsobligationsmarknaden har en betydande roll för företagens finansiering. Det är därför av stor vikt att denna fungerar väl både normalt och i stressade marknads-

29

Prop. 2025/26:1 Utgiftsområde 2

situationer. Finansdepartementet har gett en utredare i uppdrag att analysera behovet av lagstiftningsåtgärder på företagsobligationsmarknaden, bl.a. när det gäller agenters roll och likabehandling av investerare. Syftet är såväl att skapa tydligare förutsättningar för investerare, emittenter och andra aktörer såväl som att ge staten bättre verktyg för att hantera marknadsstörningar.

3.5.4Motverka överskuldsättning och medverka till en hållbar utveckling

Överskuldsättning innebär stora kostnader för enskilda och är ett stort samhälls- problem. Åtgärder som har vidtagits för att motverka överskuldsättning, såsom införande av ränte- och kostnadstak samt krav på att vara bank eller kreditmarknads- institut för att få lämna och förmedla krediter till konsumenter, följs upp av nya åtgärder. Eftersom överskuldsättning är ett komplext problem behöver åtgärder vidtas inom olika områden. En del av problematiken är att det finns ett stort antal personer som har varit föremål för indrivning av skulder under lång tid men som trots det inte lyckas ta sig ur sin situation. En särskild utredare har därför fått i uppdrag att överväga åtgärder för att motverka överskuldsättning med fokus på evighetsgäldenärer

(dir. 2025:37), se vidare i utgiftsområde 18 Samhällsplanering, bostadsförsörjning och byggande samt konsumentpolitik avsnitt 4.

Finansiella företag har ansvar för att de tjänster och produkter de erbjuder passar konsumenters individuella behov och förutsättningar såväl som att de inte missbrukas, exempelvis för att begå bedrägerier. Konsumenter bör ha tillgång till produkter och tjänster till rimliga kostnader. I ett långsiktigt sparande urholkar höga avgifter värdet på sparandet. Ytterst handlar det om konsumenternas förtroende. Regeringen fortsätter därför att arbeta med sparandefrågor både på EU-nivå och nationellt, bl.a. med att se om redovisningen av kostnader kan förbättras för att stärka konkurrensen i olika led på sparandemarknaderna.

För att Sverige ska kunna uppnå sina mål inom hållbarhetsområdet, inklusive klimat- och miljömål, behöver de finansiella företagen aktivt medverka till en hållbar utveckling och omställningen fortsätta i den finansiella sektorn. De flesta regelverk som ingår i EU:s ramverk för hållbar finansiering har nu trätt i kraft. Under 2025 påbörjades en översyn av stora delar av regelverket på området i syfte att förenkla och därmed lätta den administrativa bördan för företagen. Sverige fortsätter att engagera sig i EU:s regelutveckling på området för att regelverket ska bli mer användarvänligt och effektivt, samtidigt som det fortsätter att uppfylla sitt syfte. Det är viktigt att verksamheter som ännu inte bedöms som gröna men har ambition att ställa om kan få tillgång till finansiering som underlättar omställningen. Det är även fortsatt viktigt att finansiella aktörer bidrar till att minska klimatpåverkan och beaktar klimat- förändringens effekter i sin verksamhet. De behöver bland annat fortsätta att hantera sina hållbarhetsrelaterade risker och bidra till att ta fram trovärdiga omställningsplaner för de företag de är exponerade mot.

3.6Budgetförslag

3.6.11:2 Finansinspektionens avgifter till EU:s tillsynsmyndigheter

Tabell 3.5 Anslagsutveckling 1:2 Finansinspektionens avgifter till EU:s tillsynsmyndigheter

Tusental kronor

2024

Utfall

24 253 Anslagssparande

957

 

 

 

 

30

Prop. 2025/26:1 Utgiftsområde 2

2025

Anslag

25 5501 Utgiftsprognos

26 133

2026

Förslag

33 050

 

 

 

 

 

2027

Beräknat

33 050

 

2028

Beräknat

33 050

 

 

 

 

 

1Inklusive beslut om ändringar i statens budget 2025 och förslag till ändringar i samband med denna proposition.

Ändamål

Anslaget får användas för utgifter för Finansinspektionens avgifter till EU:s tillsyns- myndigheter Europeiska bankmyndigheten, Europeiska försäkrings- och tjänste- pensionsmyndigheten samt Europeiska värdepappers- och marknadsmyndigheten.

Skälen för regeringens förslag

Tabell 3.5 Förändringar av anslagsnivån 2026–2028 för 1:2 Finansinspektionens avgifter till EU:s tillsynsmyndigheter

Tusental kronor

 

2026

2027

2028

Anvisat 20251

25 550

25 550

25 550

Beslutade, föreslagna och aviserade åtgärder

7 500

7 500

7 500

 

 

 

 

varav BP26

7 000

7 000

7 000

 

 

 

 

– Avgift till Europeiska bankmyndigheten (Eba)

7 000

7 000

7 000

 

 

 

 

Överföring till/från andra anslag

 

 

 

 

 

 

 

Övrigt

 

 

 

 

 

 

 

Förslag/beräknat anslag

33 050

33 050

33 050

 

 

 

 

1Statens budget enligt riksdagens beslut i december 2024 (bet. 2024/25:FiU10). Beloppet är således exklusive beslut om ändringar i statens budget.

För att ta över hela betalningsansvaret för Sveriges avgift till Europeiska bank- myndigheten (Eba) från Riksbanken och för att ta höjd för fluktuerande valutakurser ökas anslaget med 7 000 000 kronor fr.o.m. 2026.

Regeringen föreslår att 33 050 000 kronor anvisas under anslaget 1:2 Finansinspektionens avgifter till EU:s tillsynsmyndigheter för 2026. För 2027 och 2028 beräknas anslaget till

33 050 000 kronor per år.

3.6.21:10 Finansinspektionen

Tabell 3.6 Anslagsutveckling 1:10 Finansinspektionen

Tusental kronor

2024

Utfall

824 273

Anslagssparande

-10 847

 

 

 

 

 

2025

Anslag

846 5861

Utgiftsprognos

833 952

2026

Förslag

893 410

 

 

 

 

 

 

 

2027

Beräknat

929 8452

 

 

2028

Beräknat

949 2273

 

 

31

Prop. 2025/26:1 Utgiftsområde 2

1Inklusive beslut om ändringar i statens budget 2025 och förslag till ändringar i samband med denna proposition.

2Motsvarar 913 543 tkr i 2026 års prisnivå.

3Motsvarar 913 929 tkr i 2026 års prisnivå.

Ändamål

Anslaget får användas för Finansinspektionens förvaltningsutgifter och för Krigsförsäkringsnämndens verksamhet.

Skälen för regeringens förslag

Tabell 3.7 Förändringar av anslagsnivån 2026–2028 för 1:10 Finansinspektionen

Tusental kronor

 

2026

2027

2028

Anvisat 20251

846 586

846 586

846 586

Pris- och löneomräkning2

16 051

31 444

49 368

Beslutade, föreslagna och aviserade åtgärder

30 773

51 815

53 273

 

 

 

 

varav BP263

62 500

82 700

83 100

– Förstärkt tillsyn

49 000

49 000

49 000

 

 

 

 

– Teknisk utveckling

15 000

30 000

30 000

 

 

 

 

– Utökade befogenheter att ingripa enligt

 

 

 

säkerhetsskyddslagen

 

3 200

1 600

 

 

 

 

– Finansiering av Amla

-2 500

-2 500

-2 500

 

 

 

 

– Civilt försvar: sektorsansvarig beredskapsmyndighet

1 000

3 000

5 000

 

 

 

 

Överföring till/från andra anslag

 

 

 

 

 

 

 

Övrigt

 

 

 

 

 

 

 

Förslag/beräknat anslag

893 410

929 845

949 227

 

 

 

 

1Statens budget enligt riksdagens beslut i december 2024 (bet. 2024/25:FiU10). Beloppet är således exklusive beslut om ändringar i statens budget.

2Pris- och löneomräkningen baseras på anvisade medel 2025. Övriga förändringskomponenter redovisas i löpande priser och inkluderar därmed en pris- och löneomräkning. Pris- och löneomräkningen för 2027 och 2028 är preliminär.

3Exklusive pris- och löneomräkning.

För att förstärka tillsynen, bl.a. för att motverka den kriminella ekonomin genom exempelvis utvecklad penningtvättstillsyn, ökas anslaget med 49 000 000 kronor fr.o.m. 2026.

För att finansiera teknisk utveckling enligt kommande EU-regelverk ökas anslaget med 15 000 000 kronor 2026. Från och med 2027 beräknas anslaget öka med

30 000 000 kronor.

För att finansiera kostnader med anledning av kommande lagstiftningsförslag om utökade befogenheter att ingripa enligt säkerhetsskyddslagen (SOU 2025:42) beräknas anslaget öka med 3 200 000 kronor för 2027 och med 1 600 000 kronor för 2028.

För att finansiera den nya EU-myndigheten för bekämpning av penningtvätt och finansiering av terrorism (Amla) minskas anslaget med 2 500 000 kronor fr.o.m. 2026.

För att Finansinspektionen ska kunna fullgöra sitt ansvar inom det civila försvaret som beredskapsmyndighet och sektorsansvarig myndighet ökas anslaget med

1 000 000 kronor för 2026. För 2027 beräknas anslaget öka med 3 000 000 kronor och fr.o.m. 2028 beräknas anslaget öka med 5 000 000 kronor. Anslaget 2:4 Krisberedskap inom utgiftsområde 6 Försvar och samhällets krisberedskap minskas med motsvarande belopp.

32

Prop. 2025/26:1 Utgiftsområde 2

Regeringen föreslår att 893 410 000 kronor anvisas under anslaget

1:10 Finansinspektionen för 2026. För 2027 och 2028 beräknas anslaget till 929 845 000 kronor respektive 949 227 000 kronor.

Övrig kontokredit för statlig krigsförsäkring

Regeringens förslag

Regeringen bemyndigas att för 2026 besluta om en kredit i Riksgäldskontoret för att tillgodose Krigsförsäkringsnämndens behov av likviditet vid utbetalning av ersättning från försäkringar som har meddelats av nämnden som uppgår till högst

200 000 000 000 kronor.

Skälen för regeringens förslag

Krigsförsäkringsnämnden har i fredstid i uppdrag att ta fram och å statens vägnar ingå beredskapsavtal för statlig krigsförsäkring. Dessa avtal innebär ekonomiska åtaganden för staten eftersom staten åtar sig att vid en händelse av krig ta över vissa löpande försäkringar. Även Krigsförsäkringsnämndens verksamhet om Sverige är i krig eller befinner sig i krigsfara, bl.a. att meddela vissa typer av skadeförsäkringar på transportområdet, innebär ekonomiska åtaganden för staten. Krigsförsäkrings- nämnden har fortsatt arbetet med att ta fram nya beredskapsavtal. Utifrån vad som framkommit bör dessa åtaganden lämpligen tryggas med en kontokredit och inte, som hittills gällt, en garantiram. Försäkringsersättning ska i första hand utgå från inbetalda premier. I den mån inbetalda premier inte räcker till behövs en övrig kontokredit för att tillgodose ett tillfälligt likviditetsbehov så att försäkringsersättning kan betalas ut i enlighet med ingångna försäkringsavtal.

En övrig kontokredit för statlig krigsförsäkring bör omfatta dels ingångna beredskaps- avtal (krigsutbrottsavtal och återförsäkringsavtal), dels den försäkringsverksamhet som Krigsförsäkringsnämnden ska bedriva om Sverige är i krig eller befinner sig i krigsfara, bl.a. att meddela vissa skadeförsäkringar på transportområdet. Det maximala försäkringsvärdet för denna samlade verksamhet bedöms uppgå till 200 000 000 000 kronor. En övrig kontokredit för statlig krigsförsäkring föreslås som högst få uppgå till detta belopp.

Tabell 3.8 Övrig kontokredit för statlig krigsförsäkring

Tusental kronor

 

 

Beslutad

Maximalt

Beslutad

Begärd

Utgifts-

 

kreditram

nyttjande

kreditram

kreditram

område

Ändamål

20241

2024

20251

2026

2

Statlig krigsförsäkring

 

 

 

200 000 000

 

 

 

 

 

 

 

Summa

 

 

 

200 000 000

 

 

 

 

 

 

1Av riksdagen beslutad övrig kontokredit exklusive beslut om ändringar i statens budget.

Budget för avgiftsbelagd verksamhet

Tabell 3.9 Avgiftsfinansierad verksamhet vid Finansinspektionen

Tusental kronor

 

 

 

Verksam-

 

 

Ack.

 

Ack.

 

hetens

Kostnader

 

Resultat

 

resultat

Resultat

intäkter

som ska

Resultat

utgående

 

t.o.m. 2024

2025

2026

täckas 2026

2026

2026

Verksamhet där

 

 

 

 

 

 

intäkterna inte

 

 

 

 

 

 

disponeras

 

 

 

 

 

 

Offentligrättslig verksamhet

-18 202

18 202 1 250 600

900 500

350 100

0

 

 

 

 

 

 

 

33

Prop. 2025/26:1 Utgiftsområde 2

 

 

 

Verksam-

 

 

Ack.

 

Ack.

 

hetens

Kostnader

 

Resultat

 

resultat

Resultat

intäkter

som ska

Resultat

utgående

 

t.o.m. 2024

2025

2026

täckas 2026

2026

2026

 

 

 

 

 

 

 

varav årliga avgifter

-18 202

18 202

900 500

900 500

0

0

 

 

 

 

 

 

 

varav förseningsavgifter

 

 

 

 

 

 

och straffavgifter

 

 

350 100

 

350 100

 

 

 

 

 

 

 

 

Verksamhet där

 

 

 

 

 

 

intäkterna disponeras

 

 

 

 

 

 

 

 

 

 

 

 

 

Offentligrättslig verksamhet

-25 896

12 000

152 000

145 000

7 000

-6 896

 

 

 

 

 

 

 

varav tillståndsavgifter

 

 

 

 

 

 

(SFS 2001:911)

-25 896

12 000

152 000

145 000

7 000

-6 896

 

 

 

 

 

 

 

Verksamhet där

 

 

 

 

 

 

intäkterna disponeras

 

 

 

 

 

 

och redovisas mot anslag

 

 

 

 

 

 

Offentligrättslig verksamhet

0

0

1 300

1 300

0

0

 

 

 

 

 

 

 

varav Bokföringsnämnden

0

0

1 000

1 000

0

0

 

 

 

 

 

 

 

Uppdragsverksamhet

0

0

300

300

0

0

 

 

 

 

 

 

 

varav finansiella företags

 

 

 

 

 

 

uppgifter till

 

 

 

 

 

 

Riksgäldskontoret

0

0

300

300

0

0

Källa: Finansinspektionen.

Finansinspektionen tar i huvudsak ut två slag av avgifter, dels avgifter för tillstånd

m.m.som regleras i förordningen (2001:911) om avgifter för prövning av ärenden hos Finansinspektionen, dels avgifter för Finansinspektionens anslagsfinansierade verksamhet enligt förordningen (2007:1135) om årliga avgifter för finansiering av Finansinspektionens verksamhet. Avgifterna fastställs i syfte att uppnå full kostnads- täckning över tid. De årliga avgifterna har en konstruktion som innebär att en höjning av anslaget är saldoneutralt för den avgiftsfinansierade verksamheten, eftersom motsvarande belopp tas upp på inkomstsidan. I beloppen för intäkter till inkomsttitel ingår även straffavgifter som företagen under tillsyn betalar vid överträdelser.

3.6.31:11 Riksgäldskontoret

Tabell 3.10 Anslagsutveckling 1:11 Riksgäldskontoret

Tusental kronor

2024

Utfall

382 266

Anslagssparande

7 095

 

 

 

 

 

2025

Anslag

392 8781

Utgiftsprognos

394 233

2026

Förslag

400 432

 

 

 

 

 

 

 

2027

Beräknat

410 5152

 

 

2028

Beräknat

409 9293

 

 

1Inklusive beslut om ändringar i statens budget 2025 och förslag till ändringar i samband med denna proposition.

2Motsvarar 404 372 tkr i 2026 års prisnivå.

3Motsvarar 396 306 tkr i 2026 års prisnivå.

Ändamål

Anslaget får användas för Riksgäldskontorets förvaltningsutgifter.

34

Prop. 2025/26:1 Utgiftsområde 2

Skälen för regeringens förslag

Tabell 3.11 Förändringar av anslagsnivån 2026–2028 för 1:11 Riksgäldskontoret

Tusental kronor

 

2026

2027

2028

Anvisat 20251

392 878

392 878

392 878

Pris- och löneomräkning2

5 921

11 979

19 630

Beslutade, föreslagna och aviserade åtgärder

1 633

5 658

-2 579

 

 

 

 

varav BP263

11 500

13 500

3 500

– Finansiering av Amla

-2 500

-2 500

-2 500

 

 

 

 

– Civilt försvar: beredskapsmyndighet

10 000

10 000

 

 

 

 

 

– Paket: Genomförande av kärnkraftsprövningsutredningens

 

 

 

förslag

4 000

6 000

6 000

 

 

 

 

Överföring till/från andra anslag

 

 

 

 

 

 

 

Övrigt

 

 

 

 

 

 

 

Förslag/beräknat anslag

400 432

410 515

409 929

1Statens budget enligt riksdagens beslut i december 2024 (bet. 2024/25:FiU10). Beloppet är således exklusive beslut om ändringar i statens budget.

2Pris- och löneomräkningen baseras på anvisade medel 2025. Övriga förändringskomponenter redovisas i löpande priser och inkluderar därmed en pris- och löneomräkning. Pris- och löneomräkningen för 2027 och 2028 är preliminär.

3Exklusive pris- och löneomräkning.

För att finansiera den nya EU-myndigheten för bekämpning av penningtvätt och finansiering av terrorism (Amla) minskas anslaget med 2 500 000 kronor fr.o.m. 2026.

För att Riksgäldskontoret ska kunna fullgöra sitt ansvar inom det civila försvaret som beredskapsmyndighet ökas anslaget med 10 000 000 kronor för 2026. För 2027 beräknas anslaget öka med motsvarande belopp.

Anslaget ökas med 4 000 000 kronor för 2026 för nya uppgifter att bistå Strålsäkerhetsmyndigheten vad gäller granskning av den sökandes finansiella förutsättningar vid ansökningar av nya kärntekniska anläggningar, vilket föreslås i betänkandet Ny kärnkraft i Sverige – effektivare tillståndsprövning och ändamålsenliga avgifter (SOU 2025:7) (se vidare utg.omr. 6 avsnitt 6.4). Anslaget beräknas öka med 6 000 000 kronor fr.o.m. 2027.

Regeringen föreslår att 400 432 000 kronor anvisas under anslaget

1:11 Riksgäldskontoret för 2026. För 2027 och 2028 beräknas anslaget till 410 515 000 kronor respektive 409 929 000 kronor.

Ramar till stabilitetsfonden

Regeringens förslag

Regeringen bemyndigas att för 2026 för stabilitetsfonden besluta om en kreditram på högst 50 000 000 000 kronor och en garantiram på högst 750 000 000 000 kronor.

Skälen för regeringens förslag

I samband med genomförandet i svensk rätt av EU:s krishanteringsdirektiv, som framför allt avser banker, ändrades reglerna för stabilitetsfonden. I samband med detta beslutades att riksdagen årligen ska fastställa kredit- och garantiramar för stabilitetsfonden. För ytterligare bakgrundsinformation om stabilitetsfonden, se budgetpropositionen för 2017 (prop. 2016/17:1 utg.omr. 2 avsnitt 3.6.3). Från och med den 12 augusti 2022 kan stabilitetsfonden även användas för finansiering av krishantering av centrala motparter (prop. 2021/22:169 s. 94–97 och 100–101).

35

Prop. 2025/26:1 Utgiftsområde 2

Stabilitetsfonden kan komma att användas för att finansiera åtgärder enligt lagen (2015:1017) om förebyggande statligt stöd till kreditinstitut och om stabilitetsfonden, EU:s förordning om återhämtning och resolution av centrala motparter och lagen (2022:739) med kompletterande bestämmelser till EU:s förordning om återhämtning och resolution av centrala motparter. Åtgärderna innefattar kapital- eller likviditetsstöd till livskraftiga banker och centrala motparter. Stabilitetsfonden är ett konto i Riksgäldskontoret. Stabilitetsfondens behållning uppgick vid utgången av 2024 till ca 43 miljarder kronor. Regeringen bedömer att medlen utgör en betydande resurs för att vidta eventuella krisinsatser, dvs. förebyggande statligt stöd till banker och centrala motparter, statligt stöd under resolution till centrala motparter eller användning av statliga stabiliseringsverktyg i fråga om banker och centrala motparter. Stabilitetsfonden kan också komma att användas till att betala ut kompensation till en central motparts aktieägare, clearingmedlemmar och andra borgenärer i de fall dessa har fått ett sämre ekonomiskt utfall vid resolution än vid konkurs eller likvidation. Fonden kan med regeringens godkännande även komma att användas till finansiering av resolutionsåtgärder eller likvärdiga åtgärder som gäller en central motpart i utlandet. Det program som inrättades vid finanskrisen 2008 hade ett fastställt belopp om högst 50 miljarder kronor, vilket var det sammanlagda kapitaltillskott som staten kunde medge. Samma belopp utgör för närvarande utgångspunkt för stabilitetsfondens lånemöjligheter och föreslås gälla även för 2026. Beloppet bedöms även kunna täcka eventuella lånebehov i fråga om centrala motparter. I dag finns det endast en central motpart i Sverige – Nasdaq Clearing Aktiebolag.

Garantiramen för stabilitetsfonden bör bestämmas utifrån det faktum att i första hand generella stödåtgärder i form av garantiprogram till samtliga banker kan komma att bli aktuella vid en allvarlig störning i det finansiella systemet. Garantiramen för stabilitets- fonden bör vara på ett högre belopp än den ram som gäller för resolutionsreserven, eftersom det här blir fråga om generella stödåtgärder till samtliga banker. Den ram som fanns i garantiförordningen från 2008 uppgick inledningsvis till 1 500 miljarder kronor och var baserad på de svenska bankernas upplåning under en viss period. Det beslutades 2010 att sänka ramen till 750 miljarder kronor även om utnyttjandet aldrig var över 400 miljarder kronor. Samma belopp utgör för närvarande ramen för stabilitetsfondens möjlighet att medge garantier och föreslås även gälla för 2026. Beloppet bedöms även kunna täcka eventuella behov av att ställa ut garantier i fråga om centrala motparter.

Tabell 3.12 Övrig kontokredit för stabilitetsfonden

Tusental kronor

 

 

Beslutad

Maximalt

Beslutad

Begärd

Utgifts-

 

kreditram

nyttjande

kreditram

kreditram

område

Ändamål

20241

2024

20251

2026

2

Stabilitetsfonden

50 000 000

1572

50 000 000

50 000 000

 

Summa

50 000 000

157

50 000 000

50 000 000

 

 

 

 

 

 

1Av riksdagen beslutad övrig kontokredit exklusive beslut om ändringar i statens budget.

2Den nyttjade kontokrediten för 2024 beror till största delen på att räntekontot för stabilitetsfonden inte hade täckning för en enskild månad under året.

Tabell 3.13 Garantiram för stabilitetsfonden

Tusental kronor.

 

 

Beslutade

Utfärdade

Beslutade

Begärda

Utgifts-

 

garantiramar

garantier

garantiramar

garantiramar

område

Ändamål

20241

2024-12-31

20251

2026

2

Stabilitetsfonden garantiram

750 000 000

 

750 000 000

750 000 000

 

 

 

 

 

 

 

Summa

750 000 000

 

750 000 000

750 000 000

 

 

 

 

 

 

1Ramar för 2024 och 2025 redovisas exklusive beslutade och föreslagna ändringar som lämnats i propositioner om ändringar i statens budget.

36

Prop. 2025/26:1 Utgiftsområde 2

Ramar till resolutionsreserven

Regeringens förslag

Regeringen bemyndigas att för 2026 för resolutionsreserven besluta om en kreditram på högst 100 000 000 000 kronor och en garantiram på högst 200 000 000 000 kronor.

Skälen för regeringens förslag

I samband med genomförandet i svensk rätt av EU:s krishanteringsdirektiv, som framför allt avser banker, inrättades en ny fond för finansiering av krishanteringsåtgärder, resolutionsreserven. I samband med inrättandet beslutades att riksdagen årligen ska fastställa kredit- och garantiramar för resolutionsreserven. För ytterligare bakgrundsinformation om resolutionsreserven, se budgetpropositionen för 2017 (prop. 2016/17:1 utg.omr. 2 avsnitt 3.6.3).

Resolutionsreserven kan komma att användas för att finansiera åtgärder inom ramen för ett resolutionsförfarande i fråga om banker, vilket innefattar åtgärder för att stötta rekonstruktion av systemviktiga banker som i utgångsläget inte bedöms som livskraftiga. Resolutionsreserven uppgick vid utgången av 2024 till ca 68 miljarder kronor. När det gäller resolutionsreservens kreditram bör den främst bli aktuell i fråga om olika återkapitaliseringsåtgärder efter det att nedskrivning av vissa av företagets skulder skett. Därutöver kan resolutionsreservens kreditram komma att användas till att betala ut kompensation till företagets ägare och borgenärer i de fall dessa fått ett sämre ekonomiskt utfall vid resolution än vid konkurs eller likvidation. Kreditramen, som för närvarande uppgår till 100 miljarder kronor, motiveras därför av att den bör ha åtminstone samma förmåga till återkapitaliseringsåtgärder som kreditramen till stabilitetsfonden, dvs. 50 miljarder kronor, samt dessutom innehålla utrymme för att hantera eventuella kompensationsfall. Kreditramen på 100 miljarder kronor föreslås därför även gälla under 2026.

Garantiramen för resolutionsreserven kan användas om banker i resolution initialt behöver stöd för sin finansiering (likviditet). Garantier kan ges till banken själv eller till Riksbanken. Att uppskatta likviditetsbehov i en krissituation är svårt, men bedöm- ningen är att likviditetsstöd till flera av Sveriges storbanker skulle behöva uppgå till minst 100 miljarder kronor. Det kan finnas en negativ signaleffekt i att under ett kris- förlopp behöva justera garantiramen. Därför föreslår regeringen att garantiramen för resolutionsreserven även under 2026 sätts till 200 miljarder kronor.

Tabell 3.14 Övrig kontokredit för resolutionsreserven

Tusental kronor

 

 

Beslutad

Maximalt

Beslutad

Begärd

Utgifts-

 

kreditram

nyttjande

kreditram

kreditram

område

Ändamål

20241

2024

20251

2026

2

Resolutionsreserven

100 000 000

 

100 000 000

100 000 000

 

 

 

 

 

 

 

Summa

100 000 000

 

100 000 000

100 000 000

1Av riksdagen beslutad övrig kontokredit exklusive beslut om ändringar i statens budget.

Tabell 3.15 Garantiram för resolutionsreserven

Tusental kronor.

 

 

Beslutade

Utfärdade

Beslutade

Begärda

Utgifts-

 

garantiramar

garantier

garantiramar

garantiramar

område

Ändamål

20241

2024-12-31

20251

2026

2

Resolutionsreserven garantiram

200 000 000

 

200 000 000

200 000 000

 

 

 

 

 

 

 

Summa

200 000 000

 

200 000 000

200 000 000

 

 

 

 

 

 

1Ramar för 2024 och 2025 redovisas exklusive beslutade och föreslagna ändringar som lämnats i propositioner om ändringar i statens budget.

37

Prop. 2025/26:1 Utgiftsområde 2

Budget för avgiftsbelagd verksamhet

Tabell 3.16 Avgiftsfinansierad verksamhet vid Riksgäldskontoret

Tusental kronor

 

 

 

Verksam-

Kostnader

 

Ack.

 

 

 

hetens

som ska

 

resultat

 

Ack. resultat

Resultat

intäkter

täckas

Resultat

utgående

Verksamhet

t.o.m. 2024

2025

2026

2026

2026

2026

 

 

 

 

 

 

Verksamheter där intäkterna inte disponeras

 

 

 

 

 

 

 

 

 

 

 

 

Offentligrättslig verksamhet

-19 764

-2 190

29 143

-29 700

-557

-22 511

 

 

 

 

 

 

 

varav insättningsgaranti och

 

 

 

 

 

 

investerarskydd

-21 053

-1 984

23 038

-23 300

-262

-23 299

 

 

 

 

 

 

 

varav prövning och tillsyn över

 

 

 

 

 

 

ansvar och ersättning vid

 

 

 

 

 

 

radiologiska olyckor

1 289

-206

6 105

-6 400

-295

788

 

 

 

 

 

 

Verksamheter där intäkterna disponeras

 

 

 

 

 

 

 

 

 

 

 

 

Offentligrättslig verksamhet

20 485

-1 300

12 800

-25 400

-12 600

6 585

 

 

 

 

 

 

 

varav prövning av ansökningar

 

 

 

 

 

 

om tillstånd att reducera

 

 

 

 

 

 

kvalificerade skuldinstrument

0

0

500

-500

0

0

 

 

 

 

 

 

 

varav garanti- och

 

 

 

 

 

 

utlåningsverksamhet,

 

 

 

 

 

 

administration

20 485

-1 300

12 300

-24 900

-12 600

6 585

 

 

 

 

 

 

 

Anm.: Prognostiserade värden för intäkter består av löpande avgiftsintäkter. Tabellen redovisar värden utifrån de objekt som fanns i garantiportföljen per 2025-06-30 – vilka kan variera stort mellan åren p.g.a. oförutsägbara ändringar i omvärlden.

Källa: Riksgäldskontoret.

Garanti- och utlåningsverksamhet

Avgifter tas ut för verksamheterna inom områdena garantier och utlåning, bankstöd, för prövning av ansökningar om tillstånd att reducera kvalificerade skuldinstrument, insättningsgaranti och investerarskydd samt för prövning av och tillsyn över ansvar och ersättning vid radiologiska olyckor. De riskavspeglande garanti- och kreditavgifterna finansieras av garanti- respektive låntagarna eller genom anslag via statens budget. I enlighet med budgetlagen (2011:203) ska ränta eller avgift tas ut motsvarande statens förväntade kostnad för lånet eller åtagandet, om inte riksdagen för ett visst lån eller åtagande beslutat annat. Vidare föreskrivs att om lån- eller garantitagaren ska betala en ränta eller avgift som inte täcker kostnaderna, ska regeringen föreslå riksdagen hur mellanskillnaden ska finansieras. Dessa avgifter, samt återvinningar från tidigare infrianden, placeras på räntebärande konton hos Riksgäldskontoret och ska finansiera eventuella infrianden i myndighetens garanti- och kreditverksamhet. De administrativa avgifter som tas ut disponeras av Riksgäldskontoret för att täcka de administrativa kostnaderna i verksamheten. Målet är att avgifterna ska täcka infrianden och administrationskostnaderna sett över en längre tid. Modellen ska vara finansiellt självbärande och tydligt visa vad kostnaderna för statens garanti- och kreditgivning uppgår till.

Prövning av ansökningar om tillstånd att reducera kvalificerade skuldinstrument

Vid en kris kan ett finansiellt företag försättas i resolution i stället för i likvidation eller konkurs och det är ägarna och borgenärerna, inte skattebetalarna, som ska bära förlusterna i ett sådant företag. Det sker i huvudsak genom att kapital och skulder får skrivas ned eller konverteras i resolution. Nedskrivning eller konvertering av skulder får också ske utanför resolution. För att det ska finnas kapital och skulder att skriva ned eller konvertera ska företagen uppfylla ett krav på kapitalbas och kvalificerade skulder. Av EU:s tillsynsförordning följer att Riksgäldskontoret, i egenskap av

38

Prop. 2025/26:1 Utgiftsområde 2

resolutionsmyndighet, ska hantera ansökningar om tillstånd för återköp m.m. av kvalificerade skuldinstrument. Riksgäldskontoret får ta ut avgifter för prövningen av sådana ansökningar (se lagen [2015:1016] om resolution). Avgifterna disponeras av myndigheten.

Insättningsgaranti och investerarskydd

Verksamheten insättningsgaranti och investerarskydd finansieras genom Riksgälds- kontorets förvaltningsanslag. Administrationskostnaden för denna verksamhet avräknas från efterföljande årsavgifter och redovisas mot inkomsttitel 2552 Övriga offentligrättsliga avgifter. Resterande avgifter placeras på räntebärande konto i Riksgälds- kontoret eller i skuldförbindelser utfärdade av staten. Avgifter för insättningsgaranti och investerarskydd betalas av de institut, bolag och AIF-förvaltare som är anslutna till garantin respektive skyddet.

Prövning och tillsyn över ansvar och ersättning vid radiologiska olyckor

Riksgäldskontoret har uppgifter inom prövning av och tillsyn över ansvar och ersättning vid radiologiska olyckor. Riksgäldskontoret får ta ut avgifter när det gäller prövning av och tillsyn över ansvar och ersättning vid radiologiska olyckor.

3.6.41:13 Vissa garanti- och medlemsavgifter

Tabell 3.17 Anslagsutveckling 1:13 Vissa garanti- och medlemsavgifter

Tusental kronor

2024

Utfall

234 578

Anslagssparande

-10 363

 

 

 

 

 

2025

Anslag

398 1221

Utgiftsprognos

406 953

2026

Förslag

264 626

 

 

2027

Beräknat

167 619

 

 

 

 

 

 

 

2028

Beräknat

167 619

 

 

 

 

 

 

 

1Inklusive beslut om ändringar i statens budget för 2025 och förslag till ändringar i samband med denna proposition.

Ändamål

Anslaget får användas för utgifter för Sveriges årliga medlemsavgifter, avgifter eller statsbidrag till Bruegel, European Institute of Public Administration (EIPA) samt Europarådets utvecklingsbank (CEB).

Anslaget får även användas för utgifter för infrianden av garantier till vissa internationella finansieringsinstrument.

Anslaget får även användas för infrianden av statens åtaganden i enlighet med avtalen om Europeiska investeringsbankens garantifond för stöd till i första hand företag i ekonomiska svårigheter orsakade av utbrottet av covid-19 och avtalet med Europeiska kommissionen om en garanti för ett europeiskt instrument för tillfälligt stöd för att minska risken för arbetslöshet i en krissituation till följd av utbrottet av covid-19 (SURE).

Anslaget får även användas för kapitalhöjningar i Europeiska banken för återuppbyggnad och utveckling (EBRD) till den del som inte utgör bistånd.

39

Prop. 2025/26:1 Utgiftsområde 2

Skälen för regeringens förslag

Tabell 3.18 Förändring av anslagsnivån 2026–2028 för 1:13 Vissa garanti- och medlemsavgifter

Tusental kronor

 

2026

2027

2028

Anvisat 20251

170 458

170 458

170 458

Beslutade, föreslagna och aviserade åtgärder

94 168

-2 839

-2 839

 

 

 

 

varav BP26

95 800

 

 

 

 

 

 

– För att täcka garantiinfrianden för EIB:s EGF

95 800

 

 

 

 

 

 

Överföring till/från andra anslag

 

 

 

 

 

 

 

Övrigt

 

 

 

Förslag/beräknat anslag

264 626

167 619

167 619

 

 

 

 

1Statens budget enligt riksdagens beslut i december 2024 (bet. 2024/25:FiU10). Beloppet är således exklusive beslut om ändringar i statens budget.

Budgetförslaget baseras på antagandet om oförändrade eller svagt nominellt ökande utgifter för Bruegel, EIPA och CEB, motsvarande 146 000 euro, 55 000 euro respektive 31 550 euro 2026–2028.

Inga medel beräknas behövas för infrianden av garantier som är del av ägarkapitalet i de internationella finansiella institutioner som behandlas i detta avsnitt.

För att täcka garantiinfrianden av statens åtaganden i enlighet med avtalen om EIB:s garantifond för stöd till i första hand företag i ekonomiska svårigheter orsakade av utbrottet av covid-19 (EGF) ökas anslaget med 95 800 000 kronor för 2026.

Vad gäller de garantiprogram som inte hanteras inom ramen för den statliga garantimodellen beräknas inga utgifter för 2026–2028 för infrianden av statens åtaganden i enlighet med avtalen för SURE.

Regeringen föreslår att 264 626 000 kronor anvisas under anslaget 1:13 Vissa garanti- och medlemsavgifter för 2026. För 2027 och 2028 beräknas anslaget till 167 619 000 kronor per år.

3.6.51:15 Finansmarknadsforskning

Tabell 3.19 Anslagsutveckling 1:15 Finansmarknadsforskning

Tusental kronor

2024

Utfall

55 567

Anslagssparande

3 786

2025

Anslag

30 7531

Utgiftsprognos

30 753

2026

Förslag

33 353

 

 

 

 

 

 

 

2027

Beräknat

35 353

 

 

2028

Beräknat

35 353

 

 

 

 

 

 

 

1Inklusive beslut om ändringar i statens budget 2025 och förslag till ändringar i samband med denna proposition.

Ändamål

Anslaget får användas för utgifter för finansmarknadsforskning och högst 2 procent av anslaget får användas för programanknutna förvaltningsutgifter.

40

Prop. 2025/26:1 Utgiftsområde 2

Skälen för regeringens förslag

Tabell 3.20 Förändringar av anslagsnivån 2026–2028 för

1:15 Finansmarknadsforskning

Tusental kronor

 

2026

2027

2028

Anvisat 20251

30 753

30 753

30 753

Beslutade, föreslagna och aviserade åtgärder

2 600

4 600

4 600

 

 

 

 

Överföring till/från andra anslag

 

 

 

 

 

 

 

Övrigt

 

 

 

 

 

 

 

Förslag/beräknat anslag

33 353

35 353

35 353

 

 

 

 

1Statens budget enligt riksdagens beslut i december 2024 (bet. 2024/25:FiU10). Beloppet är således exklusive beslut om ändringar i statens budget.

Regeringen föreslår att 33 353 000 kronor anvisas under anslaget 1:15 Finansmarknads- forskning för 2026. För 2027 och 2028 beräknas anslaget till 35 353 000 kronor per år.

41

Prop. 2025/26:1 Utgiftsområde 2

4Statlig förvaltningspolitik, statliga arbetsgivarfrågor och Agenda 2030

4.1Mål för området

Målet för den statliga förvaltningspolitiken är en innovativ och samverkande stats- förvaltning som är rättssäker och effektiv, har väl utvecklad kvalitet, service och tillgänglighet, och som därigenom bidrar till Sveriges utveckling och ett effektivt EU- arbete (prop. 2009/10:175, bet. 2009/10:FiU38, rskr. 2009/10:315).

Arbetsgivarpolitiken är en del av förvaltningspolitiken. Regeringens mål för arbets- givarfrågor är en samordnad statlig arbetsgivarpolitik som säkerställer att myndig- heterna har kompetens för att fullgöra sina uppgifter. Detta mål utgår från den långtgående delegeringen av arbetsgivarpolitiken i staten som utgör en viktig komponent i regeringens styrning av statsförvaltningen och beslutades av riksdagen 1994 (prop. 1993/94:77, bet. 1993/94:KU19, rskr. 1993/94:264, bet. 1994/95:KU3, rskr. 1994/95:7 och 8). Regeringen har satt upp följande delmål för de statliga arbetsgivarna:

Den statliga sektorn ska totalt sett inte vara löneledande.

En jämn könsfördelning på ledande befattningar i staten ska eftersträvas.

Löneskillnaderna mellan kvinnor och män i staten ska minska.

Andelen anställda i staten med utländsk bakgrund ska öka på alla nivåer.

Arbetsmiljön i staten ska vara god.

De statsanställda ska ha kunskap om och förståelse för grundläggande värden i statsförvaltningen och rollen som statsanställd.

Målet för Sveriges genomförande av Agenda 2030 är att Sverige ska genomföra Agenda 2030 för en ekonomiskt, socialt och miljömässigt hållbar utveckling genom en samstämmig politik nationellt och internationellt. Genomförandet ska präglas av agendans princip att ingen ska lämnas utanför (prop. 2019/20:188, bet. 2020/21:FiU28, rskr. 2020/21:154).

4.2Resultatindikatorer och andra bedömningsgrunder

Följande indikatorer används för att redovisa resultaten inom området statlig förvaltningspolitik:

allmänhetens förtroende för bl.a. regeringen, enligt redovisningen i OECD Trust Survey 2024, och

organisationen Transparency Internationals jämförelse av världens länder avseende korruption i den offentliga sektorn.

De indikatorer som används för att analysera statsförvaltningen i ett internationellt perspektiv presenteras med olika intervaller. Resultaten redovisas utifrån redo- visningen i OECD Trust Survey 2024 eftersom denna innehåller de mest aktuella uppgifterna. OECD Trust Survey publiceras nästa gång 2026. I resultatredovisningen beaktas också särskilda åtgärder som vidtagits på området och den generella

43

Prop. 2025/26:1 Utgiftsområde 2

utvecklingen i statsförvaltningen. Statsförvaltningens resultat inom enskilda områden redovisas inom respektive utgiftsområde. Vissa övergripande frågor om relationen mellan stat och kommun redovisas inom utgiftsområde 25 Allmänna bidrag till kommuner.

För att följa upp utvecklingen inom delområdet statliga arbetsgivarfrågor i förhållande till regeringens mål och delmål används i huvudsak följande indikatorer:

kompetensförsörjningsläget i staten

utvecklingen av genomsnittliga löner i olika sektorer på arbetsmarknaden

andelen kvinnor och män på ledande befattningar i staten

löneskillnaden mellan kvinnor och män i staten

andelen anställda med utländsk bakgrund på olika nivåer i staten

den genomsnittliga sjukfrånvaron i staten

utvecklingen av nybeviljad sjukersättning och aktivitetsersättning för anställda i staten

utvecklingen av antalet anmälningar enligt det statliga personskadeavtalet (PSA)

arbetsmiljöundersökningar (genomförs vartannat år).

I bilagan till utgiftsområdet ges en övergripande redovisning av personalstrukturen

m.m.inom staten och kompletterande information om uppföljningen av regeringens delmål för de statliga arbetsgivarna.

I regeringens skrivelse till riksdagen om Sveriges genomförande av Agenda 2030 från 2024 (skr. 2024/25:66) redovisas det nationella genomförandet av Agenda 2030.

4.3Resultatredovisning

4.3.1Statlig förvaltningspolitik

Uppföljning av det förvaltningspolitiska målet

Redovisningen av den statliga förvaltningspolitiken omfattar dels mått för stats- förvaltningens utveckling och resultat som helhet, dels mått som beskriver hur regeringens insatser inom utgiftsområdet har bidragit till att det förvaltningspolitiska målet har uppnåtts.

Statskontoret har, på regeringens uppdrag, redovisat förslag på indikatorer för att följa upp det förvaltningspolitiska målet (Fi2021/03576). Förslagen kommer att beredas vidare inom Regeringskansliet. Den fortsatta beredningen sker tillsammans med beredningen av de organisatoriska förändringarna inom utgiftsområdet. Regeringen avser att ta fram kompletterande indikatorer som är hållbara över tid och som redovisar resultat gentemot flera delar av målet för den statliga förvaltningspolitiken.

Fokus på motståndskraft mot korruption och en effektiv och ändamålsenligt organiserad statsförvaltning

Allmänhetens förtroende för förvaltningen

Rapporten OECD Trust Survey bygger på en undersökning av allmänhetens förtroende för offentliga institutioner i 30 av OECD:s medlemsländer under 2023. Undersökningen har tidigare genomförts vid ett tillfälle, 2021. Enligt rapporten har drygt 40 procent av de tillfrågade hög eller mycket hög tillit till den statliga förvaltningen i Sverige. Resultatet är något högre än 2021, men lägre än i t.ex. Danmark, Finland och Norge. Av rapporten framgår att ca 40 procent av de tillfrågade anser att det är troligt att en offentligt anställd skulle vägra att ta emot en muta. Resultatet är något lägre än 2021, och är fortsatt lägre än i övriga nordiska länder.

44

Prop. 2025/26:1 Utgiftsområde 2

Transparency International tar fram Corruption Perception Index, som är ett sammansatt index som mäter uppfattningar om korruption i den offentliga sektorn. Ett högt indextal visar på en låg upplevd korruption. Sveriges index uppvisar en fortsatt fallande trend (se diagram 4.1). År 2024 sjönk Sveriges index jämfört med 2023. Sverige placerade sig på en åttondeplats, vilket kan jämföras med en sjätteplats 2023.

Diagram 4.1 Index och Sveriges placering enligt Corruption Perception Index

Index

 

 

 

 

 

 

 

 

 

 

 

 

 

 

 

 

 

 

 

 

 

 

 

 

 

Placering

100

 

 

 

 

 

 

 

 

 

 

 

 

 

 

 

 

 

 

 

 

 

 

 

 

 

 

 

 

 

1

 

 

 

 

 

 

 

 

 

 

 

 

 

 

 

 

 

 

 

 

 

 

 

 

 

 

 

 

 

 

 

 

 

 

 

 

 

 

 

 

 

 

 

 

 

 

 

 

 

 

 

 

 

 

 

 

 

 

 

2

95

 

 

 

 

 

 

 

 

 

 

 

 

 

 

 

 

 

 

 

 

 

 

 

 

 

 

 

 

 

3

 

 

 

 

 

 

 

 

 

 

 

 

 

 

 

 

 

 

 

 

 

 

 

 

 

 

 

 

 

 

90

 

 

 

 

 

 

 

 

 

 

 

 

 

 

 

 

 

 

 

 

 

 

 

 

 

 

 

 

 

4

 

 

 

 

 

 

 

 

 

 

 

 

 

 

 

 

 

 

 

 

 

 

 

 

 

 

 

 

 

 

85

 

 

 

 

 

 

 

 

 

 

 

 

 

 

 

 

 

 

 

 

 

 

 

 

 

 

 

 

 

5

 

 

 

 

 

 

 

 

 

 

 

 

 

 

 

 

 

 

 

 

 

 

 

 

 

 

 

 

 

 

 

 

 

 

 

 

 

 

 

 

 

 

 

 

 

 

 

 

 

 

 

 

 

 

 

 

 

 

6

 

 

 

 

 

 

 

 

 

 

 

 

 

 

 

 

 

 

 

 

 

 

 

 

 

 

 

 

 

80

 

 

 

 

 

 

 

 

 

 

 

 

 

 

 

 

 

 

 

 

 

 

 

 

 

 

 

 

 

7

 

 

 

 

 

 

 

 

 

 

 

 

 

 

 

 

 

 

 

 

 

 

 

 

 

 

 

 

 

 

 

 

 

 

 

 

 

 

 

 

 

 

 

 

 

 

 

 

 

 

 

 

 

 

 

 

 

 

 

 

 

 

 

 

 

 

 

 

 

 

 

 

 

 

 

 

 

 

 

 

 

 

 

 

 

 

 

8

 

 

 

 

 

 

 

 

 

 

 

 

 

 

 

 

 

 

 

 

 

 

 

 

 

 

 

 

 

 

 

 

 

 

 

 

 

 

 

 

 

 

 

 

 

 

 

 

 

 

 

 

 

 

 

 

 

 

 

75

 

 

 

 

 

 

 

 

 

 

 

 

 

 

 

 

 

 

 

 

 

 

 

 

 

 

 

 

 

9

 

 

 

 

 

 

 

 

 

 

 

 

 

 

 

 

 

 

 

 

 

 

 

 

 

 

 

 

 

12

13

14

15

16

17

18

19

20

21

 

22

23

24

 

 

 

 

 

 

 

 

 

 

 

 

Index

 

 

 

 

 

 

 

 

 

Placering

 

 

 

 

 

 

 

 

 

 

 

 

 

 

 

 

 

 

 

 

 

 

 

 

 

 

 

 

 

 

 

 

 

 

 

 

 

 

 

 

 

 

 

 

 

 

 

 

 

 

 

 

 

 

 

 

 

 

 

Källa: Transparency International, Corruption Perception Index 2024.

 

 

 

 

 

 

 

 

 

 

 

 

 

Regeringen stärker motståndskraften mot korruption och otillåten påverkan

Mot bakgrund av bl.a. den uppföljning som Statskontoret har gjort av arbetet mot korruption kan konstateras att mycket är välfungerande i myndigheternas arbete mot korruption, men att flera utmaningar kvarstår (Statskontoret 2023:20). Samtidigt har nya hot kopplade till organiserad brottslighet och otillåten påverkan växt fram som ställer nya krav på det förebyggande arbetet.

Under 2024 fortsatte arbetet med att främja en god förvaltningskultur och motverka korruption och otillåten påverkan, bl.a. inom ramen för en ny handlingsplan mot korruption och otillåten påverkan 2024–2027. Åtgärderna i handlingsplanen riktar sig till hela den offentliga förvaltningen och syftar till att möta bredden i de utmaningar som finns när det gäller korruption och otillåten påverkan. Handlingsplanen innehåller åtgärder inom följande områden: fortsatt utvecklad samverkan mellan myndigheter med expertis på området och fortsatt utvecklad uppföljning av myndigheternas arbete mot korruption och otillåten påverkan; en ändamålsenlig straffrättslig lagstiftning; ökad transparens när det finns risk för intressekonflikter; effektiva åtgärder mot otillåten påverkan; en god förvaltningskultur och stärkt korruptionsbekämpning i statliga myndigheter; stärkta förutsättningar för korruptionsbekämpning i kommuner och regioner samt effektiva verktyg för att motverka korruption i samband med offentliga inköp.

Handlingsplanen mot korruption och otillåten påverkan var en av de åtgärder som lyftes fram av Europarådets antikorruptionsorgan Greco i samband med att en utvärdering av Sveriges arbete mot korruption avslutades i mars 2025. Utvärderingen riktades mot den högsta verkställande politiska nivån och Polismyndigheten och kunde avslutas efter att tillräckligt många av Grecos rekommendationer bedömdes ha uppfyllts.

45

Prop. 2025/26:1 Utgiftsområde 2

OECD ska utvärdera handlingsplanen mot korruption och otillåten påverkan inom ramen för en s.k. Integrity Review. OECD:s utvärdering planeras publiceras under hösten 2025.

Regeringen omprövar statlig verksamhet och har vidtagit åtgärder för en ändamålsenligt organiserad förvaltning

Statskontoret redovisar årligen översiktliga uppgifter om den statliga myndighets- strukturen i rapporten Statsförvaltningen i korthet. Av den senaste redovisningen framgår att det den 1 januari 2025 fanns 367 myndigheter under regeringen. Antalet myndigheter är detsamma som 1 januari 2024. Bland dessa finns en betydande variation avseende både uppgifter och storlek. Av de 367 myndigheterna är t.ex.

82 olika typer av domstolar och 31 universitet och högskolor. Myndigheterna under regeringen har i nuläget 262 000 årsarbetskrafter. Diagram 4.2 visar hur myndig- heternas storlek sett till antal årsarbetskrafter varierar.

Diagram 4.2 Antal myndigheter under regeringen indelade efter antal årsarbetskrafter 2025

160

149

 

 

 

 

 

 

 

 

 

 

 

 

 

 

 

 

 

 

 

 

 

 

 

 

 

 

 

 

 

 

140

 

 

 

 

 

 

 

 

 

 

 

 

 

 

 

 

 

 

 

 

 

 

 

 

 

 

 

 

 

 

 

 

 

 

 

 

 

 

 

 

 

 

 

 

 

 

 

 

 

 

 

 

 

 

 

 

 

 

 

 

 

 

 

 

120

 

 

 

 

 

 

 

 

 

 

 

 

 

 

 

 

 

 

 

 

 

 

 

 

 

 

 

 

 

 

 

 

100

 

 

 

 

 

 

 

 

 

 

 

 

 

 

 

 

 

 

 

 

 

 

 

 

 

 

 

 

 

 

 

 

80

 

 

 

 

 

 

 

 

 

 

 

 

 

 

 

 

 

 

 

 

 

 

 

 

 

 

 

 

 

 

 

 

60

 

 

 

54

51

 

 

 

 

 

 

 

 

 

 

 

 

 

 

 

 

 

 

 

 

 

 

 

 

 

 

 

 

 

 

 

 

 

 

 

 

 

 

 

 

 

 

 

 

 

 

 

40

 

 

 

 

 

39

 

 

 

29

21

 

 

 

 

 

 

 

 

 

 

 

 

11

 

 

 

 

 

 

 

 

 

 

 

 

 

 

 

 

 

 

 

 

 

 

 

 

 

20

 

 

 

 

 

 

 

 

 

 

 

 

 

 

 

 

 

3

 

3

 

5

 

 

 

 

 

 

 

 

 

 

 

 

 

 

 

 

 

 

 

 

 

 

 

 

 

 

 

 

 

 

 

 

 

 

 

 

 

 

 

 

 

 

 

 

 

 

 

 

 

 

 

 

0

 

 

 

 

 

 

 

 

 

 

 

 

 

 

 

 

 

 

 

 

 

 

 

 

 

 

 

 

 

 

 

 

 

 

 

 

 

 

 

 

 

 

 

 

 

 

 

 

 

 

 

 

 

 

 

 

 

 

0-49

50-99 100-199 200-499 500-999 1000-

 

2000-

3000-

4000- 5000-

 

 

 

 

 

 

 

 

1999

 

2999

3999

4999

 

 

 

 

 

 

 

 

 

 

 

 

 

 

 

 

 

Antal myndigheter

 

 

 

 

 

 

 

 

 

 

 

 

 

 

 

 

 

 

 

 

 

 

 

 

 

 

 

 

 

 

 

 

 

 

 

 

 

 

 

 

 

 

 

 

 

 

 

 

 

 

 

 

 

 

 

 

 

 

 

 

 

 

 

 

Källa: Statskontoret.

Antalet årsarbetskrafter i statsförvaltningen ökar årligen. I rapporten Ännu färre, ännu större – Utvecklingen av myndigheternas storlek och förvaltningens struktur 2011– 2023 konstaterar Statskontoret att myndigheterna under 2011–2023 har blivit större men färre (Statskontoret 2024). Statskontoret bedömer att utvecklingen kan göra staten mer överblickbar och förenkla samverkan, samtidigt som det också kan innebära att förvaltningen blir mer svårstyrd. Antalet årsarbetskrafter har ökat inom alla verksamhetsområden, men orsakerna varierar. Inom t.ex. samhällsskydd och försvar är ökningen i huvudsak en följd av politiska satsningar. Statskontoret bedömer att det under den analyserade perioden inte har gjorts några större omprövningar av det statliga åtagandet utan att uppgifter i stället främst har tillkommit, vilket bidragit till att myndigheter har vuxit och i vissa fall fått bredare uppdrag.

Regeringen har tidigare bedömt att arbetet med strukturförändringar och ompröv- ningar av det statliga åtagandet och av statsförvaltningens organisering har gått för långsamt (prop. 2023/24:1 utg.omr. 2 avsnitt 4). Under 2024 har regeringen därför fortsatt det påbörjade arbetet med att se över myndighetsstrukturen och att ompröva den statliga verksamheten. Arbetet syftar till att åstadkomma en mer ändamålsenlig organisering av statliga myndigheter och därmed säkerställa en mer sammanhållen, effektiv och mindre fragmenterad statlig förvaltning. Över 100 myndigheter omfattas sammantaget av den översyn som regeringen har låtit genomföra.

46

Prop. 2025/26:1 Utgiftsområde 2

Den 10 februari 2025 överlämnade Utredningen om en översyn av mindre myndigheters uppgifter och organisering (Fi 2023:08) betänkandet En effektivare organisering av mindre myndigheter – analys och förslag (SOU 2025:13) till regeringen. Utredningen analyserade mindre myndigheters verksamhet, uppgifter och organisering och analys- och utvärderingsmyndigheternas organisering. Utredningens uppdrag innebar att 50 myndigheters verksamhet, uppgifter och organisering analyserades. Utredningen bedömde att samtliga 50 myndigheters uppgifter och verksamheter är motiverade statliga åtaganden, men lämnar flera förslag till förändrad organisering av myndigheterna. Utredningen föreslår även att statliga myndigheter som utgångspunkt bör vara anslutna till statliga funktioner för resurssamverkan och att statlig resurssamverkan, efter uppdrag till ansvariga myndigheter om att utreda förutsättningar och behov, utvidgas till att omfatta fler stödverksamheter. Det kan t.ex. utgöras av tjänster rörande e-arkiv och kompetensstöd i säkerhetsfrågor. Betänkandet har remitterats.

Arbetet med att analysera Statskontorets förslag i rapporten En form för kollektivt beslutsfattande – en kartläggning och prövning av nämndmyndigheter (Statskontoret 2024:11) pågår i Regeringskansliet. Rapporten innehåller flera förslag om organisa- tionsförändringar avseende nämndmyndigheter. Regeringen har bl.a. gett Statskontoret i uppdrag att utreda och lämna förslag på hur de 24 lokala övervaknings- nämnderna kan organiseras på ett mer ändamålsenligt sätt (Ju2025/01106). Nämnden för hemslöjdsfrågor och Statens kulturråd har fått i uppdrag att förbereda för att Nämnden för hemslöjdsfrågors uppgifter ska inordnas i Statens kulturråd (Ku2025/00369 och Ku2025/00370).

Arbetet fortsätter med att förbereda de sammanslagningar av Statskontoret och Ekonomistyrningsverket (ESV), Myndigheten för ungdoms- och civilsamhällesfrågor och Myndigheten för stöd till trossamfund samt Arbetsmiljöverket och Myndigheten för arbetsmiljökunskap, i enlighet med vad som angavs i budgetproposition för 2025 (prop. 2024/25:1 Förslag till statens budget, finansplan m.m. avsnitt 1.2). Därutöver har Statens maritima och transporthistoriska museer och Statens försvarshistoriska museer haft i uppdrag att lämna förslag på hur Statens försvarshistoriska museers uppgifter kan överföras till och inordnas i Statens maritima och transporthistoriska museer (Ku2024/01225). Uppdraget redovisades den 24 mars 2025 och redovisningen har remitterats (Ku2025/00416). Myndigheterna fick den 3 juli 2025 i uppdrag att förbereda för att överföra och inordna uppgifter i Statens maritima och transport- historiska museer samt att förbereda avveckling av Statens försvarshistoriska museer (Ku2025/00760 och Ku2025/00762). Post- och telestyrelsen (PTS) och Myndigheten för digital förvaltning fick den 5 december 2024 i uppdrag att lämna förslag på hur Myndigheten för digital förvaltnings uppgifter kan överföras till och inordnas i PTS (Fi2024/02416). Uppdraget redovisades den 14 mars 2025 (Fi2025/00654) och förslaget har remitterats (se även utg.omr. 22 avsnitt 4.5). Regeringen har även vidtagit åtgärder för att minska antalet AP-fonder i syfte att effektivisera och skapa en mer ändamålsenligt organiserad förvaltning. Vid utgången av 2025 ska Första AP-fondens verksamhet och tillgångar föras över till Tredje och Fjärde AP-fonden och Sjätte AP- fondens verksamhet och tillgångar föras över till Andra AP-fonden (prop. 2024/25:133, bet. 2024/25:FiU36, rskr. 2024/25:204).

I promemorian Moderna – en ny myndighet för modern konst, arkitektur och design föreslås att uppgifterna vid Statens centrum för arkitektur och design och Statens konstråd ska inordnas i Moderna museet (Ds 2025:2). Promemorian har remitterats och myndigheterna har fått i uppdrag att förbereda överföring och inordnande av uppgifter i Moderna museet samt att avveckla Statens centrum för arkitektur och design och Statens konstråd (Ku2025/00624, Ku2025/00626 och Ku2025/00623).

47

Prop. 2025/26:1 Utgiftsområde 2

Ett effektivt resursutnyttjande i staten

Statskontoret ska på uppdrag av regeringen analysera verksamheter och myndigheter ur ett effektivitetsperspektiv, redovisa effekter av statliga åtgärder samt ta fram underlag för omprövning och effektivisering. Under 2024 redovisade myndigheten

31 sådana uppdrag. Uppdragen har bl.a. bestått av myndighetsanalyser av Folkhälso- myndigheten (Statskontoret 2024:10) och Jämställdhetsmyndigheten (Statskontoret 2024:12), analys av Naturvårdsverket (Statskontoret 2024:15), analyser av effektivi- teten i Arbetsförmedlingens användning av förvaltningsmedel (Statskontoret 2024:2) samt förslag till en mer effektiv myndighetsfunktion för statsstöd (Statskontoret 2024:6). Regeringen har också gett ESV och Statskontoret i uppdrag att ta fram och redovisa metoder för analyser som ska kunna utgöra underlag för regeringens om- prövning av statliga utgifter och verksamheter (Fi2025/00515). Uppdraget syftar bl.a. till att regeringen ska få tillgång till ännu bättre underlag för omprövning och förbätt- rad styrning av statlig och statligt finansierad verksamhet.

För att bättre kunna följa myndigheters informations- och kommunikations- verksamhet har regeringen gett 32 myndigheter ett återrapporteringskrav i reglerings- breven för 2025 att redovisa kostnaderna för den verksamheten. Redovisningen ska bl.a. omfatta hur verksamheten bidragit till myndigheternas förmåga att uppfylla sina kärnuppgifter.

Myndigheters lokalkostnader utgör en betydande del av myndigheternas förvaltnings- kostnader. År 2024 ökade myndigheternas lokalkostnader till 29,6 miljarder kronor, jämfört med 27,9 miljarder kronor 2023 (skr. 2024/25:101). Regeringen har gett ESV i uppdrag att analysera och ta fram underlag för att stärka förutsättningarna för en effektiv lokalanvändning i staten (Fi2024/01718). I rapporten Förbättrad uppföljning av statens lokalanvändning lämnade ESV bl.a. förslag till utvecklade nyckeltal för att jämföra och bedöma effektiviteten i staten (ESV 2025:20). ESV har även tagit fram ett jämförelseverktyg för hyreskostnader. I rapporten konstaterades vidare att staten har effektiviserat lokalanvändningen totalt sett under den undersökta perioden 2010–2024. Underlagen kan fungera som viktiga verktyg för myndigheterna vid beslut om anskaffning och användning av lokaler. Riksrevisionen har under året granskat statens användning och anskaffning av kontorslokaler. I rapporten Kostsam kvadratjakt – statens användning och anskaffning av kontorslokaler konstaterar Riksrevisionen att både användning och anskaffning av kontorslokaler kan bli mer effektiv, där särskilt en effektivare användning av kontorslokaler kan leda till lägre kostnader (RiR 2025:17). Regeringen kommer att återkomma till riksdagen med anledning av Riksrevisionens iakttagelser. Därutöver aktualiserar möjligheter till distansarbete och digitala arbetssätt frågor om hur lokaler kan nyttjas mer effektivt. Riksrevisionens granskning Distansarbete vid statliga myndigheter (RiR 2024:20) behandlas vidare i avsnitt 4.3.2.

Specialpedagogiska skolmyndigheten (SPSM) har slutredovisat uppdraget att inrätta och vara värdmyndighet för en kontorsgemenskap i Härnösand (Fi2025/01214). Regeringen avser inte att vidta några ytterligare åtgärder med anledning av rapporten, men de erfarenheter av samarbetet som myndigheten redovisat är värdefulla i regeringens fortsatta arbete med att underlätta för myndigheters samverkan.

ESV har under 2024 arbetat med att ta fram vägledning, utbildning och metodstöd till de som ska ta fram konsekvensutredningar enligt förordningen (2024:183) om konsekvensutredningar. Viss vägledning och stöd har publicerats på ESV:s hemsida och ytterligare material kommer att publiceras allt eftersom arbetet fortlöper. Det nya regelverket syftar till att förbättra förutsättningarna för myndigheter, kommittéer och särskilda utredare att ta fram kostnadseffektiva och samhällsekonomiskt motiverade förslag.

48

Prop. 2025/26:1 Utgiftsområde 2

Utvecklingen av de samordnade tjänsterna fortsätter

Statens servicecenter har till uppgift att efter överenskommelse tillhandahålla administrativt stöd åt myndigheter under regeringen. Statens servicecenter tillhanda- höll vid utgången av 2024 administrativa tjänster till 170 anslutna myndigheter. Det kan jämföras med 167 anslutna myndigheter 2023. Andelen statligt anställda som omfattas av myndighetens lönetjänster uppgick till 45 procent vid utgången av 2024, vilket var samma andel som 2023.

Kostnadseffektiviteten, mätt som antal lönespecifikationer och leverantörsfakturor per årsarbetare, har legat stabilt på en hög nivå, med en viss minskning vad gäller löne- specifikationer och en viss ökning avseende leverantörsfakturor 2024 (se diagram 4.3).

Diagram 4.3 Antal leverantörsfakturor och lönespecifikationer per årsarbetare

Antal leverantörsfakturor

 

 

 

 

 

Antal lönespecifikationer

80 000

 

 

 

 

 

 

 

 

 

 

 

1 200

 

 

 

 

 

 

 

 

 

 

 

70 000

 

 

 

 

 

 

 

 

 

 

1 000

 

 

 

 

 

 

 

 

 

 

 

60 000

 

 

 

 

 

 

 

 

 

 

800

 

 

 

 

 

 

 

 

 

 

 

50 000

 

 

 

 

 

 

 

 

 

 

 

 

 

 

 

 

 

 

 

 

 

 

 

600

40 000

 

 

 

 

 

 

 

 

 

 

 

 

30 000

 

 

 

 

 

 

 

 

 

 

400

 

 

 

 

 

 

 

 

 

 

 

 

20 000

 

 

 

 

 

 

 

 

 

 

200

 

 

 

 

 

 

 

 

 

 

 

 

10 000

 

 

 

 

 

 

 

 

 

 

0

 

 

 

 

 

 

 

 

 

 

2016

2017

2018

2019

2020

2021

2022

2023

2024

 

 

 

 

Leverantörsfakturor per årsarbetare

Lönespecifikationer per årsarbetare

 

 

 

 

Anm.: Beräkningsgrunden för nyckeltalet för totalt antal leverantörsfakturor per årsarbetare ändrades 2018 i jämförelse

med tidigare år. Antalet lönespecifikationer per årsarbetare för 2023 är enligt myndigheten för högt redovisade till följd av en ofullständig redovisning i ett av myndighetens lönesystem.

Källa: Statens servicecenters årsredovisningar.

Statens servicecenter redovisade ett överskott om 29 miljoner kronor för 2024 i den avgiftsfinansierade delen för administrativa tjänster. Det ackumulerade utgående resultatet för verksamheten förbättrades genom överskottet 2024 och uppgick vid årets slut till -100 miljoner kronor. Regeringens mål är sedan tidigare att Statens servicecenter ska uppnå ekonomisk balans 2030.

Statens servicecenter är en beredskapsmyndighet enligt förordningen (2022:524) om statliga myndigheters beredskap. Under 2024 har ett flertal åtgärder genomförts för att stärka förmågan såsom utveckling av ledningsstruktur inklusive beredskapsstab, beslut om krigsorganisation och krigsplacering av medarbetare, ökad förmåga gällande säkra sambandsmedel samt utbildnings- och övningsinsatser. Vidare har strategisk system- försörjning varit i särskilt fokus under året för att säkerställa tillgången till robusta och ändamålsenliga administrativa system över tid. Myndigheten vidtar även åtgärder för att höja verksamhetens förmåga att hantera löner och betalningar av fakturor vid fredstida krissituationer och vid höjd beredskap.

Kammarkollegiets tjänster och service bidrar till effektivitet

Kammarkollegiet har i uppgift att tillhandahålla service inom det statliga området, främst avseende ekonomi, juridik, kapitalförvaltning, riskhantering och administration. Kammarkollegiet tillhandahåller kapitalförvaltning, inklusive redovisning och andra administrativa tjänster, för myndigheter, stiftelser eller fonder inom det statliga eller kyrkliga området. Marknadsvärdet för det kapital som förvaltas av Kammarkollegiet

49

Prop. 2025/26:1 Utgiftsområde 2

ökade med ca 13 miljarder kronor 2024 jämfört med 2023, och uppgick vid slutet av 2024 till ca 249 miljarder kronor. Regeringen beslutade i februari 2025 om ändringar i förordningen (1987:778) om placering av fondmedel under Kammarkollegiets förvaltning som bl.a. innebär att fondmedel som myndigheten förvaltar får placeras i sådana aktier, förlagsbevis, konvertibler och teckningsoptioner som är inregistrerade vid en reglerad marknad. Ändringarna trädde i kraft den 19 mars 2025.

Försäkringsverksamheten vid Kammarkollegiet syftar till att tillgodose behovet av försäkringsskydd och stöd i riskhantering för statliga myndigheter och stiftelser med statlig anknytning. Intäkterna i verksamheten ökade till 336 miljoner kronor 2024, vilket var en ökning med drygt 3 procent jämfört med 2023. Myndighetens mål att driftkostnaderna i försäkringsverksamheten i förhållande till premieintäkterna högst ska uppgå till 20 procent uppnåddes 2024, då driftkostnaderna uppgick till 16 procent.

Omsättningen av de varor och tjänster som avropades från Kammarkollegiets ram- avtal uppgick till knappt 17 miljarder kronor 2024, vilket var en minskning med drygt 1 miljard kronor jämfört med 2023. Minskningen avsåg bl.a. ramavtalsområdena programvaror och tjänster samt möbler och inredning. Den sistnämnda minskningen berodde på att det under första halvåret 2024 saknades avtal inom flera delområden. Statliga myndigheters avrop stod för 80 procent av den totala omsättningen 2024. Resterande 20 procent utgjordes av avrop från kommuner och regioner. Vid utgången av 2024 fanns 2 237 ramavtal tecknade med 771 unika leverantörer inom 48 ram- avtalsområden, uppdelade på 1 919 delområden. Utvecklingen av digitala tjänster har fortsatt i syfte att förenkla och effektivisera processer såväl för myndigheten som för avropande myndigheter och ramavtalsleverantörer. Kammarkollegiet redovisade i mars 2025 uppdraget att öka möjligheterna till digitalt stöd vid avrop från ramavtal (Fi2025/00784). Av redovisningen framgår att myndigheten bedömer att en digital lösning behöver vara användarvänlig, pedagogisk och skapa nytta åt användarna. Myndigheten genomför successivt åtgärder för att möjliggöra digitala avrop. Arbetet med digitala avrop har inletts inom området managementtjänster och avsikten är att varor och tjänster inom fler ramavtalsområden ska digitaliseras framöver.

De totala utbetalade statsbidragen 2024 från Kammarkollegiet uppgick till 147,9 mil- jarder kronor, vilket var en ökning med 36,9 miljarder kronor jämfört med 2023. Antalet utbetalningar minskade dock från 3 484 utbetalningar 2023 till 3 070 utbetalningar 2024, bl.a. till följd av att ansvaret för utbetalningar avseende statsbidrag för säkerhetshöjande åtgärder till organisationer inom det civila samhället övergick till Myndigheten för stöd till trossamfund fr.o.m. den 1 januari 2024.

Service och tillgänglighet i statsförvaltningen

Lokal statlig service åt medborgare och företag

Statens servicecenter har fortsatt att utveckla den lokala statliga servicen åt medborgare och företag. Vid utgången av 2024 omfattade verksamheten 148 servicekontor, med totalt 907 medarbetare inom verksamhetsområdet. Under året hade servicekontoren ca 2,8 miljoner besökare, vilket var något högre än antalet besök 2023. Servicekontoren hanterade under året drygt 3,3 miljoner ärenden för Arbets- förmedlingen, Försäkringskassan, Migrationsverket, Pensionsmyndigheten och Skatte- verket, vilket var en ökning med 4 procent jämfört med 2023. Antalet ärenden var något högre än antalet besök, eftersom en besökare kan ha fler än ett ärende per besök. Styckkostnaderna per besök och ärende mellan 2023 och 2024 minskade med 3 respektive 4 procent. Under 2024 genomförde Statens servicecenter kund- undersökningar på 30 av servicekontoren. Myndigheten uppnådde ett nöjd-kund- index om 93 av 100. Undersökningarna indikerar att besökarna i något större utsträckning utgörs av män än av kvinnor, 51 procent respektive 49 procent. Enligt

50

Prop. 2025/26:1 Utgiftsområde 2

undersökningen är vidare 95 procent av kunderna som helhet nöjda med service- kontoren. Kvinnor är något mer nöjda med besöken än män, men skillnaderna är små. Undersökningarnas resultat bör tolkas med försiktighet då de genomförts på ett begränsat antal kontor under en avgränsad tidsperiod.

I budgetpropositionen för 2025 aviserades en minskning av Statens servicecenters anslag och att myndigheten i högre grad ska få bestämmanderätt över frågan om var servicekontoren ska finnas etablerade (prop. 2024/25:1 utg.omr. 2 avsnitt 4.6). Mot denna bakgrund gav regeringen Statens servicecenter i uppdrag att redovisa en plan för en ny organisering av servicekontorsnätet (Fi2024/02222). Statens servicecenter lämnade i januari 2025 en delredovisning av uppdraget som redogör för utgångs- punkter och principer för organiseringen. Av delredovisningen framgår att myndig- heten preliminärt bedömer att besparingen kommer att innebära att 35 servicekontor behöver avvecklas under 2025–2027.

Statens servicecenter och Migrationsverket har lämnat in en gemensam hemställan om ändring i förordningen (2019:214) om viss gemensam offentlig service (Fi2024/00870). För att förtydliga de rättsliga förutsättningarna för samverkan samt möjliggöra en ändamålsenlig utveckling av de statliga servicekontoren och deras tjänsteutbud föreslår myndigheterna bl.a. att ett generellt mandat att utföra enklare förvaltningsuppgifter som innefattar myndighetsutövning ska införas i förordningen. Hemställan har remitterats och regeringen beslutade den 4 september 2025 om ändring i förordningen om viss gemensam offentlig service.

Samarbete och digitalisering bidrar till en innovativ och samverkande statsförvaltning

I syfte att förbättra samarbetet mellan statliga myndigheter och mellan staten och kommunerna prövar regeringen i vilken utsträckning det är möjligt för fler statliga myndigheter att omfattas av den gemensamma regionala indelning för statliga myndigheter som framgår av förordningen (2022:593) om vissa förvaltnings- myndigheters regionala indelning.

In- och utlån av personal kan vara en del i arbetet med att myndigheterna ska samverka och stödja varandra. Länsstyrelserna har inom ramen för uppdraget att redovisa hur samarbetet vid arbetstoppar har utökats tagit fram en gemensam struktur och riktlinjer för att stödja varandra genom personallån. Regeringen har även lämnat ett uppdrag till beredskapsmyndigheterna att förstärka sin beredskap för att kunna använda personallån mellan myndigheter (Fö2025/00670). Regeringens arbete med in- och utlån av personal redovisas närmare i avsnitt 4.3.2.

Den digitala utvecklingen innebär stora möjligheter till effektivisering i den offentliga verksamheten. Myndigheten för digital förvaltnings uppföljning av statliga myndig- heters digitalisering 2023 visar att de mindre myndigheterna har gjort större förbättringar avseende digitaliseringen än större myndigheter i förhållande till året innan. Samtidigt har skillnaden i digital mognad mellan olika myndigheter ökat jämfört med 2022. Under 2024 genomförde Myndigheten för digital förvaltning en utvärdering av statliga myndigheters arbete med datadriven förvaltning och användning av AI i verksamheten. Myndigheten för digital förvaltnings bedömning är att datamognaden hos de statliga myndigheterna är låg, vilket påverkar förut- sättningarna för AI-användning på ett hållbart och systematiskt sätt. Digitaliseringen av den offentliga förvaltningen redovisas närmare inom utgiftsområde 22 Kommunikationer avsnitt 4.

51

Prop. 2025/26:1 Utgiftsområde 2

4.3.2Statliga arbetsgivarfrågor

En samordnad statlig arbetsgivarpolitik

Arbetsgivarpolitiken utvecklas i samverkan med alla statliga myndigheter som har anställda och samordnas av Arbetsgivarverket. Nedan redovisas hur myndigheterna inom området och Trygghetsstiftelsen har bidragit till regeringens mål att den statliga arbetsgivarpolitiken ska vara samordnad, och hur detta mål förhåller sig till det förvaltningspolitiska målet.

Arbetsgivarverkets samordning av den statliga arbetsgivarpolitiken

Arbetsgivarverket genomför varje år en medlemsundersökning för att redovisa medlemmarnas samlade bedömning av myndighetens verksamhet. Resultat från 2024- års undersökning visar på ett högt omdöme vad gäller Arbetsgivarverket som arbets- givarorganisation. Arbetsgivarverkets medlemsaktiviteter är ett viktigt led i arbetet för att samordna den statliga arbetsgivarpolitiken. Aktiviteterna syftar till att förbättra dialogen och erfarenhetsutbytet mellan medlemmarna i arbetsgivarfrågor. År 2024 anordnades 156 medlemsaktiviteter. Antalet deltagare i möten och aktiviteter minskade från 5 748 personer 2023 till 3 321 personer 2024. Det beror på att färre öppna webbinarier anordnades. År 2024 fokuserade myndigheten särskilt på insatser för att stödja medlemmarna i säkerhetsrelaterade frågor. Därutöver har Arbets- givarverket och Sveriges Kommuner och Regioner lämnat in en hemställan till regeringen om att utreda en möjlighet att i vissa fall kunna drogtesta offentligt anställda (Fi2024/02101). Ärendet bereds inom Regeringskansliet.

För att tillgodose medlemmarnas behov av kompetensutveckling tillhandahåller Arbetsgivarverket utbildningar, varav vissa genomförs digitalt. Under 2024 genom- fördes sammanlagt 20 utbildningar vid 49 tillfällen med totalt 1 107 deltagare.

Arbetsgivarverket erbjuder vidare rådgivning och information till sina medlemmar. Enligt myndigheten var behovet av rådgivning och information fortsatt stort, även om efterfrågan på stöd minskade jämfört med 2023. Stöd har särskilt efterfrågats vid verksamhetsförändringar.

Kompetensförsörjningen i staten

Staten ska vara en attraktiv och föredömlig arbetsgivare. I regeringens mål för arbets- givarpolitiken ingår att myndigheterna ska ha kompetens att fullgöra sina uppgifter. På uppdrag av Arbetsgivarverket genomför Konjunkturinstitutet två gånger per år en enkätundersökning benämnd Kompetensbarometern för den statliga sektorn. I under- sökningen tillfrågas samtliga medlemmar hos Arbetsgivarverket om sin kompetens- försörjning och ekonomi. I maj 2025 svarade 94 procent av medlemmarna på enkäten. Uppföljningen av utvecklingen i staten redovisas enligt den internationella klassifika- tionen Classification of the Functions of Government, COFOG.

Antalet sysselsatta i staten fortsätter att öka och uppgick till knappt 299 000 personer det första kvartalet 2025, vilket motsvarar ca 5,5 procent av de anställda på den svenska arbetsmarknaden. Antalet anställda har ökat främst inom försvar och rätts- väsendet.

Andelen arbetsgivare i den statliga sektorn som uppgav att de hade brist på personal uppgick våren 2025 till 53 procent. Det var en stor minskning jämfört med de två närmast föregående åren, då andelarna uppgick till 75 procent (våren 2024) respektive 88 procent (våren 2023). I likhet med de senaste fem åren var personalbristen störst inom it-verksamhet (39 procent).

I undersökningen från våren 2024 uppgav endast 6 procent av de statliga arbets- givarna att det fanns svårigheter att behålla personal. Det var en minskning med

52

Prop. 2025/26:1 Utgiftsområde 2

36 procentenheter jämfört med våren 2024, då andelen uppgick till 42 procent. Att personalomsättningen i staten har minskat kraftigt kan delvis förklaras av att användningen av konsulter har minskat.

Av de statliga arbetsgivarna i undersökningen uppgav 33 procent att de hade sagt upp personal. Det var en ökning med 17 procentenheter jämfört med våren 2024. Av arbetsgivarna bedömde 25 procent att de kommer ha övertalighet det kommande året, vilket är en minskning med 4 procentenheter jämfört med 2024.

Statliga tjänstepensioner och andra avtalsförsäkringar

Statens tjänstepensionsverk (SPV) bidrar till en samordnad statlig arbetsgivarpolitik genom att administrera de statliga tjänstepensionerna och andra avtalsförsäkringar och ge service och information till arbetsgivarna, de anställda, före detta anställda och pensionärerna. Under 2024 fortsatte SPV att arbeta med att sprida information och utveckla den information som ges. Myndigheten arbetar för att öka kunskapen om tjänstepensionen. Myndigheten har bl.a. utvecklat en ny digital ansökningstjänst och anslutit den till Uttagsplaneraren på minPension. Detta är en digital tjänst för personer som har tjänat in till pension i Sverige. Tjänsten drivs genom ett samarbete mellan staten och pensionsbolagen.

SPV följer löpande hur nöjda de som kontaktar myndigheten eller använder dess tjänster är med informationen och servicen. Uppföljningen 2024 visade att nöjdheten fortsatte att vara hög och dessutom var något högre än föregående år. Skillnaderna i nöjdhet mellan kvinnor och män var fortsatt små.

SPV:s verksamhet finansieras med avgifter. Området Statlig pensionsverksamhet m.m. ska bedrivas med full kostnadstäckning över tid. Området Pensionsverksamhet på uppdrag, där SPV:s administration av premiebestämda pensioner ingår, har ett lång- siktigt avkastningskrav på minst 6 procent. Som nyckeltal för att mäta effektiviteten används kostnaden per försäkrad. Resultaten för 2017–2024 redovisas i tabell 4.1.

Tabell 4.1 Effektiviteten i hanteringen av statliga avtalsförsäkringar

Kronor

Kostnad per försäkrad

2017

2018

2019

2020

2021

2022

2023

2024

 

 

 

 

 

 

 

 

 

Förmånsbestämd pension

373,4

394,8

386,2

391,9

406,7

384,5

398,3

372,9

 

 

 

 

 

 

 

 

 

Premiebestämd pension

44,5

47,5

50,5

51,2

53,9

49,4

57,0

55,7

 

 

 

 

 

 

 

 

 

Anm.: Antalet försäkrade inom premiebestämd pension 2022 och 2023 har justerats på grund av en uppdatering av metoden, vilket innebär att kostnaden per försäkrad 2022 och 2023 skiljer sig något i förhållande till vad som redovisades i budgetpropositionen för 2025.

Källa: Statens tjänstepensionsverk.

Trygghetsstiftelsen

Trygghetsstiftelsen, för vilken regeringen är en av stiftarna, hanterar det statliga avtalet om omställning som gäller för alla statliga myndigheter och ger stöd till arbetstagare som blir uppsagda eller vars tidsbegränsade anställning löper ut. Trygghetsstiftelsen har också i uppdrag att ge stöd till anställda som vill bredda sin kompetens eller byta spår i arbetslivet. År 2024 anmälde arbetsgivarna 2 291 personer till stiftelsen enligt avtal om omställning, vilket kan jämföras med 2 184 anmälda 2023. Därutöver fick drygt 1 000 statligt anställda stöd av stiftelsen i form av t.ex. rådgivning eller yttrande till Centrala studiestödsnämnden med anledning av ansökan om omställningsstudie- stöd. Verksamheten finansieras genom avgifter från statliga myndigheter och andra arbetsgivare som kan omfattas av avtalet om omställning. Avgifterna fastställs genom centrala kollektivavtal. De totala avgiftsintäkterna uppgick till sammanlagt 436 mil- joner kronor 2024, vilket motsvarade 0,3 procent av arbetsgivarnas lönesummor (samma andel som 2023).

53

Prop. 2025/26:1 Utgiftsområde 2

Måluppfyllelsen mäts bl.a. genom andelen personer som får ett nytt jobb eller påbörjar en längre utbildning, och mätningar görs vid olika tidpunkter. Stiftelsen når målen för anställda som tidigare haft tidsbegränsade anställningar, men inte för anställda som tidigare haft en tillsvidareanställning. Måluppfyllelsen för de som lämnade Trygghets- stiftelsen låg på en lägre nivå 2024 än 2023. Den försvagade arbetsmarknaden och att rekryteringsprocesser tenderar att ta längre tid kan bidra till utfallet. Trygghets- stiftelsen tillämpar även ett mål om att minst 80 procent av kunderna ska ha upplevt att de haft nytta av stödet för att hitta ett nytt jobb. Under 2024 ansåg 76 procent att de haft nytta av stiftelsens stöd.

Uppföljningen av regeringens delmål för de statliga arbetsgivarna

Nedan redovisas uppfyllelsen av respektive delmål för de statliga arbetsgivarna. Kompletterande information lämnas i bilagan till utgiftsområdet.

Den statliga sektorn ska totalt sett inte vara löneledande

Den svenska lönebildningsmodellen baseras på att den internationellt konkurrensutsatta sektorn är lönenormerande (se även utg.omr. 14 avsnitt 4). Lönekostnadsutvecklingen inom staten som helhet ska på sikt inte överstiga den konkurrensutsatta sektorn. Arbetsgivarverket, som ingår kollektivavtal på statens vägnar, har tolkat detta som att staten inte ska förhandla före den konkurrensutsatta sektorn inför en ny avtalsperiod.

Som underlag för uppföljningen av delmålet används utvecklingen av de genom- snittliga lönerna i olika sektorer.

Diagram 4.4 Utvecklingen av genomsnittliga löner i olika sektorer på arbetsmarknaden

Index 1994=100

300

250

200

150

100

50

0 94 95 96 97 98 99 0 1 2 3 4 5 6 7 8 9 10 11 12 13 14 15 16 17 18 19 20 21 22 23 24

Kommuner

Regioner

Statlig sektor

Privat sektor

Anm.: Uppgifter avser nominella löner och är rensade med hänsyn till strukturella förändringar i utbildningsnivå, ålder och kön.

Källa: Statistiska centralbyrån.

Sedan ramanslagsreformen 1994 har löneutvecklingen i staten relativt väl följt löneutvecklingen på arbetsmarknaden i stort (se diagram 4.4). Mellan 1994–2024 ökade lönerna inom den statliga sektorn med 273,2 procent, inom regionerna med 282,3 procent, inom kommunerna med 248,3 procent och inom den privata sektorn med 270,1 procent. Inom den privata sektorn ökade lönen med 281 procent för tjänstemän och med 244,4 procent för arbetare.

54

Prop. 2025/26:1 Utgiftsområde 2

En jämn könsfördelning på ledande befattningar i staten ska eftersträvas

Som underlag för uppföljningen av delmålet att en jämn könsfördelning på ledande befattningar i staten ska eftersträvas används i första hand statistik över andelen kvinnor respektive män med uppgift att planera och leda myndighetens verksamhet och som har personalansvar (ledningskompetens).

Av diagram 4.4 framgår dels den totala fördelningen av kvinnor och män på ledande befattningar 2015–2024.

Andelen kvinnor och män på ledande befattningar i staten är jämn. Sett över en tioårsperiod har andelen kvinnor på sådana befattningar ökat årligen.

Den totala andelen kvinnor på ledande befattningar uppgick till 48,0 procent 2024, vilket kan jämföras med 47,7 procent 2023.

Diagram 4.4 Fördelningen av kvinnor och män med uppgift att planera myndighetens verksamhet på olika nivåer

Procent

100

90

80

70

60

50

40

30

20

10

0

15

16

17

18

19

20

21

22

23

24

 

 

 

Kvinnor

 

 

 

Män

 

 

Källa: Arbetsgivarverket.

År 2024 anställde regeringen totalt 35 myndighetschefer, varav 17 (49 procent) var kvinnor och 18 (51 procent) var män. Förändringar i myndighetsstrukturen kan påverka det totala antalet myndighetschefer som regeringen anställer. Av tabell 4.2 framgår fördelningen av kvinnor och män bland de myndighetschefer som anställts av regeringen. Den 30 juni 2025 var könsfördelningen bland myndighetscheferna jämn. Andelen kvinnor bland myndighetscheferna uppgick till 47 procent, vilket var oförändrat jämfört med föregående år.

Tabell 4.2 Fördelningen av kvinnor och män bland myndighetscheferna som anställs av regeringen

Antal

 

Kvinnor

Män

Totalt

 

 

 

 

Generaldirektörer

47

63

110

Landshövdingar

15

6

21

 

 

 

 

Rektorer1

12

19

31

Överintendenter

6

3

9

Övriga titlar2

13

16

29

Myndighetschefer totalt3

93

107

200

55

Prop. 2025/26:1 Utgiftsområde 2

1Regeringen anställer rektorer vid statliga universitet och högskolor efter förslag från lärosätets styrelse.

2Här ingår myndighetschefer med andra eller unika titlar såsom direktörer, ordförande och rikspolischef.

3Inklusive vikarierande myndighetschefer.

Löneskillnaderna mellan kvinnor och män i staten ska minska

Som underlag för uppföljningen av delmålet att löneskillnaderna mellan kvinnor och män ska minska används den partsgemensamma statistiken.

I diagram 4.5 redovisas den genomsnittliga löneskillnaden mellan kvinnor och män i staten och den oförklarade löneskillnaden under de senaste tio åren. Statistiken omfattar myndigheter under regeringen.

Diagram 4.5 Genomsnittlig löneskillnad mellan kvinnor och män i staten och den oförklarade löneskillnaden

Procent

7

6

5

4

3

2

1

0

15

16

17

18

19

20

21

22

23

24

 

 

 

Genomsnittlig löneskillnad

 

 

Oförklarad löneskillnad

 

 

 

 

 

 

 

 

 

 

 

 

 

Källa: Arbetsgivarverket.

Arbetsgivarverket har i sin årliga löneskillnadsrapport till regeringen redogjort för löneskillnaden mellan kvinnor och män i staten 2024 (Arbetsgivarverket 2025). Rapporten visar att löneskillnaden mellan könen har minskat. Beräknat på månadslön eller heltidslön hade män inom staten i genomsnitt 4,7 procent högre lön än kvinnor, vilket var en marginell minskning med drygt 0,1 procentenheter jämfört med 2023. Löneskillnaderna kan till stor del förklaras av strukturella faktorer. Den faktor som påverkar lönen mest är arbetsuppgifternas komplexitet och självständighet. Komplexitet och självständighet mäts genom grupperingsnivå i BESTA, som är ett klassificeringssystem för att dela in statliga befattningar efter arbetsuppgifternas innehåll och grupperingsnivå. Övriga faktorer som påverkar lönen är arbetsområde, utbildningsinriktning, utbildningsnivå och erfarenhet. När hänsyn tas till dessa mätbara faktorer kvarstår en skillnad som inte kan förklaras av tillgänglig information i statistiken, den s.k. oförklarade löneskillnaden. Den skillnaden uppgick 2024 till

0,8 procent.

Andelen anställda i staten med utländsk bakgrund ska öka på alla nivåer

Som underlag för uppföljningen av delmålet att andelen anställda i staten med utländsk bakgrund ska öka på alla nivåer används statistik över hur stor andel av de statsanställda som har utländsk bakgrund. Med utländsk bakgrund avses enligt Statistiska centralbyrån (SCB) personer som är utrikes födda och personer som är födda i Sverige vars båda föräldrar är utrikes födda.

Av diagram 4.7 framgår andelen med utländsk bakgrund bland de anställda i staten totalt, respektive bland nyanställda.

56

Prop. 2025/26:1 Utgiftsområde 2

Andelen anställda med utländsk bakgrund i staten och uppgick 2024 till 21,2 procent, vilket var en marginell ökning med 0,1 procentenheter jämfört med 2023. Andelen anställda kvinnor i staten med utländsk bakgrund uppgick 2024 till 21,5 procent. Motsvarande andel för män var 20,9 procent. Det innebar en ökning med 0,1 procent- enheter för kvinnor och 0,2 procentenheter för män. Andelen nyanställda med utländsk bakgrund i staten uppgick till 27,4 procent 2024. Det var en ökning med

0,2 procentenheter jämfört med 2023. Andelen med utländsk bakgrund ökade inom samtliga kompetenskategorier, dvs. inom ledningskompetens, kärnkompetens och stödkompetens.

Diagram 4.76 Andel med utländsk bakgrund för staten totalt, nyanställda, förvärvsarbetande 20–64 år och för befolkningen i arbetsför ålder

Procent

35

30

25

20

15

10

5

0

15

16

17

18

19

20

21

22

23

24

 

 

Staten totalt

 

 

 

Nyanställda i staten

 

 

 

Förvärvsarbetande 20–64 år

 

Befolkningen 20–64 år

 

 

 

 

 

Anm.: Staten totalt avser individer med månadsavlönad anställning hos obligatoriska medlemmar i Arbetsgivarverket, numera inklusive Polismyndigheten. Statistiken är därmed omräknad för samtliga år. Timavlönade m.fl. ingår inte. Som nyanställda räknas individer som inte varit anställda i staten föregående år samt individer som bytt anställnings- myndighet sedan föregående år. I statistiken för förvärvsarbetande 20–64 år, ingår egna företagare och personer vars arbetstidsomfattning är minst en timme per vecka. Statistik för 2024 avseende förvärvsarbetande 20–64 år är ännu inte tillgänglig.

Källor: Arbetsgivarverket och Statistiska centralbyrån.

Arbetsmiljön i staten ska vara god

Som underlag för uppföljningen av delmålet att arbetsmiljön i staten ska vara god används uppgifter om sjukfrånvaro, sjukpension enligt det statliga tjänstepensions- avtalet och anmälningar enligt avtal om ersättning vid personskada (PSA) samt uppgifter från arbetsmiljöundersökningar.

Sjukfrånvaron i staten uppgick 2024 till 3,6 procent av den ordinarie arbetstiden. Det var en marginell minskning jämfört med 2023, då sjukfrånvaron uppgick till

3,7 procent. Sjukfrånvaron minskade under 2024 både för män och kvinnor. Bland anställda kvinnor i staten uppgick sjukfrånvaron till 4,6 procent och bland män

2,5 procent. Både för kvinnor och män minskade sjukfrånvaron med 0,1 procent- enhet. Förändringarna framgår av diagram 4.7.

57

Prop. 2025/26:1 Utgiftsområde 2

Diagram 4.7 Sjukfrånvaron totalt och uppdelat på kön

Procent

6

5

4

3

2

1

0

15

16

17

18

19

20

21

22

23

24

 

 

Kvinnor

 

 

Män

 

 

Totalt

 

Källa: Arbetsgivarverket.

Statligt anställda som beviljas sjukersättning eller aktivitetsersättning enligt social- försäkringsbalken har rätt till sjukpension enligt det statliga tjänstepensionsavtalet. År 2024 nybeviljades 172 sjukpensioner, vilket kan jämföras med 168 sjukpensioner 2023 och 108 sjukpensioner 2022. År 2024 var 33 procent av de som beviljades sjukpension män och 67 procent kvinnor. Av de som nybeviljades sjukpension 2023 var 73 procent kvinnor och 27 procent män. Av de som nybeviljades sjukpension under 2022 var 76 procent kvinnor och 24 procent män. År 2021 var motsvarande andelar 68 procent respektive 32 procent.

Om en statligt anställd drabbas av en personskada som bedöms vara en arbetsskada har personen rätt till ersättning enligt PSA. Med arbetsskada avses arbetsolycksfall, färdolycksfall, vålds- eller misshandelsfall, smittskada eller särskild utlandsskada. Antalet anmälningar av arbetsskador har minskat de senaste åren. Under 2024 gjordes 4 482 anmälningar, vilket kan jämföras med 4 673 anmälningar 2023 och 4 498 anmälningar 2022. Av anmälningarna 2024 avsåg 47,6 procent kvinnor och

52,4 procent män. Sett över en treårsperiod har antalet anmälningar från kvinnor ökat och antalet anmälningar från män minskat.

Flest arbetsskador 2022–2024 anmäldes vid Polismyndigheten, följt av Försvarsmakten, Kriminalvården, Statens institutionsstyrelse och Trafikverket.

SCB genomför på uppdrag av Arbetsmiljöverket vartannat år en undersökning av hela arbetsmarknaden med utgångspunkt från de anställdas upplevelse av sin arbetsmiljö och vartannat år en undersökning av besvär till följd av arbetet i den sysselsatta befolkningen. Undersökningarna används för att följa upp politiken inom utgifts- område 14 Arbetsmarknad och arbetsliv. Från och med 2024 har arbetsmiljöunder- sökningen genomgått en större förändring, med borttagna och nya frågor, vilket inne- bär att fullständiga jämförelser över tid inte kan göras.

Arbetsgivarverket sammanställer ett urval från rapporten som belyser arbetsmiljön i den statliga sektorn. De senaste uppgifterna avser arbetsmiljön 2024 och finns publicerade på arbetsgivarverket.se.

Sammanfattningsvis visar undersökningen att en hög andel av de statligt anställda är nöjda med arbetet i stort (90 procent) och bedömer arbetet som meningsfullt

(93 procent). Det är något högre än för arbetsmarknaden i stort. Av undersökningen framgår även anställdas uppfattning om arbetsmiljöbrister åtgärdas, introduktion vid

58

Prop. 2025/26:1 Utgiftsområde 2

nytt jobb, kompetensutveckling och om den tekniska utvecklingens påverkan, se diagram 4.8.

Diagram 4.8 Statligt anställdas uppfattning av sin arbetsmiljö, urval från arbetsmiljöundersökningen 2024

Procent

Ser positivt på den tekniska utvecklingens

påverkan

Fått kompetensutveckling på jobbet det senaste

året

Fick mycket bra introduktion när jag började

Arbetsmiljöbrister åtgärdas på ett bra sätt

 

Arbetet är meningsfullt

 

 

 

 

 

 

 

 

 

 

 

 

 

 

 

 

 

 

 

 

 

 

 

 

 

 

 

 

 

 

 

 

 

 

 

 

 

 

 

 

 

 

 

 

 

 

 

 

 

 

 

 

 

 

 

 

 

 

 

 

 

 

 

 

 

 

 

 

 

 

 

 

 

 

 

 

 

 

 

 

 

 

 

 

 

 

 

 

 

 

 

 

Nöjd med arbetet

 

 

 

 

 

 

 

 

 

 

 

 

 

 

 

 

 

 

 

 

 

 

 

 

 

 

 

 

 

 

 

 

 

 

 

 

 

 

 

 

 

 

 

 

 

 

 

 

 

 

 

 

 

 

 

 

 

 

 

 

 

 

 

 

 

 

 

 

 

 

 

 

 

 

 

 

 

 

 

 

 

 

 

 

 

 

 

 

 

 

 

 

 

 

 

 

 

 

 

 

 

 

 

 

 

 

 

 

 

0

10

20

30

40

50

60

70

80

90

100

staten

 

arbetsmarknaden i stort

 

 

 

kvinnor i staten

 

 

män i staten

 

 

 

 

 

 

 

 

 

 

 

 

 

 

 

 

 

 

 

 

 

 

 

 

Källa: Arbetsgivarverkets bearbetning av rapporten Arbetsmiljön 2024 (Arbetsmiljöverket 2025:01).

Bland de statligt anställda är andelen kvinnor som uppger att de utsatts för kränkande särbehandling eller sexuella trakasserier på arbetsplatsen högre än andelen män. Vad gäller utsatthet för hot och våld respektive diskriminering syns inga skillnader mellan män och kvinnor i staten. Andelen anställda i staten som uppgett att de utsatts för diskriminering eller hot och våld vid något eller några tillfällen det senaste året är något högre än på arbetsmarknaden som helhet. Det är lägre andel i staten än på arbetsmarknaden i stort som uppger att de utsatts för kränkande särbehandling eller sexuella trakasserier. Utsattheten för kränkande särbehandling, hot och våld, diskriminering och sexuella trakasserier utifrån arbetsmiljöundersökningen 2024 framgår av diagram 4.9 Skillnaden mellan sektorer samt mellan könen är i flera fall små och bör tolkas med försiktighet.

Diagram 4.9 Utsatthet för hot och våld, kränkande särbehandling, diskriminering och trakasserier, urval från arbetsmiljöundersökningen 2024

Procent

Utsatt för kränkande särbehandling på

arbetsplatsen det senaste året

Utsatt för diskriminering på arbetsplatsen under

det senaste året

Utsatt för sexuella trakasserier på arbetsplatsen

det senaste året

Utsatt för hot och våld i arbetet en eller några

gånger senaste 12 månaderna

 

0

2

4

6

8

10

12

14

16

18

20

staten

 

arbetsmarknaden i stort

 

kvinnor i staten

 

 

män i staten

 

 

 

 

 

 

 

 

 

 

 

 

 

 

Källa: Arbetsgivarverkets bearbetning av rapporten Arbetsmiljön 2024 (Arbetsmiljöverket 2025:01).

59

Prop. 2025/26:1 Utgiftsområde 2

Grundläggande värden i statsförvaltningen och rollen som statsanställd

Som underlag för delmålet om grundläggande värden i statsförvaltningen och rollen som statsanställd redovisas nedan utvecklingen av antalet ärenden vid myndigheternas personalansvarsnämnder.

Myndigheternas personalansvarsnämnder handlägger ärenden som rör disciplinansvar, åtalsanmälan, avstängning och skiljande från anställning på grund av personliga förhållanden när det gäller statligt anställda. Nämnderna har viktiga funktioner när det gäller att upprätthålla allmänhetens förtroende för den statliga förvaltningen och tillgodose arbetstagarnas intresse av en korrekt handläggning av ärendena.

De statliga myndigheterna hanterade totalt 505 personalansvarsärenden 2024, vilket var en betydande ökning med 152 ärenden jämfört med 2023. Av diagram 4.10 framgår utvecklingen av antalet ärenden 2015–2024.

Diagram 4.10 Antal personalansvarsärenden och antal ärenden som lett till åtgärd

Antal

600

500

400

300

200

100

0

15

16

17

18

19

20

21

22

23

24

 

 

Totalt antal ärenden

 

 

Varav ärenden som lett till åtgärd

 

 

 

 

 

 

 

 

 

 

 

Källa: Arbetsgivarverket.

Antalet ärenden vid personalansvarsnämnderna har ökat i stort sett inom alla åtgärds- kategorierna jämfört med 2023 (se tabell 4.3). Framför allt har antalet ärenden som lett till uppsägning, åtalsanmälan och avskedande ökat. Antalet personalansvarsärenden har ökat de senaste åren och kan bero på ett ökat fokus på säkerhetsfrågor vid myndigheter.

Tabell 4.3 Personalansvarsärenden, typ av ärende och utfall

Antal ärenden som lett till åtgärd

Typ av ärende

2022

2023

2024

Uppsägning

20

28

61

Avskedande

30

35

55

 

 

 

 

Varning

73

90

104

 

 

 

 

Löneavdrag

49

71

93

 

 

 

 

Åtalsanmälan

36

41

68

 

 

 

 

Avstängning

0

0

0

 

 

 

 

Totalt1

208

260

395

1Diskrepansen mellan del- och totalsumman i tabellen beror på att vissa ärenden lett till mer än en åtgärd. Källa: Arbetsgivarverket.

För att främja delmålet om grundläggande värden i statsförvaltningen och rollen som statsanställd tillhandahåller Statskontoret sedan den 1 juli 2023 en webbaserad

60

Prop. 2025/26:1 Utgiftsområde 2

introduktionsutbildning för statsanställda. Minst 16 000 statsanställda har genomfört utbildningen under 2024.

Aktuella frågor inom den statliga arbetsgivarpolitiken

In- och utlån av personal mellan myndigheter

I promemorian En hjälpande hand – ökade möjligheter till in- och utlån av personal mellan myndigheter (Ds 2022:26) konstateras att det finns goda möjligheter för statliga myndigheter att låna personal av varandra, men att denna möjlighet är relativt outnyttjad. Alla statliga myndigheter ska verka för att genom samarbete med myndig- heter och andra ta till vara de fördelar som kan vinnas för enskilda samt för staten som helhet. Personallån mellan myndigheter kan utgöra ett sådant samarbete. In- och utlån av personal kan även vara en del i myndigheternas arbete med att samverka och stödja varandra vid en fredstida krissituation enligt förordningen om statliga myndig- heters beredskap. Som anges i avsnitt 4.3.1 gav regeringen i april 2025 beredskaps- myndigheterna i uppdrag att förstärka sin beredskap för att kunna använda personal- lån mellan myndigheter. Vid uppdragets genomförande kan myndigheterna använda sig av stöd från Arbetsgivarverket.

Ökad förekomst av distansarbete vid statliga myndigheter har ingen påtaglig påverkan på effektiviteten

Förekomsten av distansarbete vid statliga myndigheter har ökat efter covid-19- pandemin (se även avsnitt 4.3.1). Riksrevisionen har därför granskat om statens hantering av möjligheten för anställda att arbeta på distans bidrar till att myndig- heternas verksamhet bedrivs effektivt. Resultatet av granskningen redovisas i rapporten Distansarbete vid statliga myndigheter (RiR 2024:20). Riksrevisionens övergripande bedömning är att de anställdas möjlighet att arbeta på distans inte har haft någon påtaglig påverkan på om myndigheternas verksamhet bedrivs effektivt. Distansarbetet bedöms ha medfört vissa positiva konsekvenser för myndigheternas verksamheter, t.ex. när det gäller förutsättningarna att rekrytera och behålla personal samt medarbetarnas upplevda hälsa och nöjdhet. Andra aspekter av arbetsmiljön bedöms dock ha påverkats negativt för flera myndigheter. Riksrevisionen bedömer att det finns anledning att fortsätta följa hur distansarbetet tillämpas i statliga myndigheter samt vilka konsekvenser det får för myndigheternas effektivitet och arbetsmiljö. I en skrivelse till riksdagen med anledning av rapporten anger regeringen att den delar Riksrevisionens bedömning att det är viktigt att fortsätta följa hur distansarbete tillämpas i statliga myndigheter samt vilka konsekvenser det får för myndigheternas effektivitet och arbetsmiljö (skr. 2024/25:95).

Ny utbildning om otillåten påverkan

Regeringen har vidtagit ytterligare åtgärder för att stödja myndigheternas arbete mot otillåten påverkan som riktas mot offentliganställda. Statskontoret fick i reglerings- brevet för 2025 i uppdrag att ta fram en webbaserad utbildning om otillåten påverkan i den offentliga förvaltningen. Den ska rikta sig till anställda i myndigheter under regeringen, och ska även kunna användas av anställda i kommuner och regioner. Utbildningen ska omfatta praktiskt tillämpbar kunskap om otillåten påverkan och dess konsekvenser, samt hur påverkansförsök kan förebyggas, identifieras och hanteras.

Rapport om utvärderingen av den arbetsgivarpolitiska delegeringen

Regeringen gav i november 2019 Statskontoret i uppdrag att utvärdera hur den arbets- givarpolitiska delegeringen i staten har utvecklats sedan mars 2002, då den senaste utvärderingen genomfördes (Fi2019/03818). Statskontoret redovisade i november 2020 uppdraget i rapporten Utvärdering av den arbetsgivarpolitiska delegeringen i staten (Statskontoret 2020:20). Statskontorets övergripande slutsats är att delegeringen

61

Prop. 2025/26:1 Utgiftsområde 2

överlag fungerar väl och att utvecklingen av arbetsgivarpolitiken sedan 2002 har varit positiv. Regeringen ser kontinuerligt i samband med budgetprocessen och den årliga myndighetsdialogen över hur uppföljningen och redovisningen av den statliga arbets- givarpolitiken kan utvecklas. Statskontorets utvärdering är ett värdefullt inslag i det fortsatta arbetet.

4.3.3Sveriges genomförande av Agenda 2030

Under 2024 var Sverige ordförande i den nordiska expertgruppen för hållbar utveckling som bistått i genomförandet och uppföljningen av den nordiska visionen Vår vision 2030 samt det tvärgående arbetet med hållbar utveckling inom Nordiska ministerrådet. Eftersom perspektivet är väl integrerat i alla led av Nordiska ministerrådets arbete beslutade länderna att expertgruppens mandat inte behövde förnyas när det löpte ut den 31 december 2024.

Den 22–25 april 2024 deltog Sverige i FN:s forum för utvecklingsfinansiering (FfD) för att följa upp genomförandet av Addis Ababa Action Agenda (AAAA). Sverige deltog därefter under året vid de förberedande mötena inför FN:s fjärde konferens om utvecklingsfinansiering (FfD4) 2025 för att granska och följa upp genomförandet av

AAAAoch bidra till slutdokumentet för FfD4. Sveriges prioriteringar tar sin utgångspunkt i reformagendan för biståndet och utrikeshandelsstrategin. Vid FN:s politiska högnivåforum för hållbar utveckling (HLPF) stod Sverige, tillsammans med övriga nordiska länder, värd för lanseringen av en första nordisk frivillig subregional granskningsrapport av Agenda 2030. Sverige medverkade även vid FN:s Framtids- toppmöte där FN:s medlemsländer antog den s.k. Framtidspakten med åtaganden inom bl.a. Agenda 2030 och utvecklingsfinansiering.

SCB är nationell kontaktpunkt för den globala indikatoruppföljningen och deltar i det internationella statistiksamarbetet om Agenda 2030 samt bidrar, tillsammans med andra myndigheter, med statistik till den globala uppföljningen av Agenda 2030.

Regeringen ska i en skrivelse till riksdagen redovisa arbetet med Sveriges genomförande av Agenda 2030 vartannat år, i linje med ett tidigare tillkännagivande från riksdagen (bet. 2020/21:FiU28 punkt 2, rskr. 2020/21:154). Regeringen över- lämnade den 5 december 2024, för andra gången, en skrivelse med en samlad redovisning av genomförandet och måluppfyllelsen av Agenda 2030 (skr. 2024/25:66).

4.4Regeringens bedömning av måluppfyllelsen

4.4.1Statlig förvaltningspolitik

Regeringen bedömer att målet i stora delar är uppfyllt, men konstaterar samtidigt att det finns områden som behöver utvecklas.

För att uppnå rättssäkerhet och effektivitet krävs att statsförvaltningen är motstånds- kraftig mot korruption. Regeringen bedömer utifrån de internationella indikatorerna Transparency International Corruption Perception Index och OECD Trust Survey, och utifrån Statskontorets uppföljning av myndigheternas arbete mot korruption, att utmaningar kvarstår i arbetet mot korruption i den offentliga förvaltningen, men att det i stora delar är välfungerande.

Regeringen har hittills under mandatperioden tagit flera initiativ som innebär att organiseringen av myndigheter ses över och som omprövar det statliga åtagandet och myndigheternas uppgifter. Åtgärderna förväntas sammantaget bidra till en mer fokuserad och ändamålsenligt organiserad statsförvaltning med högre kostnads- effektivitet. Regeringen bedömer att det finns behov av att fortsätta analysera statsförvaltningens organisering samt att mer sammanhållna analyser av olika delar av

62

Prop. 2025/26:1 Utgiftsområde 2

den offentliga förvaltningens funktionssätt, effektivitet, organisering och utveckling kan bidra till bättre måluppfyllelse. Mot bakgrund av förslagen om statlig resurs- samverkan i betänkandet En effektivare organisering av mindre myndigheter – analys och förslag (SOU 2025:13) och att flera remissinstanser uttrycker att det finns behov av förvaltningsgemensamma lösningar bedömer regeringen att det finns potential i sådana lösningar för att öka effektiviteten och kvaliteten i statsförvaltningen.

Digitaliseringen av den offentliga förvaltningen har fortsatta utmaningar och kan bedrivas mer effektivt. Många statliga myndigheter presterar bra, men det finns skillnader i servicenivåer. Digitaliseringen av den offentliga förvaltningen redovisas närmare inom utgiftsområde 22 Kommunikationer avsnitt 4.

Det är positivt att statliga myndigheter omfattas av den gemensamma regionala indelningen som framgår av förordningen (2022:593) om vissa förvaltnings- myndigheters regionala indelning. Detta ger bättre förutsättningar för samverkan mellan statliga myndigheter och mellan staten, kommuner och regioner.

Regeringen bedömer att det är positivt att fler statliga myndigheter har anslutit sig till Statens servicecenter på eget initiativ samt att myndigheten uppvisar ett starkt ekonomiskt resultat för 2024. Det är vidare positivt att kostnadseffektiviteten inom leverantörsfakturahanteringen fortsätter att stärkas samtidigt som det är angeläget att myndigheten ytterligare förmår att öka kostnadseffektiviteten inom lönehanteringen. Myndighetens arbete med att stärka verksamhetens förmåga att genomföra sina uppgifter vid fredstida krissituationer och vid höjd beredskap bedöms bidra till att även stärka förmågan hos de myndigheter som är anslutna till Statens servicecenters tjänster.

Regeringen bedömer att de åtgärder som Statens servicecenter har vidtagit och avser vidta för att åstadkomma ett mer kostnadseffektivt servicekontorsnät är angelägna och ser positivt på att styckkostnaderna per besök och ärende sjönk 2024 jämfört med 2023. Myndighetens kundundersökningar tyder samtidigt på att den service som erbjuds vid kontor fortsatt håller mycket hög kvalitet. De steg som tagits mot en långsiktig servicesamverkan mellan Statens servicecenter och Migrationsverket ökar möjligheten att utnyttja statens samlade resurser på ett mer effektivt sätt, samtidigt som enskildas kontakter med statliga myndigheter kan underlättas.

4.4.2Statliga arbetsgivarfrågor

Regeringen noterar att utvecklingen är fortsatt positiv för merparten av de delmål som ställts upp för staten som arbetsgivare och där utvecklingen följs upp med resultat- indikatorer. En stor del av de statligt anställda är nöjda med sin arbetsmiljö, sjuk- frånvaron har minskat och bristen på personal har minskat kraftigt jämfört med det senaste året.

När det gäller det övergripande målet har Arbetsgivarverket i hög grad bidragit till att samordna och utveckla den statliga arbetsgivarpolitiken. Regeringen bedömer att SPV:s administration av den statliga tjänstepensionen fungerar väl. Kompetens- försörjningen i staten är överlag välfungerande. Personalbristen minskade kraftigt våren 2025 och uppgick till de lägsta nivåerna sedan mätningen infördes. Trots detta fortsatte en del statliga arbetsgivare att ha svårt att hitta rätt kompetens, vilket speglar utvecklingen på arbetsmarknaden i sin helhet.

4.4.3Sveriges genomförande av Agenda 2030

I regeringens skrivelse om Sveriges genomförande av Agenda 2030 från 2024 (skr. 2024/25:66) konstaterar regeringen att Sverige har goda förutsättningar att nå de globala målen, men att flera utmaningar kvarstår. En rad samhällsproblem har dock

63

Prop. 2025/26:1 Utgiftsområde 2

över tid växt sig starkare eller inte förbättrats, vilket hotar möjligheten att nå agendans mål. Arbetet med att genomföra övriga riksdagsbundna mål är avgörande för genomförandet av agendan.

Genom utrikes-, bistånds- och handelspolitiken bidrar Sverige till verksamhet som syftar till att möjliggöra det globala genomförandet av Agenda 2030. Sverige verkar för att stärka synergierna mellan utvecklingssamarbetet, handelspolitiken och företagsfrämjandet, med fokus på hållbar tillväxt, utvecklingseffektivitet samt mobilisering av privata investeringar och ett starkare partnerskap med näringslivet. Samtidigt betonar regeringen varje lands ansvar och ägarskap för att skapa förutsättningar att gå från fattigdom till välstånd.

Den globala utvecklingen har lett till stora bakslag i det globala genomförandet av Agenda 2030. Regeringen bedömer att Rysslands fullskaliga invasion av Ukraina och det säkerhetspolitiska läget i omvärlden påverkar måluppfyllelsen negativt för Sveriges genomförande av Agenda 2030. Även ökad protektionism och ekonomisk osäkerhet har bidragit till försämrade förutsättningar för genomförandet av Agenda 2030.

4.5Politikens inriktning

4.5.1Statlig förvaltningspolitik och arbetsgivarfrågor

Statsförvaltningen bör effektiviseras och bli mer ändamålsenligt organiserad

Regeringens styrning av statsförvaltningen ska vara resultatinriktad, verksamhets- anpassad, strategisk, sammanhållen och medborgarorienterad (prop. 2009/10:175 s. 72, 96, 98 och 99). För att nå målen om bl.a. rättssäkerhet, service och tillgänglighet är det viktigt att uppföljningen utvecklas. Det ger underlag för att utveckla regeringens styrning av statsförvaltningen och därmed bättre förutsättningar att nå det förvalt- ningspolitiska målet.

Regeringen verkar för en smalare och vassare statsförvaltning. Det innebär att åtgärder behöver vidtas för att öka effektiviteten i den statligt finansierade verksamheten. Vidare behöver statsförvaltningen bli mer ändamålsenligt organiserad och mindre fragmenterad, antalet myndigheter och därmed organisatoriska gränser bör minska och myndigheternas kärnuppgifter behöver prioriteras i regeringens styrning. Medborgarnytta, effektivitet och förenkling ska fortsatt vara ledord för all statlig verksamhet. En utgångspunkt är att detaljstyrning och onödig administration fortsatt ska undvikas, att nytillkomna uppgifter i huvudsak ska utföras av befintliga myndig- heter samt att ansvars- och uppgiftsfördelningen mellan myndigheter ska vara tydlig. Varje skattekrona ska användas klokt och statligt finansierad verksamhet ska ständigt vara föremål för omprövning och prioritering. Detta är inte minst viktigt för att omfördela resurser, finansiera nya reformer och för att säkerställa att statsförvalt- ningen är organiserad för att effektivt kunna förverkliga den politik som regering och riksdag beslutat.

Det finns strukturer för att skapa ett effektiviseringstryck inom statlig verksamhet. Produktivitetsavdraget i den årliga pris- och löneomräkningen av myndigheternas anslag utgör ett incitament som förstärker och förtydligar de krav som ställs på myndigheterna om att eftersträva hög effektivitet och god hushållning

(skr. 2021/22:241). Det finns dock behov av stärkta förutsättningar för regeringens omprövning av befintliga utgifter och verksamheter. Av bl.a. detta skäl bedömde regeringen i budgetpropositionen för 2025 att Statskontoret och ESV bör slås samman under det gemensamma namnet Statskontoret och att utgångspunkten är att organisationsförändringen ska träda i kraft den 1 januari 2026 (prop. 2024/25:1 utg.omr. 2 avsnitt 4.6.1). Statskontoret förbereder en överföring av uppgifter och

64

Prop. 2025/26:1 Utgiftsområde 2

avveckling av myndigheten (Fi2025/00267). Den sammanslagna myndigheten ska få en stärkt uppgift att förse regeringen med underlag för omprövning av befintliga utgifter och verksamheter, och Statskontoret och ESV har i uppdrag att ta fram och redovisa metoder för analyser som kan ligga till grund för detta (Fi2025/00515). Analyserna kommer att förbättra regeringens förutsättningar att löpande ompröva statens utgifter och statlig verksamhet. Regeringen kommer att följa behovet av att utveckla ytterligare strukturer för att säkerställa kontinuerlig omprövning.

Regeringen avser även att ge det nya Statskontoret i uppdrag att definiera och kartlägga myndigheters administrativa kostnader och redovisa dessa i förhållande till kostnaderna för myndigheternas kärnuppgifter.

Den sammanslagna myndigheten kommer liksom nuvarande Statskontoret att ha en central roll i genomförandet av förvaltningspolitiken. Den kommer bl.a. ge regeringen underlag för effektivisering, utveckling och uppföljning av olika delar av den offentliga förvaltningen och arbeta med att främja en god förvaltningskultur och motverka korruption.

Regeringen avser att genomföra förslagen om ett breddat uppdrag för Upphandlings- myndigheten (se avsnitt 7) och inordnande av Trafikanalys i Tillväxtanalys (se utg.omr. 22 avsnitt 3 och utg.omr. 24 avsnitt 3), som föreslås i betänkandet En effektivare organisering av mindre myndigheter – analys och förslag (SOU 2025:13). Regeringen avser vidare att överföra och inordna Bokföringsnämndens uppgifter i Revisorsinspektionen (se utg.omr. 2 avsnitt 6 och utg.omr. 24 avsnitt 3). Utöver de åtgärder som redan har vidtagits bereds de förslag om organisationsförändringar avseende nämndmyndigheter som Statskontoret har redovisat i rapporten En form för kollektivt beslutsfattande – en kartläggning och prövning av nämndmyndigheter (Statskontoret 2024:11). Fler initiativ för att åstadkomma en mer ändamålsenligt organiserad statsförvaltning beskrivs inom andra utgiftsområden (se Förslag till statens budget, finansplan m.m. avsnitt 1.1, utg.omr. 17 Kultur, medier, trossamfund och fritid avsnitt 3.7 och utg.omr. 22 Kommunikationer avsnitt 4.5.

Vidare avser regeringen att pröva:

om myndighetsstrukturen för områdena tillsyn, analys och utvärdering av vård och omsorg är ändamålsenlig och hur den kan effektiviseras

organisationsformerna för Expertgruppen för biståndsanalys respektive Delegationen för migrationsstudier samt hur framtida styrning och organisering av verksamheterna kan möta behoven av underlag inom respektive område

uppgifter och verksamhet vid Myndigheten för kulturanalys samt hur verksamhet kan föras över till Statens kulturråd

överlapp och möjliga synergier mellan verksamhet vid Svenska institutet och Visit Sweden samt pröva hur Svenska institutets verksamhet kan inordnas i Visit Sweden.

Regeringen anser fortsatt att myndigheternas informations- och kommunikations- verksamhet bör omprövas. Regeringen följer hur myndigheterna löpande och kritiskt prövar behovet av informations- och kommunikationsinsatser. Det är särskilt viktigt att myndigheterna är transparenta med verksamhetens kostnader och resultat.

Myndigheterna ska utveckla samarbetet och bli mer innovativa

Myndigheterna behöver bli ännu bättre på att vara innovativa och samarbeta för att ta till vara de fördelar som kan vinnas för enskilda och för staten som helhet. Det är avgörande för att myndigheterna ska kunna genomföra sina uppgifter på ett effektivt och ändamålsenligt sätt samt möta medborgarnas förväntningar. Regeringen väl-

65

Prop. 2025/26:1 Utgiftsområde 2

komnar det goda samarbete som finns mellan myndigheter och de samarbetsinitiativ som vidtas för att lösa samhällsutmaningarna. Regeringen förväntar sig att myndig- heterna fortsätter att utveckla sin samarbetsförmåga och samarbetar i den utsträckning som krävs för att hantera de uppgifter och uppdrag som regeringen har beslutat.

Regeringen följer löpande vilka behov som finns av förvaltningsgemensamma lösningar i den offentliga förvaltningen, och hur styrningen vid behov kan utformas för att underlätta och möjliggöra sådana lösningar. Det är t.ex. viktigt att säkerställa att statliga myndigheter använder lokaler på ett effektivt sätt utifrån både sin verksamhet och ekonomi, vilket aktualiserats av bl.a. nya möjligheter till distansarbete och digitala arbetssätt. Regeringen anser att samverkan kring lokaler kan leda till effektivare lokallösningar och därmed minskade kostnader för myndigheter och för staten som helhet. Regeringen avser att förtydliga förutsättningarna för myndigheter att samverka kring lokaler. Regeringen avser även att närmare analysera de förslag som lämnades i betänkandet En effektivare organisering av mindre myndigheter – analys och förslag (SOU 2025:13) om förvaltningsgemensamma lösningar tillsammans med remiss- instansernas svar för att identifiera lämpliga åtgärder som kan effektivisera och öka kvaliteten i statsförvaltningen.

I ett förvaltningssystem med många organisatoriska gränser är det särskilt viktigt att det finns goda förutsättningar för samarbete, samordning och samverkan mellan olika förvaltningsnivåer och myndigheter. En gemensam regional indelning för statliga myndigheter i enlighet med förordningen (2022:593) om vissa förvaltningsmyndig- heters regionala indelning kan underlätta samordningen inom staten och samverkan mellan staten, kommunerna och regionerna. Regeringen kommer därför att pröva i vilken utsträckning det är möjligt för fler statliga myndigheter att omfattas av den gemensamma regionala indelningen.

Digitaliseringen av den offentliga förvaltningen är viktig för att ge bättre service till medborgarna och öka tillgängligheten i hela landet. Regeringen har höga förväntningar på att de statliga myndigheterna tar ett stort ansvar för arbetet med digitalisering i sitt utvecklingsarbete. Det gäller särskilt arbetet med att tillvarata möjligheterna att effektivisera verksamheten med hjälp av artificiell intelligens. Digitaliseringen av den offentliga förvaltningen redovisas närmare inom utgiftsområde 22 Kommunikationer avsnitt 4.

En effektivare statlig närvaro och service

Statlig närvaro och service i hela landet är viktigt för att förenkla för enskilda och öka medborgarnyttan. Statlig närvaro upprätthåller statsförvaltningens legitimitet och förtroende. Det är angeläget att följa spridningen av de statliga arbetstillfällena i landet.

Regeringen har i uppdrag till Statens servicecenter om att redovisa en plan för ny organisering av servicekontorsnätet angett att statlig service på sikt ska tillhandahållas i samtliga s.k. funktionella analysregioner (Fi2024/02222). Vidare anser regeringen att fler mobila och flexibla kontorslösningar kan bidra till en stärkt statlig närvaro och service till enskilda och företag på fler platser i landet. Regeringen tillför därför medel för att säkra en effektiv medborgarservice. Regeringen avser därför inte att vidta ytterligare åtgärder med anledning av de skrivelser som inkommit som en följd av avvecklingen av servicekontor (Fi2023/03044 och Fi2025/0550). Ett utökat samarbete om tjänster vid de statliga servicekontoren liksom fler anslutna myndigheter till verksamheten vid de statliga servicekontoren kan bidra till att nyttja statens samlade resurser på ett mer effektivt sätt, samtidigt som tillgängligheten till service från statliga myndigheter förbättras på fler platser i landet. Vägledande vid prövningen av vilka av myndigheternas tjänster och vilken service som servicekontoren ska

66

Prop. 2025/26:1 Utgiftsområde 2

tillhandahålla bör enligt regeringens mening ske enligt de utgångspunkter som redovisades i budgetpropositionen för 2024 (prop. 2023/24:1 utg.omr. 2 avsnitt 4.5.1).

Regeringens arbete mot korruption och otillåten påverkan fortsätter

Motståndskraften mot korruption och otillåten påverkan måste stärkas i hela den offentliga förvaltningen. Regeringen avser att kontinuerligt följa såväl genomförandet av åtgärderna i den nya handlingsplanen mot korruption och otillåten påverkan 2024– 2027 som utvecklingen på området i övrigt. Det inkluderar de rekommendationer till det fortsatta arbetet som OECD kan förväntas lämna under hösten 2025 inom ramen för sin utvärdering av handlingsplanen mot korruption och otillåten påverkan samt de förslag till åtgärder som de myndigheter som ingår i forumet för samverkan mot korruption har getts i uppdrag att redovisa senast i december 2025 (Fi2024/01534).

Regeringen fortsätter att främja det förebyggande arbetet i förvaltningen, i linje med den nya handlingsplanen, bl.a. genom uppdraget till Statskontoret att ta fram en utbildning om otillåten påverkan som gavs i regleringsbrevet för 2025. Utbildningen, som ska rikta sig till anställda i myndigheter under regeringen och kunna användas av kommuner och regioner, är ett viktigt led i att stärka förvaltningens kunskap och dess förmåga att effektivt förebygga och motverka sådan påverkan.

Regeringen fortsätter också att arbeta aktivt mot hot, våld och trakasserier som riktas mot statsanställda. Sådana företeelser ska aldrig tolereras och regeringen följer noga utvecklingen. Enligt Arbetsgivarverkets rapport Med samverkan som motkraft uppmärksammar myndigheterna allt oftare problematiken med hot, våld, trakasserier och otillåten påverkan, och den framstår som alltmer komplex (Arbetsgivarverket 2025). En stärkt motståndskraft mot sådana angrepp är viktig för statens kompetens- försörjning, effektivitet, attraktivitet och för att värna om de demokratiska principer som styr statsförvaltningen.

En statlig arbetsrätt som kan möta nya utmaningar

Otillåten påverkan, korruption och annat som hotar eller hindrar statliga myndigheters verksamheter utmanar integriteten inom förvaltningen och riskerar att påverka förtroendet för den offentliga förvaltningen i stort. Den statliga arbetsrätten ska utgöra ett ändamålsenligt regelverk som ger statliga arbetsgivare förutsättningar att kunna möta nya utmaningar.

Regeringen beslutade i september 2025 propositionen Regler om avstängning av statligt anställda som innehåller förslag om att nya regler om avstängning av statligt anställda ska föras in i lagen (1994:260) om offentlig anställning (prop. 2024/25:204). Det är viktigt att det finns ett högt förtroende för och en hög tillit till dem som arbetar inom statsförvaltningen. I propositionen föreslås att en statlig arbetsgivare ska kunna stänga av en arbetstagare från arbetet om arbetstagaren har betett sig på ett sätt som kan antas leda till en uppsägning eller ett avskedande och det finns en konkret risk för att fortsatt arbete skadar förtroendet för myndigheten, hindrar verksamhetens behöriga gång eller försvårar den fortsatta utredningen av beteendet. Det föreslås även att arbetsgivaren ska kunna stänga av en arbetstagare från arbetet om arbetsgivaren har gjort en åtalsanmälan för brott som vid fällande dom kan antas leda till uppsägning eller avskedande. En utökad möjlighet att stänga av arbetstagare ger myndigheterna bättre förutsättningar att utföra sina uppgifter.

Goda möjligheter till in- och utlån av personal mellan myndigheter är viktigt inom den statliga arbetsgivarpolitiken. Personallån kan t.ex. vara en del i myndigheternas arbete med att samverka och stödja varandra vid en fredstida krissituation.

67

Prop. 2025/26:1 Utgiftsområde 2

Arbetsgivaravgifterna ska synliggöras

Att skattesystemet är transparent är viktigt såväl ur ett demokratiskt perspektiv som för legitimiteten i systemet. Skatter och avgifter som en arbetsgivare betalar in för en arbetstagare bör redovisas på ett samlat, tydligt och öppet sätt. Regeringen har därför i juni 2025 beslutat om förordningen (2025:728) om statliga myndigheters skyldighet att informera anställda om arbetsgivaravgifter och allmän löneavgift som innebär att anställda vid myndigheter under regeringen ska informeras om de arbetsgivaravgifter och den allmänna löneavgift som arbetsgivaren betalar till följd av anställningen. Myndigheterna under regeringen är arbetsgivare för ca 295 000 anställda och kan föregå med gott exempel för andra offentliga och privata arbetsgivare.

4.5.2Sveriges genomförande av Agenda 2030

I regeringens senaste skrivelse om Sveriges genomförande av Agenda 2030 (skr. 2024/25:66) konstateras att Sverige fortsatt har goda möjligheter att nå målen i Agenda 2030. Samtidigt har flera samhällsutmaningar över tid vuxit sig starkare, vilket försvårar genomförandet av agendan såväl nationellt som internationellt. Kampen mot den organiserade brottsligheten kräver extraordinära åtgärder under mycket lång tid. Sverige behöver återupprätta en stark kunskapsskola, öka den fossilfria elproduktionen och förbättra transportinfrastrukturen. Regeringen arbetar med att lösa dessa utmaningar. Regeringen avser fortsätta att stärka synergier mellan utvecklingssamarbete, företagsfrämjande och handelspolitik. Svenskt utvecklingssamarbete ska bidra till att mobilisera ytterligare resurser för hållbar tillväxt, bl.a. genom att främja inhemsk resursmobilisering i partnerländer samt genom att skapa förutsättningar för investeringar och engagemang från andra aktörer, inklusive den privata sektorn.

Regeringens övergripande arbete med Agenda 2030 vägleds av det riksdagsbundna målet för genomförandet av Agenda 2030 (prop. 2019/20:188, bet. 2020/21:FiU28, rskr. 2020/21:154). Sverige ska genomföra Agenda 2030 för en ekonomiskt, socialt och miljömässigt hållbar utveckling genom en samstämmig politik nationellt och internationellt. Genomförandet ska präglas av agendans princip att ingen ska lämnas utanför. Arbetet för att uppnå redan beslutade riksdagsbundna mål är avgörande för genomförandet av agendan.

Regeringen kommer att fortsätta arbeta för en ambitiös gemensam ansats från EU när det gäller genomförandet av Agenda 2030, både inom och utanför EU:s gränser. EU:s globala ledarskap bör bygga på trovärdighet och kräver således kraftfullt och ambitiöst agerande inom EU.

Enligt den första nordiska frivilliga subregionala granskningsrapporten för Agenda 2030 som lanserades i juli 2024 är majoriteten av de 169 delmålen i Agenda 2030 beroende av ett aktivt engagemang från lokala och regionala myndigheter. Kommuner, regioner och statliga myndigheter med relevanta uppgifter är således centrala aktörer i genomförandet av Agenda 2030 på regional och lokal nivå.

Regeringen gör bedömningen att det fortfarande inte finns förutsättningar för att nå målen i Agenda 2030 globalt utan ytterligare resursmobilisering, såväl på nationell nivå som genom privat sektor, som understödjer genomförandet. För att åstadkomma en hållbar utveckling globalt är det därför helt nödvändigt att demokratin och handeln stärks, att företag kan växa, att privata investeringar kommer på plats, att fattigdom fortsatt bekämpas, att kvinnors och flickors rättigheter värnas, att hälsoinsatser för de allra mest utsatta görs, och att miljö- och klimatutmaningarna hanteras. Regeringen betonar varje lands ansvar för sin egen utveckling och för att säkerställa grundläggande förutsättningar för investeringar och ekonomisk utveckling, inklusive

68

Prop. 2025/26:1 Utgiftsområde 2

starka demokratiska och ekonomiska institutioner, rättsstatsprinciper och ett starkt och oberoende civilsamhälle. Detta ansvar inkluderar även nationella reformer för mänskliga rättigheter, jämställdhet och antikorruptionsåtgärder, där regeringen fortsätter att stödja Sveriges partnerländer.

4.6Budgetförslag

4.6.11:1 Kammarkollegiet

Tabell 4.4 Anslagsutveckling 1:1 Kammarkollegiet

Tusental kronor

2024

Utfall

123 241

Anslagssparande

38 627

 

 

 

 

 

2025

Anslag

175 6711

Utgiftsprognos

141 519

2026

Förslag

179 196

 

 

2027

Beräknat

190 5142

 

 

2028

Beräknat

191 6663

 

 

1Inklusive beslut om ändringar i statens budget 2025 och förslag till ändringar i samband med denna proposition.

2Motsvarar 187 770 tkr i 2026 års prisnivå.

3Motsvarar 185 449 tkr i 2026 års prisnivå.

Ändamål

Anslaget får användas för Kammarkollegiets förvaltningsutgifter och för förvaltningsutgifter för vissa nämnder. Anslaget får även användas för att bevaka statens rätt och andra allmänna intressen samt utbetalning av vissa mindre skadeståndsersättningar. Anslaget får även användas för vissa insatser riktade till myndigheternas ledning.

Skälen för regeringens förslag

Tabell 4.5 Förändringar av anslagsnivån 2026–2028 för 1:1 Kammarkollegiet

Tusental kronor

 

2026

2027

2028

Anvisat 20251

165 671

165 671

165 671

Pris- och löneomräkning2

3 325

5 798

8 996

Beslutade, föreslagna och aviserade åtgärder

7 700

16 509

14 415

 

 

 

 

varav BP263

7 700

16 400

14 000

– Medel för regeringens chefsprogram

6 700

6 700

6 700

 

 

 

 

– Förvaltningskostnader för en ny resegarantifond

1 000

1 000

1 000

 

 

 

 

– Ändring i insynslagen och ny lag om insyn i

 

 

 

påverkanskommunikation

 

8 700

6 300

 

 

 

 

Överföring till/från andra anslag

2 500

2 537

2 584

 

 

 

 

Övrigt

 

 

 

Förslag/beräknat anslag

179 196

190 514

191 666

 

 

 

 

1Statens budget enligt riksdagens beslut i december 2024 (bet. 2024/25:FiU10). Beloppet är således exklusive beslut om ändringar i statens budget.

2Pris- och löneomräkningen baseras på anvisade medel 2025. Övriga förändringskomponenter redovisas i löpande priser och inkluderar därmed en pris- och löneomräkning. Pris- och löneomräkningen för 2027–2028 är preliminär.

3Exklusive pris- och löneomräkning.

Anslaget ökas med 1 000 000 kronor fr.o.m. 2026 för de nya uppgifter som följer av förslagen i lagrådsremissen Ett förbättrat resegarantisystem (Fi2025/01524). I lagråds- remissen föreslås ändringar i resegarantilagen (2018:1218) som bl.a. innebär att en resegarantifond inrättas, vilket kommer att leda till nya uppgifter för Kammarkollegiet

69

Prop. 2025/26:1 Utgiftsområde 2

avseende förvaltning av fonden och handläggning av ärenden kopplade till fonden. Ökningen finansieras genom att anslaget 2:2 Allmänna reklamationsnämnden inom utgiftsområde 18 Samhällsplanering, bostadsförsörjning och byggande samt konsumentpolitik minskas med motsvarande belopp.

För de statliga myndigheternas ledning tillhandahålls vissa arbetsgivarpolitiska insatser, bl.a. regeringens chefsprogram. Kostnaderna för dessa insatser har tidigare finansierats från det gamla anslaget för Statskontoret. Anslaget 1:1 Kammarkollegiet bör framöver användas för att finansiera de arbetsgivarpolitiska insatserna. Ändamålet för anslaget bör därför utvidgas så att anslaget även får användas för vissa insatser riktade till myndigheternas ledning. Anslaget bör vidare ökas med 6 700 000 kronor fr.o.m. 2026 för dessa insatser. Anslaget 1:7 Statskontoret minskas med motsvarande belopp.

I betänkandet Ökad insyn i politiska processer (SOU 2025:52) av 2023 års insyns- kommitté lämnas förslag om dels ändring i lagen (2018:90) om insyn i finansiering av partier, dels en lag om insyn i kommunikation med syfte att påverka politiska beslut. Betänkandet har remitterats (Ju2025/01117). Förslagen bedöms innebära kostnads- ökningar för Kammarkollegiet om de genomförs. Anslaget beräknas därför öka med 8 700 000 kronor för 2027. Från och med 2028 beräknas anslaget öka med 6 300 000 kronor.

Regeringen föreslår att 179 196 000 kronor anvisas under anslaget 1:2 Kammarkollegiet för 2026. För 2027 och 2028 beräknas anslaget till 190 514 000 kronor respektive 191 666 000 kronor.

Kredit avseende nya myndigheter

Regeringens förslag

Regeringen bemyndigas att för 2026 besluta om en kredit i Riksgäldskontoret för att tillgodose Kammarkollegiets behov av likviditet i samband med inrättandet av nya myndigheter som inklusive tidigare utnyttjad kredit uppgår till högst 250 000 000 kronor.

Skälen för regeringens förslag

I avvaktan på ett riksdagsbeslut om anslag för ändamålet bör tillgångar och övriga utgifter för nya myndigheters räkning tillfälligt finansieras med en kredit hos Kammar- kollegiet. När en myndighet har bildats bör anskaffningen av tillgångar eller övriga utgifter, inklusive ränta, regleras genom betalning av krediten. Under 2024 har

43 270 000 kronor av krediten utnyttjats. För vilka nya myndigheter som krediten behöver utnyttjas 2026, och i vilken utsträckning, är svårt att bedöma. Regeringen bör mot denna bakgrund bemyndigas att för 2026 besluta om en kredit i Riksgälds- kontoret för att tillgodose Kammarkollegiets behov av likviditet i samband med inrättandet av nya myndigheter som inklusive tidigare utnyttjad kredit uppgår till högst 250 000 000 kronor.

Tabell 4.6 Kredit avseende nya myndigheter

Tusental kronor

 

 

Beslutad

Maximalt

Beslutad

Begärd

Utgifts-

 

kreditram

nyttjande

kreditram

kreditram

område

Ändamål

20241

2024

20251

2026

 

Kammarkollegiets behov av likviditet för

 

 

 

 

2

inrättande av nya myndigheter

250 000

43 270

250 000

250 000

 

 

 

 

 

 

 

Summa

250 000

43 270

250 000

250 000

 

 

 

 

 

 

70

Prop. 2025/26:1 Utgiftsområde 2

1Av riksdagen beslutad övrig kontokredit exklusive beslut om ändringar i statens budget.

Kredit avseende det statliga försäkringssystemet

Regeringens förslag

Regeringen bemyndigas att för 2026 besluta om en kredit i Riksgäldskontoret för att tillgodose Kammarkollegiets behov av likviditet i det statliga försäkringssystemet som inklusive tidigare utnyttjad kredit uppgår till högst 100 000 000 kronor.

Skälen för regeringens förslag

Det behövs en kredit för att finansiera enstaka stora skador eller anhopningar av skador som hanteras inom det statliga försäkringssystemet. En utnyttjad kredit ska återbetalas inom ramen för systemet. Om den sammanlagda försäkringsersättningen som Kammarkollegiet ska betala för en enskild skadehändelse överstiger 50 000 000 kronor, ska dock regeringen besluta om hur det överstigande beloppet ska finansieras utanför det statliga försäkringssystemet. Regeringen bör därför bemyndigas att för 2026 besluta om en kredit i Riksgäldskontoret för att tillgodose Kammarkollegiets behov av likviditet i det statliga försäkringssystemet som inklusive tidigare utnyttjad kredit uppgår till högst 100 000 000 kronor.

Tabell 4.7 Kredit avseende det statliga försäkringssystemet

Tusental kronor

 

 

Beslutad

Maximalt

Beslutad

Begärd

Utgifts-

 

kreditram

nyttjande

kreditram

kreditram

område

Ändamål

20241

2024

20251

2026

 

Kammarkollegiets behov av likviditet i det

 

 

 

 

2

statliga försäkringssystemet

100 000

 

100 000

100 000

 

 

 

 

 

 

 

Summa

100 000

 

100 000

100 000

 

 

 

 

 

 

1Av riksdagen beslutad övrig kontokredit exklusive beslut om ändringar i statens budget.

Budget för avgiftsbelagd verksamhet

Tabell 4.8 Avgiftsfinansierad verksamhet vid Kammarkollegiet

Tusental kronor

 

Ack.

 

 

Kostnader

 

Ack.

 

resultat

 

 

som ska

 

resultat

 

t.o.m.

Resultat

Verksamhetens

täckas

Resultat

utgående

Verksamhet

2024

2025

intäkter 2026

2026

2026

2026

Verksamheter där intäkterna

 

 

 

 

 

 

inte disponeras

 

 

 

 

 

 

 

 

 

 

 

 

 

Offentligrättslig verksamhet

 

 

 

 

 

 

 

 

 

 

 

 

 

Stiftelserätt, tolkar och översättare

-256 240

-26 090

3 800

30 378

-26 578

-309 088

 

 

 

 

 

 

 

Verksamheter där intäkterna

 

 

 

 

 

 

disponeras

 

 

 

 

 

 

 

 

 

 

 

 

 

Uppdragsverksamhet

 

 

 

 

 

 

 

 

 

 

 

 

 

Fordringsbevakning, idéburen

 

 

 

 

 

 

välfärd, kapitalförvaltning,

 

 

 

 

 

 

registrering av trossamfund och

 

 

 

 

 

 

samordnade ramavtal

58 718

-15 108

250 754

263 872

-13 118

30 493

 

 

 

 

 

 

 

Källa: Kammarkollegiet.

71

Prop. 2025/26:1 Utgiftsområde 2

4.6.21:3 Arbetsgivarpolitiska frågor

Tabell 4.8 Anslagsutveckling 1:3 Arbetsgivarpolitiska frågor

Tusental kronor

2024

Utfall

2 319

Anslagssparande

124

2025

Anslag

2 4431

Utgiftsprognos

2 426

2026

Förslag

2 443

 

 

 

 

 

 

 

2027

Beräknat

2 443

 

 

 

 

 

 

 

2028

Beräknat

2 443

 

 

 

 

 

 

 

1Inklusive beslut om ändringar i statens budget 2025 och förslag till ändringar i samband med denna proposition.

Ändamål

Anslaget får användas för utgifter för sådana uppgifter som Arbetsgivarverket utfört åt regeringen eller Regeringskansliet och som inte ingår i Arbetsgivarverkets uppgifter som medlemsorganisation, samt för regeringens behov av underlag och biträde inom det arbetsgivarpolitiska området. Anslaget får även användas för förvaltningsuppgifter avseende vissa nämnder inom det arbetsgivarpolitiska området.

Skälen för regeringens förslag

Tabell 4.9 Förändringar av anslagsnivån 2026–2028 för 1:3 Arbetsgivarpolitiska frågor

Tusental kronor

 

2026

2027

2028

Anvisat 20251

2 443

2 443

2 443

Beslutade, föreslagna och aviserade åtgärder

 

 

 

Överföring till/från andra anslag

 

 

 

 

 

 

 

Övrigt

 

 

 

 

 

 

 

Förslag/beräknat anslag

2 443

2 443

2 443

1Statens budget enligt riksdagens beslut i december 2024 (bet. 2024/25:FiU10). Beloppet är således exklusive beslut om ändringar i statens budget.

Regeringen föreslår att 2 443 000 kronor anvisas under anslaget 1:3 Arbetsgivarpolitiska frågor för 2026. För 2027 och 2028 beräknas anslaget till 2 443 000 kronor per år.

4.6.31:4 Statliga tjänstepensioner m.m.

Tabell 4.10 Anslagsutveckling 1:4 Statliga tjänstepensioner m.m.

Tusental kronor

2024

Utfall

16 570 639

Anslagssparande

141 361

2025

Anslag

17 295 0001

Utgiftsprognos

17 097 000

2026

Förslag

17 279 000

 

 

 

 

 

 

 

2027

Beräknat

17 490 400

 

 

 

 

 

 

 

2028

Beräknat

17 941 800

 

 

 

 

 

 

 

1Inklusive beslut om ändringar i statens budget 2025 och förslag till ändringar i samband med denna proposition.

Ändamål

Anslaget får användas för utgifter för statliga tjänstepensionsförmåner, avgångs- förmåner, grupplivförmåner och personskadeersättningar samt liknande förmåner

72

Prop. 2025/26:1 Utgiftsområde 2

som följer av anställningar med statliga villkor. Därtill får anslaget användas för utgifter för räntor avseende sådana förmåner.

Vidare får anslaget användas för utgifter för löneskatt enligt lagen (1990:659) om särskild löneskatt på vissa förvärvsinkomster respektive enligt lagen (1991:687) om särskild löneskatt på pensionskostnader samt för premieskatt enligt lagen (1990:1427) om särskild premieskatt för grupplivförsäkring m.m. Anslaget får även användas för löneavgifter enligt lagen (1994:1920) om allmän löneavgift och arbetsgivaravgifter enligt socialavgiftslagen (2000:980).

Anslaget får dessutom användas för förvaltningsutgifter vid Statens tjänstepensions- verk för biträde vid handläggningen av pensionsärenden avseende lärare m.fl. som överförts från statligt reglerade anställningar genom riksdagens beslut om kommunalt huvudmannaskap för lärare m.fl.

Skälen för regeringens förslag

Tabell 4.11 Förändringar av anslagsnivån 2026–2028 för 1:4 Statliga tjänstepensioner m.m.

Tusental kronor

 

2026

2027

2028

Anvisat 20251

17 295 000

17 295 000

17 295 000

Beslutade, föreslagna och aviserade åtgärder

 

 

 

 

 

 

 

Makroekonomisk utveckling

109 000

94 400

414 800

 

 

 

 

Volymer

-125 000

101 000

232 000

Överföring till/från andra anslag

 

 

 

 

 

 

 

Övrigt

 

 

 

 

 

 

 

Förslag/beräknat anslag

17 279 000

17 490 400

17 941 800

 

 

 

 

1Statens budget enligt riksdagens beslut i december 2024 (bet. 2024/25:FiU10). Beloppet är således exklusive beslut om ändringar i statens budget.

En stor del av de utbetalningar som belastar anslaget är hänförliga till redan beviljade förmåner. I posten Makroekonomisk utveckling i tabell 4.12 ingår bl.a. effekten av att vissa förmåner som belastar anslaget årligen indexeras med prisbasbeloppets föränd- ring. I posten Volymer avspeglas antalet förmåner som nybeviljas under budgetperio- den och storleken på dessa förmåner.

Regeringen föreslår att 17 279 000 000 kronor anvisas under anslaget 1:4 Statliga tjänstepensioner m.m. för 2026. För 2027 och 2028 beräknas anslaget till 17 490 400 000 kronor respektive 17 941 800 000 kronor.

Kredit avseende SPV:s pensionshantering

Regeringens förslag

Regeringen bemyndigas att för 2026 besluta om en kredit i Riksgäldskontoret för att tillgodose Statens tjänstepensionsverks behov av likviditet i pensionshanteringen som inklusive tidigare utnyttjad kredit uppgår till högst 100 000 000 kronor.

Skälen för regeringens förslag

SPV får bedriva uppdragsverksamhet när det gäller pensionshanteringen. I sådan uppdragsverksamhet hanteras väsentliga penningflöden avseende premier för premiebestämda pensioner och pensionsutbetalningar för uppdragsgivares räkning. Enbart flödet för premier för premiebestämda pensioner enligt det statliga tjänstepensionsavtalet omsätter ca 900 000 000 kronor varje månad och faktureras

73

Prop. 2025/26:1 Utgiftsområde 2

med kort tid för betalning. Skulle t.ex. betalningen för de två största fakturorna utebli en månad motsvarar det ett belopp och en räntekontobelastning på ca 300 000 000 kronor. SPV har därför ett behov av ett rörelsekapital i form av en kredit i Riksgälds- kontoret.

År 2024 utnyttjade SPV ca 52 000 000 kronor av en kredit i Riksgäldskontoret för att tillgodose behovet av likviditet i pensionshanteringen. Under den senaste femårsperio- den har krediten utnyttjats med mellan ca 41 000 000 kronor och ca 52 000 000 kro- nor. För att minimera risken för övertrassering av likvida medel bör därför regeringen bemyndigas att för 2026 besluta om en kredit i Riksgäldskontoret för att tillgodose SPV:s behov av likviditet i pensionshanteringen som inklusive tidigare utnyttjad kredit uppgår till högst 100 000 000 kronor.

Tabell 4.12 Kredit avseende SPV:s pensionshantering

Tusental kronor

 

 

Beslutad

Maximalt

Beslutad

Begärd

Utgifts-

 

kreditram

nyttjande

kreditram

kreditram

område

Ändamål

20241

2024

20251

2026

 

Statens tjänstepensionsverks behov av

 

 

 

 

2

likviditet i pensionshanteringen

100 000

51 531

100 000

100 000

 

 

 

 

 

 

 

Summa

100 000

51 531

100 000

100 000

 

 

 

 

 

 

1Av riksdagen beslutad övrig kontokredit exklusive beslut om ändringar i statens budget.

Budget för avgiftsbelagd verksamhet

Tabell 4.13 Avgiftsfinansierad verksamhet vid Statens tjänstepensionsverk

Tusental kronor

 

 

 

 

 

 

Ack.

 

 

 

 

Kostnader

 

resultat

 

Ack. resultat

Resultat

Verksamhetens

som ska

Resultat

utgående

Verksamhet

t.o.m. 2024

2025

intäkter 2026

täckas 2026

2026

2026

Verksamheter där

 

 

 

 

 

 

intäkterna disponeras

 

 

 

 

 

 

 

 

 

 

 

 

 

Uppdragsverksamhet1

53 818

5 210

304 600

305 848

-1 248

21 307

1Regeringen har i ändring av regleringsbrev för budgetåret 2025 avseende Statens tjänstepensionsverk (Fi2025/00602) beslutat att SPV från området Pensionsverksamhet på uppdrag ska inleverera 36 473 000 kronor, som ska redovisas mot inkomsttitel 2811 Övriga inkomster av statens verksamhet, vilket påverkar ackumulerat resultat utgående 2026.

Källa: Statens tjänstepensionsverk.

För området Statlig pensionsverksamhet m.m. disponerar SPV för administrations- kostnader det belopp från inkomsttiteln 5211 Statliga pensionsavgifter som anges i myndighetens regleringsbrev. För 2025 uppgår detta belopp till 203 200 000 kronor. Därutöver fastställer regeringen årligen de administrationsavgifter som de myndig- heterna m.fl. som skuldför sina pensionsåtaganden ska betala till SPV. För 2024 upp- gick dessa avgifter till sammanlagt ca 6 100 000 kronor. Resterande intäkter avser främst området Pensionsverksamhet på uppdrag. År 2024 uppgick intäkterna inom det området till ca 112 700 000 kronor.

4.6.41:7 Statskontoret

Tabell 4.14 Anslagsutveckling 1:7 Statskontoret

Tusental kronor

2024

Utfall

332 9291

Anslagssparande

5 2952

2025

Anslag

337 5053

Utgiftsprognos

324 4224

2026

Förslag

325 130

 

 

 

 

 

 

 

74

Prop. 2025/26:1 Utgiftsområde 2

2027

Beräknat

318 7065

2028

Beräknat

318 0256

1Av utfallet för 2024 på 332 929 tkr avsåg 220 909 tkr ESV och 112 021 tkr Statskontoret.

2Av anslagssparandet för 2024 på 5 295 tkr avsåg 4 383 tkr ESV och 912 tkr Statskontoret.

3Av anslaget för 2025 på 337 505 tkr avser 224 363 ESV och 113 142 tkr Statskontoret. Inklusive beslut om ändringar i statens budget 2025 och förslag till ändringar i samband med denna proposition.

4Av utgiftsprognosen för 2025 på 324 422 tkr avser 215 935 tkr ESV och 108 487 tkr Statskontoret.

5Motsvarar 313 852 i 2026 års prisnivå.

6Motsvarar 307 309 i 2026 års prisnivå.

Ändamål

Anslaget får användas för Statskontorets förvaltningsutgifter och för regeringens behov av vissa förvaltningspolitiska insatser. Anslaget får även användas för verksamhetsstöd för den statliga budgetprocessen samt för utgifter för avveckling av den tidigare myndigheten med samma namn.

Skälen för regeringens förslag

Tabell 4.15 Förändringar av anslagsnivån 2026–2028 för 1:7 Statskontoret

Tusental kronor

 

2026

2027

2028

Anvisat 20251

224 363

224 363

224 363

Pris- och löneomräkning2

4 372

7 900

12 333

Beslutade, föreslagna och aviserade åtgärder

116 856

107 223

102 507

 

 

 

 

varav BP263

-14 700

-17 700

-17 700

Finansiering av inordnandet vissa arbetsuppgifter från

ESV till UBM

-6 000

-6 000

-6 000

 

 

 

 

– Medel för regeringens chefsprogram

-6 700

-6 700

-6 700

 

 

 

 

– Medel för försöksverksamhet i kommunsektorn

3 000

 

 

 

 

 

 

– Teknisk justering

-5 000

-5 000

-5 000

Överföring till/från andra anslag4

-20 461

-20 780

-21 178

Övrigt

 

 

 

 

 

 

 

Förslag/beräknat anslag

325 130

318 706

318 025

 

 

 

 

1Statens budget enligt riksdagens beslut i december 2024 (bet. 2024/25:FiU10). Beloppet är således exklusive beslut om ändringar i statens budget. Beloppet visar anvisat anslag för ESV.

2Pris- och löneomräkningen baseras på anvisade medel 2025. Övriga förändringskomponenter redovisas i löpande priser och inkluderar därmed en pris- och löneomräkning. Pris- och löneomräkningen för 2027–2028 är preliminär.

3Exklusive pris- och löneomräkning.

4Inför inrättandet av Utbetalningsmyndigheten fanns medel parkerade på Ekonomistyrningsverkets anslag. Dessa medel förs över till anslag 1:17 Utbetalningsmyndigheten.

Den 1 januari 2026 slås ESV och Statskontoret samman under det gemensamma namnet Statskontoret. Detta sker genom att Statskontorets befintliga uppgifter överförs och inordnas i ESV (prop. 2024/25:1 utg.omr. 2 avsnitt 4.6.1). I samband med avvecklingen av tidigare Statskontoret och inordnandet av myndighetens uppgifter i ESV förs anslagsmedlen över till anslaget 1:7 Statskontoret.

I samband med att uppgifterna enligt 3–5 och 7–14 §§ förordningen (2021:663) om arbetet med att säkerställa korrekta utbetalningar från välfärdssystemen inordnas i Utbetalningsmyndigheten januari 2026 minskas anslaget med 6 000 000 kronor fr.o.m. 2026. Anslaget 1:17 Utbetalningsmyndigheten ökas med motsvarande belopp.

Anslaget minskas med 6 700 000 kronor fr.o.m. 2026 och anslaget 1:1 Kammarkollegiet ökas med motsvarande belopp. Medlen används för vissa insatser riktade till myndigheternas ledning.

75

Prop. 2025/26:1 Utgiftsområde 2

Anslaget ökas med 3 000 000 kronor 2026 för stöd för försöksverksamhet i kommuner och regioner. Anslaget 1:5 Bidrag för stärkt effektivitet i kommunsektorn inom utgiftsområde 25 Allmänna bidrag till kommuner minskas med motsvarande belopp.

Anslaget minskas med 5 000 000 kronor fr.o.m. 2026 till följd av en teknisk justering.

Regeringen föreslår att 325 130 000 kronor anvisas under anslaget 1:7 Statskontoret för 2026. För 2027 och 2028 beräknas anslaget till 318 706 000 kronor respektive

318 025 000 kronor.

Budget för avgiftsbelagd verksamhet

Tabell 4.16 Avgiftsfinansierad verksamhet vid Statskontoret

Tusental kronor

 

Ack.

 

 

 

 

 

 

resultat

 

 

Kostnader

 

Ack. resultat

 

t.o.m.

Resultat

Verksamhetens

som ska

Resultat

utgående

 

2024

2025

intäkter 2026

täckas 2026

2026

2026

Verksamheter där

 

 

 

 

 

 

intäkterna disponeras

 

 

 

 

 

 

 

 

 

 

 

 

 

Uppdragsverksamhet

 

 

 

 

 

 

Ekonomisk styrning

 

 

7 100

 

 

 

 

 

 

 

 

 

 

varav avgift för samråd enligt

 

 

 

 

 

 

7 § avgiftsförordningen

649

30

1 700

1 700

0

679

Tjänsteexport

1 049

0

0

0

0

1 049

 

 

 

 

 

 

 

Uppdragsverksamheten avser områdena ekonomisk styrning och tjänsteexport. Den ekonomiska styrningen är i sin tur uppdelad i uppdrag och utbildningar respektive avgifter för samråd. Från och med 2024 får avgifter för den del av den ekonomiska styrningen som avser uppdrag och utbildningar bestämmas upp till full kostnadstäckning.

4.6.51:14 Statens servicecenter

Anslagsutveckling 1:14 Statens servicecenter

Tusental kronor

2024

Utfall

905 396

Anslagssparande

67 485

2025

Anslag

937 1471

Utgiftsprognos

927 914

2026

Förslag

913 560

 

 

 

 

 

 

 

2027

Beräknat

877 2992

 

 

2028

Beräknat

894 8063

 

 

1Inklusive beslut om ändringar i statens budget 2025 och förslag till ändringar i samband med denna proposition.

2Motsvarar 866 169 tkr i 2026 års prisnivå.

3Motsvarar 868 110 tkr i 2026 års prisnivå.

Ändamål

Anslaget får användas för Statens servicecenters förvaltningsutgifter i den mån de inte finansieras med avgifter.

76

Prop. 2025/26:1 Utgiftsområde 2

Skälen för regeringens förslag

Tabell 4.17 Förändringar av anslagsnivån 2026–2028 för 1:14 Statens servicecenter

Tusental kronor

 

2026

2027

2028

Anvisat 20251

937 147

937 147

937 147

Pris- och löneomräkning2

17 450

29 716

46 806

Beslutade, föreslagna och aviserade åtgärder

-41 037

-89 564

-89 147

 

 

 

 

varav BP263

10 000

10 000

10 000

– Medel för att säkra effektiv medborgarservice

10 000

10 000

10 000

 

 

 

 

Överföring till/från andra anslag

 

 

 

 

 

 

 

Övrigt

 

 

 

 

 

 

 

Förslag/beräknat anslag

913 560

877 299

894 806

1Statens budget enligt riksdagens beslut i december 2024 (bet. 2024/25:FiU10). Beloppet är således exklusive beslut om ändringar i statens budget.

2Pris- och löneomräkningen baseras på anvisade medel 2025. Övriga förändringskomponenter redovisas i löpande priser och inkluderar därmed en pris- och löneomräkning. Pris- och löneomräkningen för 2027–2028 är preliminär.

3Exklusive pris- och löneomräkning.

I syfte att säkra effektiv medborgarservice ökas anslaget med 10 000 000 kronor fr.o.m. 2026.

Regeringen föreslår att 913 560 000 kronor anvisas under anslaget 1:14 Statens servicecenter för 2026. För 2027 och 2028 beräknas anslaget till 877 299 000 kronor respektive 894 806 000 kronor.

Budget för avgiftsbelagd verksamhet

Tabell 4.2218Avgiftsfinansierad verksamhet vid Statens servicecenter

Tusental kronor

 

Ack.

 

Verksam-

Kostnader

 

Ack.

 

resultat

Result

hetens

som ska

 

resultat

 

t.o.m.

at

intäkter

täckas år

Resultat

utgående

Verksamhet

2024

2025

2026

2026

2026

2026

Verksamheter där intäkterna

 

 

 

 

 

 

disponeras

 

 

 

 

 

 

 

 

 

 

 

 

 

Uppdragsverksamhet

 

 

 

 

 

 

 

 

 

 

 

 

 

varav tillhandahållande av administrativt

 

 

 

 

 

 

stöd till andra myndigheter

-100 300

4 900

600 200

583 200

17 000

-78 400

 

 

 

 

 

 

 

Anm.: Intäkterna avser avgifter för tillhandahållande av administrativt stöd åt myndigheter. Statens servicecenter disponerar även intäkter i verksamhet avseende lokal statlig service. Intäkterna består främst av ersättning från AP- fonder och premiepensionssystemet samt ersättning från Skatteverket för hantering av id-kort vid servicekontoren. Under 2026 beräknas intäkterna uppgå till 96 000 tkr. Dessa intäkter redovisas inte i tabellen ovan.

Källa: Statens servicecenter.

77

Prop. 2025/26:1 Utgiftsområde 2

5 Fastighetsförvaltning

5.1Mål för området

Med utgångspunkt i de riktlinjer som riksdagen har beslutat inom lokalförsörjnings- och fastighetsområdet (prop. 1991/92:44, bet. 1991/92:FiU8, rskr. 1991/92:107) är regeringens mål för området en kostnadseffektiv statlig fastighetsförvaltning med rimligt risktagande samt med likvärdig avkastning och service i jämförelse med andra alternativ.

Regeringen har preciserat följande delmål för de fastighetsförvaltande myndigheterna Fortifikationsverket (Fortv) och Statens fastighetsverk (SFV) inom ramen för det ovan nämnda målet och de nationella miljökvalitetsmålen:

Fastigheterna ska förvaltas så att god resurshushållning och hög ekonomisk effektivitet uppnås.

Fastigheternas värden ska bevaras på en för ägaren och brukaren långsiktigt lämplig nivå.

Hyresgästerna ska ges ändamålsenliga och konkurrenskraftiga lokaler, mark- områden och anläggningar.

Myndigheterna ska uppfattas som kompetenta och serviceinriktade hyresvärdar.

Myndigheterna ska inom sitt område verka för att uppfylla de nationella miljö- kvalitetsmålen.

Hänsynen till miljö- och kulturmiljövärden ska i tillämpliga delar motsvara vad som gäller för andra stora fastighetsförvaltare.

Fortv:s förvaltning av fastigheter avsedda för försvarsändamål och utveckling av detta fastighetsbestånd ska vara ändamålsenlig och stärka den operativa förmågan i Försvarsmakten i enlighet med det försvarspolitiska inriktningsbeslutet 2020

(prop. 2020/21:30, bet. 2020/21:FöU4, rskr. 2020/21:136).

Det finns ett riksdagsbundet mål för arkitektur, form och design. I enlighet med detta ska bl.a. Fortv och SFV, utifrån sina respektive förutsättningar, agera föredömligt för hållbara och tillgängliga gestaltade livsmiljöer inom staten (se utg.omr. 17).

5.2Resultatindikationer och andra bedömningsgrunder

För att följa upp utvecklingen inom verksamhetsområdet i förhållande till målen används i huvudsak följande indikatorer:

driftkostnad i kronor per kvadratmeter

underhållskostnad i kronor per kvadratmeter

hyresintäkt i kronor per kvadratmeter

driftnetto i kronor per kvadratmeter

vakansgrad

kundnöjdhet

energianvändning

myndigheternas miljöledningsarbete.

Såväl Fortv som SFV ska, i enlighet med sina respektive regleringsbrev för 2025, uppnå ett resultat som efter finansiella poster motsvarar en avkastning om

79

Prop. 2025/26:1 Utgiftsområde 2

4,54 procent på 30 procent av myndighetens genomsnittliga lån för samhällsinvesteringar i Riksgäldskontoret.

Fastigheterna i SFV:s fastighetsbestånd delas in i tre kategorier: fastigheter med en marknadsmässig hyressättning (marknadshyresfastigheter), fastigheter med en kostnadsbaserad hyressättning (kostnadshyresfastigheter) och fastigheter där hyres- intäkterna inte långsiktigt kan täcka kostnaderna (bidragsfastigheter). Regeringens ambition är att intäkterna från bidragsfastigheterna på sikt ska öka och att kostnaderna för dem ska minska. För fastigheter med kostnadshyra gäller att hyresgästen betalar en hyra som över tid motsvarar kostnaderna för drift, underhåll, administration och kapitalkostnader.

5.3Resultatredovisning

Fortv och SFV är de två största fastighetsförvaltande myndigheterna. De förvaltar bl.a. ett stort antal försvarsanläggningar med tillhörande byggnader samt kultur- historiskt värdefulla byggnader, stora markområden samt produktionsskog och skog med höga naturvärden.

5.3.1Fastigheternas värde

Tabell 5.1 Myndigheternas byggnader, mark och fast egendom

Bokfört värde i miljoner kronor

 

2020

2021

2022

2023

2024

Staten

47 105

50 156

55 727

59 036

65 169

 

 

 

 

 

 

– varav Fortv

12 563

14 585

18 424

20 300

25 367

 

 

 

 

 

 

– varav SFV

16 720

16 651

16 650

18 033

18 224

Fortv:s och SFV:s andel

62,2%

62,3%

62,9%

64,9%

66,9%

 

 

 

 

 

 

Källor: Årsredovisningar för staten 2020–2024.

I tabell 5.1 redovisas Fortv:s och SFV:s fastighetsvärden. Uppgifterna bör bedömas med viss försiktighet, bl.a. då vissa tillgångar med kulturhistoriskt värde inte tas upp i balansräkningen. Andra myndigheter som förvaltar fast egendom är bl.a. Affärsverket svenska kraftnät, Kammarkollegiet, Luftfartsverket, Naturvårdsverket, Riksdags- förvaltningen, Sjöfartsverket, Sveriges lantbruksuniversitet och Trafikverket. Värdet av statens innehav av fast egendom och byggnader ökade 2024. Fortv:s och SFV:s investeringstakt bedöms vara fortsatt hög under de kommande åren.

Antalet inkomna beställningar av investeringar i form av ny- och ombyggnationer till Fortv uppgick till 286, vilket är en ökning med 29 procent jämfört med 2023. Det uppskattade värdet på beställningarna uppgår till sammanlagt 28 miljarder kronor, vilket är en ökning med 115 procent jämfört med 2023, då det sammanlagda värdet bedömdes till 13 miljarder kronor.

Under perioden 2020–2024 minskade den totala lokalarean som förvaltas av SFV (se tabell 5.2). Minskningen beror på försäljningar samt överföringar av förvaltnings- ansvaret för fastigheter under 2024. Lokalarean för marknadsfastigheter ökade under perioden, vilket delvis förklaras av att bidragsfastigheter klassificerades om till marknadsfastigheter. Uppgifterna om Fortv:s lokalarea omfattar enbart uthyrningsbar yta i det öppna beståndet, dvs. objekt som används av fredsorganisationen och som inte är av hemlig natur, såsom garnisoner och skjutfält. Fortv:s uthyrningsbara brutto- area ökade 2024 med över 100 000 kvadratmeter jämfört med 2023.

80

Prop. 2025/26:1 Utgiftsområde 2

Tabell 5.2 Omfattningen av de fastighetsförvaltande myndigheternas lokalbestånd

Lokalarea (1 000 m2)

 

2020

2021

2022

2023

2024

Fortv

2 785

2 814

2 867

2 994

3 080

 

 

 

 

 

 

SFV

1 631

1 628

1 628

1 603

1 602

 

 

 

 

 

 

– varav marknadshyresfastigheter

1 167

1 170

1 171

1 146

1 173

 

 

 

 

 

 

– varav kostnadshyresfastigheter

98

98

98

98

96

 

 

 

 

 

 

– varav bidragsfastigheter

366

360

359

359

333

 

 

 

 

 

 

Anm.: Försvarsanläggningar redovisas normalt som bruttoarea. Omräkningsfaktor till lokalarea, som är ett vanligare jämförelsetal, är 0,83. Uppgifterna om Fortv:s lokalarea omfattar enbart uthyrningsbar yta i det öppna beståndet. Intäkter och kostnader för 2021–2024 har justerats i tabellen för att anpassas till villkor i regleringsbrevet för 2025.

Källor: Fortifikationsverkets och Statens fastighetsverks årsredovisningar 2020–2024.

Fortv:s resultat före dispositioner uppgick 2024 till 281 miljoner kronor (se tabell 5.3), vilket var 98 miljoner kronor högre än vad som hade prognosticerats. Detta berodde framför allt på lägre räntor och senarelagda lån, vilket påverkade utfallet inom förvaltningsverksamheten. En högre takt i avverkningen av skog än beräknat var också en bidragande orsak till resultatet. Fortv har, i enlighet med avkastningskravet för 2024 på 3,62 procent på 30 procent av myndighetens genomsnittliga lån för samhällsinvesteringar i Riksgäldskontoret, betalat in 287 miljoner kronor till statens centralkonto. Efter dispositioner redovisar Fortv ett negativt resultat på 12 miljoner kronor.

Tabell 5.3 Uppgifter om det ekonomiska utfallet för Fortv

Miljoner kronor

 

Utfall 2021

Utfall 2022

Utfall 2023

Utfall 2024

Prognos 2025

Budget 2026

Totala intäkter

4 384

4 877

5 937

6 467

7 453

9 278

 

 

 

 

 

 

 

Totala kostnader

4 291

4 706

5 834

6 186

7 086

8 409

 

 

 

 

 

 

 

Resultat

93

171

103

281

367

869

 

 

 

 

 

 

 

Källa: Fortifikationsverket.

 

 

 

 

 

 

För 2024 uppgick SFV:s resultat före fastighetsförsäljningar till 727 miljoner kronor (se tabell 5.4), vilket var högre än avkastningskravet. De generellt höga marknads- priserna och indexregleringar av hyresavtal har påverkat resultatet positivt de senaste åren. SFV har, i enlighet med avkastningskravet för 2024 på 3,62 procent på

30 procent av myndighetens genomsnittliga lån för investeringar i fastigheter och anläggningar i Riksgäldskontoret, betalat in 133 miljoner kronor till statens central- konto.

Tabell 5.4 Uppgifter om det ekonomiska utfallet för SFV

Miljoner kronor

 

Utfall 2021

Utfall 2022

Utfall 2023

Utfall 2024

Prognos 2025

Budget 2026

Totala intäkter

3 313

3 414

3 637

3 788

3 376

3 377

Totala kostnader

2 485

2 839

2 876

3 061

2 632

2 658

 

 

 

 

 

 

 

Resultat

828

575

762

727

744

719

 

 

 

 

 

 

 

Källor: Statens fastighetsverks årsredovisningar 2021–2024 och budgetunderlag för 2026–2028.

5.3.2Resultatindikationer

Fortv och SFV förvaltar olika typer av fastighetsbestånd. Myndigheterna har inte samma marknadsförutsättningar för sina bestånd. Sammantaget medför detta att det i flera fall är missvisande att jämföra myndigheternas nyckeltal med varandra. Syftet med indikatorerna och nyckeltalen är därför framför allt att redovisa respektive myndighets utveckling över tid. SFV har utöver de tre verksamhetsgrenar som

81

Prop. 2025/26:1 Utgiftsområde 2

redovisas i tabellerna nedan även verksamhetsgrenen mark som innefattar jord, skog, kronoholmar och tomträtter.

Hyresintäkt i kronor per kvadratmeter

Fortv:s hyresintäkter per kvadratmeter ökade 2024 med 85 kronor jämfört med 2023 (se tabell 5.5). Ökningen beror framför allt på en ökning av kapitalkostnaderna till följd av investeringar i fastigheter, att ett antal större fastighetsförvärv genomförts och en högre kalkylränta. Även underhålls- och driftskostnaderna ökade 2024.

Tabell 5.5 Utveckling av hyresintäkter för Fortv

Kronor per kvadratmeter

 

2022

2023

2024

Fortv

772

806

891

 

 

 

 

Källa: Fortifikationsverkets årsredovisning 2024.

 

 

 

SFV:s totala hyresintäkter per kvadratmeter ökade 2022–2024 (se tabell 5.6). Ökningen berodde främst på omförhandlade och tillkommande avtal samt index- uppräkningar av hyror.

Tabell 5.6 Utveckling av hyresintäkter för SFV

Kronor per kvadratmeter

 

2022

2023

2024

Marknadshyresfastigheter

2 025

2 210

2 285

 

 

 

 

Kostnadshyresfastigheter

1 545

1 615

1 770

Bidragsfastigheter

241

252

259

 

 

 

 

Totalt

1 711

1 848

1 950

 

 

 

 

Källor: Statens fastighetsverks årsredovisningar 2022–2024.

Driftkostnad i kronor per kvadratmeter

Fortv:s driftkostnad per kvadratmeter ökade från 44 kronor 2023 till 49 kronor 2024 (se tabell 5.7). Ökningen beror framför allt på införandet av ett nytt fastighetssystem, vilket är en tillfällig kostnad.

Tabell 5.7 Utveckling av driftkostnader för Fortv

Kronor per kvadratmeter

 

2022

2023

2024

Fortv

41

44

49

 

 

 

Källor: Fortifikationsverkets årsredovisningar 2022–2024.

 

 

SFV hade högre driftkostnader 2024 jämfört med 2023, vilket bl.a. berodde på ökade kostnader för fjärrvärme, vatten och avlopp samt driftavtal (se tabell 5.8).

Tabell 5.8 Utveckling av driftkostnader för SFV

Kronor per kvadratmeter

 

2022

2023

2024

Marknadshyresfastigheter

367

401

399

 

 

 

 

Kostnadshyresfastigheter

351

386

376

Bidragsfastigheter

248

267

288

 

 

 

 

Totalt1

360

389

395

1Inklusive driftkostnader för verksamhetsgrenen mark som saknar uthyrningsbar area. Inkluderar bl.a. kostnader för fastighetsskötsel, teknisk service, service- och driftavtal samt mediaförsörjning.

Källor: Statens fastighetsverks årsredovisningar 2022–2024.

82

Prop. 2025/26:1 Utgiftsområde 2

Underhållskostnad i kronor per kvadratmeter

Fortv:s underhållskostnader ökade 2024 jämfört med 2023. Fler beställningar av underhållsåtgärder från Försvarsmakten förklarar den ökade underhållskostnaden jämfört med föregående år (se tabell 5.9). Den tillfälliga ökningen 2022 berodde på utökad verksamhet hos hyresgästerna, vilket medförde fler underhållsåtgärder.

Tabell 5.9 Utveckling av underhållskostnader för Fortv

Kronor per kvadratmeter

 

2022

2023

2024

Fortv

90

69

82

 

 

 

 

Källa: Fortifikationsverkets årsredovisning 2024.

 

 

 

Även SFV:s underhållskostnader ökade 2024 (se Tabell 5.10). Myndighetens under- hållskostnader är relativt höga jämfört med branschen i övrigt, vilket beror på att underhållsåtgärder på kulturfastigheter ofta är mer resurskrävande än motsvarade åtgärder på andra fastigheter. Underhållskostnaderna för bidragsfastigheter var högre 2024 än 2023, vilket berodde på att fler underhållsåtgärder kunde vidtas till följd av ökade anslagsmedel. Exempel på sådana åtgärder är upprustning av murverk på Bohus fästning, Kungälv och Nya Älvsborgs fästning i Göteborg, fyrunderhåll på Rödkallen i Luleå och utredning av underhållsbehovet för Kronobergs slottsruin i Växjö.

Tabell 5.10 Utveckling av underhållskostnader för SFV

Kronor per kvadratmeter

 

2022

2023

2024

Marknadshyresfastigheter

214

236

243

 

 

 

 

Kostnadshyresfastigheter

167

163

187

 

 

 

 

Bidragsfastigheter

669

566

775

 

 

 

 

Totalt

326

305

350

 

 

 

 

Källor: Statens fastighetsverks årsredovisningar 2022–2024.

 

 

 

Driftnetto i kronor per kvadratmeter

Driftnettot motsvarar intäkter minus kostnader före avskrivningar och räntor. Det redovisade driftnettot beräknas för det öppna beståndet och speglar resultatet i den normala förvaltningsverksamheten.

Driftnettot för Fortv ökade 2024 jämfört med 2023. Det beror på ett stort antal tillträden till fastigheter och genomförda förvärv, vilket medför en högre kapitalersättning. I driftnettot redovisas intäkter för kapital (avskrivningar och räntor) men motsvarande sker inte på kostnadssidan där kostnader för avskrivningar och räntor inte ingår i redovisningen. (se tabell 5.11). Definitionen för driftnetto har justerats från 2023, beloppen för jämförelseåret 2022 har därför uppdaterats.

Tabell 5.11 Utveckling av driftnetto för Fortv

Kronor per kvadratmeter

 

2022

2023

2024

Fortv

404

414

482

 

 

 

Källor: Fortifikationsverkets årsredovisningar 2022–2024.

 

 

För SFV minskade driftnettot inom verksamhetsområdet kostnadshyresfastigheter 2024 jämfört med 2023 (se tTabell 5.12). Det beror på att kostnaderna ökade, främst till följd av att kostnader för den förstudie för en renovering av operabyggnaden i Stockholm som genomfördes 2015, bokfördes under 2024.

83

Prop. 2025/26:1 Utgiftsområde 2

Tabell 5.12 Utveckling av driftnetto för SFV

Kronor per kvadratmeter

 

2022

2023

2024

Marknadshyresfastigheter

1 046

1 284

1 385

 

 

 

 

Kostnadshyresfastigheter

858

887

-418

 

 

 

 

Bidragsfastigheter

108

98

160

 

 

 

 

Källor: Statens fastighetsverks årsredovisningar 2022–2024.

 

 

 

Förändringarna av lokalytornas vakansgrad varierar

I statens fastighetsbestånd finns vissa lokalytor som inte är uthyrda, vilket brukar beskrivas som en fastighetsförvaltares vakansgrad.

För Fortv var vakansgraden fortsatt låg 2024 (3 procent).

Det finns ytor i SFV:s bestånd som är svåra att hyra ut eller som kräver större renoveringar och därför är vakanta. Vakanta ytor i SFV:s bestånd finns inom flera verksamhetsgrenar. Två exempel är armébatteriet Bomyrberget i Jokkmokk och Centralposthuset i Stockholm. SFV:s vakansgrad minskade från 5,8 procent 2023 till 5,6 procent 2024.

Undersökning av kundnöjdhet sker regelbundet

Fortv och SFV genomför regelbundet kundundersökningar som kan användas för att bedöma om myndigheterna tillhandahåller det kunderna efterfrågar och hur kunderna uppfattar dem som hyresvärdar. Kundundersökningarna mäts mot myndigheternas egna uppsatta mål. Från och med 2024 genomför SFV kundundersökningar varje år, i stället för vartannat år. Resultatet för SFV visar på en högre kundnöjdhet än vid den senaste mätningen och uppfyller de mål som myndigheten satt upp.

Utvecklingen av energianvändningen varierar

Fortv och SFV har fortsatt fokus på miljö- och kulturmiljövärden och hållbar utveckling. Arbetet med att upprätta vårdprogram för alla statliga byggnadsminnen och vidta åtgärder för en ökad energieffektivisering fortsätter.

Under 2024 ökade energianvändningen för de byggnader som SFV förvaltar med 1,6 procent. Detta berodde främst på att flera större byggnader åter togs i drift.

Den totala energianvändningen i Fortv:s byggnader ökade 2024 jämfört med 2023 (se tabell 5.13). Att förbrukningen av el, inklusive för uppvärmning ökade berodde främst på försvarets expansion och att antalet värnpliktiga ökat. Fortv har i likhet med föregående år verkat för en effektivare energianvändning, men tillväxten i försvars- sektorn ökade i högre takt än genomförandet av energieffektiviseringsåtgärderna. Energianvändningen ökade därför från 167 kWh/m2 2023 till 171 kWh/m2 2024.

Tabell 5.13 Utveckling av energianvändningen för Fortv

Energianvändning i GWh

 

2022

2023

2024

Fortv

409

432

471

 

 

 

Källor: Fortifikationsverkets årsredovisningar 2022–2024.

 

 

SFV minskade sin användning av köpt energi 2022–2024 (se tabell 5.14). Användningen för 2024 var på samma nivå som för 2023.

84

Prop. 2025/26:1 Utgiftsområde 2

Tabell 5.14 Utveckling av energianvändningen för SFV

Total energianvändning i GWh

 

2022

2023

2024

Sverige

198

195

196

 

 

 

 

Utrikes

20

19

19

 

 

 

 

Totalt1

218

215

215

1Bidragsfastigheter ingår i tabellen ovan men ingår inte i uppdraget att minska energianvändningen. Källor: Statens fastighetsverks årsredovisningar 2022–2024.

Myndigheternas miljöledningsarbete fortsätter

I Naturvårdsverkets rapport Miljöledning i staten för 2024 finns Fortv på listan över de tio myndigheter som har störst utsläpp av koldioxid per årsarbetskraft från bilresor. Fortv befinner sig i en stark tillväxt, vilket medför behov av fler resor. Både Fortv och SFV arbetar aktivt med att sänka koldioxidutsläppen från bil- och flygresor samt att öka antalet resefria och digitala möten. Båda myndigheterna har dock ett behov av att använda större arbetsfordon. En del av SFV:s verksamhet bedrivs vidare utomlands och på andra kontinenter, t.ex. vid Sveriges ambassader, varför en del flygresor är nödvändiga.

SFV arbetar systematiskt med sitt miljöarbete, är certifierade enligt ISO 14001 och har tillhörande miljö- och hållbarhetspolicyer.

År 2024 fortsatte Fortv och SFV att arbeta med uppdragen om att, i den utsträckning det är förenligt med myndigheternas grunduppdrag, anlägga och restaurera våtmarker (Fi2023/03284 [delvis]). Uppdragen redovisades till Regeringskansliet i december 2024. Under 2024 har SFV utfört 12 åtgärder på totalt 32 hektar i egen regi samt en åtgärd i samverkan med annan aktör på totalt 36 hektar. Fortv har genomfört tre våt- marksprojekt under 2024 på myndighetens övnings- och skjutfält.

Fortv fortsätter att stärka den operativa försvarsförmågan

Den fortifikatoriska infrastrukturen möjliggör för Försvarsmakten att kunna bedriva sin verksamhet dygnet runt, året om, samt bidrar till att stärka den samlade total- försvarsförmågan. År 2024 låg kostnaderna för Fortv:s investeringar i infrastruktur och åtgärder för vidmakthållande på den högsta nivån någonsin. Fortv har 2024 gemensamt med Försvarsmakten och Försvarets materielverk fortsatt arbetet med att utveckla effektiva och ändamålsenliga arbetssätt med syfte att korta ledtider och säker- ställa en koordinerad förmågetillväxt.

Sveriges medlemskap i Nato ställer ytterligare krav på försvarsinfrastrukturen. Fortv har tillsammans med Försvarsmakten och Försvarets materielverk påbörjat förberedelser för att kunna genomföra programmet för säkerhetsinvesteringar (NSIP). Utöver inträdet i Nato har Fortv varit aktiva i Sveriges förberedelser inför genom- förandet av försvarssamarbetsavtalet med USA (DCA).

Myndigheternas större investeringar

Fortv och SFV har i regleringsbreven för 2024 fått i uppdrag att redovisa utvecklingen i pågående och nyligen avslutade investeringar som är beslutade av regeringen (se tabellerna 5.15 och 5.16).

85

Prop. 2025/26:1 Utgiftsområde 2

Tabell 5.15 Investeringar i öppna beståndet beslutade av regeringen för Fortv

Miljoner kronor

 

Nybyggnad/

 

 

 

Utfall

 

 

 

Beslutat

Prognos

t.o.m.

 

 

 

 

 

Investering

Ombyggnad

Beslutsår

belopp

totalt

2024

Färdigt år

 

 

 

 

 

 

 

Berga

O

2024

350

350

14,5

2033

Eksjö storkök

O

2023

80

4

67

2025

 

 

 

 

 

 

 

Eksjö

 

 

 

 

 

 

utbildningsanläggning

N

2022

115

110

35

2025

Gotland Tofta etapp 2

N

2022

1 600

1 022

272

2025

 

 

 

 

 

 

 

Gotland Tofta, Kasern 2

 

2024

300

250

10

2026

 

 

 

 

 

 

 

Göteborg örlogshamn

O

2022

230

176

8,5

2027

Halmstad hangar luftvärn

N

2022

1 300

1 001

101

2026

 

 

 

 

 

 

 

Halmstad kasern

O

2022

160

126

47

2025

 

 

 

 

 

 

 

Halmstad Om- tillbyggnad

 

 

 

 

 

 

skolbyggnad MHS

O

2024

318

228

29

2027

 

 

 

 

 

 

 

Karlberg

N

2024

490

478

64

2028

 

 

 

 

 

 

 

Karlberg Solna Nytomta 3

 

 

 

 

 

 

(förvärv)

N

2022

2 900

2 840

2

2025

 

 

 

 

 

 

 

Karlsborg hangarer

N

2021

725

718

316

2025

 

 

 

 

 

 

 

Karlsborg flygplats

N

2023

400

59

338

2025

Karlsborg Vanäs (förvärv)

N

2023

76

70

70

2024

 

 

 

 

 

 

 

Karlskrona

 

 

 

 

 

 

bunkringsanläggning

N

2021

150

132

31

2026

Karlskrona Najaden

O

2023

130

122

115

2023

 

 

 

 

 

 

 

Karlskrona ubåtskaj

N

2022

222

175

7

2025

 

 

 

 

 

 

 

Karlskrona kajer

O

2023

1 560

1 074

21

2027

Karlskrona Flottans

 

 

 

 

 

 

skeppsbro

O

2023

145

120

10

2026

 

 

 

 

 

 

 

Kungsängen teknikhall

N

2023

160

133

10

2025

Muskö renovering

 

 

 

 

 

 

kanslibyggnad

O

2023

170

145

19

2026

 

 

 

 

 

 

 

Revingehed kontor

N

2022

150

128

88

2024

Revingehed

 

 

 

 

 

 

utbildningscentrum

N

2019

180

128

128

2023

 

 

 

 

 

 

 

Revingehed Camp Gripen

N

2019

150

95

95

2023

Ronneby platta 3 och 4

O

2023

260

217

5

2025

 

 

 

 

 

 

 

Skredsvik

 

 

 

 

 

 

huvudförläggning

N

2022

95

70

34

2025

Skredsvik infrastruktur

O

2022

250

166

16

2025

 

 

 

 

 

 

 

Skövde uppställningsplats

O

2022

85

74

15

2025

 

 

 

 

 

 

 

Solna Skogskarlen

O

2022

500

450

10

2026

Stockholm Färöarna 1

 

 

 

 

 

 

(förvärv)

N

2023

316

316

316

2023

 

 

 

 

 

 

 

Umeå CBRN

 

 

 

 

 

 

träningsanläggning

N

2021

220

248

189

2025

 

 

 

 

 

 

 

Umeå Skyddscentrum

 

 

 

 

 

 

Inomhustränings-

 

 

 

 

 

 

anläggning

N

2024

265

264

231

2025

 

 

 

 

 

 

 

Källa: Fortifikationsverkets avvikelserapport avseende investeringsplan för fastigheter 2025–2028.

86

Prop. 2025/26:1 Utgiftsområde 2

Tabell 5.16 Investeringar beslutade av regeringen för SFV

Miljoner kronor

 

Nybyggnad/

 

 

 

Utfall

 

 

 

Beslutat

Prognos

t.o.m.

 

 

 

 

 

Investering

Ombyggnad

Beslutsår

belopp

totalt

2024

Färdigt år

 

 

 

 

 

 

 

Ambassadbyggnaden,

 

 

 

 

 

 

Helsingfors

O

2022

300

206

76

2025

 

 

 

 

 

 

 

Ambassadbyggnaden,

 

 

 

 

 

 

Peking

O

2023

200

169

100

2026

Ambassadbyggnaden,

 

 

 

 

 

 

Tokyo

O

2025

925

770

46

2027

 

 

 

 

 

 

 

Amiralitetshuset,

 

 

 

 

 

 

Stockholm

O

2023

49

41

39

2025

 

 

 

 

 

 

 

Blåsenhus,

 

 

 

 

 

 

Trädgårdsvillan, Uppsala

O

2020

47

44

44

2024

Generalkonsulatet, New

 

 

 

 

 

 

York

O

2021

96

85

71

2025

 

 

 

 

 

 

 

Gustavianum, Uppsala

O

2021

110

59

59

2024

Kv. Johannes Större,

 

 

 

 

 

 

Stockholm

O

2023

62

47

32

2025

 

 

 

 

 

 

 

Kv. Lejonet, Stockholm1

O

2021

250

1 650

35

2029

Kv. Lejonet, delprojekt

 

 

 

 

 

 

byte kylmaskiner2

O

2021

40

40

23

2025

Kv. Rosenbad, Stockholm

O

2022

2 350

1 917

1 917

2024

Kungshuset, Lund

O

2022

80

80

75

2024

 

 

 

 

 

 

 

Lunds universitet, växthus

 

 

 

 

 

 

och orangerier

O

2023

70

62

34

2026

Manillaskolan, Stockholm

O

2023

137

92

23

2027

 

 

 

 

 

 

 

Moderna museet,

 

 

 

 

 

 

Stockholm

O

2024

90

66

23

2025

Naturhistoriska

 

 

 

 

 

 

riksmuseet, Stockholm

O

2022

180

166

156

2025

 

 

 

 

 

 

 

Operabyggnaden,

 

 

 

 

 

 

Stockholm, fasad och tak

O

2022

133

133

23

2025

 

 

 

 

 

 

 

Operabyggnaden,

 

 

 

 

 

 

Stockholm, projektering3

O

2024

325

2 5004

40

2032

Skeppsholmen,

 

 

 

 

 

 

Stockholm, Kajer och

 

 

 

 

 

 

dykdalber

O

2024

376

313

124

2028

Skeppsholmen,

 

 

 

 

 

 

Stockholm, Kasern III

O

2024

175

145

72

2025

 

 

 

 

 

 

 

Universitetshuset, Lund

O

2022

55

322

22

2028

Yttre Riddarholmen,

 

 

 

 

 

 

Stockholm

O

2018

165

180

79

2030

 

 

 

 

 

 

 

Östra och västra

 

 

 

 

 

 

gymnasiehusen,

 

 

 

 

 

 

Stockholm

O

2022

146

112

89

2025

 

 

 

 

 

 

 

1Prognosen bygger på en hemställan från SFV.

2Ingår i projekt kv. Lejonet, Stockholm.

3Inklusive en förstudie för en renovering av operabyggnaden i Stockholm.

4Prognosen bygger på en hemställan från SFV. Frågan om en renovering av operabyggnaden i Stockholm bereds i Regeringskansliet.

Källa: Statens fastighetsverks avvikelserapport avseende investeringsplan för fastigheter 2025–2028.

5.4Regeringens bedömning av måluppfyllelsen

Regeringen anser att Fortv och SFV har genomfört sina uppdrag tillfredsställande och att myndigheterna till stora delar har uppfyllt sina mål.

87

Prop. 2025/26:1 Utgiftsområde 2

Att kostnaderna för bl.a. material, energi och transporter har ökat de senaste åren ställer ökade krav på Fortv och SFV för att kunna uppnå delmålet om god resurs- hushållning och hög ekonomisk effektivitet. Vidare bedriver Fortv och SFV verksamheter i branscher med stora upphandlingar och omsätter betydande värden, vilket medför en ökad risk för korruption. En god förvaltningskultur är viktig för att uppnå god resurshushållning och hög ekonomisk effektivitet. För Fortv är det av särskild vikt att den interna styrningen och kontrollen säkerställs, parallellt med en snabb förstärkning av den operativa förmågan då myndigheten befinner sig i en tillväxtfas, med stora fastighetsförvärv och investeringar inom försvarsområdet, som medför betydande risker och har stora finansiella effekter för staten. I den redovisning som Myndigheten för totalförsvarsanalys lämnade till regeringen den 2 december 2024 bedöms Fortv:s investeringar göras med rimlig kostnadseffektivitet och god kostnadskontroll. Den svaga produktivitetsutvecklingen och en delvis svag konkurrens i byggbranschen är dock en utmaning för kostnadseffektiviteten. Regeringen bedömer att Fortv:s och SFV:s fastighetsförvaltning under året har genomförts i enlighet med delmålet om god resurshushållning och hög ekonomisk effektivitet, trots de förändrade säkerhetspolitiska och ekonomiska förutsättningarna.

Ökningen av SFV:s anslag för 2024 möjliggjorde att fler åtgärder kunde genomföras på de bidragsfastigheter som SFV förvaltar. Det bidrog till att de totala underhålls- kostnaderna ökade. Regeringen bedömer att åtgärderna har bidragit till delmålet om att bevara fastigheternas värden för ägaren och brukaren på en långsiktigt lämplig nivå.

Intäkterna påverkas av omfattningen av den yta som myndigheterna hyr ut och förvaltar. Efterfrågan på Fortv att tillhandahålla ändamålsenliga lokaler ökar kraftigt på grund av omvärldsutvecklingen. Omfattningen av Fortv:s fastighetsbestånd fortsätter att öka och är nu på den högsta nivån någonsin. Fortv:s tillväxttakt medför fördyrningar per kvadratmeter. Det förklaras framför allt av ett stort antal tillträden till fastigheter och att flertalet större fastighetsförvärv genomförts som medför ett ökat lånebehov och en högre kalkylränta. Att energianvändningen ökar är en naturlig följd av försvarets expansion som bl.a. innebär att fler värnpliktiga ska utbildas. Regeringen bedömer att Fortv under 2024 med god hushållning och med tillräcklig kostnads- effektivitet har bidragit till den operativa försvarsförmågan.

5.5Politikens inriktning

De riktlinjer som beslutats av riksdagen inom lokalförsörjnings- och fastighetsområdet ligger fast. Detta innebär bl.a. att statens fastighetsförvaltning bör vara skild från brukandet av lokaler och mark, att förvaltningen bör bedrivas med ett avkastningskrav som i så stor utsträckning som möjligt är marknadsmässigt, samt att de fastigheter som av historiska eller andra skäl är olämpliga att föra över till bolag bör koncentreras i en samordnad förvaltning som bedrivs i myndighetsform. De fastighetsförvaltande myndigheterna ska bl.a. förvalta fastigheterna så att en god hushållning och en hög ekonomisk effektivitet uppnås. Fastigheternas värden ska bevaras på en för ägaren och brukaren långsiktigt lämplig nivå. Fortv och SFV ska också, i den utsträckning som det är förenligt med myndigheternas grunduppdrag, verka för att uppfylla de nationella miljömålen, bl.a. vad gäller energieffektivitet och begränsning av klimat- påverkan, samt att bevara och nyttja biologisk mångfald på ett hållbart sätt.

Som beskrivs i regeringens nationella säkerhetsstrategi (skr. 2023/24:163) ska totalförsvaret tillmätas stor betydelse när avvägningar och prioriteringar mellan olika samhällsintressen görs.

Tillväxten av det militära försvaret ställer höga krav på att Fortv:s fastighetsbestånd utvecklas för att tillmötesgå Försvarsmaktens och övriga totalförsvarsmyndigheters

88

Prop. 2025/26:1 Utgiftsområde 2

ökande behov. Den höga investeringstakten behöver fortsätta för att målet om att stärka totalförsvaret ska kunna uppnås. Fortv har med sin fortifikatoriska kunskap en viktig roll i arbetet med att öka Försvarsmaktens operativa förmåga. Att ändamåls- enliga och effektiva arbetssätt, regler och processer utvecklas inom infrastruktur- försörjningen är mycket viktigt för att Sveriges försvarsförmåga ska kunna öka snabbt. Det är angeläget att Fortv arbetar för att utveckla effektiva och ändamålsenliga arbets- sätt, regler och processer inom myndigheten och mellan myndigheten, Försvars- makten och Förvarets materielverk i syfte att förkorta ledtider, säkerställa helhetssyn och koordinera förmågetillväxten. Krigs- och grundorganisationens behov ska vara styrande för infrastrukturförsörjningen.

Regeringen anser att kostnadshyresmodellen som tillämpas för huvudbyggnaderna för Historiska museet, Kungliga Dramatiska teatern AB, Kungliga Operan AB, National- museum och Naturhistoriska riksmuseet inte längre ska tillämpas. Efter remittering av promemorian Efter kostnadshyra – Ändamålsenlig hyresmodell för fem centrala kulturinstitutioner (Ds 2024:32) fick SFV i september 2025 i uppdrag av regeringen att påbörja omförhandlingar av hyresavtalen för vissa kulturinstitutioner (Fi2025/01679). Uppdraget ska delredovisas senast den 15 januari 2026 och slutredovisas senast den

1 februari 2031 (se utg.omr. 17 avsnitt 4.3). Regeringen avser även att stärka upp- följningen av åtgärder för att öka planerbarheten för underhållet av vissa fastigheter där statliga kulturinstitutioner är hyresgäster.

Regeringens ambition för bidragsfastigheterna är att intäkterna ska öka samtidigt som kostnaderna ska minska, för att på sikt minska underskottet. SFV:s utvecklingsarbete med att löpande pröva och anpassa innehavet av bidragsfastigheter samt med myndig- hetens avyttringsplan bör fortsätta.

5.6Förvärv av fast egendom

5.6.1Utvecklingen av totalförsvaret ställer särskilda krav vid förvärv av fastigheter

Regeringens förslag

Riksdagen godkänner att regeringen under 2026–2029 får besluta om avsteg från principen om affärsmässighet vid förvärv av fastigheter som ska ingå i det slutna beståndet av försvarsanläggningar även om de har ett betydande värde, under förutsättning att det krävs för genomförandet av beslut om totalförsvaret.

Skälen för regeringens förslag

Efter förslag i budgetpropositionen för 2022 godkände riksdagen att regeringen under 2022–2025 får besluta om avsteg från principen om affärsmässighet vid förvärv av fastigheter som ska ingå i det slutna beståndet av försvarsanläggningar även om de har ett betydande värde, under förutsättning att det krävs för genomförandet av beslut om totalförsvaret (prop. 2021/22:1, bet. 2021/22:FiU2, rskr. 2021/22:119).

Riksdagen beslutade den 17 december 2024 om ett övergripande mål för total- försvaret, nya mål för det militära respektive civila försvaret samt inriktningen för Försvarsmaktens krigsorganisation (prop. 2024/25:34, bet. 2024/25:FöU2, rskr. 2024/25:114).

Den säkerhetspolitiska utvecklingen, totalförsvarets fortsatta utveckling och Nato- medlemskapet medför behov av omfattande investeringar, i såväl befintlig som ny infrastruktur. Vikten av att över tid säkerställa en effektiv, hållbar och robust infra- struktur som tillgodoser Försvarsmaktens behov ökar i takt med utvecklingen av den

89

Prop. 2025/26:1 Utgiftsområde 2

militära förmågan. I krigsorganisationen nyttjas en mängd olika anläggningar, bl.a. ledningscentraler, flygbaser och bergrum för lagring av drivmedel och ammunition. Dessa är lokaliserade och utformade utifrån den funktion de ska fylla i försvaret av Sverige. Verksamheten i och den närmare lokaliseringen av denna typ av anläggningar är i många fall förknippad med sekretess.

Det försämrade omvärldsläget under senare år innebär även nya och ökade behov för det militära försvaret. För att mobiliseringsorganisationen ska kunna fungera måste Sverige ha en nödvändig infrastruktur. Utbyggnaden av totalförsvaret medför även behov av skyndsamhet vid fastighetsförvärv.

Bestämmelser om förvärv och försäljning av egendom finns i budgetlagen (2011:203). Enligt 8 kap. 7 § budgetlagen ska både förvärv genom köp eller byte och försäljning av egendom genomföras affärsmässigt, om inte särskilda skäl talar mot det. Det innebär att priset ska vara så fördelaktigt som möjligt för staten, att förvärv inte ska ske till överpris och att ovidkommande hänsyn inte ska tas vid förvärvet (prop. 2010/11:40 s. 153). Motsvarande bestämmelse fanns i den lag som föregick budgetlagen, lagen (1996:1059) om statsbudgeten, men avsåg då endast försäljning av egendom. Av förarbetena till den senare lagen framgår att en restriktiv bedömning är påkallad vid prövningen av om det finns särskilda skäl att frångå kravet på affärsmässighet och att egendomens värde ska tillmätas betydelse vid bedömningen. Vidare anges att avsteg från principen om affärsmässighet inte bör göras utan riksdagens godkännande vid försäljning av egendom som har ett betydande värde (prop. 1995/96:220 s. 104).

I budgetpropositionen för 2022 uttalade regeringen att värden upp till den belopps- gräns som tillämpas för när riksdagens bemyndigande behöver inhämtas vid försäljning av fast egendom enligt 8 kap. 2 § budgetlagen, för närvarande 75 miljoner kronor, aldrig bör anses vara betydande (prop. 2021/22:1 utg.omr. 2 avsnitt 5.6.1). Det innebär att regeringen för sådana objekt får besluta om avsteg från kravet på affärsmässighet, vid såväl försäljning som förvärv, om det finns särskilda skäl.

Förvärv av fastigheter för försvarsändamål genomförs ofta under särskilda förut- sättningar. Med hänsyn till dessa förutsättningar, och de speciella fastigheter som förvärven avser, kan det vara svårt att värdera de aktuella objekten. Det medför att ett pris som något överstiger det bedömda marknadsvärdet i dessa fall kan bedömas vara förenligt med kravet på affärsmässighet.

I vissa fall kan köpeskillingen avvika från marknadsvärderingen i sådan grad att villkoren inte kan anses vara affärsmässiga, trots att man från statens sida verkat för att få det mest fördelaktiga priset. Det gäller fastigheter där kraven på fastigheterna innebär att det saknas likvärdiga alternativ. Förvärvet ryms dock fortfarande inom den av riksdagen godkända investeringsplanen och inom beslutade finansiella ramar. Mot bakgrund av att det enligt beslut från riksdagen om totalförsvaret finns behov av att förvärva dessa objekt, och det förhållandet att det kan behöva ske skyndsamt, anser regeringen att det i dessa fall kan finnas särskilda skäl att avvika från kravet på affärsmässigheten. Detta är dock en bedömning som får göras i varje enskilt fall.

Som redovisats framgår av förarbetena till den lag som föregick budgetlagen att regeringen, i fråga om försäljning av egendom, angett att avsteg från kravet på affärsmässighet inte bör göras utan riksdagens godkännande, trots att särskilda skäl finns, i de fall då egendomen är av betydande värde. I budgetpropositionen för 2022 uttalade regeringen att detta förhållningssätt även bör tillämpas vid förvärv. För förvärv som ska ingå i Fortifikationsverkets slutna bestånd finns det dock svårigheter med att inhämta riksdagens bemyndigande i varje enskilt fall på grund av den sekretess som omgärdar dessa objekt. I stället bör riksdagens beslut om totalförsvaret vara styrande för förvärven och riksdagen hållas informerad på det sätt som gäller för sekretessbelagd information. Riksdagen bör därför godkänna att regeringen under

90

Prop. 2025/26:1 Utgiftsområde 2

2026–2029 får besluta om avsteg från principen om affärsmässighet vid förvärv av fastigheter som ingår i det slutna beståndet av försvarsanläggningar, även om fastig- heten har ett betydande värde, under förutsättning att det krävs för genomförande av beslut om totalförsvaret.

5.6.2Förvärv av fastigheterna Sigtuna Märsta 25:5 och Sigtuna Norslunda 1:31

Regeringens förslag

Riksdagen godkänner att regeringen under 2026 förvärvar fastigheterna Sigtuna Märsta 25:5 och Sigtuna Norslunda 1:31 för sammanlagt högst 552 000 000 kronor.

Skälen för regeringens förslag

Fastigheterna Sigtuna Märsta 25:5 och Sigtuna Norslunda 1:31 ligger i Brista verksamhetsområde i Märsta och är värderade till sammanlagt 478 000 000 kronor. Det är av stor vikt att säkra tillgången till fastigheten för att tillgodose Försvars- maktens behov av lagerytor.

Förvärv genom köp eller byte och försäljning ska enligt 8 kap. 7 § budgetlagen genomföras affärsmässigt, om inte särskilda skäl talar mot det. Mot bakgrund av riksdagens beslut om totalförsvaret (prop. 2024/25:335, bet. 2024/25:FöU2, rskr. 2024/25:114) behöver fastigheterna skyndsamt förvärvas.

Förvärvet avses därför genomföras utan att objektet kommer ut till försäljning på marknaden. Det pris staten betalar kan därmed komma att överstiga marknadsvärdet. En annan faktor som kan påverka priset när staten köper en fastighet är att säljaren som en del av köpeskillingen kan komma att kräva ersättning för den skatt som ska betalas till följd av överlåtelsen.

Statens behov av fastigheterna utgör enligt regeringen skäl att förvärva dessa till ett pris som kan överstiga marknadsvärdet. Eftersom fastigheternas värde är betydande, och det är fråga om ett belopp som kan överstiga fastigheternas beräknade marknads- värde, bör riksdagens godkännande av förvärvet inhämtas.

Regeringen anser mot denna bakgrund att riksdagen bör godkänna att regeringen under 2026 förvärvar fastigheterna Sigtuna Märsta 25:5 och Sigtuna Norslunda 1:31 för sammanlagt högst 552 000 000 kronor.

5.7Budgetförslag

5.7.1Fortifikationsverket

Fortv:s huvuduppgift är att förvalta en viss del av statens fasta egendom, främst fastig- heter avsedda för försvarsändamål, s.k. försvarsfastigheter. Myndighetens förvaltning av fastigheter avsedda för försvarsändamål och utvecklingen av detta fastighetsbestånd ska vara ändamålsenlig i förhållande till totalförsvarets (det militära och civila försvarets) behov så att den operativa förmågan i Försvarsmakten kan stärkas. Fastig- heterna ska förvaltas så att en god hushållning och en hög ekonomisk effektivitet uppnås, att ändamålsenliga mark-, anläggnings- och lokalresurser kan tillhandahållas på för brukaren konkurrenskraftiga villkor samt så att fastigheternas värden bevaras på en för ägaren och brukaren långsiktigt lämplig nivå.

Fortv ansvarar också för att etablera, förvalta och avyttra byggnader och anläggningar för försvarets behov i samband med internationella fredsbevarande och humanitära insatser. I myndighetens uppdrag ingår också att bedriva fortifikatoriskt utvecklings-

91

Prop. 2025/26:1 Utgiftsområde 2

arbete så att den kompetens som behövs för det svenska samhällets behov inom skydds- och anläggningsteknik kan utvecklas och säkerställas. Fortv:s verksamhet finansieras främst genom hyresintäkter samt genom lån i Riksgäldskontoret för investeringar i fastigheter och anläggningstillgångar.

Infrastrukturella frågor och fastighetsförvaltning är centrala förutsättningar för att förstärka det militära försvarets förmåga. Regeringen redogör för den försvarspolitiska inriktningen i utgiftsområde 6 Försvar och samhällets krisberedskap.

Investeringsplan

Regeringens förslag

Investeringsplanen för fastigheter och markanläggningar för 2026–2028 godkänns som en riktlinje för Fortifikationsverkets investeringar (se tabell 5.17).

Tabell 5.17 Investeringsplan för Fortifikationsverket

Miljoner kronor

 

 

 

 

 

 

Summa

 

Utfall

Prognos

Budget

Beräknat

Beräknat

2026–

 

2024

2025

2026

2027

2028

2028

Anskaffning och utveckling av nya

 

 

 

 

 

 

investeringar

7 374

17 690

19 417

15 266

15 091

49 774

Byggnader och markanläggningar

2 415

4 069

5 650

5 838

6 103

17 591

 

 

 

 

 

 

 

Fastighetsförvärv

3 769

11 486

9 384

4 249

3 100

16 733

 

 

 

 

 

 

 

Försvarsanläggningar

1 191

2 135

4 383

5 179

5 888

15 450

varav investeringar i

 

 

 

 

 

 

anläggningstillgångar

7 374

17 690

19 417

15 266

15 091

49 774

 

 

 

 

 

 

 

– byggnader, mark och annan fast

 

 

 

 

 

 

egendom

7 374

17 690

19 417

15 266

15 091

49 774

 

 

 

 

 

 

 

Finansiering av anskaffning och

 

 

 

 

 

 

utveckling

7 374

17 690

19 417

15 266

15 091

49 774

Låneram för samhällsinvesteringar (lån i

 

 

 

 

 

 

Riksgäldskontoret)

6 897

16 892

17 749

13 317

13 096

44 162

 

 

 

 

 

 

 

Övrig finansiering

478

798

1 668

1 949

1 995

5 612

Vidmakthållande av befintliga

 

 

 

 

 

 

investeringar

2 679

3 730

3 850

3 969

3 817

11 636

 

 

 

 

 

 

 

Byggnader och markanläggningar

1 792

2 590

2 856

2 859

2 729

8 444

Försvarsanläggningar

887

1 140

994

1 110

1 088

3 192

 

 

 

 

 

 

 

varav investeringar i

 

 

 

 

 

 

anläggningstillgångar

2 147

3 250

3 290

3 409

3 247

9 946

– byggnader, mark och annan fast

 

 

 

 

 

 

egendom

2 147

3 250

3 290

3 409

3 247

9 946

 

 

 

 

 

 

 

Finansiering vidmakthållande

2 679

3 730

3 850

3 969

3 817

11 636

Låneram för samhällsinvesteringar (lån i

 

 

 

 

 

 

Riksgäldskontoret)

1 805

2 719

2 621

2 600

2 381

7 602

 

 

 

 

 

 

 

Övrig finansiering

875

1 011

1 229

1 369

1 436

4 034

Totala utgifter för anskaffning,

 

 

 

 

 

 

utveckling och vidmakthållande av

 

 

 

 

 

 

investeringar

10 054

21 420

23 267

19 235

18 908

61 410

Totalt varav investeringar i

 

 

 

 

 

 

anläggningstillgångar

9 521

20 940

22 707

18 675

18 338

59 720

 

 

 

 

 

 

 

Vissa justeringar har gjorts jämfört med föregående års investeringsplan. Det beror t.ex. på tillkommande förvärv och investeringar mot bakgrund av riksdagens beslut med anledning av propositionen Totalförsvaret 2021–2025, ändrade kostnads-

92

Prop. 2025/26:1 Utgiftsområde 2

bedömningar och tidsförskjutningar (prop. 2020/21:30, bet. 2020/21:FöU4, rskr. 2020/21:135 och 136). Pågående och nyligen avslutade investeringar som är beslutade av regeringen redovisas separat (se tabell 5.15).

Låneram för samhällsinvesteringar

Regeringens förslag

Regeringen bemyndigas att för 2026 besluta att Fortifikationsverket får ta upp lån i Riksgäldskontoret för investeringar i fastigheter och markanläggningar som inklusive tidigare upplåning uppgår till högst 75 000 000 000 kronor (se tabell 5.18).

Skälen för regeringens förslag

Fortv disponerar en låneram i Riksgäldskontoret för 2025 om 58 000 000 000 kronor för investeringar i fastigheter och markanläggningar. Den redovisade planen för investeringar bygger på de investeringsbehov som har angetts av brukarna. Låneramen bör, med hänsyn till tidigare upplåning och det behov som brukarna angett, ökas från föregående år. Regeringen bör därför bemyndigas att för 2026 besluta att Fortv får ta upp lån i Riksgäldskontoret för investeringar i fastigheter och markanläggningar som inklusive tidigare upplåning uppgår till högst 75 000 000 000 kronor.

Tabell 5.18 Låneram för samhällsinvesteringar

Tusental kronor

 

 

Beslutade

 

Beslutade

Begärda

Beräknad

Beräknad

Utgifts-

 

låneramar

Skuld

låneramar

låneramar

amortering

nyupplåning

område

Myndighet

20241

2024-12-31

20251

2026

2026

2026

 

Fortifikations-

 

 

 

 

 

 

2

verket

42 300 000

32 178 000

58 000 000

75 000 000

1 850 000

20 370 000

 

 

 

 

 

 

 

 

 

Summa

42 300 000

32 178 000

58 000 000

75 000 000

1 850 000

20 370 000

 

 

 

 

 

 

 

 

1Av riksdagen beslutad låneram exklusive beslut om ändringar i statens budget.

5.7.2Statens fastighetsverk

SFV ansvarar för att förvalta en viss del av statens fasta egendom. Det övergripande målet för myndigheten är att förvaltningen ska ske på ett sätt som innebär en god resurshushållning och en hög ekonomisk effektivitet, samtidigt som fastigheternas värden i vid mening ska bevaras och utvecklas. Myndigheten ska inom sitt uppdrag bidra till ett hållbart byggande och en hållbar förvaltning. Förvaltningen av fastigheter ska tillgodose hyresgästernas behov av ändamålsenliga och konkurrenskraftiga lokaler.

SFV:s verksamhet finansieras med hyresintäkter samt med lån hos Riksgäldskontoret för investeringar i fastigheter och anläggningstillgångar. SFV disponerar även anslaget 1:9 Bidragsfastigheter för att finansiera underhållskostnader och löpande driftunderskott avseende bidragsfastigheterna.

Investeringsplan

Regeringens förslag

Investeringsplanen för fastigheter och markanläggningar för 2026–2028 godkänns som en riktlinje för Statens fastighetsverks investeringar (se tabell 5.19).

93

Prop. 2025/26:1 Utgiftsområde 2

Tabell 5.19 Investeringsplan för Statens fastighetsverk

Miljoner kronor

 

 

 

 

 

 

Summa

 

Utfall

Prognos

Budget

Beräknat

Beräknat

2026–

 

2024

2025

2026

2027

2028

2028

 

 

 

 

 

 

 

Anskaffning och utveckling av nya

 

 

 

 

 

 

investeringar

64

107

118

197

162

477

 

 

 

 

 

 

 

Summa marknadshyresfastigheter

 

 

 

 

 

 

nyanskaffning

38

63

71

129

115

315

Summa mark nyanskaffning

26

44

47

68

47

162

 

 

 

 

 

 

 

varav investeringar i

 

 

 

 

 

 

anläggningstillgångar

64

107

118

197

162

477

– byggnader, mark och annan fast

 

 

 

 

 

 

egendom

64

107

118

197

162

477

 

 

 

 

 

 

 

Finansiering av anskaffning och

 

 

 

 

 

 

utveckling

64

107

118

197

162

477

 

 

 

 

 

 

 

Låneram för samhällsinvesteringar (lån i

 

 

 

 

 

 

Riksgäldskontoret)

64

107

118

197

162

477

Vidmakthållande av befintliga

 

 

 

 

 

 

investeringar

1 716

2 284

2 488

2 288

2 421

7 197

 

 

 

 

 

 

 

Summa marknadshyresfastigheter

 

 

 

 

 

 

vidmakthållande

1 252

1 675

1 828

1 774

1 587

5 189

 

 

 

 

 

 

 

Summa kostnadshyresfastigheter

 

 

 

 

 

 

vidmakthållande

156

199

206

321

653

1 180

Summa bidragsfastigheter

 

 

 

 

 

 

vidmakthållande

258

332

388

140

137

665

 

 

 

 

 

 

 

Summa mark vidmakthållande

50

78

66

53

44

163

varav investeringar i

 

 

 

 

 

 

anläggningstillgångar

1 121

1 578

1 728

1 820

1 992

5 540

 

 

 

 

 

 

 

– byggnader, mark och annan fast

 

 

 

 

 

 

egendom

1 121

1 578

1 728

1 820

1 992

5 540

 

 

 

 

 

 

 

Finansiering vidmakthållande

1 716

2 284

2 488

2 288

2 421

7 197

 

 

 

 

 

 

 

Anslag 1:9 Bidragsfastigheter

258

332

388

140

137

665

Låneram för samhällsinvesteringar (lån i

 

 

 

 

 

 

Riksgäldskontoret)

1 121

1 578

1 728

1 820

1 992

5 540

 

 

 

 

 

 

 

Övrig finansiering

337

374

372

328

292

992

Totala utgifter för anskaffning,

 

 

 

 

 

 

utveckling och vidmakthållande av

 

 

 

 

 

 

investeringar

1 781

2 391

2 606

2 485

2 583

7 674

Totalt varav investeringar i

 

 

 

 

 

 

anläggningstillgångar

1 185

1 685

1 846

2 017

2 154

6 017

 

 

 

 

 

 

 

Investeringsplanen för 2026–2028 omfattar SFV:s planerade investeringar. Exempel på stora projekt i investeringsplanen är renoveringen av ambassadanläggningen i Helsingfors, ombyggnaden av kajer på Skeppsholmen, renoveringen av tak och fasader på Manillaskolan i Stockholm och renoveringen av fasader på Stockholms slott. Pågående och nyligen avslutade investeringar som är beslutade av regeringen redovisas separat (se tabell 5.16).

Låneram för samhällsinvesteringar

Regeringens förslag

Regeringen bemyndigas att för 2026 besluta att Statens fastighetsverk får ta upp lån i Riksgäldskontoret för investeringar i fastigheter och markanläggningar som inklusive tidigare upplåning uppgår till högst 15 200 000 000 kronor (se tabell 5.20).

94

Prop. 2025/26:1 Utgiftsområde 2

Skälen för regeringens förslag

SFV disponerar en låneram i Riksgäldskontoret för 2025 om 15 200 000 000 kronor för investeringar i fastigheter och markanläggningar. Den redovisade planen för investeringar bygger på de investeringsbehov som har angetts av brukarna. Låneramen bör, med hänsyn till tidigare upplåning och det behov som brukarna har angett, ligga kvar på samma nivå som föregående år. Regeringen bör därför bemyndigas att för 2026 besluta att SFV får ta upp lån i Riksgäldskontoret för investeringar i fastigheter och markanläggningar som inklusive tidigare upplåning uppgår till högst

15 200 000 000 kronor.

Tabell 5.20 Låneram för samhällsinvesteringar

Tusental kronor

 

 

Beslutade

 

Beslutade

Begärda

Beräknad

Beräknad

Utgifts-

 

låneramar

Skuld

låneramar

låneramar

amortering

nyupplåning

område

Myndighet

20241

2024-12-31

20251

2026

2026

2026

 

Statens

 

 

 

 

 

 

2

fastighetsverk

15 200 000

12 089 651

15 200 000

15 200 000

1 496 000

1 846 000

 

 

 

 

 

 

 

 

 

Summa

15 200 000

12 089 651

15 200 000

15 200 000

1 496 000

1 846 000

1Av riksdagen beslutad låneram exklusive beslut om ändringar i statens budget.

5.7.31:9 Bidragsfastigheter

Tabell 5.21 Anslagsutveckling 1:9 Bidragsfastigheter

Tusental kronor

2024

Utfall

365 000

Anslagssparande

 

2025

Anslag

445 0001

Utgiftsprognos

441 899

2026

Förslag

515 000

 

 

 

 

 

 

 

2027

Beräknat

265 000

 

 

 

 

 

 

 

2028

Beräknat

265 000

 

 

 

 

 

 

 

1Inklusive beslut om ändringar i statens budget 2025 och förslag till ändringar i samband med denna proposition.

Ändamål

Anslaget får användas för utgifter för underhåll av och löpande driftsunderskott för de bidragsfastigheter som SFV förvaltar. Anslaget får användas för utgifter för insatser för att utveckla bidragsfastigheter.

Skälen för regeringens förslag

Tabell 5.22 Förändringar av anslagsnivån 2026–2028 för 1:9 Bidragsfastigheter

Tusental kronor

 

2026

2027

2028

Anvisat 20251

440 000

440 000

440 000

Beslutade, föreslagna och aviserade åtgärder

75 000

-175 000

-175 000

Överföring till/från andra anslag

 

 

 

 

 

 

 

Övrigt

 

 

 

 

 

 

 

Förslag/beräknat anslag

515 000

265 000

265 000

1Statens budget enligt riksdagens beslut i december 2024 (bet. 2024/25:FiU10). Beloppet är således exklusive beslut om ändringar i statens budget.

Regeringen föreslår att 515 000 000 kronor anvisas under anslaget 1:9 Bidragsfastigheter för 2026. För 2027 och 2028 beräknas anslaget till 265 000 000 kronor per år.

95

Prop. 2025/26:1 Utgiftsområde 2

Bemyndigande om ekonomiska åtaganden

Regeringens förslag

Regeringen bemyndigas att under 2026 för anslaget 1:9 Bidragsfastigheter ingå avtal för underhåll av bidragsfastigheter som inklusive tidigare åtaganden medför behov av framtida anslag på högst 100 000 000 kronor 2027.

Skälen för regeringens förslag

Vården och underhållet av de statliga fastigheter som utgör en del av det svenska kulturarvet förutsätter att fleråriga ekonomiska åtaganden kan göras. Regeringen bör därför bemyndigas att under 2026 för anslaget 1:9 Bidragsfastigheter ingå avtal för underhåll av bidragsfastigheter som inklusive tidigare åtaganden medför behov av framtida anslag på högst 100 000 000 kronor 2027.

Tabell 5.23 Beställningsbemyndigande för anslaget 1:9 Bidragsfastigheter

Tusental kronor

 

Utfall 2024

Prognos 2025

Förslag 2026

Beräknat 2027

Ekonomiska åtaganden vid årets början

52 303

49 531

100 000

 

 

 

 

 

 

Nya ekonomiska åtaganden

48 676

100 000

100 000

 

 

 

 

 

 

Utgifter mot anslag till följd av

 

 

 

 

ekonomiska åtaganden

-47 505

-49 531

-100 000

-100 000

 

 

 

 

 

Övriga förändringar av ekonomiska

 

 

 

 

åtaganden

-3 943

 

 

 

Ekonomiska åtaganden vid årets slut

49 531

100 000

100 000

 

 

 

 

 

 

Beslutat/föreslaget bemyndigande

100 000

100 000

100 000

 

 

 

 

 

 

96

Prop. 2025/26:1 Utgiftsområde 2

6Prognoser, redovisning, statistik och uppföljning

6.1Mål för området

I linje med det riksdagsbundna målet för den statliga förvaltningspolitiken (se avsnitt 2.3) har regeringen beslutat om följande mål för området prognoser, redovisning, statistik och uppföljning:

Prognoser samt analyser och uppföljningar av den samhällsekonomiska och statsfinansiella utvecklingen ska vara tillförlitliga och väldokumenterade.

Statistiken ska vara av god kvalitet och tillgänglig för användarna. Kostnaden för uppgiftslämnarna ska minska, statistikproduktionen ska vara effektiv och samordningen av statistiken ska utvecklas.

6.2Resultatindikatorer och andra bedömningsgrunder

Målet att producera statistik av god kvalitet mäts bl.a. genom punktlighet i publicering, nöjdkundindex och allmänhetens förtroende. Tillgängligheten till statistiken mäts bl.a. genom antal tabeller i och uttag från Statistiska centralbyråns (SCB) statistikdatabas på myndighetens webbplats. Resultatindikatorn antalet besök på webbplatsen har utgått på grund att det inte finns något tillförlitligt sätt att mäta antalet besök på webb- platsen. Det beror bl.a. på att användarna behöver acceptera kakor för att besök ska registreras. SCB har påbörjat ett arbete för att hitta ett nytt sätt att mäta antalet besök. Kostnaden för uppgiftslämnarna mäts genom uppgiftslämnarnas totala kostnader och kostnadsförändringen jämfört med föregående år. Effektiviteten i statistikproduk- tionen mäts genom produktivitetsförändringen jämfört med föregående år.

6.3Resultatredovisning

6.3.1Konjunkturinstitutet

Konjunkturinstitutet analyserar årligen sina prognosfel för en rad makroekonomiska variabler, såsom BNP-tillväxt, arbetslöshet, inflation och offentligfinansiellt sparande. Prognosfelen för åtta nyckelvariabler jämförs med totalt 17 andra prognosmakares motsvarande fel, däribland regeringens. Jämförelsen av prognoser görs för inne- varande och nästkommande års utfall, och för två olika utvärderingsperioder: senaste utfallsåret, dvs. 2024, respektive utfallsåren 2015–2024.

Konjunkturinstitutets prognoser för 2024 stod sig mycket väl i jämförelse med andra prognosmakares. För nästan samtliga undersökta prognosvariabler hade Konjunktur- institutet högre träffsäkerhet än genomsnittet av alla jämförda prognosmakare.

Jämfört med andra prognosmakare hade Konjunkturinstitutet den sammantaget högst rankade träffsäkerheten för prognoser över innevarande och nästkommande år 2015– 2024.

97

Prop. 2025/26:1 Utgiftsområde 2

6.3.2Ekonomistyrningsverket

Ekonomistyrningsverket (ESV) redovisar varje år en uppföljning av sina prognoser för föregående år. Myndigheten analyserar prognoserna för BNP-tillväxt, den offentliga sektorns finansiella sparande, skatteintäkter, statens inkomster och utgifter samt jäm- för, så långt det är möjligt, sina prognoser med regeringens och andra prognos- makares. Prognoserna för 2024 justerades kraftigt under den period som följs upp (september 2022-november 2024). ESV överskattade BNP-tillväxten vid de första prognostillfällena, innan inflationen tagit fart och räntorna börjat stiga, precis som regeringen och de flesta andra prognosmakare också gjorde. Därefter reviderade ESV ned prognosen för BNP-tillväxten succesivt och hamnade något under utfallet. Myndighetens prognoser för det finansiella sparandet var också för höga vid de första prognostillfällena men reviderades ned successivt och hamnade vid sista prognos- tillfället något under utfallet. ESV:s nedrevideringar av prognoserna för det finansiella sparandet beror främst på att prognoserna för utgifterna reviderades upp, både till följd av att regeringen fattade beslut om utgiftsökningar och av att utgifterna blev högre till följd av högre inflation. ESV reviderade samtidigt upp prognoserna för skatteintäkterna, främst till följd av högre utfall för intäkter på skatt på kapital, men inte lika mycket som utgifterna.

Arbetet med att förbereda en sammanslagning av Statskontoret och ESV, i enlighet med vad som angavs i budgetproposition för 2025 (prop. 2024/25:1 Förslag till statens budget, finansplan m.m. avsnitt 1.2) fortsätter. ESV och Statskontoret har fått i uppdrag att förbereda ett inordnande respektive en avveckling (Fi2025/00260 och Fi2025/00267).

6.3.3Finanspolitiska rådet

Finanspolitiska rådet publicerade i maj 2025 sin årliga rapport Svensk finanspolitik. Rapportens huvudsakliga bedömningar och rekommendationer samt regeringens bedömningar av dessa redovisas i Förslag till statens budget, finansplan m.m. avsnitt 11.2.

6.3.4Statistiska centralbyrån

Statistisk av god kvalitet

Punktligheten i SCB:s statistikpublicering enligt den av myndigheten fastställda tidplanen var fortsatt hög och uppgick till 97 procent 2024, vilket är på samma nivå som föregående år (se tabell 6.1). Överensstämmelsen mellan utlovad och faktisk publiceringsdag var under året 99 procent för månadsstatistiken, 99 procent för kvartalsstatistiken och 90 procent för årsstatistiken. Jämfört med 2023 uppvisar månadsstatistiken en liten nedgång med 1 procentenhet. Antalet korrigeringar av publicerad statistik ökade och det gjordes 71 korrigeringar, vilket är 20 fler jämfört med 2023. Ingen korrigering bedömdes vara allvarlig. En aktuell kvalitetsdeklaration ska finnas för all officiell statistik, vilket vid 2024 års slut uppfylldes för 96 procent av SCB:s statistikprodukter. Detta innebar en ökning med 4 procent jämfört med 2023.

Under 2024 har kundnöjdheten undersökts i två olika undersökningar: SOM- undersökningen och Kundernas förtroende. I SOM-undersökningen undersöker SOM-institutet vid Göteborgs universitet allmänhetens syn på och kännedomen om SCB. Den senaste undersökningen visade att 48 procent av allmänheten hade stort eller mycket stort förtroende för SCB, vilket var en nedgång med 2 procentenheter jämfört med 2023 års undersökning, men fortsatt på en hög nivå. Bland de svarande var det endast 5 procent som uppgav att de hade ett litet eller mycket litet förtroende för SCB. I undersökningen Kundernas förtroende, som utförts av myndigheten,

98

Prop. 2025/26:1 Utgiftsområde 2

uppgick medelbetyget till 4,7 på en femgradig skala avseende faktorerna service och användbarhet, vilken var på en något lägre nivå jämfört med 2023.

Tabell 6.1

Resultatindikatorer avseende statistik

 

 

 

 

 

2022

2023

2024

Antal tabeller i statistikdatabasen

4 749

4 898

5 058

Antal uttag ur statistikdatabasen (1 000-tal)

1 511

2 144

2 267

Punktlighet i publicering (procent)

98

97

97

 

 

 

 

Kundnöjdhet i avgiftsfinansierad verksamhet mätt som

 

 

 

kundernas förtroende (5-gradig skala)

4,7

4,8

4,7

Allmänhetens förtroende (procenttalen mycket stort eller

 

 

 

ganska stort förtroende)

46

50

48

 

 

 

 

Kostnad för uppgiftslämnandet (mnkr)

510

473

470

Uppgiftslämnarnas kostnader (förändring jämfört med

 

 

 

föregående år, i mnkr)

42

-37

-3,8

 

 

 

 

Produktivitetsförändring (procent)

5,3

-0,8

1,7

 

 

 

 

Källa: Statistiska centralbyrån.

 

 

 

Tillgänglighet till statistik

Resultatindikatorn antalet besök på webbplatsen har utgått (se avsnitt 6.2). För att beskriva flödet av webbtrafiken har myndigheten i stället använt sökdata från Google. Större delen av besöken på scb.se börjar via sökning i Google. SCB visades över

100 miljoner gånger i sökresultat under 2024 som totalt genererade nästan 6 miljoner besök. De mest efterfrågade ämnesområdena är priser och inflation, lönestatistik och befolkningsstatistik.

SCB har talespersoner tillgängliga för media och genomslaget för dessa är fortsatt högt. Totalt publicerades 91 artiklar, analyser eller pressmeddelanden, utöver de publiceringar av sedvanliga statistiknyheter som gjordes i samband med offentlig- görande av statistik. Under 2024 publicerade SCB 365 statistiknyheter. Det innebar en ökning med nio statistiknyheter jämfört med föregående år. SCB handlägger årligen ca 500 mikrodatautlämnanden för forsknings- och statistikändamål samt för övriga ändamål. Antalet utlämnanden har fortsatt att öka under de senaste åren. De flesta mikrodatautlämnanden genomförs för forskningsändamål och då främst på uppdrag av forskare vid universitet och högskolor.

Kostnaden för uppgiftslämnandet

Den totala kostnaden för uppgiftslämnandet uppgick 2024 till 470 miljoner kronor, varav 386 miljoner kronor avsåg kostnaderna för företag och organisationer,

3 miljoner kronor kostnaderna för statliga myndigheter och 81 miljoner kronor kostnaderna för kommuner och regioner. Kostnaden för uppgiftslämnandet minskade under 2024 med 0,8 procentenheter. SCB arbetar kontinuerligt för att förenkla för uppgiftslämnarna. Merparten av SCB:s företagsundersökningar använder ett webbinsamlingsverktyg. Svarstiden i undersökningarna minskade främst på grund av digitalisering, användning av nya datakällor och utökad sekundäranvändning av data som ersätter direktinsamling. Graden av digitalisering ökade även hos uppgifts- lämnarna, vilket underlättar uppgiftslämnandet och minskar svarstiden.

Den totala produktiviteten inom SCB beräknas ha ökat med 1,7 procent 2024. Utvecklingen av produktiviteten kan variera mellan enskilda år på grund av kalender- effekter och andra tillfälliga orsaker. Under perioden 2020–2024 ökade produktiviteten med i genomsnitt 1,8 procent per år och för perioden 2015–2024

99

Prop. 2025/26:1 Utgiftsområde 2

uppgick ökningen till 2,5 procent per år. Målet i regleringsbrevet för budgetåret 2024 om att öka produktiviteten med i genomsnitt 3 procent per år uppfylldes därmed inte. För att SCB ska kunna utveckla och anpassa statistiken till nya EU-krav, användarnas behov eller förändrade förutsättningar gjordes vissa besparingar och omprioriteringar i verksamheten.

Under 2024 ersatte SCB i undersökningen Omsättningsstatistik tjänster direktinsamlade data med uppgifter som hämtades från mervärdesskattdeklarationer, vilket effektiviserade datainsamlingen och minskade uppgiftslämnandet för företagen. Myndigheten ökade också användningen av direktinsamlade data i undersökningen Anställningar, vilket även detta minskade uppgiftslämnandet för företagen.

SCB samordnar den officiella statistiken

Ansvaret för officiell statistik är gemensamt för de 29 statistikansvariga myndigheterna och systemet samordnas av SCB. Den totala kostnaden för den officiella statistiken beräknas för 2024 ha uppgått till 1 189 miljoner kronor. Den totala kostnaden för EU- reglerad statistik uppgick till 636 miljoner kronor eller ca 53 procent av den totala kostnaden, vilket är en minskning med två procent jämfört med 2023 (55 procent). Det totala antalet årsarbetskrafter som arbetade med officiell statistik under året var något över 760, vilket var 20 fler jämfört med föregående år. Under 2024 tog SCB fram en publiceringsplan för det kommande året. Planen omfattar all svensk officiell statistik och finns tillgänglig på myndighetens webbplats. SCB ansvarar även för ett register över samtliga statistikprodukter som ingår i den officiella statistiken. En viktig fråga när det gäller systemet för den officiella statistiken är hur det höga förtroendet för den officiella statistiken ska bevaras och stärkas i en omvärld som kännetecknas av nya tekniska möjligheter, kriser, osäkerhet och desinformation. Under 2024 gjorde SCB i samarbete med övriga statistikansvariga myndigheter en översyn av målet för den officiella statistiken. Det nya målet gäller fr.o.m. 2025 och syftar till att stärka systemet för den officiella statistiken. SCB har även inom ramen för sitt samordnings- ansvar tillgängliggjort it-verktyg för användning i statistikproduktionen för andra statistikansvariga myndigheter. Inom ramen för sitt samordningsansvar bistår SCB också med stöd och råd i frågor om den officiella statistikens kvalitet och om upp- giftslämnande.

6.4Regeringens bedömning av måluppfyllelsen

Regeringen bedömer att de prognoser samt analyser och uppföljningar av den sam- hällsekonomiska och statsfinansiella utvecklingen som Konjunkturinstitutet, ESV och Finanspolitiska rådet publicerar uppfyller målet om att de ska vara tillförlitliga och väl- dokumenterade. Både Konjunkturinstitutet och ESV beskriver sina prognosmetoder väl och förklarar revideringar av prognoserna och deras analyser är väl förankrade i nationalekonomisk teori och empiri. Analyserna som Konjunkturinstitutet, ESV och Finanspolitiska rådet publicerar håller hög kvalitet och är väl genomarbetade.

Statistiken som SCB utvecklar, framställer och sprider används som underlag i prognoser, forskning, utredningsverksamhet, samhällsdebatt och beslutsfattande. Genom en fortsatt hög punktlighet i publiceringen och goda resultat vad gäller kundnöjdhet och förtroende bedöms målet att statistiken ska vara av god kvalitet i stor utsträckning ha uppnåtts. Tillgängligheten till statistiken för användarna bedöms ha varit god, och det ökade antalet uttag från statistikdatabasen visar på ett fortsatt stort intresse för statistiskt material under 2024. Kostnaderna för uppgiftslämnarna minskade något även 2024. Myndighetens fortlöpande arbete för att förenkla för uppgiftslämnarna bl.a. genom artificiell intelligens (AI) och genom maskininläsning är viktigt för en fortsatt god måluppfyllelse. Målet att öka produktiviteten med i genom-

100

Prop. 2025/26:1 Utgiftsområde 2

snitt 3 procent per år har inte uppfyllts. Sett över en femårsperiod är den genom- snittliga produktivitetsutvecklingen positiv, men resultatet för 2024 visar att det finns behov av fortsatta effektiviseringar. Avslutningsvis bedöms samverkan mellan de statistikansvariga myndigheterna under SCB:s ledning ha bidragit till att samordningen av statistiken utvecklats.

6.5Politikens inriktning

Den officiella statistiken ska utgöra ett faktabaserat underlag för beslutsfattande och stöd till forskning samt bidra till den allmänna debatten och medborgarnas möjlighet till insyn. För att statistiken ska kunna bidra till samhällsnytta och samhällsekonomisk effektivitet krävs att den är relevant, tillgänglig, opartisk, pålitlig och av god kvalitet.

De statistikansvariga myndigheternas arbete med att upprätthålla kvaliteten är avgörande för att säkerställa förtroendet för den officiella statistiken. Det är även centralt att den officiella statistiken fortsatt är lättillgänglig och relevant för med- borgarna, samt att arbetsbördan för uppgiftslämnarna inte ökar. Det är viktigt att statistiken gör det möjligt att följa långsiktiga trender där så är relevant.

SCB:s uppgift är att ge samhället användbar statistik att lita på. Ökade krav på statistik av hög kvalitet som belyser nya områden behöver främst mötas med löpande om- prioriteringar och en ökad effektivitet i produktionen av statistik. Fortsatt digitalisering bedöms kunna möjliggöra såväl minskade kostnader för uppgiftslämnarna som ökad effektivitet i statistikproduktionen.

Tillgång till data är en grundförutsättning för utvecklingen och användningen av AI, vilket bl.a. framhålls i digitaliseringsstrategin för 2025–2030 (Fi2025/01181) och i betänkandet AI-kommissionens färdplan för Sverige (SOU 2025:12). Regeringen avser därför ge SCB och Myndigheten för digital förvaltning i uppdrag att förbereda inrättandet av en vägledande funktion, en s.k. data-steward. En sådan funktion ska främja god datahantering i offentlig förvaltning och komplettera det befintliga och kommande nationella arbetet med datahantering (se vidare utg.omr. 22 avsnitt 4.5).

Regeringen bedömde i budgetpropositionen för 2025 att Statskontoret och ESV bör slås samman under det gemensamma namnet Statskontoret och att utgångspunkten är att organisationsförändringen ska träda i kraft den 1 januari 2026 (prop. 2024/25:1 utg.omr. 2 avsnitt 4.6.1). ESV förbereder ett inordnande av Statskontorets uppgifter i myndigheten (Fi2025/00260). Frågan om sammanslagningen av myndigheterna behandlas i avsnitt 4.5.1 och 4.6.4.

Som en del av regeringens arbete med att se över statsförvaltningens organisation och ompröva statlig verksamhet föreslås att Bokföringsnämndens uppgifter överförs till och inordnas i Revisorsinspektionen (se vidare utg.omr. 24 avsnitt 3.6).

6.6Budgetförslag

6.6.11:5 Finanspolitiska rådet

Tabell 6.2 Anslagsutveckling 1:5 Finanspolitiska rådet

Tusental kronor

2024

Utfall

11 330

Anslagssparande

641

2025

Anslag

12 1331

Utgiftsprognos

11 718

2026

Förslag

12 360

 

 

 

 

 

 

 

2027

Beräknat

12 5522

 

 

101

Prop. 2025/26:1 Utgiftsområde 2

2028

Beräknat

12 7933

1Inklusive beslut om ändringar i statens budget 2025 och förslag till ändringar i samband med denna proposition.

2Motsvarar 12 360 tkr i 2026 års prisnivå.

3Motsvarar 12 360 tkr i 2026 års prisnivå.

Ändamål

Anslaget får användas för Finanspolitiska rådets förvaltningsutgifter.

Skälen för regeringens förslag

Tabell 6.3 Förändring av anslagsnivån 2026–2028 för 1:5 Finanspolitiska rådet

Tusental kronor

 

2026

2027

2028

Anvisat 20251

12 133

12 133

12 133

Pris- och löneomräkning2

227

419

660

Beslutade, föreslagna och aviserade åtgärder

 

 

 

Överföring till/från andra anslag

 

 

 

 

 

 

 

Övrigt

 

 

 

 

 

 

 

Förslag/beräknat anslag

12 360

12 552

12 793

1Statens budget enligt riksdagens beslut i december 2024 (bet. 2024/25:FiU10). Beloppet är således exklusive beslut om ändringar i statens budget.

2Pris- och löneomräkningen baseras på anvisade medel 2025. Övriga förändringskomponenter redovisas i löpande priser och inkluderar därmed en pris- och löneomräkning. Pris- och löneomräkningen för 2027–2028 är preliminär.

Regeringen föreslår att 12 360 000 kronor anvisas under anslaget 1:5 Finanspolitiska rådet för 2026. För 2027 och 2028 beräknas anslaget till 12 552 000 kronor respektive 12 793 000 kronor.

6.6.21:6 Konjunkturinstitutet

Tabell 6.4 Anslagsutveckling 1:6 Konjunkturinstitutet

Tusental kronor

2024

Utfall

77 452

Anslagssparande

2 933

2025

Anslag

74 8371

Utgiftsprognos

75 470

2026

Förslag

76 622

 

 

 

 

 

 

 

2027

Beräknat

77 8802

 

 

2028

Beräknat

79 4083

 

 

1Inklusive beslut om ändringar i statens budget 2025 och förslag till ändringar i samband med denna proposition.

2Motsvarar 76 622 tkr i 2026 års prisnivå.

3Motsvarar 76 622 tkr i 2026 års prisnivå.

Ändamål

Anslaget får användas för Konjunkturinstitutets förvaltningsutgifter.

Skälen för regeringens förslag

Tabell 6.5 Förändring av anslagsnivån 2026–2028 för 1:6 Konjunkturinstitutet

Tusental kronor

 

2026

2027

2028

Anvisat 20251

74 837

74 837

74 837

Pris- och löneomräkning2

1 785

3 043

4 571

102

Prop. 2025/26:1 Utgiftsområde 2

202620272028

Beslutade, föreslagna och aviserade åtgärder

Överföring till/från andra anslag

Övrigt

Förslag/beräknat anslag

76 622

77 880

79 408

 

 

 

 

1Statens budget enligt riksdagens beslut i december 2024 (bet. 2024/25:FiU10). Beloppet är således exklusive beslut om ändringar i statens budget.

2Pris- och löneomräkningen baseras på anvisade medel 2025. Övriga förändringskomponenter redovisas i löpande priser och inkluderar därmed en pris- och löneomräkning. Pris- och löneomräkningen för 2027–2028 är preliminär.

Regeringen föreslår att 76 622 000 kronor anvisas under anslaget 1:6 Konjunkturinstitutet för 2026. För 2027 och 2028 beräknas anslaget till 77 880 000 kronor respektive

79 408 000 kronor.

6.6.31:8 Statistiska centralbyrån

Tabell 6.6 Anslagsutveckling 1:8 Statistiska centralbyrån

Tusental kronor

2024

Utfall

635 249

Anslagssparande

7 134

 

 

 

 

 

2025

Anslag

687 2381

Utgiftsprognos

682 085

2026

Förslag

711 961

 

 

 

 

 

 

 

2027

Beräknat

722 7042

 

 

2028

Beräknat

735 5353

 

 

1Inklusive beslut om ändringar i statens budget 2025 och förslag till ändringar i samband med denna proposition.

2Motsvarar 711 469 tkr i 2026 års prisnivå.

3Motsvarar 710 398 tkr i 2026 års prisnivå.

Ändamål

Anslaget får användas för Statistiska centralbyråns förvaltningsutgifter.

Skälen för regeringens förslag

Tabell 6.7 Förändringar av anslagsnivån 2026–2028 för 1:8 Statistiska centralbyrån

Tusental kronor

 

2026

2027

2028

Anvisat 20251

687 238

687 238

687 238

Pris- och löneomräkning2

14 023

25 097

38 836

Beslutade, föreslagna och aviserade åtgärder

10 700

10 369

9 461

varav BP263

6 200

4 700

4 700

Data-steward inrättas vid SCB

4 000

4 000

4 000

 

 

 

 

– Statistik om hushållens skulder

5 000

2 000

2 000

– Flytt av ansvar för viss näringslivsstatistik

-300

-300

-300

 

 

 

 

– Förslag från Skolinformationsutredningen genomförs ej

-2 500

-1 000

-1 000

 

 

 

 

Överföring till/från andra anslag

 

 

 

 

 

 

 

Övrigt

 

 

 

 

 

 

 

Förslag/beräknat anslag

711 961

722 704

735 535

 

 

 

 

1Statens budget enligt riksdagens beslut i december 2024 (bet. 2024/25:FiU10). Beloppet är således exklusive beslut om ändringar i statens budget.

2Pris- och löneomräkningen baseras på anvisade medel 2025. Övriga förändringskomponenter redovisas i löpande priser och inkluderar därmed en pris- och löneomräkning. Pris- och löneomräkningen för 2027–2028 är preliminär.

3Exklusive pris- och löneomräkning.

103

Prop. 2025/26:1 Utgiftsområde 2

Anslaget ökas med 4 000 000 kronor fr.o.m. 2026 för att finansiera arbetet med att förbereda och inrätta en vägledande funktion för god datahantering, en s.k. data- steward.

För att finansiera SCB:s uppgift att ta fram statistik om hushållens skulder ökas anslaget med 5 000 000 kronor för 2026. Från och med 2027 beräknas anslaget öka med 2 000 000 kronor.

Anslaget minskas med 300 000 kronor fr.o.m. 2026 eftersom Myndigheten för tillväxtpolitiska utvärderingar och analyser tar över visst statistikansvar från SCB inom ämnesområdet näringsverksamhet och utrikeshandel. Anslaget 1:6 Myndigheten för tillväxtpolitiska utvärderingar och analyser inom utgiftsområde 24 Näringsliv ökas med motsvarande belopp.

Efter förslag i budgetpropositionen för 2024 (prop. 2023/24:1 utg.omr. 2, bet. 2023/24:FiU2, rskr. 2023/24:111) ökades anslaget för att möjliggöra genomförandet av förslag med anledning av Skolinformationsutredningens delbetänkande

(SOU 2023:21). Regeringen avser inte att genomföra Skolinformationsutredningens förslag när det gäller vissa förändringar för uppgiftsinsamling. Anslaget minskas därför med 2 500 000 kronor för 2026. För 2027 och 2028 beräknas anslaget minska med

1 000 000 kronor per år.

Regeringen föreslår att 711 961 000 kronor anvisas under anslaget 1:8 Statistiska centralbyrån för 2026. För 2027 och 2028 beräknas anslaget till 722 704 000 kronor respektive 735 535 000 kronor.

Budget för avgiftsbelagd verksamhet

Tabell 6.8 Avgiftsbelagd verksamhet vid Statistiska centralbyrån

Tusental kronor

 

 

 

Verksam-

Kostnader

 

Ack.

 

 

 

hetens

som ska

 

resultat

 

Ack. resultat

Resultat

intäkter

täckas

Resultat

utgående

Verksamhet

t.o.m. 2024

2025

2026

2026

2026

2026

 

 

 

 

 

 

 

Verksamheter där intäkterna disponeras

Offentligrättslig verksamhet

Uppdragsverksamhet

19 431

0

485 000

485 000

0

19 431

 

 

 

 

 

 

 

Källa: Statistiska centralbyrån

 

 

 

 

 

 

6.6.41:12 Bokföringsnämnden

Tabell 6.9 Anslagsutveckling 1:12 Bokföringsnämnden

Tusental kronor

2024

Utfall

14 076

Anslagssparande

1 269

2025

Anslag

14 7521

Utgiftsprognos

13 214

2026

Förslag

15 028

 

 

 

 

 

 

 

2027

Beräknat

15 2822

 

 

2028

Beräknat

15 5863

 

 

104

Prop. 2025/26:1 Utgiftsområde 2

1Inklusive beslut om ändringar i statens budget 2025 och förslag till ändringar i samband med denna proposition.

2Motsvarar 15 028 tkr i 2026 års prisnivå.

3Motsvarar 15 028 tkr i 2026 års prisnivå.

Ändamål

Anslaget får användas för Bokföringsnämndens förvaltningsutgifter.

Skälen för regeringens förslag

Tabell 6.10 Förändringar av anslagsnivån 2026–2028 för 1:12 Bokföringsnämnden

Tusental kronor

 

2026

2027

2028

 

 

 

 

Anvisat 20251

14 752

14 752

14 752

Pris- och löneomräkning2

276

530

834

Beslutade, föreslagna och aviserade åtgärder

 

 

 

 

 

 

 

Överföring till/från andra anslag

 

 

 

 

 

 

 

Övrigt

 

 

 

 

 

 

 

Förslag/beräknat anslag

15 028

15 282

15 586

 

 

 

 

1Statens budget enligt riksdagens beslut i december 2024 (bet. 2024/25:FiU10). Beloppet är således exklusive beslut om ändringar i statens budget.

2Pris- och löneomräkningen baseras på anvisade medel 2025. Övriga förändringskomponenter redovisas i löpande priser och inkluderar därmed en pris- och löneomräkning. Pris- och löneomräkningen för 2027–2028 är preliminär

Regeringen föreslår att 15 028 000 kronor anvisas under anslaget 1:12 Bokförings- nämnden för 2026. För 2027 och 2028 beräknas anslaget till 15 282 000 kronor respektive 15 586 000 kronor.

105

Prop. 2025/26:1 Utgiftsområde 2

7 Offentlig upphandling

7.1Mål för området

Utifrån det riksdagsbundna målet för den statliga förvaltningspolitiken har följande mål preciserats för den offentliga upphandlingen: Den offentliga upphandlingen ska vara effektiv, rättssäker och ta tillvara konkurrensen på marknaden, samtidigt som innovativa lösningar främjas samt miljöhänsyn och sociala hänsyn beaktas

(prop. 2014/15:1 utg.omr. 2 avsnitt 6).

7.2Resultatindikatorer och andra bedömningsgrunder

Följande resultatindikatorer används vid resultatbedömningen mot det förvaltningspolitiska målet:

andel överprövade upphandlingar

andel överprövningar med helt eller delvis bifall i förvaltningsrätten

antal anbudsgivare eller antal anbud per upphandling

andel kontrakt som tilldelats små företag.

Indikatorn andel kontrakt som tilldelats små företag redovisas för första gången i denna proposition. Den ger en indikation på utvecklingen av konkurrensen i offentliga upphandlingar och i vilken utsträckning upphandlingar utformas på ett sätt som främjar deltagande av små företag (dvs. företag med färre än 50 anställda).

I delar av resultatbedömningen beaktas även vissa andra resultat, exempelvis information i rapporter från Upphandlingsmyndigheten.

7.3Resultatredovisning

7.3.1Andelen överprövade upphandlingar ökar medan antalet bifall minskar

Diagram 7.1 Överprövade upphandlingar och bifall i förvaltningsrätten

Procent

45

40

35

30

25

20

15

10

5

0

11

12

13

14

15

16

17

18

19

20

21

22

23

24

Andel överprövade upphandlingar

Andel överprövningar med helt eller delvis bifall i FR

Källor: Upphandlingsmyndigheten och Domstolsverket.

107

Prop. 2025/26:1 Utgiftsområde 2

Möjligheten till överprövning är en viktig del av rättssäkerheten vid offentliga upp- handlingar. Samtidigt kan överprövningar bidra till osäkerhet och förseningar. Det är därför svårt att fastställa en optimal nivå för överprövningarna. År 2023 annonserades 17 025 upphandlingar och av dem överprövades 1 055. Det motsvarar 6,2 procent av alla annonserade upphandlingar 2023, vilket är en ökning med en procentenhet jäm- fört med 2022. Uppgift för 2024 saknas eftersom den publiceras på hösten 2025. Den nedåtgående trenden för andelen överprövningar som får bifall i förvaltnings-rätten fortsatte 2023. Andelen överprövningar som fick helt eller delvis bifall i förvaltnings- rätten sjönk från 8,7 procent 2023 till 7,5 procent 2024 (se diagram 7.1).

Åtgärder för att stärka rättssäkerheten i offentliga upphandlingar

Riksdagen beslutade den 7 maj 2025 att anta förslagen till ändringar i upphandlings- lagstiftningen i propositionen EU:s IPI-förordning och upphandlingslagstiftningen (prop. 2024/25:116, bet. 2024/25:FiU18, rskr. 2024/25:188). Ändringarna innebär ett tydliggörande av leverantörers rätt till domstolsprövning vid felaktig tillämpning av unionsrättsliga bestämmelser om offentlig upphandling. Det klargörs också att upp- handlande myndigheter och enheters tillämpning av bestämmelser om upphandling i IPI-förordningen ingår i Konkurrensverkets tillsynsområde. Lagändringarna trädde i kraft den 1 juli 2025.

7.3.2Konkurrensen i den offentliga upphandlingen har förbättrats men kriminaliteten har spridit sig till fler branscher

Det genomsnittliga antalet anbudsgivare eller anbud per upphandling och andelen kontrakt som tilldelats små företag ger en indikation på utvecklingen av konkurrensen i offentliga upphandlingar och i vilken utsträckning upphandlingar utformas på ett sätt som främjar deltagande av små företag.

Diagram 7.2 Genomsnittligt antal anbudsgivare eller antal anbud per upphandling och andel kontrakt som tilldelats små företag

Antal

Procent

Anm.: Fram t.o.m. 2020 avser statistiken antal anbudsgivare. Från och med 2021 avser den antal anbud per upphandling. Det saknas uppgifter för 2011, 2012, 2013, 2015 och 2020.

Källa: Upphandlingsmyndigheten.

År 2023, vilket är de senaste uppgifterna, ökade det genomsnittliga antalet anbud per upphandling till 5,8 vilket är en ökning med ett anbud per upphandling jämfört med 2022 (se diagram 7.2). År 2023 uppgick andelen upphandlingar med enbart ett eller två anbud till 37,9 procent, vilket är en minskning med 4,7 procentenheter. I Nationella upphandlingsrapporten 2023 konstaterar Upphandlingsmyndigheten att det finns stora

108

Prop. 2025/26:1 Utgiftsområde 2

skillnader mellan hur stora och små företag upplever deltagande i offentliga upp- handlingar. Ju mindre företagen är, desto svårare upplevs det att delta (Upphandlingsmyndigheten 2023:1). Av de ca 1,2 miljoner företag som var registrerade i Sverige 2023 utgjorde 99 procent små företag. Andelen kontrakt som tilldelats små företag var 51 procent 2023. Resultatet har varit stabilt över tid och varierat mellan 50 och 53 procent per år under perioden 2014–2023 (se diagram 7.2).

Åtgärder för att underlätta deltagande i offentliga upphandlingar och idéburet offentligt partnerskap

I regleringsbrevet för 2023 fick Upphandlingsmyndigheten i uppdrag att följa upp och analysera i vilken utsträckning små företag och idéburna aktörer deltar i offentliga upphandlingar. Uppdraget redovisades i mars 2025 i rapporten Små aktörer, stora möjligheter (Fi2025/00788). I rapporten anges att små företag och idéburna organisationer upplever brist på information om kommande upphandlingar och direktupphandlingar samt att kraven i upphandlingarna är oförutsägbara och för höga. Det försvårar deras möjligheter att delta. Regeringen gav i januari 2025 bl.a. Upp- handlingsmyndigheten i uppdrag att stödja socialtjänstens omställning (S2025/00116). Myndigheten ska genomföra insatser för att öka kommunernas kunskap om hur idéburna aktörers mervärde kan tas tillvara för att tillhandahålla socialtjänstinsatser av god kvalitet, t.ex. genom ett bedömningsstöd som omfattar vilka samverkansformer som finns att tillgå och vad som är lämpligt i olika fall.

Arbetslivskriminaliteten sprider sig till fler branscher

I regleringsbrevet för 2023 fick Upphandlingsmyndigheten i uppdrag att genomföra insatser för att öka upphandlande myndigheters och enheters kunskaper om hur styrningen och organiseringen av inköpsarbetet kan utvecklas, inklusive hur det strategiska inköpsarbetet kan bidra till att motverka arbetslivskriminalitet särskilt inom bygg- och anläggningssektorn. Myndigheten delredovisade uppdraget i maj 2024 i rapporten Utveckling av det strategiska inköpsarbetet med fokus på arbetslivs- kriminalitet i upphandling (Fi2025/00915). Av rapporten framgår att arbetslivs- kriminaliteten tidigare främst snedvridit konkurrensen inom bygg- och anläggnings- branschen. Kriminaliteten har sedan spridit sig till fler branscher, framför allt städ- och persontransportbranscherna. Under de senaste åren har kriminaliteten spridit sig till vård- och omsorgstjänster som utförs direkt till enskilda patienter och brukare. Myndigheten pekar särskilt på vissa områden där de upphandlande myndigheterna och enheterna behöver utveckla sitt arbete för att motverka kriminaliteten, t.ex. avtalsuppföljning samt kontroll av underleverantörer och utländsk arbetskraft.

7.3.3Utveckling av den interna styrningen, samordningen och digitaliseringen av de offentliga affärerna

Stöd för utveckling av intern styrning och kontroll av inköpsverksamheten

I regleringsbrevet för 2023 fick Upphandlingsmyndigheten i uppdrag att bl.a. utveckla stöd om hur myndighetens analysverktyg kan användas i den interna styrningen av inköpens miljö- och klimatpåverkan. Myndigheten redovisade uppdraget i januari 2025 i rapporten Uppdrag om de offentliga inköpens miljöoch klimatpåverkan (Fi2025/00188). Av rapporten framgår att Upphandlingsmyndigheten har utvecklat ett webbstöd för hur myndighetens verktyg kan användas vid analyser av de inköpens miljö- och klimatpåverkan, s.k. miljöspendanalys, som kan ligga till grund för prioriteringar. För att ytterligare stödja utvecklingen av den interna styrningen och kontrollen av den offentliga inköpsverksamheten gav regeringen i oktober 2024

109

Prop. 2025/26:1 Utgiftsområde 2

Upphandlingsmyndigheten i uppdrag att främja kategoristyrning vid inköp i offentlig sektor (Fi2024/01912). Uppdraget ska redovisas senast den 15 december 2025.

Digitaliseringen av de offentliga inköpen går långsamt

Av Ekonomistyrningsverkets (ESV) uppföljning av det ekonomiadministrativa regelverket framgår att drygt hälften av myndigheterna hanterade mindre än

30 procent av sina beställningar digitalt 2024, vilket var en försämring med 1 procent- enhet jämfört med 2023 (ESV 2024:48). Regeringen gav i regleringsbrevet för 2024 Statens servicecenter i uppdrag att bl.a. öka användningen av digitala beställningar. Myndigheten redovisade uppdraget i februari 2025 i rapporten Ökad användning av digitala beställningar och stärkt förmåga till inköpsanalys i statsförvaltningen (Fi2025/00467). Av redovisningen framgår att myndigheten har utvecklat och testat en pilotutbildning i digitala inköp och att testet bedömdes vara framgångsrikt.

Åtgärder för att motverka särkrav inom den offentliga upphandlingen

I skrivelsen Regeringens klimathandlingsplan – hela vägen till nettonoll

(skr. 2023/24:59) bedömde regeringen att kravställningen i den offentliga upp- handlingen behöver bli mer tydlig, enhetlig och långsiktig för att näringslivet ska ges goda förutsättningar att möta det offentligas efterfrågan på produkter och tjänster. Det kan öka förutsägbarheten för leverantörerna och minska deras investeringsrisker vid kommersialisering av nya lösningar. Regeringen beslutade därför den 12 december 2024 om ett tilläggsdirektiv till utredningen Initiativet Fossilfritt Sverige

(dir. 2024:121). Enligt tilläggsdirektivet gavs den särskilda utredaren i uppdrag att bl.a. främja ökad efterfrågan på fossilfria och resurseffektiva produkter och tjänster, exempelvis genom samordnad kravställning i den offentliga upphandlingen. Uppdraget ska redovisas senast den 31 december 2026.

7.3.4Efterfrågan på Upphandlingsmyndighetens stöd fortsätter att öka men myndigheten har sänkt ambitionsnivån för operativt stöd

Antalet besök på Upphandlingsmyndighetens webbplats har ökat med 39 procent mellan 2022–2024. Besöken på myndighetens frågeportal, där myndigheten samlar svar på frågor som inkommit till myndigheten, har ökat med 29 procent mellan 2022– 2024 och översteg 400 000 besök 2024. I sin årsredovisning för 2024 bedömer dock Upphandlingsmyndigheten att kvaliteten på myndighetens operativa upphandlingsstöd har försämrats från god till tillfredsställande. Myndigheten har kortat öppettiderna i tjänsten Frågeservice, lanserat och uppdaterat färre kriterier och dessutom pausat verksamheten inom områdena livsmedel samt vård och omsorg. Stöden i två av tolv förvaltningsområden har inte uppdaterats utifrån relevanta omvärldshändelser. En av orsakerna som anges är att myndigheten omprioriterat resurser från operativt till strategiskt upphandlingsstöd, i form av bl.a. utveckling av upphandlingsstatistiken.

7.4Regeringens bedömning av måluppfyllelsen

Ökad konkurrens i de offentliga affärerna bidrar till lägre priser och en ökad produktivitet både i offentliga organisationer och i samhället i stort. Att anbuden har ökat med i genomsnitt ett anbud per upphandling indikerar att konkurrensen har förbättrats. Att många upphandlingar endast får ett eller två anbud innebär att det fortfarande finns potential att förbättra konkurrensen. Små företag tilldelas kontrakt i en lägre andel av upphandlingarna jämfört med hur stor andel av företagen de utgör. Mot bakgrund av att andelen kontrakt som tilldelats små företag har varit näst intill oförändrad mellan 2014–2023 bedömer regeringen att de åtgärder som vidtagits för att

110

Prop. 2025/26:1 Utgiftsområde 2

underlätta för små företag under perioden inte har fått önskad effekt. De rapporter som Upphandlingsmyndigheten lämnat 2024 bidrar med viktig kunskap om orsakerna till små företags och idéburna organisationers låga deltagande i offentliga upp- handlingar.

Att kriminella och oseriösa företag har etablerat sig på den offentliga marknaden är allvarligt. Det påverkar kvaliteten, effektiviteten och konkurrensen i de offentliga affärerna negativt. Upphandlingsmyndighetens rapport avseende uppdraget om att bl.a. motverka arbetslivskriminalitet ger ny kunskap om problemens omfattning och vägledning om vad upphandlande myndigheter och enheter kan göra för att motverka dem. Det som myndigheten bedömer är viktigast är att öka avtalsuppföljningen.

I budgetpropositionen för 2025 bedömde regeringen att det finns brister i den interna styrningen och kontrollen av de offentliga inköpen och att ett av de största hindren för de upphandlande myndigheterna och enheterna att genomföra den nationella upphandlingsstrategin är att resurssättningen av inköpsverksamheterna inte styrs av strategiska prioriteringar (prop. 2024/25:1 utg.omr. 2 avsnitt 4.4 och 7.4). Upp- handlingsmyndighetens utvecklade stöd inom miljöspendanalys bedöms bidra till att underlätta för upphandlande myndigheter och enheter att utveckla sin kategori- styrning och besluta om prioriteringar för miljö- och klimatarbetet. Att myndigheten prioriterat ned operativa stödinsatser till förmån för strategiska stödinsatser, bl.a. insatser som stödjer strategiska prioriteringar för inköpskategorier, bedöms bidra till att säkerställa den fortsatta utvecklingen av den interna styrningen och kontrollen av de offentliga inköpsverksamheterna.

Takten i digitaliseringen av de statliga myndigheternas inköp går långsamt. Majoriteten av myndigheterna bedöms inte uppfylla kraven på att hantera beställningar digitalt. De positiva effekterna av digitala inköp, såsom ökad produktivitet och intern kontroll samt bättre analysmöjligheter, bedöms endast uppnås av ett fåtal myndigheter.

Andelen överprövningar som får helt eller delvis bifall i förvaltningsrätterna fortsätter att minska. Det kan tala för att upphandlande myndigheter och enheter tillämpar upphandlingsreglerna på ett mer korrekt sätt. Det krävs dock en mer ingående analys för att kunna redogöra för orsakerna till nedgången. Att fler tar del av Upphandlings- myndighetens stöd har sannolikt bidragit till utvecklingen.

7.5Politikens inriktning

De offentliga affärerna behöver bli mer attraktiva för alla leverantörer, inklusive för små och medelstora företag samt idéburna organisationer. Det är också av stor vikt att behovet av varor och tjänster kan tillgodoses vid kris eller, i yttersta fall, krig. Sam- tidigt måste det säkerställas att endast seriösa leverantörer som följer avtal och gällande regelverk tilldelas offentliga kontrakt. För att förbättra förutsättningarna för att genomföra den nationella upphandlingsstrategin och därigenom uppnå målet för den offentliga upphandlingen är det viktigt att de upphandlande myndigheterna och enheterna lever upp till kraven på att säkerställa en betryggande intern styrning och kontroll av inköpsverksamheten samt på att digitalisera inköpsprocessen. Sam- ordningen av de offentliga affärerna behöver främja utvecklingen av nya lösningar, minska trösklarna för leverantörer och bidra till att optimera användningen av offentliga resurser. Upphandlingsmyndigheten har en viktig roll att främja och följa upp utvecklingen.

Regeringen fortsätter arbetet för att öka effektiviteten i den offentligt finansierade verksamheten. Varje skattekrona ska användas klokt och statligt finansierad verk- samhet ska ständigt vara föremål för omprövning och prioritering. I enlighet med

111

Prop. 2025/26:1 Utgiftsområde 2

förslagen i betänkandet En effektivare organisering av mindre myndigheter – analys och förslag (SOU 2025:13) avser regeringen därför att överföra uppgiften att upphandla samordnade ramavtal från Kammarkollegiet till Upphandlingsmyndigheten. Överföringen bedöms kunna ske så att uppgiften inordnas i Upphandlings-myndig- heten den 1 januari 2027. Regeringen avser även att överföra vissa uppgifter inom området elektronisk inköpsprocess, inklusive uppgifter kopplade till e-faktura och den europeiska infrastrukturen för elektroniska inköp (Peppol) från Myndigheten för digital förvaltning till Upphandlingsmyndigheten. Överföringen bedöms kunna ske så att uppgifterna inordnas i Upphandlingsmyndigheten den 1 juli 2026.

Brott mot välfärden är en lukrativ inkomstkälla för den organiserade brottsligheten. Det handlar bl.a. om att kriminella aktörer på felaktiga grunder systematiskt tillskansar ersättningar och att de själva driver välfärdsverksamhet för att komma åt offentliga medel. Problemen bedöms vara särskilt allvarliga inom kommunsektorn. Kriminella och oseriösa aktörer måste uteslutas från den offentliga marknaden och avtal med kriminella företag måste hävas. Regeringen avser därför att ge Upphandlings- myndigheten i uppdrag att stödja kommunerna i arbetet med att motverka arbetslivs- och välfärdskriminalitet inom de offentliga affärerna.

Den idéburna sektorns roll, särart och potential i den svenska välfärden behöver tydliggöras. Regeringen avser därför att ge Upphandlingsmyndigheten i uppdrag att utreda hur den idéburna sektorns andel av den offentliga marknaden kan mätas och synliggöras. Eftersom en betydande andel av idéburna aktörer är små organisationer som drivs av kvinnor, skulle detta kunna främja jämställdhet och socialt hållbara offentliga affärer. Det finns olika sätt för upphandlande myndigheter och enheter att samverka med idéburna aktörer vid utförande av välfärdstjänster. Idéburet offentligt partnerskap (IOP) är ett sådant sätt. Eftersom kommuner och regioner upplever osäkerhet kring den rättsliga statusen för samverkansformen avser regeringen att ge Upphandlingsmyndigheten i uppdrag att ta fram förslag på en lag för samverkans- formen IOP.

Det är vidare angeläget att vidta åtgärder för att öka digitaliseringen av inköpen. En majoritet av de statliga myndigheter som enligt regelverket ska hantera sina beställningar digitalt, gör det endast i mycket begränsad utsträckning. Det försvårar kostnadskontroll, minskar transparensen i inköpsprocesserna och förhindrar effektiv resursanvändning. Regeringen har därför givit Statskontoret i uppdrag att föreslå åtgärder för att öka digitaliseringen av statens inköp (Fi2025/01246).

Regeringen har även gett en sakkunnig i uppdrag att se över om de svenska upphand- lingslagarna är förenliga med LOU-direktivet1 och LUF-direktivet2 avseende tredjelandsleverantörers tillträde till upphandlingsförfaranden samt möjligheten för upphandlande myndigheter och enheter att beakta leverantörers nationalitet eller ursprung och därigenom kunna välja bort vissa leverantörer från upphandlingar.

Det pågår en översyn av EU:s direktiv om offentlig upphandling (LOU-direktivet, LUF-direktivet, LUFS-direktivet3 och LUK-direktivet4). Europeiska kommissionen har aviserat att förslag till ett reviderat regelverk kommer att lämnas i slutet av 2026.

1Europaparlamentets och rådets direktiv 2014/24/EU av den 26 februari 2014 om offentlig upphandling och om upphävande av direktiv 2004/18/EG.

2Europaparlamentets och rådets direktiv 2014/25/EU av den 26 februari 2014 om upphandling av enheter som är verksamma på områdena vatten, energi, transporter och posttjänster och om upphävande av direktiv 2004/17/EG.

3Europaparlamentets och rådets direktiv 2014/23/EU av den 26 februari 2014 om tilldelning av koncessioner.

4Europaparlamentets och rådets direktiv 2009/81/EG av den 13 juli 2009 om samordning av förfarandena vid tilldelning av vissa kontrakt för byggentreprenader, varor och tjänster av upphandlande myndigheter och enheter på försvars- och säkerhetsområdet och om ändring av direktiven 2004/17/EG och 2004/18/EG.

112

Prop. 2025/26:1 Utgiftsområde 2

Upphandlingsmyndigheten, Kammarkollegiet, Konkurrensverket och Kommer- skollegium kommer att ha viktiga roller i detta arbete.

7.6Budgetförslag

7.6.11:16 Upphandlingsmyndigheten

Tabell 7.1 Anslagsutveckling 1:16 Upphandlingsmyndigheten

Tusental kronor

2024

Utfall

101 942

Anslagssparande

1 342

2025

Anslag

103 5081

Utgiftsprognos

104 119

2026

Förslag

125 311

 

 

 

 

 

 

 

2027

Beräknat

132 9932

 

 

2028

Beräknat

137 5683

 

 

1Inklusive beslut om ändringar i statens budget 2025 och förslag till ändringar i samband med denna proposition.

2Motsvarar 130 908 tkr i 2026 års prisnivå.

3Motsvarar 132 839 tkr i 2026 års prisnivå.

Ändamål

Anslaget får användas för Upphandlingsmyndighetens förvaltningsutgifter.

Skälen för regeringens förslag

Tabell 7.2 Förändringar av anslagsnivån 2026–2028 för 1:16

Upphandlingsmyndigheten

Tusental kronor

 

2026

2027

2028

Anvisat 20251

103 508

103 508

103 508

Pris- och löneomräkning2

2 053

3 734

5 811

Beslutade, föreslagna och aviserade åtgärder

19 750

25 751

28 249

 

 

 

 

varav BP263

19 750

25 500

27 500

– Lagstiftning om IOP

4 000

 

 

 

 

 

 

– Satsning mot välfärdskriminalitet offentliga affärer kommunerna

12 000

18 000

20 000

 

 

 

 

– Verksamhet från Digg inordnas i UHM

3 750

7 500

7 500

Överföring till/från andra anslag

 

 

 

 

 

 

 

Övrigt

 

 

 

 

 

 

 

Förslag/beräknat anslag

125 311

132 993

137 568

1Statens budget enligt riksdagens beslut i december 2024 (bet. 2024/25:FiU10). Beloppet är således exklusive beslut om ändringar i statens budget.

2Pris- och löneomräkningen baseras på anvisade medel 2025. Övriga förändringskomponenter redovisas i löpande priser och inkluderar därmed en pris- och löneomräkning. Pris- och löneomräkningen för 2027–2028 är preliminär.

3Exklusive pris- och löneomräkning.

För att utreda hur den idéburna sektorns andel av den offentliga marknaden kan mätas och synliggöras och ta fram förslag på en lag för samverkansformen IOP ökas anslaget med 4 000 000 kronor för 2026.

För att stödja kommunerna i deras arbete mot arbetslivs- och välfärdskriminalitet i de offentliga affärerna ökas anslaget med 12 000 000 kronor för 2026. För 2027 och 2028 beräknas anslaget öka med 18 000 000 kronor respektive 20 000 000 kronor.

Myndigheten för digital förvaltnings uppgifter inom området elektronisk inköps- process, e-faktura och Peppol föreslås överföras till Upphandlingsmyndigheten.

113

Prop. 2025/26:1 Utgiftsområde 2

Anslaget ökas med 3 750 000 kronor för 2026 för detta ändamål. Från och med 2027 beräknas anslaget öka med 7 500 000 kronor. Anslaget 2:6 Myndigheten för digital förvaltning inom utgiftsområde 22 Kommunikationer minskas med motsvarande belopp.

Regeringen föreslår att 125 311 000 kronor anvisas under anslaget

1:16 Upphandlingsmyndigheten för 2026. För 2027 och 2028 beräknas anslaget till 132 993 000 kronor respektive 137 568 000 kronor.

114

Prop. 2025/26:1 Utgiftsområde 2

8Korrekta utbetalningar från välfärdssystemen

8.1Mål för området

Målet för området är att de felaktiga utbetalningarna från välfärdssystemen och den brottslighet som riktas mot dessa system ska minska (prop. 2024/25:1 utg.omr. 2, bet. 2024/25:FiU2, rskr. 2024/25:120).

8.2Resultatindikatorer och andra bedömningsgrunder

Resultatredovisningen avser 2024. Därför sker redovisning och bedömning i förhållande till det tidigare målet för området korrekta utbetalningar från välfärds- systemen.

Det tidigare målet för att minska de felaktiga utbetalningarna från välfärdssystemen var att utbetalningarna från dessa system ska vara korrekta, andelen felaktiga utbetalningar ska minska och fel ska motverkas (prop. 2020/21:1 utg.omr. 2,

bet. 2020/21:FiU2, rskr. 2020/21:150). Regeringen angav i budgetpropositionen för 2025 som skäl för att införa ett nytt mål att det fanns anledning att förenkla och komplettera målet. Regeringen angav vidare att målet bör ha ett tydligare fokus på att de felaktiga utbetalningarna från välfärdssystemen ska minska och att en del av målet bör vara att brottslighet som riktar sig mot välfärdssystemen ska minska.

Måluppfyllelsen inom området redovisas utifrån följande resultatindikatorer:

upptäckta felaktigt utbetalda belopp i förhållande till de totala utbetalningarna

antal återkrav och belopp som återkrävs

antal polisanmälningar

andelen i befolkningen som anser att det är lätt att göra rätt vid ansökan om bidrag

andelen i befolkningen med tillåtande attityder till olika former av bidragsbrott

andelen i befolkningen som upplever att risken för att bli ertappad med bidragsbrott är låg.

Den första indikatorn syftar till att följa upp de delar av målet som avser att ut- betalningarna ska vara korrekta och att andelen felaktiga utbetalningar ska minska. Indikatorerna antal återkrav och belopp som återkrävs samt antal polisanmälningar syftar till att följa upp i vilken omfattning som fel motverkas. För indikatorn antal återkrav redovisas även belopp som återkrävs för att bättre spegla det resultat som redovisas. De tre sista indikatorerna syftar till att följa upp attityder hos befolkningen till bl.a. olika former av bidragsbrott. Attityderna har betydelse för målet att ut- betalningar ska vara korrekta och fel ska motverkas.

En grundläggande förutsättning för att förebygga felaktiga utbetalningar från välfärdssystemen är att det ska vara lätt att göra rätt vid ansökan om bidrag och ersättningar. Allmänhetens attityder till bl.a. bidragsbrott och myndigheternas kontroller har också betydelse för omfattningen av de felaktiga utbetalningarna.

Tröskeln för att begå bidragsbrott kan antas vara lägre om omgivningen anser att det är acceptabelt. Den upplevda upptäcktsrisken vad gäller bidragsbrott kan vidare antas

115

Prop. 2025/26:1 Utgiftsområde 2

påverka benägenheten att begå bidragsbrott och därigenom omfattningen av felaktiga utbetalningar.

Regeringen avser att inför budgetpropositionen för 2027 se över resultatindikatorerna, för att säkerställa att redovisningen av resultaten svarar mot det nya målet.

8.3Resultatredovisning

8.3.1Andelen upptäckta felaktiga utbetalningar var oförändrad

Med felaktiga utbetalningar avses i denna resultatredovisning sådana utbetalningar från välfärdssystemen som sker trots att villkoren för att ta del av ersättningen inte är uppfyllda. Felaktiga utbetalningar kan bl.a. upptäckas genom information från den enskilde, vid handläggning av enskilda ärenden, genom kontroller eller genom underrättelser från en annan myndighet eller aktör än den utbetalande.

Tabell 8.1 Upptäckta felaktiga utbetalningar från välfärdssystemen

Miljoner kronor och procentuell andel av de totala utbetalningarna

 

2020

2021

2022

2023

2024

Arbetsförmedlingen

63

80

120

107

133

Arbetslöshetskassorna

189

252

212

217

260

 

 

 

 

 

 

CSN

628

727

397

442

551

 

 

 

 

 

 

Försäkringskassan1

1 720

1 685

2 768

2 141

2 182

Migrationsverket2

6

7

28

22

15

Pensionsmyndigheten

94

130

174

244

358

 

 

 

 

 

 

Totalt belopp

2 700

2 880

3 697

3 172

3 499

Arbetsförmedlingen

0,4

0,5

0,8

0,7

0,9

 

 

 

 

 

 

Arbetslöshetskassorna

0,8

1,2

1,5

1,4

1,2

CSN

1,5

1,6

0,9

1,0

1,1

 

 

 

 

 

 

Försäkringskassan1

0,7

0,7

1,2

0,9

0,9

Migrationsverket2

1,3

2,2

4,6

3,7

3,6

Pensionsmyndigheten

0,0

0,0

0,0

0,1

0,1

 

 

 

 

 

 

Totalt, procentuell andel

0,4

0,4

0,5

0,4

0,4

 

 

 

 

 

 

1Redovisningen skiljer sig från budgetpropositionen för 2025 bl.a. eftersom upptäckta felaktiga utbetalningar för bostadsbidraget vid slutavstämningen tidigare inte har redovisats.

2Redovisningen skiljer sig från budgetpropositionen för 2025 eftersom Migrationsverket registrerar upptäckta felaktiga utbetalningar året då den felaktiga utbetalningen sker, vilket medför ett stort antal registreringar i efterhand.

Källor: Rapporten Målet att minska de felaktiga utbetalningarna från välfärdssystemen – en samlad analys av måluppfyllelsen för 2024 (ESV 2025:15) och Migrationsverkets årsredovisning för 2024.

Det sammanlagda beloppet för upptäckta felaktiga utbetalningar har ökat 2024 jämfört med 2023 (se tabell 8.1), och en minskning har endast rapporterats av Migrationsverket. Samtidigt är den totala andelen upptäckta felaktiga utbetalningar i förhållande till de totala utbetalningarna oförändrad. Centrala studiestödsnämnden (CSN) och Pensionsmyndigheten stod för de beloppsmässigt största ökningarna av upptäckta felaktiga utbetalningar. I CSN:s fall berodde ökningen enligt myndigheten till stor del på att efterkontrollen av inkomster inom studiestödet återupptogs under 2024. Ökningen vid Pensionsmyndigheten berodde enligt myndigheten främst på en ändrad omräkning av tjänstepensionen gällande bostadstillägget.

Försäkringskassan står fortsatt för den beloppsmässigt största delen av de upptäckta felaktiga utbetalningarna. Det totala beloppet för upptäckta felaktiga utbetalningar har ökat inom aktivitetsstödet, utvecklingsersättningen, etableringsersättningen och assistansersättningen. Inom assistansersättningen kan enskilda kontrollutredningar

116

Prop. 2025/26:1 Utgiftsområde 2

leda till stora återkrav. Samtidigt har de upptäckta felaktiga beloppen minskat inom aktivitetsersättningen, bostadsbidraget och sjukersättningen. För aktivitetsersättningen och sjukersättningen beror minskningen på att färre kontroller har genomförts. Assistansersättningen och bostadsbidraget är även några av de förmåner där upptäckta felaktiga utbetalningar uppgår till högst belopp. Till skillnad från tidigare år ingår för 2024 även de felaktiga utbetalningar som har upptäckts vid slutavstämningen av bostadsbidraget.

Arbetsförmedlingen upptäckte felaktiga utbetalningar till ett högre belopp 2024 jämfört med 2023. Det beror på att myndigheten har lagt mer resurser på kontroll- arbetet under året samt att de ärenden som har hanterats under året generellt har varit mer omfattande och komplexa.

År 2024 minskade de upptäckta felaktiga utbetalningarna vid Migrationsverket med ca 6 miljoner kronor, eller 30 procent jämfört med 2023. Migrationsverket registrerar dock upptäckta felaktiga utbetalningar året då den felaktiga utbetalningen ägde rum, vilket kan innebära att beloppet för 2024 är underskattat. Det går inte att bedöma om de upptäckta felaktiga utbetalningarna har minskat 2024 innan de slutliga registreringarna har gjorts.

De upptäckta felaktiga utbetalningarnas andel av de totalt utbetalda beloppen är oförändrad 2024 jämfört med 2023 (se tabell 8.1). Den största ökningen var vid Arbetsförmedlingen och särskilt inom den subventionerade anställningen nystarts- jobb, där andelen upptäckta felaktiga utbetalningar ökade från 1,1 procent 2023 till 2,0 procent 2024. Utvecklingen förklaras av att myndigheten har prioriterat utredning av mer komplexa ärenden, vilket kan leda till att felaktiga utbetalningar upptäcks som uppgår till större belopp.

Andelen upptäckta felaktiga utbetalningar av de totalt utbetalda beloppen vid Migrationsverket är väsentligt högre än den vid övriga myndigheter och arbetslöshets- kassorna. För att minska felaktiga utbetalningar har Migrationsverket bl.a. genomfört utbildningsinsatser och arbetat med utveckling av ett delvis automatiserat system för kontroller och beslutsförslag rörande dagersättning till asylsökande.

De upptäckta felaktiga utbetalningarnas andel av de totalt utbetalda beloppen var fortsatt hög inom bostadsbidraget och uppgick till 13,2 procent 2024, vilket är en minskning med 1,3 procentenheter jämfört med året innan. Den höga andelen bedöms bero på förmånens konstruktion som innebär att beslutet fattas utifrån en förväntad inkomst som stäms av mot årsinkomsten efter årets slut.

Myndigheternas kostnader för kontroller utanför ordinarie handläggning kan i viss mån förklara om förändringen av upptäckta felaktiga utbetalningar beror på förändringar i kontrollarbetet eller på förändringar i de faktiska felaktiga utbetal- ningarna. De kontroller som avses syftar till att upptäcka felaktiga utbetalningar, och kostnaderna för kontrollerna är därför lämpliga att jämföra med förändringen av antalet upptäckta felaktiga utbetalningar. Kostnaden för Försäkringskassans kontroller utanför myndighetens ordinarie handläggning minskade med 4 procent 2024, från 190 miljoner kronor 2023 till 182 miljoner kronor 2024. Upptäckta felaktiga ut- betalningar vid Försäkringskassan ökade marginellt samma period. Även vid arbets- löshetskassorna minskade kostnaderna för kontroller utanför ordinarie handläggning, men de upptäckta felaktiga utbetalningarna ökade. Motsvarande kostnader vid Pensionsmyndigheten var i princip oförändrade, men de upptäckta felaktiga utbetal- ningarna ökade kraftigt. Arbetsförmedlingens kostnader för kontroller utanför ordinarie handläggning minskade med ca 8 procent under samma period, samtidigt som de upptäckta felaktiga utbetalningarna ökade med 24 procent.

117

Prop. 2025/26:1 Utgiftsområde 2

De upptäckta felaktiga utbetalningarna per krona i kostnad för kontrollarbetet har ökat för alla myndigheter och arbetslöshetskassorna. Försäkringskassans ökning förklaras enligt myndigheten av att det inte har varit några nyanställningar, vilket har frigjort tid för befintliga kontrollutredare eftersom dessa inte har behövt lägga tid på att introducera nyanställda i arbetet. Detta har inneburit att kontrollutredarna har kunnat upptäcka fler felaktiga utbetalningar. Enligt Pensionsmyndigheten beror den ökade upptäckten per krona inom myndigheten på förbättrade arbetsmetoder och bättre utbildad personal.

Det faktum att upptäckta felaktiga utbetalningar per krona i kontrollarbetet har ökat för alla myndigheter och arbetslöshetskassorna, samtidigt som beloppen för upptäckta felaktiga utbetalningar har ökat skulle kunna innebära att kontrollarbetet bedrivs mer effektivt.

Den 1 januari 2024 inrättades Utbetalningsmyndigheten. Under 2024 utvecklade Utbetalningsmyndigheten tre modeller för dataanalyser och urval för att identifiera felaktiga utbetalningar inom förmånerna sjukpenning, studiemedel och garantipension. Modellerna kan användas för att upptäcka och utreda individer som felaktigt har fått sjukpenning trots att de samtidigt har haft arbetsinkomster, studiemedel trots att de har haft inkomster överstigande fribeloppet och garantipension trots att de är bosatta utomlands. Utbetalningsmyndigheten skickade de första underrättelserna om felaktiga utbetalningar till myndigheterna under slutet av 2024. Sammanlagt skickade myndigheten ca 370 underrättelser. Underrättelserna kommer att bidra till att fler felaktiga utbetalningar upptäcks.

8.3.2Antalet återkrav var oförändrat medan det totala beloppet för återkrav ökade

När en felaktig utbetalning upptäcks utreds om beloppet ska återkrävas. Vid bedömningen tas i många fall hänsyn till det utbetalda beloppet, vem som har orsakat felet och om det finns skäl att efterge kravet. Olika regelverk och rutiner för återkrav och eftergift gäller för de berörda myndigheterna och arbetslöshetskassorna, vilket påverkar antalet ärenden och storleken på de belopp som återkrävs samt hur beloppen fördelar sig mellan år. De återkrävda beloppen kan också vara större än de upptäckta felaktiga utbetalningarna ett år, vilket bl.a. kan bero på att återkraven och de upptäckta felen inte avser samma period.

Det totalt återkrävda beloppet ökade 2024 jämfört med 2023, medan det totala antalet beslut om återkrav var i princip oförändrat samma period (se tabell 8.2).

Tabell 8.2 Återkrävda belopp och antal återkrav

Miljoner kronor och antal

 

2020

2021

2022

2023

2024

Arbetsförmedlingen

83

114

110

93

115

 

 

 

 

 

 

Arbetslöshetskassorna

189

252

211

217

260

 

 

 

 

 

 

CSN

628

633

307

336

448

 

 

 

 

 

 

Försäkringskassan

1 517

1 483

2 534

1 939

2 027

 

 

 

 

 

 

Pensionsmyndigheten

73

122

162

197

278

 

 

 

 

 

 

Totalt belopp

2 490

2 603

3 324

2 782

3 128

 

 

 

 

 

 

Arbetsförmedlingen

4 396

6 090

4 986

3 346

2 785

 

 

 

 

 

 

Arbetslöshetskassorna

36 323

45 048

36 598

37 249

43 550

 

 

 

 

 

 

CSN1

69 639

54 741

43 458

45 417

50 188

Försäkringskassan

53 005

65 554

185 823

139 401

127 676

 

 

 

 

 

 

Pensionsmyndigheten

3 578

3 682

4 603

5 103

5 595

 

 

 

 

 

 

118

Prop. 2025/26:1 Utgiftsområde 2

 

2020

2021

2022

2023

2024

Totalt antal

166 941

175 115

275 468

230 516

229 794

 

 

 

 

 

 

Anm.: Migrationsverket saknar lagstöd för att återkräva felaktigt utbetalda dagersättningar. Antal återkrav kan avse beslut om återkrav eller återkravsärenden.

1CSN redovisar antal studenter med återkrav.

Källa: Rapporten Målet att minska de felaktiga utbetalningarna från välfärdssystemen – en samlad analys av måluppfyllelsen för 2024 (ESV 2025:15).

Både Försäkringskassan och Arbetsförmedlingen redovisade ett minskat antal återkrav, men ökade återkrävda belopp. I Försäkringskassans fall ökade de återkrävda beloppen främst inom aktivitetsstödet, utvecklingsersättningen, etablerings- ersättningen och assistansersättningen. Ökningen av återkrävda belopp inom dessa ersättningar beror enligt Försäkringskassan på att myndighetens kontrollutredningar har resulterat i att felaktiga utbetalningar har upptäckts som uppgår till högre belopp 2024 än 2023. Inom majoriteten av Försäkringskassans förmåner har dock både antalet återkrav och storleken på återkrävda belopp minskat 2024 jämfört med 2023. Enligt myndigheten beror utvecklingen på färre resurser i arbetet med återkrav. När det gäller Arbetsförmedlingen beror minskningen i antalet återkrav respektive ökningen av återkrävda belopp enligt myndigheten på att ärendena generellt sett var mer komplexa och att bl.a. samverkan mot organiserad brottlighet och arbetslivs- kriminalitet har bidragit till att beloppsmässigt större felaktiga utbetalningar har upptäckts och återkrävts.

Antalet beslut om återkrav samt återkrävda belopp ökade hos arbetslöshetskassorna, CSN och Pensionsmyndigheten. Enligt Inspektionen för arbetslöshetsförsäkringen (IAF) har återkrav av stora belopp ökat vid arbetslöshetskassorna, vilket bl.a. beror på att arbetslöshetskassorna har utökat kontrollerna mot arbetsgivardeklarationer som lämnats till Skatteverket och att ersättningsnivåerna i försäkringen har höjts. Dessa kontroller leder ofta till återkrav avseende betydligt större belopp än andra återkravs- ärenden hos arbetslöshetskassorna. Enligt CSN beror ökningen av beslut om återkrav och återkrävda belopp vid myndigheten på ökade resurser och att efterkontroller återupptogs under 2024. Pensionsmyndigheten har angett att en prioriterad hand- läggning av återkrav och fler inkomna underrättelser har lett till en utvecklad förmåga för myndigheten att göra ett urval av ärenden där möjligheterna till stora återkrävda belopp är som störst.

När ett beslut om återkrav har fått laga kraft ska beloppet återbetalas. Återbetalda medel visar till viss del i vilken grad felaktiga utbetalningar faktiskt återbetalas. År 2024 återbetalades totalt 2 315 miljoner kronor i felaktigt utbetald ersättning. Det är en minskning jämfört med 2023 då 2 577 miljoner kronor återbetalades. Försäkrings- kassan redovisade en minskning av återbetalda medel med 372 miljoner kronor, eller 19 procent, jämfört med 2023, vilket enligt myndigheten delvis beror på färre resurser inom arbetet med återbetalningar. Totalt återbetalades 1 581 miljoner kronor till myndigheten under 2024. Försäkringskassans totala fordran för obetalda återkrav minskade också från 7 334 miljoner kronor till 7 131 miljoner kronor under samma period. Återbetalningarna minskade även vid Arbetsförmedlingen med 3,7 miljoner kronor. Vid arbetslöshetskassorna, CSN och Pensionsmyndigheten ökade åter- betalningarna med totalt 113 miljoner kronor.

8.3.3Antalet polisanmälningar ökade 2024

I de fall upptäckta felaktiga utbetalningar misstänks bero på att en enskild person avsiktligt eller av grov oaktsamhet har lämnat felaktiga uppgifter eller inte har anmält ändrade förhållanden ska en polisanmälan göras. Myndigheternas polisanmälningar handlar främst om misstänkta bidragsbrott, men anmälningarna kan även avse andra brottsmisstankar, exempelvis misstänkt urkundsförfalskning.

119

Prop. 2025/26:1 Utgiftsområde 2

Antalet polisanmälningar gjorda av samtliga myndigheter och arbetslöshetskassor ökade 2024 jämfört med 2023. Ökningen var något större för de anmälningar som avsåg män än för de som avsåg kvinnor (se tabell 8.3). Endast Migrationsverket rapporterade ett minskat antal polisanmälningar jämfört med 2023. Minskningen motsvarade 25 anmälningar, eller ca 12 procent. Enligt Migrationsverket kan minskningen bero på att fler personer var inskrivna i mottagningssystemet under 2023 än under 2024.

Försäkringskassan står fortsatt för majoriteten av det totala antal polisanmälningar som görs av myndigheterna och arbetslöshetskassorna. Försäkringskassans polis- anmälningar har främst ökat inom förmånerna barnbidrag och sjukpenning, och kan enligt myndigheten förklaras av förbättrade arbetsprocesser vid urval av ärenden och förbättrade initiala bedömningar av inkomna indikationer på felaktiga utbetalningar. Enligt myndigheten har detta sammantaget lett till ett mer träffsäkert urval av ärenden som granskas närmare. Den kraftiga ökningen av polisanmälningar vid Pensions- myndigheten berodde enligt myndigheten på att hanteringen av polisanmälningar har effektiviserats genom en översyn av myndighetens uppsåtsbedömning, en utökad samverkan mot mer strategiskt informationsutbyte och en digitaliserad hantering av polisanmälningar. Ökningen vid arbetslöshetskassorna bedöms av IAF bero på ett ökat antal mottagare av arbetslöshetsersättning, ett ökat antal underrättelser om felaktigheter från andra myndigheter och ett större fokus på kontroller och felaktiga utbetalningar.

Det totala antalet polisanmälningar vid arbetslöshetskassorna och de myndigheter som redovisar könsuppdelad statistik fördelar sig näst intill lika mellan män och kvinnor, vilket även var fallet föregående år. Precis som tidigare år skiljer sig dock fördelningen åt mellan myndigheter. Vid Försäkringskassan avsåg fler polisanmälningar kvinnor än män, vilket bl.a. kan bero på att fler kvinnor än män uppbär olika typer av förmåner och ersättningar från myndigheten, t.ex. barnbidrag, bostadsbidrag och underhållsstöd. Inom föräldrapenning avsåg dock fler polisanmälningar män. Antalet polisanmäl- ningar som avsåg män var även högre i förmåner som riktar sig till deltagare i arbets- marknadspolitiska program vid Arbetsförmedlingen.

Tabell 8.3 Polisanmälningar

Antal polisanmälningar fördelat på kvinnor respektive män och totalt

 

2020

2021

2022

2023

2024

Arbetsförmedlingen

83

137

101

188

192

varav kvinnor

-

-

-

-

-

 

 

 

 

 

 

varav män

-

-

-

-

-

 

 

 

 

 

 

Arbetslöshetskassorna

976

1 501

1 539

1 340

1 777

 

 

 

 

 

 

varav kvinnor

-

-

284

496

664

 

 

 

 

 

 

varav män

-

-

581

714

1 113

 

 

 

 

 

 

CSN

591

390

495

675

854

varav kvinnor

214

112

136

221

335

 

 

 

 

 

 

varav män

377

278

359

454

519

 

 

 

 

 

 

Försäkringskassan

5 661

5 886

8 100

8 022

8 526

varav kvinnor

2 153

2 908

4 228

4 276

4 572

 

 

 

 

 

 

varav män

2 281

2 934

3 840

3 731

3 951

 

 

 

 

 

 

Migrationsverket1

200

97

56

201

176

varav kvinnor

54

47

18

96

97

 

 

 

 

 

 

varav män

146

50

38

105

79

 

 

 

 

 

 

Pensionsmyndigheten

93

116

141

176

381

varav kvinnor

-

-

66

81

167

 

 

 

 

 

 

120

Prop. 2025/26:1 Utgiftsområde 2

 

2020

2021

2022

2023

2024

varav män

-

-

75

95

214

 

 

 

 

 

 

Totalt kvinnor

2 421

3 067

4 732

5 170

5 835

 

 

 

 

 

 

Totalt män

2 804

3 262

4 893

5 099

5 876

Totalt

7 604

8 127

10 432

10 602

11 906

 

 

 

 

 

 

Anm.: Tecknet ”-” anges då könsuppdelad statistik saknas. Antalet kvinnor och män summerar inte till totalen, eftersom könsuppdelad statistik saknas för vissa myndigheter och år.

1Migrationsverket rapporterar fr.o.m. 2022 antalet personer som polisanmäls.

Källa: Rapporten Målet att minska de felaktiga utbetalningarna från välfärdssystemen – en samlad analys av måluppfyllelsen för 2024 (ESV 2025:15).

Antalet anmälda bidragsbrott minskade något 2024

Myndigheternas och arbetslöshetskassornas polisanmälningar utgår från ärenden, inte enskilda utbetalningar. Statistiken över anmälda brott omfattar däremot alla händelser som har anmälts och registrerats som brott enligt bidragsbrottslagen (2007:612). Det innebär att utvecklingen över antalet polisanmälningar och antalet anmälda brott inte nödvändigtvis behöver följas åt. De anmälda brotten inkluderar även händelser som efter utredning inte bedöms som bidragsbrott. Eftersom varje enskild utbetalning enligt praxis räknas som ett bidragsbrott är det inte ovanligt att ett och samma ärende avser flera brottsmisstankar. Det innebär t.ex. att en enskild person kan ge upphov till ett stort antal anmälda brott.

Diagram 8.1 Anmälda brott enligt bidragsbrottslagen

Antal

30000

25000

20 000

15 000

10 000

5 000

0

15

16

17

18

19

20

21

22

23

24

 

 

Bidragsbrottslagen, totalt

 

 

varav mot Försäkringskassan

 

 

 

 

 

 

 

 

 

 

 

Anm.: Könsuppdelad statistik saknas.

Källa: Brottsförebyggande rådet.

Antalet anmälda brott minskade 2021 och 2022 för att återigen öka 2023. Under 2024 minskade antalet något, men låg kvar på ungefär samma nivå som föregående år (se diagram 8.1). Brott inom bidrags- och ersättningssystem som Försäkringskassan ansvarar för utgör den största andelen av de anmälda brotten. Under 2024 skedde den procentuellt sett största ökningen av anmälda brott bland brott som riktade sig mot Pensionsmyndigheten, CSN och Migrationsverket.

Antalet personuppklarade brott minskade marginellt 2024 jämfört med 2023

Personuppklarade brott är sådana brott där en misstänkt person har lagförts för brottet genom att åtal har väckts, strafföreläggande har utfärdats eller åtalsunderlåtelse har meddelats. Det innebär att det för alla personuppklarade brott finns minst en registrerad misstänkt person och att det har bedrivits en utredning.

121

Prop. 2025/26:1 Utgiftsområde 2

Under 2021 och 2022 minskade antalet personuppklarade brott för att åter öka under 2023. Under 2024 minskade dock antalet personuppklarade brott marginellt och antalet kvarstår på ungefär samma nivå som föregående år (se diagram 8.2). Andelen personuppklarade brott låg 2024 på 46 procent av samtliga utredda bidragsbrott. Andelarna var högst avseende brott som riktade sig mot bidrags- och ersättnings- system som Försäkringskassan ansvarade för (47 procent) samt brott som riktade sig mot ersättningssystem som arbetslöshetskassorna och Arbetsförmedlingen ansvarar för (51 procent).

Diagram 8.2 Personuppklarade brott enligt bidragsbrottslagen

Antal

20000

18000

16000

14000

12000

10000

8 000

6000

4000

2000

0

15

16

17

18

19

20

21

22

23

24

Personuppklarade brott enligt bidragsbrottslagen

Anm.: Könsuppdelad statistik saknas.

Källa: Brottsförebyggande rådet.

Antal lagföringsbeslut med bidragsbrott som huvudbrott har ökat under senare år

Antalet lagföringsbeslut, dvs. antalet domslut, strafförelägganden och åtals- underlåtelser, med bidragsbrott som huvudbrott ökade från 289 beslut 2016 till 1 875 beslut 2024. Av lagföringsbesluten 2024 avsåg 821 beslut kvinnor och

1 054 beslut män. Det går inte att göra direkta jämförelser mellan lagföringsbesluten och anmälda eller personuppklarade brott, då statistiken bl.a. hämtas från olika system och tas fram på olika sätt. Under 2024 var villkorlig dom i domslut den vanligaste huvudpåföljden för lagföringsbeslut med bidragsbrott som huvudbrott (1 439 beslut), följt av strafföreläggande (238 beslut), böter (114 domslut), skyddstillsyn (26 domslut), åtalsunderlåtelse (19 beslut) och fängelse (27 domslut). Den genomsnittliga längden på fängelsestraffet uppgick till 18 månader.

8.3.4Andelen av befolkningen som anser att det är lätt att göra rätt är oförändrad

Ekonomistyrningsverket (ESV) har varje år sedan 2022 genomfört undersökningar av allmänhetens inställning till bl.a. bidragsbrott. Resultaten från dessa undersökningar redovisas i tabell 8.4, tabell 8.5 och tabell 8.6. Resultaten från 2022 är, till skillnad från resultaten från 2023–2025, inte viktade och därmed inte direkt jämförbara med resultaten från de senare åren.

Andelen som instämmer i påståendet att det är lätt att göra rätt 2025 är oförändrad jämfört med 2023 och 2024. En betydande högre andel positiva svar registrerades 2023, 2024 och 2025, jämfört med 2022. ESV gjorde dock 2023 bedömningen att den högre andelen positiva svar i första hand berodde på förändringar i hur frågorna hade

122

Prop. 2025/26:1 Utgiftsområde 2

formulerats, snarare än på en förändrad inställning. Kvinnor instämde 2023 och 2024 i högre utsträckning än män i påståendet att det är lätt att göra rätt. I 2025 års under- sökning instämde kvinnor i något lägre utsträckning än män i påståendet att det är lätta att göra rätt, men skillnaden är inte statistiskt säkerställd.

Tabell 8.4 Allmänhetens uppfattning om det är ”lätt att göra rätt” vid ansökan om bidrag

Andel i procent som instämmer i påståendet

 

2022

2023

2024

2025

Det är lätt att göra rätt

16

45

44

45

 

 

 

 

 

varav kvinnor

14

48

48

43

varav män

17

41

41

46

Anm.: Andel i procent som anger 4 eller 5 på en 5-gradig skala, där 5 betyder instämmer helt. För attityderna fr.o.m. 2023 har underrepresenterade svarsgrupper viktats upp i resultatet, för att ge en så rättvisande bild som möjligt. De är därför inte direkt jämförbara med resultaten för 2022. Skillnaden mellan 2024 och 2025 års värden är inte statistiskt säkerställd. I undersökningen 2025 valde 24 procent svarsalternativet ”ingen åsikt”.

Källor: Rapporten Målet att minska de felaktiga utbetalningarna från välfärdssystemen – en samlad analys av måluppfyllelsen för 2024 (ESV 2025:15). För 2022, 2023 och 2024 är uppgifterna hämtade från budgetpropositionen för 2025 (prop. 2024/25:1 utg.omr. 2 avsnitt 8.3.4).

8.3.5Andelen av befolkningen med tillåtande attityder till bidragsbrott är oförändrad

Attityderna till olika typer av bidragsbrott har i huvudsak varit oförändrade under de år som attityderna undersökts, vilket framgår av tabell 8.5. Att arbeta svart, och samtidigt ta emot studiebidrag eller ta studielån, är en typ av bidragsbrott där attityderna är mer tillåtande jämfört med attityderna till övriga bidragsbrott. Kvinnor anser i högre utsträckning än män att de uppräknade bidragsbrotten är allvarliga. Undantaget är attityderna till att arbeta svart och samtidigt få ersättning för sjukdom eller arbetslöshet, där könsfördelningen är jämn.

Tabell 8.5

Attityder till olika bidragsbrott

 

 

 

 

Andelen i procent som tycker att handlingen är allvarlig

 

 

 

 

 

 

2022

2023

2024

2025

Att arbeta svart och samtidigt få ersättning för sjukdom eller arbetslöshet

91

90

87

87

 

 

 

 

 

 

varav kvinnor

 

92

90

88

87

varav män

 

89

90

86

87

 

 

 

 

 

Att arbeta svart och samtidigt ta ut studiebidrag eller studielån

78

68

71

71

 

 

 

 

 

 

varav kvinnor

 

80

71

74

73

varav män

 

76

67

69

70

 

 

 

 

 

Att ta ut tillfällig föräldrapenning (VAB) trots friska barn

86

84

82

83

 

 

 

 

 

 

varav kvinnor

 

87

86

85

86

varav män

 

84

82

80

80

 

 

 

 

 

Att inte anmäla ändrade förhållanden som skulle minska storleken på

 

 

 

 

bidraget eller ersättningen

86

80

78

78

varav kvinnor

 

89

81

80

81

 

 

 

 

 

 

varav män

 

84

78

76

75

 

 

 

 

 

Att inte meddela att man bor ihop med någon för att få ut mer ersättning

 

 

 

 

än man har rätt till

85

79

78

76

 

 

 

 

 

 

varav kvinnor

 

85

82

81

79

 

 

 

 

 

 

varav män

 

84

76

75

74

Att uppge felaktig inkomst för att få ut mer ersättning

93

89

88

87

 

 

 

 

 

 

varav kvinnor

 

94

91

88

89

 

 

 

 

 

 

varav män

 

91

87

86

86

 

 

 

 

 

 

123

Prop. 2025/26:1 Utgiftsområde 2

Anm.: Andel i procent som anger 4 eller 5 på en 5-gradig skala, där 5 betyder mycket allvarligt.

Källor: Rapporten Målet att minska de felaktiga utbetalningarna från välfärdssystemen – en samlad analys av måluppfyllelsen för 2024 (ESV 2025:15). För 2022, 2023 och 2024 är uppgifterna hämtade från budgetpropositionen för 2025 (prop. 2024/25:1 utg.omr. 2 avsnitt 8.3.4).

8.3.6Den upplevda upptäcktsrisken vid bidragsbrott är oförändrad

Knappt hälften av de svarande upplevde att det var troligt att myndigheterna skulle upptäcka om de fuskade med bidrag (se tabell 8.6). Enkätfrågan ska spegla resultat- indikatorn andelen i befolkningen som upplever att risken för att bli ertappad med bidragsbrott är låg. En högre andel kvinnor än män upplevde att upptäcktsrisken var hög. Totalt instämde 11 procent i påståendet att myndigheterna var överdrivet noggranna i sina kontroller.

Tabell 8.6

Risk för att bli upptäckt för bidragsbrott

 

 

 

 

Andel i procent som anser att påståendet är troligt

 

 

 

 

 

 

2022

2023

2024

2025

Myndigheterna skulle upptäcka om den svarande eller

 

 

 

 

någon i dess omgivning fuskade med bidrag

36

41

43

42

 

 

 

 

 

 

varav kvinnor

 

40

48

45

48

varav män

 

33

37

39

36

Anm.: Andel i procent som anger 4 eller 5 på en 5-gradig skala, där 5 betyder instämmer helt. För attityderna fr.o.m. 2023 har underrepresenterade svarsgrupper viktats upp i resultatet, för att ge en så rättvisande bild som möjligt. De är därför inte direkt jämförbara med resultaten för 2022.

Källor: Rapporten Målet att minska de felaktiga utbetalningarna från välfärdssystemen – en samlad analys av måluppfyllelsen för 2024 (ESV 2025:15). För 2022, 2023 och 2024 är uppgifterna hämtade från budgetpropositionen för 2025 (prop. 2024/25:1 utg.omr. 2 avsnitt 8.3.4).

8.3.7Regeringens arbete mot felaktiga utbetalningar och brottslighet riktad mot välfärdssystemen har stärkts

Efter förslag i propositionen Utökade skyldigheter att lämna uppgifter till Utbetalningsmyndigheten har riksdagen beslutat om lagändringar som innebär att skyldigheten att lämna uppgifter till Utbetalningsmyndigheten utökas

(prop. 2024/25:45, bet. 2024/25:FiU19, rskr. 2024/25:133). Lagändringarna väntas stärka Utbetalningsmyndighetens arbete mot felaktiga utbetalningar från välfärds- systemen. Lagändringarna trädde i kraft den 1 mars 2025.

Lagen (2025:170) om skyldighet att lämna uppgifter till de brottsbekämpande myndigheterna trädde i kraft den 1 april 2025 (prop. 2024/25:65, bet. 2024/25:JuU9, rskr. 2024/25:148). Lagen ger ett antal statliga myndigheter, kommuner, regioner och skolor en skyldighet att både på begäran och på eget initiativ lämna uppgifter till Polismyndigheten och andra brottsbekämpande myndigheter.

Efter förslag i propositionen Uppgifter som ska lämnas i samband med arbetsgivar- deklarationen har riksdagen beslutat om lagändringar som trädde i kraft den 1 januari 2025 och som syftar till att stärka kontrollen av föräldrapenningförmåner

(prop. 2024/25:36, bet. 2024/25:SfU9, rskr. 2024/25:97).

Regeringen har beslutat propositionen Ökat informationsutbyte mellan myndigheter – en ny sekretessbrytande bestämmelse (prop. 2024/25:180) som innehåller förslag om att det i offentlighets- och sekretesslagen (2009:400) ska införas en ny sekretess- brytande bestämmelse. Enligt bestämmelsen ska sekretess till skydd för enskilda som utgångspunkt inte hindra att uppgifter lämnas mellan myndigheter om det behövs för att förebygga, förhindra eller upptäcka brottslig verksamhet, utreda brott, eller för att förebygga, förhindra, upptäcka eller utreda felaktiga utbetalningar, fusk och olika typer av överträdelser. Den föreslagna lagändringen bedöms förbättra möjligheterna för

124

Prop. 2025/26:1 Utgiftsområde 2

myndigheter att samverka och bl.a. motverka missbruk av offentliga medel. Lagändringen föreslås träda i kraft den 1 december 2025.

Vidare har regeringen beslutat propositionen Ett effektivt straffrättsligt skydd för statliga stöd till företag (prop. 2024/25:187) som innehåller förslag om en ny straffrättslig reglering som omfattar statliga företagsstöd. Därutöver föreslås att en ny lag om underrättelseskyldighet vid felaktiga utbetalningar av statligt företagsstöd ska införas. Det föreslås vidare att lagen (2008:206) om underrättelseskyldighet vid felaktiga utbetalningar från välfärdssystemen ska utvidgas så att även regionerna ska omfattas av underrättelseskyldigheten till viss del. De nya reglerna föreslås träda i kraft den 1 januari 2026.

Regeringen har även sedan tidigare inlett ett arbete med att säkerställa att förordningar om bidrag till civilsamhället ska innehålla ett demokrativillkor och att de även i andra avseenden är utformade på ett sätt som minskar risken för felaktiga utbetalningar och brottslighet (prop. 2024/25:1 utg.omr. 2 avsnitt 8.5.1).

Därtill har regeringen beslutat propositionen Bättre verktyg för kontroll – uppgiftslämning inom socialförsäkringen och ekonomiskt bistånd (prop. 2024/25:179) som innehåller förslag om bättre verktyg för kontroll inom socialförsäkringen och ekonomiskt bistånd genom utökade utredningsbefogenheter och uppgiftsskyldigheter. Syftet är att ge Försäkringskassan, Pensionsmyndigheten och kommunernas socialnämnder bättre förutsättningar att fatta korrekta beslut och förhindra felaktiga utbetalningar. Lagändringarna föreslås träda i kraft den 1 december 2025.

Regeringen har gett en särskild utredare i uppdrag att ta ställning till vilka statliga utbetalningar som skulle kunna anslutas till Utbetalningsmyndighetens verksamhet utöver de som i dag omfattas, samt om det bör vidtas andra åtgärder för att säkerställa korrekta statliga utbetalningar (dir. 2025:60). Syftet är att stärka arbetet med att motverka felaktiga utbetalningar. Uppdraget ska redovisas senast den 11 juni 2027.

Regeringen har också gett en särskild utredare i uppdrag att utreda vilka åtgärder som bör vidtas för att förhindra brottslighet inom assistansersättningen (dir. 2025:40). Syftet är att värna de personliga assistansens långsiktiga hållbarhet och legitimitet. Uppdraget ska redovisas senast den 8 januari 2027. Därtill har regeringen gett en särskild utredare i uppdrag att utreda vilka insatser som behövs för att stärka patient- säkerheten och motverka välfärdsbrottslighet inom hälso- och sjukvården

(dir. 2025:41). Uppdraget ska redovisas senast den 12 oktober 2026.

Dessutom har regeringen gett Statskontoret i uppdrag att kartlägga och analysera hur vissa reformer har förändrat myndigheternas arbete och samarbete mot felaktiga utbetalningar (Fi2024/02051). Uppdraget ska redovisas senast den 17 december 2025.

Vidare har regeringen gett Arbetsförmedlingen, CSN, Försäkringskassan, IAF, Migrationsverket och Pensionsmyndigheten i uppdrag att genomföra omfattnings- studier av felaktiga utbetalningar av vissa ersättningar samt att analysera orsakerna till felaktiga utbetalningar (Fi2024/01861 och Fi2024/02405). Myndigheterna ska redovisa sitt arbete senast den 5 oktober 2026.

Regeringen har också gett Arbetsförmedlingen, Bolagsverket, Ekobrottsmyndigheten, Försäkringskassan, Inspektionen för vård och omsorg, Pensionsmyndigheten, Polismyndigheten och Skatteverket i uppdrag att gemensamt kraftsamla mot organiserad brottslighet och den kriminella ekonomin i välfärden (S2025/01085). Myndigheterna ska intensifiera arbetet med att motverka organiserad brottslighet i hälso- och sjukvården, tandvården, socialtjänst- och LSS-verksamheterna, social- försäkringen samt inom den arbetsmarknadspolitiska verksamheten. Uppdraget ska slutredovisas före utgången av september 2027.

125

Prop. 2025/26:1 Utgiftsområde 2

ESV lämnade 2024 en rapport med förslag på åtgärder som syftar till att säkerställa korrekta utbetalningar från välfärdssystemen (ESV 2024:43). Förslagen i rapporten avser bl.a. möjligheter till informationsutbyte. Regeringen har vidtagit flera åtgärder på dessa områden. Bland annat trädde lagen om skyldighet att lämna uppgifter till de brottsbekämpande myndigheterna i kraft den 1 april 2025. Regeringen avser inte att vidta några ytterligare åtgärder med anledning av rapporten, men den kommer att vara ett värdefullt underlag inför det fortsatta arbetet på området.

8.4Regeringens bedömning av måluppfyllelsen

Regeringen bedömer att målet att utbetalningarna från välfärdssystemen ska vara korrekta, att andelen felaktiga utbetalningar ska minska och att fel ska motverkas endast delvis har uppnåtts.

Utvecklingen av upptäckta respektive återkrävda felaktiga utbetalningar skiljer sig åt mellan myndigheter. Sammantaget ökade dock de totala återkrävda beloppen och antalet polisanmälningar 2024 jämfört med 2023. Myndigheterna har också utrett mer omfattande och komplexa ärenden. Det bedrivs vidare ett arbete vid myndigheterna och arbetslöshetskassorna, vilket bidrar positivt till målet. Mot bakgrund av den verk- samhet som har bedrivits anser regeringen att den del av målet som innebär att fel ska motverkas får anses vara uppfyllt.

Andelen felaktiga utbetalningar av de totala utbetalningarna som upptäcktes av myndigheterna har inte förändrats jämfört med 2023. Att andelen inte har förändrats nämnvärt över tid kan bero på att de felaktiga utbetalningarnas andel inte har förändrats, men orsaken är svårbedömd mot bakgrund av att de totala utbetalningarna varierar över tid.

Trots att det totala antalet återkrav är oförändrat 2024 jämfört med 2023 har antalet återkrav ökat hos flera myndigheter liksom arbetslöshetskassorna. Även om det totala beloppet för återbetalda medel minskar, har det ökat för vissa myndigheter. Mål- uppfyllelsen är således svårbedömd.

Antalet polisanmälningar har ökat varje år de senaste fyra åren. I likhet med tidigare år anmäls ungefär lika många män som kvinnor, även om fördelningen skiljer sig åt mellan myndigheter och förmåner. Trots att antalet anmälda bidragsbrott minskade något 2024 jämfört med föregående år är antalet brott fortsatt på höga nivåer. Eftersom antalet anmälda bidragsbrott i hög grad är beroende av myndigheters riktlinjer och kontrollsystem bedömer regeringen att det finns anledning att tro att förändringar i antalet anmälda brott i hög grad beror på myndigheternas arbete, snarare än på förändringar i den faktiska brottsligheten. Regeringen bedömer att goda möjligheter till informationsutbyte mellan myndigheter och arbetslöshetskassor kan bidra positivt till att minska de felaktiga utbetalningarna.

Under 2024 började Utbetalningsmyndigheten lämna underrättelser till de beslutande myndigheterna. Regeringen bedömer att myndigheten har en viktig roll för att nå målet om att minska de felaktiga utbetalningarna från välfärdssystemen.

Regeringen har vidtagit flera åtgärder under 2024 i syfte att stärka arbetet mot felaktiga utbetalningar. Här kan nämnas inrättandet av Utbetalningsmyndigheten den 1 januari 2024 och införandet av lagen (2024:307) om uppgiftsskyldighet för att motverka felaktiga utbetalningar från välfärdssystemen samt fusk, regelöverträdelser och brottslighet i arbetslivet som trädde i kraft den 1 juli 2024. Därtill har regeringen infört en ny dataskyddsreglering för Försäkringskassan och Pensionsmyndigheten som trädde i kraft den 15 februari 2024. Regleringen har gett Försäkringskassan och Pensionsmyndigheten utökade möjligheter att bl.a. behandla personuppgifter i

126

Prop. 2025/26:1 Utgiftsområde 2

kontrollsyfte. Regeringen anser dock att det är för tidigt att bedöma effekten av dessa åtgärder.

Attityderna till bidragsbrott har varit förhållandevis stabila 2022–2025, och jämfört med föregående år är de centrala resultatindikatorerna oförändrade. Allmänheten anser fortfarande att olika typer av bidragsbrott är allvarliga och drygt 40 procent tror att det är sannolikt att de skulle bli upptäckta eller dömda för bidragsbrott om de fuskade med bidrag. Trots att resultatet inte skiljer sig nämnvärt mellan åren bedömer regeringen att måluppfyllelsen skulle påverkas negativt om fler har tillåtande attityder mot välfärdsbrottslighet. Förtroendet för välfärdsmyndigheterna har stärkts något, och fler bedömer att myndigheternas kontroller är mer effektiva jämfört med 2023 och 2024. En sådan tendens skulle, om den fortsätter utvecklas i samma riktning, potentiellt kunna bidra till en förbättrad måluppfyllelse. Samtidigt bedöms förändringar mellan enstaka år inte ha någon större påverkan på omfattningen av de felaktiga utbetalningarna.

Regeringen bedömer sammantaget att det är svårt att med säkerhet slå fast att omfattningen av faktiska felaktiga utbetalningar vid de berörda myndigheterna har ökat på ett sätt som skulle förklara det ökade beloppet av upptäckta felaktiga utbetalningar. Regeringens samlade bedömning är därför att de delar av målet som innebär att utbetalningarna från välfärdssystemen ska vara korrekta och att andelen felaktiga utbetalningar ska minska inte har uppfyllts.

8.5Politikens inriktning

8.5.1Arbetet mot felaktiga utbetalningar stärks

Brott mot välfärden är en lukrativ inkomstkälla för den organiserade brottsligheten. Det handlar om att kriminella aktörer på felaktiga grunder systematiskt tillskansar sig bidrag och ersättningar, men även att de själva bedriver välfärdsverksamhet för att komma åt offentliga medel. Att förhindra otillbörligt nyttjande av offentliga medel, förhindra att företag och andra juridiska personer används som brottsverktyg och öka återtagandet av brottsvinster är därför prioriterade frågor för regeringen.

Regeringen avser att effektivisera arbetet mot felaktiga utbetalningar genom att samla kunskap och kompetens hos Utbetalningsmyndigheten, vars uppgift är att förebygga, förhindra och upptäcka felaktiga utbetalningar från välfärdssystemen. Utbetalnings- myndigheten kommer därför att överta ESV:s uppgifter enligt förordningen (2021:663) om arbetet med att säkerställa korrekta utbetalningar från välfärdssystemen fr.o.m. den 1 januari 2026. Utbetalningsmyndigheten har fått i uppdrag att förbereda för att inordna ESV:s uppgifter enligt förordningen (Fi2024/02407).

För att skapa en samlad kontroll för offentlig sektor som gör det möjligt att motverka fel som i dag är svåra att upptäcka föreslår regeringen att arbetet med att ansluta vissa kommunala bidragsutbetalningar till Utbetalningsmyndighetens verksamhet ska påbörjas (utg.omr. 25 avsnitt 2.7.3). Regeringen föreslår därför att Utbetalnings- myndigheten tillförs medel för en successiv anslutning av kommunerna.

Det är angeläget att felaktiga utbetalningar och bidragsbrott leder till en snabbare och effektivare reaktion från samhällets sida. Regeringen avser därför att lämna förslag om administrativa sanktioner i socialförsäkringen med ledning av förslagen i promemorian Administrativa sanktioner i socialförsäkringen (Ds 2025:8). Regeringen föreslår att flera myndigheter, däribland Försäkringskassan och Pensionsmyndigheten, tillförs medel för att hantera denna nya uppgift (utg.omr. 10 avsnitt 3.8 och utg.omr. 11 avsnitt 2.8).

127

Prop. 2025/26:1 Utgiftsområde 2

Regeringen vill stänga ute kriminella och oseriösa leverantörer från att delta i valfrihetssystem. Konkurrensverket har därför getts i uppdrag att lämna förslag som motverkar kriminella och oseriösa leverantörer i valfrihetssystem (Fi2025/01465). Leverantörskontrollutredningen har i betänkandet En samordnad registerkontroll för upphandlande myndigheter och enheter bl.a. föreslagit att uteslutningsgrunderna för leverantörer i valfrihetssystem och offentliga upphandlingar i hög grad ska harmoniseras (SOU 2023:43). Betänkandet har remitterats och förslagen bereds i Regeringskansliet. Regeringen avser att ge Upphandlingsmyndigheten i uppdrag att stödja kommunerna i deras arbete mot arbetslivs- och välfärdskriminalitet i de offentliga affärerna (utg.omr. 2 avsnitt 7.5). Ekobrottsmyndigheten föreslås bistå Upphandlingsmyndigheten i detta arbete (utg.omr. 4 avsnitt 3.9.4).

Regeringen har gett en särskild utredare i uppdrag att se över behovet av och förutsättningarna för att göra bakgrundskontroller i såväl offentlig som privat sektor (dir. 2025:83). Syftet är att ge verksamheter ändamålsenliga verktyg inför och under anställning m.m. för att kunna förebygga de risker som förekomsten av personer med brottsliga eller andra skadliga intentioner innebär på arbetsplatser, som t.ex. infiltration och annan otillbörlig påverkan. Det är av vikt att säkerställa möjligheten att göra noggranna bakgrundskontroller där det finns legitima behov och att frågan utreds sektorsövergripande.

Regeringen arbetar med att säkerställa att förordningar om bidrag till civilsamhället ska vara utformade på ett sätt som minskar risken för felaktiga utbetalningar och brottslig- het. Regeringen har också inlett ett arbete med att säkerställa att även förordningar om stöd till företag ska vara utformade på ett sådant sätt. Vidare pågår ett arbete inom Regeringskansliet för att genomföra Europaparlamentets och rådets direktiv (EU) 2024/1640 av den 31 maj 2024 om de mekanismer som medlemsstaterna ska inrätta för att förhindra att det finansiella systemet används för penningtvätt eller finansiering av terrorism, om ändring av direktiv (EU) 2019/1937 och om ändring och upp- hävande av direktiv (EU) 2015/849. Av direktivet följer att fler uppgifter om juridiska personer, inklusive ideella föreningar, ska finnas i registret över verkliga huvudmän vid Bolagsverket. Det kan underlätta kontrollen för bidragsutbetalande myndigheter och organisationer samt förebygga brottslighet som riktas mot offentliga stöd.

I syfte att bl.a. minska felaktiga utbetalningar inom bostadsbidraget avser regeringen att föreslå att beräkningen av bostadsbidrag ska baseras på uppgifter på individnivå i arbetsgivardeklarationen för att beräkna inkomst av tjänst. Det innebär även att CSN, Försäkringskassan och Pensionsmyndigheten tillförs medel (utg.omr. 12 avsnitt 3.8).

8.6Budgetförslag

8.6.11:17 Utbetalningsmyndigheten

Tabell 8.7 Anslagsutveckling 1:17 Utbetalningsmyndigheten

Tusental kronor

2024

Utfall

163 306

Anslagssparande

-2 209

 

 

 

 

 

2025

Anslag

197 6191

Utgiftsprognos

191 953

2026

Förslag

258 219

 

 

 

 

 

 

 

2027

Beräknat

408 9742

 

 

2028

Beräknat

420 7093

 

 

128

Prop. 2025/26:1 Utgiftsområde 2

1Inklusive beslut om ändringar i statens budget 2025 och förslag till ändringar i samband med denna proposition.

2Motsvarar 404 656 tkr i 2026 års prisnivå.

3Motsvarar 409 523 tkr i 2026 års prisnivå.

Ändamål

Anslaget får användas för Utbetalningsmyndighetens förvaltningsutgifter.

Skälen för regeringens förslag

Tabell 8.8 Förändringar av anslagsnivån 2026–2028 för

1:17 Utbetalningsmyndigheten

Tusental kronor

 

2026

2027

2028

Anvisat 20251

197 619

197 619

197 619

Pris- och löneomräkning2

4 557

6 714

10 079

Beslutade, föreslagna och aviserade åtgärder

36 000

184 384

192 421

 

 

 

 

varav BP263

 

 

 

Finansiering av inordnandet vissa arbetsuppgifter

 

 

 

från ESV till UBM

6 000

6 000

6 000

 

 

 

 

Kommunal anslutning till Utbetalningsmyndigheten

5 000

20 000

25 000

 

 

 

 

Överföring till/från andra anslag

20 043

20 257

20 590

 

 

 

 

Övrigt

 

 

 

 

 

 

 

Förslag/beräknat anslag

258 219

408 974

420 709

 

 

 

 

1Statens budget enligt riksdagens beslut i december 2024 (bet. 2024/25:FiU10). Beloppet är således exklusive beslut om ändringar i statens budget.

2Pris- och löneomräkningen baseras på anvisade medel 2025. Övriga förändringskomponenter redovisas i löpande priser och inkluderar därmed en pris- och löneomräkning. Pris- och löneomräkningen för 2027–2028 är preliminär.

3Exklusive pris- och löneomräkning.

Anslaget ökas med 5 000 000 kronor för 2026 för att påbörja arbetet med en successiv anslutning av vissa kommunala utbetalningar till Utbetalningsmyndighetens verk- samhet. För 2027 beräknas anslaget öka med 20 000 000 kronor och för 2028 beräknas anslaget öka med 25 000 000 kronor. Anslaget beräknas öka med 30 000 000 kronor fr.o.m. 2029.

I samband med att uppgifterna enligt 3–5 och 7–14 §§ förordningen om arbetet med att säkerställa korrekta utbetalningar från välfärdssystemen inordnas i Utbetalnings- myndigheten i januari 2026 ökas anslaget med 6 000 000 kronor fr.o.m. 2026. Anslaget 1:7 Statskontoret minskas med motsvarande belopp.

Regeringen föreslår att 258 219 000 kronor anvisas under anslaget 1:17 Utbetalningsmyndigheten för 2026. För 2027 och 2028 beräknas anslaget till 408 974 000 kronor respektive 420 709 000 kronor.

129

Prop. 2025/26:1 Utgiftsområde 2 Bilaga 1

Bilaga 1

Statsförvaltningens utveckling

Innehållsförteckning

1

Inledning .............................................................................................................................

3

2

Personalstrukturen i staten...............................................................................................

3

 

2.1

Anställda i staten....................................................................................................

4

 

 

2.1.1

Utbildningsbakgrund bland de anställda..............................................

5

 

 

2.1.2

Åldersstrukturen ......................................................................................

5

 

 

2.1.3

Nybeviljade ålderspensioner ..................................................................

6

 

 

2.1.4

Nybeviljade delpensioner .......................................................................

7

 

 

2.1.5

Könsfördelningen på ledande befattningar .........................................

8

 

 

2.1.6

Anställda med utländsk bakgrund.......................................................

10

 

 

2.1.7

Personalrörligheten ...............................................................................

12

 

2.2

Uppsägningar i staten..........................................................................................

12

 

2.3

Sjukfrånvaro i staten............................................................................................

12

 

 

2.3.1

Sjukfrånvaron vid statliga myndigheter..............................................

12

 

 

2.3.2

Sjukfrånvaron i staten jämfört med andra sektorer .........................

14

 

 

2.3.3

Nybeviljande sjukpensioner.................................................................

15

 

 

2.3.4

Anmälningar enligt det statliga personskadeavtalet .........................

16

 

2.4

Lönenivåer och löneutveckling .........................................................................

17

 

 

2.4.1

Löneutvecklingen i staten.....................................................................

17

 

 

2.4.2

Utvecklingen av genomsnittliga löner ................................................

17

 

 

2.4.3

Löneskillnader mellan män och kvinnor ...........................................

17

 

 

2.4.4

Genomsnittlig löneutveckling..............................................................

18

 

 

2.4.5

Ett partsgemensamt arbete ..................................................................

18

 

 

2.4.6

Närmare om grupperingsnivån (svårighetsgrad) ..............................

19

Tabellförteckning

 

 

Tabell 2.1

 

Antal anställda med månadslön 67 år eller äldre fördelade efter

 

 

 

 

kompetenskategori ..................................................................................

6

Tabell 2.2

 

Fördelningen den 30 juni 2025 av kvinnor och män bland

 

 

 

 

myndighetschefer som anställs av regeringen .....................................

9

Tabell 2.3

 

Andelen kvinnor respektive män med utländsk bakgrund inom

 

 

 

 

staten totalt och per kompetenskategori............................................

11

Tabell 2.4

 

Andelarna kvinnor och män i procent med utländsk bakgrund

 

 

 

 

fördelade på COFOG-grupper 2024 jämfört med 2023.................

11

Tabell 2.5

 

Sjukfrånvaro inom olika COFOG-grupper fördelat på kön ..........

13

Tabell 2.6

 

BESTA-klassificering efter grupperingsnivå, medarbetare (anställda

 

 

 

exklusive chefer), 2024 .........................................................................

19

Diagramförteckning

 

Diagram 2.1

Åldersstrukturen i staten och på arbetsmarknaden totalt 2024,

 

 

 

 

andel fast anställda av de sysselsatta i arbetskraften ..........................

6

Diagram 2.2

Anställda som beviljats ålderspension 2015–2024 .............................

7

Diagram 2.3

Nybeviljade delpensioner 2015–2024...................................................

8

1

 

Prop. 2025/26:1 Utgiftsområde 2 Bilaga 1

 

Diagram 2.4

Fördelningen av kvinnor och män med uppgift att planera och leda

 

myndighetens verksamhet på olika nivåer...........................................

9

Diagram 2.5

Fördelningen av kvinnor och män bland myndighetschefer som

 

 

anställts av regeringen...........................................................................

10

Diagram 2.6

Andel med utländsk bakgrund för staten totalt, nyanställda,

 

 

förvärvsarbetande 20–64 år och för befolkningen i arbetsför ålder

 

..................................................................................................................

10

Diagram 2.7

Personalrörlighet fördelad på kompetenskategorier, ålder och kön

 

..................................................................................................................

12

Diagram 2.8

Sjukfrånvaron totalt och uppdelat på kön .........................................

13

Diagram 2.9

Förändring i sjukfrånvaron vid statliga myndigheter mellan 2023

 

 

och 2024..................................................................................................

14

Diagram 2.10

Sjukfrånvaron i procent enligt Statistiska centralbyråns

 

 

arbetskraftsundersökningar..................................................................

15

Diagram 2.11

Anställda som har beviljats sjukpension 2015–2024 .......................

16

Diagram 2.12

Anmälningar enligt PSA .......................................................................

16

Diagram 2.13

Utvecklingen av genomsnittliga löner i olika sektorer på

 

 

arbetsmarknaden....................................................................................

17

2

Prop. 2025/26:1 Utgiftsområde 2 Bilaga 1

1 Inledning

I denna bilaga lämnas en mer detaljerad redogörelse av personalstrukturen inom staten och kompletterande information om uppföljningen av regeringens delmål för de statliga arbetsgivarna.

2 Personalstrukturen i staten

Ansvaret för den statliga arbetsgivarpolitiken har till stor del delegerats till de statliga myndigheterna. Den långtgående delegeringen innebär att myndigheterna, utifrån sina uppgifter, har en betydande frihet bl.a. när det gäller kompetensförsörjning, kompetensutveckling, löne- och andra anställningsvillkor, arbetsmiljö och arbetet med den statliga värdegrunden.

För att regeringen ska kunna följa utvecklingen av kompetensförsörjningen lämnar myndigheterna varje år sedan 1997 en redovisning av sin kompetensförsörjning till regeringen. Från och med 2003 sker denna redovisning i myndigheternas års- redovisningar.

Myndigheterna ska genom sin kompetensförsörjning säkerställa att relevant kompetens finns för att fullgöra sina uppgifter och för att tillgodose sina behov på både kort och lång sikt. Myndigheterna ska vidare systematiskt analysera vilken kompetens som behövs för att de ska klara sina nuvarande och framtida uppgifter.

I det följande redovisas all individbaserad statistik uppdelad på kön, i den mån sådana uppgifter är tillgängliga. Följande definitioner används för redovisningen:

Ledningskompetens avser personal med ett formellt personalansvar som har till uppgift att planera och leda en myndighets verksamhet på olika nivåer, oavsett om uppgifterna avser kärn- eller stödkompetens.

Kärnkompetens avser personal med sakområdeskompetens inom myndighetens verksamhetsområde.

Stödkompetens avser personal med en stödfunktion åt personal med lednings- eller kärnkompetens inom myndighetens verksamhetsområde.

Personer med utländsk bakgrund avser, i enligt med Statistiska centralbyråns (SCB) definition, personer som är utrikes födda eller personer som är födda i Sverige och vars båda föräldrar är utrikes födda.

Uppföljningen av utvecklingen i staten redovisas fr.o.m. 2008 enligt den inter- nationella klassifikationen Classification of the Functions of Government (COFOG) och syftar till att redovisa sektorns uppgifter efter deras funktion och ändamål.

3

Prop. 2025/26:1 Utgiftsområde 2 Bilaga 1

2.1Anställda i staten

Anställda i staten september 2024

Siffrorna inom parentes avser september 2019.

Antalet anställda i staten uppgick till 292 459 (262 821), vilket innebar en ökning med 6 961 jämfört med 2023. Bland månadsavlönade statsanställda hade 96 procent av kvinnorna och 96 procent av männen en heltidsanställning. Andelarna var oförändrade jämfört med 2023. Heltidsanställning är således norm inom stats- förvaltningen. Staten är den sektor som har jämnast könsfördelning på arbets- marknaden. Andelen kvinnor uppgick till 53 procent. Det var samma andel som 2023. Andelen tillsvidareanställningar med månadslön uppgick till 82 procent (78). Av kvinnorna hade 84 procent (80 procent) en tillsvidareanställning. Motsvarande andel för männen var 80 procent (75 procent). Av de anställda var 15 procent (17 procent) visstidsanställda med månadslön. Av kvinnorna hade 13 procent (15 procent) en visstidsanställning med månadslön. Motsvarande andel var 17 procent (18 procent) bland männen. Omkring 3 procent (5 procent) av de anställda hade en anställning med betings-, dag- eller timavlöning. Bland kvinnorna var andelen med en sådan anställning 3 procent (5 procent) och bland männen 3 procent (6 procent).

Nedan redovisas fördelningen av de statsanställda totalt per kompetenskategori och könsfördelningen inom respektive kategori (procent). Siffrorna inom parentes avser 2019:

ledningskompetens 8 (8), varav kvinnor 48 (43) och män 52 (57)

kärnkompetens 66 (68), varav kvinnor 51 (51) och män 49 (49)

stödkompetens 26 (23), varav kvinnor 60 (62) och män 40 (38)

oklassade 1 (1), varav kvinnor 47 (48), varav kvinnor 53 (52).

Totalt sett överensstämde fördelningen 2024 i stort med 2023.

Den till antalet största ökningen av anställda mellan september 2023 och september 2024 stod Polismyndigheten för, med 2 810 anställda (8 procent). Den näst största ökningen stod Kriminalvården för, som växte med 2 096 anställda (13 procent), följt av Försvarsmakten som växte med 1 845 anställda (7 procent). Likt 2023 stod Försäkringskassan för den största minskningen med 1 001 personer (-7 procent), följt av Arbetsförmedlingen som stod för en minskning med 723 anställda (-7). Även Skatteverket har minskat i personal med 453 anställda (-4 procent). Detta inkluderar även timanställda i beräkningen.

I september 2024 hade 6 myndigheter (motsvarande 3 procent av 208 inräknade myndigheter) mer än 10 000 anställda, 42 (20 procent) 1 000–9 999 anställda, 75 (36 procent) 200–999 anställda, 51 (25 procent) 50–199 anställda och

34 (16 procent) färre än 50 anställda.

Flest anställda fanns i COFOG-gruppen Utbildning (27,1 procent), och därefter i fallande ordning i grupperna Samhällsskydd och rättskipning (23,7 procent), Socialt skydd m.m. (13,6 procent), Försvar (12,9 procent), Allmän offentlig förvaltning (10,6 procent) Näringslivsfrågor (11,3 procent) och Fritidsverksamhet, kultur och religion (mindre än 1 procent).

Tidsbegränsade anställningar inom staten grundar sig till stor del på arbetets karaktär eller förutsättningar och ska ha stöd i lag, förordning eller kollektivavtal. Som exempel kan nämnas universitet och högskolor, som har både författningsreglerade och kollektivavtalsreglerade meriteringsanställningar, och soldater och sjömän, vars

4

Prop. 2025/26:1 Utgiftsområde 2 Bilaga 1

anställningar regleras i både lag och kollektivavtal, samt notariernas författnings- reglerade anställningar inom Sveriges Domstolar. Bland de tidsbegränsade anställda ingår bl.a. de som har en provanställning, de som fått möjligheten till tjänstledighet för att prova en annan statlig anställning och chefer för myndigheter som anställs av regeringen för en bestämd tid.

Andelen tidsbegränsade anställningar skiljer sig åt mellan olika myndigheter. Den högsta andelen tidsbegränsat anställda finns inom universiteten och högskolorna. Även andelen visstidsanställningar med timavlöning skiljer sig åt mellan myndig- heterna.

2.1.1Utbildningsbakgrund bland de anställda

Av de som 2024 var anställda inom den statliga sektorn hade ca 80 procent efter- gymnasial utbildning. Både inom staten och på arbetsmarknaden i stort är andelen kvinnor med eftergymnasial utbildning högre än motsvarande andel för män. För befolkningen som helhet i åldern 16–74 år uppgick andelen med eftergymnasial utbildning till ca 40 procent 2024.

Bland de anställda i staten har kvinnor sedan åtta år tillbaka en något högre genom- snittlig utbildningsnivå än män. Det beror på att fler kvinnor än män anställts i staten de senaste åren och att nyanställda generellt sett har en hög utbildningsnivå.

Det finns fortsatt skillnader mellan män och kvinnor när det gäller vilka utbildnings- områden som är vanligast. Inom kategorin eftergymnasial utbildning är juridik och rättsvetenskap, företagsekonomi samt handel och administration vanligast bland statsanställda kvinnor. Bland statsanställda män med eftergymnasial utbildning är polisutbildning och militärutbildning vanligast.

2.1.2Åldersstrukturen

Åldersstrukturen i staten 2024 var på det stora hela oförändrad jämfört med 2019.

Åldersgruppen under 35 år utgjorde 24 procent av det totala antalet anställda. Andelen kvinnor och andelen män i åldersgruppen uppgick till 23 respektive 25 procent av det totala antalet kvinnor respektive män i staten.

Åldersgruppen 35–44 år utgjorde 25 procent av det totala antalet anställda. Andelen kvinnor och andelen män i åldersgruppen uppgick till 26 respektive 25 procent av det totala antalet kvinnor respektive män i staten.

Åldersgruppen 45–54 år utgjorde 26 procent av det totala antalet anställda. Andelen kvinnor och andelen män i åldersgruppen uppgick till 27 respektive 25 procent av det totala antalet kvinnor respektive män i staten.

Åldersgruppen 55–65 år utgjorde 23 procent av det totala antalet anställda. Andelen kvinnor och andelen män i åldersgruppen uppgick till 22 respektive 23 procent av det totala antalet kvinnor respektive män i staten.

Åldersgruppen över 65 år utgjorde 2 procent av det totala antalet anställda. Andelen kvinnor och andelen män i åldersgruppen uppgick till 2 procent av det totala antalet kvinnor respektive män i staten.

Genomsnittsåldern ökade något för statligt månadsavlönade och uppgick 2024 till

45 år. Medelåldern var 45 år för kvinnor och 44 år för män. Genomsnittsåldrarna för de olika kompetenskategorierna var 50 år för ledningskompetens, 43 år för kärn-

5

Prop. 2025/26:1 Utgiftsområde 2 Bilaga 1

kompetens och 47 år för stödkompetens. Inom grupperna ledningskompetens och stödkompetens har genomsnittsåldern ökat något.

Antalet anställda som har månadslön och är 67 år eller äldre fortsatte att öka och uppgick till 3 482 anställda 2024. Det var en ökning med 7 procent jämfört med 2023. Fördelningen efter kompetenskategori redovisas i tabell 2.1.

Tabell 2.1 Antal anställda med månadslön 67 år eller äldre fördelade efter kompetenskategori

Antal

 

2022

2023

2024

Ledningskompetens

156

169

176

Kärnkompetens

1 994

2 311

2 465

 

 

 

 

Stödkompetens

465

569

663

 

 

 

 

Oklassade

237

210

178

Summa

2 852

3 259

3 482

 

 

 

 

varav kvinnor

1 097

1 280

1 315

 

 

 

 

varav män

1 755

1 979

2 167

 

 

 

 

Källa: Arbetsgivarverket.

 

 

 

Staten har ett något äldre personalstyrka än arbetsmarknaden i övrigt (se diagram 2.1). I åldersgrupperna, 55–65 och 65–74 år, har andelen statligt anställda ökat 2024 i förhållande till arbetsmarknaden i övrigt.

Diagram 2.1 Åldersstrukturen i staten och på arbetsmarknaden totalt 2024, andel fast anställda av de sysselsatta i arbetskraften

Procent

35

30

25

20

15

10

5

0

15–34 år

35–44 år

45–54 år

55–65 år

66–74 år

 

 

Arbetsmarknaden

 

 

 

Staten

 

 

 

 

 

 

 

 

 

 

 

Anm.: Eftersom arbetskraftsundersökningarna (AKU) är en urvalsundersökning är samtliga uppskattningar behäftade med osäkerhet. Skattningen av utfallet i åldersgruppen 66–74 år uppgår till ca 1,1 procent utifrån en skattning för totalen då antalet svarande inom staten är få och osäkerheten anses vara hög.

Källa: Statistiska centralbyrån.

2.1.3Nybeviljade ålderspensioner

År 2024 nybeviljades 3 762 personer förmånsbestämda ålderspensioner enligt det statliga tjänstepensionsavtalet. Det var något färre än 2023 (se diagram 2.2). Antalet ålderspensioner har minskat successivt sedan 2016, men ökade 2021 och 2022.

6

Prop. 2025/26:1 Utgiftsområde 2 Bilaga 1

Diagram 2.2 Anställda som beviljats ålderspension 2015–2024

Antal

6000

5000

4000

3000

2000

1000

0

 

 

 

 

 

 

 

 

 

 

 

 

 

 

 

 

 

 

 

 

 

 

 

 

 

 

 

 

 

 

 

 

 

 

 

 

 

 

 

 

 

 

 

 

 

 

 

 

 

 

15

16

17

18

19

20

21

22

23

24

 

 

 

 

 

 

 

Kvinnor

 

 

 

 

Män

 

 

 

 

 

Totalt

 

 

 

 

 

 

 

 

 

 

 

 

 

 

 

 

 

 

 

 

 

 

 

 

 

 

 

 

 

 

 

 

 

 

 

 

 

 

Källa: Statens tjänstepensionsverk.

Antalet nybeviljade ålderspensioner minskade 2024 jämfört med 2023 bland både kvinnor och män. Det var något fler kvinnor än män som tog ut ålderspension 2023, vilket följer utvecklingen över de senaste tio åren. Allt fler av de statsanställda tar ut pension från 66 år eller senare. För anställda med 65 år som ålder för beräkning av målpension enligt det statliga tjänstepensionsavtalet är trenden att andelen som tar ut ålderspension före den månad då de fyller 65 år minskar. Av de anställda som fick sin första utbetalning av ålderspension 2024 tog nästan två tredjedelar, 66 procent, ut den efter att de fyllt 65 år.

Kvinnor med anställningar som har 65 år som ålder för beräkning av målpension tar i högre utsträckning än män ut ålderspension före månaden då de fyller 65 år, och i mindre utsträckning efter denna månad. År 2024 var det 27 procent bland kvinnorna som påbörjade sitt uttag före denna månad och 65 procent som påbörjade uttaget efter. Bland männen var motsvarande andelar 24 procent respektive 68 procent.

Det är fortsatt relativt stora skillnader mellan de olika COFOG-grupperna när det gäller uttag av pension för personer som har haft anställningar med 65 år som ålder för beräkning av målpension. Under 2024 valde 40 procent av de statsanställda i gruppen Samhällsskydd och rättskipning att påbörja uttaget före månaden då de fyllde 65 år, medan 54 procent påbörjade sitt uttag efter denna månad. Bland statsanställda i gruppen Utbildning påbörjade 13 procent sitt uttag före denna månad och 80 procent efter.

För statligt anställda kompenserar tjänstepensionen för det intjänandetak som finns i den allmänna pensionen för inkomster som överstiger 7,5 inkomstbasbelopp. Av de som 2024 påbörjade uttag av ålderspension, efter att ha haft en anställning med 65 år som pensionsålder, var det 53 procent av männen och 35 procent av kvinnorna som hade ett pensionsunderlag som översteg intjänandetaket.

2.1.4Nybeviljade delpensioner

År 2024 nybeviljades 954 delpensioner enligt avtalet om delpension för arbetstagare hos staten. Det är något färre än 2023 (se diagram 2.3).

7

Prop. 2025/26:1 Utgiftsområde 2 Bilaga 1

Diagram 2.3 Nybeviljade delpensioner 2015–2024

Antal

Källa: Statens tjänstepensionsverk.

De senaste tio åren har fler kvinnor än män beviljats delpension. De flesta kvinnor och män beviljas delpension upp till 20 procent. Männen har sedan delpensionsavtalet infördes 2003 i högre utsträckning beviljats den högsta omfattningen av delpension, som är 50 procent. År 2019 och 2020 var dock fördelningen nästintill densamma bland kvinnor och män. Skillnaden mellan män och kvinnor har minskat över tid.

Det är vanligare att anställda i COFOG-gruppen Utbildning beviljas delpension på 50 procent jämfört med anställda inom de övriga COFOG-grupperna. Av de som i denna grupp beviljades delpension 2008–2024 beviljades 27 procent delpension på 50 procent. För övriga COFOG-grupper var genomsnittet 10 procent.

Delpensionsavtalet upphör 2024 med undantag för att nya delpensioner kan beviljas för anställda födda innan 1966, vilket innebär att dessa kan beviljas delpension t.o.m. 2040 då födda 1965 fyller 65 år.

2.1.5Könsfördelningen på ledande befattningar

Andelen kvinnor och män på ledande befattningar i staten är jämn. Den totala andelen kvinnor på ledande befattningar uppgick till 48,0 procent 2024, vilket kan jämföras med 47,7 procent 2023. Antalet kvinnor och män med uppgift att planera och leda myndighetens verksamhet på olika nivåer uppgick 2024 till 21 787, varav 10 458 var kvinnor och 11 329 var män.

Av diagram 2.4 framgår den totala fördelningen av kvinnor och män på ledande befattningar 2015–2024.

8

Prop. 2025/26:1 Utgiftsområde 2 Bilaga 1

Diagram 2.4 Fördelningen av kvinnor och män med uppgift att planera och leda myndighetens verksamhet på olika nivåer

Procent

100

90

80

70

60

50

40

30

20

10

0

15

16

17

18

19

20

21

22

23

24

 

 

 

Kvinnor

 

 

 

Män

 

 

Källa: Arbetsgivarverket.

Fördelningen av kvinnor och män bland myndighetschefer som anställs av regeringen

År 2024 anställde regeringen totalt 35 myndighetschefer, varav 17 (49 procent) var kvinnor och 18 (51 procent) var män. Förändringar i myndighetsstrukturen kan påverka det totala antalet myndighetschefer som regeringen anställer. I tabell 2.2 framgår fördelningen av kvinnor och män bland de myndighetschefer som anställts av regeringen. Den 30 juni 2025 var könsfördelningen bland myndighetscheferna jämn. Andelen kvinnor bland myndighetscheferna uppgick till 47 procent, vilket var oförändrat i förhållande till föregående år.

Tabell 2.2 Fördelningen den 30 juni 2025 av kvinnor och män bland myndighetschefer som anställs av regeringen

Antal

 

Kvinnor

Män

Totalt

 

 

 

 

Generaldirektörer

47

63

110

 

 

 

 

Landshövdingar

15

6

21

 

 

 

 

Rektorer1

12

19

31

Överintendenter

6

3

9

Övriga titlar2

13

16

29

Myndighetschefer totalt3

93

107

200

1Regeringen anställer rektorer vid statliga universitet och högskolor efter förslag från lärosätets styrelse.

2Här ingår myndighetschefer med andra eller unika titlar såsom direktörer, ordförande och rikspolischef.

3Inklusive vikarierande myndighetschefer.

Av diagram 2.5 framgår fördelningen av kvinnor och män bland de myndighetschefer som anställdes av regeringen 2006–2025.

9

Prop. 2025/26:1 Utgiftsområde 2 Bilaga 1

Diagram 2.5 Fördelningen av kvinnor och män bland myndighetschefer som anställts av regeringen

Antal

250

200

150

100

50

0

6

7

8

9

10

11

12

13

14

15

16

17

18

19

20

21

22

23

24

25

 

 

 

 

Kvinnor

 

 

 

Män

 

 

 

 

Totalt

 

 

 

2.1.6Anställda med utländsk bakgrund

Andelen med utländsk bakgrund i staten fortsätter att öka och uppgick 2024 till

21,2 procent. Det var en marginell ökning med 0,1 procentenhet jämfört med 2023. Bland de nyanställda i staten hade 27,4 procent utländsk bakgrund 2024, vilket var en ökning med 0,2 procentenheter jämfört med 2023. År 2024 uppgick den andel av de anställda kvinnorna som hade utländsk bakgrund till 26,9, vilket var en ökning med 0,5 procentenheter jämfört med 2023. Bland männen uppgick motsvarande andel till 27,9 procent, vilket var en minskning med 0,4 procentenheter.

Av diagram 2.6 framgår andelen med utländsk bakgrund bland anställda i staten totalt, respektive nyanställda. Statistiken omfattar numera anställda vid Polismyndigheten.

Diagram 2.6 Andel med utländsk bakgrund för staten totalt, nyanställda, förvärvsarbetande 20–64 år och för befolkningen i arbetsför ålder

Procent

35

30

25

20

15

10

5

0

15

16

17

18

19

20

21

22

23

24

 

 

Staten totalt

 

 

 

Nyanställda i staten

 

 

 

Förvärvsarbetande 20–64 år

 

Befolkningen 20–64 år

 

 

 

 

 

Anm.: Staten totalt avser individer med månadsavlönad anställning hos obligatoriska medlemmar i Arbetsgivarverket, numera inklusive Polismyndigheten. Statistiken är därmed omräknad för samtliga år. Timavlönade m.fl. ingår inte. Som nyanställda räknas individer som inte varit anställda i staten föregående år samt individer som bytt anställnings- myndighet sedan föregående år. I statistiken för förvärvsarbetande 20–64 år, ingår egna företagare och personer vars arbetstidsomfattning är minst en timme per vecka. Statistik för 2024 avseende förvärvsarbetande 20–64 år är ännu inte tillgänglig.

Källor: Arbetsgivarverket och Statistiska centralbyrån.

10

Prop. 2025/26:1 Utgiftsområde 2 Bilaga 1

Statsanställda med utländsk bakgrund inom olika kompetenskategorier fördelat på kön

Andelen anställda med utländsk bakgrund varierar mellan olika delar av stats- förvaltningen, bl.a. beroende på verksamhetens karaktär och krav på svenskt medborgarskap som följer av viss lagstiftning, t.ex. lagen (1994:260) om offentlig anställning. I tabell 2.3 redovisas andelen anställda med utländsk bakgrund fördelat på COFOG-grupper och kön. Andelen anställda med utländsk bakgrund inom kompetenskategorierna ledningskompetens och kärnkompetens ökade med

0,2 procentenheter 2024 jämfört med 2023. Inom kompetenskategorin stöd- verksamhet ökade andelen med en procentenhet.

Tabell 2.3 Andelen kvinnor respektive män med utländsk bakgrund inom staten totalt och per kompetenskategori

 

2015

 

2024

 

Jämfört med 2023

 

Kv.

Män

Kv.

Män

Kv.

Män

 

 

 

 

 

 

 

Staten totalt

17,9

17,2

21,5

20,9

+0,1

+0,2

Ledningskompetens

9,2

7,2

12,1

11,6

0

+0,5

 

 

 

 

 

 

 

Kärnkompetens

19,8

20,2

24,4

23,8

+0,2

+0,2

 

 

 

 

 

 

 

Stödkompetens

15,1

12,6

17,6

15.9

0

+0,3

 

 

 

 

 

 

 

Anm.: Staten totalt avser individer med månadsavlönad anställning hos obligatoriska medlemmar i Arbetsgivarverket. Timavlönade m.fl. ingår inte.

Källa: Arbetsgivarverket.

Tabell 2.4 Andelarna kvinnor och män i procent med utländsk bakgrund fördelade på COFOG-grupper 2024 jämfört med 2023

 

2024

 

2023

 

 

Kv.

Män

Kv.

Män

Allmän offentlig förvaltning

16,5

14,3

16,5

14,3

 

 

 

 

 

Försvar

9,1

6,2

8,9

6,3

Samhällsskydd och rättskipning

14,1

15,7

13,8

14,8

 

 

 

 

 

Näringslivsfrågor

14,3

13,8

13,8

13,5

 

 

 

 

 

Fritidsverksamhet, kultur och religion

19,7

18,0

18,1

17,0

Utbildning

33,2

39,6

32,6

38,7

 

 

 

 

 

Socialt skydd m.m.

26,1

32,9

25,9

32,2

 

 

 

 

 

Totalt

21,5

20,9

21,4

20,7

Anm.: Uppgifterna i tabellen baseras på alla anställda med månadsavlönad anställning hos Arbetsgivarverkets obligatoriska medlemmar. Timavlönade m.fl. ingår inte.

Källa: Arbetsgivarverket.

Av tabell 2.4 framgår att den högsta andelen anställda med utländsk bakgrund finns inom gruppen Utbildning (36 procent). Det är också denna grupp som har flest antal anställda. Inom gruppen finns också flest nyanställda med utländsk bakgrund

(54,1 procent). Universitetens och högskolornas verksamheter karakteriseras av internationellt samarbete inom både forskning och utbildning, och rekryteringar internationellt. Det förklarar den relativt höga andelen anställda med utländsk bakgrund inom den gruppen.

Andelen anställda med utländsk bakgrund ökade i stort sett inom alla COFOG- grupper 2024 jämfört med 2023. Inom gruppen Allmän offentlig förvaltning var andelen med utländsk bakgrund dock oförändrad. En minskning kan noteras av andelen män med utländsk bakgrund inom Samhällsskydd och rättskipning. Inom flera av COFOG-grupperna bl.a. Försvar och Samhällsskydd och rättskipning finns det befattningar som förutsätter svenska medborgarskap. Detta krav kan antas påverka andelen anställda med utländsk bakgrund inom dessa grupper.

11

Prop. 2025/26:1 Utgiftsområde 2 Bilaga 1

2.1.7Personalrörligheten

Mellan september 2023 och september 2024 uppgick personalrörligheten i staten till ca 10 procent. Det innebär att rörligheten minskade med 2 procentenheter jämfört med perioden september 2022 och september 2023. Med personalrörlighet avses här nyanställningar och avgångar, oavsett om det skett inom staten eller i förhållande till andra arbetsmarknadssektorer.

Diagram 2.7 Personalrörlighet fördelad på kompetenskategorier, ålder och kön

Procent

25

 

 

 

 

 

 

20

 

 

 

 

 

 

15

 

 

 

 

 

 

10

 

 

 

 

 

 

5

 

 

 

 

 

 

0

 

 

 

 

 

 

Samtliga

Kvinnor

Män

>35 år

35–44 år

45–54 år

54 år<

 

Ledningskompetens

Kärnkompetens

Stödkompetens

Källa: Arbetsgivarverket.

I likhet med tidigare år var personalrörligheten högre bland anställda under 35 år, för att sedan avta med stigande ålder (se diagram 2.7). Personalrörligheten fortsätter att vara högre inom kompetenskategorierna kärn- och stödkompetens än inom kategorin ledningskompetens.

2.2Uppsägningar i staten

År 2024 anmäldes 2 291 personer till Trygghetsstiftelsen enligt avtal om omställning, vilket var 107 fler än 2023. Av de anmälda 2024 var 54 procent kvinnor och

46 procent män, vilket kan jämföras med 51 procent kvinnor 2023 och 50 procent kvinnor 2022. Av de anmälda hade 67 procent en tidsbegränsad anställning, och övriga en tillsvidareanställning. Under 2024 var det i likhet med förgående år universiteten och högskolorna som anmälde flest medarbetare till Trygghetsstiftelsen

70 procent av de anmälda kom från denna sektor. År 2024 lämnade 2 070 personer den verksamhet som stiftelsen tillhandahåller, vilket var något fler än 2023. Av de som lämnade verksamheten 2024 hade 62 procent fått ett nytt arbete, vilket kan jämföras med 68 procent 2023. Snittåldern på de som lämnade stiftelsen 2024 var 39 år. År 2023 var snittåldern 40 år. Trots den svaga arbetsmarknaden 2024 fick drygt 1 300 anmälda ett nytt arbete. Det var något fler än under 2023. Majoriteten av de som fick ett nytt arbete, 57 procent, fortsatte att arbeta inom statsförvaltningen.

2.3Sjukfrånvaro i staten

2.3.1Sjukfrånvaron vid statliga myndigheter

Arbetsgivarverket har gjort en sammanställning av sjukfrånvaron i staten utifrån myndigheternas årsredovisningar för 2024.

12

Prop. 2025/26:1 Utgiftsområde 2 Bilaga 1

Enligt sammanställningen uppgick sjukfrånvaron i staten till 3,6 procent av den ordinarie arbetstiden 2024, vilket var en minskning med 0,1 procentenheter jämfört med 2023 (se diagram 2.8). Av 202 statliga myndigheter hade lite mer än hälften,

106 myndigheter, en lägre sjukfrånvaro 2024 än 2023, medan 67 hade en högre sjuk- frånvaro. Sjukfrånvaron var oförändrad för 29 av myndigheterna.

Sjukfrånvaron uppgick 2024 till 4,6 procent för kvinnor och 2,5 procent för män, vilket innebar en minskning med 0,1 procentenhet för kvinnor respektive män jämfört med 2023. Sjukfrånvaron minskade även inom alla åldersgrupper. För anställda i åldersgruppen yngre än 30 år uppgick sjukfrånvaron till 2,8 procent av gruppens sammanlagda ordinarie arbetstid. I åldersgruppen 30–49 år var sjukfrånvaron

3,4 procent och i gruppen 50 år och äldre var sjukfrånvaron 4,2 procent.

Diagram 2.8 Sjukfrånvaron totalt och uppdelat på kön

Procent

Källa: Arbetsgivarverket.

Itabell 2.5 redovisas sjukfrånvaron inom de olika COFOG-grupperna. Sjukfrånvaron minskade inom samtliga COFOG-grupper förutom Socialt skydd m.m. Myndig- heterna inom gruppen Fritidsverksamhet, kultur och religion hade den största minsk- ningen på 0,4 procentenheter. Myndigheter inom grupperna Försvar och Utbildning hade den lägsta totala sjukfrånvaron på 2,3 procent respektive 2,7 procent. Myndig- heter inom gruppen Socialt skydd m.m. uppvisade den högsta sjukfrånvaron på

5,8 procent.

Tabell 2.5 Sjukfrånvaro inom olika COFOG-grupper fördelat på kön

Procent

COFOG-grupp

2022

 

2023

 

2024

 

 

Kv.

Män

Kv.

Män

Kv.

Män

Allmän offentlig förvaltning

4,8

2,6

4,5

2,4

4,4

2,4

 

 

 

 

 

 

 

Försvar

4,2

2,4

3,7

1,9

3,6

1,8

Samhällsskydd och rättskipning

6,0

3,9

5,5

3,4

5,2

3,2

 

 

 

 

 

 

 

Näringslivsfrågor

4,8

2,9

4,6

2,6

4,3

2,3

 

 

 

 

 

 

 

Fritidsverksamhet, kultur och religion

4,3

3,4

4,3

3,3

3,9

2,7

Utbildning

3,8

1,8

3,6

1,7

3,5

1,6

 

 

 

 

 

 

 

Socialt skydd m.m.

6,5

4,8

6,1

4,4

6,6

4,5

 

 

 

 

 

 

 

Totalt

5,1

2,9

4,7

2,6

4,6

2,5

Källa: Arbetsgivarverket.

 

 

 

 

 

 

13

Prop. 2025/26:1 Utgiftsområde 2 Bilaga 1

Av diagram 2.9 framgår att bland myndigheter med 1 000 årsarbetskrafter eller fler hade 18 av 202 myndigheter en lägre sjukfrånvaro 2024 än under 2023. Sjukfrånvaron minskade för 77 myndigheter med minst 50 men färre än 1 000 årsarbetskrafter. Bland myndigheter med färre än 50 årsarbetskrafter hade 11 myndigheter en minskad sjuk- frånvaro.

Diagram 2.9 Förändring i sjukfrånvaron vid statliga myndigheter mellan 2023 och 2024

Antal

120

100

80

60

40

20

0

Små mynd. < 50

Mellanstora mynd. 50– Stora mynd. >999

 

Totalt

årsarb.

999 årsarb.

 

årsarb.

 

 

 

 

Minskat

 

Oförändrat

 

Ökat

 

 

 

 

 

 

 

 

Anm.: Enligt förordningen (2000:605) om årsredovisning och budgetunderlag ska uppgift om sjukfrånvaro inte lämnas om antalet anställda är färre än tio.

Källa: Arbetsgivarverket.

2.3.2Sjukfrånvaron i staten jämfört med andra sektorer

I SCB:s arbetskraftsundersökningar (AKU) jämförs sjukfrånvaron i olika arbets- marknadssektorer. Definitioner och mätmetoder skiljer sig mellan AKU och sjuk- frånvarouppgifterna i myndigheternas årsredovisningar, som Arbetsgivarverket sammanställer. Av den anledningen är uppgifterna enligt AKU inte jämförbara med Arbetsgivarverkets redovisning. I diagram 2.10 redovisas den genomsnittliga sjuk- frånvaron i den kommunala, den privata och den statliga sektorn enligt AKU upp- delad på kvinnor och män.

14

Prop. 2025/26:1 Utgiftsområde 2 Bilaga 1

Diagram 2.10 Sjukfrånvaron i procent enligt Statistiska centralbyråns arbetskraftsundersökningar

Procent

8,0

7,0

6,0

5,0

4,0

3,0

2,0

1,0

0,0

15

16

17

18

19

20

21

22

23

24

 

Kommun, kvinnor

 

Kommun, män

 

 

Privat, kvinnor

 

 

Privat, män

 

Stat, kvinnor

 

 

Stat, män

 

 

 

 

 

 

Anm.: AKU är en urvalsundersökning och det s.k. osäkerhetstalet påverkas av urvalens storlek. Staten är den minsta sektorn på arbetsmarknaden och har därmed störst osäkerhetstal.

Källa: Arbetsgivarverket utifrån underlag från Statistiska centralbyråns arbetskraftsundersökningar.

AKU visar att den genomsnittliga sjukfrånvaron minskade inom samtliga arbets- marknadssektorer 2024. Inom den kommunala sektorn ökade dock sjukfrånvaron med 0,3 procentenheter för männen. Sjukfrånvaron för kvinnor minskade dock inom den kommunala sektorn med 0,4 procent. Trenderna i hur sjukfrånvaron minskar eller ökar mellan åren följer respektive sektor snarare än kön. Den genomsnittliga sjukfrån- varon under perioden inom de olika sektorerna var högre för kvinnor än män. I likhet med tidigare år hade den statliga sektorn under den aktuella perioden totalt en lägre genomsnittlig sjukfrånvaro jämfört med övriga arbetsmarknadssektorer. Det kan förklaras av att staten har en större andel anställda med tjänstemannayrken.

2.3.3Nybeviljande sjukpensioner

Sjukpension är en förmån enligt det statliga tjänstepensionsavtalet som kan beviljas om Försäkringskassan har beslutat om sjukersättning eller aktivitetsersättning med omfattningen 25–100 procent. År 2024 nybeviljades 172 sjukpensioner enligt det statliga tjänstepensionsavtalet, vilket var något fler än 2023. För en tioårsöversikt över utvecklingen av nybeviljande sjukpensioner, se diagram 2.11.

Det finns en tydlig skillnad mellan könen beträffande antalet nybeviljade sjuk- pensioner. År 2024 var en tredjedel av de som beviljades sjukpension män och två tredjedelar var kvinnor.

15

Prop. 2025/26:1 Utgiftsområde 2 Bilaga 1

Diagram 2.11 Anställda som har beviljats sjukpension 2015–2024

Antal

300

250

200

150

100

50

0

 

 

 

 

 

 

 

 

 

 

 

 

 

 

 

 

 

 

 

 

 

 

 

 

 

 

 

 

 

 

 

 

 

 

 

 

 

 

 

 

 

 

 

 

 

 

 

 

 

 

 

 

 

 

 

 

 

 

 

 

 

 

 

 

 

 

 

 

 

 

 

 

 

 

 

 

 

 

 

 

 

 

 

 

 

 

 

 

 

 

15

16

17

 

18

 

19

 

20

 

21

 

22

23

24

 

 

 

 

 

 

Kvinnor

 

 

 

 

 

 

 

 

Män

 

 

 

 

 

 

Totalt

 

 

 

 

 

 

 

 

 

 

 

 

 

 

 

 

 

 

 

 

 

 

 

 

 

 

 

 

 

 

 

 

 

 

 

 

 

 

 

 

 

 

 

 

 

 

Källa: Statens tjänstepensionsverk.

Över hälften, 57 procent, av de nya sjukpensionerna 2024 var på heltid. Det har sedan 1998, då den aktuella statistiken redovisades för första gången, varit fler kvinnor än män som beviljats sjukpension. Det är dock en större andel män än kvinnor som beviljas sjukpension på heltid, vilket är ett mönster som noterats nästan alla år sedan 2003.

Medianåldern för att beviljas sjukpension var 59 år och 3 månader 2024. Kvinnor hade 2014–2023 en lägre medianålder vid beviljad sjukpension än män. År 2024 var männens medianålder 61 år och 2 månader och kvinnornas medianålder 57 år och 8 månader.

2.3.4Anmälningar enligt det statliga personskadeavtalet

Antalet anmälningar enligt personskadeavtalet (PSA) minskade med ca 4 procent 2024 jämfört med 2023 (se diagram 2.12.). Andelen som avsåg män uppgick 2024 till

52,4 procent, vilket var en minskning med 2,7 procentenheter jämfört med 2023.

Diagram 2.12 Anmälningar enligt PSA

Antal

6 000

5 000

4 000

3 000

2 000

1 000

0

15

16

17

18

19

20

21

22

23

24

 

 

Kvinnor

 

 

 

Män

 

 

Totalt

 

 

 

 

 

 

 

 

 

 

 

 

 

 

 

 

 

Källa: Arbetsgivarverket.

16

Prop. 2025/26:1 Utgiftsområde 2 Bilaga 1

2.4Lönenivåer och löneutveckling

2.4.1Löneutvecklingen i staten

Arbetsgivarverket ingår som arbetsgivarpart avtal på statens vägnar med de fackliga parterna Offentliganställdas Förhandlingsråds förbundsområden inom det statliga förhandlingsområdet sammantagna (OFR/S,P,O), Sveriges Akademikers Central- organisation Staten (Saco-S) samt Seko, service- och kommunikationsfacket (Seko).

Nuvarande ramavtal om löner m.m. för arbetstagare inom det statliga avtalsområdet (RALS) gäller tills vidare med Saco-S. Arbetsgivarverket har med OFR/S,P,O respektive med Seko slutit avtal som omfattar tiden fr.o.m. den 1 oktober 2023 t.o.m. den 30 september 2025.

2.4.2Utvecklingen av genomsnittliga löner

Sedan ramanslagsreformen 1994 ha löneutvecklingen i staten relativt väl följt löneutvecklingen på arbetsmarknaden i stort (se diagram 2.13).

Diagram 2.13 Utvecklingen av genomsnittliga löner i olika sektorer på arbetsmarknaden

Index 1994=100

300

250

200

150

100

50

0 94 95 96 97 98 99 0 1 2 3 4 5 6 7 8 9 10 11 12 13 14 15 16 17 18 19 20 21 22 23 24

Kommuner

Regioner

Statlig sektor

Privat sektor

Anm.: Uppgifter avser nominella löner och är rensade med hänsyn till strukturella förändringar i utbildningsnivå, ålder och kön.

Källa: Statistiska centralbyrån.

Mellan 1994–2024 ökade lönerna inom den statliga sektorn med 273,2 procent, inom regionerna med 282,3 procent, inom kommunerna med 248,3 procent och inom privat sektorn med 270,1 procent. Inom den privata sektorn ökade lönen med

281 procent för tjänstemän och med 244,4 procent för arbetare.

2.4.3Löneskillnader mellan män och kvinnor

Beräknat på heltidslön hade män inom staten i genomsnitt 4,7 procent högre lön än kvinnor, vilket var en marginell minskning med drygt 0,1 procentenheter jämfört med 2023. Löneskillnaderna kan till stor del förklaras av strukturella faktorer. Den faktor som påverkar lönen mest är arbetsuppgifternas komplexitet och självständighet. Komplexitet och självständighet mäts genom grupperingsnivå i BESTA, som är ett klassificeringssystem för att dela in statliga befattningar efter arbetsuppgifternas innehåll och grupperingsnivå. När hänsyn tas till dessa mätbara faktorer kvarstår en skillnad som inte kan förklaras av tillgänglig information i statistiken, den s.k.

17

Prop. 2025/26:1 Utgiftsområde 2 Bilaga 1

oförklarade löneskillnaden. Den skillnaden uppgick till 0,8 procent i september 2024, vilket var en minskning med ca 0,1 procentenhet jämfört med 2024.

I regressionsanalysen av den partsgemensamma lönestatistiken, som syftar till att analysera vilka faktorer som kan förklara löneskillnaderna mellan män och kvinnor, ingår alla myndigheter under regeringen. Arbetsgivarverkets frivilliga medlemmar eller myndigheter som sorterar under riksdagen ingår inte i det statistiska materialet. Materialet omfattar samtliga anställda som har en månadslön och som arbetar minst 40 procent. Myndighetschefer, vars löner beslutas av regeringen, har dock uteslutits.

För statsanställda var medellönen ca 43 900 kronor i september 2024, vilket innebar en ökning med drygt 2 000 kronor jämfört med september 2023.

För kvinnor uppgick den genomsnittliga månadslönen till 42 900 kronor och för män 45 000 kronor. Den faktor som har störst påverkan på den totala löneskillnaden är fortsatt att kvinnor och män i olika omfattning arbetar med olika arbetsuppgifter och på olika nivåer i myndigheterna.

2.4.4Genomsnittlig löneutveckling

Arbetsgivarverkets medlemmar hade vid mättillfället i september 2024 genomfört lönerevisionen enligt RALS 2023–2025 och slutfört den årliga lönerevisionen för motsvarande period i Saco-S tillsvidareavtal. De flesta medlemmar hade en revisions- period om 12 månader och den genomsnittliga revisionsperioden för hela staten var 11,9 månader. Löneutvecklingen under 2024 uppgick till 4,3 procent för kollektivet inom det statliga avtalsområdet (beräknad som årstakt). Det innebar en ökning med 1,8 procentenheter jämfört föregående år. Under 2024 var löneutvecklingen för försvaret samt samhällsskydd och rättsskipning högst på 7 procent respektive

5,7 procent. För identiska individer, dvs. individer som varit anställda vid samma myndighet vid båda mättillfällena.

För statsanställda var den genomsnittliga löneutvecklingen i årstakt för identiska individer, 5,3 procent 2024. Att löneutvecklingen för identiska individer kan vara större än den kollektiva löneutvecklingen beror framför allt på att individer som avslutar sin anställning oftare har en högre lönenivå än individer som börjar sin anställning. Den genomsnittliga löneutvecklingen (exklusive chefer) för kvinnor uppgick till 5,1 procent och för män till 5,4 procent. Löneutvecklingen för identiska individer som var chefer var 5,8 procent för kvinnor och 5,9 procent för män.

Antalet överenskommelser där anställda ges möjlighet att få individanpassade villkors- lösningar har fortsatt ökat. Den största ökningen stod avståenden från högre lön till avsättning till tjänstepension för, och det var vanligast i åldersgruppen 50 år eller äldre.

2.4.5Ett partsgemensamt arbete

Parterna på det statliga avtalsområdet har på alla nivåer ett gemensamt ansvar för att utjämna och förhindra skillnader i löner och andra anställningsvillkor mellan kvinnor och män, som utför arbete som är att betrakta som lika eller likvärdigt. Parterna ska också främja alla medarbetares lika möjligheter att på sakliga grunder påverka sin löneutveckling. Parterna ska även beakta principerna om att utjämna och förhindra skillnader i löner och andra anställningsvillkor mellan kvinnor och män avseende medarbetare som under viss tid inte befinner sig i arbete, t.ex. föräldralediga.

De centrala parterna på det statliga avtalsområdet träffade i september 2023 en överenskommelse om att fortsatt bedriva fyra utvecklingsområden inom rådet för partsgemensamt stöd inom det statliga avtalsområdet, Partsrådet. Arbetsområdena är:

18

Prop. 2025/26:1 Utgiftsområde 2 Bilaga 1

Arbetsmiljö ur ett partsperspektiv, Partsgemensamt arbetsområde ett hållbart arbets- liv, Centrala parters stöd till samverkan på lokal nivå och Centrala parters stöd till lokal lönebildning. Arbetet med utvecklingsområden ska fortgå t.o.m. den 31 december 2025.

2.4.6Närmare om grupperingsnivån (svårighetsgrad)

För att bättre kunna analysera lönestatistiken i staten har parterna på det statliga avtalsområdet kommit överens om BESTA-systemet, som utgör en indelning av arbetsuppgifter i 64 arbetsområden och på olika grupperingsnivåer. För medarbetare finns det sex grupperingsnivåer (1–6), som anger arbetsuppgifternas omfång och komplexitet. Nivån ska också återspegla det ansvar, den självständighet, de kunskaper och de erfarenheter som krävs för att utföra arbetsuppgifterna (desto högre nivå ju större ansvar och krav på bl.a. självständighet).

År 2024 uppgick antalet anställda vid de statliga myndigheterna som klassificerades som medarbetare till 261 288. Detta exkluderar anställda chefer. Sammantaget uppgick antalet klassificerade chefer till 21 404. Antalet anställda som inte var klassificerade minskade från 12 234 år 2023 till 9 767 år 2024.

Tabell 2.6 BESTA-klassificering efter grupperingsnivå, medarbetare (anställda exklusive chefer), 2024

Antal och procent

Grupperingsnivå

Antal

Andel kvinnor

Andel män

Nivå 1

26 363

43

57

 

 

 

 

Nivå 2

41 103

57

43

 

 

 

 

Nivå 3

94 895

57

43

 

 

 

 

Nivå 4

71 205

54

46

 

 

 

 

Nivå 5

22 433

49

51

 

 

 

 

Nivå 6

5 289

34

66

 

 

 

 

Källa: Arbetsgivarverket.

 

 

 

19