Utgiftsområde 22

Kommunikationer

1

Prop. 2025/26:1 Utgiftsområde 22

Utgiftsområde 22 – Kommunikationer

Innehållsförteckning

1

Förslag till riksdagsbeslut .................................................................................................

4

2

Utgiftsområde 22 Kommunikationer ............................................................................

7

 

2.1

Omfattning .............................................................................................................

7

 

2.2

Utgiftsutveckling....................................................................................................

7

 

2.3

Skatteutgifter ..........................................................................................................

9

 

2.4

Mål för utgiftsområdet..........................................................................................

9

3

Transportpolitiken...........................................................................................................

11

 

3.1

Mål för utgiftsområdet........................................................................................

11

 

 

3.1.1

Transportpolitikens övergripande mål ...............................................

11

 

3.2

Resultatindikatorer och andra bedömningsgrunder .......................................

11

 

3.3

Resultatredovisning .............................................................................................

12

 

 

3.3.1

Transportpolitikens övergripande mål ...............................................

12

 

 

3.3.2

Funktionsmål – tillgänglighet ..............................................................

14

 

 

3.3.3

Hänsynsmål – säkerhet, miljö och hälsa ............................................

23

 

 

3.3.4

Redovisning av den nationella trafikslagsövergripande

 

 

 

 

planen för transportinfrastrukturen för perioden 2022–2033........

31

 

3.4

Politikens inriktning ............................................................................................

42

 

3.5

Budgetförslag........................................................................................................

45

 

 

3.5.1

1:1 Utveckling av statens transportinfrastruktur ..............................

45

 

 

3.5.2

1:2 Vidmakthållande av statens transportinfrastruktur ...................

58

 

 

3.5.3

1:3 Trafikverket......................................................................................

62

 

 

3.5.4

1:4 Ersättning för sjöräddning och fritidsbåtsändamål ...................

64

 

 

3.5.5

1:5 Ersättning för viss kanal- och slussinfrastruktur........................

65

 

 

3.5.6

1:6 Ersättning avseende flygplatser.....................................................

65

 

 

3.5.7

1:7 Trafikavtal ........................................................................................

66

 

 

3.5.8

1:8 Viss internationell verksamhet ......................................................

68

 

 

3.5.9

1:9 Statens väg- och transportforskningsinstitut ..............................

69

 

 

3.5.10

1:10 Från EU-budgeten finansierade stöd till

 

 

 

 

Transeuropeiska nätverk ......................................................................

70

 

 

3.5.11

1:11 Trängselskatt i Stockholm ...........................................................

71

 

 

3.5.12

1:12 Transportstyrelsen ........................................................................

76

 

 

3.5.13

1:13 Trafikanalys....................................................................................

82

 

 

3.5.14

1:14 Trängselskatt i Göteborg .............................................................

83

 

 

3.5.15

1:15 Sjöfartsstöd ....................................................................................

87

 

 

3.5.16

1:16 Internationell tågtrafik..................................................................

88

 

 

3.5.17

1:17 Infrastruktur för flygtrafiktjänst .................................................

88

 

 

3.5.18

1:18 Lån till körkort ..............................................................................

89

 

 

3.5.19

1:19 Obemannad luftfart ......................................................................

90

 

 

3.5.20

Sjöfartsverket..........................................................................................

90

 

 

3.5.21

Luftfartsverket .......................................................................................

95

 

 

3.5.22

Svensk-Danska Broförbindelsen SVEDAB AB.............................

100

 

 

3.5.23

Upphävande av riksdagens godkännande avseende krav på

 

 

 

 

förarbevis för att få framföra vissa större fritidsbåtar ...................

101

4

Politiken för informationssamhället ...........................................................................

103

 

4.1

Mål för området .................................................................................................

103

 

 

4.1.1

Digitaliseringspolitik............................................................................

103

 

 

4.1.2

Post ........................................................................................................

103

 

 

4.1.3

Grundläggande betaltjänster ..............................................................

103

 

4.2

Resultatindikatorer och andra bedömningsgrunder .....................................

103

 

4.3

Resultatredovisning ...........................................................................................

105

2

Prop. 2025/26:1 Utgiftsområde 22

4.3.1Fortsatt samma utvecklingstakt men minskat försprång

jämfört med övriga EU-länder ..........................................................

105

4.3.2 Postmarknaden fortsätter att förändras ...........................................

117

4.3.3Fortsatta utmaningar med tillgång till grundläggande

 

 

betaltjänster ..........................................................................................

119

4.4

Regeringens bedömning av måluppfyllelsen .................................................

119

4.5

Politikens inriktning ..........................................................................................

122

4.6

Budgetförslag......................................................................................................

126

 

4.6.1

2:1 Post- och telestyrelsen..................................................................

126

 

4.6.2 2:2 Ersättning för särskilda tjänster för personer med

 

 

 

funktionsnedsättning...........................................................................

129

 

4.6.3

2:3 Grundläggande betaltjänster........................................................

130

 

4.6.4 2:4 Informationsteknik och telekommunikation ............................

131

 

4.6.5 2:5 Driftsäker och tillgänglig elektronisk kommunikation............

133

 

4.6.6 2:6 Myndigheten för digital förvaltning ...........................................

134

 

4.6.7

2:7 Digital förvaltning .........................................................................

136

3

Prop. 2025/26:1 Utgiftsområde 22

1 Förslag till riksdagsbeslut

Regeringens förslag:

1.Riksdagen bemyndigar regeringen att för 2026 ta upp lån i Riksgäldskontoret för vissa infrastrukturprojekt som inklusive tidigare upplåning uppgår till högst

77 007 603 000 kronor. (avsnitt 3.5.1).

2.Riksdagen godkänner Trafikverkets investeringsplan för 2026–2028 som riktlinje för Trafikverkets samhällsinvesteringar (avsnitt 3.5.1).

3.Riksdagen bemyndigar regeringen att disponera de avgifter som tas ut med stöd av lagen (1975:88) med bemyndigande att meddela föreskrifter om trafik, transporter och kommunikationer, lagen (1998:1707) om åtgärder mot buller och avgaser från mobila maskiner, fordonslagen (2002:574) och avgasreningslagen (2011:318) för ärendehandläggning och tillsyn avseende typgodkännandeverksamhet (avsnitt 3.5.12).

4.Riksdagen bemyndigar regeringen att för 2026 besluta om en kredit i Riksgäldskontoret för att tillgodose Tranportstyrelsens behov av rörelsekapital vid utbetalningar inom ramen för det gemensamma avgiftsutjämningsystemet för säkerhetskontroll av passagerare och deras bagage samt det internationella systemet för undervägsavgiften som inklusive tidigare utnyttjad kredit uppgår till högst 2 300 000 000 kronor (avsnitt 3.5.12).

5.Riksdagen godkänner de ekonomiska målen för Sjöfartsverket samt bemyndigar regeringen att besluta om utdelning och skattemotsvarighet i enlighet med vad regeringen förordar (avsnitt 3.5.20).

6.Riksdagen bemyndigar regeringen att för 2026 ge Sjöfartsverket finansiella befogenheter i enlighet med vad regeringen förordar (avsnitt 3.5.20).

7.Riksdagen godkänner investeringsplanen för Sjöfartsverket för 2026–2028 som en riktlinje för Sjöfartsverkets investeringar (avsnitt 3.5.20).

8.Riksdagen godkänner de ekonomiska målen för Luftfartsverket samt bemyndigar regeringen att besluta om utdelning och skattemotsvarighet i enlighet med vad regeringen förordar (avsnitt 3.5.21).

9.Riksdagen bemyndigar regeringen att för 2026 ge Luftfartsverket finansiella befogenheter i enlighet med vad regeringen förordar (avsnitt 3.5.21).

10.Riksdagen godkänner investeringsplanen för Luftfartsverket för 2026–2028 som en riktlinje för Luftfartsverkets investeringar (avsnitt 3.5.21).

11.Riksdagen bemyndigar regeringen att för 2026 besluta att Svensk-Danska Broförbindelsen SVEDAB AB får ta upp lån i Riksgäldskontoret som inklusive tidigare upplåning uppgår till högst 6 400 000 000 kronor (avsnitt 3.5.22).

12.Riksdagens tidigare ställningstagande i fråga om krav på förarbevis för att få framföra vissa större fritidsbåtar ska inte längre gälla (avsnitt 3.5.23).

13.Riksdagen anvisar anslagen för budgetåret 2026 inom utgiftsområde 22 Kommunikationer enligt tabell 1.1.

14.Riksdagen bemyndigar regeringen att under 2026 ingå ekonomiska åtaganden som inklusive tidigare åtaganden medför behov av framtida anslag på högst de belopp och inom de tidsperioder som anges i tabell 1.2.

4

Prop. 2025/26:1 Utgiftsområde 22

Tabell 1.1

Anslagsbelopp

 

Tusental kronor

 

 

Anslag

 

 

1:1 Utveckling av statens transportinfrastruktur

46 386 804

 

 

1:2 Vidmakthållande av statens transportinfrastruktur

40 327 971

 

 

 

1:3 Trafikverket

 

6 531 201

 

 

1:4 Ersättning för sjöräddning och fritidsbåtsändamål

353 808

 

 

1:5 Ersättning för viss kanal- och slussinfrastruktur

85 284

 

 

1:6 Ersättning avseende flygplatser

662 013

 

 

 

1:7 Trafikavtal

 

1 055 000

 

 

1:8 Viss internationell verksamhet

30 557

 

 

1:9 Statens väg- och transportforskningsinstitut

88 896

 

 

1:10 Från EU-budgeten finansierade stöd till Transeuropeiska nätverk

1 000 000

 

 

1:11 Trängselskatt i Stockholm

2 024 325

 

 

1:12 Transportstyrelsen

2 704 834

 

 

1:13 Trafikanalys

80 268

 

 

1:14 Trängselskatt i Göteborg

939 330

 

 

1:15 Sjöfartsstöd

1 600 000

 

 

1:16 Internationell tågtrafik

65 000

 

 

1:17 Infrastruktur för flygtrafiktjänst

346 000

 

 

1:18 Lån till körkort

466

 

 

1:19 Obemannad luftfart

30 000

 

 

2:1 Post- och telestyrelsen

318 763

 

 

2:2 Ersättning för särskilda tjänster för personer med funktionsnedsättning

106 278

 

 

2:3 Grundläggande betaltjänster

25 037

 

 

2:4 Informationsteknik och telekommunikation

153 844

 

 

2:5 Driftsäker och tillgänglig elektronisk kommunikation

1 323 814

 

 

2:6 Myndigheten för digital förvaltning

295 385

 

 

2:7 Digital förvaltning

169 894

 

 

Summa anslag inom utgiftsområdet

106 704 772

 

 

 

Tabell 1.2

Beställningsbemyndiganden

 

 

Tusental kronor

 

 

 

Anslag

 

Beställningsbemyndigande

Tidsperiod

1:1 Utveckling av statens transportinfrastruktur

164 861 000

2027–2050

 

 

 

1:2 Vidmakthållande av statens transportinfrastruktur

42 710 000

2027–2038

1:7 Trafikavtal

 

5 000 000

2027–2035

 

 

 

1:11 Trängselskatt i Stockholm

77 000 000

2027–2060

 

 

 

1:14 Trängselskatt i Göteborg

21 000 000

2027–2040

2:2 Ersättning för särskilda tjänster för personer med

 

 

funktionsnedsättning

250 000

2027–2030

 

 

 

2:3 Grundläggande betaltjänster

40 000

2027–2030

2:4 Informationsteknik och telekommunikation

535 000

2027–2031

 

 

 

2:5 Driftsäker och tillgänglig elektronisk kommunikation

4 658 500

2027–2036

 

 

 

Summa beställningsbemyndiganden inom utgiftsområdet

316 054 500

 

 

 

 

 

5

Prop. 2025/26:1 Utgiftsområde 22

2Utgiftsområde 22 Kommunikationer

2.1Omfattning

Utgiftsområde 22 Kommunikationer omfattar Transportpolitik och Politiken för informationssamhället.

Iområdet Transportpolitik ingår infrastruktur- och trafikfrågor inom järnvägs-, väg-, sjöfarts- och luftfartsområdena samt transportforskning. Myndigheter inklusive affärsverk som verkar inom området är Luftfartsverket, Sjöfartsverket, Statens väg- och transportforskningsinstitut, Trafikanalys, Trafikverket och Transportstyrelsen. Bolag med statligt ägande som berörs är Arlandabanan Infrastructure AB, Green Cargo AB, Infranord AB, Jernhusen AB, SJ AB, Svensk-Danska Broförbindelsen SVEDAB AB, Svevia AB och Swedavia AB.

Politiken för informationssamhället omfattar områdena övergripande frågor om digitalisering och informationsteknik (digitaliseringspolitik), inklusive digitalisering och it inom offentlig förvaltning, elektronisk kommunikation, post samt grundläggande betaltjänster. De myndigheter som verkar inom området är Post- och telestyrelsen (PTS) och Myndigheten för digital förvaltning.

2.2Utgiftsutveckling

Tabell 2.1 Utgiftsutveckling inom utgiftsområde 22 Kommunikationer

Miljoner kronor

 

 

Budget

Prognos

Förslag

Beräknat

Beräknat

 

Utfall 2024

20251

2025

2026

2027

2028

Transportpolitik

80 139

93 470

90 532

104 312

107 938

117 286

 

 

 

 

 

 

 

1:1 Utveckling av statens

 

 

 

 

 

 

transportinfrastruktur

32 872

41 444

39 487

46 387

48 707

52 700

1:2 Vidmakthållande av

 

 

 

 

 

 

statens

 

 

 

 

 

 

transportinfrastruktur

35 338

40 802

40 484

40 328

42 515

47 773

1:3 Trafikverket

1 459

1 550

1 566

6 531

6 635

6 722

 

 

 

 

 

 

 

1:4 Ersättning för

 

 

 

 

 

 

sjöräddning och

 

 

 

 

 

 

fritidsbåtsändamål

511

265

287

354

354

354

 

 

 

 

 

 

 

1:5 Ersättning för viss kanal-

 

 

 

 

 

 

och slussinfrastruktur

62

62

62

85

85

85

1:6 Ersättning avseende

 

 

 

 

 

 

flygplatser

293

296

296

662

692

738

 

 

 

 

 

 

 

1:7 Trafikavtal

960

1 086

1 092

1 055

948

964

1:8 Viss internationell

 

 

 

 

 

 

verksamhet

30

31

30

31

31

31

 

 

 

 

 

 

 

1:9 Statens väg- och

 

 

 

 

 

 

transportforskningsinstitut

87

90

87

89

88

84

 

 

 

 

 

 

 

1:10 Från EU-budgeten

 

 

 

 

 

 

finansierade stöd till

 

 

 

 

 

 

Transeuropeiska nätverk

733

550

-35

1 000

270

150

 

 

 

 

 

 

 

1:11 Trängselskatt i

 

 

 

 

 

 

Stockholm

1 554

1 723

1 726

2 024

1 866

1 901

1:12 Transportstyrelsen

3 552

2 664

2 612

2 705

2 738

2 789

 

 

 

 

 

 

 

7

Prop. 2025/26:1 Utgiftsområde 22

 

 

Budget

Prognos

Förslag

Beräknat

Beräknat

 

Utfall 2024

20251

2025

2026

2027

2028

1:13 Trafikanalys

73

76

74

80

 

 

1:14 Trängselskatt i

 

 

 

 

 

 

Göteborg

771

745

745

939

981

995

 

 

 

 

 

 

 

1:15 Sjöfartsstöd

1 418

1 550

1 550

1 600

1 700

1 700

1:16 Internationell tågtrafik

61

95

60

65

 

 

 

 

 

 

 

 

 

1:17 Infrastruktur för

 

 

 

 

 

 

flygtrafiktjänst

340

379

376

346

299

299

 

 

 

 

 

 

 

1:18 Lån till körkort

7

31

0

0

 

 

 

 

 

 

 

 

 

1:19 Obemannad luftfart

19

30

30

30

30

 

 

 

 

 

 

 

 

Politiken för

 

 

 

 

 

 

informationssamhället

1 077

1 657

1 648

2 393

3 015

3 610

 

 

 

 

 

 

 

2:1 Post- och telestyrelsen

162

249

248

319

642

649

 

 

 

 

 

 

 

2:2 Ersättning för särskilda

 

 

 

 

 

 

tjänster för personer med

 

 

 

 

 

 

funktionsnedsättning

115

106

106

106

106

106

 

 

 

 

 

 

 

2:3 Grundläggande

 

 

 

 

 

 

betaltjänster

21

25

25

25

25

25

 

 

 

 

 

 

 

2:4 Informationsteknik och

 

 

 

 

 

 

telekommunikation

65

58

57

154

154

114

 

 

 

 

 

 

 

2:5 Driftsäker och tillgänglig

 

 

 

 

 

 

elektronisk kommunikation

354

819

813

1 324

1 999

2 623

 

 

 

 

 

 

 

2:6 Myndigheten för digital

 

 

 

 

 

 

förvaltning

176

270

269

295

 

 

 

 

 

 

 

 

 

2:7 Digital förvaltning

184

130

129

170

90

93

 

 

 

 

 

 

 

Totalt för

 

 

 

 

 

 

utgiftsområde 22

 

 

 

 

 

 

Kommunikationer

81 216

95 127

92 180

106 705

110 953

120 896

 

 

 

 

 

 

 

1Inklusive beslut om ändringar i statens budget 2025 och förslag till ändringar i samband med denna proposition.

Tabell 2.2 Förändringar av utgiftsramen 2026–2028 för utgiftsområde 22 Kommunikationer

Miljoner kronor

 

2026

2027

2028

Anvisat 20251

94 447

94 447

94 447

Pris- och löneomräkning2

2 425

2 845

4 019

Beslutade, föreslagna och aviserade åtgärder

9 399

13 081

22 238

 

 

 

 

varav BP263

929

1 502

1 710

Volymer

50

150

150

 

 

 

 

Överföring till/från andra utgiftsområden

 

 

 

 

 

 

 

Övrigt

384

429

41

 

 

 

 

Ny utgiftsram

106 705

110 953

120 896

 

 

 

 

1Statens budget enligt riksdagens beslut i december 2024 (bet. 2024/25:FiU10). Beloppet är således exklusive beslut om ändringar i statens budget.

2Pris- och löneomräkningen baseras på anvisade medel 2025. Övriga förändringskomponenter redovisas i löpande priser och inkluderar därmed en pris- och löneomräkning. Pris- och löneomräkningen för 2027–2028 är preliminär.

3Exklusive pris- och löneomräkning.

Regeringen föreslår att 106 705 miljoner kronor anvisas till utgiftsområde 22 Kommunikationer för 2026. För 2027 beräknas anslagsnivån till 110 953 miljoner kronor och för 2028 till 120 896 miljoner kronor.

8

 

Prop. 2025/26:1 Utgiftsområde 22

 

Tabell 2.3

Utgiftsram 2026 realekonomiskt fördelad för utgiftsområde 22

 

 

Kommunikationer

 

Miljoner kronor

 

 

 

 

2026

Transfereringar1

17 169

Verksamhetsutgifter2

44 988

Investeringar3

 

44 548

Summa utgiftsram

106 705

 

 

 

Anm.: Den realekonomiska fördelningen baseras på utfall 2024 samt kända förändringar av anslagens användning.

1Med transfereringar avses inkomstöverföringar, dvs. utbetalningar av bidrag från staten till exempelvis hushåll, företag eller kommuner utan att staten får någon direkt motprestation.

2Med verksamhetsutgifter avses resurser som statliga myndigheter använder i verksamheten, t.ex. utgifter för löner, hyror och inköp av varor och tjänster.

3Med investeringar avses utgifter för anskaffning av varaktiga tillgångar såsom byggnader, maskiner, immateriella tillgångar och finansiella tillgångar.

2.3Skatteutgifter

Vid sidan av stöd till företag och hushåll på budgetens utgiftssida finns det även stöd på budgetens inkomstsida i form av avvikelser från en enhetlig beskattning, s.k. skatteutgifter. Innebörden av skatteutgifter beskrivs i Förslag till statens budget, finansplan m.m., avsnittet om skattefrågor. Den samlade redovisningen finns i regeringens skrivelse Redovisning av skatteutgifter 2025 (skr. 2024/25:98). I tabell 2.4 redovisas de skatteutgifter som är att hänföra till utgiftsområde 22 Kommunikationer.

Tabell 2.4 Skatteutgifter inom utgiftsområde 22 Kommunikationer

Miljoner kronor

 

2025

2026

 

Persontransporter, mervärdesskattesats 6 % (E6)

9 630

10 150

 

 

 

 

 

Energiskatt på diesel i motordrivna fordon (F1)

2 960

2 800

 

Energiskatt på fossil bensin utanför reduktionsplikten (F2)

0

0

 

 

 

 

 

Energiskattebefrielse för naturgas och gasol som

 

 

 

drivmedel (F3)

60

50

 

Energiskattebefrielse för biodrivmedel utanför

 

 

 

reduktionsplikten (F4)

1 080

970

 

 

 

 

 

Energiskattebefrielse för elförbrukning vid bandrift (F5)

1 170

1 190

 

Energiskattebefrielse för bränsleförbrukning vid bandrift

 

 

 

(F6)

30

30

 

 

 

 

 

Energiskattebefrielse för bränsle för inrikes sjöfart (F7)

330

300

 

Energiskattebefrielse för bränsle för inrikes luftfart (F8)

210

190

 

 

 

 

 

Koldioxidskattebefrielse för bränsle vid bandrift (F17)

60

60

 

 

 

 

 

Koldioxidskattebefrielse för bränsle för inrikes sjöfart

 

 

 

(F18)

690

680

 

 

 

 

 

Koldioxidskatt på fossila drivmedel utanför

 

 

 

reduktionsplikten (F20)

0

0

 

Anm.: Inom parentes anges den beteckning för respektive skatteutgift som används i regeringens skrivelse.

Källa: Regeringens skrivelse 2024/25:98.

2.4Mål för utgiftsområdet

De av riksdagen beslutade målen inom utgiftsområdet är följande:

Transportpolitik

Transportpolitikens övergripande mål är att säkerställa en samhällsekonomiskt effektiv och långsiktigt hållbar transportförsörjning för medborgarna och näringslivet i hela

9

Prop. 2025/26:1 Utgiftsområde 22

landet. Utöver det övergripande målet finns ett funktionsmål om tillgänglighet och ett hänsynsmål om säkerhet, miljö och hälsa (prop. 2008/09:93, bet. 2008/09:TU14, rskr. 2008/09:257 och prop. 2012/13:1 utg.omr. 22, bet. 2012/13:TU1, rskr. 2012/13:118).

Funktionsmålet innebär att transportsystemets utformning, funktion och användning ska medverka till att ge alla en grundläggande tillgänglighet med god kvalitet och användbarhet samt bidra till utvecklingskraft i hela landet. Transportsystemet ska vara jämställt, dvs. likvärdigt svara mot kvinnors respektive mäns transportbehov.

Hänsynsmålet innebär att transportsystemets utformning, funktion och användning ska anpassas till att ingen ska dödas eller skadas allvarligt, bidra till att det övergripande generationsmålet för miljö och miljökvalitetsmålen nås samt bidra till ökad hälsa.

Politiken för informationssamhället

Politiken för informationssamhället har tre mål för områdena digitaliseringspolitik (inklusive delmål för bredband och elektroniska kommunikationer), postsektorn samt grundläggande betaltjänster.

Digitaliseringspolitik

Målet för digitaliseringspolitiken är att Sverige ska vara bäst i världen på att använda digitaliseringens möjligheter (prop. 2011/12:1 utg.omr. 22, bet. 2011/12:TU1, rskr. 2011/12:87). Under detta mål finns två delmål:

Sverige ska ha bredband i världsklass. Alla hushåll och företag bör ha goda möjligheter att använda sig av elektroniska samhällstjänster och service via bredband (prop. 2009/10:193, bet. 2009/10:TU18, rskr. 2009/10:297).

Elektroniska kommunikationer ska vara effektiva, säkra och robusta samt tillgodose användarnas behov. Elektroniska kommunikationer ska i första hand tillhandahållas genom en väl fungerande marknad, men staten ska ha ett ansvar på områden där allmänna intressen inte enbart kan tillgodoses av marknaden (prop. 2014/15:1 utg.omr. 22, bet. 2014/15:TU1, rskr. 2014/15:86).

Post

Målet för postsektorn är att det ska finnas en posttjänst av god kvalitet i hela landet som uppfyller de krav som anges i postlagen (2010:1045) (prop. 2014/15:1 utg.omr. 22, bet. 2014/15:TU1, rskr. 2014/15:86).

Grundläggande betaltjänster

Målet för politiken för de grundläggande betaltjänsterna är att alla i samhället ska ha tillgång till grundläggande betaltjänster till rimliga priser (prop. 2006/07:55 utg.omr. 22, bet. 2006/07:TU16, rskr. 2006/07:205).

Resultatredovisningar lämnas under respektive avsnitt.

10

Prop. 2025/26:1 Utgiftsområde 22

3 Transportpolitiken

3.1Mål för utgiftsområdet

Riksdagen har beslutat om det övergripande transportpolitiska målet, liksom om ett funktionsmål om tillgänglighet och ett hänsynsmål om säkerhet, miljö och hälsa (prop. 2008/09:93, bet. 2008/09:TU14, rskr. 2008/09:257 och prop. 2012/13:1 utg.omr. 22, bet. 2012/13:TU1, rskr. 2012/13:118). Riksdagen har även beslutat om ett etappmål för inrikes transporter inom miljömålssystemet som innebär att växthusgasutsläppen från inrikes transporter, utom inrikes flyg, ska minska med minst 70 procent senast 2030 jämfört med 2010 (prop. 2016/17:146, bet. 2016/17:MJU24, rskr. 2016/17:320). Regeringen beslutade i samband med budgetpropositionen för 2020 att det senare etappmålet från miljömålssystemet även skulle vara ett transportpolitiskt etappmål (prop. 2019/20:1 utg.omr. 22).

3.1.1Transportpolitikens övergripande mål

Transportpolitikens övergripande mål är att säkerställa en samhällsekonomiskt effektiv och långsiktigt hållbar transportförsörjning för medborgarna och näringslivet i hela landet.

Funktionsmål

Funktionsmålet innebär att transportsystemets utformning, funktion och användning ska medverka till att ge alla en grundläggande tillgänglighet med god kvalitet och användbarhet samt bidra till utvecklingskraft i hela landet. Transportsystemet ska vara jämställt, dvs. likvärdigt svara mot kvinnors respektive mäns transportbehov.

Hänsynsmål

Hänsynsmålet innebär att transportsystemets utformning, funktion och användning ska anpassas till att ingen ska dödas eller skadas allvarligt, bidra till att det övergripande generationsmålet för miljö och miljökvalitetsmålen nås samt bidra till ökad hälsa.

De transportpolitiska målen och Agenda 2030

De transportpolitiska målen bidrar till genomförandet av Agenda 2030 för hållbar utveckling. Det gäller bl.a. följande delmål:

Halvera antalet dödsfall och skador i vägtrafikolyckor i världen (delmål 3.6).

Skapa hållbara och inkluderande infrastrukturer (delmål 9.1).

Senast 2030 tillhandahålla tillgång till säkra, ekonomiskt överkomliga, tillgängliga och hållbara transportsystem för alla. Förbättra vägtrafiksäkerheten, särskilt genom att bygga ut kollektivtrafiken, med särskild uppmärksamhet på behoven hos människor i utsatta situationer, kvinnor, barn, personer med funktionsnedsättning samt äldre personer (delmål 11.2).

3.2Resultatindikatorer och andra bedömningsgrunder

Regeringen använder huvudsakligen Trafikanalys rapport Uppföljning av de transportpolitiska målen 2025 med bilagor (LI2025/00831) som källa till

11

Prop. 2025/26:1 Utgiftsområde 22

uppföljningen av de av riksdagen beslutade transportpolitiska målen. Om någon annan källa används, specificeras den i texten.

Regeringen använder de centrala indikatorerna nedan för att följa upp målen. Vidare används ytterligare mått i uppföljningen och som underlag för regeringens bedömning, vilket framgår av avsnitt 3.3.

Transportpolitikens övergripande mål

För uppföljning av transportförsörjning i hela landet respektive långsiktig hållbarhet används de nedan angivna centrala indikatorerna för funktionsmålet respektive hänsynsmålet.

För samhällsekonomisk effektivitet används följande centrala indikatorer:

internaliseringsgrad av trafikens externa kostnader, och

samhällsekonomisk effektivitet för öppnade statliga infrastrukturobjekt.

Funktionsmål – tillgänglighet

För funktionsmålet används följande centrala indikatorer:

punktlighet för person- respektive godståg,

varaktighet i totalstopp i vägnätet,

tillgänglighet i kollektivtrafiken för personer med funktionsnedsättning, och

körkortsinnehav bland kvinnor respektive män.

Hänsynsmål – säkerhet, miljö och hälsa

För hänsynsmålet används följande centrala indikatorer:

antalet döda respektive allvarligt skadade i trafiken,

antalet viltolyckor,

växthusgasutsläpp från inrikes transporter exklusive flyg, och

överskridanden av miljökvalitetsnormer för kvävedioxider i gaturum.

Den tidigare indikatorn fordonsinnehav bland kvinnor respektive män har tagits bort då den inte visar tillgången till eller användningen av bil i de olika grupperna och på så sätt inte tillräckligt tydligt följer upp de transportpolitiska målen. Två nya övriga indikatorer, som Trafikverket följer i sin verksamhet, har lagts till för att bättre kunna mäta kvalitet på järnväg och väg: Nöjd kund-index – trafikinformation järnväg respektive Kundnöjdhet väg.

3.3Resultatredovisning

3.3.1Transportpolitikens övergripande mål

Den långsiktiga hållbarheten och transportförsörjningen i hela landet har haft en varierande utveckling

De aspekter i det övergripande målet som gäller transportförsörjning i hela landet respektive långsiktig hållbarhet följs upp genom de centrala indikatorerna samt kompletterande mått för funktionsmålet och hänsynsmålet och redovisas därför under de rubrikerna. Ungefär hälften av indikatorerna har inte förändrats nämnvärt sedan målen antogs men det är fler indikatorer som har utvecklats något negativt än som utvecklats något positivt.

12

Prop. 2025/26:1 Utgiftsområde 22

Transportförsörjningen är inte fullt ut samhällsekonomiskt effektiv

En förutsättning för att transportförsörjningen ska vara samhällsekonomiskt effektiv är att transportköparen betalar för alla kostnader som transporten orsakar. Det gäller inte minst s.k. externa kostnader som uppstår som följd av en transport. Exempel på externa kostnader är kostnader för olyckor, buller, luftföroreningar och utsläpp av växthusgaser.

Trafikanalys beräknar årligen i vilken utsträckning olika trafikslag betalar för sina externa kostnader, den s.k. internaliseringsgraden. Vid beräkningarna använder sig Trafikanalys normalt sett av de kalkylvärden för samhällsekonomiska nyttokostnads- analyser som Trafikverket har beslutat om. Utöver det har Trafikanalys gjort beräkningar av hur internaliseringsgraden har utvecklats över tid, där vissa metod- förändringar som påverkar kalkylvärdena under den aktuella tidsperioden har rensats bort så att andelarna är jämförbara över tid. En sådan tidsserie redovisas i diagrammet nedan.

Diagram 3.1 Internaliseringsgrad 2017–2024 för olika trafikslag

Procent

120

100

80

60

40

20

0

2017

2018

2019

2020

2021

2022

2023

2024

2024 ny

 

 

Personbil - diesel

 

Persontåg

 

Godståg

 

Sjöfart - gods

 

 

 

 

 

 

 

 

 

 

Anm.: I de beräkningar som redovisas i diagrammet utgörs koldioxidvärderingen för perioden 2017–2023 av koldioxidskatten. Sedan 2024 använder Trafikverket ett nytt sätt att värdera koldioxidutsläpp. Myndigheten räknar fram hur hög prissättningen av koldioxid behöver vara för att gällande klimatmål ska kunna nås. Beräkningen utmynnar i en prisbana som stiger över tid. För 2024 redovisas beräkningar med både koldioxidskatten (”2024”) och det nya beräkningssättet (”2024 ny”).

Källa: Beräkningar från Trafikanalys.

Transportförsörjningen bedöms inte vara samhällsekonomiskt effektiv, då transport- köparen i de flesta fall inte betalar för alla de kostnader som transporten orsakar, men det finns undantag. För inrikes flyg bedöms transportköparen 2024 betala mer än dubbelt så mycket som de kostnader som flygresan orsakar eftersom koldioxid- utsläppen ingår i EU:s utsläppshandel.

Trafikverket använder samhällsekonomisk nyttokostnadsanalys för att bedöma infrastrukturinvesteringars samhällsekonomiska lönsamhet. I dessa analyser vägs beräknade effekter samman med bedömningar av effekter som inte har kunnat kvantifieras eller värderas i monetära termer. Eftersom kalkylerna och bedömningarna i varierande grad är osäkra och inte fångar allt som är relevant för att fatta beslut om vilka åtgärder som bör genomföras, utgör de endast en del av beslutsunderlaget. Nio av de 21 namngivna objekt som öppnades för trafik under perioden oktober 2023 till september 2024 har bedömts vara samhällsekonomiskt lönsamma. Sju objekt har bedömts vara olönsamma. För återstående objekt uppges det inte vara tillämpligt att beräkna den samhällsekonomiska lönsamheten eller så beräknas kvoten vara noll eller mycket nära noll.

13

Prop. 2025/26:1 Utgiftsområde 22

3.3.2Funktionsmål – tillgänglighet

För att samhället ska vara tillgängligt, i alla delar av landet, krävs ett transportsystem med god standard och tillförlitlighet samt en anpassning som gör att transportsystemet kan användas av alla. Vidare är en livskraftig transportbransch en viktig del då detta är en förutsättning för att medborgare och näringsliv ska kunna nyttja transporter.

Transportsystemets standard och tillförlighet försämras i ett längre perspektiv

För transportsystemet som helhet i form av dess standard och tillförlitlighet har den positiva utveckling som noterades för flera av indikatorerna under perioden som föregick pandemiåren förbytts till en mer negativ utveckling under 2021 och de efter- följande åren. Den nedåtgående utvecklingen för persontågstrafikens punktlighet som har pågått sedan 2020 fortsatte under 2024. Även godstågstrafiken uppvisar en låg punktlighet 2024. Flygets punktlighet förbättrades under 2024. Totalstoppen i väg- nätet har på totalnivå legat på en stabil nivå sedan 2017, men ökade 2023 och 2024.

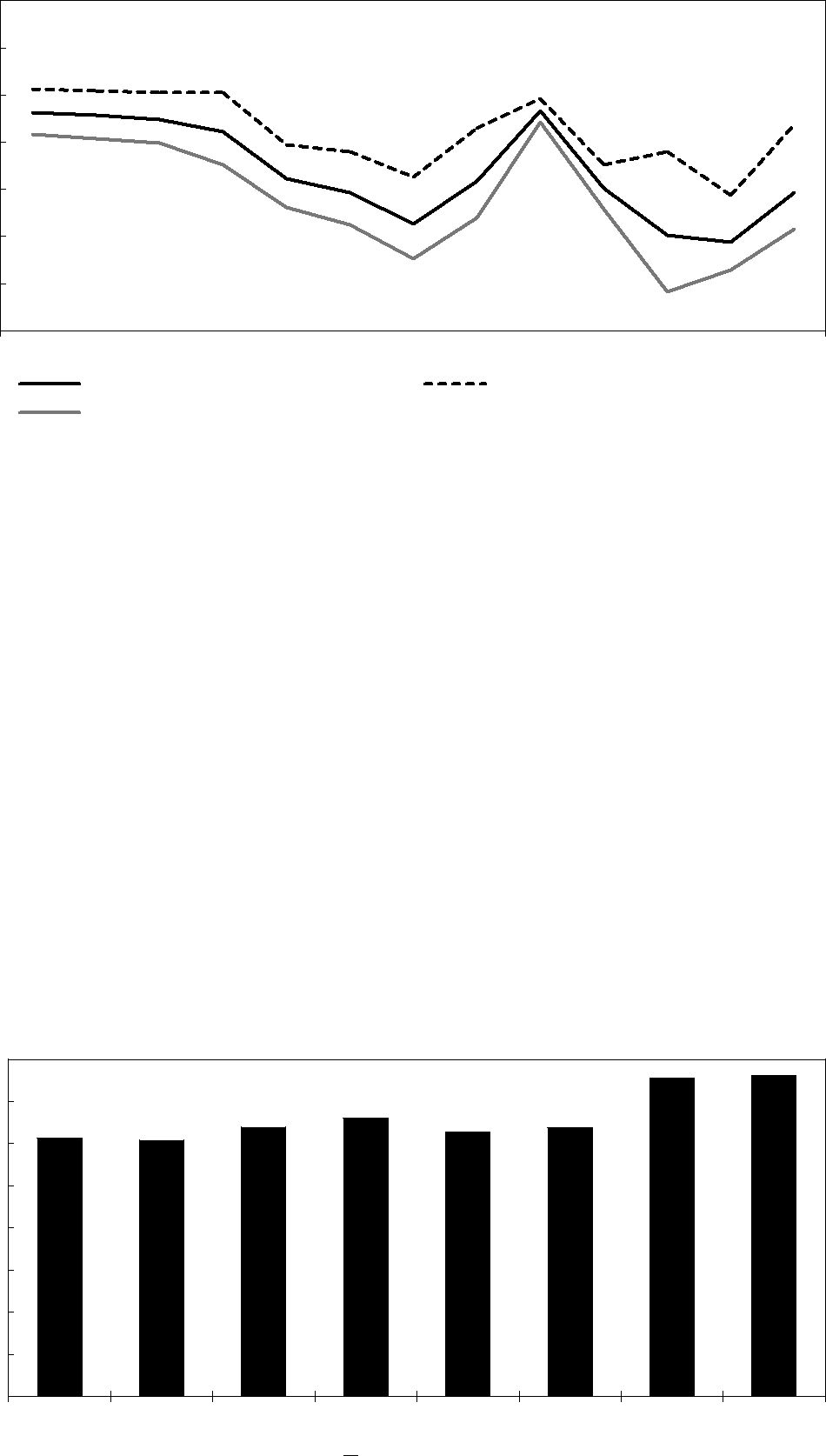
Mycket låg punktlighet för person- respektive godståg

Från och med 2023 har Trafikanalys beslutat att lämna det tidigare sammanvägda tillförlitlighetsmåttet för järnvägstrafik (STM) och övergå till måttet Rätt i Tid (RT). Orsaken till detta är att Trafikverket införde ett nytt planeringssystem i samband med tågplan 2023. Det nya systemet saknar viss funktionalitet vilket har medfört att data avseende anordnade tåg och akut inställda tåg inte längre kan redovisas på samma sätt som tidigare. Därmed kan inte heller punktlighetsstatistik i STM-måttet redovisas som tidigare. Trafikanalys har för avsikt att återuppta STM-måttet när förutsättningar för det åter finns tillgängligt. Trafikverket har som målsättning att säkerställa att tillförlitliga underlagsdata avseende STM-måttet ska kunna levereras för helåret 2025.

STM baseras på både försenade och akut inställda tåg medan RT endast innefattar försenade tåg. För att möjliggöra jämförelser avseende punktlighet även bakåt i tiden visas både måttet STM och RT i diagram 3.2. STM definieras som andelen ankomna tåg i tid i förhållande till antalet planerade tåg dagen före avgång. RT definieras som andelen ankomna tåg i tid i förhållande till antalet framförda tåg. Ett försenat tåg definieras som att det ankommit senare än 5 minuter och 59 sekunder efter utsatt ankomsttid för RT(5) och STM(5).

Persontågens punktlighet utvecklades under 2024 negativt. Tågens punktlighet vid slutstation uppgick till 87,1 procent vilket är historiskt lågt och en minskning med

0,6 procent i förhållande till 2023. Även godstågstrafiken uppvisar en låg punktlighet 2024, 72,9 procent, vilket dock är en förbättring med 1,8 procent jämfört med föregående år. Persontågens punktlighet varierar över landet. Bland de större stationerna har de fyra med flest ankomster (Malmö C, Lund C, Stockholm city och Göteborgs C) uppvisat en relativt god punktlighet för persontågstrafiken under hela 2024, men för några månader har punktligheten även för dessa understigit 85 procent. Punktligheten för de fyra nästkommande stationerna (Stockholm C, Hässleholm, Uppsala C och Arlanda C) har inte varit lika bra. Av dessa är det framför allt Stockholm C som sticker ut, med en punktlighet under 80 procent under 10 av

12 månader. Sett över hela riket har punktligheten varit särskilt låg i Luleå under större delen av året, liksom i Kalmar under perioden juni–september.

Tågtrafikens punktlighet påverkas av flera olika faktorer. Förseningar kategoriseras utifrån vilka orsaker som låg bakom förseningen. De huvudgrupper som Trafikverket använder vid kodning av störningar och förseningar är driftledning, infrastruktur, järnvägsföretag, följdorsak samt olyckor/tillbud och yttre faktorer. Sett över en längre period (2013–2023) så står järnvägsföretagen för den största andelen av orsakade

14

Prop. 2025/26:1 Utgiftsområde 22

förseningar och utgör ca 31 procent av det totala antalet förseningar. Därefter följer olyckor, tillbud och yttre faktorer vilka utgör ca 26 procent. Brister i infrastrukturen står för ca 21 procent av förseningarna och därefter följdorsaker vilka står för ca

16 procent följt av orsaker relaterade till driftledning vilka utgör ca 6 procent. Med följdorsaker avses att ett järnvägsföretags försenade tåg medför att andra tåg drabbas av förseningar relaterade till den primära förseningen. Under 2024 var det kategorin infrastruktur som ökade den negativa påverkan mest på punktligheten i jämförelse med 2023. Detta berodde bl.a. på uppkomna spårfel och dåliga spårlägen som medförde att Trafikverket tvingades sätta ned hastigheten. Det förekom även fler planerade banarbeten med tillfälliga hastighetsnedsättningar under 2024 vilka påverkat punktligheten negativt.

Antalet persontåg som trafikerade järnvägen var under 2024 rekordhögt,

1 065 594 stycken. Det är en ökning med 69,4 procent jämfört med 2001. Fler tåg- avgångar medför ett större utbud av tågresor för resenärer att välja bland. Men ökningen medför också att kapacitetsutnyttjandet i järnvägssystemet ökar och därmed ökar även trängseln på spåren. Tågen går allt tätare vilket medför att fler tåg blir inblandade i varje störning vilket kan påverka punktligheten negativt.

Tåg som framförs längre sträckor har generellt svårare att komma fram i tid. Kort- distanståg utgör drygt hälften av alla planerade tåg och är vanligtvis mest tillförlitliga. Under 2024 kom 92,4 procent av de framförda kortdistanstågen fram till sin slut- station senast fem minuter efter tidtabell, vilket är en förbättring med 1,1 procent jämfört med 2023. Motsvarande andel för medeldistanstågen var 83,5 procent och för långdistanstågen, som är betydligt färre i antal, 69,9 procent.

Diagram 3.2 Punktlighet för persontåg och godståg

Procent

100

95

90

85

80

75

70

65

2013

2014

2015

2016

2017

2018

2019

2020

2021

2022

2023

2024

Punktlighet persontåg, STM(5)

Punktlighet godståg, RT+5

Punktlighet persontåg RT+5

Källa: Trafikanalys.

Förbättrad punktlighet för flyget

Inom flyget definieras punktlighet med att flygplanet rullar ut från gaten inom

15 minuter från utsatt avgångstid. För de statliga flygplatserna, vilka ägs och förvaltas av Swedavia AB, var den sammantagna punktligheten för in- och utrikeslinjerna

79,6 procent under 2024, se diagram 3.3. Det är en ökning med 5,2 procent jämfört med föregående år. Liksom tidigare år uppnår inrikesflyget en högre punktlighet jämfört med utrikesflyget. Under 2024 reste drygt 32 miljoner resenärer till eller från Swedavia AB:s flygplatser, vilket är en ökning med en procent jämfört med 2023.

15

Prop. 2025/26:1 Utgiftsområde 22

Diagram 3.3 Punktlighet avgående personflyg på statliga flygplatser

Procent

100

95

90

85

80

75

70

65 2012 2013 2014 2015 2016 2017 2018 2019 2020 2021 2022 2023 2024

Punktlighet avgående personflyg, (15)

Inrikes flyglinjer, (15)

Utrikes flyglinjer, (15)

Källa: Swedavia AB.

Totalstoppen i vägtransportsystemet är fortsatt på högre nivåer

Störningar i vägtransportsystemet kan generellt beskrivas genom varaktigheten på de totalstopp som sker i vägnätet. Varaktigheten i antal fordonstimmar av de förekommande totalstoppen på det statliga vägnätet har ökat något till

1 522 000 timmar för 2024. Det är en ökning med 10 000 timmar jämfört med 2023, se diagram 3.4. Det totala antalet stillastående fordonstimmar har sedan 2017 legat på en relativt stabil nivå med mindre variationer över åren. Jämförelser längre bakåt i tiden bör göras med försiktighet då uträkningsmetoden har förändrats. Diagrammet visar därför endast en tidsserie från 2017 och framåt. Mest utsatt av Trafikverkets fem regioner var Region Syd som svarade för 34 procent av fordonstimmarna. Problemen i regionen var störst under januari månad. En avgörande anledning till detta är det omfattande avbrottet på väg E22 som följde efter ett omfattande snöoväder. Region Väst noterade en relativt hög andel totalstopp under maj men övriga regioner hade en mer jämn fördelning av fordonstimmarna både totalt sett och över årets månader.

Diagram 3.4 Varaktighet i fordonstimmar på grund av totalstopp i det statliga vägnätet

Fordonstimmar, tusental

1600

1400

1200

1000

800

600

400

200

0

2017

2018

2019

2020

2021

2022

2023

2024

Fordonstimmar

Anm.: Trafikverkets beräkningsmetoder för kännbarheten har förändrats från och med 2016. Beräkningsmetoder för ÅDT-värden (årsdygnstrafik), definitionen av storstadsvägnätet (fler väglänkar ingår i storstadsvägnätet) samt uträkningsmetoden är förändrad. På grund av pågående kvalitetsarbete med modellens metod bör jämförelser mot äldre år göras med försiktighet och därför visas endast data från 2017 och framåt.

Källa: Trafikanalys.

16

Prop. 2025/26:1 Utgiftsområde 22

Kvaliteten och driftsäkerheten i infrastrukturen uppvisar mindre försämringar över tid

En förutsättning för ett väl fungerande järnvägssystem är att alla de ingående delsystem som bygger upp anläggningen uppfyller sin funktion och håller en god kvalitet och driftsäkerhet. Ett sätt att mäta detta är att jämföra antalet infrastruktur- relaterade tågstörande fel i förhållande till trafikeringen (tågkilometer). Andelen fel ökade för samtliga bantyper under 2023 och ökningen har även fortsatt under 2024. Samtliga bantyper har sedan 2022 en negativ trend.

Kvaliteten på spårläget, dvs. hur rakt spåret ligger i höjd- och sidoläge, mäts regelbundet. En bättre spårlägeskvalitet innebär en högre komfort för resenärer och minskat slitage på spår- och fordonskomponenter. Kvalitetstalet, det s.k. QS-talet, är ett sammanvägt värde av spårläget och beräknas för att ge en bild av kvaliteten på en längre sträcka. Ett högre kvalitetstal innebär en högre kvalitet på spårets läge i förhållande till ett idealt läge. Kvalitetstalet för 2024 förändrades marginellt jämfört med föregående år. Banor i storstadsområden, på större stråk och med omfattande gods- och resandetrafik, har generellt sett högre kvalitetstal än övriga bantyper. Det beror dels på att andelen äldre spår är mindre på dessa banor än på banor med mindre trafik, dels på att mer trafikerade banor har en högre prioritet avseende underhålls- åtgärder.

För det statliga belagda vägnätet tillämpar Trafikverket en underhållsstandard som utgör ett verktyg för att bedöma vägbeläggningens tillstånd och ett underlag för verksamhetsplaneringen. Vägytans tillstånd bedöms utifrån ojämnhet, spårdjup och kantdjup. Ju lägre andel som avviker från en förutbestämd underhållsstandard, desto bättre är tillståndet, se diagram 3.5. De olika vägtyperna har olika krav på underhålls- standard utifrån samhällsekonomiska bedömningar i syfte att tillgodose såväl trafikantens som samhällets intressen, vilket måste beaktas vid jämförelser. Målet är att en så liten andel som möjligt av vägnätet ska avvika från beslutad standard. Ju lägre andel som avviker från standarden, desto bättre är tillståndet. Under perioden 2013– 2020 försämrades tillståndet för vägtypen vägar i storstadsområden kraftigt. Trenden vände dock 2020 och andelen vägar som avviker från standarden har minskat något sedan dess. Under 2024 var andelen vägar som avviker ca 10 procent. Vägtypen utgör totalt en liten del av det statliga vägnätet, ca 2 procent, men trafikbelastningen är hög och det är dyrt att åtgärda vägarna på grund av den hårda trafikbelastningen.

För vägtypen vägar som bildar större sammanhängande stråk, vilka utgör ca

19 procent av det statliga vägnätet, verkar flera år av negativ trend ha avstannat och mindre förbättringar kan konstateras även under 2024. Sett över en längre period har dock vägtypen haft en negativ trend. Det gäller främst mötesfria vägar vilka i allt högre grad avviker från underhållsstandarden. Mötesfria vägar har generellt snabbare nedbrytning än andra vägar. Ökad trafikbelastning i kombination med smalare körfält som koncentrerar slitaget har bidragit till den ökade nedbrytningen.

För övriga vägtyper har förändringarna varit små de senaste åren. Dessa mer låg- trafikerade vägtyper har en åtgärdscykel för beläggningen på 10 till 20 år. Det innebär att skicket förändras långsamt och det går inte att dra säkra slutsatser från enskilda år. Den positiva utvecklingen av vägarnas tillstånd, som har pågått sedan mätningarna startade på 1990-talet, ser dock ut att ha avstannat eller vänt till en negativ utveckling de senaste åren.

17

Prop. 2025/26:1 Utgiftsområde 22

Diagram 3.5 Utveckling av andelen avvikelse från underhållsstandard fördelat på vägtyper

Procent

14

12

10

8

6

4

2

0

2014

2015

2016

2017

2018

2019

2020

2021

2022

2023

2024

Vägar i storstadsområden (2 procent)

Vägar som bildar större sammanhängande stråk (19 procent) Vägar för dagliga resor och arbetspendling (28 procent) Övriga för näringslivet viktiga vägar (27 procent)

Vägar som är viktiga för landsbygden (4 procent) Övriga vägar (20 procent)

Anm.: Vägtypens andel av det totala belagda statliga vägnätet inom parentes.

Källa: Trafikverket.

Användarnas upplevelse av transportsystemets standard och tillförlitlighet minskar i störda lägen

Väl fungerande information i järnvägstrafiken, både när tågen håller tiden och när de är försenade, ger resenärer trygghet och förutsättningar att fatta egna beslut om sin resa. Det branschgemensamma målet är att resenärer ska nås av en samstämmig information, oavsett om de tar emot den på stationer, ombord på tåg, på webben eller i appar och oavsett från vilken aktör den kommer. Informationen ska också vara användbar och komma i rätt tid. Branschens mål är att nöjd kund-index (NKI) ska vara minst 70 i trafikstörda lägen och 80 i normala lägen. Utvecklingen av NKI över tid framgår i diagram 3.6.

18

Prop. 2025/26:1 Utgiftsområde 22

Diagram 3.6 Nöjd kund-index trafikinformation järnväg

Index

90

80

70

60

50

40 apr-21 aug-21 dec-21 apr-22 aug-22 dec-22 apr-23 aug-23 dec-23 apr-24 aug-24 dec-2

NKI, stört läge

NKI, normalt läge

Målnivå, stört läge

Målnivå, normalt läge

Källa: Trafikverket.

För att mäta användarnas upplevelse av vägnätet ställer Trafikverket frågor till privata förare och yrkesförare om deras senaste resa på vägen. Mätningen för sommaren 2023 och vintern 2024 visar att nöjdheten hos trafikanterna med sin resa har minskat något i jämförelse med föregående mätperiod, se tabell 3.1. Generellt över tid så är privata förare mer nöjda än yrkesförare. De problem som flest förare säger sig ha upplevt är ojämn vägbana samt skada och slitage på vägbanan.

Tabell 3.1 Kundnöjdhet väg

Procent

 

 

 

 

Nöjdhet könsuppdelat

 

 

Andel nöjda

Andel nöjda

Andel nöjda

Privata förare

Yrkesförare

 

 

 

 

 

Mätperiod

trafikanter

privata förare

yrkesförare

Kvinnor

Män

Kvinnor

Män

 

 

 

 

 

 

 

 

Sommaren 2023 och

 

 

 

 

 

 

 

vintern 2024

69

76

61

78

75

56

62

 

 

 

 

 

 

 

 

Vintern 2022 och

 

 

 

 

 

 

 

sommaren 2023

71

78

63

80

77

42

64

 

 

 

 

 

 

 

 

Sommaren 2021 och

 

 

 

 

 

 

 

vintern 2022

72

80

63

80

80

66

67

 

 

 

 

 

 

 

 

Vintern 2020 och

 

 

 

 

 

 

 

sommaren 2021

74

80

67

80

80

66

67

 

 

 

 

 

 

 

 

Sommaren 2019 och

 

 

 

 

 

 

 

vintern 2020

73

79

67

81

78

68

66

 

 

 

 

 

 

 

 

Anm.: Bland yrkesförare är basen för kvinnor för liten för att kunna tolkas med säkerhet.

Källa: Trafikverket.

Användbarheten för olika grupper är i stort sett oförändrad jämfört med tidigare år

Användningen av transportsystemet förändrades till följd av pandemin. De som i högre utsträckning använder sig av kollektiva färdmedel har påverkats mer än de som i första hand reser med bil. Under 2022 skedde en viss återhämtning då transporterna återgick till nivåer som närmar sig tillståndet före pandemin. Bortsett från pandemin och dess direkta konsekvenser på användningen av transportsystemet har transport- systemets användbarhet för olika grupper i stort inte utvecklats i någon tydlig riktning sedan målen antogs.

19

Prop. 2025/26:1 Utgiftsområde 22

Användbarheten för personer med funktionsnedsättning har inte förändrats märkbart

En kollektivtrafik som är tillgänglighetsanpassad är många gånger en förutsättning för mobiliteten hos personer med funktionsnedsättningar. Kollektivtrafikens användbarhet för personer med funktionsnedsättning följs upp med tre olika mått som vart och ett följs upp vart tredje år. Dessa mått utgör bedömningen av indikatorn för tillgänglighet i kollektivtrafiken för personer med funktionsnedsättning. Under 2024 studerades delmåttet information om tillgänglighet vilket pekade i neutral riktning. Det konstaterades att läget är oförändrat för den målgruppsanpassade tillgänglighetsinformationen medan det finns en positiv utveckling av länstrafikens tillgänglighetsinformation av allmänintresse, som förseningar och trängsel.

För delmåttet upplevd användbarhet (2024) bedöms utvecklingen gå i negativ riktning och för delmåttet tillgängliga hållplatser (2023) bedöms utvecklingen peka i positiv riktning. Sammantaget bedöms därför utvecklingen av måtten kring användbarheten för personer med funktionsnedsättning som neutral.

Skillnaderna i körkortsinnehav mellan män och kvinnor fortsätter minska

Män har körkort för personbil i större utsträckning än kvinnor, se diagram 3.7. Skillnaden har dock minskat från 10,8 procentenheter 2009 till 7,0 procentenheter 2024, sett över alla åldersgrupper 18 år och äldre. Detta förklaras i stor utsträckning av en dramatisk minskning av skillnaden i gruppen som har fyllt 65 år, från

24,3 procentenheter 2009 till 9,6 procentenheter 2024. Skillnaden har även minskat för åldersgruppen 18–24 år, från 7,6 procentenheter 2009 till 5,2 procentenheter 2024, med en lägsta skillnad på 2,2 procentenheter under 2020. Skillnaden i gruppen har dock ökat med ca en procentenhet per år de senaste tre åren och är nu högre än den var för 10 år sedan. Detta förklaras av att fler personer har tagit körkort, där andelen män ökat mer än andelen kvinnor, vilket gör att den relativa skillnaden har ökat. I åldersgruppen 45–64 år kan man se en marginell ökning i skillnaden med

0,1 procentenheter från 2009 till 2024.

Diagram 3.7 Skillnader i körkortsinnehav (behörighet B) för män jämfört med kvinnor

Procent

30

25

20

15

10

5

0

2009 2010 2011 2012 2013

2014 2015 2016 2017 2018 2019 2020 2021 2022 2023 2024

 

 

18-24 år

 

25-44

år

 

45-64 år

65 år och äldre

18 år och äldre

 

 

 

 

 

 

 

 

Källa: Trafikanalys.

Könsfördelningen i beslutande församlingar som fattar beslut om transportinfrastruktur är på liknande nivåer som föregående år

Andelen kvinnor i ledningsgrupper och styrelser för statliga myndigheter och bolag inom transportsektorn har i huvudsak varierat mellan 40 och 50 procent sedan 2010, men har i några undantagsfall överstigit 50 procent. Det har således inte skett så stora förändringar över tid, och andelen kvinnor har i stort sett varit oförändrad de tre

20

Prop. 2025/26:1 Utgiftsområde 22

senaste åren. Det skedde en viss minskning 2024 i styrelserna där andelen kvinnor var ca 43 procent och andelen kvinnor i ledningsgruppen uppgick till 52 procent. Köns- fördelningen är ojämn i beslutsfattande församlingar på regional och lokal nivå. Andelen kvinnor i nämnder, styrelser och förvaltningar relaterade till den lokala nivån transportsektor ökade något under 2024. Andelen i de politiska ledningarna är fortsatt en knapp tredjedel men för förvaltningsledningar är det nu 45 procent. I förvaltnings- ledningarna för de regionala kollektivtrafikmyndigheterna syns en minskning av den tidigare trendavvikande ökningen och andelen kvinnor är nu nere i 43 procent.

Transportsystemet upplevs fortsatt som otryggare av kvinnor än av män

Det är skillnad mellan hur kvinnor och män upplever sin trygghet i resandet. Knappt 30 procent av kvinnorna valde 2024 en annan väg eller ett annat färdsätt till följd av upplevd otrygghet medan motsvarande andel för män var runt 15 procent. Det har inte skett någon större förändring över tid. Nivån för kvinnorna har minskat något sedan förra året medan samma värde för män har legat stabilt.

Tillgängligheten för person- och godstransporter är på en jämförbar nivå som när de transportpolitiska målen antogs

Det finns stora geografiska variationer i tillgängligheten för persontransporter

Tillgängligheten för övriga persontransporter har endast haft små förändringar jämfört med tidigare år men det finns fortfarande stora geografiska skillnader. Den lokala tillgängligheten till service visar dock på en positiv utveckling, vilket bl.a. förklaras av att antalet utlämningsställen för paket har fortsatt att öka. Oavsett färdsätt eller destination har storstadskommunerna högst tillgänglighet till servicepunkter.

Den interregionala tillgängligheten har fortsatt att sjunka och är nu jämförbar med nivån 2013. Tillgängligheten är generellt sett högre i södra Sverige, särskilt i och omkring storstadsområdena, medan den är lägre i stora delar av norra Sverige samt i de sydöstra delarna. Långväga resor inom Sverige har förändrats under de senaste fem åren. Före pandemin dominerade flyg och tåg, men i och med pandemin minskade antalet avgångar med flyg drastiskt. Även antalet tågavgångar minskade, men tåget fortsatte att vara det vanligaste färdmedlet. Sedan pandemin har tåget stärkt sin position och antalet avgångar har ökat. Tillgängligheten med inrikes flyg började sjunka från och med 2018 och under pandemiåren 2020 och 2021 var den mycket låg. Viss återhämtning av inrikesflyget kunde noteras under 2021 och 2022, men den har gått långsamt och utan att nå den nivå som rådde före pandemin. Under 2023 började tillgängligheten återigen minska, vilket bl.a. troligen beror på nedlagda förbindelser och färre avgångar.

Sammanfattningsvis befinner sig tillgängligheten för persontransporter på en något lägre men än så länge jämförbar nivå som när de transportpolitiska målen antogs.

Kostnaderna för godstransporter kvar på hög nivå

Under de senaste åren har transportkostnaderna stigit kraftigt till följd av internationella störningar i transportsystemet och ligger till viss del kvar på höga nivåer. Kostnaderna för lastbilstransporter, flygfrakt och internationell sjöfart minskade dock under 2023 och 2024. Transportkostnadernas andel av produktions- kostnaderna har i övrigt varit stabil sett över en längre tidsperiod. Risken för attacker mot fartygstrafiken genom Suezkanalen medför att många aktörer väljer omvägen runt Afrika med ökade kostnader och utsläpp av växthusgaser som följd.

Tyngre fordonsekipage, med en totalvikt på upp till 74 ton (BK4), tillåts nu på stora delar av vägnätet. Samtidigt har ett vägnät för lastbilar med en längd upp till

34,5 meter öppnats. Båda åtgärderna bidrar till att effektivisera godstransporter på väg.

21

Prop. 2025/26:1 Utgiftsområde 22

Inom järnvägen pågår arbetet för att kunna tillåta längre, tyngre och större tåg på den svenska järnvägen samt att deras hastighet kan ökas. Därigenom kan järnvägens kapacitet utnyttjas bättre.

Godstransportflödena är stabila över tid även om volymerna tenderar att öka. Tillgängligheten för godstransporter bedöms därför befinna sig på en ungefär likvärdig nivå som när de transportpolitiska målen antogs.

Under 2024 öppnade Trafikverket för ansökningar för ett investeringsstöd för effektivare omlastning av godstransporter mellan väg, järnväg och sjöfart. Syftet med stödet är att stärka de intermodala transportuppläggens konkurrenskraft och på så sätt bidra till mindre klimatpåverkan från transporter. Stödet ska betalas ut under 2025.

Bristen på utbildad personal i transportbranschen kvarstår

Enligt företag inom transportbranschen råder det fortfarande brist på utbildad personal. Det gäller inte minst inom föraryrken för tåg, taxi, buss och tung lastbil. Eftersom förarnas medianålder är hög kommer många med behörighet att framföra tunga lastbilar (C) eller buss (D) att fylla 65 år de närmaste åren. Generellt tycks inte medianåldern för körkortsinnehavare minska, vilket tyder på att antalet unga personer som skaffar C- eller D-behörighet är fortsatt lågt. Det största bekymret gäller den höga medianåldern för personer som arbetar som bussförare (53 år för kvinnor och 52 år för män). Ett undantag utgörs av kvinnliga lastbilsförare där medianåldern har minskat och nu är nere på 29 år.

Utöver rätt körkortsbehörighet krävs även ett bevis om yrkesförarkompetens (YKB) för att få framföra tunga fordon förvärvsmässigt. Antalet personer med yrkes- kompetensbevis har minskat 2024 jämfört med 2022, men bedöms än så länge täcka behovet för både lastbils- och bussbranschen.

Den senaste statistiken, som är från 2023, visar att det var ungefär 126 000 personer anställda i de 14 transportyrkena i Statistiska centralbyråns sysselsättningsregister, vilket är en ökning från 119 000 personer 2022. Andelen kvinnor anställda inom transportyrkena har legat relativt stabilt kring 12–13 procent sedan 2018, jämfört med nästan 50 procent kvinnor anställda på arbetsmarknaden som helhet. Medianåldern för alla yrkesverksamma är 42 år för både kvinnor och män, medan den i transport- yrkena är 37 år för kvinnor och 45 år för män.

Arbetet med att utveckla det civila försvaret och krisberedskap fortsätter

Att transportinfrastruktur och transporter i väsentliga delar fungerar vid höjd beredskap och ytterst i krig är betydelsefullt för Sveriges handel och försörjnings- förmåga. Transporter av personal, materiel och förnödenheter är också en förutsättning för Försvarsmaktens mobilisering, försörjningssäkerhet och förmåga att verka. Sveriges integration i Nato och dess operationsplanering ställer ökade krav på den civila transportsektorns förmåga att stödja Natos verksamhet.

Arbetet med att utveckla det civila försvaret och beredskapssektorn transporter har fortsatt under 2024, bl.a. genom ett fördjupat samarbete med olika aktörer både regionalt, nationellt och internationellt, se även utgiftsområde 6 Försvar och samhällets krisberedskap. Inom det av Trafikverket sedan oktober 2023 etablerade forumet Beredskapssektorn Transporter Privat – Offentlig Samverkan (BTPOS) med grupper för väg, järnväg, luftfart respektive sjöfart, har arbetet fortsatt under 2024, i syfte att bättre integrera näringslivet i arbetet med civilt försvar.

I januari 2025 redovisade Försvarsmakten regeringsuppdraget att lämna förslag på genomförande av Sveriges nationella plan för militär rörlighet 2024–2026

22

Prop. 2025/26:1 Utgiftsområde 22

(Fö2025/00194). I redovisningen föreslår Försvarsmakten bl.a. att det görs satsningar inom det transportpolitiska området. Regeringen gav den 27 mars 2024 Trafikverket i uppdrag att inleda förberedande utredningar och undersökningar för Kappelshamn som reservhamn till Visby hamn (LI2024/00773). Uppdraget slutredovisades i november 2024 (LI2024/02142) och redovisningen bereds för närvarande i Regeringskansliet. Vidare redovisade Trafikverket den 3 april 2024 regeringsuppdraget att förbereda en funktion för att koordinera öppnande av svenska beredskaps- flygplatser och ge information och service i rapporten Koordineringsfunktion beredskapsflygplatser (LI2024/03643). Genom en ändring av förordningen (2010:185) med instruktion för Trafikverket har myndigheten sedan december 2024 haft i uppgift att koordinera öppnande av beredskapsflygplatser och ge service och information till operatörer av samhällsviktigt flyg.

Mot bakgrund av Rysslands fullskaliga invasion av Ukraina och deklarationen från det nordiska transportministermötet i Fredrikstad i november 2022, har samarbetet med de nordiska grannländerna under 2024 ytterligare utvecklats och fördjupats på departements- och myndighetsnivå i frågor om beredskap och civilt försvar som rör gränsöverskridande transportinfrastruktur och transporter. I december 2024 gav regeringen Trafikverket i uppdrag att samarbeta med Finland, Norge, Danmark och i förekommande fall Island om beredskap och totalförsvar för transportområdet (LI2024/02409). Inom ramen för uppdraget har ett samförståndsavtal undertecknats i januari 2025 av behöriga organisationer från Sverige, Finland, Norge och Danmark.

3.3.3Hänsynsmål – säkerhet, miljö och hälsa

Antalet omkomna och allvarligt skadade i trafiken har minskat

Sett över alla trafikslag omkom sammantaget 363 personer 2024 i trafiken, varav 250 personer i olyckor och 113 i konstaterade självmord, se diagram 3.8. Detta var

17 personer färre än under 2023. Antalet omkomna totalt i trafiken har sedan 2007 minskat med 37 procent. Sett till andelen av samtliga omkomna stod vägtrafiken under 2024 för 66 procent och bantrafiken för 29 procent. Antalet allvarligt skadade kan inte mätas i alla delar av transportsystemet på ett jämförbart sätt. Trots detta kan det konstateras att vägtrafiken dominerar även här. Män är kraftigt överrepresenterade bland omkomna i transportsystemet. I de fall det finns könsuppdelad statistik att tillgå redovisas dessa uppgifter i samband med respektive trafikslag.

Diagram 3.8 Antalet omkomna i de olika trafikslagen

Antal omkomna

700

600

500

400

300

200

100

0 2006200720082009201020112012201320142015201620172018201920202021202220232024

Vägtrafik - olyckor

 

Vägtrafik - självmord

 

Bantrafik - olyckor

Bantrafik - självmord

 

 

Sjöfart - yrkessjöfart

 

Sjöfart - fritidsbåtar

 

Luftfart

 

Källa: Trafikanalys.

23

Prop. 2025/26:1 Utgiftsområde 22

Minskning av antalet omkomna i vägtrafiken

Under 2024 omkom 213 personer av olyckor i vägtrafiken, vilket är 16 personer (7 procent) färre jämfört med 2023. Skillnaden mellan omkomna skyddade och oskyddade trafikanter har minskat över tid. Bland de omkomna i vägtrafiken är de skyddade trafikanterna, dvs. sådana som färdas i personbil, buss och lastbil, i majoritet. För 2024 stod gruppen skyddade trafikanter för ungefär 54 procent av de omkomna.

Bland de omkomna i olyckor har andelen män under de senaste tio åren varit i genomsnitt 75 procent och andelen kvinnor 25 procent. Under 2024 omkom 155 män respektive 58 kvinnor i vägtrafiken.

Det antal svårt skadade som rapporteras av polisen var 1 597 personer för 2024, jämfört med 1 789 personer för 2023. Det finns inga uppgifter om allvarligt skadade och mycket allvarligt skadade för de senaste åren från sjukvården, på grund av att Transportstyrelsen arbetar med en ny metod för att kompensera för bortfall av rapportering. Skillnaden mellan polisens och sjukvårdens siffror beror bl.a. på att sjukvården fångar upp många av de oskyddade trafikanterna som polisen inte får kännedom om, t.ex. fotgängare, cyklister och mopedister.

Transportstyrelsen har genomfört en generell översyn av förarutbildningen

Riksdagen har tillkännagett för regeringen det som utskottet anför dels om behovet av en generell översyn av förarutbildningen, dels om att antalet tillstånd som en handledare kan ha bör begränsas till tio och att möjligheten att införa tillståndsplikt för innehav av fordon med dubbelkommando bör ses över (bet. 2018/19:TU7 punkt 11, rskr. 2018/19:165).

Trafikverket och Transportstyrelsen har genomfört en översyn av förarutbildningen och överlämnade i januari 2019 en rapport till Regeringskansliet (Infrastrukturdepartementet) med förslag om ett nytt förarutbildningssystem för personbil. Dessutom har Statens väg- och transportforskningsinstitut under 2018 utvärderat begränsningen för handledare att handleda fler än 15 elever under en femårsperiod. Utvärderingen visade att begränsningen troligen inte hade haft avsedd effekt, utan snarare lett till att osynliggöra problemen, eftersom den som utför illegal verksamhet inte längre ansöker om handledartillstånd. Regeringen uppdrog den

5 september 2019 åt Transportstyrelsen att föreslå åtgärder mot fusk vid förarprov och illegal utbildningsverksamhet. I uppdraget ingick att överväga ytterligare begränsning av antalet handledartillstånd som en person kan ha samt införande av en begränsning att endast Trafikverkets eller godkänd trafikskolas fordon får användas vid prov. Transportstyrelsen redovisade den 1 oktober 2020 uppdraget i rapporten Uppdrag att föreslå åtgärder mot fusk vid förarprov och illegal utbildningsverksamhet (LI2023/01073). Transportstyrelsens rapport remissbehandlades. Efter remiss- behandlingen beslutade regeringen den 29 juli 2021 om en ändring i körkorts- förordningen (1998:980) som innebär att vid körprov för körkortsbehörighet B får endast fordon användas som ägs eller innehavs av Trafikverket, en trafikskola med tillstånd eller en gymnasieskola. Regeringen beslutade samtidigt om en ändring i väg- trafikdataförordningen (2019:382) som innebär ett krav på registrering av den elev som ett handledarskap avser, vilket har möjliggjort för Transportstyrelsen att ytterligare begränsa antalet elever som en handledare kan ha till fem. De båda förordningsändringarna trädde i kraft den 1 december 2021.

Den 21 juni 2022 antog riksdagen de lagändringar som regeringen föreslog i propositionen Åtgärder mot fusk vid förarprov och mot illegal utbildningsverksamhet på transportområdet (prop. 2021/22:190, bet. 2021/22:TU19, rskr. 2021/22:430). Lagändringarna innebär att regeringen eller den myndighet som regeringen bestämmer får meddela föreskrifter om avstängning från prov på transportområdet och att illegal

24

Prop. 2025/26:1 Utgiftsområde 22

utbildningsverksamhet på transportområdet straffbeläggs i större utsträckning än tidigare samt att befintliga straffbestämmelser skärps. Som en följd av lagändringarna beslutade regeringen den 17 november 2022 ett antal förordningsändringar som innebär bl.a. att Trafikverket ska stänga av den som genom användning av otillåtna hjälpmedel eller på annat sätt försöker vilseleda vid olika typer av trafikprov hos verket från deltagande i prov som hålls enligt samma lag i antingen ett eller två år.

Regeringen gav den 23 februari 2023 Transportstyrelsen i uppdrag att göra en översyn av förarutbildningssystemet och föreslå nödvändiga författningsändringar som följer av översynen. Transportstyrelsen redovisade uppdraget den 15 september 2024 vilket avslutar översynen (LI2024/01709). Med hänvisning till vidtagna åtgärder anser regeringen att tillkännagivandet är tillgodosett och slutbehandlat.

Ökning av antalet omkomna i bantrafiken

I bantrafiken omkom under 2024 totalt 112 personer, varav 20 personer i olyckor och 92 i självmord. Detta är en ökning med 2 personer jämfört med 2023.

Självmorden har sedan 2006 stått för ungefär 80 procent av alla omkomna i ban- trafiken. Av de fall där kön är känt utgör männen 69 procent av de omkomna i olyckor och självmord sammantaget, och andelen omkomna kvinnor utgör

30 procent.

Bantrafiken är det enda trafikslag där de omkomna (i olyckor och självmord sammantaget) är fler än de allvarligt skadade, vilket beror på att kollisionerna ofta är väldigt våldsamma och därmed dödliga. Spårvägstrafikens roll är marginell för antalet omkomna i olyckor och självmord, men står för nära hälften av de allvarligt skadade. Det rör sig då om personer som skadas i en trafikmiljö där spårväg och vägtrafik samsas längs långa sträckor.

Oförändrat antal omkomna i luftfarten

Antalet omkomna i luftfarten varierar mycket över åren. Under perioden 2010–2024 omkom totalt 80 personer inom luftfarten, knappt 5 personer per år. Under 2024 omkom ingen inom den svenska luftfarten.

Under 2023 rapporterades 5 personer allvarligt skadade inom luftfarten jämfört med 11 personer året innan. Uppgifter om kön på de omkomna och skadade i luftfarten samlas inte in.

Bortsett från stora variationer över åren, visar 2024 års siffror att målet för 2030 redan är uppnått.

Minskning av antalet omkomna i fritidssjöfarten

Redovisningen av antalet omkomna i sjöfarten är fördelad mellan yrkessjöfarten och fritidssjöfarten. Inom yrkessjöfarten omkom 4 personer på svenska vatten under 2024 i en s.k. sjöolycka jämfört med 0 omkomna 2023. Sjöolyckor är olyckor som har att göra med fartygets drift. Antalet allvarligt skadade i yrkessjöfarten kan inte mätas på något konsistent sätt för hela perioden. I fritidssjöfarten omkom 13 personer under 2024, mot 20 personer året innan. Rapportering som möjliggör mätning av antalet skadade i fritidssjöfarten är under utveckling. För hela perioden 2006–2024 var

95 procent av de omkomna män. I yrkessjöfarten finns ingen uppgift om kön på de omkomna under perioden.

Regeringen går inte vidare med förarbevis för fritidsbåtar men bereder frågan om utfärdande av förarbevis för vattenskoter vidare

Riksdagen har tillkännagett för regeringen det som utskottet anför om att regeringen snarast bör låta utreda förutsättningarna för införande av obligatorisk utbildning och

25

Prop. 2025/26:1 Utgiftsområde 22

förarbevis avseende fritidsbåtar (bet. 2004/05:TU7 punkt 11, rskr. 2004/05:178). Vidare har riksdagen tillkännagett för regeringen det som utskottet anför om att införa ett nytt teknikneutralt obligatoriskt förarbevis kopplat till fart för vissa vattenfordon (bet. 2020/21:TU12 punkt 2, rskr. 2020/21:379). Vid en samlad bedömning och mot bakgrund av den tid som har förflutit sedan det ursprungliga tillkännagivandet beslutades anser regeringen att det inte framstår som motiverat att ta några nya initiativ i syfte att tillmötesgå de aktuella tillkännagivandena. Med hänvisning till denna bedömning anser regeringen att tillkännagivandena är slutbehandlade.

Dessa båda tillkännagivanden ansluter till ett godkännande av riksdagen om att införa krav på förarbevis för vissa större fritidsbåtar (prop. 2005/06:160, bet. 2005/06:TU5 punkt 42, rskr. 2005/06:308). Regeringen föreslår i linje med det som anförs ovan att detta godkännande hävs, se avsnitt 3.5.23.

Vidare har riksdagen tillkännagett för regeringen det som utskottet anför om att ge båtlivets befintliga utbildningsorganisation och andra externa aktörer som erbjuder utbildning och examination möjlighet att utfärda förarbevis för vattenskoter (bet.

2020/21:TU12 punkt 4, rskr. 2020/21:379). Den 15 maj 2022 trädde lagen (2021:626) om förarbevis för vattenskoter i kraft. För att få ett förarbevis för vattenskoter krävs sedan dess att personen genomgått utbildning hos en av Transportstyrelsen godkänd utbildare. I utbildningen ingår att kursdeltagarnas kunskaper ska prövas av utbildningsanordnaren. Efter avslutad utbildning utfärdar Transportstyrelsen ett förarbevis för vattenskoter. I samband med behandlingen av lagen riktade riksdagen nämnda tillkännagivande till regeringen om utfärdande av förarbevis för vattenskoter. Eftersom regeringen hittills gjort bedömningen att det varit relevant att avvakta effekterna av de regeländringar avseende vattenskotrar som trädde i kraft den 15 maj 2022, har några sådana initiativ inte tagits tidigare.

Mot bakgrund av att tre år nu gått sedan lagen om förarbevis för vattenskoter trädde i kraft gav regeringen den 28 maj 2025 Transportstyrelsen i uppdrag att redovisa för- och nackdelar med att ge båtlivets utbildningsorganisationer och andra berörda aktörer möjlighet att utfärda förarbevis för vattenskoter (LI2025/01089). Uppdraget ska redovisas senast den 31 oktober 2025. Med Transportstyrelsens redovisning som utgångspunkt kommer regeringen därefter att bereda ärendet vidare. Tillkännagivandet är inte slutbehandlat.

Antalet viltolyckor fortsätter att öka

De senaste åren har antalet olyckor med vilt och ren ökat kraftigt jämfört med 2009 och uppgick under 2024 till 77 157 olyckor vilket är en ökning med 6,8 procent jämfört med föregående år, se diagram 3.9. Antalet rapporterade olyckor med vilt och ren var under 2024 det högsta sedan målen antogs. I statistiken särredovisas renar då ren är ett tamdjur och därför inte klassas som vilt djur enligt jaktlagen (1987:259). Rådjursolyckor fortsätter att dominera de rapporterade viltolyckorna och uppgick under 2024 till 51 530 stycken vilket var en ökning med nära 1 800 olyckor jämfört med 2023. Det innebär att det under 2024 skedde i genomsnitt 140 rådjursolyckor om dagen. Viltolyckor sker över hela landet, men antalet olyckor med olika djur varierar stort beroende på omfattningen av trafikflöden och djurpopulationer. Trafikarbetet på väg har ökat men inte i en omfattning som skulle kunna förklara det ökade antalet viltolyckor.

Det totala antalet djurpåkörningar med tåg uppgick under 2024 till 7 162 djur vilket är en ökning med drygt 136 påkörningar. Rapporteringen omfattar såväl vilda djur som tamboskap och husdjur.

26

Prop. 2025/26:1 Utgiftsområde 22

Diagram 3.9 Antal viltolyckor på väg och järnväg med vilt respektive ren

Antal olyckor

90000

80000

70000

60000

50000

40000

30000

20000

10000

0 2009 2010 2011 2012 2013 2014 2015 2016 2017 2018 2019 2020 2021 2022 2023 2024

Vilda djur

 

Renar

 

Anm.: Diagrammet visar antalet viltolyckor, antalet inblandade djur kan vara högre än antalet olyckor.

Källa: Trafikanalys och Trafikverket.

Utsläpp av växthusgaser har ökat

Riksdagen har beslutat om ett etappmål inom miljömålssystemet som innebär att växthusgasutsläppen från inrikes transporter, utom inrikes flyg, ska minska med minst 70 procent senast 2030 jämfört med 2010. Enligt preliminär statistik från Naturvårdsverket ökade utsläppen från inrikes transporter med ca 22 procent 2024 jämfört med 2023. Utsläppsökningen beror framför allt på sänkningen av reduktions- plikten för bensin och diesel från den 1 januari 2024 i kombination med sänkta drivmedelsskatter. Jämfört med 2010 har utsläppen minskat med ca 20 procent, se diagram 3.10. Under perioden 2010 till 2023 har Sveriges utsläpp av växthusgaser från inrikes transporter haft en mycket gynnsammare utveckling jämfört med EU som helhet, se diagram 3.11. Slutliga siffror över växthusgasutsläppen 2024 redovisas av Naturvårdsverket i december 2025.

Under 2024 var ca 57 procent av de nyregistrerade personbilarna laddbara, dvs elbilar och laddhybrider, vilket är en liten minskning jämfört med 2023 då andelen uppgick till 58 procent. Andelen laddbara fordon i personbilsflottan uppgick vid slutet av 2024 till drygt 13 procent (11 procent 2023). Andelen nyregistrerade elbilar minskade under 2024 till ca 34 procent jämfört med 38 procent under 2023. Bland övriga fordons- kategorier ökade andelen nyregistrerade fordon som enbart drivs med el under 2024 jämfört med 2023. För lätta lastbilar till 21 procent (19 procent 2023), för tunga lastbilar till 7 procent (4 procent) och för bussar till 28 procent (25 procent). Se även utgiftsområde 20 Klimat, miljö och natur samt utgiftsområde 21 Energi.

27

Prop. 2025/26:1 Utgiftsområde 22

Diagram 3.10 Utsläpp av växthusgaser från inrikes transporter

Miljoner ton CO2-ekvivalenter

20

18

16

14

12

10

8

6

4

2

0 2010 2011 2012 2013 2014 2015 2016 2017 2018 2019 2020 2021 2022 2023 2024

Järnväg

 

Sjöfart

Luftfart

 

ägtra ik

 

 

Källa: Naturvårdsverket.

Diagram 3.11 Utsläpp av växthusgaser från inrikes transporter i Sverige i relation till motsvarande utsläpp i EU som helhet (EU 27)

Index, utsläpp 2010 = 100

120

100

80

60

40

20

0 2010 2011 2012 2013 2014 2015 2016 2017 2018 2019 2020 2021 2022 2023

EU 27

Sverige

Källa: Eurostat.

Ett nettonollpaket har antagits inom FN-organet IMO

Sverige har fortsatt varit aktiv inom EU och internationellt i syfte att minska luft- fartens och sjöfartens klimatpåverkan. Internationella sjöfartsorganisationen (IMO) godkände i april i år ett styrmedelspaket som utgör ett viktigt steg mot att minska den internationella sjöfartens utsläpp till nettonoll till eller omkring år 2050. Styrmedels- paketet kombinerar en drivmedelsstandard med prissättning av växthusgasutsläpp. Det nya styrmedelspaketet ska slutligt antas i oktober 2025 och planeras träda i kraft 2027.

28

Prop. 2025/26:1 Utgiftsområde 22

Diagram 3.12 Utsläpp av växthusgaser från utrikes luftfart och sjöfart

Miljoner ton CO2-ekvivalenter

10

9

8

7

6

5

4

3

2

1

0 1990 1992 1994 1996 1998 2000 2002 2004 2006 2008 2010 2012 2014 2016 2018 2020 2022

Internationell luftfart

Internationell sjöfart

Källa: Naturvårdsverket.

Det finns inga preliminära beräkningar från Naturvårdsverket för 2024 för utrikes transporter. I diagram 3.12 redovisas därför data fram till 2023 då utsläppen från utrikes luftfart var ca 25 procent lägre än före pandemin (2019).

Transporter fortsätter att påverka människors hälsa och livsmiljö

Luftföroreningar minskar över tid

Halterna av kvävedioxid har minskat i Sverige sedan början av 1980-talet, främst till följd av skärpta avgaskrav på motorfordon. Under 2024 uppmättes inga överskridanden av miljökvalitetsnormen för kvävedioxid i Sverige enligt data från Naturvårdsverket.

Antalet dygn då miljökvalitetsnormen för grova partiklar, PM10, överskrids minskar över tid. Variationen mellan olika år kan dock vara ganska stor. År 2024 överskreds miljökvalitetsnormen. och därmed EU:s gränsvärde, i Piteå, Skellefteå, Visby och Östersund enligt data från Naturvårdsverket.

Utsattheten för buller är större nu än när de transportpolitiska målen antogs

Ihållande trafikbuller som överskrider gällande riktvärden, eller temporärt buller som kraftigt överstiger gränsvärden, kan medföra negativa effekter på hälsa och välbefinnande. Övergripande bullerkartläggningar visar att ca 2 miljoner personer i Sverige utsätts för bullernivåer över beslutade riktvärden utomhus vid sin bostad, varav ca 600 000 personer utsätts för buller från statliga vägar och järnvägar.

Längs statlig transportinfrastruktur finns drygt 20 000 bostäder och ca 250 skolor som behöver utredas för behov av åtgärd på grund av höga bullernivåer. Trafikverket genomförde under 2024 bulleråtgärder för totalt ca 4 500 personer längs statliga vägar och järnvägar. Det är något lägre bulleråtgärder än 2023 då åtgärder för

6 700 personer längs statliga vägar och järnvägar genomfördes.

Andelen som använder fysiskt aktiv transport har minskat över tid

Fysiskt aktiv transport, dvs. resande som görs t.ex. till fots eller med cykel, utgör en viktig del av människors totala fysiska aktivitet och bidrar till en god hälsa i befolkningen, se vidare utgiftsområde 9 Hälsovård, sjukvård och social omsorg, avsnitt Folkhälsopolitik.

29

Prop. 2025/26:1 Utgiftsområde 22

Andelen barn (6–17 år) som använder fysiskt aktiva transporter mer än 60 minuter per dag var tre procent under 2023. Andelen vuxna (18–84 år) som använde aktiva transportsätt mer än 30 minuter per dag var ungefär tolv procent samma år. Det är en liten ökning jämfört med 2021 och ungefär jämförbart med 2022. Sett över en längre tidsperiod har andelen dock minskat för såväl vuxna som barn.

Regeringen gav i regleringsbrevet för 2025 Trafikverket i uppdrag att samverka med relevanta aktörer kring förutsättningarna för aktiva transporter för att genom vägledningar och exempel stödja motsvarande arbete i regioner och kommuner.

Under 2024 byggdes 57 kilometer ny statlig gång- och cykelväg, en ökning från föregående år. Åtgärder som ökar säker gång och cykling i transportsystemet bedöms generellt ge positiva hälsoeffekter. Arbetet med att främja ökad och säker cykling sker bl.a. genom statlig medfinansiering till regioner och kommuner i form av stadsmiljö- avtalen. Stadsmiljöavtalen redovisas under avsnitt 3.3.4 samt under utgiftsområde 18 Samhällsplanering, bostadsförsörjning och byggande samt konsumentpolitik, avsnitt Goda och hållbara livsmiljöer. Under utgiftsområde 20 Klimat, miljö och natur, avsnitt God bebyggd miljö redovisas etappmålet inom miljömålen för gång-, cykel- och kollektivtrafik.

Långsiktig lösning för ideella föreningars tillfällig arrangemang på vägar har etablerats

Den 4 april 2024 beslutade regeringen att Trafikverket under innevarande år gavs möjlighet att avstå från att begära ersättning från ideella föreningar arrangemang på statliga vägar, som t.ex. tävlings- och motionslopp. Under 2024 har Trafikverket hanterat 622 arrangemang varav 529 var ideella arrangemang.

Den 28 november 2024 beslutade regeringen ändringar i vägmärkesförordningen (2007:90), samt 2025 ökades anslaget permanent till Trafikverket på 8 miljoner kronor så att ideella föreningar även fortsättningsvis ska kunna slippa betala för Trafikverkets kostnader för bl.a. omskyltningar vid tillfälliga arrangemang på statlig väg.

Antalet åtgärder för att minska påverkan på naturmiljö och kulturlandskap har ökat

Transportsektorns sammantagna påverkan på naturmiljön och kulturlandskapet förändrades inte på ett avgörande sätt under 2024 jämfört med 2023.

Trafikverket har genomfört riktade miljöåtgärder i befintlig infrastruktur. Åtgärderna har bidragit till landskapsanpassningen genom att minska infrastrukturens negativa påverkan på natur- och kulturvärden samt främjat positiva värden. Effekterna är dock små i förhållande till transportsystemets totala påverkan på natur- och kulturvärden. Invasiva främmande arter bedöms vara ett ökande problem. I dag bedöms 46 procent av de artrika miljöerna i den svenska transportinfrastrukturen vara påverkad av invasiva främmande arter. Under 2024 ökade genomförandet av riktade landskaps- åtgärder jämfört med senare år. Trafikverket har framför allt satsat på arbete med artrika miljöer samt bekämpning av invasiva främmande arter. Inom denna kategori mer än fördubblades åtgärderna jämfört med 2023 och nya metoder har utvecklats. Andra åtgärder som har genomförts under året är arbete med faunapassager, alléer samt restauration av kulturobjekt och kulturvägar.

Trafikverkets arbete med att hantera förorenade områden, inklusive historiska miljö- skador, har bidragit till att minska påverkan på naturmiljön. Arbetet bidrar också till miljökvalitetsmålet Giftfri miljö. Under 2023 inventerades ett stort antal objekt som Trafikverket under 2024 arbetat vidare med. Trafikverket genomförde under 2024 drygt 250 undersökningar och ca 80 efterbehandlingar. Knappt 180 områden

30

Prop. 2025/26:1 Utgiftsområde 22

bedömdes sakna behov av efterbehandling och omkring 100 nya objekt inventerades. Det finns även avtal med bolag om den s.k. miljögarantin. Totalt uppgick kostnaderna för förorenade områden 2024 till ca 243 (220) miljoner kronor fördelat på

71 (72) miljoner kronor för Trafikverket och 172 (148) miljoner kronor för ersättning enligt miljögarantin (2023 års siffror inom parentes).

Oljeutsläppen från fartyg i Östersjön har minskat under lång tid, både när det gäller antalet observerade utsläpp och den uppskattade sammanlagda volymen. Nivåerna under det senast rapporterade året, 2023, var lägre än året innan men då hade antalet spaningstimmar även minskat jämfört med föregående år.

En sammanslagen analys- och utvärderingsmyndighet har föreslagits

Utredningen om en översyn av mindre myndigheters uppgifter och organisering har i betänkandet En effektivare organisering av mindre myndigheter – analys och förslag (SOU 2025:13) bl.a. föreslagit att en samlad analys- och utvärderingsmyndighet ska bildas genom att Trafikanalys uppgifter överförs och inordnas i Myndigheten för tillväxtpolitiska utvärderingar och analyser (Tillväxtanalys). Förslaget har remitterats (Fi2025/00348). Se även utgiftsområde 2 Samhällsekonomi och finansförvaltning, avsnitt 4.3.

3.3.4Redovisning av den nationella trafikslagsövergripande planen för transportinfrastrukturen för perioden 2022– 2033

Investeringar i den statliga transportinfrastrukturen

Ekonomiska ramar

Den ekonomiska ramen för åtgärder i den statliga transportinfrastrukturen för plan- perioden 2022–2033 är enligt riksdagens beslut 799 miljarder kronor i fasta priser (2021 års prisnivå), varav 437 miljarder kronor ska användas till utveckling av transportsystemet, 165 miljarder kronor till vidmakthållande av statliga järnvägar och 197 miljarder kronor till vidmakthållande av statliga vägar, se tabell 3.2.

31

 

Prop. 2025/26:1 Utgiftsområde 22

 

Tabell 3.2

Anvisade anslagsramar för perioden 2022–2033

 

Miljoner kronor1

 

 

Åtgärdsområde i nationell plan

Belopp 2022–2033

Utveckling av transportsystemet2

437 000

Namngivna objekt

296 700

 

 

 

Stadsmiljöavtal

 

6 000

 

 

Trimnings- och miljöåtgärder

39 900

 

 

varav miljöåtgärder

11 550

 

 

Räntor och återbetalning av lån

25 700

 

 

Övrig utveckling

25 700

 

 

varav planering, stöd och utveckling

16 000

 

 

varav forskning och innovation

3 100

 

 

varav bidrag Inlandsbanan

2 100

 

 

varav bidrag Öresundskonsortiet

4 500

 

 

Ekonomiska ramar för länsplaner

42 000

 

 

Ersättning till kommuner för drift av icke statliga flygplatser3

1 000

Vidmakthållande av statens transportinfrastruktur4

362 000

Vidmakthållande järnväg

165 000

 

 

varav drift, underhåll och trafikledning

163 700

 

 

varav forskning och innovation

1 300

 

 

Vidmakthållande väg

197 000

 

 

varav drift och underhåll

161 500

 

 

varav forskning och innovation

2 300

 

 

varav bärighetsåtgärder

18 200

 

 

varav bidrag drift av enskild väg

15 000

 

 

Statlig anslagsram för planperioden

799 000

 

 

 

1Beloppen är angivna i prisnivå 2022.

2Medlen anvisas på anslag 1:1 Utveckling av statens transportinfrastruktur.

3Medlen anvisas på anslag 1:2 Vidmakthållande av statens transportinfrastruktur.

4Medlen anvisas på anslag 1:6 Ersättning till kommuner för drift av till icke statliga flygplatser.

Källa: Fastställelse av nationell trafikslagsövergripande plan för transportinfrastrukturen för perioden 2022–2033, beslut om byggstarter 2022–2024, beslut om förberedelse för byggstarter 2025–2027 samt fastställelse av definitiva ekonomiska ramar för trafikslagsövergripande länsplaner för regional transportinfrastruktur för perioden 2022–2033 I2022/01294 m.fl.).

Medel för investeringar tillkommer därutöver från bl.a. medfinansiering och EU- finansiering. Medfinansiering uppgick 2024 till 1 187 miljoner kronor, varav

930 miljoner kronor från kommuner, 150 miljoner kronor från regioner samt

106 miljoner kronor från andra aktörer. Utbetalningarna från EU-kommissionen uppgick 2024 till 453 miljoner kronor i stöd för investeringar och utveckling. De största utbetalningarna till Trafikverket var till Olskroken (108,2 miljoner kronor), E4 Ljungby (72,3 miljoner kronor) och eFTI 4 ALL (62,5 miljoner kronor).

Uppföljning av verksamhetsvolym för investeringar

Investeringsvolymen för om- och nybyggnadsåtgärder redovisas i tabell 3.3. Den totala investeringsvolymen för 2024 ökade med ca 900 miljoner kronor jämfört med 2023 (+2,1 procent).

32

Prop. 2025/26:1 Utgiftsområde 22

Tabell 3.3 Verksamhetsvolym för statliga investeringar inklusive bidrag och statlig medfinansiering

Miljoner kronor1

 

Förgående

 

 

 

 

nationella plan

Nu gällande nationella plan för

 

för perioden

perioden

 

 

 

2018–2029

2022–2033

 

 

År

2021

2022

2023

2024

 

 

 

 

 

Nationell plan, verksamhetsvolym statliga

 

 

 

 

investeringar inklusive bidrag och statlig

 

 

 

 

medfinansiering

 

 

 

 

 

 

 

 

 

Järnväg

18 739

20 638

21 062

20 490

 

 

 

 

 

varav namngivna objekt

17 485

18 962

19 188

18 614

 

 

 

 

 

Väg

13 301

14 139

14 482

15 143

 

 

 

 

 

varav namngivna objekt

9 305

9 973

10 764

11 028

 

 

 

 

 

Sjöfart, inkl. bidrag till Sjöfartsverket2

424

432

1 060

1 583

varav namngivna objekt

333

396

1 036

1 562

 

 

 

 

 

Luftfart, inkl. statlig medfinansiering3

120

46

42

11

varav namngivna objekt

0

0

0

0

 

 

 

 

 

Trimningsåtgärder, tillgänglighet och trafiksäkerhet

2 117

2 409

2 273

2 678

 

 

 

 

 

Miljöåtgärder4

885

999

1 052

1 013

Planering investeringsåtgärder

110

129

142

155

 

 

 

 

 

Utbetalning av bidrag, stöd och statlig

 

 

 

 

medfinansiering

3 353

4 170

4 387

4 677

 

 

 

 

 

varav investeringar i nationell och regional plan

2 954

3 519

3 834

4 240

 

 

 

 

 

varav stadsmiljöavtal

399

651

553

440

 

 

 

 

 

Summa nationell plan, verksamhetsvolym

33 358

36 870

38 688

39 546

 

 

 

 

 

 

 

 

 

 

Länsplaner, verksamhetsvolym investeringar

 

 

 

 

inklusive bidrag och statlig medfinansiering

 

 

 

 

 

 

 

 

 

Namngivna objekt

1 020

1 003

1 044

1 121

 

 

 

 

 

Trimnings- och miljöåtgärder

844

851

923

833

 

 

 

 

 

Statlig medfinansiering

764

713

638

655

 

 

 

 

 

Summa länsplaner, verksamhetsvolym

 

 

 

 

investeringar

2 638

2 567

2 605

2 619

 

 

 

 

 

 

 

 

 

 

Totalt nationell plan och länsplaner

35 986

39 437

41 293

42 165

 

 

 

 

 

1Prisbelopp är angivna i prisnivå 2022.

2Avser investeringar i nationell plan som Trafikverket ansvarar för samt om- och nybyggnadsåtgärder i farleder och slussar som Trafikverket finansierar via nationell plan men där Sjöfartsverket är ansvarigt för genomförandet. Utöver dessa medel tillkom 1 177 mnkr 2024 från extern part.

3Avser miljögarantier samt sanering av förorenad mark.

4Inklusive bidragsutbetalningar.

Källa: Trafikverkets årsredovisning samt kompletterande underlag från Trafikverket.

Stadsmiljöavtalen ska främja hållbara stadsmiljöer och skapa förutsättningar för åtgärder i städer som leder till ökad andel persontransporter med kollektivtrafik eller cykeltrafik, respektive till hållbara godstransporter. Mer information om hur stads- miljöavtalen hanterats under 2023 finns i utgiftsområde 18 Samhällsplanering, bostadsförsörjning och byggande samt konsumentpolitik.

Uppföljning av objekt som öppnades för trafik under 2023

Under perioden mellan oktober 2023 och september 2024 öppnades 21 objekt för trafik, se tabell 3.4.

33

 

 

Prop. 2025/26:1 Utgiftsområde 22

Tabell 3.4

Objekt öppnade för trafik 2023

Trafikslag

Plantyp

Objektsnamn

 

 

 

Väg

Nationell plan

E4 Salmis–Haparanda

 

 

 

Väg

Nationell plan

E4 Töre–Kalix

 

 

 

Väg

Nationell plan

E18 Djäkneboda–Bygdeå

 

 

 

Väg

Nationell plan

Rv 50 genom Ludvika

 

 

 

Väg

Nationell plan

E20 förbi Skara

 

 

 

Väg

Nationell plan

E20 Vårgårda–Vara

 

 

 

Väg

Nationell plan

E6.20 Hisingsleden, södra delen

 

 

 

Väg

Nationell plan

Rv 25 Sjöatorp–Alvesta V

 

 

 

Väg

Länsplan

Rv 97 S Sunderbyn–Sävast

 

 

 

Väg

Länsplan

Rv 86 Kovland

 

 

 

Väg

Länsplan

Väg 662 Ljustavägen–Östra Birsta

 

 

 

Väg

Länsplan

Rv 63 Förbifart Hjulsta

 

 

 

Väg

Länsplan

Rv 62 Dyvelsten–Forshaga

 

 

 

Väg

Länsplan

Väg 274 Engarns vägskäl

 

 

 

Väg

Länsplan

Väg 136 Rälla–Ekerum

 

 

 

Järnväg

Nationell plan

Sundsvalls hamn, Tunadalsspåret, Malandstriangeln m.m.

 

 

 

Järnväg

Nationell plan

Dingersjö, mötesstationer och kapacitetsförstärkning

 

 

 

Järnväg

Nationell plan

Godsstråket Dunsjö–Jakobshyttan, dubbelspår

 

 

 

Järnväg

Nationell plan

Ängelholm–Maria, dubbelspår

 

 

 

Järnväg

Nationell plan

Falköping–Sandhem–Nässjö, 160 km/h, kapacitet

 

 

 

Järnväg

Länsplan

Nynäsbanan godsanpassning kraft/buller

 

 

 

Källa: Trafikverkets årsredovisning 2024.

Av de objekt som öppnades för trafik under 2023 har 16 av 21 objekt ökat i kostnad, jämfört med den ursprungliga plankostnaden. Sammantaget har kostnaden för de objekt som öppnades för trafik 2023 ökat med 40 procent (motsvarande 4,4 miljarder kronor) jämfört med beräknad kostnad då objekten togs med i planen, omräknat med KPI-KS. KPI-KS baseras på de genomsnittliga prisförändringarna i samhället. Om hänsyn tas till den snabba prisutveckling som har skett till följd av den starka anläggningsbranschen, är antalet objekt som fått en kostnadsökning 14 och den sammantagna kostnadsökningen är 25 procent (3,1 miljarder kronor kronor) jämfört med kostnaden i den nationella planen för transportinfrastruktur för perioden 2022– 2033.

Trafikverket följer upp lönsamheten för objekt fem år efter att de har öppnats för trafik. Uppföljning av 18 namngivna objekt som öppnades för trafik 2019 visar att elva objekt har uppnått den nytta som beskrevs vid fastställelse av dåvarande plan. För två objekt kunde en jämförelse inte göras och för fem objekt bedöms de planerade nyttorna inte vara uppnådda. Orsaken till de icke uppnådda effekterna handlar om att kostnaderna för objekten ökat och att lönsamheten därmed minskat. För elva av objekten bedöms den samhällsekonomiska lönsamheten ha varit positiv, för tre negativ och för fem saknas uppgifter.

34

Prop. 2025/26:1 Utgiftsområde 22

Uppföljning av kostnader för pågående objekt i den nationella trafikslagsövergripande planen för transportinfrastrukturen för perioden 2022–2033

Tabell 3.5 Prognosutveckling för större pågående projekt i nationell plan 2022– 2033

Miljarder kronor

 

Kostnad1

Kostnad1

Kostnad1

Kostnad1

Kostnad1

 

enligt

enligt

enligt

enligt

enligt

 

prognos 31

planbeslut

prognos 31

prognos 31

prognos 31

Objekt

dec 2021

2022–2033

dec 2022

dec 2023

dec 2024

Ostlänken, nytt dubbelspår Järna–

 

 

 

 

 

Linköping

91,6

91,4

91,4

91,4

91,4

 

 

 

 

 

 

Tomteboda–Kallhäll, ökad kapacitet

 

 

 

 

 

(Mälarbanan)

27,1

25,5

25,5

25,5

25,5

 

 

 

 

 

 

Varberg, dubbelspår (tunnel) inklusive

 

 

 

 

 

resecentrum

7,0

6,9

7,8

8,0

8,9

 

 

 

 

 

 

Olskroken, planskildhet

4,4

4,3

4,3

4,3

4,5

 

 

 

 

 

 

Förbifart Stockholm

43,3

41,7

41,7

41,7

51,6

 

 

 

 

 

 

E4/E12 Umeå/Umeåprojektet

3,0

2,7

2,7

3,0

3,0

 

 

 

 

 

 

Ny optoanläggning för ökad kapacitet i

 

 

 

 

 

kommunikationsnät inkl.

 

 

 

 

 

vägklassificering2

 

7,6

 

 

10,4

Godsstråket Hallsberg–Åsbro,

 

 

 

 

 

dubbelspår2

 

4,8

 

 

5,3

E6.21 Göteborgs hamn/Lundbyleden2

 

2,5

 

 

2,9

1Prisår 2021.

2Objekten Ny optoanläggning, Hallsberg–Åsbro och E6.21 Göteborgs hamn/Lundbyleden har tidigare inte redovisats i Trafikverkets årsredovisning. Vissa uppgifter saknas därför.

Källa: Trafikverkets årsredovisningar för åren 2021–2024.

I tabell 3.5 redovisas uppföljning och prognos över kostnaderna för de största pågående namngivna investeringsobjekten i den nationella planen där Trafikverket är infrastrukturhållare. För sju av dessa objekt bedömer Trafikverket att totalkostnaden kommer att öka jämfört med kostnaden i den gällande nationella planen. De tre största ökningarna bedömer Trafikverket blir på objekten Ny optoanläggning för ökad kapacitet i kommunikationsnät (37 procent), Varberg dubbelspår (29 procent) och Förbifart Stockholm (24 procent).

Trafikverket har i årsredovisningen för 2023 omnämnt ytterligare två projekt där prognos lämnats, dels Västsvenska paketet (flera åtgärder), dels utbyggnaden av det europeiska trafikstyrningssystemet för tåg European Rail Traffic Management System (ERTMS) (flera delsträckor). För båda dessa objekt är uppgifterna om de ingående delarnas kostnader inte redovisade. Västsvenska paketet består av flera åtgärder, där järnvägsobjektet Västlänken är den största. Västlänken har enligt Trafikverket ökade kostnader på 20–35 procent, bl.a. för att Trafikverket i januari 2023 hävde kontraktet med entreprenören för etappen Haga. Diskussioner pågår mellan parterna i Västsvenska paketet om fördelning av kostnadsökningen. Västsvenska paketet och ERTMS kommer att särskilt följas upp av regeringen i den fortsatta framdriften.

Uppföljning av länsplaner för regional infrastruktur

Länsplaner för regional transportinfrastruktur upprättas av regionerna i respektive län och i Gotlands kommun. Planerna innehåller investeringar och statlig medfinansiering. I dessa planer kan länsplaneupprättarna även avsätta medel till investeringar i nationella vägar, enskilda vägar och järnvägar. Trafikverket ansvarar för att genomföra de åtgärder som de regionala planupprättarna fastställt i sina länsplaner.

35

Prop. 2025/26:1 Utgiftsområde 22

I tabell 3.6 visas hur stor andel av länsplanerna som har genomförts i förhållande till avsatta medel för varje län. Trafikverket planerar genomförandet av länsplanerna i fyraårsperioder, med målet att utfallet över fyraårsperioden ska vara så jämnt fördelat som möjligt mellan länen. För några län är utfallet högt på grund av större projekt som har krävt en större andel medel under året. För några län är utfallet lågt. Det beror dels på försenade underlag som försenar produktionen, dels på att det krävts omtag i objekt som därför behövt senareläggas.

Tabell 3.6 Uppföljning för länsplaner för regional transportinfrastruktur perioden 2022–2033

Miljoner kronor

 

 

 

Procentuell andel

 

 

Anslagsram enl. beslut

Planerad

genomfört under

Procentuell andel

 

om Nationell plan

genomförandenivå

perioden 2022–

genomfört för hela

Region

2022–20332

2022–2025

2025

planperioden

Stockholm

9 832

3 303

33

11

 

 

 

 

 

Uppsala

1 901

656

30

10

Södermanland

1 148

590

49

21

 

 

 

 

 

Östergötland

1 680

587

31

11

 

 

 

 

 

Jönköping

1 581

626

24

9

Kronoberg

881

142

90

17

 

 

 

 

 

Kalmar

1 068

393

52

18

 

 

 

 

 

Gotland

257

106

13

5

Blekinge

610

284

93

38

 

 

 

 

 

Skåne

5 095

1 723

41

14

 

 

 

 

 

Halland

1 364

488

23

8

Västra Götaland

7 339

2 785

37

13

 

 

 

 

 

Värmland

1 151

334

51

15

 

 

 

 

 

Örebro

1 181

368

102

32

Västmanland

949

351

30

11

 

 

 

 

 

Dalarna

1 294

169

128

21

 

 

 

 

 

Gävleborg

1 093

327

49

15

Västernorrland

1 020

208

87

20

 

 

 

 

 

Jämtland

598

40

90

8

 

 

 

 

 

Västerbotten

1 054

340

37

12

Norrbotten

931

40

257

19

 

 

 

 

 

1Löpande priser.

2Anslagsramar anges i 2021 års prisnivå. Källa: Trafikverkets årsredovisning för 2024.

Vidmakthållande av statens transportinfrastruktur

Vidmakthållande av den statliga väg- och järnvägsanläggningen omfattar att genomföra nödvändiga drift- och underhållsåtgärder av de anläggningar som är i drift. Syftet är att hålla statliga vägar och järnvägar framkomliga och bevara dem så att den avsedda funktionen kan upprätthållas under hela livstiden och därmed bidra till att de transportpolitiska målen nås. Underhållsåtgärder är endast kostnadseffektiva till en viss punkt i nedbrytningsprocessen och därefter krävs en reinvestering av de delar av anläggningen som har uppnått sin tekniska livslängd för att undvika onödigt höga underhållskostnader. Underhållet ska bidra till att anläggningen är robust, kan erbjuda en hög kapacitet och användbarhet samt en god punktlighet. Under 2024 drabbades transportsystemet av vissa omfattande kritiska incidenter och händelser som Trafikverket har behövt hantera. Till exempel startade året med ett extremt snöoväder som påverkade stora delar av landet i januari och ställde till med oreda för väg- och

36

Prop. 2025/26:1 Utgiftsområde 22

järnvägstrafiken på flera håll, men kanske allra mest på väg E22 i Skåne. Malmbanan drabbades under december 2023 av en urspårning som medförde omfattande skador på anläggningen med totalstopp som följd. Reparationsarbetet genomfördes under mycket svåra vinterförhållanden och kunde färdigställas först en bit in på 2024. Uppemot 100 personer arbetade dygnet runt för att minimera påverkan av uteblivna transporter. Återställningen av skredet vid väg E6 i Stenungsund, vilket inträffade hösten 2023, kunde genomföras snabbare än planerat och motorvägen öppnades långt tidigare än den ursprungliga tidplanen och stod klar inför sommarsemestern 2024. Dessa stora händelser tillsammans med den dagliga verksamheten förutsätter att Trafikverket agerar med sin underhållsorganisation i väg- och järnvägsanläggningarna. Det sker ofta i samverkan med andra myndigheter, kommuner och näringslivet. Åtgärder prioriteras utifrån samhällsnytta, kostnadseffektivitet och anläggningens tillstånd. Trafikverkets anslag för underhållsverksamheten under 2024 framgår av tabell 3.7.

Tabell 3.7 Anslagstilldelning vidmakthållande av statens transportinfrastruktur

Miljoner kronor

 

2019

2020

2021

2022

2023

2024

 

 

 

 

 

 

 

Drift och underhåll av vägar

11 621

11 978

12 207

13 250

14 317

15 813

 

 

 

 

 

 

 

Bärighet och tjälsäkring av vägar

1 231

1 242

1 484

1 533

1 670

1 850

 

 

 

 

 

 

 

Bidrag för drift av enskild väg

1 211

1 273

1 308

1 309

1 328

1 613

 

 

 

 

 

 

 

Drift, underhåll och trafikledning järnväg

9 320

12 6051

14 7842

14 764

13 636

15 698

Totalt

23 383

27 098

29 783

30 856

30 951

34 974

 

 

 

 

 

 

 

1Innehåller en jämförelsestörande post avseende energiskatt på el för tågdrift omfattande 1 533 miljoner kronor.

2Innehåller en jämförelsestörande post avseende energiskatt på el för tågdrift omfattande 453 miljoner kronor. Källa: Trafikverkets regleringsbrev.

Vägunderhållet säkerställer och förbättrar framkomligheten

Under 2024 ökade verksamhetsvolymen för vägunderhåll jämfört med föregående år. Under året fortsatte Trafikverket att genomföra ett utökat antal åtgärder till följd av bl.a. regeringens genomförda särskilda satsningar på förbättrat vägunderhåll av såväl de statliga som enskilda vägarna. Exempel på åtgärder som har utförts inom väg- underhållet i hela landet är beläggnings-, belysnings-, avvattnings- och brounderhåll.

En viktig verksamhet för att säkerställa framkomlighet och användbarhet är beläggningsunderhåll. Statusen på de belagda vägarna påverkas även av andra åtgärder som t.ex. avhjälpande underhåll och bärighetshöjande åtgärder. Nedlagda kostnader för beläggningsunderhåll varierar mellan olika vägtyper, se tabell 3.8. Variationerna mellan åren är små. Fördelningen mellan de olika vägtyperna är representativ utifrån hur mycket trafik som går på vägarna, eftersom mer trafikerade vägar slits mer och har en snabbare nedbrytning och därför behöver mer underhåll än mindre trafikerade vägar.

37

Prop. 2025/26:1 Utgiftsområde 22

Tabell 3.8 Kostnader för förebyggande beläggningsåtgärder för respektive vägtyp

Kronor per kvadratmeter väg per år

Vägtyp

 

Andel av total

Trafikarbete,

 

 

 

 

 

 

 

vägyta, procent

procent

2019

2020

2021

2022

2023

2024

 

 

 

 

 

 

 

 

 

Vägar i storstadsområden

2

13

7

9

9

9

7

7

 

 

 

 

 

 

 

 

 

Vägar som bildar större

 

 

 

 

 

 

 

 

sammanhängande stråk

19

40

4

6

5

6

5

8

 

 

 

 

 

 

 

 

 

Vägar för dagliga resor och

 

 

 

 

 

 

 

 

arbetspendling

28

30

5

5

4

5

7

4

 

 

 

 

 

 

 

 

 

Övriga för näringslivet viktiga

 

 

 

 

 

 

 

 

vägar

27

11

3

2

2

3

2

2

 

 

 

 

 

 

 

 

 

Vägar som är viktiga för

 

 

 

 

 

 

 

 

landsbygden

4

1

1

2

3

3

3

2

 

 

 

 

 

 

 

 

 

Övriga vägar

20

5

2

2

2

2

2

2

 

 

 

 

 

 

 

 

 

Totalt

100

100

3

4

4

4

4

4

 

 

 

 

 

 

 

 

 

Källa: Trafikverket.

 

 

 

 

 

 

 

 

En väl fungerande vinterväghållning är en viktig förutsättning för att säkerställa framkomligheten under vintermånaderna. Enligt Trafikverkets bedömningar verkar förekomsten av extremväder med stora nederbördsmängder öka, liksom antalet väder- omslag. Det kan öka risken för halka och tjälskador. Perioderna med stabil vinter tenderar att bli kortare i norra Sverige. Året inleddes med mycket snö och vind i de södra och västra delarna av landet. I januari uppstod det stopp på väg E22 i Skåne. Övriga delar av landet hade en mer normal start på vintern. Trafikverket har under 2024 och 2025 arbetat med att förbättra vinterväghållningen, bl.a. till följd av ett regeringsuppdrag som omfattade att bl.a. upprätta en handlingsplan för förbättrad vinterväghållning. Kostnaden för vinterväghållning under 2024 var 2 609 miljoner kronor vilket är knappt 70 miljoner kronor lägre än föregående år.

Riksdagen har tillkännagett för regeringen det som utskottet anför om vinterväg- hållning (bet. 2021/22:TU7 punkt 24, rskr. 2021/22:152). Av tillkännagivandet följer att regeringen bör se över hur Trafikverket utformar upphandlingar med entreprenörer så att det är möjligt att – inom rimliga tidsramar – utföra snöröjning, såväl åt staten som åt enskilda vägsamfälligheter (bet. 2021/22:TU7 s. 135). Den

7 september 2023 beslutade regeringen att ge en s.k. bokstavsutredare i uppdrag att se över reglerna för statsbidrag till enskild väghållning. I uppdraget ingick också att analysera förordningens tillämpningsområde och Trafikverkets roll i den enskilda väghållningen och lämna nödvändiga förslag till förändringar. Utredaren redovisade uppdraget den 30 juni 2024 i promemorian Statsbidrag till enskild väghållning (LI2024/01755). En ny förordning om statsbidrag till enskild väghållning föreslås ersätta den nuvarande förordningen (1989:891) om statsbidrag till enskild väghållning. Utredaren konstaterar i sin redovisning att Trafikverket bör upprätthålla och vidare- utveckla det arbete med information, rådgivning och samverkan som syftar till att underlätta för enskilda väghållare att få tillgång till entreprenörer för vinterunderhåll. Regeringen instämmer i att Trafikverket fortsatt bör uppmuntra enskilda väghållare att samarbeta med varandra, för att på så sätt öka förutsättningarna för en kostnads- effektiv vinterväghållning. Regeringen instämmer i utredningens förslag att en ny förordning ska ersätta den nuvarande i syfte att tydliggöra ändamålet, förut- sättningarna och formerna för bidrag till enskild väghållning. Regeringen instämmer även i utredarens förslag att Trafikverkets serviceskyldighet gentemot enskilda väg- hållare bör förtydligas och att det införs en skrivning i Trafikverkets instruktion att myndigheten på ett kostnadseffektivt sätt ska tillhandahålla lättillgänglig, kvalificerad och behovsanpassad information och rådgivning till enskilda väghållare. Sammantaget bedömer regeringen att den nya förordningen kommer skapa förutsättningar för att

38

Prop. 2025/26:1 Utgiftsområde 22

förtydliga och förbättra processen kring den statliga bidragsgivningen till de enskilda väghållarna. Regeringen har den 19 juni 2025 fattat beslut om en ny förordning avseende statsbidrag till enskild väghållning och ändrat i Trafikverkets instruktion. Förordningarna träder i kraft den 1 januari 2026. Regeringen anser därmed att riksdagens tillkännagivande är tillgodosett och slutbehandlat.

För att bibehålla eller återställa vägnätets robusthet och kapaciteten har Trafikverket under året genomfört bärighetsåtgärder. Huvuddelen av de tunga vägtransporterna går på de större vägarna som är dimensionerade för att klara tunga laster. Av det statliga vägnätet håller ca 96 procent de högsta bärighetsklasserna BK1 eller BK4. På dessa vägar går mer än 99 procent av trafikarbetet. På de mindre vägarna förekommer det bärighetsrestriktioner, vilket påverkar främst skogsbruket och jordbruket som genererar tunga transporter. Inom bärighetsanslaget utförs även förebyggande åtgärder för att klara av exempelvis stormar och skred till följd av klimatförändringar. I den nu gällande nationella trafikslagsövergripande planen för transportinfrastrukturen för perioden 2022–2033 har medel för bärighetsåtgärder fördelats för en fortsatt successiv utbyggnad av ett vägnät för tyngre transporter. Under 2024 genomförde Trafikverket åtgärder för att höja bärigheten till BK4 på flera broar. Bland annat färdigställdes två större broutbyten i Mellersta regionen vid väg E4 och trafikplats Mehedeby samt över Glamsbäcken. För hela det statliga vägnätet öppnades under 2024 ytterligare ca 2 913 kilometer väg för BK4. Totalt har 44 311 kilometer statliga vägar öppnats för BK4.

Högre verksamhetsvolymer för järnvägsunderhållet möjliggör fler underhållsåtgärder

För att hålla järnvägsnätet tillgängligt och med en hög säkerhet för användarna genomförs underhåll av bl.a. spår, spårväxlar, broar, tunnlar och kontaktledningar. Trafikverkets verksamhetsvolym för drift och underhåll av den statliga järnvägen ökade under 2024 jämfört med både 2022 och 2023. Det innebär att Trafikverket fortsatt har kunnat utföra fler underhållsåtgärder och bl.a. kunnat öka andelen förebyggande åtgärder, t.ex. reinvesteringar, komponentbyten och ett förstärkt underhåll. Underhållsverksamheten på järnväg finansieras utöver av anslagsmedel även av intäkter från banavgifter. Banavgiftsintäkterna uppgick under 2024 till

2 404 miljoner kronor vilket innebär att de finansierade ca 14 procent av Trafikverkets totala verksamhetsvolym för drift och underhåll av järnvägen. För att använda resurserna så långsiktigt effektivt som möjligt har Trafikverket prioriterat underhållet på ett sätt som skapar mesta möjliga nytta för järnvägens slutanvändare. Prioriteringar av verksamheten framgår av Trafikverkets underhållsplan avseende perioden 2024– 2027. Planen, som uppdateras årligen, utgår från den nationella planen för transport- infrastrukturen och Trafikverkets underhållsstrategier.

Förutsättningar i den nu gällande nationella trafikslagsövergripande planen för transportinfrastrukturen för perioden 2022–2033 är att Trafikverket kan säkerställa grundläggande funktioner för framkomlighet, säkerhet och tillgänglighet för hela det statliga järnvägsnätet. Trafikverket genomför en särskild satsning för att ta igen det eftersläpande underhållet på fyra särskilt utpekade flöden: Malmbanan, Luleå– Hallsberg, Södra stambanan och Västra stambanan. Dessa flöden har tagits fram i branschsamverkan och är viktiga för person- och godstrafiken. Exempel på större reinvesteringar som genomförts under året är spårbyte på Malmbanan, kontakt- ledningsbyte på sträckan Västeraspby–Långsele och Älmhult–Hässleholm samt flera utbyten av växlar på olika platser i landet. Från och med 2023 så förekommer det inte längre några trafikpåverkande hastighetsnedsättningar i järnvägsnätet på grund av bristande underhåll.

Tabell 3.9 visar antalet kronor per tågkilometer för 2019–2024 och antalet kronor per spårmeter för underhåll och reinvesteringar under 2024 (tågkilometer motsvarar trafikering). Antalet kronor per tågkilometer är högre på bantypen övriga för

39

Prop. 2025/26:1 Utgiftsområde 22

näringslivet viktiga banor på grund av att det går relativt lite trafik på dessa banor i förhållande till kostnaden för underhållet. Förändringar från år till år beror främst på vilka större reinvesteringar som genomförs och hur trafikeringen förändras. Reinvesteringar som ledde till en ökning av antalet kronor per tågkilometer 2024 var tunnelåtgärder, spår- och växelbyten samt ett större ställverksbyte på övriga för näringslivet viktiga banor. Även spårbyten på Malmbanan har påverkat övriga för näringslivet viktiga banor. År 2020 påverkades av en minskad trafikering på grund av pandemin, vilket har bidragit till att antalet kronor per tågkilometer ökade generellt under 2020.

Tabell 3.9 Underhåll och reinvesteringar i kronor per bantyp i förhållande till antalet tågkilometer och antalet spårmeter

Kronor per tågkilometer per år

Bantyp

Miljoner

 

 

 

Kronor per

 

 

 

 

 

 

 

tågkilometer

Andel,

 

Andel,

spårmeter

 

 

 

 

 

 

 

2024

procent

Spårkilometer

procent

2024

2019

2020

2021

2022

2023

2024

 

 

 

 

 

 

 

 

 

 

 

 

Storstad

40,6

25

1 361

9

880

38

49

38

29

32

29

 

 

 

 

 

 

 

 

 

 

 

 

Större stråk

67,8

41

4 480

30

597

28

24

31

45

40

39

 

 

 

 

 

 

 

 

 

 

 

 

Godstransporter

 

 

 

 

 

 

 

 

 

 

 

och resandetrafik

42,6

26

4 401

30

868

51

54

43

60

62

90

 

 

 

 

 

 

 

 

 

 

 

 

Dagliga resor och

 

 

 

 

 

 

 

 

 

 

 

arbetspendling

12,3

7

2 345

16

803

57

95

133

101

172

153

 

 

 

 

 

 

 

 

 

 

 

 

Övriga för

 

 

 

 

 

 

 

 

 

 

 

näringslivet viktiga

 

 

 

 

 

 

 

 

 

 

 

banor

1,3

1

1 332

9

801

244

409

378

730

504

839

 

 

 

 

 

 

 

 

 

 

 

 

Ringa eller ingen

 

 

 

 

 

 

 

 

 

 

 

trafik

0,0

0

339

2

27

0

0

0

0

0

0

 

 

 

 

 

 

 

 

 

 

 

 

Rangerbangårdar

0,8

0

331

2

1 384

473

662

1 004

656

636

596

 

 

 

 

 

 

 

 

 

 

 

 

Övriga bangårdar

0,0

0

214

1

664

0

0

0

0

0

0

 

 

 

 

 

 

 

 

 

 

 

 

Totalt

165,4

100

14 803

100

760

43

50

51

58

61

68

 

 

 

 

 

 

 

 

 

 

 

 

Källa: Trafikverket.

 

 

 

 

 

 

 

 

 

 

 

Regeringens bedömning av måluppfyllelsen

Fortsatta utmaningar att nå det övergripande transportpolitiska målet

Regeringen bedömer att det övergripande transportpolitiska målet inte har nåtts eftersom merparten av indikatorerna har försämrats eller ligger kvar på samma nivå som när målen antogs. Påverkan av väderrelaterade händelser på transportsystemet var mindre under 2024 än 2023, men skapade ändå utmaningar för tillgängligheten i delar av landet under 2024. Den internationella osäkerheten, som krig i Ukraina och i Mellanöstern, finansiell oro och handelspolitiska spänningar, påverkar också transportsektorn negativt. Tillgängligheten för både gods- och persontransporter bedöms befinna sig på en ungefär likvärdig nivå som när de transportpolitiska målen antogs. Transportkostnaderna för godstransporter ökar och det finns fortsatt stora geografiska variationer i tillgängligheten för persontransporter. Den sammantaget negativa trenden för utvecklingen av transportsystemets standard och tillförlitlighet fortsatte under 2024. Under 2024 genomfördes dock ett utökat antal underhålls- åtgärder i såväl väg- som järnvägsnäten vilka i viss utsträckning bidragit till att förbättra robustheten och tillförlitligheten med en bättre framkomlighet som följd. För samtliga indikatorer finns tydliga geografiska tillgänglighetsskillnader, vilka tenderar att befästas och även öka över tid. Transportförsörjningen bedöms inte vara samhällsekonomiskt effektiv, då transportköparen i de flesta fall inte betalar för alla de kostnader som transporten orsakar, även om det finns undantag. En positiv trend är att antalet omkomna och allvarligt skadade i transportsystemet totalt sett minskat sedan målen antogs 2009, så även mellan 2023 och 2024. Även växthusgasutsläppen

40

Prop. 2025/26:1 Utgiftsområde 22

har minskat över tid, även om denna trend bröts under 2024, då utsläppen i stället ökade. Transporternas ekonomiska överkomlighet har förbättrats sedan målen antogs, vilket bl.a. beror på minskade kostnader för att köra bil under det senaste året.

Trots att den sammantagna utvecklingen visar på fortsatta utmaningar för att nå de transportpolitiska målen, och efter många år av otillräckliga satsningar i tidigare nationella planer, bedömer regeringen att den historiskt kraftiga satsningen som kommande tolv år ska genomföras på underhåll av vägar och järnvägar samt på nya investeringar, kommer att ha en positiv inverkan på utvecklingen. Riksdagens beslut om ekonomiska ramar för en ny nationell plan bedöms medge att hela underhålls- skulden inom vägsystemet kan återtas. Trafikverket får också möjlighet att återta så mycket av det eftersläpande underhållet inom järnvägen som myndigheten bedömer är möjligt. Enligt regeringen kommer denna satsning att bidra till ett robust och effektivt samt långsiktigt hållbart transportsystem i hela landet där människors vardag fungerar och företagen kan fortsätta att driva och utveckla sin verksamhet.

Det övergripande målet att säkerställa en samhällsekonomiskt effektiv och långsiktigt hållbar transportförsörjning för medborgare och näringsliv i hela landet kräver fortsatt en effektiv, hållbar och modern transportpolitik som genomförs i samarbete och samverkan mellan politiken, näringslivet och forskningen.

Funktionsmålet har i några delar fortsatt utvecklats i negativ riktning medan andra delar sammantaget inte förändrats märkbart

Utvecklingen för att kunna nå funktionsmålet bedöms sammantaget ha haft en negativ riktning sedan målen antogs. Transportsystemets standard och tillförlitlighet fortsatte försämras under 2024, framför allt på grund av fortsatt låga nivåer på underhållet i förhållande till behoven vilket bl.a. avspeglar sig i en låg punktlighet inom järnvägs- trafiken, men även inom vägtrafiken ligger det totala antalet stillastående fordons- timmar högre än när målen antogs. Den negativa trenden för kvalitet och driftsäkerhet har på en övergripande nivå fortsatt, om än med mindre förändringar än tidigare år. Tillgängligheten för både gods- och persontransporter har haft små förändringar de senaste åren men bedöms ändå vara på samma nivå som när de transportpolitiska målen antogs. Däremot noteras en högre punktlighet inom inrikesflyget. Transport- kostnaderna ligger till viss del kvar på höga nivåer, till följd av internationella störningar i transportsystemet.

Användbarheten av transportsystemet för olika grupper har, bortsett från pandemi- åren, sammantaget inte förändrats märkbart sedan målen antogs och inte heller under 2024. Jämställdheten inom transportområdet bedöms på en övergripande nivå inte ha förändrats märkbart. Den sammantagna skillnaden i körkortsinnehav mellan kvinnor och män har minskat något, men varierar stort inom olika åldersgrupper. Även kvinnors representation i beslutande organ ligger totalt sett på ungefär samma nivå som när målen antogs, men varierar mellan typ av organisation. Transportbranschens förutsättningar har utvecklats negativt mot bakgrund av att antalet innehavare av körkort med behörigheterna C och D har minskat och medianåldern för dem med körkort med behörighet D fortsätter att öka.

Utvecklingen mot att nå hänsynsmålet har sammantaget inte förändrats

Bedömningen är att utvecklingen mot att nå hänsynsmålet sammantaget fortsatt är oförändrad jämfört med när målen antogs vilket även gäller för 2024. Vissa indikatorer har förbättrats medan andra försämrats eller ligger kvar på samma nivå. Omkomna och allvarligt skadade har minskat sedan 2009 och en minskning har även skett under 2024. Olyckor med vilt och ren fortsätter att öka över tid och så även under 2024. Växthusgasutsläppen har minskat sedan 2010 men ökade kraftigt under 2024, främst

41

Prop. 2025/26:1 Utgiftsområde 22

som en följd av den sänkta reduktionsplikten och sänkta drivmedelsskatter. Åtgärds- takten behöver därför öka för att etappmålet för 2030 ska nås i tid.

Påverkan på människors livsmiljö har försämrats sedan målen antogs, då t.ex. fler personer är utsatta för bullernivåer över gränsvärden. Andelen personer som använder fysiskt aktiv transport är liten och har minskat över en längre tidsperiod. Däremot har luftkvaliteten förbättrats något. Den sammantagna påverkan på naturmiljön och kulturlandskapet har inte förändrats på ett avgörande sätt sedan målen antogs och inte heller under 2024.

3.4Politikens inriktning

Ett väl fungerande, långsiktigt hållbart och tillförlitligt transportsystem är en förutsättning för att hela Sverige ska fungera. Genom målmedvetna beslut där trafik- slagen inte ställs mot varandra utan i stället ges förutsättningar att komplettera varandra kan transporteffektivitet och de transportpolitiska målen nås. På så sätt underlättas människors vardag med resor till jobb och utbildning. Vidare stärks förutsättningarna för en effektiv godstrafik som främjar jobb, stärkt konkurrenskraft och tillväxt i hela landet, samtidigt som god tillgänglighet bidrar till ökat bostads- byggande.

Regeringen har från början av mandatperioden varit tydlig med att det är underhåll av den befintliga infrastrukturen som ska prioriteras då det bidrar till en välfungerande transportinfrastruktur som stärker såväl Sveriges samlade konkurrenskraft som regional utveckling. Detta arbete behöver fortsätta. Under lång tid har underhållet av befintliga vägar och järnvägar prioriterats ned och verksamheten har tillförts för lite resurser. Underhållsskulden har tillåtits växa. För att bryta denna negativa trend genomförs på regeringens initiativ historiskt stora satsningar på infrastrukturen genom att markant öka de ekonomiska ramarna för underhåll av vägar och järnvägar och för nya investeringar för den kommande nationella planen för transportinfrastrukturen för perioden 2026–2037 jämfört med den nu gällande planen. Den kommande planen skapar förutsättningar för att underhållsskulden återtas så långt som Trafikverket bedömer är möjligt under planperioden på järnvägen och helt kan arbetas bort på vägarna. Parallellt med att minska underhållsskulden har på regeringens initiativ den ekonomiska ramen för utveckling av transportinfrastrukturen också utökats, vilket skapar möjligheter för att genomföra investeringar i ny transportinfrastruktur. Sammantaget bedömer regeringen att detta ökar förutsättningarna för en robust transportinfrastruktur.

Även andra satsningar har genomförts under mandatperioden. Exempelvis har det statliga bidraget till kommuner för driftstöd till regionala flygplatser ökat, skatten på flygresor avskaffats samt stämpelskatten vid inteckning i skepp slopats. Regeringen fortsätter målmedvetet att bygga ut laddinfrastrukturen för personbilar och tunga fordon, och främja introduktionen av eldrivna fordon. Genom investeringsstödet för godstransporter och miljökompensationen för gods på järnväg har regeringen också aktivt drivit på klimatomställningen av transportsektorn. Vidare har på regeringens initiativ väsentliga satsningar genomförts inom det civila försvaret för transport- sektorn. Det strategiska arbetet med godstransporter fortsätter med utgångspunkten i ett godstransportsystem där trafikslagen ska komplettera varandra utifrån sina respektive fördelar.

Nu tas ytterligare steg i regeringens strävan att hela Sverige ska fungera. För att göra det ännu mer attraktivt att bo, leva, och verka i hela landet lägger nu regeringen extra fokus på sjöfarten och luftfarten. Sjöfartsverkets ekonomiska förutsättningar behöver stärkas liksom transportbranschernas konkurrenskraft. Regeringen vill fortsätta stärka

42

Prop. 2025/26:1 Utgiftsområde 22

befintlig infrastruktur för hela landet och föreslår ökat stöd till sjö- och flygräddning samt till icke-statliga flygplatser. För att underlätta fortsatta godstransporter på järnväg föreslår regeringen också att den befintliga miljökompensationen för godstransporter på järnväg ska förstärkas. Ytterligare satsningar görs på civilt försvar och samtidigt fortsätter arbetet att påskynda transportsektorns klimatomställning genom nya åtgärder. I arbetet med att skapa en robust och tillförlitlig transportinfrastruktur ska klimatrelaterade risker fortsatt integreras och hanteras.

Ökad konkurrenskraft på transportmarknaderna

Regeringen avser att ytterligare stärka svensk sjöfarts konkurrenskraft genom att genomföra förbättringar av systemet med tonnagebeskattning som möjliggör för fler företag och fartyg att kunna omfattas. Detta kan på sikt bidra till fler svenskflaggade fartyg.

Kostnaderna i Sjöfartsverkets anslagsfinansierade verksamhet har under lång tid inte åtföljts av en motsvarande anslagsökning. Därför föreslår regeringen att anslagsnivån förstärks för att stärka Sjöfartsverkets ekonomi långsiktigt. Därmed förbättras också förutsättningarna för sjöfarten.

Luftfartens konkurrenskraft behöver stärkas. Fortsatta negativa effekter av den tidigare pandemin, sanktioner och stängda luftrum till följd av Rysslands fullskaliga invasion av Ukraina samt delvis ändrade resvanor har lett till stora utmaningar för luftfarten. Regeringen föreslår därför åtgärder för att förbättra möjligheterna för luftfartens konkurrenskraft.

Flygplatsernas betydelse har även ökat ur ett beredskaps- och totalförsvarsperspektiv, samtidigt som det ekonomiska underskottet för det icke-statliga flygplatskollektivet som helhet har ökat. För att motverka risken för nedläggningar av flygplatser, föreslår regeringen att staten bör delfinansiera upp till 75 procent av de totala drift- underskotten vid de icke-statliga flygplatserna. Samtidigt föreslår regeringen en höjd ersättning till 27 beredskapsflygplatser med ambitionen att uppnå full kostnads- täckning för flygplatsernas jourberedskap för samhällsviktigt flyg under tider på dygnet då flygplatserna är stängda.

Stockholm-Arlanda flygplats har haft en svagare passagerarutveckling än flera övriga nordiska storflygplatser och återhämtningen efter pandemin går långsammare än i många andra europeiska länder. För att stärka Stockholm-Arlanda flygplats konkurrenskraft och Sverige som besöksland föreslår regeringen att medel tillförs Transportstyrelsen för arbetet med att förbättra förutsättningar till nya internationella flyglinjer genom ambitiösa luftfartsavtal och effektiv tillståndshantering samt tillskott för att främja samarbetet mellan berörda aktörer för att attrahera fler direktlinjer till Sverige och Stockholm-Arlanda flygplats.

Verksamheten för typgodkännande inom vägtrafikområdet har vuxit kraftigt sedan Storbritanniens utträde ur EU inleddes. Den nuvarande finansieringen via anslag är inte tillräckligt flexibel för att hantera en växande och svårförutsägbar verksamhet. För att ge Transportstyrelsen förutsättningar att erbjuda fordonstillverkarna en förutsägbar typgodkännandeprocess och långsiktiga planeringsförutsättningar föreslår regeringen att redovisningen av inkomsterna från avgifter inom verksamheten för typ- godkännande inom vägtrafikområdet ändras så att de kan disponeras av myndigheten.

Som en del i arbetet med att förbättra myndigheternas kontroller och bidra till digitaliseringen av transportsektorn föreslår regeringen att Trafikverket tilldelas medel för de kostnader för utveckling och förvaltning av den s.k. eFTI-sluss som Sverige enligt EU-regelverket om elektronisk godstransportinformation är skyldig att upprätta.

43

Prop. 2025/26:1 Utgiftsområde 22

För att stärka järnvägens konkurrenskraft föreslår regeringen en höjning av miljö- kompensationen för godstransporter på järnväg, utöver den tidigare beslutade förlängningen av miljökompensationen under perioden 2026–2030. Höjningen förutsätter att Europeiska kommissionen godkänner stödet.

Insatser för ökad robusthet och säkerhet inom transportområdet

Mot bakgrund av det försämrade säkerhetspolitiska läget uppstår ökade behov av förstärkt robusthet och säkerhet inom transportområdet. Beredskapssektorn transporter är mycket viktig för att upprätthålla samhällsviktig verksamhet, bl.a. för andra beredskapssektorer, Sveriges försörjningsförmåga och Försvarsmaktens behov. Trafikverket som sektorsansvarig myndighet och de övriga beredskapsmyndigheterna i sektorn behöver förbättrade förutsättningar för att kunna öka sin förmåga vid höjd beredskap och ytterst krig. Militär rörlighet, värdlandsstöd samt behovs- och försörjningsanalyser är prioriterade områden, utifrån de krav som kan ställas på Sverige som Natomedlem. Ytterligare åtgärder kan därför behöva genomföras.

Med utgångspunkt i det uppdrag som regeringen gav Trafikverket den 26 juni 2025 att med utgångspunkt i Försvarsmaktens behov av militär rörlighet, vidta åtgärder som syftar till att upprätthålla fortsatt tågfärjetrafik mellan Sverige och Tyskland till och med 2031 (LI2025/01300), föreslår regeringen att medel tillförs för genomförandet av uppdraget.

Regeringen anser att den interregionala tillgängligheten som den av staten upphandlade trafiken skapar bör upprätthållas. Därför föreslår regeringen att ytterligare medel tillförs för statens trafikavtal för 2026. Vidare stärker regeringen främjandet av vardagsrörelse för att bidra till en bättre hälsa i befolkningen, vilket bidrar till hänsynsmålet, se även utgiftsområde 9 Hälsovård, sjukvård och social omsorg, avsnitt 4.

Förbättrade förutsättningar för myndigheternas verksamhet och kontroll

Regeringen fortsätter sitt arbete för att uppnå en ökad transparens och bättre budget- disciplin bl.a. genom separering av Trafikverkets förvaltningskostnader. I syfte att uppnå en ökad transparens föreslås medel omfördelas från flera anslag som Trafikverket disponerar inom utgiftsområde 22 Kommunikationer till myndighetens förvaltningsanslag. Vidare föreslås att ändamålen för vissa av anslagen ändras för att öka såväl transparensen som underlätta styrningen av verksamheten.

Arbetet med effektivisering av Trafikverkets verksamhet fortsätter. Regeringen föreslog i budgetpropositionen för 2025 att Trafikverkets arbete med effektivisering av den egna verksamheten genom att bl.a. minska myndighetens interna kostnader skulle minska storleken på Trafikverkets två stora sakanslag samt myndighetens förvaltningsanslag med 600 miljoner kronor fr.o.m. 2026. Regeringen föreslår nu att Trafikverkets förvaltningsanslag minskas med ytterligare 300 miljoner kronor fr.o.m. 2026.

Regeringen har gett en särskild utredare i uppdrag att utreda effektivitetsvinster genom alternativa former för organisering och genomförande av statlig transportinfrastruktur för att få ut mer nytta och snabbare resultat av de medel som anslås (dir. 2025:66).

Regeringen avser att återkomma i denna del i samband med arbetet med nationell planering av den statliga transportinfrastrukturen.

Trafikanalys statistikproduktion behöver framtidssäkras genom modernisering och digitalisering, framför allt i syfte att bibehålla och öka kvaliteten men även utifrån ett förenklingsperspektiv. Regeringen föreslår därför att medel för detta ökas.

44

Prop. 2025/26:1 Utgiftsområde 22

Regeringen fortsätter att vidta åtgärder för att öka effektiviteten i den offentligt finansierade verksamheten. Statsförvaltningen behöver bli mer ändamålsenligt organiserad och antalet myndigheter bör minska, se utgiftsområde 2 Samhällsekonomi och finansförvaltning, avsnitt 4.5 och Förslag till statens budget, finansplan m.m. avsnitt 1.1. Regeringen bedömer att ett antal organisationsförändringar bör genom- föras och avser därför att bilda en samlad analys- och utvärderingsmyndighet med ansvar för tillväxt och infrastruktur genom att överföra och inordna Trafikanalys samtliga uppgifter i Myndigheten för tillväxtpolitiska utvärderingar och analyser (Tillväxtanalys) samt att avveckla Trafikanalys. Organisationsförändringen ska träda i kraft den 1 januari 2027.

Regeringen avser också att fortsätta arbetet med att se över de medicinska kraven för körkortstillstånd, vilket väntas innebära en minskad belastning på hälso- och sjuk- vården och frigöra tid för annan vård.

Insatser för transportsektorns klimatomställning

Regeringens åtgärder för att påskynda klimatomställningen inom transportsektorn görs huvudsakligen inom utgiftsområde 20 Klimat, miljö och natur och utgiftsområde 21 Energi. Regeringen föreslår ett förlängt stöd för marknadsintroduktion av lätta el- lastbilar samt en förstärkning av Klimatklivet som bl.a. kan användas för utbyggnad av laddinfrastruktur för fordon, se vidare utgiftsområde 20 Klimat, miljö och natur, avsnitt 3.22.

Hinder i elektrifieringen av transportområdet behöver undanröjas. Betänkandet Mot en effektiv elektrifiering av transportsystemet (SOU 2024:97) har nyligen remitterats och kommer att ligga till grund för regeringens fortsatta arbete inom området.

Det är fortsatt angeläget att verka för att en ökad samverkan mellan berörda aktörer kommer till stånd i syfte att öka produktionen och användningen av fossilfria driv- medel i flyg- och sjöfartssektorn. En s.k. bokstavsutredare har i uppdrag att föreslå konkreta åtgärder för att säkerställa tillgången till hållbara, fossilfria och koldioxidsnåla drivmedel inom luftfarten och sjöfarten (LI 2025:C).

3.5Budgetförslag

3.5.11:1 Utveckling av statens transportinfrastruktur

Tabell 3.10 Anslagsutveckling 1:1 Utveckling av statens transportinfrastruktur

Tusental kronor

2024

Utfall

32 872 106

Anslagssparande

11 906 738

 

 

 

 

 

2025

Anslag

41 443 9891

Utgiftsprognos

39 487 274

2026

Förslag

46 386 804

 

 

2027

Beräknat

48 706 5192

 

 

2028

Beräknat

52 700 2943

 

 

1Inklusive beslut om ändringar i statens budget 2025 och förslag till ändringar i samband med denna proposition.

2Motsvarar 48 502 614 tkr i 2026 års prisnivå.

3Motsvarar 51 813 098 tkr i 2026 års prisnivå.

Ändamål

Anslaget får användas till utgifter för

investeringar och bidrag i syfte att utveckla transportinfrastrukturen i enlighet med de transportpolitiska målen och åtgärder som bidrar till att upprätthålla tågfärjetrafik för Försvarsmaktens behov,

45

Prop. 2025/26:1 Utgiftsområde 22

byggherrekostnader direkt relaterade till Trafikverkets samhällsinvesteringar,

ränta och amortering på upptagna lån för infrastrukturprojekt,

infrianden av betalningsutfästelser för aktieägartillskott, kapitaltäckningsgarantier och kreditförluster enligt riksdagens beslut,

teknikutveckling som kommer att användas i infrastrukturanläggningen samt åtgärder i nationalstadsparken,

forsknings- och innovationsinsatser inom transportområdet,

åtgärder förknippade med statens miljöansvar inom transportområdet,

åtgärder för beredskap samt civilt försvar och därtill kopplade förvaltningskostnader, samt

anskaffning och förvaltning av markbaserad navigeringsutrustning för flygplatser.

Skälen för regeringens förslag

Tabell 3.11 Förändringar av anslagsnivån 2026–2028 för 1:1 Utveckling av statens transportinfrastruktur

Tusental kronor

 

2026

2027

2028

Anvisat 20251

41 028 989

41 028 989

41 028 989

Pris- och löneomräkning2

1 170 685

1 347 662

1 892 838

Beslutade, föreslagna och aviserade åtgärder

4 187 130

6 329 868

9 778 466

varav BP263

-1 328 000

-134 000

-134 000

– Omfördelning medel för godsstrategin till anslag 1:3

 

 

 

Trafikverket

-4 000

-4 000

-4 000

– Ändringar finansiell styrning av Trafikverket: korrigering av

 

 

 

beslut BP25

5 000

5 000

5 000

 

 

 

 

– Ändringar finansiell styrning av Trafikverket: renodling

 

 

 

anslag

1 410 000

1 404 000

1 404 000

 

 

 

 

– Borttagande av medel för avbrutet objekt om nytt system

 

 

 

för tågtrafikledning

-1 200 000

 

 

– Minskat bidrag till ideella organisationer

-8 000

-8 000

-8 000

 

 

 

 

– Rättelse inlägg av infrastrukturpropositionen: utveckling

-1 586 000

-1 586 000

-1 586 000

 

 

 

 

– Civilt försvar: Tågfärjetrafik mellan Sverige och Tyskland

55 000

55 000

55 000

Överföring till/från andra anslag

 

 

 

 

 

 

 

Övrigt

 

 

 

 

 

 

 

Förslag/beräknat anslag

46 386 804

48 706 519

52 700 294

1Statens budget enligt riksdagens beslut i december 2024 (bet. 2024/25:FiU10). Beloppet är således exklusive beslut om ändringar i statens budget.

2Pris- och löneomräkningen baseras på anvisade medel 2025. Övriga förändringskomponenter redovisas i löpande priser och inkluderar därmed en pris- och löneomräkning. Pris- och löneomräkningen för 2027–2028 är preliminär.

3Exklusive pris- och löneomräkning.

Regeringen föreslog i propositionen Vägen till en pålitlig transportinfrastruktur – för att hela Sverige ska fungera (prop. 2024/25:28) en ny långsiktig ekonomisk ram för satsningar i transportinfrastrukturen på 1 171 miljoner kronor för perioden 2026–2037 i 2025 års prisnivå. Riksdagen biföll regeringens förslag (bet. 2024/25:TU5, rskr. 2024/25:102). Med anledning av riksdagens beslut ökades anslaget efter förslag i budgetpropositionen för 2025 (prop. 2024/25:1 utg.omr. 22, bet. 2024/25: TU1, rskr. 2024/25:101). Regeringen genomför nu åtgärder som behöver vidtas för att den politiskt överenskomna storleken på den ekonomiska ramen för satsningar i transport- infrastrukturen för perioden 2026–2037 ska uppnås. Under perioden 2026–2028 minskas anslaget totalt med 1 586 000 000 kronor och beräknas minska med

1 586 000 000 kronor 2027 och med 1 586 000 000 kronor 2028. Till följd av detta samt att det föreslås omfördelningar av anslagsmedel mellan anslag och anslagsposter

46

Prop. 2025/26:1 Utgiftsområde 22

avser Regeringskansliet att under hösten bereda frågan om fördelning av anslagsmedel på anslagsposter inför framtagandet av 2026 års regleringsbrev för Trafikverket.

Den finansiella översynen av Trafikverket innebär förutom att medel föreslås omfördelas även att anslagens ändamål behöver ses över. Översynen av anslags- ändamålen leder till att ändamålen föreslås formuleras på en mer övergripande nivå. Jämfört med tidigare föreslås ett ändamål införas som avser byggherrekostnader direkt relaterade till Trafikverkets samhällsinvesteringar. Med detta avses kostnader för ledning, styrning och uppföljning av investeringsåtgärder enligt vedertaget begrepp i bygg- och anläggningsbranschen och motsvarande kostnader inom drift- och underhållsverksamheten.

Regeringen föreslog i budgetpropositionen för 2025 att medel av förvaltningskaraktär fr.o.m. 2026 ska omfördelas från anslagen 1:1 Utveckling av statens transportinfrastruktur och 1:2 Vidmakthållande av statens transportinfrastruktur till anslaget 1:3 Trafikverket (prop. 2024/25:1 utg.omr. 22 avsnitt 3.5.1 och 3.5.2, bet. 2024/25:TU1, rskr. 2024/25:101). Trafikverket har i redovisning av ett regeringsuppdrag att analysera och bedöma konsekvenser av förslag för den finansiella styrningen av myndigheten föreslagit förändringar i anslagsstrukturen. Några av dessa förändringar genomfördes redan efter förslag i budgetpropositionen för 2025 (prop. 2024/25:1, utg.omr.22, avsnitt 3.5, bet. 2024/25:TU1, rskr. 2024/25:101) innan regeringsuppdraget slutredovisades. I det fortsatta analysarbetet har det uppmärksammats ytterligare omfördelningar som behöver göras i syfte att fullfölja den påbörjade förändringen mot ett utökat förvaltningsanslag. Anslaget ökas därför med 5 000 000 kronor fr.o.m. 2026.

I arbetet för att öka tydligheten och renodla de båda anslagen 1:1 Utveckling av statens transportinfrastruktur och 1:2 Vidmakthållande av statens transportinfrastruktur föreslås det att medel omfördelas mellan anslagen. Anslaget 1:1 Utveckling av statens transport- infrastruktur ökas därför totalt sett med 1 410 000 000 kronor 2026 och beräknas öka med 1 404 000 000 kronor för 2027 och 2028. Inom ramen för denna omfördelning föreslår regeringen att medel för bärighetshöjande åtgärder, bl.a. BK4, flyttas från anslaget 1:2 Vidmakthållande av statens transportinfrastruktur. Anslaget 1:1 Utveckling av statens transportinfrastruktur ökas därför med 1 904 000 000 kronor fr.o.m. 2026. Vidare föreslås att medel avseende bidrag till Öresundsbrokonsortiet omfördelas till anslaget 1:2 Vidmakthållande för statens transportinfrastruktur. Detta eftersom medlen avser att användas för en avgift till nyttjande av bron och inte till utgifter för investeringar. Anslaget minskas till följd av det senare med 494 000 000 kronor fr.o.m. 2026. Anslaget 1:2 Vidmakthållande av statens transportinfrastruktur ökas med motsvarande belopp. Slutligen beräknas anslaget 1:1 Utveckling av statens transportinfrastruktur fr.o.m. 2027 minska med 6 000 000 kronor genom att medel omfördelas avseende kostnader för inspektioner på det enskilda vägnätet och bevakningsärenden.

Trafikverket har aviserat att myndigheten har avbrutit ett avtal gällande nytt system för tågtrafikledning. Regeringen föreslår därför att anslaget under 2026 minskas med

1 200 000 000 kronor.

Medel som aviserades i budgetpropositionen för 2025 om satsning till det strategiska arbetet med godstransporter omfördelas till anslaget 1:3 Trafikverket. Anslaget minskas med 4 000 000 kronor 2026 och beräknas minska med 4 000 000 kronor 2027 och 2028.

Anslaget minskas med 8 000 000 kronor fr.o.m. 2026 avseende bidrag till ideella organisationer.

Regeringen gav den 26 juni 2025 Trafikverket i uppdrag att med utgångspunkt i Försvarsmaktens behov av militär rörlighet och Sveriges förmåga att lämna och ta

47

Prop. 2025/26:1 Utgiftsområde 22

emot värdlandsstöd inom ramen för sitt åtagande som Natomedlem vidta åtgärder som syftar till att upprätthålla fortsatt tågfärjetrafik mellan Sverige och Tyskland till och med 2031. Anslaget ökas därför med 55 000 000 kronor 2026, och beräknas öka med 55 000 000 kronor per år under perioden 2027–2031. Finansiering beräknas för 2027 ske genom att anslaget 2:4 Krisberedskap under utgiftsområde 6 Försvar och samhällets krisberedskap minskas med 29 000 000 kronor. Under perioden 2028–2031 beräknas finansiering ske genom att anslaget 2:4 Krisberedskap under utgiftsområde 6 Försvar och samhällets krisberedskap minskas med 55 000 000 kronor per år. Vidare föreslår regeringen i propositionen Höständringsbudget för 2025 (prop. 2025/26:2) att anslaget ökas med 15 000 000 kronor för motsvarande behov.

Regeringen föreslår att 46 386 804 000 kronor anvisas under anslaget 1:1 Utveckling av statens transportinfrastruktur för 2026. För 2027 och 2028 beräknas anslaget till

48 706 519 000 kronor respektive 52 700 294 000 kronor.

Bemyndigande om ekonomiska åtaganden

Regeringens förslag

Regeringen bemyndigas att under 2026 för anslaget 1:1 Utveckling av statens transportinfrastruktur ingå ekonomiska åtaganden som inklusive tidigare åtaganden medför behov av framtida anslag på högst 164 861 000 000 kronor 2027–2050.

Skälen för regeringens förslag

Den verksamhet som Trafikverket bedriver förutsätter att myndigheten ingår avtal med externa parter om ekonomiska åtaganden för flera år framåt i tiden. Bemyndigandet bör avse all upphandlad verksamhet och bidrag där fleråriga avtal sluts, som inte faller under 6 kap. 2 § budgetlagen (2011:203). Bemyndigandet ska avse det totalbelopp som regeringen får ha bundit upp i avtal vid budgetårets utgång. I beräkningarna av bemyndigandet inkluderas även upptagna lån som planeras att åter- betalas med anslaget samt framtida räntekostnader på upptagna lån. Vid beräkningarna av framtida ränta används en långsiktig jämviktsränta som fr.o.m. den 1 januari 2026 är 3,30 procent, vilken är fastställd av den europeiska tillsynsmyndigheten European Insurance and Occupational Pensions Authority, EIOPA.

I den nationella trafikslagsövergripande planen för transportinfrastrukturen för perioden 2022–2033 (I2022/01294 m.fl.) ingår ett stort antal medelstora och stora byggprojekt, såsom Västlänken i Göteborg, Mälarbanan i Stockholm och en första etapp av Norrbotniabanan. Avgörande för när ett åtagande uppkommer är enligt gällande redovisningsregler vanligen när respektive kontrakt tecknas. Ekonomiska åtaganden i form av medfinansiering av transportinfrastruktur som staten ingår i samband med överenskommelser med kommuner, regioner eller företag, ska i vissa fall omfattas av begärda bemyndiganden redan det år staten ingår avtal om sådana överenskommelser. De exakta tidpunkterna för kontrakts- eller avtalstecknandet i de enskilda fallen kan vara svåra att förutse. Av detta följer att det behövs en viss flexibilitet i bemyndigandet. Utan detta försämras möjligheterna att genomföra kostnadseffektiva upphandlingar och därmed också ett kostnadseffektivt byggande. Exempelvis kan det bli nödvändigt att skjuta upp den avslutande delen av en upphandling för att inte överskrida bemyndigandet, vilket försenar och även kan fördyra genomförande av åtgärder. Bemyndigandet föreslås därför vara något högre än beräknade utestående åtaganden för att ha marginal för den variation och osäkerhet som förekommer inom detta område. Regeringen bör därför bemyndigas att under 2026 för anslaget 1:1 Utveckling av statens transportinfrastruktur ingå ekonomiska

48

Prop. 2025/26:1 Utgiftsområde 22

åtaganden som inklusive tidigare åtaganden medför behov av framtida anslag på högst 164 861 000 000 kronor 2027–2050.

Tabell 3.12 Beställningsbemyndigande för anslaget 1:1 Utveckling av statens transportinfrastruktur

Tusental kronor

 

 

 

 

 

 

Beräknat 2029 –

 

Utfall 2024

Prognos 2025

Förslag 2026

Beräknat 2027

Beräknat 2028

2050

Ekonomiska åtaganden vid

 

 

 

 

 

 

årets början

93 342 514

97 928 797

124 189 818

 

 

 

 

 

 

 

 

 

 

Nya ekonomiska åtaganden

15 210 071

45 348 558

66 654 000

 

 

 

 

 

 

 

 

 

 

Utgifter mot anslag till följd

 

 

 

 

 

 

av ekonomiska åtaganden

-19 601 110

-21 126 824

-26 384 792

-33 863 257

-24 320 008

-106 275 761

 

 

 

 

 

 

 

Övriga förändringar av

 

 

 

 

 

 

ekonomiska åtaganden

8 977 322

2 039 287

 

 

 

 

 

 

 

 

 

 

 

Ekonomiska åtaganden vid

 

 

 

 

 

 

årets slut

97 928 797

124 189 818

164 459 026

 

 

 

 

 

 

 

 

 

 

Beslutat/föreslaget

 

 

 

 

 

 

bemyndigande

157 000 000

161 340 000

164 861 000

 

 

 

 

 

 

 

 

 

 

Källa: Tabellen har tagits fram med utgångspunkt i Trafikverkets budgetunderlag för 2026–2028 samt kompletterande underlag från Trafikverket (LI2025/00502).

Låneram för samhällsinvesteringar

Regeringens förslag

Regeringen bemyndigas att för 2026 ta upp lån i Riksgäldskontoret för vissa infrastrukturprojekt som inklusive tidigare upplåning uppgår till högst

77 007 603 000 kronor.

Skälen för regeringens förslag

Trafikverket har tagit upp lån för att finansiera anläggningstillgångar, broar som ersätter färjor, vissa prioriterade väg- och järnvägsprojekt, investeringar i el- och tele- anläggningar, statens andel av vissa investeringar i Stockholmsområdet i enlighet med avtal från 1983 mellan Statens Järnvägar, Region Stockholm och staten samt investeringar i vissa väg- och järnvägsprojekt där kapitalkostnaderna ska finansieras med inkomster från trängselskatt eller infrastrukturavgifter.

Sedan 2017 har Trafikverket möjlighet att ansöka om medfinansiering i s.k. blending- utlysningar inom EU:s fond för ett sammanlänkat Europa, FSE, där Trafikverkets projekt som beviljas medfinansiering måste ta upp lån som motsvarar bidragsbeloppen hos Riksgäldskontoret för att medfinansiering ska verkställas. Även Trafikverkets investeringskostnader för uppbyggnad av system för administration av trängselskatt och infrastrukturavgifter belastar låneramen.

Anläggningstillgångar ska enligt budgetlagen finansieras med lån i Riksgäldskontoret. Dessa omfattas inte av den låneram som redovisas här. Trafikverkets omsättnings- tillgångar finansieras över verkets räntekonto med därtill kopplad kredit. I det följande ges en närmare redovisning av vad de olika delposterna i tabell 3.14 innebär.

Trafikverket får ta upp lån i Riksgäldskontoret för broinvesteringar som ersätter färjor på statens vägnät utan att öka Trafikverkets anslagsförbrukning. För att betala låne- kostnaderna för sådana objekt ska Trafikverket använda sparade driftsmedel från färjetrafiken.

Riksdagen beslutade med anledning av tilläggsbudgeten i samband med 2004 års ekonomiska vårproposition (prop. 2003/04:100, bet. 2003/04:FiU21, rskr. 2003/04:274) att regeringen får besluta om en låneram i Riksgäldskontoret för de

49

Prop. 2025/26:1 Utgiftsområde 22

prioriterade vägprojekten E6 delen Rabbalshede–Hogdal, E20 delen Tollered– Alingsås, Rv 40 delen Brämhult–Hester, Rv 45 delen Angeredsbron–Älvängen och Rv 49 Skara–Varnhem samt de prioriterade järnvägsprojekten Motala–Mjölby, Göteborg–Trollhättan samt järnvägsprojekt i Stockholmsområdet (Citybanan).

Den nationella trafikslagsövergripande planen för transportinfrastrukturen för perioden 2022–2033 (I2022/01294 m.fl.) samt länsplanen för regional transport- infrastruktur i Stockholms län för perioden 2022–2033 innehåller ett antal investeringar som delvis har finansierats eller kommer att finansieras med inkomster från trängselskatt eller infrastrukturavgifter. Det som avses är de objekt som enligt Stockholmsöverenskommelsen, Västsvenska infrastrukturpaketet och Sverige- förhandlingen delvis ska finansieras med inkomster från trängselskatt samt broarna över Motalaviken på riksväg 50, över Sundsvallsfjärden på väg E4 och över Skurusundet på väg 222 som delvis finansieras av inkomster från infrastrukturavgifter. Enligt den s.k. Stockholmsöverenskommelsen ska överskottet från de trängselskatter som tas ut huvudsakligen finansiera Förbifart Stockholm. Ett liknande upplägg föreligger för de objekt som omfattas av Västsvenska infrastrukturpaketet. För att finansiera utbyggnaden upptas även lån i Riksgäldskontoret för den del av den årliga produktionen som inte kan finansieras av överskottet från trängselskatter. Överskott kommande år kommer därefter att användas för att finansiera amortering av de lån som har tagits upp för bl.a. byggandet av Förbifart Stockholm, de objekt som låne- finansieras inom ramen för det Västsvenska infrastrukturpaketet och investeringar i ERTMS på Öresundsbron och Öresundsbanan. För att kunna möta behovet av medel för planerade investeringar som finansieras med lån, inom framför allt Stockholms- regionen och Västsvenska infrastrukturpaketet, behöver låneramen inklusive tidigare upplåning uppgå till 77 007 603 000 kronor.

Den del av investeringarna som täcks av framtida trängselskatte- eller avgiftsintäkter finansieras genom lån som totalt får uppgå till 63 miljarder kronor i 2025 års prisnivå, enligt den av riksdagen beslutade planeringsramen för sådana investeringar (prop. 2024/25:28, bet. 2024/25:TU5, rskr. 2024/25:102). Planeringsramen ska komplettera den statliga ekonomiska ramen för infrastrukturåtgärder för planeringsperioden 2026– 2037 som uppgår till 1 171 miljarder kronor.

Tabell 3.13 Låneram för samhällsinvesteringar

Tusental kronor

 

 

Beslutade

 

Beslutade

Begärda

Beräknad

Beräknad

Utgifts-

 

låneramar

Skuld

låneramar

låneramar

amortering

nyupplåning

område

Myndighet

20241

2024-12-31

20251

2026

2026

2026

22

Trafikverket

71 000 000

68 506 921

75 337 475

77 007 603

2 477 078

4 141 760

 

 

 

 

 

 

 

 

 

Summa

71 000 000

68 506 921

75 337 475

77 007 603

2 477 078

4 141 760

 

 

 

 

 

 

 

 

1Av riksdagen beslutad låneram exklusive beslut om ändringar i statens budget.

50

Prop. 2025/26:1 Utgiftsområde 22

Tabell 3.14 Beräknad nettoupplåning för respektive år för projekt som med riksdagens godkännande finansieras med lån

Miljoner kronor

 

Skuld

 

 

 

 

2029–

Objekt

2024-12-31

2025

2026

2027

2028

2033

Utgående balans 2033

Broinvesteringar

11

-1,3

-1,3

-1,3

-1,3

-5,3

0,4

El- och Tele anläggningar

4 412

-186,0

-186,0

-186,0

-186,0

-930,0

2 738,0

 

 

 

 

 

 

 

 

E6

 

 

 

 

 

 

 

Svinesundsförbindelsen

 

 

 

 

 

 

 

och Tullstation

37

-37,0

0,0

0,0

0,0

0,0

0,0

 

 

 

 

 

 

 

 

Prioriterade vägprojekt

2 443

-240,0

-240,0

-240,0

-240,0

-1 168,0

315,0

 

 

 

 

 

 

 

 

Prioriterade

 

 

 

 

 

 

 

järnvägsprojekt

9 691

-617,0

-617,0

-617,0

-617,0

-3 085,0

4 138,0

 

 

 

 

 

 

 

 

Botniabanan

10 663

-429,0

-429,0

-429,0

-429,0

-2 145,0

6 802,0

 

 

 

 

 

 

 

 

ERTMS-utrustning för

 

 

 

 

 

 

 

Öresundsbron och

 

 

 

 

 

 

 

Öresundsbanan

0

15,0

5,0

16,0

-2,0

-10,0

24,0

 

 

 

 

 

 

 

 

Delsumma investeringar

 

 

 

 

 

 

 

som lånefinansierats

27 257

-1 495,3

-1 468,3

-1 457,3

-1 475,3

-7 343,3

14 017,4

 

 

 

 

 

 

 

 

E4 Sundsvall

838

-48,0

-35,0

-33,0

-29,0

-181,0

512,0

 

 

 

 

 

 

 

 

Rv 50 Motala-Mjölby

312

-14,0

-11,0

-11,0

-10,0

-62,0

204,0

 

 

 

 

 

 

 

 

Delsumma investeringar

 

 

 

 

 

 

 

vars kapitalkostnader

 

 

 

 

 

 

 

täcks av avgifter

1 150

-62,0

-46,0

-44,0

-39,0

-243,0

716,0

 

 

 

 

 

 

 

 

Västsvenska

 

 

 

 

 

 

 

infrastrukturpaket väg

178

-178,3

0,0

0,0

0,0

0,0

-0,3

 

 

 

 

 

 

 

 

Västsvenska

 

 

 

 

 

 

 

infrastrukturpaket bana

12 320

-9,0

-1 002,0

-550,0

-489,0

-5 892,0

4 378,0

 

 

 

 

 

 

 

 

Skurubron

871

24,0

-11,0

-34,0

-25,0

-136,0

689,0

 

 

 

 

 

 

 

 

Investeringar i

 

 

 

 

 

 

 

Stockholmsregionen

26 730

5 122,0

4 225,0

3 787,0

4 024,0

7 315,0

51 203,0

 

 

 

 

 

 

 

 

Delsumma investeringar

 

 

 

 

 

 

 

vars kapitalkostnader

 

 

 

 

 

 

 

täcks av avgifter eller

 

 

 

 

 

 

 

trängselskatt

40 099

4 958,7

3 212,0

3 203,0

3 510,0

1 287,0

56 269,7

 

 

 

 

 

 

 

 

Summa

68 506

3 401,4

1 697,7

1 701,7

1 995,7

-6 299,3

71 003,1

 

 

 

 

 

 

 

 

Källa: Tabellen har tagits fram med utgångspunkt i Trafikverkets budgetunderlag för 2026–2028 samt kompletterande underlag från Trafikverket (LI2025/00502).

51

Prop. 2025/26:1 Utgiftsområde 22

Tabell 3.15 Beräknad låneskuld för respektive år för projekt som med riksdagens godkännande finansieras med lån

Miljoner kronor

Objekt

2024

2025

2026

2027

2028

2029

20331

Broinvesteringar

11

10

8

7

6

4

0

 

 

 

 

 

 

 

 

El- och Tele anläggningar

4 412

4 226

4 040

3 854

3 668

3 482

2 738

 

 

 

 

 

 

 

 

E6 Svinesundsförbindelsen

 

 

 

 

 

 

 

och Tullstation

37

0

0

0

0

0

0

 

 

 

 

 

 

 

 

Prioriterade vägprojekt

2 443

2 203

1 963

1 723

1 483

1 243

315

 

 

 

 

 

 

 

 

Prioriterade järnvägsprojekt

9 691

9 074

8 457

7 840

7 223

6 606

4 138

Botniabanan

10 663

10 234

9 805

9 376

8 947

8 518

6 802

 

 

 

 

 

 

 

 

ERTMS-utrustning för

 

 

 

 

 

 

 

Öresundsbron och

 

 

 

 

 

 

 

Öresundsbanan

0

15

20

36

34

32

24

 

 

 

 

 

 

 

 

Delsumma investeringar

 

 

 

 

 

 

 

som lånefinansierats

27 257

25 762

24 293

22 836

21 361

19 885

14 017

 

 

 

 

 

 

 

 

E4 Sundsvall

838

790

755

722

693

662

512

Rv 50 Motala-Mjölby

312

298

287

276

266

255

204

 

 

 

 

 

 

 

 

Delsumma investeringar

 

 

 

 

 

 

 

vars kapitalkostnader

 

 

 

 

 

 

 

täcks av avgifter

1 150

1 088

1 042

998

959

917

716

 

 

 

 

 

 

 

 

Västsvenska

 

 

 

 

 

 

 

infrastrukturpaket väg

178

0

0

0

0

0

0

 

 

 

 

 

 

 

 

Västsvenska

 

 

 

 

 

 

 

infrastrukturpaket bana

12 320

12 311

11 309

10 759

10 270

9 771

4 378

 

 

 

 

 

 

 

 

Skurubron

871

895

884

850

825

799

689

 

 

 

 

 

 

 

 

Investeringar i

 

 

 

 

 

 

 

Stockholmsregionen

26 730

31 852

36 077

39 864

43 888

46 518

51 203

 

 

 

 

 

 

 

 

Delsumma investeringar

 

 

 

 

 

 

 

vars kapitalkostnader

 

 

 

 

 

 

 

täcks av avgifter eller

 

 

 

 

 

 

 

trängselskatt

40 099

45 058

48 270

51 473

54 983

57 088

56 270

Summa

68 506

71 907

73 605

75 307

77 302

77 890

71 003

 

 

 

 

 

 

 

 

1Av utrymmesskäl redovisas i tabellen endast den totala låneskulden för åren 2024–2029 samt 2033. Den totala beräknade låneskulden uppgår 2030 till 78 432 miljoner kronor, 2031 till 75 675 miljoner kronor och 2032 till

73299 miljoner kronor.

Källa: Tabellen har tagits fram med utgångspunkt i Trafikverkets budgetunderlag för 2026–2028 samt kompletterande underlag från Trafikverket (LI2025/00502).

52

Prop. 2025/26:1 Utgiftsområde 22

Tabell 3.16 Anslagsbehov respektive år för räntor och återbetalning av lån för vägar och järnvägar

Miljoner kronor

 

Utfall

 

 

 

 

 

 

 

2024

2025

2026

2027

2028

2029

20331

Lån i

 

 

 

 

 

 

 

Riksgäldskontoret

 

 

 

 

 

 

 

 

 

 

 

 

 

 

 

Räntor vägar

5

60

60

60

60

45

12

 

 

 

 

 

 

 

 

Amorteringar vägar

242

240

240

240

240

240

208

Räntor järnväg

99

246

265

294

317

371

268

 

 

 

 

 

 

 

 

Amortering järnväg

770

803

803

803

803

803

803

 

 

 

 

 

 

 

 

Räntor Botniabanan

111

225

234

244

268

281

224

Amortering Botniabanan

429

429

429

429

429

429

429

 

 

 

 

 

 

 

 

Ränta Arlandabanan

 

 

 

 

 

 

 

Villkorslån

11

17

19

20

23

26

26

Total

 

 

 

 

 

 

 

anslagsbelastning

1 667

2 020

2 050

2 090

2 140

2 195

1 970

1Av utrymmesskäl redovisas i tabellen endast anslagsbehovet för åren 2024–2029 och 2033. Det totala beräknade anslagsbehovet uppgår 2030 till 2 150 miljoner kronor, 2031 till 2 100 miljoner kronor och 2032 till 2 050 miljoner kronor.

Källa: Tabellen har tagits fram med utgångspunkt i Trafikverkets budgetunderlag för 2026–2028 samt kompletterande underlag från Trafikverket (LI2025/00502).

Investeringsplan för Trafikverket

Regeringens förslag

Investeringsplanen för Trafikverket för 2026–2028 godkänns som riktlinje för Trafikverkets samhällsinvesteringar.

Skälen för regeringens förslag

Trafikverkets samhällsinvesteringar omfattar investeringar och reinvesteringsåtgärder som ingår i den nationella trafikslagsövergripande planen för transportinfrastrukturen för perioden 2022–2033 och i länsplanerna för regional transportinfrastruktur för perioden 2022–2033 (I2022/01294 m.fl.). Trafikverkets och länens årliga investerings- volymer bestäms av anvisade anslag, de lån Trafikverket tar upp i Riksgäldskontoret och de tillskott som erhålls via medfinansiering, bl.a. externa bidrag från kommuner och regioner samt bidrag från EU genom Fonden för ett sammanlänkat Europa, FSE, samt förskotteringar. Förskotteringar påverkar investeringsvolymen ett visst år men inte den totala investeringsvolymen över tid. De trängselskatteinkomster som används för investeringar ingår i anvisade anslag. Trafikverket beräknar att de sammanlagda samhällsinvesteringarna i form av nyanskaffning och vidmakthållande kommer att uppgå till 52 821 miljoner kronor under 2026, se tabell 3.17.

53

Prop. 2025/26:1 Utgiftsområde 22

Tabell 3.17 Investeringsplan för Trafikverket

Miljoner kronor

 

Utfall

Prognos

Budget

Beräknat

Beräknat

Summa

 

2024

2025

2026

2027

2028

2026–2028

 

 

 

 

 

 

 

Anskaffning och utveckling av nya investeringar

34 919

35 329

41 460

40 700

47 622

129 783

 

 

 

 

 

 

 

Järnväg nationell plan

19 992

19 356

24 400

24 544

30 808

79 752

 

 

 

 

 

 

 

– varav finansieras med trängselskatt i Göteborg

3 755

 

 

 

 

 

 

 

 

 

 

 

 

Järnväg regional plan

145

161

298

552

367

1 217

 

 

 

 

 

 

 

Väg nationell plan

12 437

12 974

12 388

12 611

13 016

38 015

 

 

 

 

 

 

 

– varav finansieras med trängselskatt i Stockholm

5 672

4 810

3 614

3 602

3 988

11 204

 

 

 

 

 

 

 

– varav finansieras med trängselskatt i Göteborg

7

1

 

 

 

 

 

 

 

 

 

 

 

Väg regional plan

2 346

2 838

4 374

2 994

3 431

10 799

 

 

 

 

 

 

 

– varav finansieras med trängselskatt i Sthlm

536

627

538

237

126

901

 

 

 

 

 

 

 

varav investeringar i anläggningstillgångar

34 458

34 390

40 305

39 541

46 210

126 056

 

 

 

 

 

 

 

– väganläggningar

15 738

15 654

16 595

15 448

16 283

48 326

 

 

 

 

 

 

 

– järnvägsanläggningar

18 721

18 737

23 710

24 092

29 927

77 730

 

 

 

 

 

 

 

Finansiering av anskaffning och utveckling

34 919

35 329

41 460

40 700

47 622

129 783

 

 

 

 

 

 

 

Anslag 1:1 Utveckling av statens transportinfrastruktur

23 083

27 844

36 092

35 380

41 567

113 039

 

 

 

 

 

 

 

Anslag 1:10 Från EU-budgeten finansierade stöd till

 

 

 

 

 

 

Transeuropeiska nätverk

697

158

 

 

 

 

 

 

 

 

 

 

 

Anslag 1:11 Trängselskatt i Stockholm

 

197

 

202

238

440

 

 

 

 

 

 

 

Anslag 1:14 Trängselskatt i Göteborg

546

-12

0

 

 

0

 

 

 

 

 

 

 

Låneram för samhällsinvesteringar (lån i

 

 

 

 

 

 

Riksgäldskontoret)

9 425

5 161

4 084

3 803

4 024

11 911

 

 

 

 

 

 

 

Bidrag/medfinansiering

 

1 982

1 285

1 315

1 793

4 393

 

 

 

 

 

 

 

Förskotteringslån

1 169

 

 

 

 

 

 

 

 

 

 

 

 

Vidmakthållande av befintliga investeringar

8 724

10 806

11 361

10 401

11 892

33 653

 

 

 

 

 

 

 

Reinvesteringar i järnvägar

5 309

7 099

8 107

7 322

7 628

23 058

 

 

 

 

 

 

 

Reinvesteringar i vägar

3 415

3 707

3 253

3 079

4 264

10 596

 

 

 

 

 

 

 

– varav bärighet och tjälsäkring

1 956

2 012

1 875

1 757

1 764

5 396

 

 

 

 

 

 

 

varav investeringar i anläggningstillgångar

8 550

10 806

11 361

10 401

11 892

33 653

 

 

 

 

 

 

 

– väganläggningar

3 332

3 703

3 250

3 075

4 264

10 588

 

 

 

 

 

 

 

– järnvägsanläggningar

5 218

7 099

8 107

7 322

7 628

23 058

 

 

 

 

 

 

 

– beredskapstillgångar

 

4

4

4

 

8

 

 

 

 

 

 

 

Finansiering vidmakthållande

8 724

10 806

11 361

10 401

11 892

33 653

 

 

 

 

 

 

 

Anslag 1:2 Vidmakthållande av statens

 

 

 

 

 

 

transportinfrastruktur

8 610

10 760

11 351

10 380

11 884

33 615

 

 

 

 

 

 

 

Anslag 1:11 Trängselskatt i Stockholm

3

5

 

 

 

 

 

 

 

 

 

 

 

Anslag 1:14 Trängselskatt i Göteborg

86

20

2

 

 

2

 

 

 

 

 

 

 

Bidrag/medfinansiering

25

21

8

21

8

37

 

 

 

 

 

 

 

Totala utgifter för anskaffning, utveckling och

 

 

 

 

 

 

vidmakthållande av investeringar

43 643

46 136

52 821

51 102

59 513

163 436

 

 

 

 

 

 

 

Totalt varav investeringar i anläggningstillgångar

43 009

45 197

51 665

49 942

58 102

159 709

 

 

 

 

 

 

 

Källa: Tabellen har tagits fram med utgångspunkt i Trafikverkets budgetunderlag för 2026–2028 samt kompletterande underlag från Trafikverket (LI2025/00502).

Budget för avgiftsbelagd verksamhet

Trafikverket bedriver avgiftsbelagd verksamhet av olika karaktär, vilket framgår i tabell

3.18.Trafikverket har inom den avgiftsbelagda verksamheten områden med större ackumulerade över- eller underskott.

54

Prop. 2025/26:1 Utgiftsområde 22

En del av den avgiftsbelagda verksamheten utgörs av offentligrättslig verksamhet där Trafikverket inte disponerar intäkterna. Merparten av dessa intäkter utgörs av ansökningsavgifter för framför allt transportdispenser. Till och med 2024 uppgår det ackumulerade överuttaget till 18 procent av avgiftsintäkterna. Trafikverket kommer att se över kostnadsfördelningen för att säkerställa att rätt kostnader belastar verksamheten. En del av den avgiftsbelagda verksamheten där intäkterna disponeras utgörs av offentligrättslig verksamhet där Trafikverket tar ut avgifter för förarprov. Avgifterna har krav på full kostnadstäckning och avgiftsnivåerna beslutas av regeringen. Regeringen har den 26 september 2024, efter en hemställan från Trafikverket, beslutat om förändrade avgiftsnivåer i förordning om ändring i förordningen om provavgifter för körkort och yrkesmässig trafik (2010:1578). De nya avgiftsnivåerna gäller fr.o.m. den 1 november 2024.

I Trafikverkets offentligrättsliga verksamhet ingår även intäkter för infrastruktur- avgifter. Med detta avses avgifter som tas ut för färd över de statliga broarna på riksväg 50 i Motala, E4 i Sundsvall och Skurusundet på väg 222. Avgifterna disponeras av Trafikverket för räntor och amorteringar för de lån som tagits upp för byggandet av broarna. Avgifterna tas ut av Transportstyrelsen som efter avdrag för myndighetens system- och administrationskostnader för över intäkterna till Trafikverket.

Den stora volymen intäkter som disponeras finns inom uppdragsverksamheten. Trafikverket får enligt förordningen (2010:185) med instruktion för Trafikverket beräkna dessa avgifter på marknadsmässiga grunder om det är nödvändigt för att undvika att konkurrensen på marknaden snedvrids. Inom delar av uppdrags- verksamheten finns större ackumulerade överskott. Tre områden visar ackumulerade underskott.

Materialförsörjning redovisar efter 2024 ett ackumulerat överskott på 258 miljoner kronor, motsvarande 17 procent av omsättningen. Stigande inköpspriser och ökade lagervolymer har de senaste åren lett till en väsentlig värdeökning av det befintliga lagret av tekniskt godkänt material. Det påverkar i sin tur Trafikverkets prissättning, vilket har inneburit att försäljningsmarginalerna har ökat. Sammantaget har det medfört att verksamheten redovisat stora överskott. För att Trafikverket ska närma sig ett nollresultat har myndigheten genomfört aktiviteter gällande lagervärdering och prissättning. Dessa aktiviteter börjar ge effekt, men verksamheten genererar fortfarande ett visst överskott. Den externa försäljningen från lagret sker nästan uteslutande till de entreprenörer som utför investerings- och underhållsåtgärder på Trafikverkets järnvägsanläggning, vilket gör att ökade försäljningspriser genererar ökade materialanskaffningskostnader i myndighetens investerings- och underhålls- åtgärder.

Elförsäljningen redovisar efter 2024 ett ackumulerat underskott på 374 miljoner kronor, vilket motsvarar 23 procent av omsättningen. Trafikverket gör löpande prissäkringar av inköp av el 4 till 5 år i förväg med 20 till 25 procent per år. Från och med 2023 görs prissäkringen med andra typer av kontrakt än tidigare, vilket innebär att det uppstår över- eller underskott de enskilda år prissäkringen görs. Det avspeglar sig i det totala årliga resultatet för elverksamheten. Det år som den prissäkrade elen förbrukas kommer de tidigare årens resultat i det prissäkrade kontraktet att räknas in i priset. Inget över- eller underskott kommer då att kvarstå för det enskilda året.

Utbildningsverksamheten består framför allt av kurser inom järnvägsområdet. Verksamheten redovisar efter 2024 ett ackumulerat underskott på 27 miljoner kronor, motsvarande 43 procent av omsättningen. Det ackumulerade underskottet går i allt väsentligt att härleda till pandemiåren då efterfrågan på kurser kraftigt gick ner utan att kostnaderna kunde minska på motsvarande sätt. Dock visar verksamheten fortsatt underskott under 2024. Trafikverket behöver analysera prissättningen för att göra

55

Prop. 2025/26:1 Utgiftsområde 22

justeringar på ett sätt som inte bedöms få negativa konsekvenser för efterfrågan och därmed kompetensförsörjningen. Regeringens bedömning är att Trafikverket inte kan ta igen det ackumulerade underskottet genom ökade intäkter på kortare tid än 7 år. Detta eftersom det skulle innebära att priserna på externa utbildningar behöver höjas markant, vilket riskerar att påverka efterfrågan och få som konsekvens att kompetens- försörjningen inom branschen försämras.

För banavgifterna, som är en del av den avgiftsbelagda verksamheten, disponeras intäkterna av Trafikverket för att finansiera kostnader för vidmakthållande av järnväg. Intäkterna redovisas därför mot anslag 1:2 Vidmakthållande av statens transport- infrastruktur. Uttag av banavgifter regleras i 8 kap. järnvägsmarknadslagen (2022:365). I kommissionens genomförandeförordning (EU) 2015/909 av den 12 juni 2015 om förfarandena för beräkning av den kostnad som uppstår som en direkt följd av den trafik som bedrivs regleras kostnadsberäkningen av dessa avgifter. Intäkterna för banavgifter utgår från statistiskt beräknade marginalkostnader. I tabellen nedan redovisas endast intäkterna, eftersom kostnaderna delvis finansieras även från anslaget 1:2 Vidmakthållande av statens transportinfrastruktur.

56

Prop. 2025/26:1 Utgiftsområde 22

Tabell 3.18 Avgiftsfinansierad verksamhet vid Trafikverket

Miljoner kronor

Verksamhet

Ack.

Resultat

Verksamhet

Kostnader

resultat

Ack.

 

resultat

2025

ens

som ska

2026

resultat

 

t.o.m. 2024

 

intäkter

täckas

 

2026

 

 

 

2026

2026

 

 

Verksamheter där intäkterna inte disponeras

 

 

 

 

 

 

 

 

 

 

 

Offentligrättslig

 

 

 

 

 

 

verksamhet

4,6

3,5

30,9

27,9

3,0

11,1

 

 

 

 

 

 

 

varav ansökningsavgifter

 

 

 

 

 

 

för transportdispenser

4,3

3

27

24

3

10,3

varav avgifter för ansökan

 

 

 

 

 

 

om sjöfartsstöd

0

0,5

0,4

0,4

0

0,5

 

 

 

 

 

 

 

varav övriga dispenser

0,3

0

3,5

3,5

0

0,3

Verksamheter där intäkterna disponeras

 

 

 

 

 

 

 

 

 

 

 

 

Offentligrättslig

 

 

 

 

 

 

verksamhet

49,8

245,8

838,3

637,8

200,5

495,9

varav avgifter för förarprov

49,8

105,5

705,1

635,3

69,8

225

 

 

 

 

 

 

 

varav infrastrukturavgifter1

0

140,3

133,2

2,5

130,7

270,9

– Riksväg 50 Motala

0

21,5

19,1

0,9

18,2

39,7

– E4 Sundsvall

0

55,7

55,2

1,2

54,0

109,7

 

 

 

 

 

 

 

– Skurubron

0

63,1

58,9

0,4

58,5

121,5

 

 

 

 

 

 

 

Uppdragsverksamhet

154,3

27,5

3 611,2

3 564,7

46,6

228,4

varav färjeleder

-3,3

2,2

127

125,2

1,8

0,7

 

 

 

 

 

 

 

varav elförsäljning

-373,6

-43,7

1 152,6

1 199,3

-46,8

-464,1

 

 

 

 

 

 

 

varav materialförsörjning

258,5

0

1 824,6

1 814,7

9,9

268,4

varav uthyrning av

 

 

 

 

 

 

järnvägsfordon

61,7

-7,5

44,9

41,3

3,6

57,8

 

 

 

 

 

 

 

varav samordnad säker

 

 

 

 

 

 

statlig it-drift

0

-20

49

58

-9

-29

 

 

 

 

 

 

 

varav övriga uppdrag

29,9

0,6

31,4

31,3

0,1

30,6

 

 

 

 

 

 

 

varav teletjänster och it2

103,1

5,1

17,0

11,9

5,1

113,2

varav uthyrning av

 

 

 

 

 

 

reservbroar2

43,8

11,3

9,2

2,1

7,1

62,2

varav uthyrning av

 

 

 

 

 

 

förarprovsbilar2

13,2

19,4

128,3

113

15,3

48

varav utbildning2

-27,1

1,5

63

61

2

-23,6

varav fotografering inför

 

 

 

 

 

 

utfärdandet av körkort2

16,8

33,6

69,4

37,1

32,4

82,8

varav fastighetsförvaltning2

31,3

25

94,8

69,8

25,1

81,4

Övriga intäkter

 

 

17

 

 

 

varav skyltfonden3

-

-

17

-

-

-

Offentligrättslig

 

 

 

 

 

 

verksamhet

 

 

3 061

 

 

 

varav banavgifter

-

-

3 061

-

-

-

 

 

 

 

 

 

 

1I tabellen för infrastrukturavgifter ingår de intäkter som Trafikverket disponerar, samt Trafikverkets driftkostnader. Överskottet används för att amortera på lån. Uppgifterna i tabellen blir därför något missvisande, då inget egentligt överskott ackumuleras.

2För vissa uppdragsverksamheter som Trafikverket bedriver används enligt Trafikverkets instruktion marknadsprissättning. Genom att avgifternas storlek beräknas på marknadsmässiga grunder undviks att konkurrensen på marknaden snedvrids. Verket får disponera inkomsterna från avgifterna upp till full kostnadstäckning.

3Trafikverket disponerar intäkter från avgifter för personliga skyltar till motorfordon. Intäkterna går till Skyltfonden från vilken Trafikverket betalar ut bidrag till trafiksäkerhetsändamål.

Källa: Tabellen har tagits fram med utgångspunkt i Trafikverkets budgetunderlag för 2026–2028 samt kompletterande underlag från Trafikverket (LI2025/00502).

57

Prop. 2025/26:1 Utgiftsområde 22

3.5.21:2 Vidmakthållande av statens transportinfrastruktur

Tabell 3.19 Anslagsutveckling 1:2 Vidmakthållande av statens transportinfrastruktur

Tusental kronor

2024

Utfall

35 337 848

Anslagssparande

1 487 360

 

 

 

 

 

2025

Anslag

40 802 1961

Utgiftsprognos

40 484 025

2026

Förslag

40 327 971

 

 

 

 

 

 

 

2027

Beräknat

42 514 9052

 

 

2028

Beräknat

47 773 4113

 

 

1Inklusive beslut om ändringar i statens budget 2025 och förslag till ändringar i samband med denna proposition.

2Motsvarar 42 342 402 tkr i 2026 års prisnivå.

3Motsvarar 46 978 349 tkr i 2026 års prisnivå.

Ändamål

Anslaget får användas till utgifter för

vidmakthållande och trafikledning av statliga vägar och järnvägar inklusive vidmakthållande av it- och telekomanläggningar och anläggningar för nykterhetskontroll,

ersättning och bidrag som betalas ut av Trafikverket i egenskap av infrastrukturförvaltare eller till följd av särskilda uppdrag, i syfte att vidmakthålla transportinfrastrukturen i enlighet med de transportpolitiska målen,

Trafikverkets byggherrekostnader som är direkt relaterade till vidmakthållandet av samhällsinvesteringen och andra utgifter av förvaltningskaraktär direkt kopplade till driften,

inspektioner på enskild väg, samt

ersättning för eftersök av vilt som varit inblandat i sammanstötning med motorfordon eller spårbundna fordon liksom Polismyndighetens administrations- och fakturahanteringsutgifter för detta.

58

Prop. 2025/26:1 Utgiftsområde 22

Skälen för regeringens förslag

Tabell 3.20 Förändringar av anslagsnivån 2026–2028 för 1:2 Vidmakthållande av statens transportinfrastruktur

Tusental kronor

 

2026

2027

2028

Anvisat 20251

40 302 196

40 302 196

40 302 196

Pris- och löneomräkning2

1 153 772

1 322 664

1 855 373

Beslutade, föreslagna och aviserade åtgärder

-1 127 997

890 045

5 615 842

 

 

 

 

varav BP263

1 002 000

1 008 000

1 010 000

– Omfördelning av medel för kapacitetstilldelning och

 

 

 

telematik

-50 000

-50 000

-50 000

 

 

 

 

– Ändringar finansiell styrning av Trafikverket:

 

 

 

förvaltningskostnader

-327 000

-327 000

-327 000

– Ändringar finansiell styrning av Trafikverket: korrigering av

 

 

 

beslut BP25

-110 000

-110 000

-69 000

 

 

 

 

– Ändringar finansiell styrning av Trafikverket: renodling

 

 

 

anslag

-1 410 000

-1 404 000

-1 404 000

 

 

 

 

– Höjd miljökompensation för godstransporter på järnväg

 

 

 

2026–2030

335 000

335 000

335 000

– Rättelse inlägg av infrastrukturpropositionen:

 

 

 

vidmakthållande väg

415 000

415 000

415 000

 

 

 

 

– Rättelse inlägg av infrastrukturpropositionen:

 

 

 

vidmakthållande järnväg

2 149 000

2 149 000

2 110 000

 

 

 

 

Överföring till/från andra anslag

 

 

 

 

 

 

 

Övrigt

 

 

 

Förslag/beräknat anslag

40 327 971

42 514 905

47 773 411

 

 

 

 

1Statens budget enligt riksdagens beslut i december 2024 (bet. 2024/25:FiU10). Beloppet är således exklusive beslut om ändringar i statens budget.

2Pris- och löneomräkningen baseras på anvisade medel 2025. Övriga förändringskomponenter redovisas i löpande priser och inkluderar därmed en pris- och löneomräkning. Pris- och löneomräkningen för 2027–2028 är preliminär.

3Exklusive pris- och löneomräkning.

Regeringen föreslog i propositionen Vägen till en pålitlig transportinfrastruktur – för att hela Sverige ska fungera (prop. 2024/25:28) en ny långsiktig ekonomisk ram för satsningar i transportinfrastrukturen på 1 171 miljoner kronor för perioden 2026–2037 i 2025 års prisnivå. Riksdagen biföll regeringens förslag (bet. 2024/25:TU5, rskr. 2024/25:102). Med anledning av riksdagens beslut ökades anslaget efter förslag i budgetpropositionen för 2025 (prop. 2024/25:1 utg.omr. 22, bet. 2024/25: TU1, rskr. 2024/25:101). Regeringen genomför nu åtgärder som behöver vidtas för att den politiskt överenskomna storleken på den ekonomiska ramen för satsningar i transport- infrastrukturen för perioden 2026–2037 ska uppnås. Under perioden 2026–2028 ökas anslaget totalt med 2 564 000 000 kronor och beräknas öka med 2 564 000 000 kronor 2027 och med 2 525 000 000 kronor 2028. Till följd av detta samt att det föreslås omfördelningar av anslagsmedel mellan anslag och anslagsposter avser Regeringskansliet att under hösten bereda frågan om fördelning av anslagsmedel på anslagsposter inför framtagandet av 2026 års regleringsbrev för Trafikverket.

Den finansiella översynen av Trafikverket innebär förutom att medel föreslås omfördelas även att anslagens ändamål behöver ses över. Översynen av anslags- ändamålen leder till att ändamålen föreslås formuleras på en mer övergripande nivå. Jämfört med tidigare föreslås ett ändamål införas som avser byggherrekostnader direkt relaterade till Trafikverkets samhällsinvesteringar. Med detta avses kostnader för ledning, styrning och uppföljning av investeringsåtgärder enligt vedertaget begrepp i bygg- och anläggningsbranschen och motsvarande kostnader inom drift- och underhållsverksamheten.

59

Prop. 2025/26:1 Utgiftsområde 22

Trafikverket har i redovisningen av ett regeringsuppdrag att analysera och bedöma konsekvenser av förslag för den finansiella styrningen av myndigheten föreslagit förändringar i anslagsstrukturen. Några av dessa förändringar genomfördes redan efter förslag i budgetpropositionen för 2025 (prop. 2024/25:1, utg.omr.22, avsnitt 3.5, bet. 2024/25:TU1, rskr. 2024/25:101) innan regeringsuppdraget slutredovisades. I det fortsatta analysarbetet har det uppmärksammats ytterligare omfördelningar som behöver göras i syfte att fullfölja den påbörjade förändringen mot ett utökat förvaltningsanslag. Anslaget minskas därför totalt sett med 110 000 000 kronor 2026 och beräknas minska med 110 000 000 kronor 2027 och med 69 000 000 kronor 2028. Minskningen fördelas inom väg som minskas med 7 000 000 kronor under 2026 och beräknas öka med 7 000 000 kronor 2028. Vidare minskas anslaget inom järnväg med 103 000 000 fr.o.m. 2026 samtidigt som anslaget beräknas öka med 34 000 000 kronor fr.o.m. 2028.

Till följd av den översyn som gjorts av den finansiella styrningen av Trafikverket föreslås ytterligare omfördelningar av förvaltningskaraktär mellan anslag som Trafikverket disponerar. Anslaget minskas därför totalt sett med 327 000 000 kronor 2026 och beräknas minska med 327 000 000 kronor för 2027 och 2028. Minskningen fördelas med 167 000 000 kronor inom väg och med 160 000 000 kronor inom järnväg fr.o.m. 2026.

I arbetet för att öka tydligheten och renodla de båda anslagen 1:1 Utveckling av statens transportinfrastruktur och 1:2 Vidmakthållande av statens transportinfrastruktur föreslås det att medel omfördelas mellan anslagen. Anslaget 1:2 Vidmakthållande av statens transport- infrastruktur minskas därför totalt med 1 410 000 000 kronor 2026 och beräknas minska med 1 404 000 000 kronor för 2027 och 2028. Inom ramen för denna omfördelning föreslår regeringen att medel för bärighetshöjande åtgärder, inklusive bl.a. BK4, omfördelas från anslaget 1:2 Vidmakthållande av statens transportinfrastruktur genom att anslaget minskas med 1 904 000 000 kronor fr.o.m. 2026. Anslaget

1:1 Utveckling av statens transportinfrastruktur ökas med motsvarande belopp. Vidare föreslås att medel avseende bidrag till Öresundsbrokonsortiet omfördelas till anslaget 1:2 Vidmakthållande av statens transportinfrastruktur eftersom medlen avser att användas för en avgift till nyttjande av bron och inte till utgifter för investeringar. Anslaget ökas därför med 494 000 000 kronor fr.o.m. 2026. Anslaget 1:1 Utveckling av statens transportinfrastruktur minskas med motsvarande belopp. Slutligen beräknas anslaget 1:2 Vidmakthållande av statens transportinfrastruktur öka fr.o.m. 2027med 6 000 000 kronor genom att medel omfördelas avseende kostnader för inspektioner på det enskilda vägnätet och bevakningsärenden. Anslaget 1:1 Utveckling av statens transportinfrastruktur minskas med motsvarande belopp

Inom EU pågår slutförhandlingar om en ny EU-förordning som bl.a. innehåller regler för en reformerad process för tilldelning av kapacitet på järnvägsnätet. Detta medför behov av anpassningar hos Trafikverket som föreslås få resurser genom en omfördelning av medel till anslaget 1:3 Trafikverket. Anslaget 1:2 Vidmakthållande av statens transportinfrastruktur minskas med 50 000 000 kronor 2026. Vidare beräknas anslaget minska med 50 000 000 kronor under åren från 2027 till 2030. Medlen omfördelas med motsvarande belopp till anslaget 1:3 Trafikverket.

För att stärka järnvägens konkurrenskraft behöver miljökompensationen för gods- transporter på järnväg höjas utöver den tidigare beslutade förlängningen under perioden 2026–2030. Höjningen förutsätter att Europeiska kommissionen godkänner stödet. Anslaget ökas därför med 335 000 000 kronor 2026, och beräknas öka med 335 000 000 kronor per år under perioden 2027–2030.

60

Prop. 2025/26:1 Utgiftsområde 22

Regeringen föreslår att 40 327 971 000 kronor anvisas under anslaget 1:2 Vidmakt- hållande av statens transportinfrastruktur för 2026. För 2027 och 2028 beräknas anslaget till 42 514 905 000 kronor respektive 47 773 411 000 kronor.

Bemyndigande om ekonomiska åtaganden

Regeringens förslag

Regeringen bemyndigas att under 2026 för anslaget 1:2 Vidmakthållande av statens transportinfrastruktur ingå ekonomiska åtaganden som inklusive tidigare åtaganden medför behov av framtida anslag på högst 42 710 000 000 kronor 2027–2038.

Skälen för regeringens förslag

Den verksamhet som Trafikverket bedriver förutsätter att myndigheten ingår avtal med externa parter om ekonomiska åtaganden för flera år framåt i tiden. Bemyndigandet bör avse all upphandlad verksamhet och bidrag där fleråriga avtal sluts, som inte faller under 6 kap. 2 § budgetlagen. Bemyndigandet ska avse det total- belopp som regeringen får ha bundit upp i avtal vid budgetårets utgång. Avgörande för när ett åtagande uppkommer enligt gällande redovisningsregler är vanligen när respektive kontrakt tecknas. De exakta tidpunkterna för kontraktstecknandet i de enskilda fallen kan vara svåra att förutse. Av detta följer att det behövs viss flexibilitet i bemyndigandet. Utan detta försämras möjligheterna att genomföra kostnadseffektiva upphandlingar och därmed också ett kostnadseffektivt genomförande av åtgärder. Exempelvis kan det bli nödvändigt att skjuta upp den avslutande delen av en upphandling för att inte överskrida bemyndigandet vilket försenar och även kan fördyra projektgenomförandet. Bemyndigandet föreslås därför vara något högre än beräknade utestående åtaganden för att ha marginal för den variation och osäkerhet som förekommer inom detta område. Regeringen bör därför bemyndigas att under 2026 för anslaget 1:2 Vidmakthållande av statens transportinfrastruktur ingå ekonomiska åtaganden som inklusive tidigare åtaganden medför behov av framtida anslag på högst 42 710 000 000 kronor 2027–2038.

Tabell 3.21 Beställningsbemyndigande för anslaget 1:2 Vidmakthållande av statens transportinfrastruktur

Tusental kronor

 

 

 

 

 

 

Beräknat 2029 –

 

Utfall 2024

Prognos 2025

Förslag 2026

Beräknat 2027

Beräknat 2028

2038

Ekonomiska åtaganden vid

 

 

 

 

 

 

årets början

31 570 405

32 699 018

37 820 026

 

 

 

Nya ekonomiska åtaganden

11 793 763

18 192 660

21 500 000

 

 

 

 

 

 

 

 

 

 

Utgifter mot anslag till följd

 

 

 

 

 

 

av ekonomiska åtaganden

-15 502 210

-14 450 319

-16 914 335

-11 116 347

-6 470 744

-24 818 600

Övriga förändringar av

 

 

 

 

 

 

ekonomiska åtaganden

4 837 060

1 378 667

 

 

 

 

 

 

 

 

 

 

 

Ekonomiska åtaganden vid

 

 

 

 

 

 

årets slut

32 699 018

37 820 026

42 405 691

 

 

 

 

 

 

 

 

 

 

Beslutat/föreslaget

 

 

 

 

 

 

bemyndigande

39 500 000

42 000 000

42 710 000

 

 

 

Källa: Tabellen har tagits fram med utgångspunkt i Trafikverkets budgetunderlag för 2026–2028 samt kompletterande underlag från Trafikverket (LI2025/00502).

61

Prop. 2025/26:1 Utgiftsområde 22

3.5.31:3 Trafikverket

Tabell 3.22 Anslagsutveckling 1:3 Trafikverket

Tusental kronor

2024

Utfall

1 458 744

Anslagssparande

27 710

 

 

 

 

 

2025

Anslag

1 549 7221

Utgiftsprognos

1 566 440

2026

Förslag

6 531 201

 

 

 

 

 

 

 

2027

Beräknat

6 634 5442

 

 

2028

Beräknat

6 721 8723

 

 

1Inklusive beslut om ändringar i statens budget 2025 och förslag till ändringar i samband med denna proposition.

2Motsvarar 6 527 005 tkr i 2026 års prisnivå.

3Motsvarar 6 485 620 tkr i 2026 års prisnivå.

Ändamål

Anslaget får användas för

Trafikverkets förvaltningsutgifter,

utgifter som syftar till att avhjälpa brister i den långsiktiga kompetensförsörjningen inom infrastruktur- och transportsektorn,

bidrag till verksamhet av förvaltningskaraktär som syftar till att uppnå de transportpolitiska målen, samt

att betala medlemskap i European Initiative Linking Interlocking Subsystems.

Skälen för regeringens förslag

Tabell 3.23 Förändringar av anslagsnivån 2026–2028 för 1:3 Trafikverket

Tusental kronor

 

2026

2027

2028

Anvisat 20251

1 539 222

1 539 222

1 539 222

Pris- och löneomräkning2

29 916

55 769

87 075

Beslutade, föreslagna och aviserade åtgärder

4 962 063

5 039 553

5 095 575

 

 

 

 

varav BP263

253 700

254 600

218 300

Omfördelning medel för godsstrategin till anslag 1:3

Trafikverket

4 000

4 000

4 000

 

 

 

 

Omfördelning av medel för kapacitetstilldelning och

telematik

50 000

50 000

50 000

Ändringar finansiell styrning av Trafikverket:

förvaltningskostnader

394 000

394 000

394 000

 

 

 

 

Ändringar finansiell styrning av Trafikverket: korrigering av

beslut BP25

41 000

41 000

 

 

 

 

 

– Elektronisk godstransportinformation

14 700

15 600

20 300

 

 

 

 

– Besparing Trafikverket

-300 000

-300 000

-300 000

 

 

 

 

Rättelse: Prisnivå omflytt förvaltningsmedel inlägg

infrastrukturpropositionen

50 000

50 000

50 000

 

 

 

 

Överföring till/från andra anslag

 

 

 

 

 

 

 

Övrigt

 

 

 

 

 

 

 

Förslag/beräknat anslag

6 531 201

6 634 544

6 721 872

 

 

 

 

1Statens budget enligt riksdagens beslut i december 2024 (bet. 2024/25:FiU10). Beloppet är således exklusive beslut om ändringar i statens budget.

2Pris- och löneomräkningen baseras på anvisade medel 2025. Övriga förändringskomponenter redovisas i löpande priser och inkluderar därmed en pris- och löneomräkning. Pris- och löneomräkningen för 2027–2028 är preliminär.

3Exklusive pris- och löneomräkning.

Till följd av den översyn som har gjorts av den finansiella styrningen av Trafikverket föreslås ytterligare omfördelningar av medel av förvaltningskaraktär mellan anslag som

62

Prop. 2025/26:1 Utgiftsområde 22

Trafikverket disponerar. Anslaget ökas därför totalt med 394 000 000 kronor fr.o.m. 2026.

Regeringen föreslog i budgetpropositionen för 2025 att medel av förvaltningskaraktär fr.o.m. 2026 ska omfördelas från anslagen 1:1 Utveckling av statens transportinfrastruktur och 1:2 Vidmakthållande av statens transportinfrastruktur till anslaget 1:3 Trafikverket (prop. 2024/25:1, utg.omr. 22 avsnitt 3.5.1 och 3.5.2, bet. 2024/25:TU1, rskr. 2024/25:101). Trafikverket har i redovisningen av ett regeringsuppdrag att analysera och bedöma konsekvenser av förslag för den finansiella styrningen av myndigheten föreslagit förändringar i anslagsstrukturen. Några av dessa förändringar genomfördes redan efter förslag i budgetpropositionen för 2025 (prop. 2024/25:1, utg.omr. 22 avsnitt 3.5.1 och 3.5.2, bet. 2024/25:TU1, rskr. 2024/25:101) innan regeringsuppdraget slutredovisades. I det fortsatta analysarbetet har det uppmärksammats ytterligare omfördelningar som behöver göras i syfte att fullfölja den påbörjade förändringen mot ett utökat förvaltningsanslag. Anslaget ökas därför med 41 000 000 kronor för 2026 och beräknas även öka med 41 000 000 kronor under 2027.

Den finansiella översynen av Trafikverket innebär förutom att medel föreslås omfördelas även att anslagens ändamål behöver ses över. Översynen av anslags- ändamålen har medfört att ändamålen föreslås formuleras på en mer övergripande nivå. För anslaget kvarstår delar av tidigare ändamål exempelvis utgifter som syftar till att avhjälpa brister i den långsiktiga kompetensförsörjningen inom infrastruktur- och transportsektorn. Detta eftersom ändamålet inte bara omfattar myndighetens egen kompetensutveckling utan bidrar till hela branschens kompetensutveckling. Vidare tydliggörs att riksdagen tidigare har bemyndigat regeringen att betala medlemsavgift för European Initiative Linking Interlocking Subsystems under perioden 2018–2028 i proposition om vårändringsbudget för 2018 (prop. 2017/18:99 utg.omr. 22, bet. 2017/18:FiU21, rskr. 2017/18:435).

Regeringen föreslog vidare i budgetpropositionen för 2025 att medel skulle satsas på det strategiska arbetet med godstransporter. Dessa medel föreslås nu omfördelas från anslaget 1:1 Utveckling av statens transportinfrastruktur. Anslaget 1:3 Trafikverket ökas med 4 000 000 kronor 2026 och beräknas öka med 4 000 000 kronor 2027 och 2028.

Inom EU pågår slutförhandlingar om en ny EU-förordning som bl.a. innehåller regler för en reformerad process för tilldelning av kapacitet på järnvägsnätet. Vidare finns det sedan tidigare EU-regler för telematik inom järnväg som nu är under omarbetning. Detta medför behov av anpassningar hos Trafikverket som föreslås få resurser för dels arbetet med en ny kapacitetstilldelningsprocess, dels anpassning till EU-regler om telematik, avseende järnväg. Anslaget ökas med 50 000 000 kronor 2026. Vidare beräknas anslaget öka med 50 000 000 kronor under åren från 2027 till 2030. Finansiering sker genom att anslaget 1:2 Vidmakthållande av statens transportinfrastruktur minskas med motsvarande belopp.

Trafikverket kommer att ha kostnader för att utveckla och förvalta Sveriges eFTI- sluss. Anslaget ökas därför med 14 700 000 kronor för 2026. Vidare beräknas anslaget öka med 15 600 000 kronor 2027, 20 300 000 kronor 2028 och fr.o.m. 2029 med

15 000 000 kronor per år. Regeringen föreslår vidare i propositionen Höständringsbudget för 2025 (prop.2025/26:2) att anslaget ökas med 10 500 000 kronor för motsvarande behov.

Regeringen föreslår att en ytterligare besparing görs av Trafikverkets förvaltnings- anslag som därför minskas med 300 000 000 kronor fr.o.m. 2026.

Regeringen föreslog i budgetpropositionen för 2025 att medel av förvaltningskaraktär ska omfördelas till anslaget 1:3 Trafikverket från anslagen 1:1 Utveckling av statens

63

Prop. 2025/26:1 Utgiftsområde 22

transportinfrastruktur och 1:2 Vidmakthållande av statens transportinfrastruktur. Vid beräkningar inför denna omfördelning användes 2023 års prisnivå i stället för 2025 års prisnivå. Detta har medfört att nivån på Trafikverkets förvaltningsanslag är för låg. Anslaget ökas därför med 50 000 000 fr.o.m. 2026.

Regeringen föreslår att 6 531 201 000 kronor anvisas under anslaget 1:3 Trafikverket för 2026. För 2027 och 2028 beräknas anslaget till 6 634 544 000 kronor respektive 6 721 872 000 kronor.

3.5.41:4 Ersättning för sjöräddning och fritidsbåtsändamål

Tabell 3.24 Anslagsutveckling 1:4 Ersättning för sjöräddning och fritidsbåtsändamål

Tusental kronor

2024

Utfall

511 245

Anslagssparande

22 063

2025

Anslag

265 3081

Utgiftsprognos

287 371

2026

Förslag

353 808

 

 

 

 

 

 

 

2027

Beräknat

353 808

 

 

 

 

 

 

 

2028

Beräknat

353 808

 

 

 

 

 

 

 

1Inklusive beslut om ändringar i statens budget 2025 och förslag till ändringar i samband med denna proposition.

Ändamål

Anslaget får användas för utgifter inom Sjöfartsverkets ansvarsområde som inte finansieras via handelssjöfarten, såsom flyg- och sjöräddning, isbrytningsverksamhet, fritidsbåtsinfrastruktur, merkostnader för omställning till fossilfri båt- och fartygs- flotta, samt för reducering av farledsavgifter genom s.k. klimatkompensation.

Skälen för regeringens förslag

Tabell 3.25 Förändringar av anslagsnivån 2026–2028 för 1:4 Ersättning för sjöräddning och fritidsbåtsändamål

Tusental kronor

 

2026

2027

2028

Anvisat 20251

194 308

194 308

194 308

Beslutade, föreslagna och aviserade åtgärder

159 500

159 500

159 500

 

 

 

 

varav BP26

159 500

159 500

159 500

 

 

 

 

– Vidmakthållen sjö- och flygräddning

159 500

159 500

159 500

 

 

 

 

Överföring till/från andra anslag

 

 

 

 

 

 

 

Övrigt

 

 

 

 

 

 

 

Förslag/beräknat anslag

353 808

353 808

353 808

 

 

 

 

1Statens budget enligt riksdagens beslut i december 2024 (bet. 2024/25:FiU10). Beloppet är således exklusive beslut om ändringar i statens budget.

Anslaget ökas med 159 500 000 kronor årligen från 2026 och framåt för att möta ökade utgifter i den verksamhet som anslaget finansierar.

Regeringen föreslår att 353 808 000 kronor anvisas under anslaget 1:4 Ersättning för sjöräddning och fritidsbåtsändamål för 2026. För 2027 och 2028 beräknas anslaget till 353 808 000 kronor respektive 353 808 000 kronor.

64

Prop. 2025/26:1 Utgiftsområde 22

3.5.51:5 Ersättning för viss kanal- och slussinfrastruktur

Tabell 3.26 Anslagsutveckling 1:5 Ersättning för viss kanal- och slussinfrastruktur

Tusental kronor

2024

Utfall

62 284

Anslagssparande

 

 

 

 

 

 

2025

Anslag

62 2841

Utgiftsprognos

62 284

2026

Förslag

85 284

 

 

 

 

 

 

 

2027

Beräknat

85 284

 

 

 

 

 

 

 

2028

Beräknat

85 284

 

 

 

 

 

 

 

1Inklusive beslut om ändringar i statens budget 2025 och förslag till ändringar i samband med denna proposition.

Ändamål

Anslaget får användas för utgifter för statsbidrag för att täcka drift och administration av Trollhätte kanal och slussar, Säffle kanal och övrig kanalverksamhet samt byggnadsminnen.

Skälen för regeringens förslag

Tabell 3.27 Förändringar av anslagsnivån 2026–2028 för 1:5 Ersättning för viss kanal- och slussinfrastruktur

Tusental kronor

 

2026

2027

2028

Anvisat 20251

62 284

62 284

62 284

Beslutade, föreslagna och aviserade åtgärder

23 000

23 000

23 000

varav BP26

23 000

23 000

23 000

 

 

 

 

– Upprustning och underhåll av kanaler och slussar

23 000

23 000

23 000

 

 

 

 

Överföring till/från andra anslag

 

 

 

Övrigt

 

 

 

 

 

 

 

Förslag/beräknat anslag

85 284

85 284

85 284

 

 

 

 

1 Statens budget enligt riksdagens beslut i december 2024 (bet. 2024/25: FiU10). Beloppet är således exklusive beslut om ändringar i statens budget.

Anslaget ökas med 23 000 000 kronor årligen fr.o.m. 2026 för att möta ökade utgifter i den verksamhet som anslaget finansierar.

Regeringen föreslår att 85 284 000 kronor anvisas under anslaget 1:5 Ersättning för viss kanal- och slussinfrastruktur för 2026. För 2027 och 2028 beräknas anslaget till

85 284 000 kronor respektive 85 284 000 kronor.

3.5.61:6 Ersättning avseende flygplatser

Tabell 3.28 Anslagsutveckling 1:6 Ersättning avseende flygplatser

Tusental kronor

2024

Utfall

292 717

Anslagssparande

5 596

 

 

 

 

 

2025

Anslag

296 0131

Utgiftsprognos

296 013

2026

Förslag

662 013

 

 

 

 

 

 

 

2027

Beräknat

692 013

 

 

 

 

 

 

 

2028

Beräknat

738 013

 

 

 

 

 

 

 

1Inklusive beslut om ändringar i statens budget 2025 och förslag till ändringar i samband med denna proposition.

Ändamål

Anslaget får användas för utgifter för att finansiera delar av driftunderskott vid kommunala och privata flygplatser som trafikeras av flyglinjer som upphandlas av staten eller vid kommunala och privata flygplatser som ingår i ett statligt nät av beredskapsflygplatser eller vid de ytterligare kommunala och privata flygplatser där det

65

Prop. 2025/26:1 Utgiftsområde 22

bedrivs reguljär inrikes linjetrafik av betydande omfattning. Anslaget får vidare användas för utgifter för att upprätthålla beredskap för samhällsviktiga transporter på vissa flygplatser. Anslaget får därutöver användas för ersättning till utförare av flygtrafiktjänst för flygningar där avgift inte får tas ut.

Skälen för regeringens förslag

Tabell 3.29 Förändringar av anslagsnivån 2026–2028 för 1:6 Ersättning avseende flygplatser

Tusental kronor

 

2026

2027

2028

Anvisat 20251

296 013

296 013

296 013

Beslutade, föreslagna och aviserade åtgärder

366 000

396 000

442 000

 

 

 

 

varav BP26

351 000

351 000

351 000

 

 

 

 

– Höjd ersättning för beredskapsflygplatser

33 000

33 000

33 000

 

 

 

 

– Ökat statligt bidrag till kommuner för driftstöd till icke-

 

 

 

statliga flygplatser

318 000

318 000

318 000

 

 

 

 

Överföring till/från andra anslag

 

 

 

 

 

 

 

Övrigt

 

 

 

 

 

 

 

Förslag/beräknat anslag

662 013

692 013

738 013

 

 

 

 

1Statens budget enligt riksdagens beslut i december 2024 (bet. 2024/25:FiU10). Beloppet är således exklusive beslut om ändringar i statens budget.

Regeringen föreslår att ersättningen till de 27 beredskapsflygplatserna höjs för att bidra till full kostnadstäckning för flygplatsernas jourberedskap för samhällsviktigt flyg. Anslaget ökas därför med 33 000 000 kronor fr.o.m. 2026.

De regionala flygplatserna är betydelsefulla för att hela Sverige ska fungera och de har en viktig roll för tillgängligheten för medborgarna, näringslivet och det samhällsviktiga flygets behov. Flygplatsernas betydelse för beredskap och totalförsvar har dessutom ökat. För att långsiktigt säkerställa att viktig flyginfrastruktur och samhällsviktig verksamhet fungerar bedömer regeringen även att det statliga bidraget till kommuner för driftstöd till de icke-statliga flygplatserna ska stärkas. Anslaget ökas därför med 318 000 000 kronor fr.o.m. 2026.

Regeringen föreslår att 662 013 000 kronor anvisas under anslaget 1:6 Ersättning avseende flygplatser för 2026. För 2027 och 2028 beräknas anslaget till

692 013 000 kronor respektive 738 013 000 kronor.

3.5.71:7 Trafikavtal

Tabell 3.30 Anslagsutveckling 1:7 Trafikavtal

Tusental kronor

2024

Utfall

959 671

Anslagssparande

-1 671

 

 

 

 

 

2025

Anslag

1 086 0001

Utgiftsprognos

1 092 335

2026

Förslag

1 055 000

 

 

 

 

 

 

 

2027

Beräknat

948 000

 

 

 

 

 

 

 

2028

Beräknat

964 000

 

 

 

 

 

 

 

1Inklusive beslut om ändringar i statens budget 2025 och förslag till ändringar i samband med denna proposition.

Ändamål

Anslaget får användas till utgifter för

66

Prop. 2025/26:1 Utgiftsområde 22

statens trafikavtal när det gäller transportpolitiskt motiverad interregional kollektivtrafik, samt

statligt tonnage för färjetrafiken till och från Gotland.

Skälen för regeringens förslag

Tabell 3.31 Förändringar av anslagsnivån 2026–2028 för 1:7 Trafikavtal

Tusental kronor

 

2026

2027

2028

Anvisat 20251

1 006 000

1 006 000

1 006 000

Beslutade, föreslagna och aviserade åtgärder

49 000

-58 000

-42 000

 

 

 

 

varav BP26

149 000

-133 000

-326 000

 

 

 

 

– Förändring anslagsnivå Trafikavtal

151 000

-131 000

-324 000

 

 

 

 

– Ändringar finansiell styrning av Trafikverket:

 

 

 

förvaltningskostnader

-2 000

-2 000

-2 000

 

 

 

 

Överföring till/från andra anslag

 

 

 

 

 

 

 

Övrigt

 

 

 

 

 

 

 

Förslag/beräknat anslag

1 055 000

948 000

964 000

 

 

 

 

1Statens budget enligt riksdagens beslut i december 2024 (bet. 2024/25:FiU10). Beloppet är således exklusive beslut om ändringar i statens budget.

Den interregionala tillgängligheten som den av staten upphandlade kollektivtrafiken skapar bör upprätthållas. Anslaget ökas därför med 151 000 000 kronor 2026 förutom de 80 000 000 kronor som tillförts 2025 efter regeringens förslag i propositionen Vårändringsbudget för 2025 (prop. 2024/25:99, avsnitt 3.18, utg.omr. 22, bet. 2024/25:21, rskr. 2024/25:262). Som en konsekvens av den senaste upphandlingen av färjetrafiken till och från Gotland för perioden 2027–2035 med sänkta kostnader i förhållande till föregående avtal samt den försenade användningen av nya fordon till den av staten upphandlade nattågstrafiken beräknas anslaget minska med

131 000 000 kronor 2027 och med 324 000 000 kronor 2028.

Till följd av den översyn som gjorts av den finansiella styrningen av Trafikverket föreslås ytterligare omfördelningar av medel mellan anslag som Trafikverket disponerar. En konsekvens av översynen är att anslaget minskas med

2 000 000 kronor fr.o.m. 2026.

Regeringen föreslår att 1 055 000 000 kronor anvisas under anslaget 1:7 Trafikavtal för 2026. För 2027 och 2028 beräknas anslaget till 948 000 000 kronor respektive

964 000 000 kronor.

Bemyndigande om ekonomiska åtaganden

Regeringens förslag

Regeringen bemyndigas att under 2026 för anslaget 1:7 Trafikavtal ingå ekonomiska åtaganden i samband med tjänstekoncessioner, avtal om trafiktjänst baserad på allmän trafikplikt, samverkansavtal och upphandling av transportpolitiskt motiverad trafik som inklusive tidigare åtaganden medför behov av framtida anslag på högst

5 000 000 000 kronor 2027–2035.

Skälen för regeringens förslag

Bemyndigandet föreslås vara lägre än jämfört med 2025. Orsaken till detta är att de utestående ekonomiska åtagandena beräknas bli lägre. Bemyndigandet föreslås vara något högre än beräknade utestående åtaganden för att ha marginal för den variation och osäkerhet som förekommer inom detta område. Regeringen bör bemyndigas att

67

Prop. 2025/26:1 Utgiftsområde 22

under 2026 för anslaget 1:7 Trafikavtal ingå ekonomiska åtaganden i samband med tjänstekoncessioner, avtal om trafiktjänst baserat på allmän trafikplikt, samverkans- avtal och upphandling av transportpolitiskt motiverad trafik som inklusive tidigare åtaganden medför behov av framtida anslag på högst 5 000 000 000 kronor 2027– 2035.

Tabell 3.32 Beställningsbemyndigande för anslaget 1:7 Trafikavtal

Tusental kronor

 

 

Prognos

 

Beräknat

Beräknat

Beräknat

 

Utfall 2024

2025

Förslag 2026

2027

2028

2029 – 2035

 

 

 

 

 

 

 

Ekonomiska

 

 

 

 

 

 

åtaganden vid årets

 

 

 

 

 

 

början

2 663 149

4 253 211

5 345 971

 

 

 

 

 

 

 

 

 

 

Nya ekonomiska

 

 

 

 

 

 

åtaganden

2 438 850

1 946 583

120 000

 

 

 

 

 

 

 

 

 

 

Utgifter mot anslag till

 

 

 

 

 

 

följd av ekonomiska

 

 

 

 

 

 

åtaganden

-944 235

-1 007 283

-906 000

-949 998

-789 541

-2 820 432

 

 

 

 

 

 

 

Övriga förändringar

 

 

 

 

 

 

av ekonomiska

 

 

 

 

 

 

åtaganden

95 447

153 460

 

 

 

 

 

 

 

 

 

 

 

Ekonomiska

 

 

 

 

 

 

åtaganden vid årets

 

 

 

 

 

 

slut

4 253 211

5 345 971

4 559 971

 

 

 

 

 

 

 

 

 

 

Beslutat/föreslaget

 

 

 

 

 

 

bemyndigande

8 800 000

8 000 000

5 000 000

 

 

 

 

 

 

 

 

 

 

Källa: Tabellen har tagits fram med utgångspunkt i Trafikverkets budgetunderlag för 2026–2028 samt kompletterande underlag från Trafikverket (LI2025/00502).

3.5.81:8 Viss internationell verksamhet

Tabell 3.33 Anslagsutveckling 1:8 Viss internationell verksamhet

Tusental kronor

2024

Utfall

30 000

Anslagssparande

557

2025

Anslag

30 5571

Utgiftsprognos

30 344

2026

Förslag

30 557

 

 

 

 

 

 

 

2027

Beräknat

30 557

 

 

 

 

 

 

 

2028

Beräknat

30 557

 

 

1Inklusive beslut om ändringar i statens budget 2025 och förslag till ändringar i samband med denna proposition.

Ändamål

Anslaget får användas för utgifter för Sveriges förpliktelser som värdland för Världssjöfartsuniversitetet (World Maritime University, WMU). Anslaget får även användas för utgifter som omfattar avgifter till internationella organisationer inom transportområdet.

68

Prop. 2025/26:1 Utgiftsområde 22

Skälen för regeringens förslag

Tabell 3.34 Förändringar av anslagsnivån 2026–2028 för 1:8 Viss internationell verksamhet

Tusental kronor

 

2026

2027

2028

Anvisat 20251

30 557

30 557

30 557

Beslutade, föreslagna och aviserade åtgärder

 

 

 

Överföring till/från andra anslag

 

 

 

 

 

 

 

Övrigt

 

 

 

 

 

 

 

Förslag/beräknat anslag

30 557

30 557

30 557

1Statens budget enligt riksdagens beslut i december 2024 (bet. 2024/25:FiU10). Beloppet är således exklusive beslut om ändringar i statens budget.

Regeringen föreslår att 30 557 000 kronor anvisas under anslaget 1:8 Viss internationell verksamhet för 2025. För 2026 och 2027 beräknas anslaget till 30 557 000 kronor respektive 30 557 000 kronor.

3.5.91:9 Statens väg- och transportforskningsinstitut

Tabell 3.35 Anslagsutveckling 1:9 Statens väg- och transportforskningsinstitut

Tusental kronor

2024

Utfall

87 100

Anslagssparande

-2 350

 

 

 

 

 

2025

Anslag

89 7411

Utgiftsprognos

86 782

2026

Förslag

88 896

 

 

2027

Beräknat

87 7202

 

 

2028

Beräknat

84 3673

 

 

1Inklusive beslut om ändringar i statens budget 2025 och förslag till ändringar i samband med denna proposition.

2Motsvarar 86 433 tkr i 2026 års prisnivå.

3Motsvarar 81 597 tkr i 2026 års prisnivå.

Ändamål

Anslaget får användas för utgifter för utredningsverksamhet, kompetensutveckling, lokaler, särskild utrustning, administration och det nationella transportforsknings- biblioteket BIC. Anslaget får vidare användas för forskning och medfinansiering som följer av Statens väg- och transportforskningsinstituts deltagande i EU-projekt. Anslaget får även användas för driften av ett nationellt kunskapscentrum om cykling.

69

Prop. 2025/26:1 Utgiftsområde 22

Skälen för regeringens förslag

Tabell 3.36 Förändringar av anslagsnivån 2026–2028 för 1:9 Statens väg- och transportforskningsinstitut

Tusental kronor

 

2026

2027

2028

Anvisat 20251

89 741

89 741

89 741

Pris- och löneomräkning2

1 655

3 016

4 758

Beslutade, föreslagna och aviserade åtgärder

-2 500

-5 037

-10 132

 

 

 

 

varav BP263

-2 500

-5 000

-10 000

– Besparing VTI

-2 500

-5 000

-10 000

Överföring till/från andra anslag

 

 

 

 

 

 

 

Övrigt

 

 

 

 

 

 

 

Förslag/beräknat anslag

88 896

87 720

84 367

1Statens budget enligt riksdagens beslut i december 2024 (bet. 2024/25:FiU10). Beloppet är således exklusive beslut om ändringar i statens budget.

2Pris- och löneomräkningen baseras på anvisade medel 2025. Övriga förändringskomponenter redovisas i löpande priser och inkluderar därmed en pris- och löneomräkning. Pris- och löneomräkningen för 2027–2028 är preliminär.

3Exklusive pris- och löneomräkning.

Regeringen föreslår att anslaget 1:9 Statens väg- och transportforskningsinstitut minskas med 2 500 000 kronor 2026, 5 000 000 kronor 2027 och 10 000 000 kronor fr.o.m. 2028 till följd av besparingar.

Regeringen föreslår att 88 896 000 kronor anvisas under anslaget 1:9 Statens väg- och transportforskningsinstitut för 2026. För 2027 och 2028 beräknas anslagen till

87 720 000 kronor respektive 84 367 000 kronor.

Budget för avgiftsbelagd verksamhet

Tabell 3.37 Uppdragsverksamhet

Tusental kronor

 

 

 

 

Ackumulerat

Uppdragsverksamhet

Intäkter

Kostnader

Resultat

resultat

Utfall 2024

56 240

57 791

-1551

13 224

 

 

 

 

 

(varav tjänsteexport)

3 360

3 218

142

-405

Prognos 2025

61 425

61 425

0

13 224

 

 

 

 

 

(varav tjänsteexport)

4 500

4 500

0

-405

 

 

 

 

 

Budget 2026

62 625

62 625

0

13 224

(varav tjänsteexport)

3 500

3 500

0

-405

 

 

 

 

 

3.5.101:10 Från EU-budgeten finansierade stöd till

Transeuropeiska nätverk

Tabell 3.38 Anslagsutveckling 1:10 Från EU-budgeten finansierade stöd till Transeuropeiska nätverk

Tusental kronor

2024

Utfall

732 521

Anslagssparande

35 980

 

 

 

 

 

2025

Anslag

550 0001

Utgiftsprognos

-34 756

2026

Förslag

1 000 000

 

 

 

 

 

 

 

2027

Beräknat

270 000

 

 

 

 

 

 

 

2028

Beräknat

150 000

 

 

 

 

 

 

 

1Inklusive beslut om ändringar i statens budget 2025 och förslag till ändringar i samband med denna proposition.

70

Prop. 2025/26:1 Utgiftsområde 22

Ändamål

Anslaget får användas till utgifter för bidrag som EU beviljar för finansiering av investeringar i projekt som ingår i TEN-T genom Fonden för ett sammanlänkat Europa.

Skälen för regeringens förslag

Tabell 3.39 Förändringar av anslagsnivån 2026–2028 för 1:10 Från EU-budgeten finansierade stöd till Transeuropeiska nätverk

Tusental kronor

 

2026

2027

2028

 

 

 

 

Anvisat 20251

950 000

950 000

950 000

Beslutade, föreslagna och aviserade åtgärder

50 000

-680 000

-800 000

 

 

 

 

Överföring till/från andra anslag

 

 

 

 

 

 

 

Övrigt

 

 

 

 

 

 

 

Förslag/beräknat anslag

1 000 000

270 000

150 000

 

 

 

 

1Statens budget enligt riksdagens beslut i december 2024 (bet. 2024/25:FiU10). Beloppet är således exklusive beslut om ändringar i statens budget.

Regeringen föreslår att 1 000 000 000 kronor anvisas under anslaget 1:10 Från EU- budgeten finansierade stöd till Transeuropeiska nätverk för 2026. För 2027 och 2028 beräknas anslaget till 270 000 000 kronor respektive 150 000 000 kronor.

3.5.111:11 Trängselskatt i Stockholm

Tabell 3.40 Anslagsutveckling 1:11 Trängselskatt i Stockholm

Tusental kronor

2024

Utfall

1 553 765

Anslagssparande

35 982

 

 

 

 

 

2025

Anslag

1 723 3811

Utgiftsprognos

1 726 290

2026

Förslag

2 024 325

 

 

 

 

 

 

 

2027

Beräknat

1 866 224

 

 

 

 

 

 

 

2028

Beräknat

1 901 410

 

 

1Inklusive beslut om ändringar i statens budget 2025 och förslag till ändringar i samband med denna proposition.

Ändamål

Anslaget får användas till utgifter för

investeringar i vägnätet i Stockholmsregionen som finansieras med överskott från trängselskatten,

statlig medfinansiering till projektering av utbyggnad av spårbunden kollektivtrafik i Stockholmsregionen,

medfinansiering av utbyggnad av spårbunden kollektivtrafik i Stockholmsregionen,

investeringskostnader och utbyte av utrustning i betalsystemet, samt

system- och administrationskostnader för trängselskatten i Stockholm.

71

Prop. 2025/26:1 Utgiftsområde 22

Skälen för regeringens förslag

Tabell 3.41 Förändringar av anslagsnivån 2026–2028 för 1:11 Trängselskatt i Stockholm

Tusental kronor

 

2026

2027

2028

Anvisat 20251

1 723 381

1 723 381

1 723 381

Beslutade, föreslagna och aviserade åtgärder

112 820

-80 440

381 210

varav BP26

112 820

-80 440

381 210

 

 

 

 

– Årlig saldoneutral justering av trängselskatt i Stockholm

112 820

-80 440

381 210

 

 

 

 

Överföring till/från andra anslag

 

 

 

Övrigt

188 124

223 283

-203 181

 

 

 

 

Förslag/beräknat anslag

2 024 325

1 866 224

1 901 410

 

 

 

 

1Statens budget enligt riksdagens beslut i december 2024 (bet. 2024/25:FiU10). Beloppet är således exklusive beslut om ändringar i statens budget.

Anslagets nivå för den aktuella budgetperioden justeras årligen. Det görs dels för att väga samman anslagets nivå med prognosen för nästkommande års beräknade intäkter från trängselskatten, dels för att justera anslagets nivå efter det senaste årets faktiska utfall. Detta för att korrekt belopp ska kunna användas för investeringar kommande år.

Anslaget 1:11 Trängselskatt i Stockholm ökas därför med 112 820 000 kronor 2026. För 2027 och 2028 beräknas anslaget minska med 80 440 000 kronor och öka med

381 210 000 kronor 2028.

Regeringen föreslår att 2 024 325 000 kronor anvisas under anslaget 1:11 Trängselskatt i Stockholm för 2026. För 2027 och 2028 beräknas anslaget till 1 866 224 000 kronor respektive 1 901 410 000 kronor.

Uppföljning av överskott i förhållande till avsatta medel

Tilldelningen av medel från trängselskatteinkomster till väginvesteringar utgår från en prognos av hur stort överskott trängselskattesystemet förväntas ge det kommande året, dvs. hur stort nettot av inbetald trängselskatt och kostnaderna för att administrera systemet förväntas bli. I fastställandet av de medel som avsätts till investeringar tas hänsyn till hur väl tidigare beräknade överskott och avsatta medel har stämt överens.

I tabell 3.42 finns en sammanställning av inbetald trängselskatt, kostnaderna för administration samt avsatta medel till väginvesteringar under perioden 2007–2024. Av tabellen framgår att den ackumulerade differensen mellan överskott och totalt avsatta medel vid utgången av 2024 uppgick till 352 720 000 kronor. Detta belopp läggs till det beräknade överskottet 2025, se vidare i tabell 3.44.

72

Prop. 2025/26:1 Utgiftsområde 22

Tabell 3.42 Trängselskatt i Stockholm – uppföljning av överskott i förhållande till avsatta medel till väginvesteringar

Tusental kronor

 

2007–2020

2021

2022

2023

2024

Intäkter från inbetald trängselskatt

15 216 807

1 937 169

1 917 524

1 877 708

1 895 766

 

 

 

 

 

 

Kostnader för administration

2 820 798

100 528

105 521

92 746

114 507

 

 

 

 

 

 

Överskott

12 396 009

1 836 641

1 812 003

1 784 962

1 781 529

Investeringar i vägnätet (Förbifart Stockholm och andra

 

 

 

 

 

väganknutna projekt i Stockholmsregionen samt

 

 

 

 

 

tunnelbanan i Stockholms län). Medlen avsatta på en

 

 

 

 

 

egen anslagspost i regleringsbrev exkl.

 

 

 

 

 

omdisponeringar under året.

11 947 945

2 097 370

1 802 000

1 507 587

1 379 885

 

 

 

 

 

 

Medel som omdisponerats

538 722

36 408

40 872

35 879

48 654

Summa totalt avsatta medel

12 486 667

2 133 778

1 842 872

1 543 466

1 428 539

 

 

 

 

 

 

Differens mellan överskott och avsatta medel

-90 658

-297 137

-30 869

241 496

352 720

 

 

 

 

 

 

Källor: Årsredovisningar från Trafikverket, Transportstyrelsen, Kronofogdemyndigheten, Sveriges Domstolar och Skatteverket för aktuella budgetår.

Uppföljning av avsatta medel och hur de har använts

Enligt den s.k. Stockholmsöverenskommelsen ska överskottet från trängselskatten huvudsakligen finansiera Förbifart Stockholm. Därutöver ska 5 000 000 000 kronor av överskottet användas till andra väganknutna projekt i Stockholmsregionen. Över- skottet ska även genom 2013 års Stockholmsförhandling bidra med medfinansiering av utbyggnaden av tunnelbanan i Stockholmsregionen.

Beräkningen av de medel som avsätts till investeringar är endast avsedd att visa de överskott som trängselskattesystemet ger och därmed inte hur stor del av överskottet som används till investeringar. Medel till investeringar som inte används enskilda år överförs i stället som anslagssparande till kommande år. Som framgår av tabell 3.43, hade ett anslagssparande på 9 089 000 kronor ackumulerats vid utgången av 2024.

Tabell 3.43 Trängselskatt i Stockholm – uppföljning av hur avsatta medel har använts

Tusental kronor

 

2008–2020

2021

2022

2023

2024

Investeringar i vägnätet (Förbifart Stockholm och andra

 

 

 

 

 

väganknutna projekt i Stockholmsregionen samt tunnelbanan i

 

 

 

 

 

Stockholms län). Medlen avsatta på en egen anslagspost i

 

 

 

 

 

regleringsbrev exkl. omdisponeringar under året.

12 325 295

2 097 370

1 802 000

1 507 587

1 378 885

 

 

 

 

 

 

Medel som omdisponerats

538 722

36 408

40 872

35 879

48 654

 

 

 

 

 

 

Ingående anslagssparande väginvesteringar

10 252 543

13 531

112 639

16 447

19 808

 

 

 

 

 

 

Summa totalt tillgängliga medel

23 116 560

2 147 309

1 955 511

1 559 913

1 448 347

 

 

 

 

 

 

Användning (kostnader för genomförda investeringar)

12 473 121

2 034 671

1 939 064

1 540 105

1 439 258

 

 

 

 

 

 

Utgående anslagssparande

10 643 439

112 638

16 447

19 808

9 089

 

 

 

 

 

 

Källor: Årsredovisningar från Trafikverket, Transportstyrelsen, Kronofogdemyndigheten, Sveriges Domstolar och Skatteverket för aktuella budgetår.

Beräkning av medel som ska avsättas till investeringar

Av tabell 3.44 framgår att nettoöverskottet från inbetalad trängselskatt beräknas uppgå till 1 707 373 000 kronor 2026. I beräkningen av hur stort belopp som ska avsättas till investeringar för 2026 tas hänsyn till den ackumulerade differensen mellan överskott och avsatta medel t.o.m. 2024 på 352 720 000 kronor, se tabell 3.42.

Med beaktande av beräknat överskott för 2025 samt differens mellan överskott och avsatta medel t.o.m. 2024 avser regeringen att avsätta 1 882 925 000 kronor till investeringar i Trafikverkets regleringsbrev för 2026, tabell 3.44.

73

Prop. 2025/26:1 Utgiftsområde 22

Tabell 3.44 Trängselskatten i Stockholm – beräkning av medel som avsätts till investeringar

Tusental kronor

 

Beräknat 2026

Beräknat 2027

Beräknat 2028

Intäkter från trängselskatt

1 848 773

1 866 229

1 901 214

 

 

 

 

Kostnader för administration

141 400

145 700

146 800

 

 

 

 

Överskott

1 707 373

1 720 529

1 754 414

 

 

 

 

Justering för ackumulerad

 

 

 

differens

175 552

 

 

 

 

 

 

Till väginvesteringar (avsätts på

 

 

 

anslagspost i Trafikverkets

 

 

 

regleringsbrev)

1 882 925

1 720 529

1 754 414

 

 

 

 

Källor: Årsredovisningar från Trafikverket, Transportstyrelsen, Kronofogdemyndigheten, Sveriges Domstolar och Skatteverket för aktuella budgetår.

Beräkning av anslagsnivån

Trängselskatt är en statlig tids- och platsrelaterad skatt som tas ut med stöd av lagen (2004:629) om trängselskatt. Skattskyldighet inträder när en skattepliktig bil brukas vid passage av en betalstation. Trängselskatten syftar till att förbättra framkomligheten, förbättra miljön och bidra till att finansiera infrastruktursatsningar. Lagen gäller hela Sverige, men närmare bestämmelser om var och när skatt tas ut samt skattens storlek finns i särskilda bilagor till lagen. För närvarande tas trängselskatt ut i Stockholms kommun och Göteborgs kommun (10 § lagen om trängselskatt). Anslaget förändras därför i sedvanlig ordning, och som framgår i tabell 3.45 avsätts 1 882 925 000 kronor till investeringar 2026. Dessutom avsätts sammanlagt 141 400 000 kronor för administrationskostnader. Det sammanlagda anslagsbehovet för 2026 blir därmed

2 024 325 000 kronor.

Tabell 3.45 Anslaget 1:11 Trängselskatt i Stockholm – fördelning på anslagsposter

Tusental kronor

 

Beräknat 2026

Beräknat 2027

Beräknat 2028

 

 

 

 

Trafikverket: Investeringar i vägnätet

 

 

 

(Förbifart Stockholm och andra

 

 

 

väganknutna projekt i

 

 

 

Stockholmsregionen samt spårbunden

 

 

 

kollektivtrafik i Stockholms län)

1 882 925

1 720 529

1 754 414

 

 

 

 

Trafikverket: administration

34 491

35 991

35 991

 

 

 

 

Transportstyrelsen: administration

86 500

89 300

90 400

 

 

 

 

Kronofogdemyndigheten: administration

5 909

5 909

5 909

 

 

 

 

Sveriges Domstolar: administration

1 000

1 000

1 000

 

 

 

 

Skatteverket: administration

13 500

13 500

13 500

 

 

 

 

Summa

2 024 325

1 866 299

1 901 214

 

 

 

 

Källor: Årsredovisningar från Trafikverket, Transportstyrelsen, Kronofogdemyndigheten, Sveriges Domstolar och Skatteverket samt Regeringskansliets beräkningar.

Bemyndigande om ekonomiska åtaganden

Regeringens förslag

Regeringen bemyndigas att under 2026 för anslaget 1:11 Trängselskatt i Stockholm ingå ekonomiska åtaganden som inklusive tidigare åtaganden medför behov av framtida anslag på högst 77 000 000 000 kronor 2027–2060.

Skälen för regeringens förslag

De investeringar i väginfrastrukturen som finansieras från anslaget för trängselskatt i Stockholm förutsätter att Trafikverket ingår avtal med externa parter om ekonomiska

74

Prop. 2025/26:1 Utgiftsområde 22

åtaganden för flera år framåt i tiden. Bemyndigandet bör avse all upphandlad verksamhet där fleråriga avtal sluts, som inte faller under 6 kap. 2 § budgetlagen. Bemyndigandet avser det totalbelopp som regeringen får ha bundit upp i avtal vid budgetårets utgång. I beräkningarna av bemyndigandet inkluderas även upptagna lån som planeras att återbetalas med anslaget samt framtida räntekostnader på upptagna lån.

Vid beräkningarna av framtida ränta används en långsiktig jämviktsränta som fr.o.m. den 1 januari 2026 är 3,30 procent vilken är fastställd av den europeiska tillsyns- myndigheten European Insurance and Occupational Pensions Authority (EIOPA). Räntekostnader redovisas som ett åtagande inom bemyndiganderamen först då lån har tagits upp. Avgörande för när ett åtagande inträffar är vanligen när respektive kontrakt tecknas. Ekonomiska åtaganden som staten ingår i samband med överenskommelser med kommuner, regioner eller företag om medfinansiering av transportinfrastruktur ska dock i vissa fall omfattas av begärda bemyndiganden redan det år staten ingår sådana överenskommelser. De exakta tidpunkterna för kontraktstecknandet i de enskilda fallen kan vara svåra att förutse. Av detta följer att det behövs en viss flexibilitet i bemyndigandet. Utan en sådan försämras möjligheterna för att genomföra kostnadseffektiva upphandlingar och därmed också ett kostnadseffektivt byggande. Exempelvis kan det då bli nödvändigt att skjuta upp den avslutande delen av en upphandling för att inte överskrida bemyndigandet vilket försenar och kan fördyra projektgenomförandet. Regeringen bör därför bemyndigas att under 2026 för anslaget 1:11 Trängselskatt i Stockholm ingå ekonomiska åtaganden som inklusive tidigare åtaganden medför behov av framtida anslag på högst 77 000 000 000 kronor 2027– 2060.

Tabell 3.46 Beställningsbemyndigande för anslaget 1:11 Trängselskatt i Stockholm

Tusental kronor

 

 

 

 

 

 

Beräknat 2029 –

 

Utfall 2024

Prognos 2025

Förslag 2026

Beräknat 2027

Beräknat 2028

2060

Ekonomiska åtaganden vid

 

 

 

 

 

 

årets början

59 611 240

67 915 055

71 889 814

 

 

 

 

 

 

 

 

 

 

Nya ekonomiska åtaganden

7 542 000

815 557

6 700 000

 

 

 

Utgifter mot anslag till följd av

 

 

 

 

 

 

ekonomiska åtaganden

-1 187 276

-1 027 802

-1 768 605

-1 720 524

-1 373 400

-73 727 285

 

 

 

 

 

 

 

Övriga förändringar av

 

 

 

 

 

 

ekonomiska åtaganden

1 949 091

4 187 004

 

 

 

 

 

 

 

 

 

 

 

Ekonomiska åtaganden vid

 

 

 

 

 

 

årets slut

67 915 055

71 889 814

76 821 209

 

 

 

Beslutat/föreslaget

 

 

 

 

 

 

bemyndigande

77 000 000

77 000 000

77 000 000

 

 

 

 

 

 

 

 

 

 

Låneram

Överskottet från trängselskatten ska i enlighet med den s.k. Stockholms- överenskommelsen finansiera bl.a. Förbifart Stockholm. Därutöver ska överskottet användas till andra väganknutna projekt i Stockholmsregionen för 5 000 000 000 kronor i 2009 års priser samt för utbyggnad av spårbunden kollektivtrafik i Stockholmsregionen. Den del av investeringarna som täcks av framtida skatteintäkter finansieras genom lån i Riksgäldskontoret. Dessa lån redovisas under anslaget 1:1 Utveckling av statens transportinfrastruktur tillsammans med övriga lån som Trafikverket tar upp för infrastrukturprojekt, eftersom de ingår i den samlade låneramen för infrastrukturprojekt. Lån tas även upp för räntekostnader. Räntor och återbetalning av lån kommer att belasta anslaget 1:11 Trängselskatt i Stockholm.

75

Prop. 2025/26:1 Utgiftsområde 22

3.5.121:12 Transportstyrelsen

Tabell 3.47 Anslagsutveckling 1:12 Transportstyrelsen

Tusental kronor

2024

Utfall

3 552 174

Anslagssparande

-1 261

 

 

 

 

 

2025

Anslag

2 663 9871

Utgiftsprognos

2 611 672

2026

Förslag

2 704 834

 

 

 

 

 

 

 

2027

Beräknat

2 738 0472

 

 

2028

Beräknat

2 788 8643

 

 

1Inklusive beslut om ändringar i statens budget 2025 och förslag till ändringar i samband med denna proposition.

2Motsvarar 2 699 011 tkr i 2026 års prisnivå.

3Motsvarar 2 699 003 tkr i 2026 års prisnivå.

Ändamål

Anslaget får användas för Transportstyrelsens förvaltningsutgifter samt för att betala svenskt medlemskap i internationella organisationer inom transportområdet. Anslaget får även användas för system- och administrationsutgifter förknippade med Transportstyrelsens uppbörd av andra skatter än trängselskatt samt för utbetalning av statsbidrag till vårdgivare för inrapportering av uppgifter till Transportstyrelsens olycksdatabas, Strada. Anslaget får även användas för bidrag för att främja fler direkt- linjer till Arlanda.

Skälen för regeringens förslag

Tabell 3.48 Förändringar av anslagsnivån 2026–2028 för 1:12 Transportstyrelsen

Tusental kronor

 

2026

2027

2028

 

 

 

 

Anvisat 20251

2 660 987

2 660 987

2 660 987

Pris- och löneomräkning2

56 669

95 916

147 053

Beslutade, föreslagna och aviserade åtgärder

-12 822

-18 857

-19 176

 

 

 

 

varav BP263

-30 500

-30 500

-30 500

– Disponering av avgiftsinkomster inom

 

 

 

typgodkännandeverksamheten

-40 500

-40 500

-40 500

 

 

 

 

– Aktivt arbete för fler direktlinjer till Arlanda

10 000

10 000

10 000

 

 

 

 

Överföring till/från andra anslag

 

 

 

 

 

 

 

Övrigt

 

 

 

 

 

 

 

Förslag/beräknat anslag

2 704 834

2 738 047

2 788 864

 

 

 

 

1Statens budget enligt riksdagens beslut i december 2024 (bet. 2024/25:FiU10). Beloppet är således exklusive beslut om ändringar i statens budget.

2Pris- och löneomräkningen baseras på anvisade medel 2025. Övriga förändringskomponenter redovisas i löpande priser och inkluderar därmed en pris- och löneomräkning. Pris- och löneomräkningen för 2027–2028 är preliminär.

3Exklusive pris- och löneomräkning.

Regeringen bedömer att det är lämpligt att ändra redovisningen av de avgifter Transportstyrelsen tar ut inom verksamheten för typgodkännande inom vägtrafik- området så att de inte längre redovisas mot inkomsttitel utan i stället disponeras av myndigheten. Anslaget minskas därför med 40 500 000 kronor för 2026. För 2027– 2030 beräknas anslaget minska med 40 500 000 kronor och fr.o.m. 2031 beräknas anslaget minska med 2 500 000 kronor.

Regeringen avser stärka Stockholm-Arlanda flygplats konkurrenskraft och Sverige som besöksland genom att tillföra medel till Transportstyrelsen för arbetet med att förbättra förutsättningarna för nya internationella flyglinjer genom ambitiösa luftfarts- avtal och effektiv tillståndshantering samt främjandet av fler direktlinjer till Sverige

76

Prop. 2025/26:1 Utgiftsområde 22

och Stockholm-Arlanda flygplats. Anslaget ökas därför med 10 000 000 kronor per år fr.o.m. 2026 t.o.m. 2030.

Regeringen föreslår att 2 704 834 000 kronor anvisas under anslaget

1:12 Transportstyrelsen för 2026. För 2027 och 2028 beräknas anslaget till 2 738 047 000 kronor respektive 2 788 864 000 kronor.

Bemyndigande att disponera inkomsterna från avgifter inom verksamheten för typgodkännande inom vägtrafikområdet

Regeringens förslag

Riksdagen bemyndigar regeringen att disponera de avgifter som tas ut med stöd av lagen (1975:88) med bemyndigande att meddela föreskrifter om trafik, transporter och kommunikationer, lagen (1998:1707) om åtgärder mot buller och avgaser från mobila maskiner, fordonslagen (2002:574) och avgasreningslagen (2011:318) för ärende- handläggning och tillsyn avseende typgodkännandeverksamhet.

Skälen för regeringens förslag

I enlighet med de finansieringsprinciper som gäller för Transportstyrelsens verksamhet finansieras verksamheten för typgodkännande inom vägtrafikområdet genom att avgifter motsvarande full kostnadstäckning tas ut av fordonstillverkare och andra berörda aktörer. Inkomsterna från avgifterna redovisas sedan mot inkomsttitel, vilket betyder att Transportstyrelsen inte disponerar avgiftsinkomsterna. Transportstyrelsen tilldelas i stället ett anslag för verksamheten.

Transportstyrelsen inkom i april 2025 med en framställan om att myndigheten ska få disponera avgiftsinkomsterna inom typgodkännandeverksamheten avseende fordon i vägtrafik (LI2025/00914). Verksamheten för typgodkännande inom vägtrafikområdet har vuxit kraftigt sedan Storbritanniens utträde ur EU inleddes. Nuvarande finansiering via anslag är inte tillräckligt flexibel för att hantera en växande och svår- förutsägbar verksamhet. Transportstyrelsen behöver bättre förutsättningar att anpassa verksamheten efter efterfrågan och teknikutvecklingen på området, vilket bl.a. skulle erbjuda fordonstillverkarna en förutsägbar typgodkännandeprocess och långsiktiga planeringsförutsättningar. Regeringen bedömer därför att det är lämpligt att ändra redovisningen av inkomsterna från avgifter inom verksamheten för typgodkännande inom vägtrafikområdet så att de inte längre redovisas mot inkomsttitel utan i stället kan disponeras av myndigheten.

Rörelsekapital

Regeringens förslag

Riksdagen bemyndigar regeringen att för 2026 besluta om en kredit i Riksgäldskontoret för att tillgodose Tranportstyrelsens behov av rörelsekapital vid utbetalningar inom ramen för det gemensamma avgiftsutjämningsystemet för säkerhetskontroll av passagerare och deras bagage samt det internationella systemet för undervägsavgiften som inklusive tidigare utnyttjad kredit uppgår till högst

2 300 000 000 kronor.

Skälen för regeringens förslag

Transportstyrelsen behöver tillgång till rörelsekapital för att finansiera utbetalningar inom ramen för det gemensamma avgiftsutjämningssystemet för säkerhetskontroll av passagerare och deras bagage (GAS). Avgiftsutjämningssystemet innebär att samtliga svenska säkerhetsgodkända flygplatsers kostnader för säkerhetskontroll ackumuleras

77

Prop. 2025/26:1 Utgiftsområde 22

och fördelas per avresande passagerare. Transportstyrelsen fakturerar därefter kostnaden per säkerhetskontroll till flygbolaget som transporterar passageraren. Utbetalningarna sker före inbetalningarna i enlighet med regelverket, vilket innebär en belastning på Transportstyrelsens likviditetsförsörjning. Pandemin medförde en kraftigt minskad flygtrafik som innebär att behovet av rörelsekapital ökat kraftigt, då flygtrafiken har en direkt påverkan på Transportstyrelsens intäkter från GAS. Myndigheten behöver därutöver tillgång till rörelsekapital för att hantera utbetalningar inom ramen för det internationella systemet för undervägsavgiften (avgift för flygtrafiktjänster). Pandemin och den därmed kraftigt minskade flygtrafiken hade en direkt påverkan även på Transportstyrelsens intäkter från undervägsavgiften. Trafik- volymerna är också fortsättningsvis på en lägre nivå än innan pandemin, vilket innebär att negativa balanser har fortsatt att upparbetas. Regeringen bedömer att en särskild kredit för dessa transfereringar bedöms utgöra en lämpligare hantering av behov av rörelsekapital än att hantera det med ordinarie räntekontokredit.

Tabell 3.49 Övriga kontokrediter i statens verksamhet

Tusental kronor

 

 

Beslutad

Maximalt

Beslutad

Begärd

 

 

 

Utgiftsområde

Ändamål

kreditram 20241

utnyttjande 2024

kreditram 20251

kreditram 2026

 

Transportstyrelsens

 

 

 

 

 

behov av

 

 

 

 

 

rörelsekapital för

 

 

 

 

22

transfereringar

2 050 000

2 050 987

1 800 000

2 300 000

 

 

 

 

 

 

Summa

 

2 050 000

2 050 987

1 800 000

2 300 000

1Av riksdagen beslutad övrig kontokredit exklusive beslut om ändringar i statens budget. Källa: Transportstyrelsens budgetunderlag 2026–2028 (LI2025/00514).

Budget för avgiftsbelagd verksamhet

Tabell 3.50 Offentligrättslig verksamhet – intäkter som inte får disponeras

Tusental kronor

 

 

 

 

 

 

Verksamhet

 

 

 

Kostnader

 

 

 

 

 

 

 

 

Verksamhet där

 

 

 

som ska

 

Ack. resultat

intäkterna inte

Ack. Resultat

Resultat år

Verksamhetens

täckas år

Resultat år

utgående år

disponeras1

t.o.m. år 2024

2025

intäkter år 2026

2026

2026

2026

Offentligrättslig

 

 

 

 

 

 

verksamhet

-238 561

115 000

1 788 000

1 748 000

40 000

-83 561

1Verksamheten för typgodkännande inom vägtrafikområdet kommer enligt förslag i denna proposition att ombildas vid årsskiftet så att intäkterna från 2026 kan disponeras av Transportstyrelsen. Beslutar riksdagen i enlighet med regeringens förslag kommer detta att påverka redovisningen i denna tabell. Fr.o.m. budgetpropositionen för 2027 kommer denna verksamhet också att redovisas i tabell Offentligrättslig verksamhet – intäkter som disponeras.

Källa: Transportstyrelsens budgetunderlag 2026–2028 (LI2025/00514).

I enlighet med de finansieringsprinciper som gäller för Transportstyrelsens verksamhet tar myndigheten ut avgifter för att täcka kostnader för tillståndsprövning, tillsyn och registerhållning. Intäkterna från dessa verksamheter redovisas mot inkomsttitel.

I tabell 3.50 redovisas den offentligrättsliga verksamhet där intäkterna inte får disponeras och som har krav på full kostnadstäckning. I tabellen ingår därmed inte avgiftsbelagd verksamhet med obestämt ekonomiskt mål utan krav på full kostnads- täckning.

Ackumulerade underskott finns inom alla trafikslag. Betydande negativa ackumulerade resultat finns inom framför allt vägtrafikområdet och luftfartsområdet, vilket till stor del är hänförligt till uteblivna avgiftshöjningar under 2021 och begränsade avgifts- höjningar till 2022. Även inom sjöfartsområdet ackumulerades betydande negativa balanser, men dessa har efter utgången av 2024 i allt väsentligt redan balanserats.

78

Prop. 2025/26:1 Utgiftsområde 22

Regeringen beslutade den 28 oktober 2021 att Transportstyrelsen inom områdena väg- trafik, luftfart och sjöfart ska beräkna avgifterna så att intäkterna senast 2028 täcker samtliga med verksamheten direkt eller indirekt förenade kostnader, vilket innebär förlängd tid för att nå balans inom dessa områden (I2021/02825).

Regeringen beslutade vidare den 20 december 2023 att justera ned del av ackumulerat underuttag av avgifter t.o.m. 2022 inom samtliga trafikslag med totalt

89 000 000 kronor (LI2023/03881).

För att uppnå balans senast till 2028 har avgifterna höjts i tre steg under perioden 2023–2025 och Transportstyrelsen budgeterar med ett positivt resultat under 2025. Transportstyrelsen kommer att följa hur balanserna utvecklas och utesluter inte fler avgiftshöjningar de kommande åren.

Tabell 3.51 Offentligrättslig verksamhet – intäkter som disponeras

Tusental kronor

 

 

 

 

Kostnader

 

 

 

 

 

 

som ska

 

Ack. resultat

 

Ack. Resultat

Resultat år

Verksamhetens

täckas år

Resultat år

utgående år

Verksamhet

t.o.m. år 2024

2025

intäkter år 2026

2026

2026

2026

Verksamhet där

 

 

 

 

 

 

intäkterna

 

 

 

 

 

 

disponeras1

 

 

 

 

 

 

Offentligrättslig

 

 

 

 

 

 

verksamhet

0

0

124 000

124 000

0

0

varav Tillsyn

 

 

 

 

 

 

Flygtrafiktjänst

0

0

31 000

31 000

0

0

 

 

 

 

 

 

 

varav Adm.

 

 

 

 

 

 

felparkering

0

0

25 000

25 000

0

0

 

 

 

 

 

 

 

varav Adm.

 

 

 

 

 

 

Infrastrukturavgift

 

 

 

 

 

 

Motala väg 50

0

0

6 000

6 000

0

0

 

 

 

 

 

 

 

varav Adm.

 

 

 

 

 

 

Infrastrukturavgift

 

 

 

 

 

 

Sundsvall E4

0

0

9 000

9 000

0

0

 

 

 

 

 

 

 

varav Adm.

 

 

 

 

 

 

Infrastrukturavgift

 

 

 

 

 

 

Skuru väg 222

0

0

16 000

16 000

0

0

 

 

 

 

 

 

 

varav Adm GAS2

0

0

37 000

37 000

0

0

1Verksamheten för typgodkännande inom vägtrafikområdet kommer enligt förslag i denna proposition att ombildas vid årsskiftet så att intäkterna från 2026 kan disponeras av Transportstyrelsen. Beslutar riksdagen i enlighet med regeringens förslag kommer detta att påverka redovisningen i denna tabell. Fr.o.m. budgetpropositionen för 2027 kommer denna verksamhet också att redovisas i denna tabell.

2Gemensamt avgiftsutjämningssystem för säkerhetskontroll av passagerare och deras bagage.

Källa: Transportstyrelsens budgetunderlag 2026–2028 (LI2025/00514).

När det gäller avgifter från infrastrukturavgifter, felparkeringsavgifter och avgifter som tas ut inom ramen för det gemensamma avgiftsutjämningssystemet för säkerhets- kontroll av passagerare och deras bagage (GAS) och det internationella systemet för undervägsavgiften (avgift för flygtrafiktjänster) som disponeras för särskilda ändamål, anges i tabell 3.51 den del av intäkterna som finansierar verksamhet inom Transportstyrelsen. Transportstyrelsen disponerar bl.a. intäkter från felparkerings- avgifter som tas ut för kommunernas räkning. Av de inbetalda felparkeringsavgifterna behåller staten en fastställd del för att täcka myndighetens kostnader. Transportstyrelsen disponerar den del av statens intäkter som behövs för att täcka utgifter för administration, medan resterande del redovisas mot inkomsttitel. I dessa fall blir resultatet alltid noll, eftersom den intäkt som täcker kostnaderna avräknas. Transportstyrelsen disponerar även intäkter som är av transfereringskaraktär, se tabell 3.53.

79

Prop. 2025/26:1 Utgiftsområde 22

Tabell 3.52 Offentligrättslig verksamhet 2026 – fördelning av budgeterade kostnader på verksamhetsområden och trafikslag

Tusental kronor

Verksamhet

Vägtrafik1

Järnväg

Sjöfart

Luftfart

Summa

Tillståndsgivning

462 000

30 000

28 000

70 000

590 000

 

 

 

 

 

 

Tillsyn

202 000

50 000

61 000

181 000

494 000

 

 

 

 

 

 

Registerhållning

866 000

3 000

15 000

13 000

897 000

Regelgivning

0

0

0

0

0

 

 

 

 

 

 

Summa

1 530 000

83 000

104 000

264 000

1 981 000

 

 

 

 

 

 

1Verksamheten för typgodkännande inom vägtrafikområdet kommer enligt förslag i denna proposition att ombildas vid årsskiftet så att intäkterna från 2026 kan disponeras av Transportstyrelsen. Beslutar riksdagen i enlighet med regeringens förslag kommer detta att påverka redovisningen i denna tabell.

Källa: Transportstyrelsens budgetunderlag 2026–2028 (LI2025/00514).

Av tabell 3.52 framgår hur de budgeterade kostnaderna i den avgiftsbelagda offentlig- rättsliga verksamheten inom Transportstyrelsen fördelas mellan de fyra trafikslagen och myndighetens verksamhetsområden. Regelgivning finansieras i sin helhet med skattemedel.

Tabell 3.53 Avgiftsfinansierade transfereringar

Tusental kronor

 

 

 

 

Kostnader

 

Ackumulerat

 

Ack resultat

 

 

som ska

 

resultat

 

t.o.m. år

Resultat år

Verksamhetens

täckas år

Resultat år

utgående år

Verksamhet

2024

2025

intäkter år 2026

20261

2026

2026

Avgiftsfinansierade

 

 

 

 

 

 

transfereringar

-870 838

-481 000

1 201 000

1 616 000

-415 000 -1 766 838

varav

 

 

 

 

 

 

Infrastrukturavgifter

 

 

 

 

 

 

Motala väg 50

 

 

16 000

16 000

 

 

varav

 

 

 

 

 

 

Infrastrukturavgifter

 

 

 

 

 

 

Sundsvall E4

 

 

50 000

50 000

 

 

varav

 

 

 

 

 

 

Infrastrukturavgifter

 

 

 

 

 

 

Skuru väg 222

 

 

66 000

66 000

 

 

varav Försäljning

 

 

 

 

 

 

personliga skyltar

 

 

16 000

16 000

 

 

 

 

 

 

 

 

varav GAS

-870 838

-481 000

752 000

1 167 000

-415 000 -1 766 838

varav CNS

 

 

120 000

120 000

 

 

 

 

 

 

 

 

 

Varav

 

 

 

 

 

 

Medlemsavgift

 

 

 

 

 

 

Eurocontrol

 

 

181 000

181 000

 

 

 

 

 

 

 

 

 

1Kostnaderna 2026 inom vägområdet består av den del av infrastrukturavgifter som tas ut på vägbroarna över Motalaviken, Sundsvallsfjärden och Skurusundet samt den del av försäljningen av personliga fordonsskyltar som betalas till Trafikverkets räntekonto. Kostnaderna 2026 inom luftfartsområdet består av den del av avgiften inom gemensamt avgiftsutjämningssystem för säkerhetskontroll av passagerare och deras bagage (GAS) som betalas ut till flygplatserna som ersättning för deras skäliga kostnader för säkerhetskontroll samt den del av undervägsavgiften som disponeras för ersättning till flygplatser för kostnader för kommunikation, navigation och övervakning, (CNS) samt för att betala medlemsavgift i Eurocontrol. Intäkterna uppgår till samma belopp som kostnaderna, utom för GAS, där intäkterna utgörs av den avgift flygbolagen betalar för att finansiera kostnaderna för säkerhetskontroll. I tabellen anges intäkter och kostnader enligt redovisningen. Uppgifterna innefattar även fordringar och skulder, vilket gör att resultatet för undervägsavgifter visar balans.

Källa: Transportstyrelsens budgetunderlag 2026–2028 (LI2025/00514).

När det gäller avgifter som disponeras för särskilda ändamål redovisas i tabell 3.51 den del av intäkterna som finansierar verksamhet inom Transportstyrelsen. Därutöver disponerar Transportstyrelsen intäkter inom luftfarts- och vägtrafikområdena som är av transfereringskaraktär, se tabell 3.53.

Hela det ackumulerade underskottet tom. 2024 avser gemensamt avgiftsutjämnings- system för säkerhetskontroll av passagerare och deras bagage (GAS). Underskottet

80

Prop. 2025/26:1 Utgiftsområde 22

upparbetades främst till följd av minskade intäkter inom GAS-systemet under pandemin då flygresandet minskade kraftigt. Även prognosen för 2025 uppvisar ett påtagligt negativt resultat.

Riksdagen har under 2024 beslutat att tillföra Transportstyrelsen 1 035 000 000 kronor för att täcka ackumulerat underskott t.o.m. 2022 avseende GAS (prop. 2023/24:99, bet.2023/24:FiU21, rskr. 2023/24:251). Transportstyrelsen har använt anvisade medel för att minska underskottet i avgiftsutjämningssystemet.

Tabell 3.54 Avgifter som redovisas mot inkomsttitel och som inte motsvaras av verksamhetskostnader inom Transportstyrelsen

Tusental kronor

 

Verksamhetens intäkter

Verksamhetens intäkter

Verksamhetens intäkter

Verksamhet

år 2024

år 2025

2026

 

 

 

 

Redovisning mot intäktstitel utan

 

 

 

motsvarande verksamhet

189 525

189 000

190 000

 

 

 

 

varav Överskott undervägsavgifter

4 722

4 000

5 000

 

 

 

 

varav Felparkeringsavgifter

52 503

53 000

53 000

 

 

 

 

varav Rest- och dröjsmålsavgifter

68 436

68 000

68 000

 

 

 

 

varav Överlastavgifter

30 763

31 000

31 000

 

 

 

 

varav Sanktionsavgift vid

 

 

 

överträdelser av kör- och vilotider

28 224

28 000

28 000

 

 

 

 

varav Sanktionsavgift vid

 

 

 

överträdelser av regler om

 

 

 

cabotage

520

1 000

1 000

 

 

 

 

varav Sanktionsavgift enligt NIS-

 

 

 

regleringen1

3 935

4 000

4 000

varav Övriga sanktionsavgifter

172

0

0

 

 

 

 

Varav Redovisning oplacerade

 

 

 

medel2

249

0

0

1NIS-regleringen baseras på EU:s NIS-direktiv som omfattar åtgärder för en hög gemensam nivå på säkerhet i nätverk och informationssystem.

2Inbetalningar till Transportstyrelsen som myndigheten inte har kunnat spåra mot en specifik fordran och därmed inte heller mot ett specifikt område. Dessa inbetalningar redovisas i stället in i till statens budget och redovisas mot inkomsttitel.

Källa: Transportstyrelsens budgetunderlag 2026–2028 (LI2025/00514).

Tabell 3.54 innehåller uppgifter om belopp som Transportstyrelsen redovisar mot inkomsttitel och som inte motsvaras av verksamhetskostnader inom Transportstyrelsen.

Tabell 3.55 Uppdragsverksamhet

Tusental kronor

 

Ack.

 

 

Kostnader

 

 

 

Resultat

 

 

som ska

 

Ack. resultat

 

t.o.m. år

Resultat år

Verksamhetens

täckas år

Resultat år

utgående år

Verksamhet

2024

2025

intäkter år 2026

2026

2026

2026

 

 

 

 

 

 

 

Uppdragsverksamhet

-23 220

16 000

140 000

130 000

10 000

2 780

 

 

 

 

 

 

 

varav

 

 

 

 

 

 

Informationsuttag

-34 844

19 000

133 000

121 000

12 000

-3 844

 

 

 

 

 

 

 

varav Övriga

 

 

 

 

 

 

uppdrag

11 624

-3 000

7 000

9 000

-2 000

6 624

 

 

 

 

 

 

 

Källa: Transportstyrelsens budgetunderlag 2026–2028 (LI2025/00514).

Den uppdragsverksamhet som Transportstyrelsen bedriver hör i huvudsak till väg- trafikområdet och omfattar bl.a. informationsuttag ur vägtrafikregistret.

Underskottet för uppdragsverksamheten härrör till området informationsuttag. För att uppnå årlig balans och balansera ackumulerat underskott har Transportstyrelsen höjt

81

Prop. 2025/26:1 Utgiftsområde 22

avgifterna vid ett flertal tillfällen under de senaste åren. De höjda avgifterna har gett ett positivt resultat, men under 2024 har effekten avstannat. Ytterligare avgifts- höjningar har skett fr.o.m. 2025.

Inom övrig uppdragsverksamhet finns vid utgången av 2024 ett överskott uppgående till 11 624 000 kronor, och som främst är hänförligt till SMS-tjänsten ”Vem äger fordonet?”. I syfte att balansera överskottet har Transportstyrelsen under 2023 gjort tjänsten avgiftsfri. Transportstyrelsen räknar med att balansera det ackumulerade resultatet över ytterligare cirka tre år.

3.5.131:13 Trafikanalys

Tabell 3.56 Anslagsutveckling 1:13 Trafikanalys

Tusental kronor

2024

Utfall

73 062

Anslagssparande

1 534

 

 

 

 

 

2025

Anslag

75 7451

Utgiftsprognos

74 491

2026

Förslag

80 268

 

 

 

 

 

 

 

2027

Beräknat

02

 

 

2028

Beräknat

03

 

 

1Inklusive beslut om ändringar i statens budget 2025 och förslag till ändringar i samband med denna proposition.

2Motsvarar 0 tkr i 2026 års prisnivå.

3Motsvarar 0 tkr i 2026 års prisnivå.

Ändamål

Anslaget får användas till Trafikanalys förvaltningsutgifter vilket omfattar statistik-, utvärderings- och analysverksamhet inom transportområdet. Anslaget får även användas för statistik-, utvärderings- och analysverksamhet avseende maritima näringar.

Skälen för regeringens förslag

Tabell 3.57 Förändringar av anslagsnivån 2026–2028 för 1:13 Trafikanalys

Tusental kronor

 

2026

2027

2028

 

 

 

 

Anvisat 20251

75 745

75 745

75 745

Pris- och löneomräkning2

1 523

2 573

3 965

Beslutade, föreslagna och aviserade åtgärder

3 000

-78 318

-79 710

 

 

 

 

varav BP263

3 000

-78 360

-78 360

– Utveckling av statistikproduktion

3 000

4 000

5 000

 

 

 

 

– En samlad analys och utvärderingsmyndighet

 

-82 360

-83 360

 

 

 

 

Överföring till/från andra anslag

 

 

 

 

 

 

 

Övrigt

 

 

 

 

 

 

 

Förslag/beräknat anslag

80 268

0

0

 

 

 

 

1Statens budget enligt riksdagens beslut i december 2024 (bet. 2024/25:FiU10). Beloppet är således exklusive beslut om ändringar i statens budget.

2Pris- och löneomräkningen baseras på anvisade medel 2025. Övriga förändringskomponenter redovisas i löpande priser och inkluderar därmed en pris- och löneomräkning. Pris- och löneomräkningen för 2027–2028 är preliminär.

3Exklusive pris- och löneomräkning.

Modernisering och digitalisering av Trafikanalys statistikproduktion är nödvändigt för att öka kvaliteteten i befintlig statistik och utveckla nödvändig statistik, t.ex. elektrifiering, bl.a. via nya datakällor vilket också minskar uppgiftslämnarbördan. Regeringen föreslår därför att anslaget 1:13 Trafikanalys ökas med 3 000 000 kronor 2026, 4 000 000 kronor 2027 och 5 000 000 fr.o.m. 2028.

82

Prop. 2025/26:1 Utgiftsområde 22

För etablerandet av en samlad analys- och utvärderingsmyndighet med ansvar för tillväxt och infrastruktur genom överförandet och inordnandet av Trafikanalys uppgifter i Myndigheten för tillväxtpolitiska utvärderingar och analyser beräknas anslaget 1:13 Trafikanalys minska med 82 360 000 kronor 2027 och 83 360 000 kronor fr.o.m. 2028. De 2 200 000 kronor som härrör till Maritim strategi på detta anslag kommer att föreslås omfördelas till något annat anslag inom utgiftsområde 22 Kommunikationer i budgetpropositionen för 2027.

Regeringen föreslår att 80 268 000 kronor anvisas under anslaget 1:13 Trafikanalys för 2026. För 2027 och 2028 beräknas anslaget till 0 kronor.

3.5.141:14 Trängselskatt i Göteborg

Tabell 3.58 Anslagsutveckling 1:14 Trängselskatt i Göteborg

Tusental kronor

2024

Utfall

771 415

Anslagssparande

20 035

 

 

 

 

 

2025

Anslag

745 2531

Utgiftsprognos

745 334

2026

Förslag

939 330

 

 

 

 

 

 

 

2027

Beräknat

981 228

 

 

 

 

 

 

 

2028

Beräknat

995 300

 

 

 

 

 

 

 

1Inklusive beslut om ändringar i statens budget 2025 och förslag till ändringar i samband med denna proposition.

Ändamål

Anslaget får användas till utgifter för

finansiering av investeringar i kollektivtrafik, järnväg och väg i Göteborgsregionen,

investeringskostnader och utbyte av utrustning i betalsystemet, samt

system- och administrationskostnader för trängselskatten i Göteborg.

Skälen för regeringens förslag

Tabell 3.59 Förändringar av anslagsnivån 2026–2028 för 1:14 Trängselskatt i Göteborg

Tusental kronor

 

2026

2027

2028

Anvisat 20251

745 253

745 253

745 253

Beslutade, föreslagna och aviserade åtgärder

-2 070

29 840

5 500

 

 

 

 

varav BP26

-2 070

29 840

5 500

 

 

 

 

– Årlig saldoneutral justering av trängselskatt i Göteborg

-2 070

29 840

5 500

 

 

 

 

Överföring till/från andra anslag

 

 

 

 

 

 

 

Övrigt

196 147

206 135

244 547

 

 

 

 

Förslag/beräknat anslag

939 330

981 228

995 300

 

 

 

 

1Statens budget enligt riksdagens beslut i december 2024 (bet. 2024/25:FiU10). Beloppet är således exklusive beslut om ändringar i statens budget.

Anslagets nivå för den aktuella budgetperioden justeras årligen. Det görs dels för att väga samman anslagets nivå med prognosen för nästkommande års beräknade intäkter från trängselskatten, dels för att justera anslagets nivå efter det senaste årets faktiska utfall. Detta för att korrekt belopp ska kunna användas för investeringar kommande år. Anslaget 1:14 Trängselskatt i Göteborg minskas därför med 2 070 000 kronor 2026. För 2027 och 2028 beräknas anslaget öka med 29 840 000 kronor respektive

5 500 000 kronor 2028.

83

Prop. 2025/26:1 Utgiftsområde 22

Regeringen föreslår att 939 330 000 kronor anvisas under anslaget 1:14 Trängselskatt i Göteborg för 2026. För 2027 och 2028 beräknas anslaget till 981 228 000 kronor respektive 995 300 000 kronor.

Uppföljning av överskott i förhållande till avsatta medel

Tilldelningen av medel från trängselskatteinkomster till investeringar i kollektivtrafik, järnväg och väg i Göteborg utgår från en prognos av hur stort överskott trängsel- skattesystemet förväntas ge det kommande året, dvs. hur stort nettot av inbetald trängselskatt och kostnaderna för att administrera systemet förväntas bli. I fastställandet av de medel som avsätts till investeringar tas hänsyn till hur väl tidigare beräknade överskott och avsatta medel har stämt överens.

I tabell 3.60 finns en sammanställning av inbetald trängselskatt, kostnaderna för administration samt avsatta medel till väginvesteringar under perioden 2013–2024. Av tabellen framgår att den ackumulerade differensen mellan överskott och totalt avsatta medel vid utgången av 2024 uppgick till 173 297 000 kronor. Detta belopp läggs till det beräknade överskottet 2025, se vidare i tabell 3.62.

Tabell 3.60 Trängselskatt i Göteborg – uppföljning av överskott i förhållande till avsatta medel till väginvesteringar

Tusental kronor

 

2013–2020

2021

2022

2023

2024

Intäkter från inbetald trängselskatt

7 259 559

877 400

923 330

938 155

947 756

 

 

 

 

 

 

Kostnader för administration

1 197 021

115 763

119 217

125 137

139 162

Överskott

6 062 538

761 637

804 113

813 018

808 595

 

 

 

 

 

 

Investeringar i kollektivtrafik, järnväg och väg i Göteborgsregionen

 

 

 

 

 

(på anslagspost i regleringsbrev, exkl. omdisponeringar gjorda

 

 

 

 

 

under resp. år)

5 363 282

861 099

878 250

773 755

613 485

 

 

 

 

 

 

Medel som omdisponerats

392 949

25 008

31 187

27 733

21 813

 

 

 

 

 

 

Summa totalt avsatta medel

6 029 231

886 107

909 437

801 488

635 298

 

 

 

 

 

 

Differens mellan överskott och avsatta medel

33 307

-124 470

-105 324

11 530

173 297

Källor: Årsredovisningar från Trafikverket, Transportstyrelsen, Kronofogdemyndigheten, Sveriges Domstolar och Skatteverket för aktuella budgetår.

Uppföljning av avsatta medel och hur de har använts

I Trafikverkets regleringsbrev för 2024 avsattes 613 485 000 kronor för finansieringen av investeringar i kollektivtrafik, järnväg och väg i Göteborg. Som framgår av tabell

3.61hade ett anslagssparande på 12 246 000 kronor ackumulerats vid utgången av 2024.

Tabell 3.61 Trängselskatt i Göteborg – uppföljning av hur avsatta medel har använts

Tusental kronor

 

2013–2020

2021

2022

2023

2024

Investeringar i kollektivtrafik, järnväg och

 

 

 

 

 

väg i Göteborgsregionen (på anslagspost i

 

 

 

 

 

regleringsbrev, exkl. omdisponeringar

 

 

 

 

 

gjorda under resp. år)

5 636 282

861 099

878 250

773 755

613 485

Medel som omdisponerats

392 949

25 008

31 187

27 733

21 813

 

 

 

 

 

 

Ingående anslagssparande

232 678

797

1 767

37 584

9 202

 

 

 

 

 

 

Summa tillgängliga medel

6 261 909

886 904

911 204

839 072

644 500

 

 

 

 

 

 

Användning (kostnader för genomförda

 

 

 

 

 

investeringar)

6 028 435

885 137

873 620

829 870

632 253

 

 

 

 

 

 

Utgående anslagssparande

233 474

1 767

37 584

9 202

12 246

 

 

 

 

 

 

Källor: Årsredovisningar från Trafikverket, Transportstyrelsen, Kronofogdemyndigheten, Sveriges Domstolar och

Skatteverket för aktuella budgetår.

84

Prop. 2025/26:1 Utgiftsområde 22

Beräkning av medel som ska avsättas till investeringar

Av tabell 3.62 framgår att nettoöverskottet från inbetalad trängselskatt beräknas uppgå till 793 122 000 kronor 2026. I beräkningen av hur stort belopp som ska avsättas till investeringar för 2026 tas hänsyn till den ackumulerade differensen mellan överskott och tidigare totalt avsatta medel 2024 på -11 663 000 kronor.

Med beaktande av beräknat överskott för 2025 samt differens mellan överskott och totalt avsatta medel 2024 avser regeringen att avsätta 781 459 000 kronor till investeringar i Trafikverkets regleringsbrev för 2026.

Tabell 3.62 Trängselskatten i Göteborg – beräkning av medel som avsätts till investeringar

Tusental kronor

 

Beräknat 2026

Beräknat 2027

Beräknat 2028

Intäkter från trängselskatt

955 089

981 227

993 597

 

 

 

 

Kostnader för administration

161 967

166 067

167 768

 

 

 

 

Överskott

793 122

815 160

825 829

 

 

 

 

Justering för ackumulerad differens

-11 663

 

 

 

 

 

 

Till väginvesteringar (avsätts på anslagspost i

 

 

 

Trafikverkets regleringsbrev)

781 459

815 829

820 668

 

 

 

 

Källa: Prognoser från Trafikverket, Transportstyrelsen, Kronofogdemyndigheten, Sveriges Domstolar och Skatteverket samt egna beräkningar.

Beräkning av anslagsnivån

Trängselskatt är en statlig tids- och platsrelaterad skatt som tas ut med stöd av lagen (2004:629) om trängselskatt. Skattskyldighet inträder när en skattepliktig bil brukas vid passage av en betalstation. Trängselskatten syftar till att förbättra framkomligheten, förbättra miljön och bidra till att finansiera infrastruktursatsningar. Lagen gäller hela Sverige, men närmare bestämmelser om var och när skatt tas ut samt skattens storlek finns i särskilda bilagor till lagen. För närvarande tas trängselskatt ut i Stockholms kommun och Göteborgs kommun (10 § lagen om trängselskatt). Anslaget förändras därför i sedvanlig ordning och som framgår i tabell 3.62 avsätts 781 459 000 kronor till investeringar 2026. Dessutom avsätts sammanlagt 161 967 000 kronor för administrationskostnader, se tabell 3.45. Det sammanlagda anslagsbehovet för 2026 blir därmed 943 426 000 kronor.

Tabell 3.63 Anslaget 1:14 Trängselskatt i Göteborg – fördelning på anslagsposter

Tusental kronor

 

Beräknat 2026

Beräknat 2027

Beräknat 2028

Trafikverket: Investeringar i

 

 

 

kollektivtrafik, järnväg och väg i

 

 

 

Göteborg

781 459

815 160

825 829

 

 

 

 

Trafikverket: administration

22 000

22 000

22 000

 

 

 

 

Transportstyrelsen: administration

123 700

127 800

129 500

 

 

 

 

Kronofogdemyndigheten: administration

2 867

2 867

2 867

 

 

 

 

Sveriges Domstolar: administration

900

900

900

 

 

 

 

Skatteverket: administration

12 500

12 500

12 500

 

 

 

 

Summa

943 426

981 227

993 597

 

 

 

 

Källa: Prognoser från Trafikverket, Transportstyrelsen, Kronofogdemyndigheten, Sveriges Domstolar och Skatteverket samt egna beräkningar.

85

Prop. 2025/26:1 Utgiftsområde 22

Bemyndigande om ekonomiska åtaganden

Regeringens förslag

Regeringen bemyndigas att under 2026 för anslaget 1:14 Trängselskatt i Göteborg ingå ekonomiska åtaganden som inklusive tidigare åtaganden medför behov av framtida anslag på högst 21 000 000 000 kronor 2027–2040.

Skälen för regeringens förslag

De investeringar i väginfrastrukturen som finansieras från anslaget för trängselskatt i Göteborg förutsätter att Trafikverket ingår avtal med externa parter om ekonomiska åtaganden för flera år framåt i tiden. Bemyndigandet bör avse all upphandlad verksamhet där fleråriga avtal sluts, som inte faller under 6 kap. 2 § budgetlagen. Bemyndigandet avser det totalbelopp som regeringen får ha bundit upp i avtal vid budgetårets utgång. I beräkningarna av bemyndigandet inkluderas även upptagna lån som planeras att återbetalas med anslaget samt framtida räntekostnader på upptagna lån.

Vid beräkningarna av framtida ränta används en långsiktig jämviktsränta som fr.o.m. den 1 januari 2026 är 3,30 procent vilken är fastställd av den europeiska tillsyns- myndigheten European Insurance and Occupational Pensions Authority (EIOPA). Räntekostnader redovisas som ett åtagande inom bemyndiganderamen först då lån har tagits upp. Avgörande för när ett åtagande inträffar är vanligen när respektive kontrakt tecknas. Ekonomiska åtaganden som staten ingår i samband med överenskommelser med kommuner, regioner eller företag om medfinansiering av transportinfrastruktur ska dock i vissa fall omfattas av begärda bemyndiganden redan det år staten ingår sådana överenskommelser. De exakta tidpunkterna för kontraktstecknandet i de enskilda fallen kan vara svåra att förutse. Av detta följer att det behövs en viss flexibilitet i bemyndigandet. Utan en sådan försämras möjligheterna för att genomföra kostnadseffektiva upphandlingar och därmed också ett kostnadseffektivt byggande. Exempelvis kan det då bli nödvändigt att skjuta upp den avslutande delen av en upp- handling för att inte överskrida bemyndigandet vilket försenar och kan fördyra projektgenomförandet. Regeringen bör därför bemyndigas att under 2026 för anslaget 1:14 Trängselskatt i Göteborg ingå ekonomiska åtaganden som inklusive tidigare åtaganden medför behov av framtida anslag på högst 21 000 000 000 kronor 2027– 2040.

Tabell 3.64 Beställningsbemyndigande för anslaget 1:14 Trängselskatt i Göteborg

Tusental kronor

 

 

 

 

 

 

Beräknat 2029 –

 

Utfall 2024

Prognos 2025

Förslag 2026

Beräknat 2027

Beräknat 2028

2040

Ekonomiska åtaganden vid

 

 

 

 

 

 

årets början

12 024 265

17 918 865

19 558 375

 

 

 

 

 

 

 

 

 

 

Nya ekonomiska åtaganden

4 884 250

2 001 433

1 950 000

 

 

 

Utgifter mot anslag till följd av

 

 

 

 

 

 

ekonomiska åtaganden

-613 000

-597 000

-777 363

-785 321

-822 033

-19 123 658

 

 

 

 

 

 

 

Övriga förändringar av

 

 

 

 

 

 

ekonomiska åtaganden

1 623 350

235 077

 

 

 

 

 

 

 

 

 

 

 

Ekonomiska åtaganden vid

 

 

 

 

 

 

årets slut

17 918 865

19 558 375

20 731 012

 

 

 

Beslutat/föreslaget

 

 

 

 

 

 

bemyndigande

21 000 000

21 000 000

21 000 000

 

 

 

 

 

 

 

 

 

 

86

Prop. 2025/26:1 Utgiftsområde 22

Låneram

Överskottet från trängselskatten i Göteborg ska bidra till finansieringen av investeringar i kollektivtrafik, järnväg och väg i Göteborg, bl.a. Västlänken samt en ny älvförbindelse för vägtrafik vid Marieholm. Den del av investeringarna som täcks av framtida skatteintäkter finansieras genom lån i Riksgäldskontoret. Dessa lån redovisas under anslaget 1:1 Utveckling av statens transportinfrastruktur eftersom de ingår i den samlade låneramen för infrastrukturprojekt. Lån tas även upp för räntekostnader. Räntor och återbetalning av lån kommer att belasta anslaget 1:14 Trängselskatt i Göteborg.

3.5.151:15 Sjöfartsstöd

Tabell 3.65 Anslagsutveckling 1:15 Sjöfartsstöd

Tusental kronor

2024

Utfall

1 417 865

Anslagssparande

82 135

 

 

 

 

 

2025

Anslag

1 550 0001

Utgiftsprognos

1 550 000

2026

Förslag

1 600 000

 

 

 

 

 

 

 

2027

Beräknat

1 700 000

 

 

 

 

 

 

 

2028

Beräknat

1 700 000

 

 

 

 

 

 

 

1Inklusive beslut om ändringar i statens budget 2025 och förslag till ändringar i samband med denna proposition.

Ändamål

Anslaget får användas till utgifter för sjöfartsstöd som lämnas till fysiska och juridiska personer samt till partrederier som har eller har haft sjömän anställda för arbete ombord på fartyg som är registrerade i ett nationellt fartygsregister i en stat inom Europeiska ekonomiska samarbetsområdet.

Skälen för regeringens förslag

Tabell 3.66 Förändringar av anslagsnivån 2026–2028 för 1:15 Sjöfartsstöd

Tusental kronor

 

2026

2027

2028

Anvisat 20251

1 550 000

1 550 000

1 550 000

Beslutade, föreslagna och aviserade åtgärder

 

 

 

 

 

 

 

Makroekonomisk utveckling

 

 

 

 

 

 

 

Volymer

50 000

150 000

150 000

 

 

 

 

Överföring till/från andra anslag

 

 

 

 

 

 

 

Övrigt

 

 

 

 

 

 

 

Förslag/beräknat anslag

1 600 000

1 700 000

1 700 000

 

 

 

 

1Statens budget enligt riksdagens beslut i december 2024 (bet. 2024/25:FiU10). Beloppet är således exklusive beslut om ändringar i statens budget.

Regeringen föreslår att 1 600 000 000 kronor anvisas under anslaget 1:15 Sjöfartsstöd för 2026. För 2027 och 2028 beräknas anslaget till 1 700 000 000 kronor respektive 1 700 000 000 kronor.

87

Prop. 2025/26:1 Utgiftsområde 22

3.5.161:16 Internationell tågtrafik

Tabell 3.67 Anslagsutveckling 1:16 Internationell tågtrafik

Tusental kronor

2024

Utfall

60 942

Anslagssparande

34 058

 

 

 

 

 

2025

Anslag

95 0001

Utgiftsprognos

59 582

2026

Förslag

65 000

 

 

 

 

 

 

 

2027

Beräknat

0

 

 

 

 

 

 

 

2028

Beräknat

0

 

 

1Inklusive beslut om ändringar i statens budget 2025 och förslag till ändringar i samband med denna proposition.

Ändamål

Anslaget får användas för utgifter för av staten upphandlad tågtrafik från Sverige till destinationer i andra länder. Anslaget får även användas för utgifter för förberedande utredningar inför upphandling, för utgifter för tillfällig juridisk, ekonomisk eller annan expertis vid ingående av nya avtal samt för förvaltningsutgifter som är direkt hänförliga till sådana avtal.

Skälen för regeringens förslag

Tabell 3.68 Förändringar av anslagsnivån 2026–2028 för 1:16 Internationell tågtrafik

Tusental kronor

 

2026

2027

2028

Anvisat 20251

95 000

95 000

95 000

Beslutade, föreslagna och aviserade åtgärder

-30 000

-95 000

-95 000

 

 

 

 

Överföring till/från andra anslag

 

 

 

 

 

 

 

Övrigt

 

 

 

 

 

 

 

Förslag/beräknat anslag

65 000

0

0

 

 

 

 

1Statens budget enligt riksdagens beslut i december 2024 (bet. 2024/25:FiU10). Beloppet är således exklusive beslut om ändringar i statens budget.

Regeringen föreslår att 65 000 000 kronor anvisas under anslaget 1:16 Internationell tågtrafik för 2026. För 2027 respektive 2028 beräknas anslaget till 0 kronor.

3.5.171:17 Infrastruktur för flygtrafiktjänst

Tabell 3.69 Anslagsutveckling 1:17 Infrastruktur för flygtrafiktjänst

Tusental kronor

2024

Utfall

339 678

Anslagssparande

15 322

 

 

 

 

 

2025

Anslag

379 0001

Utgiftsprognos

376 359

2026

Förslag

346 000

 

 

 

 

 

 

 

2027

Beräknat

299 000

 

 

 

 

 

 

 

2028

Beräknat

299 000

 

 

 

 

 

 

 

1Inklusive beslut om ändringar i statens budget 2025 och förslag till ändringar i samband med denna proposition.

Ändamål

Anslaget får användas för kapitalkostnader avseende investeringar samt övriga utgifter, drift och underhåll avseende statliga åtaganden för flygtrafiktjänst.

88

Prop. 2025/26:1 Utgiftsområde 22

Skälen för regeringens förslag

Tabell 3.70 Förändringar av anslagsnivån 2026–2028 för 1:17 Infrastruktur för flygtrafiktjänst

Tusental kronor

 

2026

2027

2028

Anvisat 20251

379 000

379 000

379 000

Beslutade, föreslagna och aviserade åtgärder

-33 000

-80 000

-80 000

Överföring till/från andra anslag

 

 

 

 

 

 

 

Övrigt

 

 

 

 

 

 

 

Förslag/beräknat anslag

346 000

299 000

299 000

1Statens budget enligt riksdagens beslut i december 2024 (bet. 2024/25:FiU10). Beloppet är således exklusive beslut om ändringar i statens budget.

Regeringen föreslår att 346 000 000 kronor anvisas under anslaget 1:17 Infrastruktur för flygtrafiktjänst för 2026. För 2027 och 2028 beräknas anslaget till 299 000 000 kronor respektive 299 000 000 kronor.

3.5.181:18 Lån till körkort

Tabell 3.71 Anslagsutveckling 1:18 Lån till körkort

Tusental kronor

2024

Utfall

7 060

Anslagssparande

44 406

 

 

 

 

 

2025

Anslag

31 4661

Utgiftsprognos

74

2026

Förslag

466

 

 

2027

Beräknat

0

 

 

 

 

 

 

 

2028

Beräknat

0

 

 

 

 

 

 

 

1Inklusive beslut om ändringar i statens budget 2025 och förslag till ändringar i samband med denna proposition.

Ändamål

Anslaget får användas för utgifter för lån till körkort för vissa personer.

Skälen för regeringens förslag

Tabell 3.72 Förändringar av anslagsnivån 2026–2028 för 1:18 Lån till körkort

Tusental kronor

 

2026

2027

2028

Anvisat 20251

31 466

31 466

31 466

Beslutade, föreslagna och aviserade åtgärder

-31 000

-31 466

-31 466

 

 

 

 

Överföring till/från andra anslag

 

 

 

 

 

 

 

Övrigt

 

 

 

 

 

 

 

Förslag/beräknat anslag

466

0

0

 

 

 

 

1Statens budget enligt riksdagens beslut i december 2024 (bet. 2024/25:FiU10). Beloppet är således exklusive beslut om ändringar i statens budget.

Regeringen föreslår att 466 000 kronor anvisas under anslaget 1:18 Lån till körkort för 2026. För 2027 respektive 2028 beräknas anslaget till 0 kronor.

89

Prop. 2025/26:1 Utgiftsområde 22

3.5.191:19 Obemannad luftfart

Tabell 3.73 Anslagsutveckling 1:19 Obemannad luftfart

Tusental kronor

2024

Utfall

18 762

Anslagssparande

11 238

 

 

 

 

 

2025

Anslag

30 0001

Utgiftsprognos

29 791

2026

Förslag

30 000

 

 

 

 

 

 

 

2027

Beräknat

30 000

 

 

 

 

 

 

 

2028

Beräknat

0

 

 

1Inklusive beslut om ändringar i statens budget 2025 och förslag till ändringar i samband med denna proposition.

Ändamål

Anslaget får användas för utgifter för Luftfartsverkets arbete med obemannad luftfart.

Skälen för regeringens förslag

Tabell 3.74 Förändringar av anslagsnivån 2026–2028 för 1:19 Obemannad luftfart

Tusental kronor

 

2026

2027

2028

 

 

 

 

Anvisat 20251

30 000

30 000

30 000

Beslutade, föreslagna och aviserade åtgärder

 

 

-30 000

 

 

 

 

Överföring till/från andra anslag

 

 

 

 

 

 

 

Övrigt

 

 

 

 

 

 

 

Förslag/beräknat anslag

30 000

30 000

0

 

 

 

 

1Statens budget enligt riksdagens beslut i december 2024 (bet. 2024/25:FiU10). Beloppet är således exklusive beslut om ändringar i statens budget.

Regeringen föreslår att 30 000 000 kronor anvisas under anslaget 1:19 Obemannad luftfart för 2026. För 2027 och 2028 beräknas anslaget till 30 000 000 kronor respektive 0 kronor.

3.5.20Sjöfartsverket

Sjöfartsverkets ekonomiska mål

Regeringens förslag

Sjöfartsverket ska över en konjunkturcykel ha en rörelsemarginal före avskrivningar på 12 procent. Vid beräkning av rörelsemarginalen ska investeringar som finansieras med medel från nationell plan för transportinfrastrukturen exkluderas. Sjöfartsverket ska även ha ett eget kapital som över en konjunkturcykel uppgår till minst 500 000 000 kronor.

Regeringen bemyndigas att besluta om utdelning och skattemotsvarighet vad avser Sjöfartsverkets ekonomiska resultat.

Skälen för regeringens förslag

Sjöfartsverket ska verka för att de transportpolitiska målen uppnås. Detta ska ske på ett företagsekonomiskt sätt och inom ramen för en samhällsekonomiskt effektiv och långsiktigt hållbar transportförsörjning. I Sjöfartsverkets uppdrag ingår bl.a. att planera och tillhandahålla infrastruktur och tjänster för sjöfarten i form av farleder, isbrytning, lotsning, sjögeografisk information samt att ansvara för sjö- och flygräddningstjänst. Verksamheten finansieras genom avgifter som betalas av handelssjöfarten i form av farledsavgifter och lotsavgifter, anslag samt övriga externa intäkter.

90

Prop. 2025/26:1 Utgiftsområde 22

För 2025 beslutade riksdagen om nya ekonomiska mål för Sjöfartsverket som ställer större krav på lönsamhet i verksamheten (prop. 2024/25:1 utg.omr. 22, avsnitt 3.5.20, bet. 2024/25:TU1, rskr. 2024/25:101). Den ökande lönsamheten ska möjliggöra ökade investeringar i verksamheten. Sjöfartsverkets investeringsbehov är stora efter att myndigheten på grund av en svag ekonomi under lång tid har byggt upp en underhållsskuld i bl.a. infrastrukturen till havs och i myndighetens båt- och fartygs- flotta.

Under 2024 var emellertid Sjöfartsverket långt ifrån att nå de ekonomiska målen. Sjöfartsverkets rörelseintäkter för 2024 uppgick till 2 961 miljoner kronor jämfört med 2 773 miljoner kronor året före. Rörelsekostnaderna uppgick till 3 416 miljoner kronor vilket kan jämföras med 2 876 miljoner kronor 2023. Rörelseresultatet uppgick till

-455 miljoner kronor för 2024. Det som bidrar till det mycket svaga resultatet är bl.a. ett antal större kostnadsposter av engångskaraktär se tabell 3.75.

Tabell 3.75 Verksamhetens rörelseintäkter och rörelseresultat fördelat på verksamhetsområden

Miljoner kronor

 

Intäkter

Intäkter

Resultat1

Resultat1

 

2023

2024

2023

2024

Sjöfartsverket,

 

 

 

 

totalt

2 773

2 961

1

0

 

 

 

 

 

Sjöfartsavgifter

1 690

1 879

 

 

 

 

 

 

 

Övriga

 

 

 

 

rörelseintäkter

467

524

 

 

 

 

 

 

 

1Beloppet avser resultat efter avsättningar till och upplösningar från resultat-utjämningsfonden. Källa: Sjöfartsverkets årsredovisning för 2024.

Sjöfartsverkets avgiftsintäkter ökade under 2024 med 189 miljoner kronor. De ökade avgiftsintäkterna var främst en följd av höjda avgifter. Den avgiftspliktiga trafik- volymen var i princip oförändrad mot året före. Sjöfartsverket erhöll för både 2023 och 2024 anslag på 300 miljoner kronor per år, s.k. klimatkompensation för att reducera farledsavgiftsuttaget med motsvarande belopp.

Relativt stora höjningar av avgiftstaxorna under 2024 bidrog till att hålla uppe intäkterna. Intäkterna har dock ökat betydligt mindre än kostnaderna vilket är förklaringen till det negativa rörelseresultatet. Kostnaderna har ökat med 540 miljoner kronor jämfört med året före, vilket främst förklaras av ökad inflation och ökade löne- kostnader samt en hel del kostnader av engångskaraktär samt höga kostnader för is- brytning till följd av den svåra isvintern 2024. Sjöfartsverket har emellertid löst upp bokslutsdispositioner vilket medfört ett resultat på 1 miljon kronor på sista raden.

Vid utgången av 2024 uppgick Sjöfartsverkets egna kapital till 936 miljoner kronor jämfört med 512 miljoner kronor 2023, dvs. en ökning med 424 miljoner kronor. Ökningen förklaras främst av en försäkringsteknisk omräkning av pensionsskulden, vilket har motverkats av en upplösning av den resultatutjämningsfond som Sjöfartsverket disponerar. De redovisningsprinciper för beräkning av pensionsskulden som gäller för Sjöfartsverket och övriga affärsverk innebär att verken tillämpar den ränta för skuldberäkning som Statens tjänstepensionsverk fastställer. Pensionsskulden uppgick vid årets slut till 3 015 miljoner kronor. Diskonteringsräntan för pensions- skulden uppgick 2024 till 0,5 procent vilket är 2 procentenheter högre än jämfört med 2023.

91

Prop. 2025/26:1 Utgiftsområde 22

Tabell 3.76 Prognos av Sjöfartsverkets resultat

Miljoner kronor där inte annat anges

 

2025

2026

2027

2028

Resultat efter

 

 

 

 

finansiella poster

- 268

- 106

- 30

12

 

 

 

 

 

Justerad

 

 

 

 

rörelsemarginal 1

 

 

 

 

(%)

1,4

12,3

15,0

16,5

 

 

 

 

 

Eget kapital (mnkr)

1 391

2 809

3 656

5 195

 

 

 

 

 

Soliditet2

28,7

44,0

49,6

57,4

Beräknad

 

 

 

 

skattemotsvarighet

0,0

0,0

0,0

0,0

 

 

 

 

 

1Justerad rörelsemarginal motsvarar rörelseresultat före avskrivningar i relation till omsättning exkl. bidrag för investeringar som finansiera från nationella planen för transportinfrastrukturen.

2Soliditet exklusive oförbrukade bidrag, s.k. justerad soliditet.

Källa: Sjöfartsverkets treårsplan för 2026–2028.

Uppföljning av investeringsplanen

Sjöfartsverkets investeringar uppgick till 2 367 miljoner kronor 2024 vilket är en ökning med 1 027 miljoner kronor jämfört med 2023. Investeringsbeloppet överens- stämmer relativt väl med investeringsplanen för 2024.

Sjöfartsverkets finansiella befogenheter

Regeringens förslag

Regeringen bemyndigas att under 2026 låta Sjöfartsverket ta upp lån i och utanför Riksgäldskontoret som inklusive tidigare upplåning uppgår till högst

100 000 000 kronor.

Regeringen bemyndigas att för 2026 låta Sjöfartsverket placera likvida medel på räntebärande konto i och utanför Riksgäldskontoret.

Skälen för regeringens förslag

Inriktningen är att Sjöfartsverket ska finansiera investeringar med egna likvida medel samt med lån. Med anledning av detta är regeringens förslag att Sjöfartsverkets låne- ram fastställs till 100 miljoner kronor. Vidare föreslår regeringen att Sjöfartsverket, i enlighet med nu gällande ordning, ges möjlighet att sätta in kassamässigt överskott på räntebärande konto i och utanför Riksgäldskontoret.

Tabell 3.77 Låneram för samhällsinvesteringar

Tusental kronor

 

 

Beslutad

 

Beslutad

Begärd

Beräknad

Beräknad

Utgifts-

 

låneram

Skuld

låneram

låneram

amortering

nyupplåning

område

Myndighet

20241

2024-12-31 20251

2026

2026

2026

22

Sjöfartsverket

100 000

 

100 000

100 000

 

 

 

 

 

 

 

 

 

 

 

Summa

100 000

 

100 000

100 000

 

 

 

 

 

 

 

 

 

 

1Av riksdagen beslutad låneram exklusive beslut om ändringar i statens budget.

Sjöfartsverkets investeringsplan

Regeringens förslag

Investeringsplanen för Sjöfartsverket för 2026–2028 godkänns som en riktlinje för Sjöfartsverkets investeringar.

92

Prop. 2025/26:1 Utgiftsområde 22

Skälen för regeringens förslag

Sjöfartsverkets investeringsplan för perioden 2026–2028 uppgår till totalt

14 250 miljoner kronor, se tabell 3.78. Den största förändringen i investeringsplanen mot föregående år avser främst något minskande investeringar i farleder och ökande investeringar i isbrytare. Därutöver avses investeringar genomföras i lotsbåtar, arbets- fartyg samt uppdatering av radar- och navigationsutrustning i befintliga fartyg. Vidare planerar Sjöfartsverket även för underhållsåtgärder i befintliga farleder. Regeringen delar Sjöfartsverkets bedömning när det gäller vilka investeringar som bör göras de närmaste åren. Regeringen föreslår därför att investeringsplanen för Sjöfartsverket godkänns som en riktlinje för myndighetens investeringar.

93

Prop. 2025/26:1 Utgiftsområde 22

Tabell 3.78 Investeringsplan för Sjöfartsverket

Miljoner kronor

 

Utfall

Prognos

Budget

Beräknat

Beräknat

Summa

 

2024

2025

2026

2027

2028

2026–2028

 

 

 

 

 

 

 

Anskaffning och utveckling

 

 

 

 

 

 

av nya investeringar

2 145

2 324

1 954

3 041

2 007

7 002

 

 

 

 

 

 

 

Farleder

1 755

2 018

1 763

2 890

1 855

6 507

 

 

 

 

 

 

 

Isbrytning

291

8

16

1

1

18

 

 

 

 

 

 

 

Sjötrafikservice

30

129

39

43

10

92

 

 

 

 

 

 

 

Sjögeografisk information

4

8

7

5

10

23

 

 

 

 

 

 

 

Lotsning

38

112

58

67

78

202

 

 

 

 

 

 

 

Sjö- och flygräddning

4

1

27

5

29

61

 

 

 

 

 

 

 

Gemensamma funktioner

24

48

44

31

24

99

 

 

 

 

 

 

 

varav investeringar i

 

 

 

 

 

 

anläggningstillgångar

2 145

2 324

1 954

3 041

2 007

7 002

 

 

 

 

 

 

 

– maskiner och inventarier

390

232

146

112

117

375

 

 

 

 

 

 

 

– fastigheter och

 

 

 

 

 

 

markanläggningar

1 744

2 019

1 753

2 890

1 845

6 488

 

 

 

 

 

 

 

– beredskapstillgångar

10

73

55

40

45

140

 

 

 

 

 

 

 

Finansiering av anskaffning

 

 

 

 

 

 

och utveckling

2 145

2 324

1 954

3 041

2 007

7 002

 

 

 

 

 

 

 

Anslag 1:1 Utveckling av

 

 

 

 

 

 

statens transportinfrastruktur

10

73

55

40

45

140

 

 

 

 

 

 

 

Anslag 1:4 Ersättning för

 

 

 

 

 

 

sjöräddning och

 

 

 

 

 

 

fritidsbåtsändamål

49

 

 

 

 

 

 

 

 

 

 

 

 

Egna medel

347

249

149

115

120

384

 

 

 

 

 

 

 

Bidrag/medfinansiering

1 739

2 002

1 750

2 887

1 842

6 478

 

 

 

 

 

 

 

Vidmakthållande av

 

 

 

 

 

 

befintliga investeringar

222

829

1 919

2 053

3 775

7 748

 

 

 

 

 

 

 

Farleder

53

118

211

366

492

1 068

 

 

 

 

 

 

 

Isbrytning

3

554

1 507

1 577

3 175

6 259

 

 

 

 

 

 

 

Sjötrafikservice

3

30

13

15

1

29

 

 

 

 

 

 

 

Sjögeografisk information

9

13

47

40

34

121

 

 

 

 

 

 

 

Lotsning

19

43

49

27

28

104

 

 

 

 

 

 

 

Sjö- och flygräddning

12

6

6

9

8

24

 

 

 

 

 

 

 

Gemensamma funktioner

123

65

86

19

38

142

 

 

 

 

 

 

 

varav investeringar i

 

 

 

 

 

 

anläggningstillgångar

222

829

1 919

2 053

3 775

7 748

 

 

 

 

 

 

 

– maskiner och inventarier

188

796

1 857

2 014

3 740

7 611

 

 

 

 

 

 

 

– fastigheter och

 

 

 

 

 

 

markanläggningar

11

24

32

31

27

90

 

 

 

 

 

 

 

– beredskapstillgångar

23

9

30

8

9

47

 

 

 

 

 

 

 

Finansiering

 

 

 

 

 

 

vidmakthållande

222

829

1 919

2 053

3 775

7 748

 

 

 

 

 

 

 

Anslag 1:1 Utveckling av

 

 

 

 

 

 

statens transportinfrastruktur

23

544

1 530

1 558

3 159

6 247

 

 

 

 

 

 

 

Egna medel

199

286

389

495

617

1 501

 

 

 

 

 

 

 

Totala utgifter för

 

 

 

 

 

 

anskaffning, utveckling och

 

 

 

 

 

 

vidmakthållande av

 

 

 

 

 

 

investeringar

2 367

3 154

3 874

5 094

5 782

14 750

 

 

 

 

 

 

 

Totalt varav investeringar i

 

 

 

 

 

 

anläggningstillgångar

2 367

3 154

3 874

5 094

5 782

14 750

 

 

 

 

 

 

 

94

Prop. 2025/26:1 Utgiftsområde 22

3.5.21Luftfartsverket

Luftfartsverkets ekonomiska mål

Regeringens förslag

Luftfartsverket ska över en konjunkturcykel ha en räntabilitet på eget kapital på 4 procent. Luftfartsverket ska ha ett eget kapital som uppgår till minst

700 000 000 kronor i genomsnitt över en konjunkturcykel.

Regeringen bemyndigas att besluta om utdelning och skattemotsvarighet vad avser Luftfartsverkets ekonomiska resultat.

Skälen för regeringens förslag

Luftfartsverkets huvuduppgift är att tillhandahålla en säker, effektiv och miljöanpassad flygtrafiktjänst för civil och militär luftfart och tjänster för planering och genom- förande av flygning för obemannad luftfart. Luftfartsverket ska verka för att de transportpolitiska målen uppnås. Luftfartsverket bedriver följande tjänster: civil och militär flygtrafikledning en route och för flygplats, luftrumstjänster, tekniska tjänster samt informationstjänster nationellt och internationellt. Verksamheten finansieras genom avgifter, främst i form av den s.k. undervägsavgiften som tas ut av den civila luftfarten. Undervägsavgiften och terminalavgifterna på Stockholm–Arlanda flygplats, som utgör mer än 70 procent av intäkterna, omfattas av de mål för flygtrafiktjänst och förutsättningar för uttag av avgifter som sätts i det gemensamma europeiska regel- verket avseende ett prestations- och avgiftssystem i det gemensamma europeiska luft- rummet.

Riksdagen beslutade efter förslag från regeringen i budgetpropositionen för 2022 att de ekonomiska målen för Luftfartsverket inte ska gälla under perioden 2022–2024 (prop. 2021/22:1 utg.omr. 22, bet. 2021/22: TU1, rskr. 2021/22:98). Regeringen föreslog i budgetpropositionen för 2025 att ekonomiska mål skulle återinföras från 2025 (prop. 2024/25:1, utg. omr. 22, avsnitt 3.5.21). Riksdagen beslutade enligt regeringens förslag (bet. 2024/25:TU1, rskr. 2024/25:101). Innevarande år är därmed det första året som de nya ekonomiska målen gäller.

Tabell 3.79 Verksamhetens rörelseintäkter och rörelseresultat fördelat på verksamhetsområden

Miljoner kronor

 

Intäkter

Intäkter

Resultat

Resultat

 

2023

2024

2023

2024

 

 

 

 

 

Luftfartsverket, totalt

3 584

744

-6

-6

 

 

 

 

 

varav luftfartsintäkter

2 880

-36

 

 

 

 

 

 

 

varav övriga rörelseintäkter

277

270

 

 

 

 

 

 

 

varav intäkter från anslag

347

427

 

 

 

 

 

 

 

Totala intäkter inkluderar också aktiverat arbete för egen räkning.

Källa: Luftfartsverkets årsredovisning för 2024.

Luftfartsverkets rörelseintäkter uppgick 2024 till 744 miljoner kronor, en minskning med 2 840 miljoner kronor jämfört med 2023. Den största skillnaden avser luftfarts- intäkterna som minskat till följd av avgiftssystemets tekniska konstruktion, där om- värdering av pensionsskulden får stort genomslag. Luftfartsverkets intäkter består till största delen av luftfartsintäkter (undervägs- och terminalavgifter). Utöver luftfarts- intäkterna får Luftfartsverket intäkter från anslag, kommersiella tjänster och aktiverat eget arbete. Anslagsintäkterna utgörs av medel från anslaget 1:1 Utveckling av statens transportinfrastruktur avseende civilt försvar, anslaget 1:17 Infrastruktur för flygtrafiktjänst m.m. samt anslaget 1:19 Obemannad luftfart. Intäkterna av anslag ökade under 2024 i

95

Prop. 2025/26:1 Utgiftsområde 22

förhållande till 2023 för samtliga dessa ändamål. Intäktsslagen kommersiella tjänster och aktiverat eget arbete var något lägre 2024 än 2023.

Resultatet efter finansiella poster uppgick 2024 till -2 734 miljoner kronor. På grund av den försäkringstekniska omvärderingen av pensionsskulden uppgick dock total- resultatet till 508 miljoner kronor.

Tabell 3.80 Utfall och prognos för Luftfartsverkets resultat

Miljoner kronor där inte annat anges

 

Utfall 2024

Prognos 2025

Prognos 2026

Prognos 2027

Prognos 2028

Resultat efter

 

 

 

 

 

skattemotsvarighet

-2 734

-272

16

22

31

 

 

 

 

 

 

Räntabilitet på eget

 

 

 

 

 

kapital efter

 

 

 

 

 

skattemotsvarighet (%)

(neg)

(neg)

1

2

2

 

 

 

 

 

 

Soliditet (%)

10

8

9

9

9

 

 

 

 

 

 

Eget kapital

1 277

1 005

1 018

1 035

1 060

 

 

 

 

 

 

Beräknad

 

 

 

 

 

skattemotsvarighet

0

0

3

4

6

 

 

 

 

 

 

Beräknad utdelning

0

0

0

0

0

 

 

 

 

 

 

Källa: Luftfartsverkets treårsplan för 2025–2029.

Luftfartsverkets finansiella befogenheter

Regeringens förslag

Regeringen bemyndigas att under 2026 låta Luftfartsverket ta upp lån i och utanför Riksgäldskontoret som inklusive tidigare upplåning uppgår till högst

1 500 000 000 kronor.

Regeringen bemyndigas att för 2026 låta Luftfartsverket placera likvida medel på räntebärande konto i och utanför Riksgäldskontoret.

Regeringen bemyndigas att låta Luftfartsverket använda derivatinstrument för att skydda sig mot ränte- och valutaväxlingar i enlighet med av verket fastställd finanspolicy.

Regeringen bemyndigas att låta Luftfartsverket lämna likvid säkerhet vid utställandet av derivatinstrument inom en total ram på 2 000 000 000 kronor.

Regeringen bemyndigas att låta Luftfartsverket teckna borgensförbindelser för krediter till förmån för LFV Holding AB inom en ram om högst 400 000 000 kronor.

Regeringen bemyndigas att låta Luftfartsverket teckna aktier eller ge aktieägartillskott till LFV Holding AB inom en ram om högst 650 000 000 kronor.

Regeringen bemyndigas att låta Luftfartsverket förvärva aktier eller andelar i eller bilda företag eller andelar i eller bilda företag samt sälja aktier eller andelar i eller avveckla företag inom ramen för den egna verksamheten.

Skälen för regeringens förslag

Inriktningen är att Luftfartsverket ska finansiera investeringar med egna medel samt med lån. Med anledning av detta är regeringens förslag att Luftfartsverkets låneram fastställs till 1 500 miljoner kronor. Låneramen bedöms också kunna användas för att täcka eventuella likviditetsbehov. Vidare föreslår regeringen att Luftfartsverket, i enlighet med nu gällande ordning, ges möjlighet att sätta in kassamässigt överskott på räntebärande konto i och utanför Riksgäldskontoret. Övriga finansiella befogenheter

96

Prop. 2025/26:1 Utgiftsområde 22

består av bemyndigande avseende derivatinstrument, borgensförbindelser och aktie- ägartillskott till dotterföretaget LFV Holding AB. Såväl den faktiska låneramen som övriga finansiella befogenheter föreslås vara oförändrade under 2026 i förhållande till 2025.

Riksdagen har tidigare bemyndigat regeringen att besluta om bildande av bolag inom ramen för Luftfartsverkskoncernen (prop. 2005/06:1, bet. 2005/06:TU1, rskr. 2005/06:81) och genom beslut med anledning av budgetpropositionen för 2015 anpassat formuleringen till 8 kap. 3 och 4 §§ budgetlagen (prop. 2014/15:1 utg.omr. 22, bet. 2014/15:TU1, rskr. 2014/15:86). Den nya formuleringen förtydligar att bemyndigandet för Luftfartsverket omfattar även andra former av företag än aktie- bolag och undanröjer en oklarhet som tidigare funnits.

Luftfartsverket behöver inom ramen för sin affärsverksamhet teckna ansvars- försäkringar hos enskilt försäkringsbolag. Regeringen har tidigare gett Luftfartsverket tillstånd att försäkra sig hos enskilt försäkringsbolag för att täcka ansvarsrisker i verksamheten.

Luftfartsverket väntas 2026 fortsatt ha ett betydande likviditetsöverskott som föranleds av att pensionsskulden som reserveras i balansräkningen är betydligt större än behovet av kapital för att finansiera verksamheten inklusive anläggningstillgångar. I likhet med tidigare år finns därför ett behov av att kunna placera likviditetsöverskott i syfte att få avkastning på detta. Liksom övriga affärsverk har Luftfartsverket i dag möjlighet att sätta in kassamässigt överskott på räntebärande konto i Riksgäldskontoret eller i affärsbank. Medlen ska placeras räntebärande och förbehållas placeringar med låg risk, vilket inkluderar statsgaranterade skuldebrev och certifikat samt obligationer med vissa förbehåll avseende bl.a. kreditvärdighet hos motparten enligt regeringens beslut.

Tabell 3.81 Låneram för samhällsinvesteringar

Tusental kronor

 

 

Beslutad

 

Beslutad

Begärd

Beräknad

Beräknad

Utgifts-

 

låneram

Skuld

låneram

låneram

amortering

nyupplåning

område

Myndighet

20241

2024-12-31

20251

2026

2026

2026

22

Luftfartsverket

1 500 000

 

1 500 000

1 500 000

 

 

 

Summa

1 500 000

 

1 500 000

1 500 000

 

 

 

 

 

 

 

 

 

 

1Av riksdagen beslutad låneram exklusive beslut om ändringar i statens budget.

Luftfartsverkets investeringsplan

Regeringens förslag

Investeringsplanen för Luftfartsverket för 2026–2028 godkänns som en riktlinje för Luftfartsverkets investeringar.

Skälen för regeringens förslag

Immateriella och materiella anläggningstillgångar i Luftfartsverket uppgick vid slutet av 2024 till 2 621 miljoner kronor, en ökning med 161 miljoner kronor från 2023. Luftfartsverkets investeringar uppgick för 2024 till 483 miljoner kronor. Under 2024 har Luftfartsverket genomfört löpande uppgraderingar av tekniska system, ny- och ersättningsinvesteringar kopplat till arbetsmetodik samt investeringar för att möta ställda krav på funktionalitet, regularitet och kapacitet. Stora investeringar skedde också i robusthöjande åtgärder för infrastruktur för flygtrafiktjänst. Utfallet är högre än 2023 och även högre än investeringsplanen för 2023. Skillnaden beror främst på förskjutningar i tidplaner för olika projekt. De större investeringsposterna utgörs av investeringar i radioutrustning, flygtrafiktjänstutrustning, s.k. ATM och radar.

97

Prop. 2025/26:1 Utgiftsområde 22

Luftfartsverkets investeringar har till övervägande del finansierats med egna medel men sedan några år tillbaka finansieras investeringar inom ramen för uppdraget att bygga upp en robust flygtrafiktjänst inom ramen för anslaget 1:17 Infrastruktur för flygtrafiktjänst samt anslaget 1:1 Utveckling av statens transportinfrastruktur avseende civilt försvar. Investeringsutgiften vid anskaffningstillfället finansieras dock med egna medel, medan anslagsbelastningen avser årliga avskrivningar som faller inom ramen för anslagets ändamål.

Luftfartsverkets investeringsplan för perioden 2026–2028 uppgår till totalt

1 751 miljoner kronor, se tabell 3.82. Anskaffning och utveckling av nya investeringar utgör ca 67 procent och vidmakthållande av befintliga investeringar utgör ca

33 procent. De lägre beloppen mot slutet av perioden beror i huvudsak på att det ännu inte finns lika många specificerade projekt. Ett av de största och viktigaste projekten i investeringsplanen är ATM-moderniseringen som Luftfartsverket genom- för tillsammans med övriga medlemmar i den s.k. COOPANS-alliansen. Syftet är ökad kostnadseffektivitet och produktivitet. I planen ingår också betydande investeringar för att säkerställa robust infrastruktur för flygtrafiktjänst samt planer för att stärka beredskapen och civilt försvar. Det innefattar bl.a. investeringar i syfte att förstärka infrastrukturen för övervakning, implementera transportabla radarstationer, transportabel radio samt tillhörande nät/transmission. Därutöver sker bl.a. miljö- främjande investeringar i anläggningar och byggnader. Under planperioden kommer också fortsatt arbete ske för att omhänderta förordningskrav på utvecklad funktionalitet inom det Gemensamma luftrummet (Single European Sky, s.k. common project).

Regeringen delar Luftfartsverkets bedömning när det gäller vilka investeringar som bör göras de närmaste åren. Regeringen föreslår därför att investeringsplanen för Luftfartsverket godkänns som en riktlinje för myndighetens investeringar.

98

Prop. 2025/26:1 Utgiftsområde 22

Tabell 3.82 Investeringsplan för luftfartsverket

Miljoner kronor

 

Utfall

Prognos

Budget

Beräknat

Beräknat

Summa

 

2024

2025

2026

2027

2028

2026–2028

 

 

 

 

 

 

 

Anskaffning och utveckling av

 

 

 

 

 

 

nya investeringar

406

609

569

413

189

1 171

 

 

 

 

 

 

 

ATM-utrustning

125

323

307

206

99

612

 

 

 

 

 

 

 

Radarutrustning

49

69

51

43

 

94

 

 

 

 

 

 

 

Kommunikationsutrustning

30

51

44

46

42

132

 

 

 

 

 

 

 

Radioutrustning

151

68

67

66

6

139

 

 

 

 

 

 

 

IT

36

41

48

25

21

94

 

 

 

 

 

 

 

Byggnader

11

38

35

11

6

52

 

 

 

 

 

 

 

Beredskapstillgångar

3

2

1

0

2

3

 

 

 

 

 

 

 

Övrigt

1

17

15

15

14

44

 

 

 

 

 

 

 

varav investeringar i

 

 

 

 

 

 

anläggningstillgångar

406

609

569

413

189

1 171

 

 

 

 

 

 

 

– maskiner och inventarier

403

451

379

309

144

832

 

 

 

 

 

 

 

– fastigheter och

 

 

 

 

 

 

markanläggningar

 

41

48

25

21

94

 

 

 

 

 

 

 

– beredskapstillgångar

3

2

1

0

2

3

 

 

 

 

 

 

 

– övriga investeringar

 

115

141

78

22

241

 

 

 

 

 

 

 

Finansiering av anskaffning och

 

 

 

 

 

 

utveckling

406

609

569

413

189

1 171

 

 

 

 

 

 

 

Anslag 1:1 Utveckling av statens

 

 

 

 

 

 

transportinfrastruktur

29

39

46

22

18

86

 

 

 

 

 

 

 

Egna medel

356

543

496

391

171

1 058

 

 

 

 

 

 

 

Bidrag/medfinansiering

20

26

26

 

 

26

 

 

 

 

 

 

 

Vidmakthållande av befintliga

 

 

 

 

 

 

investeringar

77

193

269

174

137

581

 

 

 

 

 

 

 

ATM-utrustning

17

105

164

62

39

264

 

 

 

 

 

 

 

Radarutrustning

15

16

10

5

2

17

 

 

 

 

 

 

 

Kommunikationsutrustning

33

24

38

46

36

120

 

 

 

 

 

 

 

Radioutrustning

 

24

38

46

36

120

 

 

 

 

 

 

 

Byggnader

12

24

20

16

24

60

 

 

 

 

 

 

 

varav investeringar i

 

 

 

 

 

 

anläggningstillgångar

77

193

269

174

137

581

 

 

 

 

 

 

 

– maskiner och inventarier

77

159

239

148

113

501

 

 

 

 

 

 

 

– fastigheter och

 

 

 

 

 

 

markanläggningar

 

24

20

16

24

60

 

 

 

 

 

 

 

– övriga investeringar

 

10

10

10

 

20

 

 

 

 

 

 

 

Finansiering vidmakthållande

77

193

269

174

137

581

 

 

 

 

 

 

 

Egna medel

77

193

269

174

137

581

 

 

 

 

 

 

 

Totala utgifter för anskaffning,

 

 

 

 

 

 

utveckling och vidmakthållande

 

 

 

 

 

 

av investeringar

483

801

838

587

326

1 751

 

 

 

 

 

 

 

Totalt varav investeringar i

 

 

 

 

 

 

anläggningstillgångar

483

801

838

587

326

1 751

 

 

 

 

 

 

 

99

Prop. 2025/26:1 Utgiftsområde 22

3.5.22Svensk-Danska Broförbindelsen SVEDAB AB

Regeringens förslag

Regeringen bemyndigas att för 2026 besluta att Svensk-Danska Broförbindelsen SVEDAB AB får ta upp lån i Riksgäldskontoret som inklusive tidigare upplåning uppgår till högst 6 400 000 000 kronor.

Skälen för regeringens förslag

Riksdagen beslutade 1997 om ett bemyndigande till regeringen att låta Svensk-Danska Broförbindelsen SVEDAB AB (Svedab) ta upp lån i Riksgäldskontoret för planering, projektering och byggande av de svenska landanslutningarna till Öresundsbron (prop. 1996/97:16, bet. 1997/98:TU6, rskr. 1997/98:32). Bemyndigandet avseende låne- ramen angavs tidigare i fastpris vilket avvek från övriga låneramar på statsbudgeten som uttrycks i löpande priser och beslutas av riksdagen årligen. Genom riksdagens beslut med anledning av budgetpropositionen för 2023 ersattes den tidigare hanteringen med att en ny låneram beslutades som anges i löpande pris och fastställs årligen (prop. 2022/23:1 utg.omr.22, bet. 2022/23:TU1, rskr. 2022/23:86). Regeringen föreslår att låneramen för 2026 till Svedab är oförändrad och fastställs till

6 400 000 000 kronor i löpande priser.

Øresundsbro Konsortiet (konsortiet) äger och driver Öresundsförbindelsen och är en självständig juridisk person men inget skattesubjekt. Konsortiet ägs till hälften av svenska staten genom Svedab och till hälften av den danska staten genom A/S Öresund. Det är de båda ägarbolagen till konsortiet som beskattas för konsortiets resultat. Sedan 2012 redovisar konsortiet vinst. Svedab har fram till och med 2018 utnyttjat ackumulerade skattemässiga underskott, vilket för Svedabs del innebär att bolaget från 2019 ska betala inkomstskatt enligt inkomstskattelagen (1999:1229). Under 2026 beräknas Svedabs betalning av inkomstskatt komma att uppgå till ca 350– 400 miljoner kronor.

Tabell 3.83 Ramar för statlig utlåning

Tusental kronor

 

 

Beslutade

 

Beslutade

Begärda

Utgifts-

 

utlåningsramar

Lånefordran

utlåningsramar

utlåningsramar

område

Ändamål

20241

2024-12-31

20251

2026

 

Svensk-Danska

 

 

 

 

 

Broförbindelsen

 

 

 

 

22

Svedab AB

6 400 000

5 335 000

6 400 000

6 400 000

 

 

 

 

 

 

 

Summa

6 400 000

5 335 000

6 400 000

6 400 000

 

 

 

 

 

 

1Ramar för 2024 och 2025 redovisas exklusive beslutade och föreslagna ändringar som lämnats i propositioner om ändringar i statens budget.

Öresundsbrokonsortiet

Efter regeringens förslag i budgetpropositionen för 2025 bemyndigade riksdagen regeringen att revidera avtalet om en fast förbindelse över Öresund mellan Sverige och Danmark av den 23 mars 1991 så att en marknadsmässig avgift kan tas ut för statliga garantier som utfärdas till Öresundsbrokonsortiet fr.o.m. 2025 (prop. 2024/25:1 utg.omr. 22 avsnitt 3.5.23, bet. 2024/25: TU1, rskr. 2024/25:101). Regeringen arbetar för närvarande med att dels ta fram en ny statlig garantimodell, dels med att revidera avtalet.

100

Prop. 2025/26:1 Utgiftsområde 22

3.5.23Upphävande av riksdagens godkännande avseende krav på förarbevis för att få framföra vissa större fritidsbåtar

Regeringens förslag

Riksdagens tidigare ställningstagande i fråga om krav på förarbevis för att få framföra vissa större fritidsbåtar ska inte längre gälla.

Skälen för regeringens förslag

I samband med behandlingen av propositionen Moderna transporter godkände riksdagen regeringens förslag att krav på förarbevis för att få framföra vissa större fritidsbåtar ska införas samt att omfattning och former för detta ska utredas (prop. 2005/06:160, bet. 2005/06:TU5, rskr. 2005/06:308). Detta godkännande ansluter till två tillkännagivanden om förarbevis för fritidsbåtar (bet. 2004/05:TU7 punkt 11, rskr. 2004/05:178 och bet. 2020/21:TU12 punkt 2, rskr. 2020/21:379). Som framgår av redovisningen i avsnitt 3.3.3 anser regeringen vid en samlad bedömning och mot bakgrund av den tid som har förflutit sedan det ursprungliga tillkännagivandet beslutades att det inte framstår som motiverat att ta några nya initiativ i syfte att tillmötesgå de aktuella tillkännagivandena och att tillkännagivandena därmed är slut- behandlade. I linje med denna bedömning föreslår regeringen även att den tidigare riksdagsbindningen hävs.

101

Prop. 2025/26:1 Utgiftsområde 22

4Politiken för informationssamhället

4.1Mål för området

4.1.1Digitaliseringspolitik

Målet för digitaliseringspolitiken är att Sverige ska vara bäst i världen på att använda digitaliseringens möjligheter (prop. 2011/12:1 utg.omr. 22, bet. 2011/12:TU1, rskr. 2011/12:87). Under detta mål finns följande två delmål:

Sverige ska ha bredband i världsklass. Alla hushåll och företag bör ha goda möjligheter att använda sig av elektroniska samhällstjänster och service via bredband (prop. 2009/10:193, bet. 2009/10:TU18, rskr. 2009/10:297).

Elektroniska kommunikationer ska vara effektiva, säkra och robusta samt tillgodose användarnas behov. Elektroniska kommunikationer ska i första hand tillhandahållas genom en väl fungerande marknad, men staten ska ha ett ansvar på områden där allmänna intressen inte enbart kan tillgodoses av marknaden (prop. 2014/15:1 utg.omr. 22, bet. 2014/15:TU1, rskr. 2014/15:86).

4.1.2Post

Målet för postsektorn är att det ska finnas en posttjänst av god kvalitet i hela landet som uppfyller de krav som anges i postlagen (2010:1045) (prop. 2014/15:1 utg.omr. 22, bet. 2014/15:TU1, rskr. 2014/15:86).

4.1.3Grundläggande betaltjänster

Målet för politiken för de grundläggande betaltjänsterna är att alla i samhället ska ha tillgång till grundläggande betaltjänster till rimliga priser (prop. 2006/07:55,

bet. 2006/07:TU16, rskr. 2006/07:205).

4.2Resultatindikatorer och andra bedömningsgrunder

För att följa upp digitaliseringspolitiken används indikatorer från Europeiska kommis- sionens senast publicerade lägesrapport om det digitala decenniet. Kommissionens redovisning har justerats för att bättre kunna följa upp de mål som specificeras i Europaparlamentets och rådets beslut (EU) 2022/2481 av den 14 december 2022 om inrättande av policyprogrammet för det digitala decenniet 2030. Kommissionen inhämtar till stor del underlaget från EU:s statistikkontor (Eurostat). Kommissionens indikatorer inom digital ekonomi och digitalt samhälle har anpassats för att kunna följa det digitala decenniet. Sveriges rankning jämfört med övriga EU-länder redovisas därför fr.o.m. 2022. I kommissionens lägesrapport om det digitala decenniet redovisas indikatorer och rankning inom följande områden:

digital kompetens

digital infrastruktur

digitalisering av företag

digitala offentliga tjänster.

103

Prop. 2025/26:1 Utgiftsområde 22

För att följa upp digitaliseringen av den offentliga förvaltningen används Statistiska centralbyråns (SCB) statistik som visar personer i åldrarna 16–85 år som har använt internet för att

få myndighetspost,

hämta information från myndigheters webbsidor, eller

ladda ner och hämta blanketter från myndigheters webbsidor.

Med myndigheter avses i SCB:s undersökning statliga myndigheter, kommuner och regioner.

För att följa upp utvecklingen av digitaliseringen inom den offentliga förvaltningen används även rapporter från Myndigheten för digital förvaltning och kommissionens mätning E-Government Benchmark, som omfattar 36 länder i Europa. Dessutom används Organisationen för ekonomiskt samarbetes (OECD) mätning Digital Government Index, FN:s mätning E-Government Development och Waseda- universitets mätning World Digital Government Rankning.

För delmålet om bredband används följande indikatorer:

Sveriges rankning i index för digital infrastruktur

andel hushåll och företag som har tillgång till bredband och mobila tjänster.

För delmålet om elektronisk kommunikation är de mest centrala indikatorerna:

prisjämförelser mellan mobilabonnemang respektive mellan bredbands- abonnemang

säkerhetsincidentrapportering.

Målet för postsektorn följs upp utifrån bl.a. andelen brev som har lämnats in till Postnord AB för tvådagarsbefordran (t.o.m. 2018 övernattbefordran) och som har delats ut inom tidsramen.

Målet för grundläggande betaltjänster följs upp genom länsstyrelsernas bedömning av om tillgången till grundläggande betaltjänster är tillfredsställande för privatpersoner.

Andra bedömningsgrunder för resultatredovisningen är resultat från analyser och rapporter från statliga myndigheter, såsom Statskontoret, Post- och telestyrelsen (PTS), Myndigheten för digital förvaltning, SCB och Riksrevisionen, men också från internationella organ, såsom OECD och Eurostat, samt från Internetstiftelsens rapport Svenskarna och internet.

Regeringen beslutade den 28 maj 2025 om en digitaliseringsstrategi. Strategin är uppbyggd kring fem strategiska områden: digital kompetens, digitalisering av näringslivet, digitalisering av den offentliga förvaltningen, digitalisering av välfärden och konnektivitet. Frågor som rör artificiell intelligens (AI), tillgång till data och säkerhet behandlas där det är relevant inom de fem strategiska områdena (Fi2025/01181). Regeringen gav samma dag Myndigheten för digital förvaltning och PTS i uppdrag att stödja genomförandet av strategin. I uppdraget ingår bl.a. att vid behov utveckla indikatorer där sådana saknas (Fi2025/01188).

104

Prop. 2025/26:1 Utgiftsområde 22

4.3Resultatredovisning

4.3.1Fortsatt samma utvecklingstakt men minskat försprång jämfört med övriga EU-länder

I tabell 4.1 redovisas Sveriges rankning jämfört med övriga EU-länder inom de områden som redovisas i kommissionens lägesrapport om det digitala decenniet.

Tabell 4.1 Sveriges utveckling jämfört med EU:s övriga medlemsstater

Sveriges rankning

 

2022

2023

2024

2025

Kompetens

 

 

 

 

 

 

 

 

 

Minst grundläggande digitala färdigheter i procent

 

 

 

 

av befolkningen

5

5

6

6

 

 

 

 

 

It-specialister i procent av befolkningen

1

1

1

1

 

 

 

 

 

Användning av internet i procent av befolkningen

5

2

4

4

 

 

 

 

 

Digitalisering av företag

 

 

 

 

 

 

 

 

 

Små och medelstora företag med minst

 

 

 

 

grundläggande nivå av digital intensitet

1

3

2

3

 

 

 

 

 

Användning av AI i procent av alla företag

9

9

10

2

 

 

 

 

 

Användning av dataanalys

8

8

14

-

 

 

 

 

 

Digital infrastruktur

 

 

 

 

 

 

 

 

 

Nät med mycket hög kapacitet

11

10

10

10

 

 

 

 

 

Befolkade områden som täcks av nästa

 

 

 

 

generations trådlösa höghastighetsnät med en

 

 

 

 

prestanda som minst motsvarar 5G

21

27

16

14

 

 

 

 

 

Digitala offentliga tjänster

 

 

 

 

 

 

 

 

 

Användning av digitala tjänster i procent av

 

 

 

 

befolkningen

1

5

3

4

 

 

 

 

 

Digital offentlig service för privatpersoner, index

7

5

4

10

 

 

 

 

 

Digital offentlig service för företag, index

9

10

6

10

 

 

 

 

 

Anm.: Rankning jämfört med övriga EU-länder för digital ekonomi och digitalt samhälle. För området Användning av dataanalys saknas uppgifter för 2025.

Källa: Europeiska kommissionens lägesrapport om det digitala decenniet.

Utvecklingen av digitaliseringen

Sveriges utveckling jämfört med EU:s övriga medlemsstater visar att Sverige fortsatt ligger på första plats när det gäller andelen it-specialister i befolkningen. AI- användningen i företag har ökat kraftigt och Sverige ligger på andra plats. När det gäller befolkade områden som täcks av nästa generations trådlösa höghastighetsnät med en prestanda som minst motsvarar 5G har Sverige stigit i rankningen (se tabell 4.1).

Den digitala kompetensen hos befolkningen är fortfarande en konkurrensfördel

När det gäller digital kompetens placerar sig Sverige högt. Sverige ligger över EU-snittet för samtliga indikatorer som mäts inom området, framför allt när det gäller it- specialister (se tabell 4.1).

EU har satt upp som mål att 80 procent av EU:s befolkning i åldern 16–79 år ska ha grundläggande digitala färdigheter 2030. I Sverige uppgick andelen till 66 procent 2023, vilket var över EU-genomsnittet om 55 procent. Den andel av befolkningen som har mer än grundläggande digital kompetens uppgick till 36 procent i Sverige, medan genomsnittet i EU var 27 procent.

Det finns fortfarande skillnader mellan kvinnor och män när det gäller andelen it- specialister av arbetskraften. Totalt beräknas 9 procent av arbetskraften i åldrarna 15–

105

Prop. 2025/26:1 Utgiftsområde 22

74 år i Sverige vara it-specialister. Av dessa är 22 procent kvinnor, vilket kan jämföras med EU-genomsnittet om 19 procent. Regeringen beslutade i februari 2025 om en STEM-strategi för Sverige (Science, Technology, Engineering och Mathematics) (U2025/00563). I strategin presenterar regeringen de åtgärder som hittills har vidtagits och pekar ut riktningen för det fortsatta arbetet att stärka utbildningsystemets förutsättningar att utbilda fler inom naturvetenskap och teknik.

Den digitala delaktigheten är allt högre

Den digitala delaktigheten i Sverige är fortsatt hög. Enligt Eurostat uppgick internet- användningen 2024 i Sverige till 98 procent, vilket kan jämföras med EU-genomsnittet om 93 procent.

Av Internetsstiftelsens rapport Svenskarna och internet 2024 framgår att 95 procent av befolkningen använder internet och att de flesta gör det dagligen. Det framgår vidare att 5 procent av befolkningen som är 16 år eller äldre inte använder internet. Majoriteten av dem som inte använder internet är födda på 1920-, 1930- eller 1940- talet, varav de flesta är kvinnor. Regeringen gav den 25 januari 2024 PTS i uppdrag att föreslå insatser för att öka andelen individer som använder digitala tjänster (Fi2024/00172). Uppdraget slutredovisades den 20 december 2024. I redovisningen beskrivs de behov som PTS ser av insatser för ökad digital inkludering och pågående insatser på området (Fi2024/02621). Regeringen har i myndighetens regleringsbrev för 2025 gett PTS i uppdrag att verka för en ökad digital inkludering och en ökad användning av digitala tjänster. Uppdraget ska redovisas senast den 20 december 2025.

Personer med funktionsnedsättning ska ha tillgång till kommunikationstjänster på likvärdiga villkor och i samma utsträckning som andra. I egenskap av marknads- kontrollmyndighet och ansvarig för tillsyn över vissa tjänster enligt Europaparlamentets och rådets direktiv (EU) 2019/882 av den 17 april 2019 om tillgänglighetskrav för produkter och tjänster (tillgänglighetsdirektivet) har PTS under året medverkat i det europeiska arbetet med att ta fram standarder för genomförandet av direktivet samt genomfört dialog med berörda aktörer för att främja insatser som underlättar genomförandet av de krav som följer av lagen (2023:254) om vissa produkters och tjänsters tillgänglighet. PTS upphandlar särskilt viktiga kommunikationstjänster om marknaden inte tillgodoser behoven enligt lagen (2022:482) om elektronisk kommunikation och postlagen. Under 2024 finansierade PTS sex s.k. inkluderande kommunikationstjänster.

Under 2024 fortsatte Myndigheten för digital förvaltning att utöva tillsyn enligt lagen (2018:1937) om tillgänglighet till digital offentlig service. Myndighetens granskning visade att det fanns brister i tillgängligheten och att ingen av de webbplatser eller appar som granskades under 2024 uppfyllde samtliga krav enligt den nämnda lagen. Enligt granskningen var en vanlig brist att den digitala tjänsten var svår att använda med hjälpmedel, såsom skärmläsare. Granskningen visade även att de flesta brister åtgärdades efter att myndigheten hade påtalat dessa.

Användningen av offentliga digitala tjänster fortsätter att öka

Andelen användare av digitala tjänster i Sverige har ökat från 93 till 96 procent mellan 2022 och 2024. Andra länder har ökat sin användning mer, vilket förklarar att Sverige har fått en något lägre placering än 2022, trots att en hög andel av befolkningen använder sig av digitala tjänster (se tabell 4.1).

106

Prop. 2025/26:1 Utgiftsområde 22

Tabell 4.2

Sveriges rankning i andra internationella index

 

 

 

Sveriges rankning

 

 

 

 

 

 

 

Index

 

2018

2019

2020

2021

2022

2023

2024

E-Government Benchmark

 

11

13

14

14

16

12

 

 

 

 

 

 

 

 

Digital Government Index

 

 

33

 

 

26

27

 

 

 

 

 

 

 

 

 

E-Governement

 

 

 

 

 

 

 

 

Development

 

5

 

6

 

6

 

14

 

 

 

 

 

 

 

 

World Digital Government

 

 

 

 

 

 

 

Index

 

10

 

10

 

12

 

14

 

 

 

 

 

 

 

 

 

Källor: Europeiska kommissionen, OECD, FN och Wasedauniversitetet.

Tabell 4.2 visar Sveriges rankning i fyra internationella mätningar om digitalisering av offentlig förvaltning. Kommissionens mätning E-Government Benchmark omfattar

36 europeiska länder och avser digitaliseringen av offentliga tjänster och möjligheten att använda ett lands digitala tjänster i andra europeiska länder. Sveriges placering har enligt mätningen förbättrats jämfört med föregående år. OECD:s mätning av digital omställning, Digital Government Index, visar ingen större förändring av Sveriges placering jämfört med 2023. Enligt FN:s mätning E-Government Development har Sveriges placering försämrats jämfört med tidigare mätningar. Wasedauniversitetets mätning World Digital Government Index omfattar 66 länder och mäter tio huvudsakliga trender inom digitalisering av den offentliga sektorn. Sveriges rankning har enligt mätningen försämrats något.

ISCB:s statistik om it-användning bland privatpersoner i åldern 16–85 år och deras kontakter med myndigheter över internet kan jämförelser göras från 2022. Av statistiken framgår att under perioden 2022–2024 var andelen som det senaste året har tagit emot myndighetspost digitalt var omkring 70 procent. Andelen privatpersoner som hämtade information från myndigheters webbsidor minskade från 65 procent till 61 procent under samma period. Under perioden var det omkring hälften som hämtade och laddade ned blanketter från myndigheters webbsidor. Det fanns inte några stora skillnader mellan kvinnor och män i användningen. Av Internetstiftelsens rapport Svenskarna och internet 2024 framgår att det inte finns några större skillnader i användningen av e-tjänster 2024 jämfört med 2023.

Myndigheten för digital förvaltnings uppföljning av statliga myndigheters digitalisering 2023 visar att de mindre myndigheterna har gjort större förbättringar av digitaliseringen än större myndigheter i förhållande till året innan. Samtidigt har skillnaden i digital mognad mellan olika myndigheter ökat jämfört med 2022. För de statliga myndigheterna har det sammantaget skett en positiv utveckling under 2022 och 2023 jämfört med 2020 och 2021, främst vad gäller mognad och samverkan. Under 2024 genomförde Myndigheten för digital förvaltning en tematisk utvärdering avseende statliga myndigheters arbete med datadriven förvaltning och användning av AI i verksamheten (Fi2025/01453). Undersökningen visar att endast 15 procent av myndigheterna både har en strukturerad datahantering och arbetar datadrivet. Kompetensen kring AI-användning bedömdes även som låg. Strategier och kompetens för att kunna använda och dra nytta av AI och dataanalys på ett genomtänkt och strategiskt sätt saknas i stor utsträckning. Myndigheten för digital förvaltnings bedömning är att datamognaden hos de statliga myndigheterna är låg, vilket påverkar förutsättningarna för AI-användning på ett hållbart och systematiskt sätt. I utvärderingen konstaterar myndigheten vidare att digitaliseringsstrategin tar upp åtgärder inom detta område som bör vara positiva för den digitala utvecklingstakten i den offentliga förvaltningen.

Myndigheten för digital förvaltning samordnar den nationella digitala infrastrukturen Ena på förvaltningsgemensam nivå. Ena samlar gemensamma digitala tjänster och

107

Prop. 2025/26:1 Utgiftsområde 22

lösningar för att göra det enkelt, säkert och effektivt för offentlig sektor att förbättra sin digitalisering. Under 2024 har förvaltningen av etablerade tjänster som används och skapar nytta prioriterats. Det gäller ombudshantering, ärendeöversikt, tillgång till grunddata och informationsutbyte genom standardiserade gränssnitt samt komponenter för att bygga in tillit och säkerhet i digitala system. Myndigheten för digital förvaltning har även redovisat ett uppdrag att utreda hur Ena bör utvecklas och förvaltas t.o.m. 2030 (Fi2025/00213).

Inom Ena ingår bl.a. tjänsterna Mina ombud och Mina ärenden. Mina ombud är en tjänst för digital fullmaktshantering för privatpersoner och företag. Tjänsten lanserades för privatpersoner under 2024. I juni 2025 var 28 statliga myndigheter, inklusive länsstyrelserna, och 5 kommuner anslutna. Dessutom var 30 parter anslutna till en testmiljö (utg.omr. 24 avsnitt 3.3.1). Det är en ökning från 8 anslutna parter samma period 2024. Antalet skapade fullmakter har tredubblats jämfört med föregående år. Mina ärenden är ett system som gör det möjligt att samla information om ärenden från olika offentliga aktörer och ge en samlad och standardiserad digital återkoppling till privatpersoner och företag. Under 2024 har en tjänst för vidare- förmedling av kundhändelser utvecklats som underlättar anslutning och användning. Vidare har anslutningen till digitala tjänster inom Ena underlättats och ramverket för grunddata reviderats. Myndigheten för digital förvaltning har dessutom tagit fram standardiserade gränssnitt för att underlätta för offentliga aktörer att effektivt dela och använda data.

Myndigheten för digital förvaltning tillhandahåller infrastrukturen för säker digital kommunikation (SDK). Via SDK kan sekretessbelagda uppgifter och känsliga personuppgifter utbytas mellan exempelvis socialtjänsten, arbetsmarknadsenheter, hälso- och sjukvård, skola och brottsbekämpande myndigheter. I juni 2024 var

52 organisationer anslutna till tjänsten. Anslutningen har dock ökat avsevärt under 2024 och början av 2025. Anslutningstakten hos kommuner och regioner har varit hög, medan takten hos statliga myndigheter och privata aktörer med offentlig finansiering har varit lägre. I juni 2025 var totalt 92 organisationer anslutna till infra- strukturen, varav 70 kommuner, 14 regioner och 3 övriga organisationer samt Arbetsförmedlingen, Försäkringskassan, Inspektionen för vård och omsorg, Statens institutionsstyrelse och Statens skolverk. Anslutning har också påbörjats av ytterligare 92 organisationer bl.a. Polismyndigheten. Socialstyrelsen har i uppdrag att ansluta sig till infrastrukturen under 2025. Försäkringskassan har i uppdrag att ansluta relevanta informationsflöden under 2025 och Migrationsverket, Rättsmedicinalverket, Kriminalvården och Centrala studiestödsnämnden har i uppdrag att förbereda för anslutning.

Tabell 4.3

Användning av digital post

 

 

 

 

 

 

 

2017

2018

2019

2020

2021

2022

2023

2024

Antal användare

 

 

 

 

 

 

 

 

privatpersoner

 

 

 

 

 

 

 

 

 

och företag (milj.)

2,0

3,0

3,7

4,3

5,5

5,9

6,3

6,6

 

 

 

 

 

 

 

 

 

 

Meddelanden

 

 

 

 

 

 

 

 

 

(milj.)

 

13,7

28,5

41,8

52,8

81,9

100,7

99,4

119,2

Antal

 

 

 

 

 

 

 

 

 

avsändare

 

41

92

124

165

194

238

272

301

 

 

 

 

 

 

 

 

 

 

Källa: Myndigheten för digital förvaltning.

Fler offentliga aktörer ansluter sig till den digitala tjänsten Mina meddelanden och allt fler privatpersoner väljer att ta emot sin myndighetspost i en digital brevlåda. Antalet meddelanden har ökat med nästan 20 procent sedan 2023. Det beror till stor del på Valmyndighetens stora utskick i samband med EU-valet 2024 och Myndigheten för

108

Prop. 2025/26:1 Utgiftsområde 22

samhällsskydd och beredskaps (MSB) utskick av broschyren Om krisen eller kriget kommer (se tabell 4.3).

Av Internetstiftelsens rapport Svenskarna och internet 2024 framgår det att

71 procent av befolkningen hade en digital brevlåda 2024, vilket är en ökning från 69 procent 2023. Det privata alternativet Kivra är vanligast. Ålder är den faktor som påverkar användningen mest. Av personer över 76 år hade endast 28 procent en digital brevlåda.

Tabell 4.4

E-legitimationen bank-id

 

 

 

 

Miljoner

 

 

 

 

 

 

 

2019

2020

2021

2022

2023

2024

Användare av

 

 

 

 

 

 

Bank-id

7,6

7,9

8,2

8,4

8,5

8,6

 

 

 

 

 

 

 

Antal

 

 

 

 

 

 

användningar

4 100

5 100

6 300

6 700

7 100

7 600

 

 

 

 

 

 

 

Källa: Finansiell ID-Teknik BID AB.

Antalet användare och antalet användningar av e-legitimationen bank-id ökar över tid (se tabell 4.4). Internetstiftelsens rapport visar att 93 procent av befolkningen över

18 år använde en e-legitimation under 2024, vilket var samma andel som föregående år. Användningen av mobilt bank-id var också oförändrat jämfört med föregående år och uppgick till 92 procent. Andelen som använder tjänsten Freja e-id har de senaste åren vuxit något till 4 procent 2024.

Polismyndigheten fick i mars 2025 i uppdrag att utfärda en statlig e-legitimation på högsta tillitsnivå i enlighet med Europaparlamentets och rådets förordning (EU)

nr 910/2014 av den 23 juli 2014 om elektronisk identifiering och betrodda tjänster för elektroniska transaktioner på den inre marknaden och om upphävande av direktiv 1999/93/EG, ändrad genom Europaparlamentets och rådets förordning (EU) 2024/1183 av den 11 april 2024 om ändring av förordning (EU) nr 910/2014 vad gäller inrättandet av ett europeiskt ramverk för digital identitet. Uppdraget ska ske i samverkan med Myndigheten för digital förvaltning (Ju2025/00740). En statlig e- legitimation bedöms kunna motverka missbruk av identitetshandlingar och minska det digitala utanförskapet. Uppdraget ska redovisas senast den 2 november 2026 och e- legitimationen ska vid samma tidpunkt vara redo att utfärdas, förutsatt att den svenska lagstiftningen är på plats.

Myndigheten för digital förvaltning fick i regleringsbrevet för 2025 i uppdrag att utveckla en digital identitetsplånbok i enlighet med förordning (EU) 2024/1183. En digital identitetsplånbok möjliggör säker digital identifiering och åtkomst till både offentliga och privata tjänster inom EU. Den statliga e-legitimationen som Polis- myndigheten har i uppdrag att utfärda ska utformas så att den kan träda in i den digitala identitetsplånboken.

Försäkringskassan hade under 2017–2024 i uppdrag att erbjuda samordnad och säker it-drift för vissa myndigheter (Fi2017/03257, I2019/02515 och I2022/02320). Tjänsteutbudet inbegriper nio it-driftstjänster, och Försäkringskassan tillhandahåller en eller flera it-tjänster till totalt 78 myndigheter, inklusive länsstyrelserna. Försäkringskassan har under hela uppdraget kontinuerligt stärkt cybersäkerhetsarbetet. Till följd av det försämrade säkerhetspolitiska läget och ett ökande antal cyberattacker riktade mot sårbarheter i myndigheters it-miljöer, fortsätter det vara en hög efterfrågan på samordnad och säker statlig it-drift (Fi2025/01172). Den 1 januari 2025 trädde förordningen (2024:1005) om samordnad och säker statlig it-drift i kraft. Enligt förordningen ska Försäkringskassan, Skatteverket och Trafikverket tillhandahålla it- driftstjänster inom ramen för det samordnade statliga tjänsteutbudet och stödja

109

Prop. 2025/26:1 Utgiftsområde 22

myndigheter vid val av it-driftslösning. Försäkringskassan är samordnande myndighet. Regeringen gav i mars 2025 Statskontoret i uppdrag att ta fram indikatorer för uppföljning av arbetet med det samordnade statliga tjänsteutbudet för it-drift. Statskontoret ska även kartlägga organiseringen av it-driftslösningarna inom staten och lämna förslag på vilken myndighet som är lämplig att följa upp en sådan kartläggning (Fi2025/00643). Uppdraget ska redovisas senast den 30 november 2025.

PTS och Myndigheten för digital förvaltning fick den 5 december 2024 i uppdrag att lämna förslag på hur Myndigheten för digital förvaltnings uppgifter kan överföras till och inordnas i PTS (Fi2024/02416). Uppdraget redovisades den 14 mars 2025. I redovisningen anger myndigheterna att det finns långsiktiga fördelar med en samman- slagning. Myndigheterna konstaterar att en sammanslagen myndighet med ett samlat uppdrag på digitaliseringsområdet kan ha bättre förutsättningar att bidra till en kraft- samling för stärkt digitalisering. Myndigheten för digital förvaltning bedömer dock att en sammanslagning är förenad med risk för nedgång i leveransförmåga på kort och medellång sikt (Fi2025/00654). Förslaget har remitterats. De flesta remissinstanser tillstyrker eller har inga synpunkter på förslaget. Ett fåtal avstyrker förslaget. En del remissinstanser lyfter fram att det kan finnas risker med en rollkoncentration där t.ex. samma myndighet både tillhandahåller tjänster och utövar tillsyn.

En utförligare beskrivning av utvecklingen av den statliga förvaltningspolitiken ges inom utgiftsområde 2 Samhällsekonomi och finansförvaltning.

Användning av ny teknik bidrar till ökad konkurrenskraft

EU har i policyprogrammet för det digitala decenniet 2030 fastställt målet att

90 procent av små och medelstora företag ska ha minst en grundläggande digital intensitet, dvs. användning och integrering av digital teknik i företagen. I Sverige uppgick denna andel till 87 procent 2024. Genomsnittet i EU uppgick 2024 till

73 procent. Andelen svenska företag som använder AI har ökat kraftigt och mer än fördubblats jämfört med 2023 (från 10 procent till 25 procent). Andelen företag i Sverige som använder AI är den näst högsta jämfört med övriga EU-länder. Andelen som använde dataanalys uppgår till 35 procent (se tabell 4.1). Stora företag har en högre digital intensitet än små och medelstora företag.

Tillgången till data ökade

Bolagsverket, Lantmäteriet, Sjöfartsverket, Sveriges geologiska undersökning och SCB har tidigare avseende vissa angivna dataset meddelats undantag från kravet på avgifts- fritt tillgängliggörande i enlighet med 4 kap. 6 § lagen (2022:818) om den offentliga sektorns tillgängliggörande av data (Fi2023/00998). Perioden för undantaget löpte ut den 10 februari 2025.

Myndigheten för digital förvaltning har haft i uppdrag att ansvara för genomförandet av den internationella organisationen Open Data Charters stadga med principer för tillgängliggörande av data (Fi2023/01226). Uppdraget redovisades den 24 april 2025. I redovisningen betonas vikten av öppna inköpsdata för att öka transparensen, effektiviteten och innovationsförmågan inom offentlig sektor i Sverige. För att förbättra tillgången till sådan data och uppnå de värden som finns i användningen av inköps- och upphandlingsdata, föreslås att behovet av ökad styrning för att tillgänglig- göra leverantörsreskontra som öppna data utreds och att en nationell plattform för upphandlingsannonser ska etableras (Fi2025/00934).

Myndigheten för digital förvaltning ansvarar för Sveriges dataportal som är en plattform med stödtjänster till dataproducenter, dataanvändare samt strateger och ledare inom data. Antalet besökare och användare av dataportalen har ökat 2024. Myndigheten har dessutom lanserat tjänsten Datafyren, en webbplats med verktyg och

110

Prop. 2025/26:1 Utgiftsområde 22

vägledning för att höja förmågan hos verksamhetsledningar att bedöma värdet av data som en strategisk resurs ur organisatoriska, juridiska, semantiska och tekniska perspek- tiv.

Myndigheten för digital förvaltning har av regeringen utsetts till behörig myndighet och enda kontaktpunkt enligt Europaparlamentets och rådets förordning (EU) 2024/903 av den 13 mars 2024 om åtgärder för en hög nivå av interoperabilitet inom den offentliga sektorn i hela unionen (förordningen om ett interoperabelt Europa) (Fi2024/02279).

Regeringen gav i oktober 2024 en särskild utredare i uppdrag att föreslå kompletterande bestämmelser till Europaparlamentets och rådets förordning (EU) 2023/2854 av den 13 december 2023 om harmoniserade regler för skälig åtkomst till och användning av data och om ändring av förordning (EU) 2017/2394 och direktiv (EU) 2020/1828 (dataförordningen) (dir. 2024:97). Utredaren ska bl.a. föreslå de författningsändringar och andra åtgärder som behövs för att berörda myndigheter ska kunna utöva sina befogenheter och vidta de åtgärder som krävs enligt data- förordningen. Uppdraget ska redovisas senast den 22 december 2025 (dir. 2025:46).

Regeringen gav den 19 juni 2025 en särskild utredare i uppdrag att föreslå åtgärder som kan främja användningen av integritetsbevarande metoder för en mer datadriven och samverkande förvaltning (dir. 2025:64). Uppdraget ska redovisas senast den

30 juni 2026.

Sverige har tagit flera initiativ för ökad AI-användning och ny digital teknik

Myndigheten för digital förvaltning och Integritetsskyddsmyndigheten har haft i uppdrag att ta fram riktlinjer för den offentliga förvaltningen i syfte att främja att generativ AI används på ett effektivt, säkert och etiskt sätt (Fi2025/00111).

Myndigheterna har tagit fram riktlinjer inom följande sju huvudsakliga områden: ledning och ansvar, dataskydd och personuppgiftsbehandling (GDPR), arbetsrätt, anskaffning, informationssäkerhet, upphovsrätt samt etik. Riktlinjerna har publicerats på webbplatsen AI för offentlig förvaltning och kommer att uppdateras löpande.

Regeringen har i regleringsbreven för 2025 gett 25 myndigheter i uppdrag att redogöra för sin användning av AI. Uppdragen innefattar att beskriva befintliga samarbeten med andra myndigheter samt att redogöra för de utbildningar och kompetenshöjande insatser som har erbjudits personalen. Myndigheterna ska även redovisa vilka utmaningar som är relaterade till etik, juridik och säkerhet. Syftet med uppdragen är att ge regeringen en bättre bild av hur myndigheter både använder AI i dag och hur de planerar för framtida användning. Myndigheterna redovisade uppdragen den 2 juni 2025. Redovisningarna indikerar att även om svenska myndigheter aktivt utforskar AI, är många i ett tidigt skede av implementeringen. Det finns fortfarande stora möjligheter att mer effektivt integrera AI-teknik i verksamheterna och dra nytta av dess fulla potential. Vidare lyfter många av myndigheterna att en ökad formalisering och samordning av samarbeten, samt mer systematiska kompetensutvecklingsprogram och en tydligare strategisk inriktning är åtgärder som skulle kunna bidra till att stärka användningen av AI hos myndigheterna. Många av myndigheterna anger att de främsta fördelarna med användning av AI-teknik är effektivisering av processer, förbättrat beslutsfattande, ökad precision och noggrann- het, förhöjd kapacitet och servicegrad samt innovation och utveckling.

Internetstiftelsens studie Svenskarna och AI visar att 34 procent av den vuxna befolkningen använde ett AI-verktyg under 2024. Användningen av AI sker fortsatt till största del för privat bruk men andelen som främst använder AI i arbete och studier har ökat sedan 2023. Bland yngre svenskar är det betydligt vanligare att använda AI-verktyg. I åldern 18–34 år svarar 60 procent att de har använt AI-verktyg. I åldersgruppen 65–84 år uppger 10 procent att de använt AI, vilket är en ökning med

111

Prop. 2025/26:1 Utgiftsområde 22

5 procentenheter jämfört med föregående år. Det är framför allt AI-verktyget Chat GPT som används.

Regeringen gav i september 2024 en särskild utredare i uppdrag att se över behovet av nationella anpassningar till följd av Europaparlamentets och rådets förordning (EU) 2024/1689 av den 13 juni 2024 om harmoniserade regler för artificiell intelligens och om ändring av förordningarna (EG) nr 300/2008, (EU) nr 167/2013, (EU) nr 168/2013, (EU) 2018/858, (EU) 2018/1139 och (EU) 2019/2144 samt direktiven 2014/90/EU, (EU) 2016/797 och (EU) 2020/1828 (förordning om artificiell intelligens) (dir. 2024:83). Utredaren ska bl.a. lämna förslag på hur systemet för marknadsövervakning, marknadskontroll, styrning och kontroll av efterlevnad ska utformas. Uppdraget ska slutredovisas senast den 30 september 2025.

Regeringen gav den 10 juli 2025 Försäkringskassan och Skatteverket i uppdrag att utreda förutsättningarna för en AI-verkstad för offentlig förvaltning (Fi2025/01523). Uppdraget ska redovisas senast den 12 januari 2026.

Programmet för ett digitalt Europa är ett EU-finansieringsprogram som är inriktat på att stödja den digitala omvandlingen, främst utvecklingen och användningen av ny teknik. I enlighet med programmet avsätter kommissionen 7,6 miljarder euro till projekt under perioden 2021–2027. Svenska aktörer har t.o.m. 2024 beviljats

62 miljoner euro till olika fleråriga projekt, avseende bl.a. AI-fabriker, digitala infrastrukturer för hälsa, stärkt cybersäkerhet, gemensamma europeiska dataområden, digitala färdigheter samt innovationshubbar som hjälper små och medelstora företag i deras digitala utveckling (Fi2025/00498 och Fi2025/00551). I den halvtidsutvärdering av programmet som Myndigheten för digital förvaltning har låtit ta fram framgår att programmet för ett digitalt Europa kompletterar EU:s ramprogram för forskning och innovation Horisont Europa och ger positiva effekter på AI- och digitaliserings- utvecklingen på samhällsnivå (Fi2024/02561).

AI-kommissionens (Fi 2023:11) betänkande Färdplan för Sverige (SOU 2025:12) överlämnades i februari 2025. Betänkandet omfattar 75 förslag på åtgärder som spänner över områdena energi, data, kompetens och arbetsmarknadens omställning, innovation, säkerhet, AI inom offentlig förvaltning och internationellt arbete. Förslagen i betänkandet syftar till att ta vara på möjligheterna att med hjälp av AI öka innovationsförmågan, stärka konkurrenskraften, effektivisera den offentliga förvaltningen, förbättra välfärden och skydda våra demokratiska processer. Betänkandet har remitterats och bereds för närvarande i Regeringskansliet.

Flera av de åtgärder som regeringen har vidtagit relaterar till förslag i AI- kommissionens betänkande. Det gäller bl.a. uppdragen till ett antal myndigheter att redovisa sin användning av AI och uppdraget om att utreda förutsättningar för en AI- verkstad. Även inom andra utgiftsområden presenteras åtgärder som finns med bland AI-kommissionens förslag. Verket för innovationssystem har fått i uppdrag att under 2025 fördela minst 546,5 miljoner kronor till innovations- och forskningsprogrammet Avancerad digitalisering, där näringslivet och offentlig förvaltning gemensamt bidrar (KN2025/01157). Europeiska kommissionen har också valt ut Sverige till värd för en av sju europeiska AI-fabriker, där syftet är att stärka EU:s konkurrenskraft. Regeringen har vidare beslutat om propositionen Forskning och innovation för framtid, nyfikenhet och nytta (prop. 2024/25:60, bet. 2024/25:UbU15,

rskr. 2024/25:219) som behandlar andra frågor som AI-kommissionen lyfter. I propositionen beskrivs bl.a. satsningar på excellenskluster för banbrytande teknik, life science och AI samt forskarskolor för AI.

112

Prop. 2025/26:1 Utgiftsområde 22

Bredband i världsklass och stora investeringar i 5G

Sverige har i internationell jämförelse en mycket väl utbyggd bredbandsinfrastruktur och har stigit i rankning avseende 5G-täckning i kommissionens lägesrapport om det digitala decenniet (se tabell 4.1). Andelen hushåll och företag i Sverige med tillgång till bredband eller tillgång till bredband i sin absoluta närhet fortsätter att öka (se tabell 4.6). Över 98 procent av alla hushåll och arbetsställen har nu tillgång till uppkoppling om 1 Gbit/s. Inom tätorter och småorter har 99,6 procent av hushållen infrastruktur i sin absoluta närhet som medger bredband om minst 1 Gbit/s. Motsvarande andel utanför tätorter och småorter uppgår till 90 procent, vilket var en ökning med

ca 4,6 procentenheter. Av landets hushåll hade ca 85,6 procent i oktober 2024 tillgång till bredband via fiber, vilket var en ökning med ca 1,5 procentenheter jämfört med 2023. I områden utanför tätorter och småorter var tillgången till bredband via fiber för hushåll strax över 69 procent. Skillnaden mellan glesbebyggda och tätbebyggda områden är fortsatt en utmaning och var i oktober 2024 ca 17,8 procentenheter, vilket kan jämföras med 16,3 procentenheter 2023. Tillgången till stabila mobila tjänster av god kvalitet i områden där människor normalt befinner sig, t.ex. bilvägar, ökade något 2024 jämfört med 2023 (se tabell 4.5).

Mobiloperatörerna genomför betydande investeringar för att uppgradera befintlig infrastruktur till 5G-tekniken och täckningen av 5G för hushåll ökade från 90 procent 2023 till 98 procent 2024. I vissa geografiska områden medför avsaknaden av kommersiella förutsättningar att den täckning och kapacitet som erbjuds inte mot- svarar användarnas och samhällets förväntan. Regeringen har den 19 februari 2025 gett PTS i uppdrag att utreda förutsättningarna för införande av ett statligt stöd för utbyggnad, förvaltning och drift av infrastruktur för mobila tjänster i områden där befintliga mobilnät inte erbjuder nödvändig täckning eller kapacitet och kommersiella förutsättningar för sådan utbyggnad saknas (Fi2025/00323). Uppdraget ska redovisas senast den 30 januari 2026.

Tabell 4.5

Tillgång till mobila tjänster

 

 

 

 

 

 

 

 

2018

2019

2020

2021

2022

2023

2024

 

 

 

 

 

 

 

 

Stabila mobila tjänster av god kvalitet*

89

92

91,9

92,9

93,9

95

95,9

 

 

 

 

 

 

 

 

5G täckning för hushåll**

-

-

-

27

56

90

98

 

 

 

 

 

 

 

 

 

*Andelen (procent) av geografiska områden där människor normalt befinner sig i Sverige.

**Andelen (procent) av landets hushåll som täcks av minst ett 5G-nät.

Källa: PTS mobiltäcknings- och bredbandskartläggning 2024 (PTS-ER-2025:7).

Tabell 4.6 Tillgång till fast bredband

Andel (procent) av hushåll och företag som har tillgång till

 

2017

2018

2019

2020

2021

2022

2023

2024

 

 

 

 

 

 

 

 

 

Bredband om

 

 

 

 

 

 

 

 

minst 30 Mbit/s*

95

96

97

98

99

99

99,7

99,9

 

 

 

 

 

 

 

 

 

Bredband om

 

 

 

 

 

 

 

 

minst 1 Gbit/s*

86

89

92

95

96

97

97,9

98,5

 

 

 

 

 

 

 

 

 

Bredband via

 

 

 

 

 

 

 

 

fiber (hushåll)

72

77

80

82

82

84

84

85

 

 

 

 

 

 

 

 

 

*Avser andel hushåll och företag med tillgång till it-infrastruktur, alternativt där sådan finns i absoluta närheten. Källa: PTS mobiltäcknings- och bredbandskartläggning 2024 (PTS-ER-2025:7).

PTS administrerar det nationella stödet för utbyggnad av bredband (bredbandsstödet) som syftar till att åstadkomma bredbandsutbyggnad i områden där det saknas kommersiella förutsättningar för detta. Under 2024 tilldelade PTS stödsökande nätbyggare totalt ca 813 miljoner kronor för att finansiera över 9 000 anslutningar. Bredbandsstödet har bidragit till vidareutbyggnad av fasta nät genom att finansiera kommersiellt icke gångbar utbyggnad i glesbygder. Det genomsnittliga stödet per

113

Prop. 2025/26:1 Utgiftsområde 22

byggnad ökade med ca 24 procent från 2023 till 2024, vilket indikerar att de byggnader som saknar anslutning blir allt dyrare att ansluta. God spridning till alla landsdelar har säkerställts, eftersom de tillgängliga medlen har fördelats genom utlysning i hela landet. Vid 2024 års tilldelning uppgick det genomsnittliga stödet till ca 89 000 kronor per byggnad. I Svealand var stödet högst med 97 718 kronor per byggnad och i Norrland lägst med 78 557 kronor per byggnad. PTS har återkrävt 539 miljoner kronor av de ca 3 miljarder kronor som har delats ut sedan 2020. För att effektivisera användningen av avsatta medel infördes 2024 en modell med successiv utbetalning av bredbandsstöd under projektens genomförande. Återkraven av utbetalda stöd förväntas därmed minska.

Utöver bredbandsstödet har 250 miljoner kronor för ortssammanbindande förbindelser och accessnät avsatts i EU-medel i regionalfondsprogrammen för Mellersta Norrland och Övre Norrland, som Tillväxtverket administrerar, under programperioden 2021–2027. För mer information, se utgiftsområde 19 Regional utveckling.

Inom ramen för Fonden för ett sammanlänkat Europa Digital (FSE Digital) beviljas medel för utveckling av europeisk digital infrastruktur. Under 2024 lämnade regeringen samtycke till elva svenska projekt att ansöka om medel ur fonden. Av dessa beviljades fem projekt totalt 45 miljoner euro i medfinansiering för utveckling och ut- byggnad av 5G infrastruktur och sjökablar i såväl Östersjön som den arktiska regionen. Det är en kraftig ökning jämfört med året innan, då fem projekt beviljades 24 miljoner euro. Under första kvartalet 2025 lämnade regeringen samtycke till tolv svenska projekt som avsåg att ansöka om medel ur FSE Digital för utveckling av 5G för smarta samhällen, 5G-transportkorridorer, sjökablar samt kvantinfrastruktur. De totala projektkostnaderna från Sverige uppgår till 228,8 miljoner euro och det sökta medfinansieringsbeloppet uppgår till 105 miljoner euro.

Bredbandsforums kansli ansvarar för beredning av frågor och det löpande arbetet i Bredbandsforum. Kansliet har i samverkan med organisationerna i Bredbandsforums styrgrupp tagit fram en färdplan för bredbandsstrategins måluppfyllnad 2025. Under 2024 och 2025 fokuserar arbetet på hållbarhet och efteranslutningar.

PTS har fått i uppdrag att mellan 2021–2025 lämna stöd till de regionala bredbands- koordinatorerna och årligen följa upp verksamheten. Av uppföljningen för 2024 framgår att regionerna bidrar till att öka bredbandsanvändningen genom att bl.a. samordna aktörer verksamma inom bredbandsområdet både i och utanför länet, anordna informations- och kommunikationsinsatser samt genom att undanröja hinder på regional och lokal nivå. Bredbandskoordinatorerna bidrar inom ramen för bred- bandsstödet, dels med kvalitetssäkring av förteckningen över stödberättigade byggnader, dels med regionala prioriteringar för att nå områden där stöd behövs som mest. Regeringen beslutade den 26 juni 2025 om att fortsatt erbjuda finansiering av bredbandskoordinatorerna under 2026 och 2027 (Fi2025/01463).

Tillgång till funktionellt internet och telefoni

Tillgången till funktionellt internet och telefoni i Sverige är mycket god. PTS delade, med stöd av förordningen (2018:20) om stöd för åtgärder som ger tillgång till telefoni och funktionell tillgång till internet, ut 353 000 kronor under 2024 till åtgärder som ger en sådan tillgång. Vid sidan av tilldelningen av stöd har PTS en viktig roll att vägleda hushåll och företag att hitta de lösningar som ger tillgång till funktionellt internet och telefoni.

Under 2024 ökade tillgången till funktionellt internet då satellitoperatören som sedan 2023 har erbjudit bredband via satellit till södra Sverige, nu erbjuder täckning över

114

Prop. 2025/26:1 Utgiftsområde 22

hela landet. Satellittjänster för konsumenter erbjuds i dagsläget endast av en leverantör. Detta medför osäkerhet bl.a. kring marknadsutvecklingen och tjänstens tillgänglighet över tid.

Avvecklingen av kopparnäten samt 2G- och 3G-näten (teknikskiftet) kan påverka behovet av stöd för de individer och företag som endast har tillgång till sådana nät. Avvecklingen kan också påverka vissa produkter och tjänster som använder sig av denna teknik, t.ex. den automatiska uppringningen av larmnumret vid en allvarlig fordonsolycka, s.k. e-call.

Mobiloperatörerna har sedan 2020 kommunicerat att avvecklingen av de äldre mobilnäten kommer att äga rum. Det är viktigt att mobiloperatörer och andra aktörer tar sitt ansvar i övergången till de modernare mobilnäten. Det handlar både om att stödja användare och informera om teknikskiftet samt att aktörer inom exempelvis välfärden ersätter utrustning som är beroende av äldre teknik. PTS har sedan 2022 haft i uppdrag att följa teknikskiftet samt bevaka vilka informationsinsatser som genomförs med anledning av avvecklingen. I syfte att stärka beredskapen inför teknikskiftet har regeringen den 5 juni 2025 gett PTS i uppdrag att utöver att följa avvecklingen av 2G- och 3G-näten även sammanställa information och erfarenheter samt analysera avvecklingens konsekvenser. För att ytterligare stärka användarnas förmåga att hantera teknikskiftet har PTS även fått i uppdrag att bedriva informations- insatser. Informationsinsatserna ska bidra till att öka kunskapen om avvecklingen hos konsumenter, företag och offentliga aktörer och syfta till en bättre beredskap för att hantera teknikskiftet (Fi2025/01283).

Åtgärd för att skydda privatpersoner och företag från telefonbedrägerier

Bedrägerier via elektroniska kommunikationstjänster som telefonsamtal och sms är, liksom andra typer av bedrägerier, ett samhällsproblem. År 2022 uppskattades brotts- vinsterna för telefonbedrägerier uppgå till ca 600 miljoner kronor, vilket ökade till ca 700 miljoner kronor 2023. Under 2024 sjönk brottsvinsterna med 40 procent till drygt 400 miljoner kronor. De kriminella riktar ofta in sig mot äldre personer och bedrar dem på stora belopp. Mot bakgrund av denna problematik gav regeringen i december 2023 PTS i uppdrag att motverka bedrägerier genom att lämna förslag till åtgärder för att förhindra manipulerade telefonnummer, s.k. spoofing, och andra tillvägagångssätt där elektroniska kommunikationstjänster används för att genomföra bedrägerier (Fi2023/03206). PTS slutredovisade uppdraget den 17 december 2024. I redovisningen föreslår PTS flera åtgärder, med särskilt fokus på åtgärder för att mot- verka bedrägerier via sms (Fi2024/02554).

Elektroniska kommunikationer

Välfungerande marknader för elektroniska kommunikationer

Intäkterna på den totala marknaden för elektroniska kommunikationer ökade med

1 procent under 2024 till 52 060 miljoner kronor. Ökningen berodde i första hand på intäkter från fasta internettjänster och intäkterna från mobiltjänster var oförändrade.

Mängden datatrafik i mobilnäten fortsätter att öka och mellan 2023 och 2024 ökade trafiken med 30 procent. Datatrafiken i 5G-nät fortsätter, i takt med utbyggnaden, att öka kraftigt och utgjorde 2024 17 procent av den totala mobila datatrafiken.

Investeringarna på marknaden för fast och mobil infrastruktur är på en stabil nivå och uppgick 2024 till ca 12,1 miljarder kronor. Andelen investeringar i mobil infrastruktur ökade 2024 med 30 procent och uppgick till ca 4,7 miljarder kronor. Investeringarna har sedan 2021 i betydande utsträckning utgjorts av stora uppgraderingar av mobilnät till 5G. Investeringar i fiberutbyggnad avtog under samma period.

115

Prop. 2025/26:1 Utgiftsområde 22

Den 21 februari 2024 presenterade kommissionen en vitbok om Europas behov av digital infrastruktur, och en rekommendation om säker och motståndskraftig under- vattenskabelinfrastruktur. I vitboken redovisas åtgärder för att främja utbyggnad och utveckling av digital infrastruktur. Vidare behandlas möjliga åtgärder för att främja investeringar och innovation, öka säkerheten samt färdigställa den digitala inre marknaden. Rådet för transport, telekommunikation och energi (TTE) antog den

6 december 2024 slutsatser om vitboken.

Europaparlamentet och rådets förordning (EU) 2024/1309 av den 29 april 2024 om åtgärder för att minska kostnader för utbyggnad av gigabitnät för elektronisk kommunikation, om ändring av förordning (EU) 2015/2120 och om upphävande av direktiv 2014/61/EU (Gigabitinfrastrukturförordningen), nedan benämnd EU:s förordning om gigabitinfrastruktur, syftar till att skapa förutsättningar för en kostnads- effektiv och snabb utbyggnad av nät med mycket hög kapacitet, vilket är nödvändigt för att möta EU:s digitala mål och ökade uppkopplingsbehov. Regeringen har gett en särskild utredare i uppdrag att föreslå anpassningar och kompletterande författnings- bestämmelser som EU:s förordning om gigabitinfrastruktur ger anledning till

(dir. 2024:76). Enligt tilläggsdirektiv ska uppdraget redovisas senast den 6 november 2025 (dir. 2025:47).

Det säkerhetspolitiska läget sätter ökat fokus på säkerhet och tillförlitlighet

PTS fortsätter arbetet med att stärka säkerheten i elektroniska kommunikationsnät, bl.a. genom nationellt tillsynsarbete, samverkan med privata och offentliga aktörer samt deltagande i arbetsgrupper inom EU, Nato och andra forum för internationellt samarbete. Sverige är alltjämt drivande i arbetet inom EU med t.ex. genomförandet av den s.k. verktygslådan med åtgärder för ökad 5G-säkerhet och ökad säkerhet i under- vattensinfrastruktur för elektronisk kommunikation.

Regeringens prioritering av upprustning av totalförsvaret och Sveriges inträde i Nato har präglat beredskapssektorn elektronisk kommunikation och post. PTS är sektors- ansvarig beredskapsmyndighet för sektorn. Arbetet inom sektorn har till följd av den säkerhetspolitiska utvecklingen intensifierats samtidigt som komplexiteten har ökat.

Efter förslag i budgetpropositionen för 2025 har omfattande och långsiktig finansiering avsatts för beredskapsarbetet i sektorn (prop. 2024/25:1 utg.omr. 22, bet. 2024/25:TU1, rskr. 2024/25:100). Medlen är avsatta under totalförsvarsperioden 2025–2030 för en robust och redundant infrastruktur för elektronisk kommunikation och en resilient beredskapssektor. Regeringens satsningar har möjliggjort ökade investeringar i robust och redundant kritisk infrastruktur, samt förstärkta förmågor hos PTS. Myndigheten har bl.a. kunnat öka arbetet med robusthetshöjande åtgärder, övningsverksamhet, samverkan med näringslivet och inom staten, samt stärkt funktionen tjänsteman i beredskap för att utveckla den operativa hanteringen av situationer som uppstår inom beredskapssektorn. Regeringen har även i reglerings- brevet för 2025 gett PTS i uppdrag att arbeta med förmågeutveckling i beredskaps- sektorn.

Under 2024 trädde bestämmelserna som reglerar den nationella telesamverkans- gruppen (NTSG) i kraft. Genom NTSG har det bl.a. skapats bättre förutsättningar för samverkan mellan privata och offentliga aktörer inom sektorn. Ansvarigt statsråd träffade under hösten 2024 aktörerna i NTSG, bl.a. mot bakgrund av det försämrade säkerhetsläget.

Utveckling har även skett för att bättre kunna nyttja mobilnätens kapacitet vid höjd beredskap. Regeringen har t.ex. gett MSB och PTS i uppdrag att införa cell broadcast- teknik i de kommersiella mobilnäten för varningar till allmänheten (Fi2025/00854, Fö2024/01981 [delvis] och Fö2025/00672).

116

Prop. 2025/26:1 Utgiftsområde 22

PTS har genomfört flera informationsinsatser för bl.a. leverantörer i sektorn digital infrastruktur i syfte att informera om den kommande cybersäkerhetslagen som ska genomföra Europaparlamentets och rådets direktiv (EU) 2022/2555 om åtgärder för en hög gemensam cybersäkerhetsnivå i hela unionen om ändring av förordning (EU) nr 910/2014 och direktiv (EU) 2018/1972 och om upphävande av direktiv (EU) 2016/1148 (NIS 2-direktivet). PTS har bl.a. lanserat en e-tjänst som syftar till att hjälpa företag att bedöma om de kommer att omfattas av den kommande lagstiftningen.

Under våren 2025 fick det nationella cybersäkerhetscentret vid Försvarets radioanstalt (FRA) en ny förordning av vilken det bl.a. framgår att PTS är en av samverkans- myndigheterna. I förordningen regleras att samverkansmyndigheterna, inom ramen för sina respektive befintliga ansvarsområden, löpande ska bistå det nationella cybersäkerhetscentret med kunskap, kompetens och information.

Regeringen har genom Sveriges plats i det verkställande rådet i FN:s fackorgan för informations- och kommunikationsteknologi (ITU) bidragit till att motverka det ökande engagemanget från auktoritära stater i exempelvis ITU:s standardiserings- arbete, stärkt arbetet med att överbrygga den globala digitala klyftan med hjälp av teknik och informationsinsatser och verkat för att den globala digitaliseringen ska ske med respekt för mänskliga rättigheter. Vidare har regeringen genom sitt aktiva deltagande i ITU, i enlighet med EU:s principer för Ryssland och Belarus i multilaterala forum efter Rysslands fullskaliga invasion av Ukraina, verkat för att blockera företrädare för den ryska regeringen från högre poster i verkställande rådets och standardiseringssektorns arbetsgrupper. Vid ITU:s givarkonferens Partner 2 Connect aviserade regeringen ett stöd om 80 miljoner kronor för att stödja digitaliseringen i Ukraina.

Åtgärder för att främja införandet av ett nytt internetprotokoll

PTS fick i sitt regleringsbrev för 2024 i uppdrag att fortsätta driva myndighetens befintliga forum för det nya internetprotokollet IPv6. PTS bedömer att säkerheten i nät och tjänster kan påverkas negativt och konkurrenssituationen bland marknads- aktörerna i Sverige försämras om inte IPv6 införs, samt att detta kan hindra den pågående digitaliseringen i samhället. År 2024 hade ca 39 procent av de statliga förvaltningsmyndigheterna, 20 procent av kommunerna och 19 procent av regionerna infört IPv6-standarden i sina webbplatser, e-posttjänster och DNS-tjänster. Motsvarande andelar för föregående år var 23, 20 respektive 14 procent.

4.3.2Postmarknaden fortsätter att förändras

Under 2024 distribuerades det ca 1,05 miljarder brevförsändelser inom Sverige (se tabell 4.7). Cirka 983 miljoner av dessa var traditionella brev och ca 66 miljoner var varuförsändelser om 0–2 kg som också hanteras och delas ut inom brevflödet, s.k. paketbrev.

117

Prop. 2025/26:1 Utgiftsområde 22

Tabell 4.7

Utvecklingen totalt brevmarknaden

 

År

Antal miljoner brev

Index

 

 

 

2000 (index år)

3 426,30

100

 

 

 

2018

2 018,40

58,9

 

 

 

2019

1 805,50

52,7

 

 

 

2020

1 592,50

46,4

 

 

 

2021

1 505,90

44

 

 

 

2022

1 352,00

39

 

 

 

2023

1 189,00

34,7

 

 

 

2024

1 040,00

30,6

 

 

 

Källa: Post- och telestyrelsen.

Jämfört med föregående år minskade det totala antalet brevförsändelser i termer av volymer (antal brev) med 12 procent och i omsättning med 1 procent. Medan traditionella brev har minskat med 13 procent och med 4 procent i omsättning, har antalet paketbrev ökat med 5 procent och med 9 procent i omsättning. Den totala omsättningen på brevmarknaden uppgick 2024 till 8,1 miljarder kronor, varav traditionella brev stod för 6,1 miljarder kronor och paketbreven för 1,9 miljarder kronor.

Under 2024 fanns det 19 postoperatörer med tillstånd att bedriva postverksamhet på den svenska postmarknaden. Postnord AB (Postnord) är den största av totalt

15 aktörer på marknaden för traditionella brevtjänster, och hade under 2024 en marknadsandel på mellan 70 och 75 procent räknat i volym. Postnords största konkurrent är Citymail Sweden AB, med en marknadsandel på mellan 25 och

30 procent. Postnord är även den största aktören på marknaden för paketbrev med en marknadsandel på mellan 55 och 60 procent av volymerna. Jämfört med föregående år minskade Postnords marknadsandel för paketbrev med 5 procentenheter.

Sedan den 1 januari 2018 ska enligt postförordningen (2010:1049) 95 procent av inrikes brev inom den samhällsomfattande posttjänsten delas ut inom två arbetsdagar. Postnord har under 2022 och 2023 inte uppnått detta krav. År 2023 uppnåddes kravet endast i 93,1 procent av fallen. För helåret 2024 förbättrades mätresultatet och blev 94,9 procent. Med beaktande av felmarginalen förväntas det verkliga resultatet ligga inom intervallet 94,7–95,1 procent. Kravet på 95 procent ligger alltså inom det uppnådda intervallet (se tabell 4.8).

Tabell 4.8 Andelen brev som har lämnats in till Postnord för tvådagarsbefordran och som delades ut inom tidsramen

År

Årsmedel (procent)

 

 

2018 (tvådagarsbefordran

 

introducerades)

98,6

 

 

2019

97,7

 

 

2020

98,1

 

 

2021

97,9

 

 

2022

94,7

 

 

2023

93,1

 

 

2024

94,9

 

 

Källa: Post- och telestyrelsen.

 

Under 2024 tog PTS emot 963 postfrågor, vilket är en minskning jämfört med 2023 då antalet ärenden uppgick till 1 687. Den övervägande delen av frågorna var utdelningsrelaterade klagomål och handlade om försändelser som har delats ut för sent, skadats eller försvunnit.

118

Prop. 2025/26:1 Utgiftsområde 22

PTS har beslutat om nya tillståndsvillkor för Postnord som började gälla den

1 april 2025. Villkoren kompletterar övrig reglering med syfte att säkra servicenivån för postförsändelser. Postnord utsågs att tillhandahålla den samhällsomfattande posttjänsten för befordran av skriftliga meddelanden som väger högst 2 kg. För posttjänster som är avsedda för försändelser upp till 20 kg, ska Postnord även tillhandahålla en begränsad del av den samhällsomfattande posttjänsten. Myndigheten motiverar beslutet bl.a. med att konkurrensen på paketmarknaden är tillfredställande. Tillståndsvillkoren har överklagats av Postnord.

Postfinansieringsutredningen (I 2020:03) överlämnade den 30 januari 2023 delbetänkandet Posttjänst för hela slanten – Finansieringsmodeller för framtidens samhällsomfattande posttjänst (SOU 2023:4). Betänkandet har remitterats och bereds i Regeringskansliet.

Under 2025 fattade regeringen beslut om förordning om ändring i förordningen (2018:1300) om statligt stöd för driftsäkra och robusta elektroniska kommunikationer. Ändringarna innebär att stöd enligt förordningen även kan beviljas för åtgärder med syfte att skydda posttjänster mot allvarliga hot och påfrestningar i fredstid och vid höjd beredskap. Regeringen bedömer att förändringen får stor betydelse i arbetet med robusthöjande åtgärder inom postområdet.

4.3.3Fortsatta utmaningar med tillgång till grundläggande betaltjänster

Kontantbaserade betaltjänster har till största delen ersatts av digitala betaltjänster, och Sverige är ett av de mest digitaliserade länderna i fråga om betalningar. Detta har underlättat för många människor men, som länsstyrelserna understryker i rapporten Bevakning av grundläggande betaltjänster 2024, även medfört utmaningar för vissa grupper. Liksom 2023 finns det brister i tillgången till kontantbaserade och manuella betaltjänster. PTS konstaterar samtidigt i sin årsredovisning för 2024 att infra- strukturen för kontanttjänster upprätthålls, dvs. att platser för kontantuttag och dagskasseinsättningar tillhandahålls i betryggande utsträckning i hela landet, och att tillgången till kontanttjänster har förbättrats något. Genom en nyetablerad tjänst har PTS och länsstyrelserna möjlighet att återigen bevilja stöd för att finansiera betalnings- förmedling, något som inte har varit möjligt under ett par år då det har saknats marknadsaktörer.

Under 2024 har länsstyrelserna genomfört insatser för att öka den digitala delaktigheten med fokus på grupperna äldre, utrikes födda samt personer med funktionsnedsättning. Länsstyrelserna bedömer att behovet av sådana insatser är fortsatt stort och att genomförda insatser bidrar till att minska det digitala utanförskapet.

4.4Regeringens bedömning av måluppfyllelsen

Användningen av digitaliseringens möjligheter

Digitaliseringen av samhället går fortsatt snabbt och är en central drivkraft för ökad produktivitet inom den privata och offentliga sektorn och för den ekonomiska tillväxten. Den snabba och ökande digitaliseringen av samhället har skapat enorma möjligheter men även risker vad gäller cybersäkerhet i form av hot och sårbarheter Många länder investerar, liksom Sverige, offensivt i forskning, utveckling och innovationer och Sverige presterar alltjämt över genomsnittet i EU. Sverige rankas också fortsatt högt i internationella mätningar av digitalisering. Användningen av digital teknik och data, såsom AI, i den digitala omställningen och för utvecklingen av nya tekniker är kritiska faktorer för Sveriges konkurrenskraft och en hållbar samhälls-

119

Prop. 2025/26:1 Utgiftsområde 22

utveckling. Sverige placerar sig högt när det gäller användning av digitaliseringens möjligheter, men efter andra ledande länder som Danmark, Finland och Neder- länderna.

Digitaliseringen av den offentliga förvaltningen har fortsatta utmaningar och kan bedrivas mer effektivt. Det finns många statliga myndigheter som presterar bra, men det finns skillnader i servicenivåer. Skillnader i servicenivåer finns även mellan kommuner och mellan regioner.

Ena – den nationella digitala infrastrukturen har potential att bidra till en effektivisering och utjämning av digital service i landet. Det finns fortsatt stora möjligheter att öka anslutningen till de digitala tjänster som tagits fram t.ex. digital post. Vidare finns möjligheter att utveckla fler tjänster som kan koppla ihop myndigheter, kommuner och regioner för att öka användarvänligheten och effektiviteten. Anslutningen till den digitala infrastrukturen SDK har ökat avsevärt under 2024 och det finns stora möjligheter till effektiviseringar för de arbetsuppgifter där denna infrastruktur kan användas. Det är också positivt att utvecklingen av en statlig e-legitimation och en digital identitetsplånbok har påbörjats, vilket bedöms kunna bidra till en mer samman- hållen identitetsförvaltning.

AI har potential att förändra den offentliga förvaltningen i grunden genom att effektivisera processer, höja kvaliteten på tjänster och spara resurser. Det skiljer sig åt hur långt de statliga myndigheterna, regionerna och kommunerna har kommit i användningen av AI och en datadriven verksamhet. Samtidigt medför användningen av AI utmaningar särskilt vad gäller etik, dataskydd och transparens. Osäkerhet kring sådana frågor riskerar att leda till att den offentliga förvaltningen går miste om potentialen med AI. Genom regeringens insatser bl.a. för ökad vägledning och att utreda förutsättningarna för en AI-verkstad för offentlig förvaltning ökar möjlig- heterna till gemensamma AI-lösningar. Regeringen har också tagit flera initiativ för att underlätta delning av och tillgång till data, vilket bl.a. är en förutsättning för utveckling av AI.

När det gäller digital kompetens står sig Sverige väl jämfört med EU:s övriga medlemsstater. Detta är en förutsättning för att dra nytta av den digitala omställningen och möta behovet av digital kompetens på arbetsmarknaden. Befolkningen i Sverige har över lag en hög digital kompetens. Det finns dock fortfarande grupper som saknar eller har bristfällig digital baskompetens, vilket bl.a. Internetstiftelsens uppföljning av användningen av internet visar. Det gäller framför allt äldre. Regeringen har därför tagit olika initiativ för att öka den digitala inkluderingen.

Sverige har goda förutsättningar att bidra till EU:s digitala mål och öka målupp- fyllelsen för det övergripande målet. Regeringen bedömer dock att Sverige inte når det övergripande målet med den svenska digitaliseringspolitiken, att vara bäst i världen på att nyttja digitaliseringens möjligheter.

Bredband är en förutsättning för att bo, leva och verka i hela landet

Utbyggnaden av bredband fortgår i hela landet. Regeringen bedömer att bredbands- stödet och andra åtgärder som främjar denna utbyggnad har varit betydelsefulla, inte minst för landets gles- och landsbygder. Det finns goda förutsättningar att nå målet om att alla hushåll och företag ska ha tillgång till snabbt bredband. Detta beror till stor del på att tillgången till marknadsmässiga lösningar för telefoni och internet- anslutningar som medför 10 Mbit/s är mycket god.

Mobil uppkoppling blir allt viktigare och operatörerna har gjort stora investeringar i utbyggnad av 5G under det senaste året. I digitaliseringsstrategin anger regeringen en

120

Prop. 2025/26:1 Utgiftsområde 22

ambitionshöjning för mobil konnektivitet för att det ska vara möjligt att bo, leva och verka i hela landet.

Säkra och robusta elektroniska kommunikationer

Regeringen bedömer att Sverige har effektiva, säkra och robusta elektroniska kommunikationer som tillgodoser användarnas behov. Ett fortsatt aktivt arbete inom civilt försvar, krisberedskap och cybersäkerhetsområdet är viktigt för att uppnå målen om säkra och robusta elektroniska kommunikationer. Konkurrensen och mångfalden av aktörer på marknaden ger förutsättningar att kostnadseffektivt åstadkomma en motståndskraftig infrastruktur genom samverkan kring redundans och diversitet.

Utmaningar med den samhällsomfattande posttjänsten

Postnord och övriga delar av marknaden står inför stora utmaningar. Regeringens samlade bedömning är att målet för postsektorn, att det ska finnas en posttjänst av god kvalitet i hela landet, i stort uppfylldes under 2024. Samtidigt fortsätter den svenska postmarknaden alltjämt att förändras. Samhällets digitalisering har lett till stora förändringar i användarnas kommunikationsvanor och därmed deras behov av posttjänster. Att upprätthålla och dimensionera ett distributionsnätverk innebär fasta kostnader som inte minskar i samma takt som vikande brevvolymer. Till följd av detta stiger kostnaderna per utdelat brev.

Under 2022 och 2023 uppfyllde Postnord inte postförordningens krav om att minst 95 procent av de inrikes brev som har lämnats in för tvådagarsbefordran ska ha delats ut inom två påföljande arbetsdagar. Bolaget har dock vidtagit kvalitetshöjande åtgärder, och postförordningens krav kan anses uppnått av Postnord under 2024.

Regeringen fortsätter att noga övervaka utvecklingen i strävan att uppnå en balanserad och välfungerande postmarknad som gynnar hela landet i linje med de gällande politiska målen. Det är viktigt att säkerställa en välfungerande posttjänst även vid höjd beredskap, vilket förutsätter ett fortsatt aktivt arbete inom civilt försvar och krisberedskap.

Tillgång till grundläggande betaltjänster

Liksom tidigare år finns det fortsatta utmaningar med att uppfylla målet för politiken för de grundläggande betaltjänsterna avseende betalningsförmedling. Däremot uppfyller kreditinstituten alltjämt sina skyldigheter att tillhandahålla platser för kontanttjänster på nationell nivå. Det finns sedan en tid tillbaka få aktörer på marknaden som kan ta del av det statliga stödet till grundläggande betaltjänster som administreras av länsstyrelserna. Infrastrukturen för kontanttjänster upprätthålls i enlighet med uppsatta mål. Delar av befolkningen, främst i gles- och landsbygder, kan dock ha långt till kontanttjänster och uttags- och insättningsautomater.

Regeringen ser allvarligt på situationen. En utredare lämnade den 19 december 2024 förslag som syftar till att utöka möjligheten att betala kontant för vissa varor och tjänster (Fi2024/00068). Förslagen bereds i Regeringskansliet. Det arbete PTS och länsstyrelserna gör inom området bidrar till att främja alla människors möjligheter att använda digitala betaltjänster och för den övervägande delen av befolkningen är tillgången till betaltjänster god, framför allt tack vare digitala alternativ.

121

Prop. 2025/26:1 Utgiftsområde 22

4.5Politikens inriktning

Digital omställning för medborgarnytta, effektivitet, bättre välfärd och stärkt konkurrenskraft

Digitaliseringspolitikens roll i den pågående digitala omställningen är att skapa förutsättningar för medborgare, näringsliv, akademi och offentlig sektor att nyttja digitaliseringens möjligheter. Politiken måste också säkerställa att negativa effekter motverkas och att det digitala utanförskapet minskas. Sverige har sedan länge varit en digitalt avancerad nation, men andra länder har på senare år ökat takten och investeringsnivån inom strategiska områden som AI. Sverige får inte halka efter och därmed gå miste om de nyttor som digitaliseringen medför. Regeringen har den

28 maj 2025 beslutat om en digitaliseringsstrategi för 2025–2030 som pekar ut riktningen för regeringens digitaliseringspolitik. Strategin omfattar fem strategiskt viktiga områden: digital kompetens, digitalisering av näringslivet, digitalisering av den offentliga förvaltningen, digitalisering av välfärden och konnektivitet. Frågor om AI, tillgång till data och säkerhet behandlas där det är relevant inom de fem strategiska områdena. Regeringen har påbörjat och avser att fortsätta arbetet med att genomföra dels de planerade åtgärder som presenteras i strategin, dels ytterligare åtgärder som är viktiga för digitaliseringspolitiken. Regeringen avser bl.a. att inom ramen för strategin genomföra åtgärder för att öka den digitala kompetensen med särskilt fokus på AI. Vidare avser regeringen att genomföra åtgärder för datadriven innovation och den offentliga förvaltningens digitalisering. Regeringen har gett Myndigheten för digital förvaltning och PTS i uppdrag att stödja genomförandet av digitaliseringsstrategin, bl.a. genom att följa upp målen, utveckla indikatorer och analysera effekterna av de åtgärder som har vidtagits.

Bättre välfärd och ökad konkurrenskraft genom AI

AI är en alltmer integrerad del av samhället och har potential att förändra den offentliga förvaltningen i grunden genom att effektivisera processer, höja kvaliteten på tjänster och spara resurser. Sverige måste ha förmågan att tillvarata möjligheterna med AI, samtidigt som dess risker hanteras. Regeringen avser därför att ta fram en AI- strategi.

I betänkandet Färdplan för Sverige pekas det ut åtgärder som AI-kommissionen anser behöver prioriteras för att stärka utvecklingen och användningen av AI i Sverige. Regeringen har under 2025 presenterat ett stort antal AI-reformer och avser att genomföra ytterligare åtgärder som föreslås i betänkandet för att stärka det svenska AI-ekosystemet. Trots potentialen är utvecklingen och användningen av AI i Sverige ojämn, inte minst inom den offentliga förvaltningen. Regeringen avser att etablera en AI-verkstad för offentlig förvaltning i syfte att erbjuda stöd och gemensamma AI- lösningar till statliga myndigheter, kommuner och regioner (utg.omr. 3 avsnitt 2.9.1 och utg.omr. 10 avsnitt 3.11.7). Kopplad till AI-verkstaden ska det även finnas vägledning om AI för den offentliga förvaltningen och en regulatorisk sandlåda, dvs. en test- och experimentmiljö för AI (avsnitt 4.6.6, utg.omr. 1 avsnitt 10.11.3 och utg.omr. 16 avsnitt 6.7.7). Regeringen ökar dessutom den nationella medfinansieringen till EU-programmet för ett digitalt Europa, som möjliggör svenskt deltagande i forsknings- och innovationsprojekt inom bl.a. AI. Det ger möjligheter för kommersialisering av ny teknik.

Även molntjänster är betydelsefulla för en effektiv utveckling och användning av AI. För att bidra till att stärka den offentliga förvaltningens användning av molntjänster avser regeringen att ta fram en molnpolicy.

122

Prop. 2025/26:1 Utgiftsområde 22

Bättre välfärd och medborgarnytta genom en digital offentlig förvaltning

Välfärden står inför stora utmaningar, t.ex. bristen på arbetskraft. Den digitala omställningen av samhället kan bl.a. användas för att frigöra resurser för ökad patientkontakt samt bidra till en god och effektiv hälso- och sjukvård och socialtjänst av hög kvalitet. För att öka produktiviteten i den offentliga verksamheten behövs kontinuerliga investeringar i digital infrastruktur.

Regeringen ser behov av att stärka den strategiska styrningen och uppföljningen av den offentliga förvaltningens digitalisering genom att prioritera utveckling, förvaltning och användning av den nationella digitala infrastrukturen Ena. Syftet med att stärka styrningen och uppföljningen är att säkerställa en långsiktigt hållbar, säker, behovs- anpassad och sammanhållen digital infrastruktur. Det är också viktigt att de befintliga digitala tjänsterna och lösningarna inom Ena, såsom Mina ärenden och Digital post, används brett.

I takt med utvecklingen av Ena behöver det också utvecklas sektorsspecifika lösningar inom respektive område. En god samordning mellan Enas nationella digitala infra- struktur och sektorsspecifika digitala infrastrukturer, där det är lämpligt och möjligt, är avgörande för att säkerställa synergier och effektiv resursanvändning. I linje med detta behöver arbetet med en sammanhållen infrastruktur för identitet och behörighet inom Ena fortsätta. Infrastrukturen tas fram av Myndigheten för digital förvaltning i samverkan med E-hälsomyndigheten, och behövs för att möta behoven inom den nationella digitala infrastrukturen för hälso- och sjukvården.

Arbetet med en statlig e-legitimation, där bl.a. medborgarnas e-legitimationer utfärdas av en statlig myndighet, och en digital identitetsplånbok fortsätter.

En stärkt myndighet för digitaliseringsfrågor

Myndigheten för digital förvaltning och PTS har till regeringen redovisat hur Myndigheten för digital förvaltnings uppgifter kan inordnas i PTS. Regeringen bedömer att en sammanhållen myndighet kan ta vara på och förstärka kompetenserna från de båda myndigheterna samt stärka arbetet med motståndskraften i den digitala infrastrukturen och öka takten i digitaliseringen av offentlig sektor. För att öka effektiviteten i statsförvaltningen anser regeringen att antalet myndigheter bör minska. Genom att samla uppgifter inom närliggande verksamhetsområden kan såväl en högre effektivitet som bättre kvalitet uppnås (utg.omr. 2 avsnitt 4.5.1).

En sammanslagning bedöms skapa förutsättningar för synergier inom t.ex. digital inkludering, kunskaps- och erfarenhetsutbyte och kontinuerliga investeringar i digital infrastruktur. Förutsättningarna för att genomföra EU-lagstiftning inom det digitala området bedöms också förbättras. Myndigheten för digital förvaltnings ansvar för den nationella digitala infrastrukturen knyts närmare det ansvar för främjande av elektroniska kommunikationer som PTS har. Det ger stärkta förutsättningar för att upprätthålla trygga, tillgängliga och säkra digitala tjänster i hela landet, för medborgare, offentlig förvaltning och företag. Sammantaget bedöms en sammanslagning av myndigheterna vara en betydelsefull åtgärd för att Sverige fortsatt ska utvecklas som en framstående digitaliseringsnation. Regeringen anser att en sammanslagning bör ske genom att Myndigheten för digital förvaltnings uppgifter överförs till och inordnas i PTS. Regeringens utgångspunkt är att organisationsförändringen ska träda i kraft den 1 januari 2027.

Ökad tillgång till data för effektivitet, välfärd och medborgarnytta

Tillgång till data och förmågan att dela data ökar i strategisk betydelse. Datadelning är viktigt för svensk konkurrenskraft och är även en förutsättning för att utveckla och använda digital teknik såsom AI. Arbetet med data som strategisk resurs behöver

123

Prop. 2025/26:1 Utgiftsområde 22

fortsätta, för att kunna ta tillvara på de möjligheter som bl.a. AI erbjuder. Regeringen anser att det är viktigt att öka användningen och delningen av data, samt göra den tillgänglig. Regeringen har därför gett en särskild utredare i uppdrag att analysera förutsättningarna för den offentliga förvaltningen att använda integritetsbevarande metoder vid datadelning.

Informations- och datadelning är vidare en viktig förutsättning för att förebygga organiserad brottslighet, motverka arbetslivskriminalitet, förbättra vården, bekämpa välfärdsbrottslighet och förenkla för företag.

För att öka effektiviteten och förenkla servicen hos den offentliga förvaltningen är det avgörande att den offentliga förvaltningen kan dela data på ett interoperabelt sätt. Datadelning underlättar för den offentliga förvaltningen att utföra sin verksamhet på ett effektivt sätt, vilket är speciellt viktigt inom områden som är prioriterade av regeringen, såsom det brottsbekämpande arbetet och användningen av AI. Regeringen avser att presentera ett lagförslag om den offentliga förvaltningens datadelning som beaktar Sveriges säkerhet.

För att öka tillgången till data avser regeringen att ge Myndigheten för digital förvaltning och SCB i uppdrag att förbereda inrättandet av en vägledande funktion, en s.k. data steward (utg.omr. 2 avsnitt 6.5).

Främjandet av digital kompetens och inkludering

Samhällets digitalisering innebär att grundläggande digitala förmågor i allt högre grad är en förutsättning för delaktighet och för att kunna nyttja de tjänster som samhället erbjuder. Regeringen ser därför ett behov av att stärka arbetet för ökad digital inkludering. För att Sverige ska kunna dra full nytta av AI-utvecklingen behöver arbetet för digital inkludering även innefatta en ambition om att öka den grund- läggande AI-kompetensen i samhället. Digitalidag, som är en del av PTS, är en viktig samverkansplattform mellan det offentliga och näringslivet i arbetet för ett digitalt samhälle.

Regeringen stärker arbetet med att skapa en tryggare och mer inkluderande online- miljö genom att tillföra PTS medel för tillsynsarbetet som följer av Europa- parlamentets och rådets förordning (EU) 2022/2065 av den 19 oktober 2022 om en inre marknad för digitala tjänster och om ändring av direktiv 2000/31/EG (förordningen om digitala tjänster). Förordningen ställer krav på digitala plattformar, bl.a. i fråga om hanteringen av olagligt innehåll och om e-handel. Ökade medel för tillsynsarbete bidrar till en tryggare onlinemiljö, vilket främjar medborgarnas möjlig- heter att dra nytta av tjänster och delta i det alltmer digitaliserade samhället.

Digitaliseringen av samhället har även bidragit till att bedrägerier där elektroniska kommunikationstjänster används har ökat. Regeringen avser att vidta åtgärder för att stärka skyddet för användare av elektroniska kommunikationer och motverka bedrägerier genom telefonsamtal och sms.

Näringslivets digitalisering för stärkt konkurrenskraft och innovation

Eftersom andelen svenska företag som använder AI är näst högst i EU, har Sverige goda förutsättningar att fortsättningsvis vara en ledande, teknikdriven nation. Svenska företag behöver dock fortsatt öka takten i sin digitala omställning för att på sikt vara konkurrenskraftiga. Detta gäller bl.a. de små och medelstora företagens användning av AI. Digitalisering av näringslivet skapar affärsnytta, produktivitet, lönsamhet och tillväxt. Robust digital infrastruktur för forskning och innovation är av stor betydelse för näringslivets produktivitet och konkurrenskraft. Det är också en förutsättning för att utveckla AI-tillämpningar som AI-assistenter och industriautomation i samverkan mellan akademi, näringsliv och offentlig sektor.

124

Prop. 2025/26:1 Utgiftsområde 22

Konnektivitet som når alla

Konnektivitet är viktigt för likvärdiga möjligheter att bo, leva och verka i hela landet. Tillförlitlig konnektivitet är, i ett alltmer digitaliserat samhälle, även viktigt för samhällsgemenskapen då personer annars kan hamna i ett digitalt utanförskap. Alla hushåll och företag bör ha goda möjligheter att använda sig av digitala tjänster och samhällsservice. Regeringens utgångspunkt är att konnektivitet i första hand ska tillhandahållas genom en väl fungerande marknad, men att staten ska ha ett ansvar på områden där allmänna intressen inte enbart kan tillgodoses av marknaden. Det krävs fortsatta investeringar i utbyggnad av näten för att möta behov hos konsumenter och näringsliv samt inom välfärd och offentlig förvaltning. För att öka investeringarna i konnektivitet ser regeringen ett fortsatt behov av förenkling och kostnads- effektivisering. I delar av landet, särskilt i glesbefolkade områden, kan utbyggnad inte ske på marknadsmässig grund. Regeringen har därför avsatt medel för stöd till bredbandsutbyggnad.

EU:s förordning om gigabitinfrastruktur ställer ökade krav på digitalisering av tillståndsprocesser bl.a. genom införandet av en central informationspunkt som möjliggör kortare handläggningstider och effektivare processer, i syfte att underlätta och påskynda utbyggnad av gigabitsinfrastruktur. Under 2026–2030 kommer tillgången till bredband att öka ytterligare, bl.a. genom utbyggnad av infrastruktur med offentlig finansiering. Vidare blir mobil uppkoppling allt viktigare. Utbyggnad av 5G- nät och utveckling av nästa generations mobilteknik, 6G, är angeläget för att säkerställa att det finns tillförlitlig konnektivitet som motsvarar användarnas behov vilket möjliggör nya innovativa produkter och tjänster, som stärker näringslivets konkurrenskraft. Introduktionen och kommersialiseringen av nya satellittjänster kan ge konnektivitet i områden där annan infrastruktur saknas.

Stärkt digital motståndskraft, tillförlitlighet och säkerhet i hela samhället

I dag är digital infrastruktur samhällskritisk. Många digitala tjänster är samhällsviktiga och av betydelse för totalförsvaret. Det finns ett stort behov av ett starkt civilt försvar med hög beredskap samt säkra och tillförlitliga posttjänster, elektroniska kommuni- kationer och annan digital infrastruktur. Detta gäller såväl i fredstida kriser som längs hela konfliktskalan, inklusive hybrida hot, höjd beredskap och ytterst krig. Regeringen bedömer att myndigheterna och övriga berörda aktörer kan förbättra sitt samarbete ytterligare i beredskapsfrågor.

Den digitala infrastrukturens funktionalitet ska upprätthållas och tjänster, användare och information ska vara säkra i alla lägen. Tillhandahållarna av infrastrukturen och tjänsterna, beredskapsmyndigheter och andra aktörer i leveranskedjan behöver ha uthållighet och beredskap inför stora påfrestningar. De behöver också snabbt kunna ställa om till krigsförhållanden. Hot mot såväl infrastrukturen inom beredskaps- sektorn, elektroniska kommunikationer och post som mot övrig digital infrastruktur kommer från olika källor. Det kan röra sig om hot både från främmande stater och kriminella aktörer, cybersäkerhetsincidenter samt från fysiska påfrestningar till följd av sabotage, klimatförändringar, naturkatastrofer eller annan yttre påverkan. Vägledande för arbetet med den digitala infrastrukturen och tjänsterna är att dessa ska ha resiliens, robusthet och redundans bl.a. för att Sverige ska kunna upprätthålla samhällsviktiga digitala tjänster och förmågan till internationell, nationell och regional kommunikation i alla lägen.

Regeringen fortsätter med långsiktiga satsningar för att stärka infrastrukturens motståndskraft och för att säkra en resilient beredskapssektor. Utvecklingsarbetet i beredskapssektorn, som leds av PTS, avser tre områden: infrastrukturens motstånds- kraft, sektorns beredskapsarbete och nätens funktionalitet vid höjd beredskap.

125

Prop. 2025/26:1 Utgiftsområde 22

Postsektorn och digitaliseringens effekter

Digitaliseringen av samhället förändrar postmarknaden i grunden, och digitala tjänster täcker i allt högre grad det kommunikationsflöde som tidigare förmedlades med posttjänster. Regeringen anser därför att en samhällsomfattande posttjänst kan anpassas till de behov som finns i ett alltmer digitaliserat samhälle. I promemorian Ändring av kravet på befordringstid i den samhällsomfattande posttjänsten (Fi2025/01485) föreslås en ändring av postförordningen. Förslagen innebär att minst 85 procent av inrikes brev ska ha delats ut inom tre arbetsdagar och minst 97 procent av inrikes brev ska ha delats ut inom fem arbetsdagar. Promemorian har remitterats.

Ett fortsatt aktivt arbete inom civilt försvar och krisberedskap är en förutsättning för att säkerställa välfungerande posttjänster även vid höjd beredskap. Regeringen avser att ge PTS i uppdrag att identifiera totalförsvarets behov av brev- och pakettjänster vid höjd beredskap samt presentera förslag på åtgärder för att tillgodose de identifierade behoven.

4.6Budgetförslag

4.6.12:1 Post- och telestyrelsen

Tabell 4.9 Anslagsutveckling 2:1 Post- och telestyrelsen

Tusental kronor

2024

Utfall

161 793

Anslagssparande

1 272

 

 

 

 

 

2025

Anslag

248 9261

Utgiftsprognos

248 454

2026

Förslag

318 763

 

 

 

 

 

 

 

2027

Beräknat

641 5122

 

 

2028

Beräknat

648 6843

 

 

1Inklusive beslut om ändringar i statens budget 2025 och förslag till ändringar i samband med denna proposition.

2Motsvarar 630 952 tkr i 2026 års prisnivå.

3Motsvarar 625 615 tkr i 2026 års prisnivå.

Ändamål

Anslaget får användas för Post- och telestyrelsens förvaltningsutgifter i den mån dessa inte finansieras med avgifter.

126

Prop. 2025/26:1 Utgiftsområde 22

Skälen för regeringens förslag

Tabell 4.10 Förändringar av anslagsnivån 2026–2028 för 2:1 Post- och telestyrelsen

Tusental kronor

 

2026

2027

2028

 

 

 

 

Anvisat 20251

247 926

247 926

247 926

Pris- och löneomräkning2

4 468

8 692

13 775

Beslutade, föreslagna och aviserade åtgärder

66 369

384 894

386 983

 

 

 

 

varav BP263

62 000

360 283

340 068

– EU:s förordning om gigabitinfrastruktur

20 000

20 000

20 000

 

 

 

 

– Avdrag flytt från BNB till PLO-anslag

-4 000

-4 000

-4 000

 

 

 

 

– Medel för arbetet med interoperabilitet

 

10 000

10 000

 

 

 

 

AI-verkstad för offentlig förvaltning

 

5 000

5 000

 

 

 

 

– Digg inordnas i PTS

 

286 583

266 568

 

 

 

 

– Motverka digitalt utanförskap

25 000

25 000

25 000

 

 

 

 

– Motverka brottslig verksamhet och skydda demokrati

15 000

15 000

15 000

 

 

 

 

e-Codex

3 000

7 200

7 000

 

 

 

 

– Verksamhet från Digg inordnas i UHM

 

-7 500

-7 500

 

 

 

 

– Effektivare gränsöverskridande inhämtning av elektroniska

 

 

 

bevis

3 000

3 000

3 000

 

 

 

 

Överföring till/från andra anslag

 

 

 

 

 

 

 

Övrigt

 

 

 

 

 

 

 

Förslag/beräknat anslag

318 763

641 512

648 684

 

 

 

 

1Statens budget enligt riksdagens beslut i december 2024 (bet. 2024/25:FiU10). Beloppet är således exklusive beslut om ändringar i statens budget.

2Pris- och löneomräkningen baseras på anvisade medel 2025. Övriga förändringskomponenter redovisas i löpande priser och inkluderar därmed en pris- och löneomräkning. Pris- och löneomräkningen för 2027–2028 är preliminär.

3Exklusive pris- och löneomräkning.

För arbetet som följer av EU:s förordning om gigabitinfrastruktur ökas anslaget med 16 000 000 kronor för 2026. Anslaget beräknas öka med motsvarande belopp för 2027 och 2028. Finansiering sker genom att anslaget 2:5 Driftsäker och tillgänglig elektronisk kommunikation minskas med 20 000 000 kronor för 2026 och beräknas minska med motsvarande belopp för 2027 och 2028.

För arbete med den offentliga förvaltningens datadelning enligt kommande lag- stiftning om interoperabilitet beräknas anslaget öka med 10 000 000 kronor fr.o.m. 2027.

För arbetet med vägledning kopplad till AI-verkstaden för offentlig förvaltning beräknas anslaget öka med 5 000 000 kronor fr.o.m. 2027.

I samband med avvecklingen av Myndigheten för digital förvaltning och inordnandet av myndighetens uppgifter i PTS i januari 2027 förs anslagsmedel över till anslaget 2:1 Post- och telestyrelsen. Anslaget beräknas öka med 286 583 000 kronor för 2027 och med 266 568 000 kronor för 2028.

För arbetet med att motverka digitalt utanförskap ökas anslaget med 25 000 000 kronor fr.o.m. 2026.

För arbetet med att motverka brottslig verksamhet och skydda demokratin som följer av EU:s förordning om digitala tjänster ökas anslaget med 15 000 000 kronor fr.o.m. 2026.

För att genomföra uppdraget beträffande it-systemet e-Codex enligt Europa- parlamentets och rådets förordning (EU) 2022/850 av den 30 maj 2022 om ett datoriserat system för gränsöverskridande elektroniskt utbyte av uppgifter på området

127

Prop. 2025/26:1 Utgiftsområde 22

civil- och straffrättsligt samarbete (e-Codex-systemet) och om ändring av förordning (EU) 2018/1726 ökas anslaget med 3 000 000 kronor för 2026. Anslaget beräknas öka med 7 200 000 kronor för 2027 och med 7 000 000 kronor fr.o.m. 2028.

Myndigheten för digital förvaltnings uppgifter inom området elektronisk inköps- process, e-faktura och Peppol föreslås överföras till Upphandlingsmyndigheten. Anslaget beräknas minska med 7 500 000 kronor fr.o.m. 2027. Anslaget

1:17 Upphandlingsmyndigheten inom utgiftsområde 2 Samhällsekonomi och finans- förvaltning beräknas öka med motsvarande belopp.

För uppgiften som centralmyndighet enligt Europaparlamentets och rådets direktiv (EU) 2023/1544 av den 12 juli 2023 om fastställande av harmoniserade regler för att utse utsedda verksamhetsställen och rättsliga ombud för insamling av elektroniska bevis i straffrättsliga förfaranden (e-bevisdirektivet) ökas anslaget med 3 000 000 kronor fr.o.m. 2026.

Regeringen föreslår att 318 763 000 kronor anvisas under anslaget 2:1 Post- och telestyrelsen för 2026. För 2027 och 2028 beräknas anslaget till 641 512 000 kronor respektive 648 684 000 kronor.

Budget för avgiftsbelagd verksamhet

Tabell 4.11 Avgiftsfinansierad verksamhet vid Post- och telestyrelsen

Verksamhet

Ack.

 

Verksam-

Verksam-

 

 

 

resultat

 

hetens

hetens

 

Ack. resultat

 

t.o.m.

Resultat

intäkter

kostnader

Resultat

utgående

 

2024

2025

2026

2026

2026

2026

Verksamheter där

 

 

 

 

 

 

intäkterna inte disponeras

 

 

 

 

 

 

 

 

 

 

 

 

 

Offentligrättslig verksamhet

 

 

 

 

 

 

varav beredskapsavgift för

 

 

 

 

 

 

elektroniska

 

 

 

 

 

 

kommunikationer

2 595

-495

140 000

140 000

0

2 100

Verksamheter där

 

 

 

 

 

 

intäkterna disponeras

 

 

 

 

 

 

 

 

 

 

 

 

 

Offentligrättslig verksamhet

 

 

 

 

 

 

varav elektronisk

 

 

 

 

 

 

kommunikation1

15 770

-8 404

285 500

286 880

-1 380

5 986

varav post2

-15 438

3 217

43 850

42 489

1 361

-10 860

varav radioutrustning

5 009

-6 606

11 500

11 500

-0

-1 597

 

 

 

 

 

 

 

varav utbyggnad av

 

 

 

 

 

 

bredbandsnät

8 270

-3 209

0

3 244

-3 244

1 817

varav gränsöverskridande

 

 

 

 

 

 

paketleveranstjänster

1 290

-659

1 100

1 819

-719

-88

 

 

 

 

 

 

 

varav betrodda tjänster

0

0

100

100

0

0

varav EU:s dataförvaltnings-

 

 

 

 

 

 

förordning

0

0

25

25

0

0

 

 

 

 

 

 

 

varav EU:s förordning om

 

 

 

 

 

 

digitala tjänster

0

0

25

25

0

0

 

 

 

 

 

 

 

varav tillsynsavgift gällande

 

 

 

 

 

 

NIS 23

-

-

12 000

12 000

0

0

1Anmäld verksamhet, tillstånd att använda nummer och tillstånd att använda radiosändare.

2Tillstånd att bedriva postverksamhet och obeställbara brev.

3Avgiften är ännu inte införd. Bestämmelserna om avgiften förväntas träda i kraft under 2026. Källor: Post- och telestyrelsens budgetunderlag 2026–2028 och egna beräkningar.

128

Prop. 2025/26:1 Utgiftsområde 22

4.6.22:2 Ersättning för särskilda tjänster för personer med

funktionsnedsättning

Tabell 4.12 Anslagsutveckling 2:2 Ersättning för särskilda tjänster för personer med funktionsnedsättning

Tusental kronor

2024

Utfall

114 663

Anslagssparande

6 615

 

 

 

 

 

2025

Anslag

106 2781

Utgiftsprognos

105 537

2026

Förslag

106 278

 

 

 

 

 

 

 

2027

Beräknat

106 278

 

 

 

 

 

 

 

2028

Beräknat

106 278

 

 

 

 

 

 

 

1Inklusive beslut om ändringar i statens budget 2025 och förslag till ändringar i samband med denna proposition.

Ändamål

Anslaget får användas för utgifter för ersättning för särskilda tjänster för personer med funktionsnedsättning och personer med speciella behov och i syfte att trygga behovet av effektiva elektroniska kommunikationer och posttjänster. Anslaget får även användas för utgifter för utvecklingsprojekt med inriktning på elektronisk kommunikation och it-användning för personer med funktionsnedsättning och personer med speciella behov t.ex. avseende tillgänglighet till kommunikation, utbildning och media.

Skälen för regeringens förslag

Tabell 4.13 Förändringar av anslagsnivån 2026–2028 för 2:2 Ersättning för särskilda tjänster för personer med funktionsnedsättning

Tusental kronor

 

2026

2027

2028

Anvisat 20251

106 278

106 278

106 278

Beslutade, föreslagna och aviserade åtgärder

 

 

 

 

 

 

 

Överföring till/från andra anslag

 

 

 

 

 

 

 

Övrigt

 

 

 

 

 

 

 

Förslag/beräknat anslag

106 278

106 278

106 278

 

 

 

 

1Statens budget enligt riksdagens beslut i december 2024 (bet. 2024/25:FiU10). Beloppet är således exklusive beslut om ändringar i statens budget.

Regeringen föreslår att 106 278 000 kronor anvisas under anslaget 2:2 Ersättning för särskilda tjänster för personer med funktionsnedsättning för 2026. För 2027 och 2028 beräknas anslaget till 106 278 000 kronor per år.

Bemyndigande om ekonomiska åtaganden

Regeringens förslag

Regeringen bemyndigas att under 2026 för anslaget 2:2 Ersättning för särskilda tjänster för personer med funktionsnedsättning ingå ekonomiska åtaganden som inklusive tidigare åtaganden medför behov av framtida anslag på högst 250 000 000 kronor 2027–2030.

Skälen för regeringens förslag

Ett bemyndigande behövs för att möjliggöra att det för verksamheten kan göras ekonomiska åtaganden som främst avser fleråriga avtal. Regeringen bör därför bemyndigas att under 2026 för anslaget 2:2 Ersättning för särskilda tjänster för personer med

129

Prop. 2025/26:1 Utgiftsområde 22

funktionsnedsättning ingå ekonomiska åtaganden som inklusive tidigare åtaganden medför behov av framtida anslag på högst 250 000 000 kronor 2027–2030.

Tabell 4.14 Beställningsbemyndigande för anslaget 2:2 Ersättning för särskilda tjänster för personer med funktionsnedsättning

Tusental kronor

 

 

 

 

 

 

Beräknat

 

Utfall

Prognos

Förslag

Beräknat

Beräknat

2029–

 

2024

2025

2026

2027

2028

2030

 

 

 

 

 

 

 

Ekonomiska åtaganden vid årets början

144 894

152 210

282 292

 

 

 

Nya ekonomiska åtaganden

104 188

220 230

66 586

 

 

 

 

 

 

 

 

 

 

Utgifter mot anslag till följd av

 

 

 

 

 

 

ekonomiska åtaganden

-94 122

-90 148

-98 878

-104 319

-91 186

-54 495

Övriga förändringar av ekonomiska

 

 

 

 

 

 

åtaganden

-2 750

 

 

 

 

 

 

 

 

 

 

 

 

Ekonomiska åtaganden vid årets slut

152 210

282 292

250 000

 

 

 

Beslutat/föreslaget bemyndigande

250 000

350 000

250 000

 

 

 

 

 

 

 

 

 

 

4.6.32:3 Grundläggande betaltjänster

Tabell 4.15 Anslagsutveckling 2:3 Grundläggande betaltjänster

Tusental kronor

2024

Utfall

21 309

Anslagssparande

3 728

 

 

 

 

 

2025

Anslag

25 0371

Utgiftsprognos

24 862

2026

Förslag

25 037

 

 

2027

Beräknat

25 037

 

 

 

 

 

 

 

2028

Beräknat

25 037

 

 

 

 

 

 

 

1Inklusive beslut om ändringar i statens budget 2025 och förslag till ändringar i samband med denna proposition.

Ändamål

Anslaget får användas för utgifter för tillhandahållandet av grundläggande betaltjänster på de orter och den landsbygd där behovet av tjänsterna inte tillgodoses av marknaden. Anslaget får användas för utgifter för tillhandahållande av grundläggande betaltjänster för äldre personer och personer med funktionsnedsättning boende i landsbygd. Detta inbegriper upphandling av dessa tjänster. Anslaget får användas för utgifter för regionala stöd- och utvecklingsinsatser och post.

Skälen för regeringens förslag

Tabell 4.16 Förändringar av anslagsnivån 2026–2028 för 2:3 Grundläggande betaltjänster

Tusental kronor

 

2026

2027

2028

Anvisat 20251

25 037

25 037

25 037

Beslutade, föreslagna och aviserade åtgärder

 

 

 

 

 

 

 

Överföring till/från andra anslag

 

 

 

 

 

 

 

Övrigt

 

 

 

 

 

 

 

Förslag/beräknat anslag

25 037

25 037

25 037

 

 

 

 

1Statens budget enligt riksdagens beslut i december 2024 (bet. 2024/25:FiU10). Beloppet är således exklusive beslut om ändringar i statens budget.

Regeringen föreslår att 25 037 000 kronor anvisas under anslaget 2:3 Grundläggande betaltjänster för 2026. För 2027 och 2028 beräknas anslaget till 25 037 000 kronor per år.

130

Prop. 2025/26:1 Utgiftsområde 22

Bemyndigande om ekonomiska åtaganden

Regeringens förslag

Regeringen bemyndigas att under 2026 för anslaget 2:3 Grundläggande betaltjänster ingå ekonomiska åtaganden som inklusive tidigare åtaganden medför behov av framtida anslag på högst 40 000 000 kronor 2027–2030.

Skälen för regeringens förslag

Ett bemyndigande behövs för att möjliggöra att det för verksamheten kan göras ekonomiska åtaganden som främst avser fleråriga avtal. Regeringen bör därför bemyndigas att under 2026 för anslaget 2:3 Grundläggande betaltjänster ingå ekonomiska åtaganden som inklusive tidigare åtaganden medför behov av framtida anslag på högst 40 000 000 kronor 2027–2030.

Tabell 4.17 Beställningsbemyndigande för anslaget 2:3 Grundläggande betaltjänster

Tusental kronor

 

 

 

 

 

 

Beräknat

 

Utfall

Prognos

Förslag

Beräknat

Beräknat

2029–

 

2024

2025

2026

2027

2028

2030

Ekonomiska åtaganden vid årets början

22 855

37 879

40 000

 

 

 

 

 

 

 

 

 

 

Nya ekonomiska åtaganden

33 866

23 237

23 000

 

 

 

Utgifter mot anslag till följd av

 

 

 

 

 

 

ekonomiska åtaganden

-17 846

-21 116

-23 000

-23 000

-15 000

-2 000

 

 

 

 

 

 

 

Övriga förändringar av ekonomiska

 

 

 

 

 

 

åtaganden

-996

 

 

 

 

 

 

 

 

 

 

 

 

Ekonomiska åtaganden vid årets slut

37 879

40 000

40 000

 

 

 

 

 

 

 

 

 

 

Beslutat/föreslaget bemyndigande

40 000

40 000

40 000

 

 

 

4.6.42:4 Informationsteknik och telekommunikation

Tabell 4.18 Anslagsutveckling 2:4 Informationsteknik och telekommunikation

Tusental kronor

2024

Utfall

65 229

Anslagssparande

2 615

2025

Anslag

57 8441

Utgiftsprognos

57 440

2026

Förslag

153 844

 

 

 

 

 

 

 

2027

Beräknat

153 844

 

 

 

 

 

 

 

2028

Beräknat

113 844

 

 

1Inklusive beslut om ändringar i statens budget 2025 och förslag till ändringar i samband med denna proposition.

Ändamål

Anslaget får användas för utgifter för insatser som bidrar till att förverkliga målet för digitaliseringspolitiken, samt för uppföljningar och utvärderingar av politiken. Anslaget får även användas för utgifter för bidrag och avgifter till internationella organisationer inom digitaliseringsområdet.

131

Prop. 2025/26:1 Utgiftsområde 22

Skälen för regeringens förslag

Tabell 4.19 Förändringar av anslagsnivån 2026–2028 för 2:4 Informationsteknik och telekommunikation

Tusental kronor

 

2026

2027

2028

Anvisat 20251

58 844

58 844

58 844

Beslutade, föreslagna och aviserade åtgärder

95 000

95 000

55 000

varav BP26

96 000

96 000

96 000

 

 

 

 

– Förstärkning av nationell medfinansiering för ett digitalt Europa

100 000

100 000

100 000

 

 

 

 

– Ointecknade digitaliseringsmedel dras in till förmån för AI

-4 000

-4 000

-4 000

Överföring till/från andra anslag

 

 

 

 

 

 

 

Övrigt

 

 

 

 

 

 

 

Förslag/beräknat anslag

153 844

153 844

113 844

1Statens budget enligt riksdagens beslut i december 2024 (bet. 2024/25:FiU10). Beloppet är således exklusive beslut om ändringar i statens budget.

För nationell medfinansiering av programmet för ett digitalt Europa ökas anslaget med 100 000 000 kronor fr.o.m. 2026.

Anslaget minskas med 4 000 000 kronor fr.o.m. 2026 för att omprioritera ointecknade digitaliseringsmedel till förmån för satsningar på AI.

Regeringen föreslår att 153 844 000 kronor anvisas under anslaget 2:4 Informationsteknik och telekommunikation för 2026. För 2027 och 2028 beräknas anslaget till

153 844 000 kronor respektive 113 844 000 kronor.

Bemyndigande om ekonomiska åtaganden

Regeringens förslag

Regeringen bemyndigas att under 2026 för anslaget 2:4 Informationsteknik och telekommunikation ingå ekonomiska åtaganden som inklusive tidigare åtaganden medför behov av framtida anslag på högst 535 000 000 kronor 2027–2031.

Skälen för regeringens förslag

Ett bemyndigande behövs för att möjliggöra deltagande i fleråriga projekt inom ramen för EU-programmet för ett digitalt Europa. Regeringen bör därför bemyndigas att under 2026 för anslaget 2:4 Informationsteknik och telekommunikation ingå ekonomiska åtaganden som inklusive tidigare åtaganden medför behov av framtida anslag på högst 535 000 000 kronor 2027–2031.

Tabell 4.20 Beställningsbemyndigande för anslaget 2:4 Informationsteknik och telekommunikation

Tusental kronor

 

Prognos

Förslag

Beräknat

Beräknat

Beräknat

 

2025

2026

2027

2028

2029–2031

 

 

 

 

 

 

Ekonomiska åtaganden vid årets början

 

70 000

 

 

 

 

 

 

 

 

 

Nya ekonomiska åtaganden

70 000

500 000

 

 

 

 

 

 

 

 

 

Utgifter mot anslag till följd av ekonomiska

 

 

 

 

 

åtaganden

 

-35 000

-135 000

-100 000

-300 000

 

 

 

 

 

 

Ekonomiska åtaganden vid årets slut

70 000

535 000

 

 

 

 

 

 

 

 

 

Beslutat/föreslaget bemyndigande

75 000

535 000

 

 

 

 

 

 

 

 

 

132

Prop. 2025/26:1 Utgiftsområde 22

4.6.52:5 Driftsäker och tillgänglig elektronisk kommunikation

Tabell 4.21 Anslagsutveckling 2:5 Driftsäker och tillgänglig elektronisk kommunikation

Tusental kronor

2024

Utfall

354 284

Anslagssparande

11 130

 

 

 

 

 

2025

Anslag

819 0141

Utgiftsprognos

813 306

2026

Förslag

1 323 814

 

 

 

 

 

 

 

2027

Beräknat

1 998 914

 

 

 

 

 

 

 

2028

Beräknat

2 623 014

 

 

 

 

 

 

 

1Inklusive beslut om ändringar i statens budget 2025 och förslag till ändringar i samband med denna proposition.

Ändamål

Anslaget får användas för utgifter för åtgärder samt samordningsinsatser för driftsäkra och tillgängliga elektroniska kommunikationer. Detta inbegriper stöd till utbyggnad av elektroniska kommunikationer i områden där utbyggnad inte genomförs på marknadsmässig grund. Anslaget får även användas för utgifter för åtgärder för driftsäkra och robusta elektroniska kommunikationer för att skydda kommunika- tionerna mot allvarliga hot och påfrestningar i fredstid och vid höjd beredskap. Anslaget får vidare användas för samhällsomfattande tjänster inom området elektronisk kommunikation. Anslaget får vidare användas för åtgärder kopplade till civilt försvar inom områdena elektroniska kommunikationer och post samt för utgifter för administration av åtgärderna.

Skälen för regeringens förslag

Tabell 4.22 Förändringar av anslagsnivån 2026–2028 för 2:5 Driftsäker och tillgänglig elektronisk kommunikation

Tusental kronor

 

2026

2027

2028

 

 

 

 

Anvisat 20251

819 014

819 014

819 014

Beslutade, föreslagna och aviserade åtgärder

504 800

1 179 900

1 804 000

 

 

 

 

varav BP26

-20 000

-20 000

-20 000

 

 

 

 

– EU:s förordning om gigabitinfrastruktur

-20 000

-20 000

-20 000

 

 

 

 

Överföring till/från andra anslag

 

 

 

 

 

 

 

Övrigt

 

 

 

 

 

 

 

Förslag/beräknat anslag

1 323 814

1 998 914

2 623 014

 

 

 

 

1Statens budget enligt riksdagens beslut i december 2024 (bet. 2024/25:FiU10). Beloppet är således exklusive beslut om ändringar i statens budget.

För arbetet som följer av EU:s förordning om gigabitinfrastruktur minskas anslaget med 20 000 000 kronor för 2026. Anslaget beräknas minska med motsvarande belopp för 2027 och 2028. Anslaget 2:1 Post- och telestyrelsen ökas med 16 000 000 kronor för 2026 och beräknas öka med motsvarande belopp för 2027 och 2028.

Regeringen föreslår att 1 323 814 000 kronor anvisas under anslaget 2:5 Driftsäker och tillgänglig elektronisk kommunikation för 2026. För 2026 och 2027 beräknas anslaget till 1 998 914 000 kronor respektive 2 623 014 000 kronor.

133

Prop. 2025/26:1 Utgiftsområde 22

Bemyndigande om ekonomiska åtaganden

Regeringens förslag

Regeringen bemyndigas att under 2026 för anslaget 2:5 Driftsäker och tillgänglig elektronisk kommunikation ingå ekonomiska åtaganden som inklusive tidigare åtaganden medför behov av framtida anslag på högst 4 658 500 000 kronor 2027–2036.

Skälen för regeringens förslag

Ett bemyndigande behövs för att möjliggöra att det för verksamheten kan göras ekonomiska åtaganden som främst avser fleråriga avtal. Regeringen bör därför bemyndigas att under 2026 för anslaget 2:5 Driftsäker och tillgänglig elektronisk kommunikation ingå ekonomiska åtaganden som inklusive tidigare åtaganden medför behov av framtida anslag på högst 4 658 500 000 kronor 2027–2036.

Tabell 4.23 Beställningsbemyndigande för anslaget 2:5 Driftsäker och tillgänglig elektronisk kommunikation

Tusental kronor

 

 

Prognos

 

Beräknat

Beräknat

Beräknat

 

Utfall 2024

2025

Förslag 2026

2027

2028

2029–2036

 

 

 

 

 

 

 

Ekonomiska åtaganden

 

 

 

 

 

 

vid årets början

379 502

1 253 279

3 927 290

 

 

 

 

 

 

 

 

 

 

Nya ekonomiska

 

 

 

 

 

 

åtaganden

1 041 953

3 035 449

1 839 359

 

 

 

 

 

 

 

 

 

 

Utgifter mot anslag till

 

 

 

 

 

 

följd av ekonomiska

 

 

 

 

 

 

åtaganden

-143 694

-361 438

-1 108 149

-1 792 947

-1 949 181

-916 372

 

 

 

 

 

 

 

Övriga förändringar av

 

 

 

 

 

 

ekonomiska åtaganden

-24 482

 

 

 

 

 

 

 

 

 

 

 

 

Ekonomiska åtaganden

 

 

 

 

 

 

vid årets slut

1 253 279

3 927 290

4 658 500

 

 

 

 

 

 

 

 

 

 

Beslutat/föreslaget

 

 

 

 

 

 

bemyndigande

1 302 000

4 348 000

4 658 500

 

 

 

 

 

 

 

 

 

 

4.6.62:6 Myndigheten för digital förvaltning

Tabell 4.24 Anslagsutveckling 2:6 Myndigheten för digital förvaltning

Tusental kronor

2024

Utfall

175 627

Anslagssparande

1 014

2025

Anslag

270 2971

Utgiftsprognos

269 420

2026

Förslag

295 385

 

 

 

 

 

 

 

2027

Beräknat

02

 

 

2028

Beräknat

03

 

 

1Inklusive beslut om ändringar i statens budget 2025 och förslag till ändringar i samband med denna proposition.

2Motsvarar 0 tkr i 2026 års prisnivå.

3Motsvarar 0 tkr i 2026 års prisnivå.

Ändamål

Anslaget får användas för Myndigheten för digital förvaltnings förvaltningsutgifter.

134

Prop. 2025/26:1 Utgiftsområde 22

Skälen för regeringens förslag

Tabell 4.25 Förändringar av anslagsnivån 2026–2028 för 2:6 Myndigheten för digital förvaltning

Tusental kronor

 

2026

2027

2028

Anvisat 20251

270 297

270 297

270 297

Pris- och löneomräkning2

5 838

9 082

13 848

Beslutade, föreslagna och aviserade åtgärder

19 250

-279 379

-284 145

 

 

 

 

varav BP263

15 250

-318 426

-296 187

– Medel för arbetet med interoperabilitet

7 000

 

 

AI-verkstad för offentlig förvaltning

5 000

 

 

 

 

 

 

– Digg inordnas i PTS

 

-318 426

-296 187

 

 

 

 

e-Codex

7 000

 

 

– Verksamhet från Digg inordnas i UHM

-3 750

 

 

 

 

 

 

Överföring till/från andra anslag

 

 

 

 

 

 

 

Övrigt

 

 

 

Förslag/beräknat anslag

295 385

0

0

 

 

 

 

1Statens budget enligt riksdagens beslut i december 2024 (bet. 2024/25:FiU10). Beloppet är således exklusive beslut om ändringar i statens budget.

2Pris- och löneomräkningen baseras på anvisade medel 2025. Övriga förändringskomponenter redovisas i löpande priser och inkluderar därmed en pris- och löneomräkning. Pris- och löneomräkningen för 2027–2028 är preliminär.

3Exklusive pris- och löneomräkning.

För arbete med den offentliga förvaltningens datadelning enligt kommande lagstiftning om interoperabilitet ökas anslaget med 7 000 000 kronor för 2026.

För arbetet med vägledning kopplad till AI-verkstaden för offentlig förvaltning ökas anslaget med 5 000 000 kronor för 2026.

I samband med avvecklingen av Myndigheten för digital förvaltning och inordnandet av myndighetens uppgifter i PTS i januari 2027 förs anslagsmedel över till anslaget 2:1 Post- och telestyrelsen. För 2027 och 2028 beräknas anslaget därför till 0 kronor.

För att genomföra uppdraget beträffande it-systemet e-Codex enligt e-Codex-systemet ökas anslaget med 7 000 000 kronor för 2026.

Myndigheten för digital förvaltnings uppgifter inom området elektronisk inköps- process, e-faktura och Peppol föreslås överföras till Upphandlingsmyndigheten. Anslaget minskas därför med 3 750 000 kronor för 2026. Anslaget

1:17 Upphandlingsmyndigheten inom utgiftsområde 2 Samhällsekonomi och finansförvaltning ökas med motsvarande belopp.

Regeringen föreslår att 295 385 000 kronor anvisas under anslaget 2:6 Myndigheten för digital förvaltning för 2026. För 2027 och 2028 beräknas anslaget till 0 kronor.

135

Prop. 2025/26:1 Utgiftsområde 22

Budget för avgiftsbelagd verksamhet

Tabell 4.26 Avgiftsfinansierad verksamhet vid Myndigheten för digital förvaltning

Tusentals kronor

 

Ack.

 

 

 

 

Ack.

 

resultat

 

 

 

 

resultat

 

t.o.m.

Resultat

Verksamhetens

Verksamhetens

Resultat

utgående

Verksamhet

2024

2025

intäkter 2026

kostnader 2026

2026

2026

Verksamheter där

 

 

 

 

 

 

intäkterna disponeras

 

 

 

 

 

 

 

 

 

 

 

 

 

Uppdragsverksamhet

 

 

 

 

 

 

 

 

 

 

 

 

 

varav stöd för lärande och

 

 

 

 

 

 

uppdragsverksamhet (e-

 

 

 

 

 

 

legitimationsdagarna)

-298

298

2 000

2 000

0

0

 

 

 

 

 

 

 

varav digital identifiering e-

 

 

 

 

 

 

IDAS-noden

-1

0

10

10

0

-1

 

 

 

 

 

 

 

varav auktorisationssystem

 

 

 

 

 

 

om tjänster för elektronisk

 

 

 

 

 

 

identifiering och digital post

-11 452

-23 600

124 800

122 500

2 300

-32 752

 

 

 

 

 

 

 

Källor: Myndigheten för digital förvaltnings budgetunderlag för 2026–2028 och kompletterande uppgifter från myndigheten.

4.6.72:7 Digital förvaltning

Tabell 4.27 Anslagsutveckling 2:7 Digital förvaltning

Tusental kronor

2024

Utfall

184 434

Anslagssparande

29 460

 

 

 

 

 

2025

Anslag

129 8941

Utgiftsprognos

128 989

2026

Förslag

169 894

 

 

 

 

 

 

 

2027

Beräknat

89 894

 

 

 

 

 

 

 

2028

Beräknat

92 894

 

 

 

 

 

 

 

1Inklusive beslut om ändringar i statens budget 2025 och förslag till ändringar i samband med denna proposition.

Ändamål

Anslaget får användas för utgifter för styrning, samordning och uppföljning av digitaliseringen av den offentliga förvaltningen samt för den förvaltningsgemensamma digitala infrastrukturen och andra förvaltningsgemensamma tjänster och funktioner.

Skälen för regeringens förslag

Tabell 4.28 Förändringar av anslagsnivån 2026–2028 för 2:7 Digital förvaltning

Tusental kronor

 

2026

2027

2028

Anvisat 20251

129 894

129 894

129 894

Beslutade, föreslagna och aviserade åtgärder

40 000

-40 000

-37 000

varav BP26

85 000

20 000

20 000

 

 

 

 

– Statlig e-legitimation

65 000

 

 

 

 

 

 

– Förvaltningsgemensam digital infrastruktur

20 000

20 000

20 000

Överföring till/från andra anslag

 

 

 

 

 

 

 

Övrigt

 

 

 

 

 

 

 

Förslag/beräknat anslag

169 894

89 894

92 894

1Statens budget enligt riksdagens beslut i december 2024 (bet. 2024/25:FiU10). Beloppet är således exklusive beslut om ändringar i statens budget.

För att slutföra arbetet med den statliga e-legitimationen ökas anslaget med 65 000 000 kronor för 2026.

136

Prop. 2025/26:1 Utgiftsområde 22

För arbetet med en sammanhållen infrastruktur för identitet och behörighet inom ramen för den nationella digitala infrastrukturen Ena ökas anslaget med 20 000 000 kronor för 2026. Anslaget beräknas öka med motsvarande belopp 2027–2030.

Regeringen föreslår att 169 894 000 kronor anvisas under anslaget 2:7 Digital förvaltning för 2026. För 2027 och 2028 beräknas anslaget till 89 894 000 kronor respektive

92 894 000 kronor.

137