Utgiftsområde 16

Utbildning och universitetsforskning

1

Prop. 2025/26:1 Utgiftsområde 16

Utgiftsområde 16 – Utbildning och universitetsforskning

Innehållsförteckning

1

Förslag till riksdagsbeslut .................................................................................................

7

2

Utbildning och universitetsforskning ..........................................................................

13

 

2.1

Utgiftsområdets omfattning...............................................................................

13

 

 

2.1.1 Totala kostnader för utbildningsväsendet .........................................

14

 

2.2

Utgiftsutveckling..................................................................................................

15

 

2.3

Mål för utgiftsområdet........................................................................................

19

2.4Resultatindikatorer och andra bedömningsgrunder övergripande för hela

 

utgiftsområdet ......................................................................................................

19

2.5

Övergripande resultatredovisning för hela utgiftsområdet ...........................

20

2.6Resultatindikatorer och andra bedömningsgrunder för lärar- och

förskollärarsituationen i skolväsendet ..............................................................

29

2.7Resultatredovisning för lärar- och förskollärarsituationen i skolväsendet.. 29

2.8

Regeringens bedömning av måluppfyllelsen ...................................................

41

2.9

Politikens inriktning ............................................................................................

42

 

2.9.1

Stärkt kompetensförsörjning ...............................................................

43

 

2.9.2

Stärk lärar- och förskolläraryrkena......................................................

43

 

2.9.3

Fortsatt internationellt engagemang ...................................................

44

3 Barn- och ungdomsutbildning.......................................................................................

45

3.1

Mål för området ...................................................................................................

45

3.2

Resultatindikatorer och andra bedömningsgrunder.......................................

45

3.3

Resultatredovisning .............................................................................................

46

 

3.3.1

Förskolan ................................................................................................

46

 

3.3.2

Annan pedagogisk verksamhet............................................................

47

 

3.3.3

Förskoleklassen......................................................................................

48

 

3.3.4

Grundskolan...........................................................................................

48

 

3.3.5

Anpassade grundskolan ........................................................................

57

 

3.3.6

Specialskolan ..........................................................................................

58

 

3.3.7

Sameskolan .............................................................................................

58

 

3.3.8

Fritidshemmet ........................................................................................

59

 

3.3.9

Gymnasieskolan.....................................................................................

59

 

3.3.10

Anpassade gymnasieskolan ..................................................................

66

 

3.3.11

Kostnader för området Barn- och ungdomsutbildning ..................

67

 

3.3.12

Andra bedömningsgrunder ..................................................................

68

3.4

Regeringens bedömning av måluppfyllelsen ...................................................

69

3.5

Politikens inriktning ............................................................................................

70

3.5.1En förskola och skola på vetenskaplig grund som ger bättre

 

 

förutsättningar att utvecklas och lära .................................................

70

 

3.5.2 En skola med fokus på kunskaper ......................................................

71

 

3.5.3 En säker och trygg skolmiljö för alla barn, elever och personal ....

73

 

3.5.4 Likvärdiga förutsättningar över hela landet.......................................

74

 

3.5.5 Skärpta villkor och en rätt till insyn i friskolesektorn ......................

74

3.6

Budgetförslag........................................................................................................

75

 

3.6.1

1:1 Statens skolverk...............................................................................

75

 

3.6.2

1:2 Statens skolinspektion ....................................................................

77

 

3.6.3

1:3 Specialpedagogiska skolmyndigheten ..........................................

78

 

3.6.4

1:4 Sameskolstyrelsen............................................................................

80

3.6.51:5 Utveckling av skolväsendet och annan pedagogisk verksamhet

.................................................................................................................. 81

3.6.6 1:6 Statligt stöd till särskild utbildning i gymnasieskolan ................

84

2

Prop. 2025/26:1 Utgiftsområde 16

 

3.6.7

1:7 Maxtaxa i förskola, fritidshem och annan pedagogisk

 

 

 

verksamhet samt kvalitetshöjande åtgärder inom förskola

............. 85

 

3.6.8

1:8 Bidrag till viss verksamhet inom skolväsendet, m.m.................

87

 

3.6.9

1:9 Bidrag till svensk undervisning i utlandet....................................

88

 

3.6.10

1:10 Fortbildning av lärare och förskolepersonal.............................

89

 

3.6.11

1:11 Skolforskningsinstitutet ...............................................................

90

 

3.6.12

1:12 Praktiknära skolforskning............................................................

91

 

3.6.13

1:13 Bidrag till lärarlöner ......................................................................

93

 

3.6.14

1:14 Särskilda insatser inom skolområdet..........................................

94

 

3.6.15

1:15 Statligt stöd för stärkt kunskapsutveckling ...............................

95

4 Kommunal vuxenutbildning och yrkeshögskola........................................................

97

4.1

Mål för området ...................................................................................................

97

4.2

Resultatindikatorer och andra bedömningsgrunder.......................................

97

4.3

Resultatredovisning .............................................................................................

98

 

4.3.1

Komvux ..................................................................................................

98

 

4.3.2

Yrkeshögskolan....................................................................................

103

 

4.3.3

Övriga insatser .....................................................................................

109

 

4.3.4

Andra bedömningsgrunder ................................................................

110

4.4

Regeringens bedömning av måluppfyllelsen .................................................

111

4.5

Politikens inriktning ..........................................................................................

113

 

4.5.1

Vuxenutbildning ger fler möjlighet att komma i arbete ................

113

 

4.5.2

Det behövs fler utbildningsplatser inom gymnasiala

 

 

 

yrkesutbildningar .................................................................................

113

 

4.5.3

En fortsatt utbyggnad av yrkeshögskolan .......................................

114

4.6En tidigare bedömning om särskilda medel till yrkeshögskoleutbildning

 

ändras

...................................................................................................................

114

4.7

Budgetförslag......................................................................................................

115

 

4.7.1 1:16 Bidrag till vissa studier ...............................................................

115

 

4.7.2 1:17 Statligt stöd till vuxenutbildning...............................................

115

 

4.7.3 1:18 Myndigheten för yrkeshögskolan .............................................

117

 

4.7.4 1:19 Statligt stöd till yrkeshögskoleutbildning.................................

118

5 Universitet och högskolor............................................................................................

121

5.1

Mål för området .................................................................................................

121

5.2

Kort beskrivning av verksamhetsområdet.....................................................

121

5.3

Resultatindikatorer och andra bedömningsgrunder.....................................

121

5.4

Resultatredovisning ...........................................................................................

122

5.5

Regeringens bedömning av måluppfyllelsen .................................................

135

5.6

Politikens inriktning ..........................................................................................

136

 

5.6.1 Utbildning och forskning för excellens och konkurrenskraft ......

136

 

5.6.2

Stärkt akademisk frihet .......................................................................

137

 

5.6.3 Kvalitet som bygger kunskap ............................................................

137

 

5.6.4 Starka och robusta samhällen ............................................................

138

 

5.6.5 Samhällets och näringslivets kompetensförsörjning......................

138

 

5.6.6 Forskningsanslagen ska i större utsträckning premiera excellens 141

5.7

Den årliga revisionens iakttagelser..................................................................

141

5.8

Budgetförslag......................................................................................................

143

 

5.8.1

2:1 Universitetskanslersämbetet ........................................................

147

 

5.8.2

2:2 Universitets- och högskolerådet .................................................

147

5.8.32:3 Uppsala universitet: Utbildning på grundnivå och avancerad

nivå.........................................................................................................

149

5.8.42:4 Uppsala universitet: Forskning och utbildning på forskarnivå

................................................................................................................150

5.8.52:5 Lunds universitet: Utbildning på grundnivå och avancerad nivå

................................................................................................................151

5.8.62:6 Lunds universitet: Forskning och utbildning på forskarnivå .152

3

Prop. 2025/26:1 Utgiftsområde 16

5.8.72:7 Göteborgs universitet: Utbildning på grundnivå och avancerad

nivå.........................................................................................................

154

5.8.82:8 Göteborgs universitet: Forskning och utbildning på forskarnivå

................................................................................................................155

5.8.92:9 Stockholms universitet: Utbildning på grundnivå och avancerad

 

nivå.........................................................................................................

156

5.8.10

2:10 Stockholms universitet: Forskning och utbildning på

 

 

forskarnivå ............................................................................................

157

5.8.11

2:11 Umeå universitet: Utbildning på grundnivå och avancerad

 

 

nivå.........................................................................................................

158

5.8.122:12 Umeå universitet: Forskning och utbildning på forskarnivå 159

5.8.132:13 Linköpings universitet: Utbildning på grundnivå och

 

avancerad nivå......................................................................................

160

5.8.14

2:14 Linköpings universitet: Forskning och utbildning på

 

 

forskarnivå ............................................................................................

161

5.8.15

2:15 Karolinska institutet: Utbildning på grundnivå och avancerad

 

nivå.........................................................................................................

162

5.8.162:16 Karolinska institutet: Forskning och utbildning på forskarnivå

................................................................................................................163

5.8.172:17 Kungl. Tekniska högskolan: Utbildning på grundnivå och

avancerad nivå......................................................................................

164

5.8.18 2:18 Kungl. Tekniska högskolan: Forskning och utbildning på

 

forskarnivå ............................................................................................

165

5.8.19 2:19 Luleå tekniska universitet: Utbildning på grundnivå och

 

avancerad nivå......................................................................................

167

5.8.20 2:20 Luleå tekniska universitet: Forskning och utbildning på

 

forskarnivå ............................................................................................

168

5.8.21 2:21 Karlstads universitet: Utbildning på grundnivå och avancerad

nivå.........................................................................................................

169

5.8.222:22 Karlstads universitet: Forskning och utbildning på forskarnivå

................................................................................................................170

5.8.232:23 Linnéuniversitetet: Utbildning på grundnivå och avancerad

nivå.........................................................................................................

171

5.8.242:24 Linnéuniversitetet: Forskning och utbildning på forskarnivå

................................................................................................................172

5.8.252:25 Örebro universitet: Utbildning på grundnivå och avancerad

nivå.........................................................................................................

173

5.8.262:26 Örebro universitet: Forskning och utbildning på forskarnivå

................................................................................................................174

5.8.272:27 Mittuniversitetet: Utbildning på grundnivå och avancerad nivå

................................................................................................................175

5.8.282:28 Mittuniversitetet: Forskning och utbildning på forskarnivå.176

5.8.292:29 Malmö universitet: Utbildning på grundnivå och avancerad

nivå.........................................................................................................

177

5.8.302:30 Malmö universitet: Forskning och utbildning på forskarnivå

................................................................................................................178

5.8.312:31 Mälardalens universitet: Utbildning på grundnivå och

avancerad nivå......................................................................................

179

5.8.32 2:32 Mälardalens universitet: Forskning och utbildning på

 

forskarnivå ............................................................................................

179

5.8.33 2:33 Blekinge tekniska högskola: Utbildning på grundnivå och

 

avancerad nivå......................................................................................

180

5.8.34 2:34 Blekinge tekniska högskola: Forskning och utbildning på

 

forskarnivå ............................................................................................

181

5.8.35 2:35 Stockholms konstnärliga högskola: Utbildning på grundnivå

och avancerad nivå ..............................................................................

182

4

Prop. 2025/26:1 Utgiftsområde 16

 

5.8.36 2:36 Stockholms konstnärliga högskola: Forskning och utbildning

på forskarnivå.......................................................................................

183

5.8.37 2:37 Gymnastik- och idrottshögskolan: Utbildning på grundnivå

och avancerad nivå ..............................................................................

184

5.8.38 2:38 Gymnastik- och idrottshögskolan: Forskning och utbildning

på forskarnivå.......................................................................................

185

5.8.39 2:39 Högskolan i Borås: Utbildning på grundnivå och avancerad

nivå.........................................................................................................

186

5.8.402:40 Högskolan i Borås: Forskning och utbildning på forskarnivå

................................................................................................................186

5.8.412:41 Högskolan Dalarna: Utbildning på grundnivå och avancerad

nivå.........................................................................................................

187

5.8.422:42 Högskolan Dalarna: Forskning och utbildning på forskarnivå

................................................................................................................188

5.8.432:43 Högskolan i Gävle: Utbildning på grundnivå och avancerad

nivå.........................................................................................................

189

5.8.442:44 Högskolan i Gävle: Forskning och utbildning på forskarnivå

................................................................................................................190

5.8.452:45 Högskolan i Halmstad: Utbildning på grundnivå och

avancerad nivå......................................................................................

191

5.8.46 2:46 Högskolan i Halmstad: Forskning och utbildning på

 

forskarnivå ............................................................................................

192

5.8.47 2:47 Högskolan Kristianstad: Utbildning på grundnivå och

 

avancerad nivå......................................................................................

193

5.8.48 2:48 Högskolan Kristianstad: Forskning och utbildning på

 

forskarnivå ............................................................................................

193

5.8.49 2:49 Högskolan i Skövde: Utbildning på grundnivå och avancerad

nivå.........................................................................................................

194

5.8.502:50 Högskolan i Skövde: Forskning och utbildning på forskarnivå

................................................................................................................195

5.8.512:51 Högskolan Väst: Utbildning på grundnivå och avancerad nivå

................................................................................................................196

5.8.522:52 Högskolan Väst: Forskning och utbildning på forskarnivå .197

5.8.53 2:53 Konstfack: Utbildning på grundnivå och avancerad nivå ....

198

5.8.54 2:54 Konstfack: Forskning och utbildning på forskarnivå ...........

199

5.8.55 2:55 Kungl. Konsthögskolan: Utbildning på grundnivå och

 

avancerad nivå......................................................................................

200

5.8.56 2:56 Kungl. Konsthögskolan: Forskning och utbildning på

 

forskarnivå ............................................................................................

201

5.8.57 2:57 Kungl. Musikhögskolan i Stockholm: Utbildning på grundnivå

och avancerad nivå ..............................................................................

202

5.8.58 2:58 Kungl. Musikhögskolan i Stockholm: Forskning och

 

utbildning på forskarnivå ...................................................................

202

5.8.59 2:59 Södertörns högskola: Utbildning på grundnivå och avancerad

nivå.........................................................................................................

203

5.8.602:60 Södertörns högskola: Forskning och utbildning på forskarnivå

................................................................................................................204

5.8.612:61 Försvarshögskolan: Utbildning på grundnivå och avancerad

nivå.........................................................................................................

205

5.8.62 2:62 Försvarshögskolan: Forskning och utbildning på forskarnivå

................................................................................................................

206

5.8.63 2:63 Enskilda utbildningsanordnare på högskoleområdet ............

207

5.8.64 2:64 Särskilda utgifter inom universitet och högskolor .................

209

5.8.65 2:65 Särskilda medel till universitet och högskolor ........................

211

5.8.66 2:66 Ersättningar för klinisk utbildning och forskning .................

214

5.8.67 2:67 Särskilda bidrag inom högskoleområdet .................................

216

5

Prop. 2025/26:1 Utgiftsområde 16

6 Forskning........................................................................................................................

217

6.1

Mål för området .................................................................................................

217

6.2

Resultatindikatorer och andra bedömningsgrunder.....................................

217

6.3

Resultatredovisning ...........................................................................................

218

 

6.3.1

Finansiering av forskning och utveckling ökar i Sverige...............

218

 

6.3.2

Svensk forskningskvalitet är hög men den internationella

 

 

 

konkurrensen ökar...............................................................................

219

 

6.3.3

Sverige är ett av världens främsta innovationsländer ....................

221

 

6.3.4

Fördelning av statliga medel till forskning ......................................

221

 

6.3.5

Jämställdhet inom forskningen..........................................................

222

 

6.3.6

Fri forskning av högsta kvalitet.........................................................

223

 

6.3.7

Forskning för att möta samhällets utmaningar...............................

223

 

6.3.8

Rymdforskning och rymdverksamhet..............................................

224

 

6.3.9

Forskningens infrastruktur.................................................................

225

 

6.3.10

Förutsättningar för forskning av högsta kvalitet ............................

227

 

6.3.11

Forskningssamarbete inom EU och andra internationella

 

 

 

forskningssamarbeten .........................................................................

228

6.4

Regeringens bedömning av måluppfyllelsen .................................................

229

 

6.4.1

Svensk forskning i internationell jämförelse ...................................

229

 

6.4.2

Fri forskning av högsta kvalitet.........................................................

230

 

6.4.3

Forskning för att möta samhällets utmaningar...............................

230

 

6.4.4

Rymdforskning och rymdverksamhet..............................................

230

 

6.4.5

Forskningens infrastruktur.................................................................

230

 

6.4.6

Förutsättningar för forskning av högsta kvalitet ............................

231

 

6.4.7

Stärkt och strategiskt internationellt samarbete..............................

231

6.5

Politikens inriktning ..........................................................................................

232

 

6.5.1

Sverige ska fortsatt vara en ledande forskningsnation...................

232

 

6.5.2

Excellent forskning .............................................................................

234

 

6.5.3

Forskning som grund för innovation och konkurrenskraft..........

235

 

6.5.4

Internationellt forskningssamarbete och ansvarsfull

 

 

 

internationalisering ..............................................................................

235

6.5.5Forskningsinfrastruktur – en förutsättning för forskning av högsta

 

 

kvalitet ...................................................................................................

236

 

6.5.6

Sveriges position som framstående rymdnation ska stärkas.........

236

6.6

Den årliga revisionens iakttagelser..................................................................

237

6.7

Budgetförslag......................................................................................................

237

 

6.7.1

3:1 Vetenskapsrådet: Forskning och forskningsinformation .......

237

 

6.7.2

3:2 Vetenskapsrådet: Avgifter till internationella organisationer .240

 

6.7.3

3:3 Vetenskapsrådet: Förvaltning......................................................

241

 

6.7.4

3:4 Rymdforskning och rymdverksamhet .......................................

242

 

6.7.5

3:5 Rymdstyrelsen: Förvaltning.........................................................

244

 

6.7.6

3:6 Institutet för rymdfysik ................................................................

245

 

6.7.7

3:7 Kungl. biblioteket..........................................................................

245

 

6.7.8

3:8 Polarforskningssekretariatet ........................................................

246

 

6.7.9

3:9 Sunet................................................................................................

247

 

6.7.10

3:10 Överklagandenämnden för etikprövning................................

248

 

6.7.11

3:11 Etikprövningsmyndigheten .......................................................

249

 

6.7.12

3:12 Nämnden för prövning av oredlighet i forskning .................

250

 

6.7.13

3:13 Särskilda utgifter för forskningsändamål.................................

251

 

6.7.14

3:14 Gentekniknämnden ....................................................................

252

7 Anslag för gemensamma ändamål ..............................................................................

253

7.1

Anslag för gemensamma ändamål ..................................................................

253

 

7.1.1

4:1 Internationella program ...............................................................

253

 

7.1.2

4:2 Avgift till Unesco och ICCROM................................................

254

 

7.1.3

4:3 Kostnader för Svenska Unescorådet..........................................

255

7.1.44:4 Utvecklingsarbete inom områdena utbildning och forskning256

6

Prop. 2025/26:1 Utgiftsområde 16

1 Förslag till riksdagsbeslut

Regeringens förslag:

1.Riksdagen bemyndigar regeringen att under 2026–2028 för anslaget 2:4 Uppsala universitet: Forskning och utbildning på forskarnivå besluta om en årlig medlemsavgift till en kunskaps- och innovationsplattform inom råvaror under Europeiska institutet för innovation och teknik (EIT Raw Materials) på högst

380 000 kronor (avsnitt 5.8.4).

2.Riksdagen bemyndigar regeringen att under 2026–2028 för anslaget 2:4 Uppsala universitet: Forskning och utbildning på forskarnivå besluta om en årlig medlemsavgift till Centre Européen de Calcul Atomique et Moléculaire (CECAM) på högst 380 000 kronor (avsnitt 5.8.4).

3.Riksdagen bemyndigar regeringen att under 2026–2028 för anslaget 2:6 Lunds universitet: Forskning och utbildning på forskarnivå besluta om en årlig medlemsavgift till en kunskaps- och innovationsplattform inom klimatområdet under Europeiska institutet för innovation och teknik (EIT Climate-KIC) på högst 150 000 kronor (avsnitt 5.8.6).

4.Riksdagen bemyndigar regeringen att under 2026–2028 för anslaget 2:6 Lunds universitet: Forskning och utbildning på forskarnivå besluta om en årlig medlemsavgift till en kunskaps- och innovationsplattform inom livsmedel under Europeiska institutet för innovation och teknik (EIT Foods) på högst 1 200 000 kronor (avsnitt 5.8.6).

5.Riksdagen godkänner att regeringen under 2026 beslutar om medlemskap i den belgiska juridiska personen EUTOPIA internationale vereniging zonder winstoogmerk (EUTOPIA IVZW) och bemyndigar regeringen att under 2026– 2035 för anslagen 2:7 Göteborgs universitet: Utbildning på grundnivå och avancerad nivå respektive 2:8 Göteborgs universitet: Forskning och utbildning på forskarnivå besluta om en årlig medlemsavgift för universitetet på högst 1 000 000 kronor (avsnitt 5.8.7).

6.Riksdagen godkänner att regeringen under 2026 beslutar om medlemskap i Science Business Bryssel och bemyndigar regeringen att under 2026–2028 för anslaget 2:16 Karolinska institutet: Forskning och utbildning på forskarnivå besluta om en årlig medlemsavgift på högst 200 000 kronor (avsnitt 5.8.16).

7.Riksdagen bemyndigar regeringen att under 2026–2028 för anslaget 2:18 Kungl. Tekniska högskolan: Forskning och utbildning på forskarnivå besluta om en årlig medlemsavgift till en kunskaps- och innovationsplattform inom råvaror under Europeiska institutet för innovation och teknik (EIT Raw Materials) på högst 380 000 kronor (avsnitt 5.8.18).

8.Riksdagen bemyndigar regeringen att under 2026–2028 för anslaget 2:18 Kungl. Tekniska högskolan: Forskning och utbildning på forskarnivå besluta om en årlig medlemsavgift till en kunskaps- och innovationsplattform inom hälsa under Europeiska institutet för innovation och teknik (EIT Health) på högst

320 000 kronor (avsnitt 5.8.18).

9.Riksdagen bemyndigar regeringen att under 2026–2028 för anslaget 2:18 Kungl. Tekniska högskolan: Forskning och utbildning på forskarnivå besluta om en årlig medlemsavgift till en kunskaps- och innovationsplattform inom it-området under Europeiska institutet för innovation och teknik (EIT Digital) på högst 420 000 kronor (avsnitt 5.8.18).

10.Riksdagen bemyndigar regeringen att under 2026–2028 för anslaget 2:20 Luleå tekniska universitet: Forskning och utbildning på forskarnivå besluta om en årlig medlemsavgift till en kunskaps- och innovationsplattform inom råvaror under Europeiska institutet för innovation och teknik (EIT Raw Materials) på högst 380 000 kronor (avsnitt 5.8.20).

7

Prop. 2025/26:1 Utgiftsområde 16

11.Riksdagen godkänner att regeringen under 2026 beslutar om medlemskap i den belgiska juridiska personen European University for Customised Education Association internationale sans but licratif (EUNICE AISBL) och bemyndigar regeringen att under 2026–2035 för anslagen 2:21 Karlstads universitet: Utbildning på grundnivå och avancerad nivå respektive 2:22 Karlstads universitet: Forskning och utbildning på forskarnivå besluta om en årlig medlemsavgift för universitetet på högst 700 000 kronor (avsnitt 5.8.21).

12.Riksdagen bemyndigar regeringen att under 2026 för anslaget 2:65 Särskilda medel till universitet och högskolor besluta om kapitaltillskott till holdingbolag vid universitet och högskolor för finansiering av verksamhet som syftar till att främja kommersialisering av forskningsresultat och innovationer, inklusive idébanksmedel, på högst 52 000 000 kronor (avsnitt 5.8.65).

13.Riksdagen bemyndigar regeringen att under 2026 för anslaget 3:1 Vetenskapsrådet: Forskning och forskningsinformation besluta om bidrag till European Spallation Source ERIC (ESS) på högst 470 000 000 kronor (avsnitt 6.7.1).

14.Riksdagen bemyndigar regeringen att under 2026 för anslaget 3:1 Vetenskapsrådet: Forskning och forskningsinformation besluta om medlemsavgift till det gemensamma företaget för ett europeiskt högpresterande datorsystem (Euro-HPC) på högst 25 000 000 kronor (avsnitt 6.7.1).

15.Riksdagen bemyndigar regeringen att under 2026 för anslaget 3:1 Vetenskapsrådet: Forskning och forskningsinformation besluta om kapitaltillskott till EISCAT AB på högst 5 000 000 kronor (avsnitt 6.7.1).

16.Riksdagen anvisar anslagen för budgetåret 2026 inom utgiftsområde 16 Utbildning och universitetsforskning enligt tabell 1.1.

17.Riksdagen bemyndigar regeringen att under 2026 ingå ekonomiska åtaganden som inklusive tidigare åtaganden medför behov av framtida anslag på högst de belopp och inom de tidsperioder som anges i tabell 1.2.

Tabell 1.1

Anslagsbelopp

 

Tusental kronor

 

 

Anslag

 

 

1:1 Statens skolverk

1 406 011

 

 

1:2 Statens skolinspektion

676 633

 

 

1:3 Specialpedagogiska skolmyndigheten

894 052

 

 

1:4 Sameskolstyrelsen

68 698

 

 

1:5 Utveckling av skolväsendet och annan pedagogisk verksamhet

5 493 885

1:6 Statligt stöd till särskild utbildning i gymnasieskolan

293 837

 

 

1:7 Maxtaxa i förskola, fritidshem och annan pedagogisk verksamhet samt

 

kvalitetshöjande åtgärder inom förskola

5 760 000

1:8 Bidrag till viss verksamhet inom skolväsendet, m.m.

206 720

 

 

1:9 Bidrag till svensk undervisning i utlandet

130 582

 

 

1:10 Fortbildning av lärare och förskolepersonal

1 109 526

 

 

1:11 Skolforskningsinstitutet

47 910

 

 

1:12 Praktiknära skolforskning

36 043

 

 

1:13 Bidrag till lärarlöner

4 875 000

1:14 Särskilda insatser inom skolområdet

173 418

 

 

1:15 Statligt stöd för stärkt kunskapsutveckling

9 364 600

 

 

1:16 Bidrag till vissa studier

17 525

 

 

1:17 Statligt stöd till vuxenutbildning

3 712 422

 

 

1:18 Myndigheten för yrkeshögskolan

202 724

 

 

1:19 Statligt stöd till yrkeshögskoleutbildning

4 420 166

2:1 Universitetskanslersämbetet

166 446

 

 

 

8

Prop. 2025/26:1 Utgiftsområde 16

Anslag

2:2 Universitets- och högskolerådet

320 330

 

 

2:3 Uppsala universitet: Utbildning på grundnivå och avancerad nivå

2 207 888

 

 

2:4 Uppsala universitet: Forskning och utbildning på forskarnivå

2 619 766

2:5 Lunds universitet: Utbildning på grundnivå och avancerad nivå

2 572 678

 

 

2:6 Lunds universitet: Forskning och utbildning på forskarnivå

2 748 425

 

 

2:7 Göteborgs universitet: Utbildning på grundnivå och avancerad nivå

2 543 214

 

 

2:8 Göteborgs universitet: Forskning och utbildning på forskarnivå

1 941 779

 

 

2:9 Stockholms universitet: Utbildning på grundnivå och avancerad nivå

2 091 947

 

 

2:10 Stockholms universitet: Forskning och utbildning på forskarnivå

1 978 453

2:11 Umeå universitet: Utbildning på grundnivå och avancerad nivå

1 694 535

 

 

2:12 Umeå universitet: Forskning och utbildning på forskarnivå

1 349 615

 

 

2:13 Linköpings universitet: Utbildning på grundnivå och avancerad nivå

1 895 241

 

 

2:14 Linköpings universitet: Forskning och utbildning på forskarnivå

1 199 667

 

 

2:15 Karolinska institutet: Utbildning på grundnivå och avancerad nivå

859 998

 

 

2:16 Karolinska institutet: Forskning och utbildning på forskarnivå

1 973 459

2:17 Kungl. Tekniska högskolan: Utbildning på grundnivå och avancerad nivå

1 435 827

 

 

2:18 Kungl. Tekniska högskolan: Forskning och utbildning på forskarnivå

2 207 400

 

 

2:19 Luleå tekniska universitet: Utbildning på grundnivå och avancerad nivå

832 619

 

 

2:20 Luleå tekniska universitet: Forskning och utbildning på forskarnivå

530 237

 

 

2:21 Karlstads universitet: Utbildning på grundnivå och avancerad nivå

824 443

 

 

2:22 Karlstads universitet: Forskning och utbildning på forskarnivå

311 502

2:23 Linnéuniversitetet: Utbildning på grundnivå och avancerad nivå

1 283 484

 

 

2:24 Linnéuniversitetet: Forskning och utbildning på forskarnivå

429 188

 

 

2:25 Örebro universitet: Utbildning på grundnivå och avancerad nivå

966 377

 

 

2:26 Örebro universitet: Forskning och utbildning på forskarnivå

356 479

 

 

2:27 Mittuniversitetet: Utbildning på grundnivå och avancerad nivå

672 410

 

 

2:28 Mittuniversitetet: Forskning och utbildning på forskarnivå

311 638

2:29 Malmö universitet: Utbildning på grundnivå och avancerad nivå

1 148 114

 

 

2:30 Malmö universitet: Forskning och utbildning på forskarnivå

330 179

 

 

2:31 Mälardalens universitet: Utbildning på grundnivå och avancerad nivå

746 278

 

 

2:32 Mälardalens universitet: Forskning och utbildning på forskarnivå

309 021

 

 

2:33 Blekinge tekniska högskola: Utbildning på grundnivå och avancerad nivå

317 252

 

 

2:34 Blekinge tekniska högskola: Forskning och utbildning på forskarnivå

119 201

2:35 Stockholms konstnärliga högskola: Utbildning på grundnivå och avancerad

 

nivå

235 787

 

 

2:36 Stockholms konstnärliga högskola: Forskning och utbildning på forskarnivå

63 704

2:37 Gymnastik- och idrottshögskolan: Utbildning på grundnivå och avancerad

 

nivå

131 447

 

 

2:38 Gymnastik- och idrottshögskolan: Forskning och utbildning på forskarnivå

40 885

2:39 Högskolan i Borås: Utbildning på grundnivå och avancerad nivå

611 787

 

 

2:40 Högskolan i Borås: Forskning och utbildning på forskarnivå

119 515

 

 

2:41 Högskolan Dalarna: Utbildning på grundnivå och avancerad nivå

513 590

 

 

2:42 Högskolan Dalarna: Forskning och utbildning på forskarnivå

120 821

 

 

2:43 Högskolan i Gävle: Utbildning på grundnivå och avancerad nivå

564 285

 

 

2:44 Högskolan i Gävle: Forskning och utbildning på forskarnivå

128 297

 

 

2:45 Högskolan i Halmstad: Utbildning på grundnivå och avancerad nivå

497 394

 

 

2:46 Högskolan i Halmstad: Forskning och utbildning på forskarnivå

115 343

 

 

2:47 Högskolan Kristianstad: Utbildning på grundnivå och avancerad nivå

484 014

 

 

2:48 Högskolan Kristianstad: Forskning och utbildning på forskarnivå

108 153

 

 

9

Prop. 2025/26:1 Utgiftsområde 16

Anslag

2:49 Högskolan i Skövde: Utbildning på grundnivå och avancerad nivå

386 068

 

 

2:50 Högskolan i Skövde: Forskning och utbildning på forskarnivå

74 265

 

 

2:51 Högskolan Väst: Utbildning på grundnivå och avancerad nivå

456 387

2:52 Högskolan Väst: Forskning och utbildning på forskarnivå

104 446

 

 

2:53 Konstfack: Utbildning på grundnivå och avancerad nivå

196 524

 

 

2:54 Konstfack: Forskning och utbildning på forskarnivå

25 943

 

 

2:55 Kungl. Konsthögskolan: Utbildning på grundnivå och avancerad nivå

76 756

 

 

2:56 Kungl. Konsthögskolan: Forskning och utbildning på forskarnivå

15 839

 

 

2:57 Kungl. Musikhögskolan i Stockholm: Utbildning på grundnivå och avancerad

 

nivå

156 768

 

 

2:58 Kungl. Musikhögskolan i Stockholm: Forskning och utbildning på forskarnivå

26 092

 

 

2:59 Södertörns högskola: Utbildning på grundnivå och avancerad nivå

509 279

2:60 Södertörns högskola: Forskning och utbildning på forskarnivå

140 575

 

 

2:61 Försvarshögskolan: Utbildning på grundnivå och avancerad nivå

47 704

 

 

2:62 Försvarshögskolan: Forskning och utbildning på forskarnivå

56 667

 

 

2:63 Enskilda utbildningsanordnare på högskoleområdet

4 415 760

 

 

2:64 Särskilda utgifter inom universitet och högskolor

991 719

 

 

2:65 Särskilda medel till universitet och högskolor

983 700

2:66 Ersättningar för klinisk utbildning och forskning

3 039 108

 

 

2:67 Särskilda bidrag inom högskoleområdet

50 980

 

 

3:1 Vetenskapsrådet: Forskning och forskningsinformation

8 072 296

 

 

3:2 Vetenskapsrådet: Avgifter till internationella organisationer

420 061

 

 

3:3 Vetenskapsrådet: Förvaltning

212 500

 

 

3:4 Rymdforskning och rymdverksamhet

1 477 356

3:5 Rymdstyrelsen: Förvaltning

55 379

 

 

3:6 Institutet för rymdfysik

65 811

 

 

3:7 Kungl. biblioteket

509 048

 

 

3:8 Polarforskningssekretariatet

75 359

 

 

3:9 Sunet

49 183

 

 

3:10 Överklagandenämnden för etikprövning

5 809

3:11 Etikprövningsmyndigheten

58 495

 

 

3:12 Nämnden för prövning av oredlighet i forskning

16 091

 

 

3:13 Särskilda utgifter för forskningsändamål

89 495

 

 

3:14 Gentekniknämnden

5 145

 

 

4:1 Internationella program

81 589

 

 

4:2 Avgift till Unesco och ICCROM

32 186

4:3 Kostnader för Svenska Unescorådet

11 906

 

 

4:4 Utvecklingsarbete inom områdena utbildning och forskning

24 543

 

 

Summa anslag inom utgiftsområdet

106 936 696

 

 

10

Prop. 2025/26:1 Utgiftsområde 16

Tabell 1.2

Beställningsbemyndiganden

 

 

Tusental kronor

 

 

 

Anslag

 

Beställningsbemyndigande

Tidsperiod

1:5 Utveckling av skolväsendet och annan pedagogisk

 

 

verksamhet

 

1 468 000

2027–2035

 

 

 

1:6 Statligt stöd till särskild utbildning i gymnasieskolan

35 000

2027

 

 

 

1:7 Maxtaxa i förskola, fritidshem och annan pedagogisk

 

 

verksamhet samt kvalitetshöjande åtgärder inom förskola

2 886 000

2027

 

 

 

1:10 Fortbildning av lärare och förskolepersonal

535 000

2027–2029

 

 

 

1:12 Praktiknära skolforskning

72 100

2027–2029

 

 

 

1:13 Bidrag till lärarlöner

2 426 000

2027

 

 

 

1:15 Statligt stöd för stärkt kunskapsutveckling

7 583 200

2027

 

 

 

1:17 Statligt stöd till vuxenutbildning

9 672 000

2027–2029

 

 

 

1:19 Statligt stöd till yrkeshögskoleutbildning

12 300 000

2027–2033

 

 

 

3:1 Vetenskapsrådet: Forskning och forskningsinformation

25 979 400

2027–2036

 

 

 

3:2 Vetenskapsrådet: Avgifter till internationella organisationer

2 808 900

2027–2031

 

 

 

3:4 Rymdforskning och rymdverksamhet

6 000 000

2027–2035

 

 

 

4:1 Internationella program

90 412

2027–2028

 

 

 

Summa beställningsbemyndiganden inom utgiftsområdet

71 856 012

 

 

 

 

 

11

Prop. 2025/26:1 Utgiftsområde 16

2Utbildning och universitetsforskning

2.1Utgiftsområdets omfattning

I det här avsnittet presenteras utgiftsområdets omfattning, det övergripande målet för utgiftsområdet och indikatorer för att följa upp målet. Den därpå följande resultat- redovisningen är uppdelad på resultat för hela utgiftsområdet inklusive internationella frågor och resultat för lärar- och förskollärarsituationen i skolväsendet. Avsnittet avslutas med politikens inriktning för utgiftsområdets övergripande frågor. Utgifts- området omfattar 104 anslag. Den resultatredovisning som lämnas i budgetpropo- sitionen bygger huvudsakligen på resultat från 2024.

Utgiftsområdet omfattar följande områden:

Barn- och ungdomsutbildning

förskola

annan pedagogisk verksamhet

förskoleklass

grundskola

anpassad grundskola

specialskola

sameskola

fritidshem

gymnasieskola

anpassad gymnasieskola.

Kommunal vuxenutbildning och yrkeshögskola

kommunal vuxenutbildning

utbildning inom yrkeshögskolan

vissa andra utbildningar med enskilda huvudmän.

Universitet och högskolor

högskoleutbildning på grundnivå, avancerad nivå och forskarnivå vid universitet och högskolor med staten som huvudman

forskning vid universitet och högskolor med staten som huvudman

bidrag till högskoleutbildning på grundnivå, avancerad nivå och forskarnivå vid enskilda utbildningsanordnare inom högskoleområdet

bidrag till forskning vid enskilda utbildningsanordnare inom högskoleområdet.

Utgiftsområdet omfattar inte Sveriges lantbruksuniversitet som ingår i utgiftsområde 23 Areella näringar, landsbygd och livsmedel och delar av utbildning och forskning vid Försvarshögskolan som ingår i utgiftsområde 6 Försvar och samhällets krisberedskap.

Forskning

statlig finansiering av forskning och forskningsmyndigheter samt forskningsetik.

13

Prop. 2025/26:1 Utgiftsområde 16

I utgiftsområdet ingår även myndigheter inom ovan nämnda områden. Vidare ingår medlemsavgifter till Unesco, verksamheten vid Kommittén Svenska Unescorådet och finansieringen av internationella kunskapsmätningar och utbildningsstatistik. Den verksamhet som bedrivs inom utgiftsområdet har flera huvudmän. Både kommuner och enskilda kan vara huvudmän för förskolan, fritidshemmet, annan pedagogisk verksamhet, förskoleklassen, grundskolan, anpassade grundskolan, gymnasieskolan, anpassade gymnasieskolan och yrkeshögskolan. Kommuner kan vara huvudmän för kommunal vuxenutbildning (komvux). Regioner får vara huvudmän för gymnasie- skola, anpassad gymnasieskola och komvux. Staten är huvudman för specialskolan och sameskolan. Staten är också huvudman för universitet och högskolor, men det finns även ett antal enskilda utbildningsanordnare inom högskoleområdet.

2.1.1Totala kostnader för utbildningsväsendet

De totala kostnaderna för utbildningsväsendet uppgick 2024 till 500 miljarder kronor, vilket utgör 7,8 procent av bruttonationalprodukten (BNP). Jämfört med 2023 har de totala kostnaderna för utbildningsväsendet ökat med drygt 24 miljarder kronor, medan andelen av BNP är på samma nivå. Den enskilt största verksamheten inom utbildningsväsendet är grundskolan, inklusive sameskolan, som stod för 32 procent av de totala kostnaderna 2024. Därefter följer förskola samt universitet och högskolor som svarade för 18,8 respektive 18,7 procent av kostnaderna samma år. Se tabell 2.1.

Tabell 2.1 Totala kostnader för utbildningsväsendet

Miljarder kronor

 

2019

202010

2021

2022

2023

2024

Förskola1

81,2

82,1

83,9

86,5

91,7

94,4

Pedagogisk omsorg1

1,3

1,2

1,1

1

1

1

Förskoleklass

7,9

8,3

8,3

8,8

9,2

9,5

 

 

 

 

 

 

 

Grundskola2

127,4

130,8

135,8

143

152,3

159,7

Anpassad grundskola

5,8

6,2

6,7

7,2

8,1

9,0

 

 

 

 

 

 

 

Specialskola

0,6

0,6

0,7

0,7

0,7

0,7

 

 

 

 

 

 

 

Svenska utlandsskolor4

0,2

0,1

0,1

0,1

0,2

0,2

Fritidshem1

19,6

19,9

20,3

21,1

22,2

23,3

Öppen verksamhet

0,8

0,8

0,8

0,8

0,9

1

 

 

 

 

 

 

 

Gymnasieskola3

44,5

45,2

46,5

48,9

51

53,7

Anpassad gymnasieskola

3

3,1

3,2

3,4

3,8

4

 

 

 

 

 

 

 

Kommunal vuxenutbildning5

10,1

10,3

10,7

10,5

10,8

11,2

Studieförbund

3,9

3,5

3,4

3,5

3,5

3,4

Folkhögskolor6

3,9

3,7

4

4,4

4,3

4,4

Yrkeshögskolan

2,3

2,7

3,3

3,4

3,4

3,5

 

 

 

 

 

 

 

Universitet och högskolor7

77

78

80,3

84,2

89,0

93,6

Studiestöd8

22,2

24,5

25,5

24,0

23,7

26,9

Summa

411,7

421,1

434,7

452

476

500

 

 

 

 

 

 

 

Andel av BNP (%)9

8,2

8,4

8,0

7,7

7,8

7,8

14

Prop. 2025/26:1 Utgiftsområde 16

Anm.: Redovisningen omfattar inte polisutbildningen, Försvarsmaktens utbildningar, arbetsmarknads- och personalutbildning eller övrig utbildning hos privata utbildningsanordnare. Uppgifterna redovisas i löpande priser.

1 Nettokostnad exklusive avgifter.

2 Inklusive sameskola.

3 Inklusive skolskjuts, reseersättning och inackordering.

4 Omräknade kostnader baserat på antalet elever i reguljär utbildning.

5 Inkluderar kommunal vuxenutbildning på grundläggande och gymnasial nivå, kommunal vuxenutbildning som anpassad utbildning på grundläggande och gymnasial nivå och kommunal vuxenutbildning i svenska för invandrare.

6 Resultatredovisning för folkhögskolorna återfinns inom utgiftsområde 17 Kultur, medier, trossamfund och fritid avsnitt 17 Folkbildning.

7 Inkluderar forskning och utbildning på forskarnivå.

8 Inkluderar studiebidrag och studiemedlens bidragsdel samt kostnaderna för räntesubventioner, avskrivningar och statlig ålderspensionsavgift. Beräkningen av statens kostnader avseende avskrivningar/kreditförluster har ändrats fr.o.m. 2023. Det finns inte längre någon anslagspost i statsbudgeten för avsättning för kreditförluster. Resultatredovisning för studiestöd återfinns under utgiftsområde 15 Studiestöd.

9 Uppgifterna avseende BNP för 2018–2024 har reviderats i och med Statistiska centralbyråns allmänna översyn av tidsserien.

10 Uppgifterna avseende 2020 har reviderats utifrån justerade underlag från Statistiska centralbyrån. Källa: Statistiska centralbyrån.

2.2Utgiftsutveckling

Tabell 2.2 Utgiftsutveckling inom utgiftsområde 16 Utbildning och universitetsforskning

Miljoner kronor

 

Utfall

Budget

Prognos

Förslag

Beräknat

Beräknat

 

2024

20251

2025

2026

2027

2028

Barn-, ungdoms- och vuxenutbildning

33 948

37 935

34 893

38 890

36 859

34 437

 

 

 

 

 

 

 

1:1 Statens skolverk

1 374

1 364

1 351

1 406

1 425

1 545

 

 

 

 

 

 

 

1:2 Statens skolinspektion

572

620

633

677

704

720

 

 

 

 

 

 

 

1:3 Specialpedagogiska skolmyndigheten

808

894

876

894

898

916

 

 

 

 

 

 

 

1:4 Sameskolstyrelsen

60

64

66

69

70

71

 

 

 

 

 

 

 

1:5 Utveckling av skolväsendet och annan

 

 

 

 

 

 

pedagogisk verksamhet

4 586

6 502

5 233

5 494

4 887

4 575

 

 

 

 

 

 

 

1:6 Statligt stöd till särskild utbildning i

 

 

 

 

 

 

gymnasieskolan

251

270

272

294

325

315

 

 

 

 

 

 

 

1:7 Maxtaxa i förskola, fritidshem och

 

 

 

 

 

 

annan pedagogisk verksamhet samt

 

 

 

 

 

 

kvalitetshöjande åtgärder inom förskola

4 955

4 560

4 522

5 760

6 060

5 460

 

 

 

 

 

 

 

1:8 Bidrag till viss verksamhet inom

 

 

 

 

 

 

skolväsendet, m.m.

196

205

195

207

207

207

 

 

 

 

 

 

 

1:9 Bidrag till svensk undervisning i

 

 

 

 

 

 

utlandet

114

119

116

131

134

136

 

 

 

 

 

 

 

1:10 Fortbildning av lärare och

 

 

 

 

 

 

förskolepersonal

707

1 098

820

1 110

1 145

1 145

 

 

 

 

 

 

 

1:11 Skolforskningsinstitutet

31

47

45

48

50

50

 

 

 

 

 

 

 

1:12 Praktiknära skolforskning

35

36

36

36

36

36

 

 

 

 

 

 

 

1:13 Bidrag till lärarlöner

4 198

4 875

4 176

4 875

4 859

4 859

 

 

 

 

 

 

 

1:14 Särskilda insatser inom skolområdet

199

163

162

173

173

173

 

 

 

 

 

 

 

1:15 Statligt stöd för stärkt

 

 

 

 

 

 

kunskapsutveckling

7 395

8 243

8 147

9 365

7 583

5 783

 

 

 

 

 

 

 

1:16 Bidrag till vissa studier

11

18

12

18

18

18

 

 

 

 

 

 

 

1:17 Statligt stöd till vuxenutbildning

4 229

4 356

3 823

3 712

3 572

3 572

 

 

 

 

 

 

 

1:18 Myndigheten för yrkeshögskolan

154

171

172

203

181

181

1:19 Statligt stöd till

 

 

 

 

 

 

yrkeshögskoleutbildning

4 075

4 330

4 236

4 420

4 532

4 675

 

 

 

 

 

 

 

Universitet och högskolor

53 269

55 452

55 376

56 785

57 988

59 527

2:1 Universitetskanslersämbetet

188

176

168

166

169

172

 

 

 

 

 

 

 

15

Prop. 2025/26:1 Utgiftsområde 16

 

Utfall

Budget

Prognos

Förslag

Beräknat

Beräknat

 

2024

20251

2025

2026

2027

2028

2:2 Universitets- och högskolerådet

230

251

252

320

334

383

 

 

 

 

 

 

 

2:3 Uppsala universitet: Utbildning på

 

 

 

 

 

 

grundnivå och avancerad nivå

2 118

2 182

2 182

2 208

2 258

2 301

 

 

 

 

 

 

 

2:4 Uppsala universitet: Forskning och

 

 

 

 

 

 

utbildning på forskarnivå

2 451

2 562

2 562

2 620

2 655

2 703

 

 

 

 

 

 

 

2:5 Lunds universitet: Utbildning på

 

 

 

 

 

 

grundnivå och avancerad nivå

2 458

2 534

2 534

2 573

2 632

2 681

 

 

 

 

 

 

 

2:6 Lunds universitet: Forskning och

 

 

 

 

 

 

utbildning på forskarnivå

2 554

2 672

2 672

2 748

2 786

2 835

 

 

 

 

 

 

 

2:7 Göteborgs universitet: Utbildning på

 

 

 

 

 

 

grundnivå och avancerad nivå

2 455

2 510

2 510

2 543

2 592

2 633

 

 

 

 

 

 

 

2:8 Göteborgs universitet: Forskning och

 

 

 

 

 

 

utbildning på forskarnivå

1 820

1 895

1 895

1 942

1 966

1 997

 

 

 

 

 

 

 

2:9 Stockholms universitet: Utbildning på

 

 

 

 

 

 

grundnivå och avancerad nivå

2 061

2 070

2 055

2 092

2 111

2 137

 

 

 

 

 

 

 

2:10 Stockholms universitet: Forskning

 

 

 

 

 

 

och utbildning på forskarnivå

1 857

1 940

1 940

1 978

2 003

2 035

 

 

 

 

 

 

 

2:11 Umeå universitet: Utbildning på

 

 

 

 

 

 

grundnivå och avancerad nivå

1 611

1 681

1 697

1 695

1 727

1 755

 

 

 

 

 

 

 

2:12 Umeå universitet: Forskning och

 

 

 

 

 

 

utbildning på forskarnivå

1 286

1 336

1 336

1 350

1 366

1 388

 

 

 

 

 

 

 

2:13 Linköpings universitet: Utbildning på

 

 

 

 

 

 

grundnivå och avancerad nivå

1 814

1 860

1 870

1 895

1 934

1 956

 

 

 

 

 

 

 

2:14 Linköpings universitet: Forskning och

 

 

 

 

 

 

utbildning på forskarnivå

1 114

1 160

1 160

1 200

1 215

1 234

 

 

 

 

 

 

 

2:15 Karolinska institutet: Utbildning på

 

 

 

 

 

 

grundnivå och avancerad nivå

819

850

857

860

898

912

 

 

 

 

 

 

 

2:16 Karolinska institutet: Forskning och

 

 

 

 

 

 

utbildning på forskarnivå

1 826

1 903

1 903

1 973

1 998

2 030

 

 

 

 

 

 

 

2:17 Kungl. Tekniska högskolan:

 

 

 

 

 

 

Utbildning på grundnivå och avancerad

 

 

 

 

 

 

nivå

1 444

1 416

1 478

1 436

1 448

1 469

 

 

 

 

 

 

 

2:18 Kungl. Tekniska högskolan:

 

 

 

 

 

 

Forskning och utbildning på forskarnivå

1 944

2 123

2 123

2 207

2 243

2 284

 

 

 

 

 

 

 

2:19 Luleå tekniska universitet: Utbildning

 

 

 

 

 

 

på grundnivå och avancerad nivå

737

816

778

833

843

854

 

 

 

 

 

 

 

2:20 Luleå tekniska universitet: Forskning

 

 

 

 

 

 

och utbildning på forskarnivå

452

513

513

530

545

574

 

 

 

 

 

 

 

2:21 Karlstads universitet: Utbildning på

 

 

 

 

 

 

grundnivå och avancerad nivå

801

819

819

824

834

842

 

 

 

 

 

 

 

2:22 Karlstads universitet: Forskning och

 

 

 

 

 

 

utbildning på forskarnivå

298

309

309

312

315

320

2:23 Linnéuniversitetet: Utbildning på

 

 

 

 

 

 

grundnivå och avancerad nivå

1 246

1 275

1 266

1 283

1 295

1 315

 

 

 

 

 

 

 

2:24 Linnéuniversitetet: Forskning och

 

 

 

 

 

 

utbildning på forskarnivå

407

423

423

429

435

441

 

 

 

 

 

 

 

2:25 Örebro universitet: Utbildning på

 

 

 

 

 

 

grundnivå och avancerad nivå

982

957

950

966

988

1 004

 

 

 

 

 

 

 

2:26 Örebro universitet: Forskning och

 

 

 

 

 

 

utbildning på forskarnivå

336

350

350

356

361

367

 

 

 

 

 

 

 

2:27 Mittuniversitetet: Utbildning på

 

 

 

 

 

 

grundnivå och avancerad nivå

661

672

672

672

678

684

 

 

 

 

 

 

 

2:28 Mittuniversitetet: Forskning och

 

 

 

 

 

 

utbildning på forskarnivå

300

311

311

312

316

321

2:29 Malmö universitet: Utbildning på

 

 

 

 

 

 

grundnivå och avancerad nivå

1 124

1 140

1 161

1 148

1 160

1 171

 

 

 

 

 

 

 

16

Prop. 2025/26:1 Utgiftsområde 16

 

Utfall

Budget

Prognos

Förslag

Beräknat

Beräknat

 

2024

20251

2025

2026

2027

2028

2:30 Malmö universitet: Forskning och

 

 

 

 

 

 

utbildning på forskarnivå

313

325

325

330

334

340

 

 

 

 

 

 

 

2:31 Mälardalens universitet: Utbildning

 

 

 

 

 

 

på grundnivå och avancerad nivå

722

739

735

746

755

759

 

 

 

 

 

 

 

2:32 Mälardalens universitet: Forskning

 

 

 

 

 

 

och utbildning på forskarnivå

295

306

305

309

313

318

 

 

 

 

 

 

 

2:33 Blekinge tekniska högskola:

 

 

 

 

 

 

Utbildning på grundnivå och avancerad

 

 

 

 

 

 

nivå

322

311

309

317

321

326

 

 

 

 

 

 

 

2:34 Blekinge tekniska högskola:

 

 

 

 

 

 

Forskning och utbildning på forskarnivå

114

119

119

119

121

123

 

 

 

 

 

 

 

2:35 Stockholms konstnärliga högskola:

 

 

 

 

 

 

Utbildning på grundnivå och avancerad

 

 

 

 

 

 

nivå

225

232

231

236

239

243

 

 

 

 

 

 

 

2:36 Stockholms konstnärliga högskola:

 

 

 

 

 

 

Forskning och utbildning på forskarnivå

58

60

60

64

64

66

 

 

 

 

 

 

 

2:37 Gymnastik- och idrottshögskolan:

 

 

 

 

 

 

Utbildning på grundnivå och avancerad

 

 

 

 

 

 

nivå

128

132

132

131

133

134

 

 

 

 

 

 

 

2:38 Gymnastik- och idrottshögskolan:

 

 

 

 

 

 

Forskning och utbildning på forskarnivå

36

38

38

41

41

42

 

 

 

 

 

 

 

2:39 Högskolan i Borås: Utbildning på

 

 

 

 

 

 

grundnivå och avancerad nivå

590

606

606

612

619

629

 

 

 

 

 

 

 

2:40 Högskolan i Borås: Forskning och

 

 

 

 

 

 

utbildning på forskarnivå

111

115

115

120

121

123

 

 

 

 

 

 

 

2:41 Högskolan Dalarna: Utbildning på

 

 

 

 

 

 

grundnivå och avancerad nivå

510

514

514

514

518

526

 

 

 

 

 

 

 

2:42 Högskolan Dalarna: Forskning och

 

 

 

 

 

 

utbildning på forskarnivå

114

119

119

121

122

124

 

 

 

 

 

 

 

2:43 Högskolan i Gävle: Utbildning på

 

 

 

 

 

 

grundnivå och avancerad nivå

548

560

560

564

570

574

 

 

 

 

 

 

 

2:44 Högskolan i Gävle: Forskning och

 

 

 

 

 

 

utbildning på forskarnivå

121

126

126

128

130

132

2:45 Högskolan i Halmstad: Utbildning på

 

 

 

 

 

 

grundnivå och avancerad nivå

481

494

494

497

503

503

 

 

 

 

 

 

 

2:46 Högskolan i Halmstad: Forskning och

 

 

 

 

 

 

utbildning på forskarnivå

108

112

112

115

117

119

 

 

 

 

 

 

 

2:47 Högskolan Kristianstad: Utbildning

 

 

 

 

 

 

på grundnivå och avancerad nivå

472

482

482

484

489

497

 

 

 

 

 

 

 

2:48 Högskolan Kristianstad: Forskning

 

 

 

 

 

 

och utbildning på forskarnivå

104

108

108

108

109

111

 

 

 

 

 

 

 

2:49 Högskolan i Skövde: Utbildning på

 

 

 

 

 

 

grundnivå och avancerad nivå

371

382

382

386

391

397

 

 

 

 

 

 

 

2:50 Högskolan i Skövde: Forskning och

 

 

 

 

 

 

utbildning på forskarnivå

70

72

72

74

75

76

2:51 Högskolan Väst: Utbildning på

 

 

 

 

 

 

grundnivå och avancerad nivå

445

455

455

456

462

466

 

 

 

 

 

 

 

2:52 Högskolan Väst: Forskning och

 

 

 

 

 

 

utbildning på forskarnivå

98

102

102

104

106

107

 

 

 

 

 

 

 

2:53 Konstfack: Utbildning på grundnivå

 

 

 

 

 

 

och avancerad nivå

189

195

195

197

199

202

 

 

 

 

 

 

 

2:54 Konstfack: Forskning och utbildning

 

 

 

 

 

 

på forskarnivå

23

24

24

26

26

27

 

 

 

 

 

 

 

2:55 Kungl. Konsthögskolan: Utbildning

 

 

 

 

 

 

på grundnivå och avancerad nivå

73

76

76

77

78

79

 

 

 

 

 

 

 

2:56 Kungl. Konsthögskolan: Forskning

 

 

 

 

 

 

och utbildning på forskarnivå

14

14

14

16

16

16

17

Prop. 2025/26:1 Utgiftsområde 16

 

Utfall

Budget

Prognos

Förslag

Beräknat

Beräknat

 

2024

20251

2025

2026

2027

2028

2:57 Kungl. Musikhögskolan i Stockholm:

 

 

 

 

 

 

Utbildning på grundnivå och avancerad

 

 

 

 

 

 

nivå

152

155

157

157

159

161

 

 

 

 

 

 

 

2:58 Kungl. Musikhögskolan i Stockholm:

 

 

 

 

 

 

Forskning och utbildning på forskarnivå

23

24

24

26

26

27

 

 

 

 

 

 

 

2:59 Södertörns högskola: Utbildning på

 

 

 

 

 

 

grundnivå och avancerad nivå

495

505

505

509

515

523

 

 

 

 

 

 

 

2:60 Södertörns högskola: Forskning och

 

 

 

 

 

 

utbildning på forskarnivå

131

136

136

141

142

145

 

 

 

 

 

 

 

2:61 Försvarshögskolan: Utbildning på

 

 

 

 

 

 

grundnivå och avancerad nivå

41

47

47

48

48

49

 

 

 

 

 

 

 

2:62 Försvarshögskolan: Forskning och

 

 

 

 

 

 

utbildning på forskarnivå

45

53

53

57

57

59

 

 

 

 

 

 

 

2:63 Enskilda utbildningsanordnare på

 

 

 

 

 

 

högskoleområdet

4 010

4 233

4 152

4 416

4 481

4 565

 

 

 

 

 

 

 

2:64 Särskilda utgifter inom universitet

 

 

 

 

 

 

och högskolor

748

970

954

992

1 166

1 720

 

 

 

 

 

 

 

2:65 Särskilda medel till universitet och

 

 

 

 

 

 

högskolor

621

746

742

984

1 118

1 171

 

 

 

 

 

 

 

2:66 Ersättningar för klinisk utbildning och

 

 

 

 

 

 

forskning

2 885

2 984

2 984

3 039

3 149

3 199

 

 

 

 

 

 

 

2:67 Särskilda bidrag inom

 

 

 

 

 

 

högskoleområdet

68

81

71

51

51

48

 

 

 

 

 

 

 

Forskning

10 770

11 343

11 249

11 112

11 603

12 696

 

 

 

 

 

 

 

3:1 Vetenskapsrådet: Forskning och

 

 

 

 

 

 

forskningsinformation

7 907

8 424

8 344

8 072

8 561

9 555

 

 

 

 

 

 

 

3:2 Vetenskapsrådet: Avgifter till

 

 

 

 

 

 

internationella organisationer

500

500

497

420

420

420

 

 

 

 

 

 

 

3:3 Vetenskapsrådet: Förvaltning

204

210

219

213

216

220

 

 

 

 

 

 

 

3:4 Rymdforskning och rymdverksamhet

1 311

1 345

1 336

1 477

1 465

1 545

 

 

 

 

 

 

 

3:5 Rymdstyrelsen: Förvaltning

53

54

55

55

56

57

 

 

 

 

 

 

 

3:6 Institutet för rymdfysik

64

65

65

66

67

69

 

 

 

 

 

 

 

3:7 Kungl. biblioteket

452

465

463

509

516

525

3:8 Polarforskningssekretariatet

67

71

61

75

76

77

 

 

 

 

 

 

 

3:9 Sunet

51

49

48

49

49

49

 

 

 

 

 

 

 

3:10 Överklagandenämnden för

 

 

 

 

 

 

etikprövning

5

6

5

6

6

6

 

 

 

 

 

 

 

3:11 Etikprövningsmyndigheten

50

57

59

58

59

61

 

 

 

 

 

 

 

3:12 Nämnden för prövning av oredlighet i

 

 

 

 

 

 

forskning

10

12

11

16

16

16

 

 

 

 

 

 

 

3:13 Särskilda utgifter för

 

 

 

 

 

 

forskningsändamål

93

81

80

89

89

89

3:14 Gentekniknämnden

4

5

5

5

5

5

 

 

 

 

 

 

 

Vissa gemensamma ändamål

146

152

152

150

147

145

 

 

 

 

 

 

 

4:1 Internationella program

79

82

81

82

82

82

 

 

 

 

 

 

 

4:2 Avgift till Unesco och ICCROM

32

32

32

32

32

32

 

 

 

 

 

 

 

4:3 Kostnader för Svenska Unescorådet

11

12

12

12

12

12

 

 

 

 

 

 

 

4:4 Utvecklingsarbete inom områdena

 

 

 

 

 

 

utbildning och forskning

23

27

27

25

21

19

 

 

 

 

 

 

 

Totalt för utgiftsområde 16 Utbildning

 

 

 

 

 

 

och universitetsforskning

98 133

104 883

101 670

106 937

106 596

106 805

 

 

 

 

 

 

 

1Inklusive beslut om ändringar i statens budget 2025 och förslag till ändringar i samband med denna proposition.

18

Prop. 2025/26:1 Utgiftsområde 16

Tabell 2.3 Förändringar av utgiftsramen 2026–2028 för utgiftsområde 16 Utbildning och universitetsforskning

Miljoner kronor

 

2026

2027

2028

Anvisat 20251

103 845

103 845

103 845

Pris- och löneomräkning2

1 075

1 820

2 796

Beslutade, föreslagna och aviserade åtgärder

2 056

971

210

varav BP263

4 711

3 786

2 887

Överföring till/från andra utgiftsområden

 

 

-6

 

 

 

 

Övrigt

-40

-40

-40

Ny utgiftsram

106 937

106 596

106 805

 

 

 

 

1Statens budget enligt riksdagens beslut i december 2024 (bet. 2024/25:FiU10). Beloppet är således exklusive beslut om ändringar i statens budget.

2Pris- och löneomräkningen baseras på anvisade medel 2025. Övriga förändringskomponenter redovisas i löpande priser och inkluderar därmed en pris- och löneomräkning. Pris- och löneomräkningen för 2027–2028 är preliminär.

3Exklusive pris- och löneomräkning.

Tabell 2.4 Utgiftsram 2026 realekonomiskt fördelad för utgiftsområde 16 Utbildning och universitetsforskning

Miljoner kronor

 

2026

Transfereringar1

40 559

Verksamhetsutgifter2

66 043

Investeringar3

335

Summa utgiftsram

106 937

 

 

Anm.: Den realekonomiska fördelningen baseras på utfall 2024 samt kända förändringar av anslagens användning.

1Med transfereringar avses inkomstöverföringar, dvs. utbetalningar av bidrag från staten till exempelvis hushåll, företag eller kommuner utan att staten får någon direkt motprestation.

2Med verksamhetsutgifter avses resurser som statliga myndigheter använder i verksamheten, t.ex. utgifter för löner, hyror och inköp av varor och tjänster.

3Med investeringar avses utgifter för anskaffning av varaktiga tillgångar såsom byggnader, maskiner, immateriella tillgångar och finansiella tillgångar.

2.3Mål för utgiftsområdet

Målet för utgiftsområdet är att Sverige ska vara en framstående kunskaps- och forskningsnation som präglas av hög kvalitet (prop. 2011/12:1 utg.omr. 16 avsnitt 2.3, bet. 2011/12:UbU1, rskr. 2011/12:98).

2.4Resultatindikatorer och andra bedömnings- grunder övergripande för hela utgiftsområdet

För att följa upp målet för utgiftsområdet används följande indikatorer där jämförelser görs med andra länder:

andel barn i förskola jämfört med OECD-länder

resultat i de internationella undersökningarna PIRLS, TIMSS och PISA

likvärdighet i svensk skola utifrån de internationella undersökningarna

befolkningens uppnådda utbildningsnivå

vuxnas deltagande i utbildning

andel unga som varken arbetar eller studerar

utbildningsinriktning bland kvinnor och män med eftergymnasial utbildning

sysselsättning efter avslutad utbildning.

19

Prop. 2025/26:1 Utgiftsområde 16

En förutsättning för att Sverige ska vara en framstående kunskaps- och forsknings- nation är en väl fungerande och hållbar kompetensförsörjning samt investeringar i forskning och utveckling (FoU).

Utvecklingen av kompetensförsörjningen följs upp med följande indikatorer:

sambandet mellan andelen arbetslösa och andelen lediga jobb

förvärvsgrad och matchad förvärvsgrad efter utbildningsnivå

arbetsgivarens bedömning av kompetensförsörjningen och framtida kompetensförsörjning.

Utvecklingen av FoU följs upp med följande indikatorer:

investeringar i FoU som andel av BNP

forskningens genomslag.

2.5Övergripande resultatredovisning för hela utgiftsområdet

Indikator: Andel barn i förskola

I Sverige är andelen barn i förskola stor redan från tre års ålder, 94 procent av treåringarna och 95 procent av fyraåringarna var inskrivna i förskolan 2022, se diagram 2.1. Andelen är högre än för OECD, där i genomsnitt 77 procent av alla treåringar och 89 procent av alla fyraåringar var inskrivna i förskolan 2022. Det finns däremot ingen större skillnad i andelen femåringar i förskola mellan Sverige och OECD-snittet. Jämfört med 2015 har andelen barn i förskolan ökat något i alla åldrar. Andelen i förskola bland pojkarna respektive flickorna är och har generellt varit jämn under hela mätperioden i samtliga åldersgrupper. Barn med svensk bakgrund är i högre utsträckning inskrivna i förskolan än barn med utländsk bakgrund (se utgiftsområde 13 Integration och jämställdhet avsnitt 3.3.1).

Diagram 2.1 Andel barn i förskola jämfört med OECD-länder

Procent

100

90

80

70

60

50

40

30

20

10

0

Sverige

OECD

 

 

Sverige

 

 

OECD

 

 

 

 

Sverige

OECD

 

3 år

 

 

 

 

 

4 år

 

 

 

 

 

 

5 år

 

 

 

 

2015

 

2016

 

 

2017

 

 

2018

 

2019

 

2020

 

2021

 

2022

 

 

 

 

 

 

 

 

 

 

 

 

 

 

 

 

 

 

 

 

 

Källa: OECD.

Indikator: Resultat i de internationella undersökningarna

Sverige deltar i flera olika internationella kunskapsmätningar som PISA, PIRLS och TIMSS vilka ger en god indikation på hur svenska elevers kunskaper i läsning, mate-

20

Prop. 2025/26:1 Utgiftsområde 16

matik och naturvetenskap står sig internationellt. I december 2024 presenterades resultaten för studien TIMSS 2023. Resultaten visar att svenska elever i årskurs 4 och årskurs 8 har förbättrat sina resultat i matematik jämfört med TIMSS 2019. I natur- vetenskap presterar de på samma nivå som tidigare. Pojkars förbättring i matematik är större än flickors, men det finns ingen resultatskillnad i naturvetenskap. Resultaten bekräftar den positiva trend som påbörjades i TIMSS 2015. I slutet av 2024 presen- terades även resultat från studien ICILS, som undersöker digital kompetens hos elever i årskurs 8. Svenska elever presterade på samma nivå som genomsnittet för de del- tagande EU/OECD-länderna inom områdena dator- och informationskunnighet och datalogiskt tänkande. Under året presenterade OECD även studien PIAAC, som ger information om i vilken utsträckning den vuxna befolkningen har de grundläggande färdigheter som krävs för att klara sig i samhället och arbetslivet. Undersökningen ger stora möjligheter till analyser av skillnader i färdigheter mellan olika grupper av befolkningen och mellan länder. Resultaten från 2023 visar att Sverige fortsatt står sig väl när det gäller den svenska befolkningens färdigheter. Samtidigt kvarstår stora skillnader inom befolkningen, vilket tidigare mätning 2012 också visade. En betydande del av befolkningen har fortfarande bristande färdigheter. Resultaten tyder även på ett samband mellan färdigheter och arbetsmarknadsutfall. Studien kommenteras mer utförligt i avsnitt 4.3.4 och i utgiftsområde 13 Integration och jämställdhet.

Indikator: Likvärdighet i svensk skola utifrån de internationella undersökningarna

En likvärdig skola karaktäriseras av att alla elever, oavsett bakgrund eller vilken skola de går i, ges möjlighet och stöd att nå så långt som möjligt i sin egen kunskaps- utveckling. TIMSS 2023 visar på fortsatta resultatskillnader mellan elever med olika socioekonomisk bakgrund i både årskurs 4 och 8. Elever med en mera gynnsam socioekonomisk bakgrund presterar i genomsnitt bättre i studien. Socioekonomisk bakgrund har fortsatt stor och i vissa fall större betydelse för elevernas resultat än i TIMSS 2019. TIMSS 2023 visar även att inrikes födda elever med minst en inrikes född förälder i genomsnitt har högre resultat än både inrikes födda elever med utrikes födda föräldrar och utrikes födda elever. Dessa skillnader minskar när man tar hänsyn till elevernas grad av hemresurser men de försvinner inte helt. Pojkar presterar i genomsnitt bättre än flickor i matematik medan det inte finns någon resultatskillnad mellan könen i naturvetenskap.

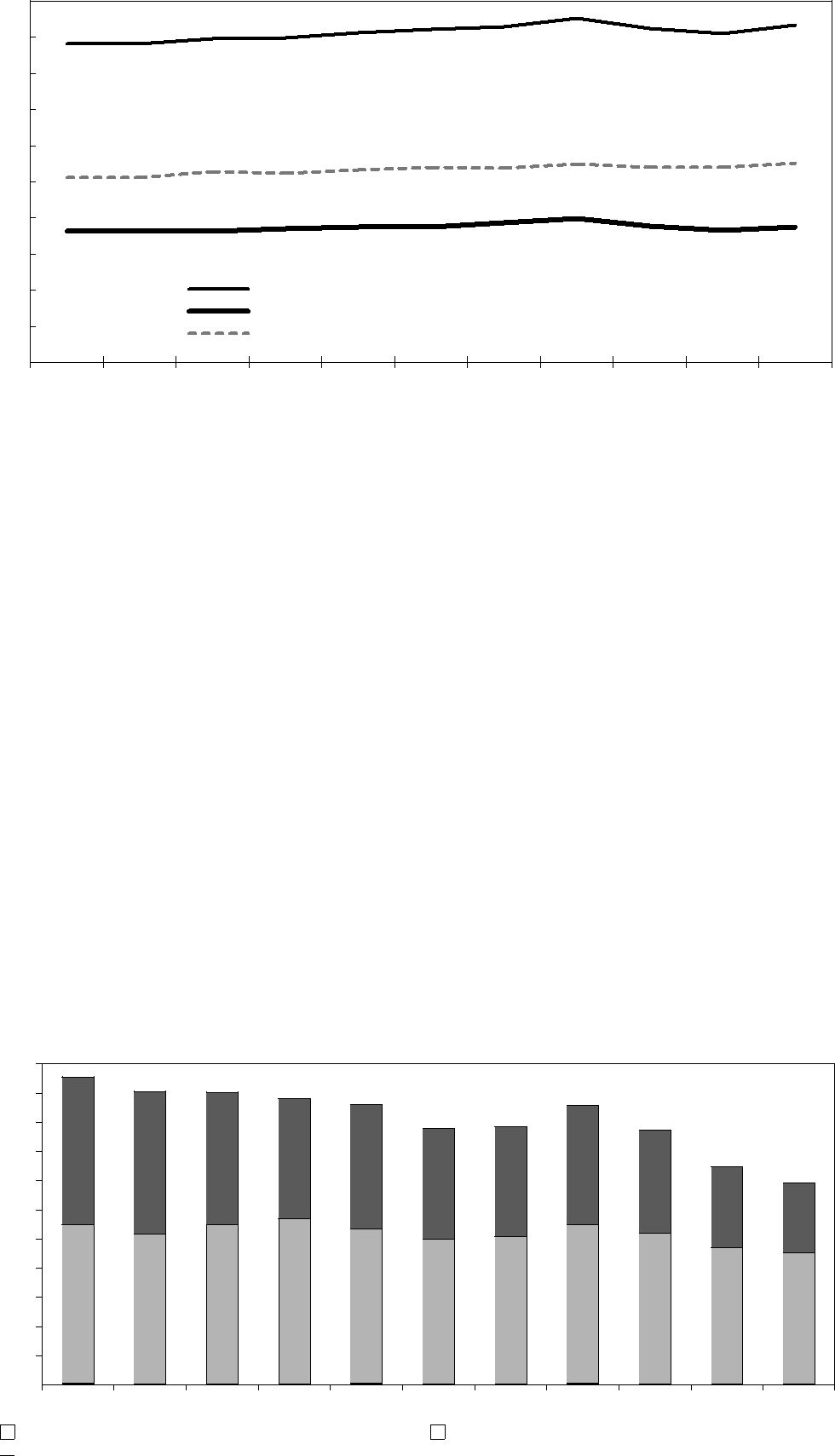
Indikator: Befolkningens uppnådda utbildningsnivå

I såväl Sverige som i OECD-länderna har andelen högutbildade personer i befolkningen ökat över tid, se diagram 2.2. I Sverige hade 57 procent av kvinnorna och 42 procent av männen i åldrarna 25–64 år en eftergymnasial utbildning 2023. Motsvarande andelar i OECD-länderna var 45 procent av kvinnorna och 37 procent av männen. Kvinnor i Sverige har en högre utbildningsnivå än kvinnor i OECD i stort. Detsamma gäller för män, men i betydligt mindre utsträckning.

21

Prop. 2025/26:1 Utgiftsområde 16

Diagram 2.2 Uppnådd utbildningsnivå bland kvinnor och män 25–64 år i Sverige och genomsnittet för OECD

Procent

Kvinnor

Män

100

90

80

70

60

50

40

30

20

10

0

OECD SE

OECD SE

OECD SE

OECD SE

OECD SE

OECD SE

OECD SE

OECD SE

OECD SE

OECD SE

OECD SE

OECD SE

OECD SE

OECD SE

OECD SE

OECD SE

2016

2017

2018

2019

2020

2021

2022

2023

2016

2017

2018

2019

2020

2021

2022

2023

 

 

 

 

 

 

Eftergymnasial

 

 

Gymnasial

 

 

Förgymnasial

 

 

 

 

 

 

 

 

 

 

 

 

 

 

 

 

 

 

 

 

 

 

 

 

 

 

 

 

 

Anm.: Eftergymnasial utbildning avser minst 2 års eftergymnasial utbildning, gymnasial utbildning avser minst 2 års gymnasiala studier eller 1 års eftergymnasial utbildning, förgymnasial utbildning avser grundskoleutbildning eller 1 års gymnasial utbildning.

Källa: OECD.

Utbildningsnivån bland personer i åldrarna 25–34 år är högre än utbildningsnivån i befolkningen i stort, se diagram 2.3. Det gäller i något högre utsträckning bland kvinnor, både i Sverige och i OECD som helhet. Det är något fler unga i Sverige som har eftergymnasial utbildning än i OECD i stort, men skillnaderna är relativt små. I Sverige hade 62 procent av kvinnorna och 47 procent av männen i åldersspannet en eftergymnasial utbildning 2023. Motsvarande andel i OECD var 54 procent respektive 41 procent.

Diagram 2.3 Uppnådd utbildningsnivå bland unga kvinnor och män 25–34 år i Sverige och genomsnittet för OECD

Procent

Kvinnor

Män

100

90

80

70

60

50

40

30

20

10

0

OECD SE

OECD SE

OECD SE

OECD SE

OECD SE

OECD SE

OECD SE

OECD SE

 

OECD SE

OECD SE

OECD SE

OECD SE

OECD SE

OECD SE

OECD SE

OECD SE

2016

2017

2018

2019

2020

2021

2022

2023

2016

2017

2018

2019

2020

2021

2022

2023

 

 

 

 

 

 

Eftergymnasial

 

Gymnasial

 

 

Förgymnasial

 

 

 

 

 

 

 

 

 

 

 

 

 

 

 

 

 

 

 

 

 

 

 

 

 

 

 

Anm.: Eftergymnasial utbildning avser minst 2 års eftergymnasial utbildning, gymnasial utbildning avser minst 2 års gymnasiala studier eller 1 års eftergymnasial utbildning, förgymnasial utbildning avser grundskoleutbildning eller 1 års gymnasial utbildning.

Källa: OECD.

22

Prop. 2025/26:1 Utgiftsområde 16

Indikator: Vuxnas deltagande i utbildning

En framstående utbildningsnation bör erbjuda god tillgång till utbildning för att stärka kompetensförsörjningen, underlätta livslångt lärande och ge möjlighet för individer att bredda sin kompetens för att stärka sin ställning på arbetsmarknaden. I Sverige är det fler som deltar i utbildning jämfört med genomsnittet i OECD, se diagram 2.4. Det gäller för både kvinnor och män. Kvinnor i alla åldersgrupper deltar i utbildning i högre utsträckning än män. Det gäller för både Sverige och OECD, men skillnaderna mellan kvinnor och män vad gäller deltagande i utbildning är större i Sverige än i OECD.

Diagram 2.4 Andel kvinnor och män i Sverige och OECD som deltar i någon form av utbildning

Procent

Sverige

OECD

50

50

40

40

30 30

20 20

10

 

 

 

 

 

 

 

 

 

 

 

 

 

 

 

 

 

 

 

 

10

 

 

 

 

 

 

 

 

 

 

 

 

 

 

 

 

 

 

 

 

0

 

 

 

 

 

 

 

 

 

 

 

 

 

 

 

 

 

 

 

 

0

 

 

 

 

 

 

 

 

 

 

 

 

 

 

 

 

 

 

 

 

2014

2015

2016

2017

2018

2019

2020

2021

2022

2014

2015

2016

2017

2018

2019

2020

2021

2022

 

 

 

 

 

 

Kvinnor 20–29

 

 

 

 

 

Män 20–29

 

 

 

 

 

 

 

 

Kvinnor 20–29

 

 

 

 

 

Män 20–29

 

 

 

 

 

 

 

 

 

 

 

 

 

 

 

 

 

 

 

 

 

 

 

 

 

 

 

 

 

 

 

 

 

 

Kvinnor 30–34

 

 

 

 

 

Män 30–34

 

 

 

 

 

 

 

 

Kvinnor 30–34

 

 

 

 

 

Män 30–34

 

 

 

 

 

 

 

 

 

 

 

 

 

 

 

 

 

 

 

 

 

 

 

 

 

 

 

 

 

 

 

 

 

 

Kvinnor 35–39

 

 

 

 

 

Män 35–39

 

 

 

 

 

 

 

 

Kvinnor 35–39

 

 

 

 

 

Män 35–39

 

 

 

 

 

 

 

 

 

 

 

 

 

 

 

 

 

 

 

 

 

 

 

 

 

 

 

 

 

 

 

 

 

 

Kvinnor 40+

 

 

 

 

 

Män 40+

 

 

 

 

 

 

 

 

Kvinnor 40+

 

 

 

 

 

Män 40+

 

 

 

 

 

 

 

 

 

 

 

 

 

 

 

 

 

 

 

 

 

 

 

 

 

 

 

 

Anm. Avser formell utbildning heltid och deltid på alla nivåer.

Källa: OECD.

Indikator: Andel unga som varken arbetar eller studerar

ISverige är andelen 20–24-åringar som varken arbetar eller studerar lägre än genom- snittet i OECD och så har det varit under hela den undersökta perioden, se diagram 2.5. Det finns ingen stor skillnad mellan könen i Sverige. Inom OECD är skillnaderna mellan könen i genomsnitt något större där kvinnor i högre utsträckning än män varken arbetar eller studerar. För mer statistik om unga som varken arbetar eller studerar, se utgiftsområde 17 Kultur, medier, trossamfund och fritid avsnitt

14 Ungdomspolitik.

23

Prop. 2025/26:1 Utgiftsområde 16

Diagram 2.5 Andel 20–24-åringar som varken arbetar eller studerar

Procent

30

25

20

15

10

5

0 2001 2003 2005 2007 2009 2011 2013 2015 2017 2019 2021 2023

SE Kvinnor

SE Män

OECD Kvinnor

OECD Män

Källa: OECD.

Indikator: Utbildningsinriktning bland examinerade, kvinnor och män med eftergymnasial utbildning

I Sverige såväl som i OECD som helhet finns det stora skillnader mellan mäns och kvinnors val av utbildningsinriktning, se diagram 2.6. Av de examinerade männen i Sverige 2022 med minst en tvåårig eftergymnasial examen var den vanligaste inriktningen teknik och tillverkning (31 procent) följd av handel, juridik och administration (15 procent). Av de examinerade kvinnorna var det i stället vanligast med utbildning inom hälsa och välfärd (27 procent) och inom inriktningen utbildning (17 procent). I OECD i genomsnitt är det vanligare än i Sverige med en inriktning mot handel, juridik och administration.

Diagram 2.6 Andel med olika utbildningsinriktningar bland eftergymnasialt examinerade 2022

Procent

35

30

25

20

15

10

5

0

Utbildning

Konst och humaniora

Samhällsv. och journalistik

 

Handel, juridik och admin.

Naturv. och matematik

ICT-teknik

Teknik och tillverkning

Lant- och skogsbruk samt djursjukvård

Hälsa och välfärd

Tjänster

 

 

Kvinnor, Sverige

 

Kvinnor, OECD

 

 

Män, Sverige

 

 

Män, OECD

 

 

 

 

 

 

 

 

 

 

 

 

 

 

 

 

 

Anm.: Avser personer med minst 2 års eftergymnasial utbildning. En person kan ha flera examina, men räknas bara en gång. Inriktningen avser då den högsta examen.

Källa: OECD.

Indikator: Sysselsättning efter avslutad utbildning

I Sverige är andelen sysselsatta efter avslutad utbildning större än i Europeiska unionen (EU) i snitt. Det gäller både efter avslutad gymnasial utbildning, se diagram

24

Prop. 2025/26:1 Utgiftsområde 16

2.7, och efter avslutad eftergymnasial utbildning, se diagram 2.8. I jämförelse med 2023 har sysselsättningsgraden 2024 minskat för män i Sverige efter avslutad gymnasial utbildning, se diagram 2.7, och för kvinnor i Sverige efter avslutad eftergymnasial utbildning, se diagram 2.8.

Diagram 2.7 Andel kvinnor och män 15–34 år som är sysselsatta 1–3 år efter avslutad gymnasial utbildning

Procent

100

90

80

70

60

50

40

30

20

10

0

2012

2013

2014

2015

2016

2017

2018

2019

2020

2021

2022

2023

2024

 

Kvinnor - Sverige

 

Män - Sverige

 

Kvinnor - EU

 

Män - EU

Anm.: Med gymnasial utbildning avses minst 2 års gymnasiala studier eller 1 års eftergymnasial utbildning. Från och med 2020 ingår enbart 27 länder i EU-genomsnittet.

Källa: Eurostat.

Diagram 2.8 Andel kvinnor och män 15–34 år som är sysselsatta 1–3 år efter avslutad eftergymnasial utbildning

Procent

100

90

80

70

60

50

40

30

20

10

0

2012

2013

2014

2015

2016

2017

2018

2019

2020

2021

2022

2023

2024

 

Kvinnor - Sverige

 

Män - Sverige

 

Kvinnor - EU

 

Män - EU

Anm.: Med eftergymnasial utbildning avses minst 2 års eftergymnasial utbildning. Från och med 2020 ingår enbart

27länder i EU-genomsnittet. Källa: Eurostat.

Indikator: Sambandet mellan andelen arbetslösa och andelen lediga jobb

Den s.k. Beveridgekurvan visar relationen mellan lediga jobb som andel av arbets- kraften (vakansgraden) och arbetslöshet. Den ger en indikation på utvecklingen av matchningen på arbetsmarknaden, se diagram 2.9 för utvecklingen mellan

2006 och 2024. Statistiken avser det första kvartalet respektive år. En kombination av hög vakansgrad och hög arbetslöshet tyder på att de arbetslösa inte helt matchar de krav som ställs på arbetsmarknaden. Detta kan ha flera förklaringar, men en förklaring

25

Prop. 2025/26:1 Utgiftsområde 16

kan vara att de arbetslösa inte har den utbildning som krävs. Under 2024 ökade arbetslösheten något samtidigt som andelen lediga jobb som procent av arbetskraften minskade.

Diagram 2.9 Sambandet mellan andelen arbetslösa och andelen lediga jobb mellan 2006 och 2024 (kvartal ett)

Andel lediga jobb av arbetskraften

3,5

 

 

 

 

 

 

 

 

 

 

 

 

3,0

 

 

 

 

 

 

2023

 

 

2022

 

 

 

 

 

 

 

 

 

 

 

 

2,5

 

 

 

 

 

 

 

 

 

 

 

 

 

 

 

 

 

 

2018

2019

2020

2024

 

2,0

 

 

 

 

 

 

2017

 

 

 

 

 

 

 

 

 

 

 

 

 

 

 

 

 

 

 

2016

 

2021

1,5

 

 

 

 

 

 

2012

 

2015

 

 

 

 

 

 

 

 

 

 

2014

 

 

 

 

 

 

 

2007

 

 

 

2013

 

 

 

 

 

 

 

 

 

 

2011

 

1,0

 

 

 

 

2008

 

 

2006

 

 

 

 

 

 

 

 

 

 

 

 

 

 

 

 

 

 

 

 

 

 

2010

0,5

 

 

 

 

 

 

 

 

2009

 

 

 

 

 

 

 

 

 

 

 

 

 

 

0,0

 

 

 

 

 

 

 

 

 

 

 

 

0,0

1,0

2,0

3,0

4,0

5,0

6,0

7,0

 

8,0

9,0

10,0

Andel arbetslösa av arbetskraften

Källa: Konjunkturinstitutet.

Indikator: Förvärvsgrad och matchad förvärvsgrad efter utbildningsnivå

Den matchade förvärvsgraden belyser hur pass väl arbetskraftens utbildningar stämmer överens med arbetsmarknadens utbildningskrav eller efterfrågan. En hög matchad förvärvsgrad innebär att en stor andel av alla med en viss utbildning också jobbar inom ett yrke eller en profession som matchar utbildningen. Av diagram 2.10 framgår att både kvinnor och män med minst tre års eftergymnasial utbildning i högre utsträckning jobbar inom ett yrke eller en profession som matchar deras utbildning än kvinnor och män med en kortare utbildning. Detta förhållande har varit stabilt de senaste åren. Kvinnor med eftergymnasial utbildning har en högre matchad förvärvs- grad än män med en sådan utbildning, men kvinnor med en gymnasial utbildning har en lägre matchad förvärvsgrad än män med en sådan utbildning. Att den matchade förvärvsgraden är högre bland kvinnor än män med eftergymnasial utbildning kan bero på att det är fler kvinnor än män som arbetar i legitimationsyrken. Inrikes födda har generellt en högre matchad förvärvsgrad än utrikes födda, 57,5 procent respektive 38,5 procent 2023. Skillnaderna är större mellan inrikes födda och utrikes födda som har en eftergymnasial utbildning än bland dem som har en gymnasial utbildning.

26

Prop. 2025/26:1 Utgiftsområde 16

Diagram 2.10 Andelen utbildade som förvärvsarbetar och andel som förvärvsarbetar inom yrke/profession som matchar utbildningen efter utbildningsnivå

Procent

100

90

 

Förvärvsgrad

Matchad förvärvsgrad

 

 

80

70

60

50

40

30

20

10

0

m k m k m k m k m k m k m k m k

2020 2021 2022 2023

2020 2021 2022 2023

m k m k m k m k m k m k m k m k 2020 2021 2022 2023 2020 2021 2022 2023

Förgymnasial utb.

Gymnasial utb.

Eftergymn. utb. < 3 år Eftergymn. utb. > 3 år

Anm. Tidsseriebrott, fr.o.m. 2022 används en ny källa, BAS, för anställda.

Källa: Statistiska centralbyrån.

Indikator: Arbetsgivarens bedömning av kompetensförsörjningen och framtida kompetensförsörjning

Målet för utgiftsområdet förutsätter en välfungerande och hållbar kompetens- försörjning. Detta innebär bl.a. att den arbetsföra befolkningens utbildning och kompetens svarar mot arbetsgivarnas behov på arbetsmarknaden. Den tidigare redovisade Beveridgekurvan indikerar att kompetensen bland de arbetslösa inte helt matchar de lediga jobben. Denna indikator ger en bild av vilka kompetenser det råder brist på.

År 2025 publicerade Statistiska centralbyrån (SCB) resultat från den nya undersökningen Lediga jobb och rekryteringsbehov som gör det möjligt att mer detaljerat beskriva kompetensbrister på den svenska arbetsmarknaden. Statistiken visar att det fanns en betydande brist på arbetskraft i Sverige, med totalt 70 000 lediga tjänster inom olika yrkesområden. Denna brist har påverkat arbetsgivare över hela landet. Hälften av arbetsgivarna uppgav att de hade haft svårigheter att rekrytera personal under de senaste sex månaderna.

Arbetsgivarna hade brist på arbetskraft inom flera av de yrken som utbildas på gymnasieskolans yrkesprogram. Det gällde bl.a. undersköterskor, yrken inom byggnad och anläggning, fordonsmekaniker och reparatörer, samt kockar och kallskänkor.

Bristen på arbetskraft var särskilt påtaglig inom vissa sektorer. Ingenjörer och tekniker var en efterfrågad yrkesgrupp, med 2 900 lediga tjänster. Inom it-sektorn saknades det

4700 it-arkitekter, systemutvecklare och testledare. Inom vårdsektorn var undersköterskor en av de mest efterfrågade yrkesgrupperna, med 3 500 lediga tjänster. Även utbildningssektorn upplevde en betydande brist på personal, med 3 000 lediga tjänster för grundlärare, fritidspedagoger och förskollärare.

Svenskt Näringsliv har också lyft fram hur konkurrensen om kompetenser när det gäller STEM (Science, Technology, Engineering, Mathematics) på arbetsmarknaden ökar i takt med att allt fler jobb kräver tekniska och naturvetenskapliga bas- och specialistkunskaper. Enligt Teknikföretagen uppger 75 procent av företagen att de har svårt att hitta medarbetare med högskoleutbildning, och särskilt stora är behoven kopplade till teknikskiften.

27

Prop. 2025/26:1 Utgiftsområde 16

Tre av fyra arbetsgivare som upplevt rekryteringsproblem hade vidtagit åtgärder för att öka möjligheterna att rekrytera. De vanligaste åtgärderna var att förlänga rekryteringstiden och sänka eller ändra kraven på erfarenhet. För att hantera konsekvenserna av att man inte kunnat rekrytera tillräckligt med personal valde

50 procent av arbetsgivarna att låta befintlig personal arbeta mer, eller att göra omorganiseringar. Sammantaget visar SCB:s statistik att det finns ett stort behov av arbetskraft inom flera viktiga sektorer i Sverige.

Indikator: Investeringar i FoU som andel av BNP

Finansiering av FoU som andel av BNP avspeglar graden av att vara ett forsknings- och innovationsland och en kunskapsnation. Sverige har länge haft en hög FoU- intensitet. Sveriges FoU-investeringar uppgick 2024 till 3,6 procent av BNP, vilket gör Sverige till ett av världens främsta länder när det gäller investeringar i FoU, se vidare diagram 6.1 i avsnitt 6.3.1.

Indikator: Forskningens genomslag

Andel högciterade vetenskapliga artiklar visar på vetenskapligt genomslag internationellt för svensk forskning. Världsgenomsnittet ligger på 10 procent och Sverige låg 2023 på 11 procent. Denna nivå har varit relativt konstant det senaste decenniet, se vidare under avsnitt 6.3.2.

EU-samarbete och internationell verksamhet

Inom utgiftsområdet bedrivs EU-samarbete och en omfattande internationell verksamhet. Genom dialog och erfarenhetsutbyte skapas bättre förutsättningar för att möta gemensamma utmaningar. Det internationella samarbetet inom utgiftsområdet sker framför allt inom Bolognaprocessen, OECD, Nordiska ministerrådet, Unesco och Europarådet.

EU-samarbetet inom utbildningsområdet utgår ifrån ett samarbetsramverk som antogs 2021, Ett strategiskt ramverk för europeiskt samarbete inom utbildning för ett europeiskt utbildningsområde 2021–2030. Programmet Erasmus+ bidrar till att uppfylla målen i ramverket. Förutsättningarna för forskning och innovation har sin grund i Lissabonfördraget artikel 179, samt ramprogrammet för forskning och innovation, Horisont Europa. Utvärderingar av Horisont Europa visar att programmet är en betydande drivkraft för ekonomiska och samhälleliga fördelar. Programmet är av stor betydelse för svenska universitet och högskolor, näringsliv, institut, offentliga verksamheter och andra aktörer och det bidrar till att stärka Sveriges konkurrenskraft, främjar excellens och internationalisering samt bidrar till att lösa stora samhällsutmaningar.

Inom ramen för Nordiska ministerrådet för utbildning och forskning (MR-U) styrs arbetet på en övergripande nivå av ländernas gemensamma vision Vår vision 2030, som slår fast att Norden ska vara världens mest hållbara och integrerade region 2030. Ett nytt samarbetsprogram för hur sektorn ska arbeta under perioden 2025–2030 godkändes under 2024. I början av 2025 godkändes en arbetsplan för perioden 2025– 2027. Ett svenskt ordförandeskap med STEM som övergripande tema genomfördes också under 2024.

Genom svenskt deltagande i OECD:s internationella storskaliga studier, såsom PISA och PIAAC, kan regeringen följa kunskapsutvecklingen över tid bland svenska 15- åringar och den vuxna befolkningen. Analyser av datamaterialet från internationella storskaliga studier och OECD:s insamling av utbildningsstatistik från medlems- länderna bidrar till en större förståelse av vilken politik som leder till ett framgångsrikt

28

Prop. 2025/26:1 Utgiftsområde 16

utbildningssystem. Vägledande för OECD:s verksamhet inom utbildningsområdet är bl.a. den ministerdeklaration som antogs 2022 med likvärdighet, hållbar utveckling och livslångt lärande som några av fokusområdena.

Sveriges engagemang i Unesco tar sin utgångspunkt i Strategi för Sveriges samarbete med Unesco 2022–2025 (U2022/01450). För strategiperioden gäller två fokusområden – allas rätt till utbildning och allas rätt till yttrandefrihet. Under 2024 påbörjade Unesco arbetet med att ta fram ett förslag till arbetsprogram (2026–2029) och budget (2026–2027) för slutligt antagande vid Unescos generalkonferens hösten 2025.

Inom ramen för Europarådets verksamhet bidrar Sverige till att säkerställa rätten till utbildning av god kvalitet för alla.

2.6Resultatindikatorer och andra bedömningsgrunder för lärar- och förskollärarsituationen i skolväsendet

Utbildningsutskottet har framhållit att det är angeläget att få en samlad redovisning av skolans personalsituation (bet. 2014/15:UbU1). Följande indikatorer används för att mäta lärar- och förskollärarsituationen.

Indikatorer för personalens utbildning och behörighet

andel av personalen/lärarna som har pedagogisk högskoleexamen inom skolväsendet

andel lärare och förskollärare med legitimation och behörighet i skolväsendet.

Indikatorer för lärar- och förskollärarutbildning

söktryck till yrkesexamensprogrammen

antal nybörjarstudenter på yrkesexamensprogrammen

antal examinerade från yrkesexamensprogrammen.

Indikatorer för lärar- och förskollärarförsörjning

framtida examinationsbehov samt beräknad examination av lärare och förskollärare

rekryteringserfarenheter bland arbetsgivare inom pedagogik.

2.7Resultatredovisning för lärar- och förskollärarsituationen i skolväsendet

Personalens utbildning och behörighet

I avsnittet Personalens utbildning och behörighet redovisas personalens utbildning och behörighet i de olika skolformerna som ingår i skolväsendet inklusive fritids- hemmet samt behörigheten för ett urval av ämnen i grundskolan och gymnasieskolan. När det gäller komvux så redovisas komvux som anpassad utbildning, komvux i svenska för invandrare (sfi) och övriga komvuxutbildningar var för sig.

Indikator: Andel av personalen/lärarna som har pedagogisk högskoleexamen inom skolväsendet

Tabell 2.5 visar andelen anställda som har en pedagogisk högskoleexamen. Andelen varierar i skolväsendet. Den största andelen lärare med en pedagogisk examen

29

Prop. 2025/26:1 Utgiftsområde 16

återfinns inom komvux som anpassad utbildning och sfi, anpassad grundskola, specialskola och grundskola. Minst andel anställda med en pedagogisk examen finns inom förskola och fritidshem. Andelen med en pedagogisk examen har ökat något i de flesta verksamhetsformer 2024 jämfört med 2023. Andelen lärare med en pedagogisk högskoleexamen är i allmänhet större bland kvinnor än bland män. Bland lärarna i grundskolan läsåret 2024/25 hade 89 procent av kvinnorna och 77 procent av männen en pedagogisk högskoleexamen.

Det finns stora skillnader mellan kommuner och regioner i andelen lärare med en pedagogisk examen. I grundskolan varierar andelen mellan kommunerna från 60 till 98 procent. I förskolan varierar andelen med en förskollärarexamen mellan kommunerna från 18 procent till 74 procent.

Tabell 2.5 Andelen anställda (omräknat till heltidstjänster) med en pedagogisk högskoleexamen

Procent

2013

 

2014

2015

2016

2017

2018

2019

2020

 

2021

2022

2023

2024

 

 

 

 

 

 

 

 

 

 

 

 

 

 

Förskola

53

45

44

42

42

 

42

42

43

42

42

43

42

 

 

 

 

 

 

 

 

 

 

 

 

 

 

Förskoleklass

83

83

82

79

77

 

76

75

77

77

77

77

79

 

 

 

 

 

 

 

 

 

 

 

 

 

 

Grundskola

86

86

85

82

81

 

81

81

82

82

83

84

86

 

 

 

 

 

 

 

 

 

 

 

 

 

 

Anpassad grundskola

88

88

88

85

84

 

83

83

83

84

84

85

85

 

 

 

 

 

 

 

 

 

 

 

 

 

 

Specialskola

81

82

83

83

76

 

78

81

82

86

84

84

88

 

 

 

 

 

 

 

 

 

 

 

 

 

 

Sameskola

58

51

64

62

73

 

73

68

76

72

79

80

75

 

 

 

 

 

 

 

 

 

 

 

 

 

 

Fritidshem

53

51

47

42

39

 

37

37

37

36

35

35

37

 

 

 

 

 

 

 

 

 

 

 

 

 

 

Gymnasieskola

79

79

80

79

78

 

79

80

80

81

82

83

83

 

 

 

 

 

 

 

 

 

 

 

 

 

 

Anpassad gymnasieskola

84

84

84

84

83

 

81

81

81

80

81

82

82

 

 

 

 

 

 

 

 

 

 

 

 

 

 

Komvux1

85

84

84

85

83

 

81

83

81

80

80

81

82

Sfi

75

76

73

71

71

 

72

76

80

81

83

84

87

 

 

 

 

 

 

 

 

 

 

 

 

 

 

Komvux som anpassad

 

 

 

 

 

 

 

 

 

 

 

 

 

utbildning2

90

90

90

88

89

 

89

90

90

89

89

89

92

Anm.: Från och med 2014 samlas uppgifter om personal i förskolan in på individnivå från Statistiska centralbyråns utbildningsregister. Tidigare ansvarade kommunerna för att lämna uppgifter och uppgifterna lämnades på gruppnivå.

1Avser komvux på grundläggande och gymnasial nivå.

2Avser komvux som anpassad utbildning på grundläggande och gymnasial nivå. Källa: Statens skolverk.

Indikator: Andel lärare och förskollärare med legitimation och behörighet i skolväsendet

I tabell 2.6 visas andelen lärare och förskollärare med legitimation och behörighet för de skolformer, stadier och ämnen som de undervisar i. När det gäller förskolan visas den andel av personalen som arbetar med barn och som är förskollärare med legi- timation och behörighet. Tabellen visar att det finns stora skillnader inom skol- väsendet. Andelen lärare och förskollärare med legitimation och behörighet är störst i förskoleklassen, där 86 procent av alla lärare och förskollärare hade legitimation och behörighet för undervisning hösten 2024. Andelen lärare med legitimation och behörighet är minst i anpassade grundskolan, där endast 14 procent av alla lärare hade legitimation och behörighet. Det krävs som huvudregel dels en behörighetsgivande lärar- eller förskollärarexamen, dels en speciallärarexamen för att vara behörig att bedriva undervisning i anpassade grundskolan. Andelen lärare med legitimation och behörighet har ökat i de flesta verksamhetsformer 2024 jämfört med 2023.

30

Prop. 2025/26:1 Utgiftsområde 16

Tabell 2.6 Andelen lärare och förskollärare (omräknat till heltidstjänster) med legitimation och behörighet

Procent

 

2016

2017

2018

2019

2020

2021

2022

2023

2024

Förskola

41

40

40

40

41

41

41

41

41

 

 

 

 

 

 

 

 

 

 

Förskoleklass

 

84

85

84

86

86

86

87

86

 

 

 

 

 

 

 

 

 

 

Grundskola

71

71

71

70

71

71

71

72

73

Anpassad grundskola

21

20

18

17

16

14

12

12

14

 

 

 

 

 

 

 

 

 

 

Specialskola

36

30

33

34

37

39

43

44

43

 

 

 

 

 

 

 

 

 

 

Gymnasieskola

80

81

81

82

82

84

83

84

85

Anpassad gymnasieskola

20

21

19

18

19

19

17

16

16

 

 

 

 

 

 

 

 

 

 

Komvux grundläggande nivå1

78

76

74

76

78

78

79

80

81

Komvux gymnasial nivå1

80

77

75

75

75

75

75

74

75

Sfi

37

37

41

45

51

53

55

57

60

 

 

 

 

 

 

 

 

 

 

Komvux som anpassad utbildning2

32

38

39

37

37

35

34

33

36

Anm.: Könsuppdelad statistik publiceras inte. Lärare som är anställda på skolenheter utan krav på legitimation är exkluderade.

1Uppgifterna för komvux på grundläggande och gymnasial nivå är exklusive lärare hos extern utbildningsanordnare.

2Omfattar komvux som anpassad utbildning på grundläggande och gymnasial nivå.

Källa: Statens skolverk.

I tabell 2.7 sammanfattas andelen legitimerade och behöriga lärare för ett urval av ämnen. Det finns skillnader i andelen legitimerade och behöriga lärare mellan olika ämnen. Bland ämnena i urvalet är andelen lärare med legitimation och behörighet generellt störst i svenska, medan den är minst i svenska som andraspråk. En jämförelse mellan 2023 och 2024 visar för de flesta ämnen på en högre andel legitimerade och behöriga lärare 2024. Även inom komvux på gymnasial nivå är andelen legitimerade och behöriga lärare mindre i svenska som andraspråk. Inom komvux på grundläggande nivå är andelen behöriga och legitimerade lärare överlag högre än på den gymnasiala nivån.

Tabell 2.7 Andel legitimerade och behöriga lärare (omräknat till heltidstjänster) i ett urval av ämnen

Procent

 

2019

2020

2021

2022

2023

2024

Grundskolan, årskurs 1–3

 

 

 

 

 

 

 

 

 

 

 

 

 

Svenska

87

89

89

90

90

92

 

 

 

 

 

 

 

Svenska som andraspråk

68

66

63

63

61

61

 

 

 

 

 

 

 

Engelska

51

52

53

56

57

59

Matematik

85

87

87

88

89

90

 

 

 

 

 

 

 

Fysik

68

69

70

71

72

74

 

 

 

 

 

 

 

Historia

62

64

65

65

66

68

 

 

 

 

 

 

 

Grundskolan, årskurs 4–6

 

 

 

 

 

 

 

 

 

 

 

 

 

Svenska

77

79

79

79

80

81

 

 

 

 

 

 

 

Svenska som andraspråk

37

37

35

34

33

34

 

 

 

 

 

 

 

Engelska

64

66

66

66

66

68

 

 

 

 

 

 

 

Matematik

76

78

78

79

80

82

 

 

 

 

 

 

 

Fysik

66

66

66

67

66

67

 

 

 

 

 

 

 

Historia

66

66

65

65

65

65

 

 

 

 

 

 

 

Grundskolan, årskurs 7–9

 

 

 

 

 

 

 

 

 

 

 

 

 

Svenska

75

77

77

76

76

78

 

 

 

 

 

 

 

Svenska som andraspråk

49

51

52

52

55

59

 

 

 

 

 

 

 

31

Prop. 2025/26:1 Utgiftsområde 16

 

2019

2020

2021

2022

2023

2024

Engelska

72

74

76

76

78

79

 

 

 

 

 

 

 

Matematik

72

72

72

70

72

73

 

 

 

 

 

 

 

Fysik

60

58

55

53

52

52

Historia

80

80

79

79

80

80

 

 

 

 

 

 

 

Gymnasieskolan

 

 

 

 

 

 

 

 

 

 

 

 

 

Svenska

90

90

91

91

92

93

 

 

 

 

 

 

 

Svenska som andraspråk

42

46

47

49

51

56

 

 

 

 

 

 

 

Engelska

86

88

90

90

90

91

 

 

 

 

 

 

 

Matematik

79

81

82

82

83

85

Fysik

83

84

85

86

88

89

 

 

 

 

 

 

 

Historia

91

91

92

92

92

93

 

 

 

 

 

 

 

Anm.: Könsuppdelad statistik publiceras inte.

 

 

 

 

 

 

Källa: Statens skolverk.

 

 

 

 

 

 

Personaltäthet i skolväsendet

Tabell 2.8 visar personaltätheten inom skolväsendet. De verksamheter som har det högsta antalet anställda per barn eller elev är förskola, anpassad grundskola, special- skola och anpassad gymnasieskola. Mellan 2023 och 2024 bibehölls personaltätheten i förskolan och grundskolan medan t.ex. förskoleklassen, fritidshemmet och gymnasieskolan hade en viss minskad personaltäthet.

Tabell 2.8 Personaltäthet/lärartäthet i skolväsendet

Antalet barn/elever per helårsarbetande

 

2013

2014

2015

2016

2017

2018

2019

2020

2021

2022

2023

2024

Förskola

5,3

5,3

5,2

5,1

5,1

5,1

5,2

5,1

5,1

5,1

5,1

5,1

 

 

 

 

 

 

 

 

 

 

 

 

 

Förskoleklass

16,4

16,5

16,4

16,6

14,7

14,6

14,3

14,5

14,4

14,2

14,0

14,2

 

 

 

 

 

 

 

 

 

 

 

 

 

Grundskola

12,1

12,1

12,2

12,0

12,1

12,1

12,2

12,2

12,2

12,0

12,0

12,0

 

 

 

 

 

 

 

 

 

 

 

 

 

Anpassad grundskola

3,7

3,9

3,9

3,8

3,9

3,9

4,1

4,2

4,3

4,2

4,2

4.3

 

 

 

 

 

 

 

 

 

 

 

 

 

Specialskola

3,2

3,2

3,3

3,4

3,0

3,3

3,2

3,1

3,2

3,2

2,9

3,3

Sameskola

6,5

5,6

6,2

5,8

5,3

5,3

5,7

6,0

6,1

6,2

6,2

6,0

 

 

 

 

 

 

 

 

 

 

 

 

 

Fritidshem

21,3

21,8

21,9

21,7

20,9

20,5

20,7

20,4

20,6

20,6

21,3

21,6

 

 

 

 

 

 

 

 

 

 

 

 

 

Gymnasieskola

12,1

11,9

11,9

11,9

11,7

11,9

12,1

12,2

12,3

12,2

12,3

12,5

Anpassad gymnasieskola

4,1

3,9

3,7

3,6

3,7

3,7

3,8

4,0

3,9

3,9

3,9

3,9

 

 

 

 

 

 

 

 

 

 

 

 

 

Komvux1

17,5

17,5

16,5

15,5

14,0

13,5

14,7

13,6

11,1

9,9

9,4

..

Sfi

24,8

26,1

24,1

22,2

22,5

22,2

24,6

23,9

22,6

22,4

23,1

..

Komvux som anpassad utbildning2

17,6

16,2

15,5

15,0

13,5

14,3

13,7

13,7

14,6

14

14,3

..

1Avser komvux på grundläggande och gymnasial nivå.

2Avser komvux som anpassad utbildning på grundläggande och gymnasial nivå.

Anm.: För förskolan, förskoleklassen och fritidshemmen redovisas personaltäthet. För övriga skolformer redovisas lärartäthet. Från och med 2024/25 publiceras inte uppgifter om lärartäthet för komvux, sfi och komvux som anpassad utbildning.

Källa: Statens skolverk.

Annan pedagogisk personal

I SCB:s lärarregister finns sedan 2013 uppgifter om annan pedagogisk personal. Annan pedagogisk personal har definierats som personal som har pedagogiska arbetsuppgifter, men som inte bedriver egen undervisning, exempelvis lärarassistenter och studiehandledare på modersmål. I detta avsnitt redovisas utvecklingen när det gäller annan pedagogisk personal i grundskolan och gymnasieskolan.

32

Prop. 2025/26:1 Utgiftsområde 16

Både i grundskolan och gymnasieskolan har antalet annan pedagogisk personal mer än tredubblats sedan 2013. Läsåret 2024/25 minskade antalet annan pedagogisk personal i grundskolan med drygt 560 heltidstjänster eller 3 procent. Samtidigt minskade antalet elever i grundskolan med 0,5 procent. Den totala personaltätheten i grundskolan läsåret 2024/25 var densamma som föregående läsår, om både lärare och annan pedagogisk personal räknas med, se diagram 2.11.

I gymnasieskolan var antalet annan pedagogisk personal 2024/25 marginellt mindre jämfört med föregående läsår.

Statistiken över annan pedagogisk personal finns sedan 2017/18 uppdelad på lärar- assistenter, studiehandledare på modersmål och övriga. Det är lärarassistenterna som har blivit fler sett ur det längre perspektivet, 2024 minskade däremot antalet något i grundskolan. I både grundskolan och gymnasieskolan har antalet lärarassistenter mer än fördubblats sedan läsåret 2017/18, även om det skett en viss minskning i grundskolan de senaste läsåren. Samtidigt har antalet studiehandledare på modersmål minskat i takt med ett minskat antal nyanlända.

Diagram 2.11 Personaltäthet och lärartäthet i grundskolan och gymnasieskolan

Antal elever per lärare respektive pedagogisk personal (heltidstjänster)

 

 

 

 

 

 

 

 

 

 

Grundskolan

 

 

 

 

 

 

 

 

 

 

 

 

 

 

 

 

 

Gymnasieskolan

 

 

 

 

 

 

 

14

 

 

 

 

 

 

 

 

 

 

 

 

 

 

 

 

 

 

 

 

 

 

 

 

14

 

 

 

 

 

 

 

 

 

 

 

 

 

 

 

 

 

 

 

 

 

 

 

 

 

12

 

 

 

 

 

 

 

 

 

 

 

 

 

 

 

 

 

 

 

 

 

 

 

 

12

 

 

 

 

 

 

 

 

 

 

 

 

 

 

 

 

 

 

 

 

 

 

 

 

 

10

 

 

 

 

 

 

 

 

 

 

 

 

 

 

 

 

 

 

 

 

 

 

 

 

10

 

 

 

 

 

 

 

 

 

 

 

 

 

 

 

 

 

 

 

 

 

 

 

 

 

8

 

 

 

 

 

 

 

 

 

 

 

 

 

 

 

 

 

 

 

 

 

 

 

 

8

 

 

 

 

 

 

 

 

 

 

 

 

 

 

 

 

 

 

 

 

 

 

 

 

 

6

 

 

 

 

 

 

 

 

 

 

 

 

 

 

 

 

 

 

 

 

 

 

 

 

6

 

 

 

 

 

 

 

 

 

 

 

 

 

 

 

 

 

 

 

 

 

 

 

 

 

4

 

 

 

 

 

 

 

 

 

 

 

 

 

 

 

 

 

 

 

 

 

 

 

 

4

 

 

 

 

 

 

 

 

 

 

 

 

 

 

 

 

 

 

 

 

 

 

 

 

 

2

 

 

 

 

 

 

 

 

 

 

 

 

 

 

 

 

 

 

 

 

 

 

 

 

2

 

 

 

 

 

 

 

 

 

 

 

 

 

 

 

 

 

 

 

 

 

 

 

 

 

0

 

 

 

 

 

 

 

 

 

 

 

 

 

 

 

 

 

 

 

 

 

 

 

 

0

 

 

 

 

 

 

 

 

 

 

 

 

 

 

 

 

 

 

 

 

 

 

 

 

 

13/14

14/15

15/16

 

16/17

17/18

18/19

19/20

20/21

21/22

22/23

23/24

24/25

13/14

14/15

15/16

 

16/17

17/18

18/19

19/20

20/21

 

21/22

22/23

23/24

24/25

 

 

 

 

 

 

 

 

Elever per lärare

 

 

 

 

 

 

 

 

 

 

 

 

 

 

 

 

Elever per lärare

 

 

 

 

 

 

 

 

 

 

 

 

 

 

 

 

 

 

 

 

 

 

 

 

 

 

 

 

 

 

 

 

 

 

 

 

 

 

 

 

 

 

 

 

 

 

Elever per pedagogisk personal

 

 

 

 

 

 

 

 

Elever per pedagogisk personal

Anm.: Med pedagogisk personal avses lärare och annan pedagogisk personal.

Källa: Statens skolverk.

Könsfördelning hos den pedagogiska personalen i skolväsendet

Diagram 2.12 visar könsfördelningen hos den pedagogiska personalen i skolväsendet 2014 och 2024. Den enda skolformen med jämn könsfördelning är gymnasieskolan där 52 procent av lärarna var kvinnor och 48 procent var män 2024. I övriga skolformer är det fler kvinnor än män. Mest ojämn var könsfördelningen bland anställda i förskolan med 96 procent kvinnor och 4 procent män. I fritidshemmet har könsfördelningen de senaste tio åren blivit mer jämn. Andelen män har ökat från

26 procent 2014 till 32 procent 2024. I förskoleklassen har andelen män ökat från 6 procent till 8 procent och i grundskolan har andelen män ökat från 23 till

25 procent. I några skolformer har könsfördelningen de senaste tio åren blivit mindre jämn. Det gäller t.ex. i komvux där andelen kvinnor bland lärarna de senaste tio åren ökat från 69 procent till 72 procent.

33

Prop. 2025/26:1 Utgiftsområde 16

Diagram 2.12 Könsfördelning hos den pedagogiska personalen i skolväsendet

Procentuell fördelning av heltidstjänsterna

100

90

80

70

60

50

40

30

20

10

0

2014

2024

2014

2024

2014

2024

2014

2024

 

2014

2024

 

2014

2024

2014

2024

2014

2024

2014

2024

För-

Fritids-

Förskole-

Grund-

Anpassad

Gymnasie-

Anpassad

Komvux

Sfi

skola

hem

klass

skola

grund-

skola

gymnasie-

 

 

 

 

 

 

 

 

 

 

 

 

 

 

skola

 

 

skola

 

 

 

 

 

 

 

 

 

 

 

 

 

 

Kvinnor

 

Män

 

 

 

 

 

 

 

 

 

 

 

 

 

 

 

 

 

 

 

 

 

 

 

 

 

 

 

 

 

 

 

 

 

 

 

 

 

 

 

 

 

 

 

Anm.: Med pedagogisk personal avses lärare, anställda som arbetar med barn i förskolan och anställda som arbetar med elever i fritidshemmen och förskoleklassen.

Källa: Statens skolverk.

Lärar- och förskollärarutbildning

Indikator: Söktryck till yrkesexamensprogrammen

Antalet behöriga förstahandssökande har ökat kraftigt sedan lärar- och förskollärar- utbildningarna gjordes om 2011. Antalet behöriga förstahandssökande höstterminen 2024 uppgick till närmare 17 800 personer, en ökning med 59 procent sedan 2011 och en ökning med 500 jämfört med höstterminen 2023 då antalet uppgick till drygt 17 300. Sett över hela perioden var andelen behöriga förstahandssökande som flest höstterminen 2021 då antalet uppgick till ca 20 600. Andelen män bland de förstahandssökande har sedan 2014 legat konstant runt

25 procent, men de senaste två höstterminerna har andelen män minskat något och uppgick höstterminen 2024 till 23 procent. Höstterminen 2024 antogs knappt 14 300 personer, vilket är drygt 5 000 fler än 2011, och en ökning sedan föregående hösttermin med drygt 1 300 antagna. Av de antagna hösten 2024 var 25 procent män och 75 procent kvinnor. Männen utgjorde föregående hösttermin en något högre andel, 26 procent.

I diagram 2.13 redovisas utvecklingen av antalet behöriga förstahandssökande, antalet antagna och söktrycket till de fyra lärarprogrammen som leder till förskollärarexamen, grundlärarexamen, ämneslärarexamen och yrkeslärarexamen. Grundlärarutbildningen har haft en särskilt positiv utveckling med allt fler behöriga förstahandssökande sedan 2011, även om antalet är lägre höstterminen 2024 jämfört med rekordnivån höstterminen 2021. Höstterminen 2024 gick det 1,2 behöriga förstahandssökande per antagen samtidigt som antalet antagna ökade jämfört med föregående hösttermin med drygt 300. Även ämneslärarutbildningen har haft en långsiktig positiv utveckling, men även här är antalet förstahandssökande lägre höstterminen 2024 jämfört med rekordnivån höstterminen 2020. De senaste två höstterminerna har dock antalet förstahandssökande varit stabilt medan antalet antagna har ökat och söktrycket uppgick höstterminen 2024 till 1,1 behöriga förstahandssökande per antagen. Söktrycket till den kompletterande pedagogiska utbildningen, som är en kortare utbildning för dem som redan fullgjort ämnesstudierna och som leder till ämneslärarexamen, uppgick höstterminen 2024 till 1,2 behöriga sökande per antagen. Det är samma söktryck som höstterminen 2023. Samtidigt var det fler behöriga sökande höstterminen 2024 än 2023, men i och med att antalet antagna också ökade var söktrycket konstant.

34

Prop. 2025/26:1 Utgiftsområde 16

Söktrycket till förskollärarutbildningen var höstterminen 2024 det lägsta sedan 2011 med 1,2 behöriga sökande per antagen. Det är en minskning sedan föregående höst- termin då söktrycket uppgick till närmare 1,4 behöriga sökande per antagen. Att sök- trycket har minskat den senaste höstterminen beror till stor del på en ökning av antalet antagna men även på en minskning av antalet behöriga förstahandssökande. Sök- trycket till yrkeslärarutbildningen uppgick höstterminen 2024 till 1,3 behöriga första- handssökande per antagen. Jämfört med höstterminen 2023 är antalet behöriga förstahandssökande och antagna stabilt. Söktrycket till speciallärar- och special- pedagogutbildningarna uppgick höstterminen 2024 till 1,4 respektive 2,1 behöriga sökande per antagen. Både antalet behöriga förstahandssökande och antalet antagna till speciallärarutbildningen ökade kraftigt höstterminen 2024. Antalet behöriga första- handssökande ökade med 33 procent och antalet antagna ökade med 32 procent jäm- fört med föregående hösttermin. Antalet förstahandssökande och antalet antagna till specialpedagogutbildningen ökade också, men den ökningen var mindre omfattande.

Diagram 2.13 Antal behöriga förstahandssökande, antagna och söktryck till de fyra lärarprogrammen, höstterminerna

Förskollärarexamen

 

Grundlärarexamen

 

Antal sökande/antagna

Söktryck

Antal sökande/antagna

Söktryck

7 000

2,2

7 000

2,2

6 000

2,0

6 000

2,0

1,8

1,8

5 000

1,6

5 000

1,6

4 000

1,4

4 000

1,4

1,2

1,2

3 000

1,0

3 000

1,0

2 000

0,8

2 000

0,8

0,6

0,6

1 000

0,4

1 000

0,4

 

0,2

 

0,2

0

0,0

0

0,0

1112131415161718192021222324

1112131415161718192021222324

Behöriga förstahandssökande

Behöriga förstahandssökande

Antagna

 

Antagna

 

Söktryck

 

Söktryck

 

Ämneslärarexamen

 

Yrkeslärarexamen

 

Antal sökande/antagna

Söktryck

Antal sökande/antagna

Söktryck

7 000

2,2

7 000

2,2

6 000

2,0

6 000

2,0

1,8

1,8

5 000

1,6

5 000

1,6

4 000

1,4

4 000

1,4

1,2

1,2

3 000

1,0

3 000

1,0

2 000

0,8

2 000

0,8

0,6

0,6

1 000

0,4

1 000

0,4

 

0,2

 

0,2

0

0,0

0

0,0

1112131415161718192021222324

1112131415161718192021222324

Behöriga förstahandssökande

Behöriga förstahandssökande

Antagna

 

Antagna

 

Söktryck

 

Söktryck

 

Anm.: Söktryck definieras som antal behöriga förstahandssökande per antagen.

Källa: Statistiska centralbyrån.

Indikator: Antal nybörjarstudenter på yrkesexamensprogrammen

I diagram 2.14 redovisas antalet nybörjare på vissa program läsåren 2011/12–2023/24, dvs. de som har blivit antagna och också påbörjat utbildningen. Totalt sett var det ca 13 100 programnybörjare på lärar- och förskollärarutbildningarna läsåret 2023/24, vilket var en minskning med drygt 900 personer jämfört med föregående läsår. Antalet

35

Prop. 2025/26:1 Utgiftsområde 16

programnybörjare är nu det lägsta sedan 2013/14. Det senaste läsåret ökade dock antalet nybörjare på speciallärar- och specialpedagogutbildningen. Det är fler kvinnor än män som påbörjar en lärarutbildning. Totalt sett var 75 procent kvinnor och

25 procent män. Mest ojämn var könsfördelningen bland nybörjare på förskol- lärarutbildningen med 94 procent kvinnor och 6 procent män. Jämnast könsfördelning var det bland nybörjare på ämneslärarutbildningen där andelen kvinnor läsåret 2023/24 var 58 procent medan andelen män var 42 procent. Könsfördelningen har varit relativt konstant de senaste tio läsåren, dock har andelen män minskat något bland nybörjare på ämneslärarutbildningen.

Diagram 2.14 Antal programnybörjare per yrkesexamensprogram

Antal yrkesexamensprogram

 

Totalt antal programnybörjare

6 000

 

18 000

5 500

 

16 000

5 000

 

 

14 000

4 500

 

 

 

4 000

 

12 000

3 500

 

10 000

3 000

 

Förskollärarexamen

8 000

2 500

Grundlärarexamen

 

 

 

2 000

Ämneslärarexamen

6 000

1 500

Yrkeslärarexamen

 

Totalt inom pedagogik och lärarutbildning

4 000

1 000

 

 

2 000

500

 

 

 

0

 

0

11/12 12/13 13/14 14/15 15/16 16/17 17/18 18/19 19/20 20/21 21/22 22/23 23/24

Anm.: På sekundäraxeln visas totalt antal programnybörjare på yrkesexamensprogram inom pedagogik och lärarutbildning (förskollärarexamen, grundlärarexamen, yrkeslärarexamen, ämneslärarexamen, folkhögskol- lärarexamen, speciallärarexamen, specialpedagogexamen samt ospecificerad lärarexamen).

Källa: Universitetskanslersämbetet.

Indikator: Antal examinerade från yrkesexamensprogrammen

Diagram 2.15 visar antalet lärar- och förskollärarexamina som utfärdats

läsåren 1993/94–2023/24. Under perioden har i genomsnitt närmare 9 100 personer per år fått en sådan examen. Antalet examinerade var som lägst 2000/01 med omkring 6 200 examina medan antalet var som högst 2010/11 med närmare 13 200 examina. Att så många examinerades då har sannolikt att göra med det krav på legitimation för lärare och förskollärare som infördes 2011. Läsåret 2023/24 examinerades närmare 11 900 lärare och förskollärare, vilket är den näst högsta nivån under perioden.

36

Prop. 2025/26:1 Utgiftsområde 16

Diagram 2.15 Antal lärar- och förskollärarexamina

Antal yrkesexamina

14000

12000

10000

8000

6000

4000

2000

0 93/94 95/96 97/98 99/00 01/02 03/04 05/06 07/08 09/10 11/12 13/14 15/16 17/18 19/20 21/22 23/24

Totalt

Kvinnor

 

Män

 

Anm.: Avser lärarutbildning för förskola och fritidsverksamhet, lärarutbildning för grundskolans lägre åldrar, ämneslärarutbildning, lärarutbildning i praktiskt/estetiskt ämne, pedagogik och lärarutbildning samt övrig/ospecificerad utbildning (här ingår speciallärar- och specialpedagogutbildning).

Källa: Statistiska centralbyrån.

Diagram 2.16 visar antalet examinerade för vissa examina. Läsåret 2023/24 ökade antalet examinerade förskollärare, grundlärare och ämneslärare jämfört med föregående läsår. Antalet examinerade yrkeslärarare var något färre än föregående läsår. Antalet examinerade speciallärare och specialpedagoger uppgick 2023/24 till 740 respektive 610. Jämfört med föregående läsår är det en ökning med närmare

90 examinerade speciallärare och 50 examinerade specialpedagoger. Könsfördelningen bland de examinerade är mer ojämn än bland lärarutbildningarnas nybörjarstudenter eftersom genomströmningen är större bland kvinnor än bland män (se följande avsnitt Genomströmning på yrkesexamensprogrammen). Av de examinerade 2023/24 var 78procent kvinnor och 22 procent män. Jämnast var könsfördelningen bland examinerade ämneslärare med 59 procent kvinnor och 41 procent män. Av dem med förskollärarexamen var 96 procent kvinnor och 4 procent män.

Diagram 2.16 Antal examina för typ av yrkesexamen

Antal examina

4000

 

2016/17

 

2017/18

 

2018/19

 

2019/20

 

2020/21

 

2021/22

 

2022/23

 

2023/24

 

 

 

 

 

 

 

 

 

 

 

 

 

 

 

 

3500

3000

2500

2000

1500

1000

500

0

Förskollärarexamen

Grundlärarexamen

Ämneslärarexamen

Yrkeslärarexamen

Anm.: Ämneslärarexamen avser ämneslärarexamen mot gymnasieskolan och grundskolan 7–9. Den innehåller även lärarexamen mot ämneslärare (den tidigare lärarutbildningen). Grundlärarexamen avser både grundlärarexamen mot f3, 4–6 och fritidshem. Den innehåller även lärarexamen för grundskolans lägre åldrar (den tidigare lärarutbildningen).

Källa: Statistiska centralbyrån.

37

Prop. 2025/26:1 Utgiftsområde 16

Genomströmning på yrkesexamensprogrammen

Diagram 2.17 visar genomströmningen för nybörjare på förskollärarutbildningen, grundlärarutbildningen, yrkeslärarutbildningen och ämneslärarutbildningen. Genom- strömningen mäts genom examen senast tre år efter nominell studietid. Med nominell studietid menas normalstudietiden för den som studerar på heltid. Det finns uppgifter om genomströmning för sju årgångar nybörjare på utbildningar till förskollärarexamen och grundlärarexamen medan det ännu bara finns uppgifter om genomströmning för fem årgångar nybörjare på utbildningar till ämneslärarexamen. Genomströmningen har ökat för nybörjare på utbildningar till grundlärarexamen, yrkeslärarexamen och ämneslärarexamen, medan genomströmningen minskat något de senaste åren bland nybörjare på utbildningar till förskollärarexamen. Det är bland nybörjare på utbildningar till förskollärarexamen och yrkeslärarexamen som genomströmningen är högst, medan nybörjare på utbildningar till ämneslärarexamen har lägst genom- strömning. Genomströmningen för nybörjare på utbildningar till ämneslärarexamen har sannolikt påverkats av att allt fler läser den kompletterande pedagogiska utbildningen (KPU), en kortare utbildning för dem som redan fullgjort ämnes- studierna och som leder till ämneslärarexamen. Genomströmningen för KPU är relativt hög. Universitetskanslersämbetet har uppskattat att drygt två av tre tar en ämneslärarexamen inom fem år. KPU-studenterna utgjorde 12 procent av nybörjarna läsåret 2012/13. De senaste åren har andelen legat runt 25 procent. En relativt hög andel av studenterna från KPU är behöriga att undervisa inom ämnen där det rådet brist på lärare t.ex. teknik och flera naturvetenskapliga ämnen.

Bland nybörjare på utbildningar till speciallärarexamen läsåret 2019/20 var genom- strömningen 79 procent, vilket är en ökning med 5 procentenheter jämfört med nybörjare 2018/19. Bland nybörjare på utbildningar till specialpedagogexamen läsåret 2019/20 var genomströmningen 77 procent, vilket är ungefär samma nivå som för nybörjare 2018/19. Kvinnor har en högre genomströmning än män. Det gäller för alla lärarutbildningarna. Särskilt stor är skillnaden i genomströmning mellan kvinnor och män som påbörjar förskollärarutbildningen, ca 30 procentenheter, medan skillnaden är mindre mellan kvinnor och män som påbörjar de övriga lärarutbildningarna, mellan 4 och 12 procentenheter.

Diagram 2.17 Programnybörjare olika år som tagit examen inom nominell studietid plus tre år

Procent

100

 

 

 

 

 

 

 

 

 

 

 

 

 

 

 

 

 

 

 

 

 

 

 

 

 

 

 

 

90

 

 

Nybörjare 2011/12

 

Nybörjare 2012/13

 

Nybörjare 2013/14

 

 

Nybörjare 2014/15

 

 

Nybörjare 2015/16

 

 

 

 

 

 

 

 

 

 

 

Nybörjare 2016/17

 

Nybörjare 2017/18

 

Nybörjare 2018/19

 

 

Nybörjare 2019/20

 

 

 

 

 

 

80

 

 

 

 

 

 

 

 

 

 

 

 

 

 

 

 

 

 

 

 

 

 

 

 

 

 

 

 

 

 

 

 

 

 

 

 

 

 

 

 

 

 

 

 

 

 

 

 

 

 

 

 

70

 

 

 

 

 

 

 

 

 

 

 

 

 

 

 

 

 

 

 

 

 

 

 

 

 

 

 

 

 

 

 

 

 

 

 

 

 

 

 

 

 

 

 

 

 

 

 

 

 

 

 

 

 

 

 

 

60

 

 

 

 

 

 

 

 

 

 

 

 

 

 

 

 

 

 

 

 

 

 

 

 

 

 

 

 

 

 

 

 

 

 

 

 

 

 

 

 

 

 

 

 

 

 

 

 

 

 

 

 

 

 

 

 

50

 

 

 

 

 

 

 

 

 

 

 

 

 

 

 

 

 

 

 

 

 

 

 

 

 

 

 

 

 

 

 

 

 

 

 

 

 

 

 

 

 

 

 

 

 

 

 

 

 

 

 

 

 

 

 

 

40

 

 

 

 

 

 

 

 

 

 

 

 

 

 

 

 

 

 

 

 

 

 

 

 

 

 

 

 

30

 

 

 

 

 

 

 

 

 

 

 

 

 

 

 

 

 

 

 

 

 

 

 

 

 

 

 

 

20

 

 

 

 

 

 

 

 

 

 

 

 

 

 

 

 

 

 

 

 

 

 

 

 

 

 

 

 

10

 

 

 

 

 

 

 

 

 

 

 

 

 

 

 

 

 

 

 

 

 

 

 

 

 

 

 

 

0

 

 

 

 

 

 

 

 

 

 

 

 

 

 

 

 

 

 

 

 

 

 

 

 

 

 

 

 

 

 

 

 

 

 

 

 

 

 

 

 

 

 

 

 

 

 

 

 

 

 

 

 

 

 

 

 

Förskollärarexamen (3,5 år)

 

Grundlärarexamen (4 år)

Yrkeslärarexamen (1,5 år)

Ämneslärarexamen (5,5 år)

 

 

 

 

 

 

 

 

 

 

 

 

 

 

 

 

 

 

 

 

 

 

 

 

 

 

 

 

 

 

 

Anm.: Nominell studietid för programmet anges inom parentes.

Källa: Statistiska centralbyrån.

38

Prop. 2025/26:1 Utgiftsområde 16

Lärar- och förskollärarförsörjning

Skolverket har haft i uppdrag att i samarbete med Universitetskanslersämbetet ta fram återkommande prognoser över skolväsendets behov av lärare och förskollärare (U2016/02335). Uppdraget redovisades första gången i december 2017, därefter i december 2019 och i december 2021. Den senaste prognosen, Lärarprognos 2024, publicerades i januari 2025 och visar en prognos för perioden 2024–2038. Skolverket har enligt förordningen (2015:1047) med instruktion för Statens skolverk ett fortsatt ansvar för att göra prognoser över skolans och förskolans behov av legitimerade och behöriga lärare och förskollärare.

Indikator: Framtida examinationsbehov samt beräknad examination av lärare och förskollärare

Enligt Skolverkets senaste prognos 2024 kommer det att finnas en brist på totalt ca 10 600 behöriga lärare och förskollärare 2038. Det innebär att det beräknade behovet av examinerade lärare och förskollärare på 145 000, överstiger den beräknade examinationen på 134 500 under perioden 2024–2038. Prognosen skiljer sig dock åt mellan olika program och inriktningar på lärarutbildningen (se diagram 2.18). Det beräknas bli en betydande brist på förskollärare, ämneslärare med inriktning mot årskurs 7–9, yrkeslärare och speciallärare medan det beräknas bli ett överskott på ämneslärare med inriktning mot gymnasieskolan samt specialpedagoger. En ämneslärarexamen med inriktning mot arbete i gymnasieskolan ger även behörighet att undervisa i grundskolans årskurs 7–9, vilket gör att dessa lärare till viss del kan täcka upp för bristen på ämneslärare i årskurs 7–9. Enligt prognosen beräknas examinationen vara tillräckligt stor för att tillgodose behovet av lärare i förskoleklass och årskurs 1–3 och fritidshem. I fritidshemmen är dock färre än hälften av dem som i dag arbetar som lärare behöriga, och i prognosen antas dagens nivå av andelen lärare i fritidshem kvarstå. Om andelen lärare i fritidshem ökar kommer också behovet av examinerade lärare inom fritidshem att öka.

Prognosen gäller under antagandet att årligt antal nybörjare är detsamma som snittet för läsåren 2021/22 och 2022/23. Läsåret 2023/24 var antalet nybörjare lägre än så. Bristen på 10 600 behöriga lärare och förskollärare är en något mindre brist än vad som framgick av Lärarprognos 2021, då ca 12 000 behöriga lärare och förskollärare väntades saknas 2035. Skolverkets lärarprognos visar att förutsättningarna för lärarförsörjning skiljer sig åt i olika delar av landet. I prognosen finns uppgifter om relativt rekryteringsbehov per län. Då beräknas rekryteringsbehovet av lärare 2024– 2038 i förhållande till 2023 års lärarkår. Gotlands och Uppsala län bedöms ha det största relativa rekryteringsbehovet medan Västernorrlands och Blekinge län väntas ha det minsta.

39

Prop. 2025/26:1 Utgiftsområde 16

Diagram 2.18 Beräknat examinationsbehov och beräknad examination 2024–2038, efter program och inriktning på lärarutbildningen

Antal

50000

 

 

 

 

 

 

 

 

 

 

 

 

 

 

 

 

 

 

 

 

 

 

 

 

 

 

 

 

 

 

 

 

 

 

 

 

 

 

 

 

 

 

 

 

 

 

 

 

 

 

 

 

 

 

 

 

 

 

 

 

 

 

 

 

 

 

 

 

 

 

 

 

 

 

 

 

 

 

 

 

 

 

 

 

 

 

 

 

 

 

 

 

45000

 

 

Examinationsbehov till 2038

 

 

Beräknad examination till 2038

 

 

 

40000

 

 

 

 

 

 

 

 

 

 

 

 

 

 

 

 

 

 

 

 

 

 

 

 

 

 

 

 

 

 

 

 

 

 

 

 

 

 

 

 

 

 

 

 

 

 

 

 

 

 

 

 

 

 

 

 

 

 

 

 

35000

 

 

 

 

 

 

 

 

 

 

 

 

 

 

 

 

 

 

 

 

 

 

 

 

 

 

 

 

 

 

 

 

 

 

 

 

 

 

 

 

 

 

 

 

 

 

30000

 

 

 

 

 

 

 

 

 

 

 

 

 

 

 

 

 

 

 

 

 

 

 

 

 

 

 

 

 

 

 

 

 

 

 

 

 

 

 

 

 

 

 

 

 

 

25000

 

 

 

 

 

 

 

 

 

 

 

 

 

 

 

 

 

 

 

 

 

 

 

 

 

 

 

 

 

 

 

 

 

 

 

 

 

 

 

 

 

 

 

 

 

 

 

 

 

 

 

 

 

 

 

 

 

 

 

 

 

 

 

 

 

 

 

 

 

 

 

 

 

 

 

 

 

 

 

 

 

 

 

 

 

 

 

 

 

 

 

 

20000

 

 

 

 

 

 

 

 

 

 

 

 

 

 

 

 

 

 

 

 

 

 

 

 

 

 

 

 

 

 

 

 

 

 

 

 

 

 

 

 

 

 

 

 

 

 

15000

 

 

 

 

 

 

 

 

 

 

 

 

 

 

 

 

 

 

 

 

 

 

 

 

 

 

 

 

 

 

 

 

 

 

 

 

 

 

 

 

 

 

 

 

 

 

10000

 

 

 

 

 

 

 

 

 

 

 

 

 

 

 

 

 

 

 

 

 

 

 

 

 

 

 

 

 

 

 

 

 

 

 

 

 

 

 

 

 

 

 

 

 

 

5000

 

 

 

 

 

 

 

 

 

 

 

 

 

 

 

 

 

 

 

 

 

 

 

 

 

 

 

 

 

 

 

 

 

 

 

 

 

 

 

 

 

 

 

 

 

 

0

 

Specialpedagoger

 

 

 

 

Speciallärare

Yrkeslärare

Ämneslärare, gymnasieskolan

 

Ämneslärare, åk 7–9

Grundlärare, åk 4–6

Grundlärare, åk 1–3

 

Grundlärare, fritidshem

Förskollärare

 

 

 

 

 

 

 

 

 

 

 

 

 

 

 

 

 

 

 

 

 

 

 

 

 

 

 

 

 

 

 

 

 

 

 

 

 

 

 

 

 

 

 

 

 

 

 

 

 

 

 

 

 

 

 

Källa: Statens Skolverk.

Indikator: Rekryteringserfarenheter bland arbetsgivare inom pedagogik

Indikatorn som visar rekryteringserfarenheter bland arbetsgivare inom pedagogik är ny och ersätter tidigare indikator Andel arbetsgivare som uppger brist på personal inom pedagogik och med lärarutbildning. Anledningen är att arbetskraftsbarometern inte uppdateras längre. SCB:s nya undersökning Lediga jobb och rekryteringsbehov beskriver kompetensbrister på den svenska arbetsmarknaden. Arbetsgivare får bl.a. svara på frågan om de har lyckats rekrytera med rätt kvalifikationer. Statistiken visar att det tycks finnas vissa rekryteringsproblem när det gäller fritidspedagoger, ämneslärare i moderna språk, matematik och naturvetenskapliga ämnen (se tabell 2.9). Exempelvis uppger bara hälften av arbetsgivarna som rekryterat fritidspedagoger att de alltid eller oftast har lyckats rekrytera personer med rätt kvalifikationer. Det betyder att hälften aldrig eller oftast inte har lyckats rekrytera personer med rätt kvalifikationer.

Tabell 2.9 Rekryteringserfarenheter bland arbetsgivare inom pedagogik

Procent

 

2024

 

 

Har alltid eller

Har aldrig eller

 

oftast lyckats

oftast inte lyckats

 

rekrytera med rätt

rekrytera med rätt

 

kvalifikationer

kvalifikationer

Fritidspedagoger, Grundlärare

 

 

fritidshem

51

49

Förskollärare

79

22

Grundlärare åk F–3

95

4

Grundlärare åk 4–6

93

5

Ämneslärare i engelska

89

9

Ämneslärare i matematik

70

30

Ämneslärare i moderna språk

65

35

Ämneslärare i

 

 

naturvetenskapliga ämnen

70

30

Ämneslärare i

 

 

samhällsvetenskapliga ämnen

92

..

Ämneslärare i svenska

90

8

Anm.: Andelen avser andelen av samtliga arbetsställen som har rekryterat eller försökt att rekrytera.

Källa: Statistiska centralbyrån.

40

Prop. 2025/26:1 Utgiftsområde 16

Statliga insatser

Det nationella professionsprogrammet införs 2025

Det nationella professionsprogrammet träder i kraft den 1 september 2025. Regeringen beslutade förordningen (2025:280) om nationellt professionsprogram för rektorer, lärare och förskollärare i april 2025. Professionsprogrammet kommer att bestå av en nationell struktur för kompetensutveckling för rektorer, lärare och förskollärare samt ett nationellt meriteringssystem för legitimerade lärare och legitimerade förskollärare. Meriteringssystemet kommer att bestå av fyra meriteringsnivåer.

2.8Regeringens bedömning av måluppfyllelsen

Sverige är i flera avseenden en framstående kunskaps- och forskningsnation som präglas av hög kvalitet

Sammantaget nås målet för utgiftsområdet då Sverige i flera avseenden är en fram- stående kunskaps- och forskningsnation som är präglad av hög kvalitet. Det visar de indikatorer som används för att bedöma hur Sverige ligger till i jämförelse med andra länder. Måluppfyllelsen bedöms utifrån avsnittets indikatorer.

Andelen barn i förskolan är hög även om deltagandet är lägre bland barn med utländsk bakgrund. Det finns goda möjligheter att utbilda sig i Sverige. Utbildnings- nivån i Sverige är högre än snittet i OECD-länderna. Det är betydligt vanligare att utbilda sig i vuxen ålder i Sverige än det är i OECD-länderna i genomsnitt, något som bidrar positivt till Sveriges kompetensförsörjning. Positivt är också att det är en högre andel sysselsatta bland dem som nyligen avslutat sin utbildning i Sverige jämfört med EU-länderna i genomsnitt. Det är även en mindre andel unga som varken arbetar eller studerar i Sverige än i OECD-länderna i genomsnitt.

TIMSS 2023 visar att eleverna i Sverige har förbättrat sina resultat i matematik, och i naturvetenskap är resultatet oförändrat jämfört med TIMSS 2019. Studien visar att elevens socioekonomiska bakgrund har fortsatt stor och i vissa fall större betydelse för elevernas resultat än i TIMSS 2019. Spridningen mellan hög- och lågpresterande elever i matematik har ökat i årskurs 8 samtidigt som spridningen mellan hög- och lågpresterande elever i naturvetenskap har ökat i årskurs 4. Studien visar på betydande resultatskillnader mellan elever som går på skolor där studieron är god jämfört med skolor med bristande studiero. Resultatet för matematik från den senaste omgången av TIMSS var bättre än resultatet från den senaste omgången av PISA, som visade att elever i Sverige hade försämrat sina resultat. Det gäller även studien PIRLS som, likt PISA, visar på sämre resultat i läsförståelse.

Utöver detta visar de indikatorer som används för att följa upp utvecklingen av kompetensförsörjningen att de arbetslösas kompetens inte helt matchar behoven på arbetsmarknaden. Statistik från SCB visar att det fortsatt är brist på utbildade från flera av gymnasieskolans yrkesprogram och på ett flertal utbildningsgrupper inom vården. I många fall väntas dessutom dessa brister bestå även på sikt. Även bristen på yrkeslärare väntas bestå kommande år. Indikatorerna visar också att det är relativt vanligt att jobba inom ett yrke som inte matchar den utbildning man har, framför allt bland individer med en gymnasial utbildning eller eftergymnasial utbildning kortare än 3 år.

Sverige har en hög FoU-intensitet. Sveriges FoU-investeringar uppgick 2024 till

3,6 procent av BNP, vilket gör Sverige till det land som ligger högst i Europa samt till ett av världens främsta länder när det gäller investeringar i FoU. Sverige tillhör dock inte länderna som har störst vetenskapligt genomslag (andel högciterade

41

Prop. 2025/26:1 Utgiftsområde 16

publikationer). Sverige ligger över världsgenomsnittet och nivån är relativt oförändrad de senaste tio åren. Detta är en skillnad mot många andra forskningsintensiva länder, som exempelvis USA och Schweiz, vars genomslag sjunkit markant som en följd av Kinas ökande genomslag. Detta indikerar att Sverige har förmåga att hålla en hög nivå på forskningen över tid även om det sker stora svängningar globalt.

Ökad andel lärare med en lärarutbildning men visst minskat intresse för lärarutbildningarna

Antalet elever i skolväsendet ökade under lång tid men de senaste åren har antalet barn och elever börjat minska. Antal barn i förskolan har minskat sedan 2020 och antalet elever i grundskolan har minskat sedan 2023. Även i komvux har antalet elever minskat. De minskade elevtalen har följts av ett minskat antal lärare. Under 2024 minskade antalet lärare något mer än antal elever i de flesta skolformer. Men minskningen är i de flesta verksamhetsformer marginell. Minskningen av antalet lärare under 2024 består nästan helt och hållet av en minskning av antalet lärare som inte har en pedagogisk examen. Andelen lärare med en pedagogisk examen har ökat inom de flesta skolformer, vilket är positivt.

Trots detta saknas fortfarande behöriga lärare. Lärarbehörigheten är dessutom särskilt låg i vissa ämnen, svenska som andraspråk och matematik samt naturorienterande ämnen i årskurs 7–9. En stor del av ämneslärarna som examineras i de naturvetenskapliga ämnena och teknik har gått KPU. Examensfrekvenserna inom KPU är relativt höga, vilket indikerar att dessa studenter utgör en betydande del av rekryteringsbasen för dessa ämnen. Det är även stor skillnad mellan kommuner och regioner när det gäller hur vanligt det är med utbildade lärare och förskollärare.

Skolverkets senaste lärarprognos från 2024 visar att bristen på lärare och förskollärare 2038 riskerar att uppgå till 10 600, vilket är en mindre brist än den som skattades i den tidigare lärarprognosen 2021 då bristen 2035 beräknades uppgå till ca 12 000.

Prognosen gäller under antagandet att årligt antal nybörjare är detsamma som snittet för läsåren 2021/22 och 2022/23. Läsåret 2023/24 var antalet nybörjare lägre än så. Om intresset för lärarutbildningarna fortsätter att minska kan bristen på lärare och förskollärare framöver öka.

2.9Politikens inriktning

Målet med regeringens politik för utgiftsområdet är att stärka och utveckla Sveriges position som en ledande kunskaps- och forskningsnation. Huvudprioriteringarna för politiken är höjda kunskapsresultat, ökad kvalitet och en mer likvärdig utbildning i grundskolan och motsvarande skolformer, gymnasieskolan och anpassade gymnasie- skolan samt att ge goda förutsättningar för att studera på utbildningar av hög kvalitet inom komvux, yrkeshögskolan och högskolan. Kompetensbrister ska mötas och det ska finnas goda möjligheter att utbilda sig, med hög kvalitet, oavsett var i landet man bor. Den akademiska friheten ska aktivt främjas och värnas för att bidra till ett öppet samhälle. Utbildnings- och forskningspolitiken ska bidra till att Sverige ska vara ett av världens främsta forsknings- och innovationsländer och en ledande kunskapsnation. En tydlig inriktning mot hög internationell kvalitet ska prägla såväl forskning och innovation som utbildning. Vetenskaplig excellens är avgörande för att Sverige ska kunna stärka sin konkurrenskraft. I regeringens forsknings- och innovations- proposition Forskning och innovation för framtid, nyfikenhet och nytta (prop. 2024/25:60) presenterar regeringen stora satsningar på fri forskning av högsta kvalitet och på banbrytande teknik med fokus på framtidens teknikområden.

42

Prop. 2025/26:1 Utgiftsområde 16

Utbildning och bildning ger kunskaper och perspektiv som ger möjlighet till personlig utveckling och skapar förutsättningar för ett aktivt deltagande i det demokratiska samhället. En framgångsrik utbildning bryter barriärer, öppnar nya vägar och stärker den enskildes förmåga att skaffa sig en uppfattning och fatta egna självständiga beslut. Alla barn, unga och vuxna ska oavsett bakgrund och uppväxtmiljö ges förutsättningar att lyckas med sin utbildning och bli rustade med kunskap, bildning och färdigheter. Kunskap, särskilt grundläggande färdigheter som att kunna läsa, skriva och räkna, och bildning tidigt i livet utgör basen för övergången till vuxenlivet och fortsatt lärande. Kunskap är även en av flera viktiga delar i att främja integrationen och motverka utanförskapet. Ett välfungerande utbildningssystem ger varje människa möjlighet att ta del av utbildning av hög kvalitet som möjliggör omställning eller vidareutbildning under hela livet och möter arbetsmarknadens behov. På så sätt får människor ökad möjlighet att forma sin framtid samtidigt som Sveriges konkurrenskraft stärks. Studiestödet spelar en betydande roll för möjligheterna till utbildning och omställningsstudiestödet ger goda möjligheter till vidareutbildning (utg.omr. 15). Genom folkhögskolors och studieförbunds olika verksamheter erbjuds även en bredd av möjligheter till utbildning och bildning (utg.omr. 17 avsnitt 17).

Även integrationspolitikens delmål om utbildning och jämställdhetspolitikens delmål om jämställd utbildning präglar regeringens utbildningspolitik och arbetet inom utgiftsområde 16 Utbildning och universitetsforskning. Det innebär att kvinnor och män och flickor och pojkar ska ha samma möjligheter och villkor när det gäller utbildning, studieval och personlig utveckling.

2.9.1Stärkt kompetensförsörjning

Regeringens utbildningspolitik ska skapa förutsättningar för utbildning och forskning av hög kvalitet. Utbildning av hög kvalitet är central för att individen ska kunna utveckla sin kompetens och ha möjlighet att etablera sig på arbetsmarknaden. Väl fungerande kompetensförsörjning är avgörande för att Sverige ska stå starkt även i framtiden och fortsätta utvecklas som kunskapsnation. Kompetensförsörjningen måste stärkas för att Sverige ska kunna genomföra en effektiv klimatomställning, stärka industrins konkurrenskraft, stärka kvaliteten i skola och vård samt skydda och värna vårt demokratiska och öppna samhälle.

För att Sverige även framöver ska vara en innovativ tekniknation krävs tillgång på kompetens och förutsättningar för unga och yrkesverksamma att kunna skaffa och upprätthålla en god kompetens genom arbetslivet. För att stärka kompetensen inom naturvetenskapliga och tekniska yrken har regeringen tagit fram en STEM-strategi som spänner över hela utbildningssystemet, från förskola till forskarutbildning.

Trots att det finns många som kan arbeta har välfärden och näringslivet svårt att hitta arbetskraft med rätt kompetens. Därför är det viktigt att arbetsmarknadens behov i större utsträckning får styra hur utbildningar inom gymnasieskolan och komvux dimensioneras. Det är dessutom viktigt att universitet och högskolor i än högre grad använder sina resurser för att erbjuda utbildningar inom områden där det finns brist på kompetens och i format som underlättar livslångt lärande. Information om satsningar på vuxnas lärande lämnas i respektive avsnitt samt i utgiftsområdena

15 Studiestöd och 17 Kultur, medier, trossamfund och fritid.

2.9.2Stärk lärar- och förskolläraryrkena

Lärare och förskollärare är de enskilt viktigaste faktorerna för kvaliteten i utbildningen inom skolan och förskolan. Lärar- och förskolläraryrkena behöver därför vara attraktiva så att fler lämpliga och motiverade studenter väljer att bli lärare, fler väljer att stanna kvar i yrket och lärare som lämnat yrket väljer att återvända. Det är av det

43

Prop. 2025/26:1 Utgiftsområde 16

skälet viktigt att minska den administrativa bördan och skapa en god arbetsmiljö som underlättar för lärare och förskollärare att fokusera på sitt kärnuppdrag – undervisningen.

Det är också viktigt att lärar- och förskollärarutbildningen håller hög kvalitet och attraherar de bäst lämpade studenterna. Alla barn och elever ska få möta utbildade och kompetenta lärare och förskollärare som har djupa ämneskunskaper och kunskaper om inlärning, praktisk metodik och undervisning i praktiken.

2.9.3Fortsatt internationellt engagemang

Regeringen stärker kunskapsbasen för det nationella arbetet inom utbildnings- och forskningsområdet genom att aktivt delta i EU och andra internationella samarbeten som Nordiska ministerrådet, Bolognaprocessen, OECD och Unesco.

På rymdområdet är det internationella samarbetet betydande och ca 70 procent av Rymdstyrelsens forskningsanslag läggs på projekt som utförs i program inom Europeiska rymdorganisationen (ESA) där Sverige är en av 23 medlemsstater.

Förslaget till nytt utbildningsprogram som tar vid efter Erasmus+ presenterades i juli 2025. Förhandlingar förväntas pågå under hela 2026. Inför förhandlingarna har regeringen arbetat fram ett svenskt förhandlingsunderlag. Förslaget från Europeiska kommissionen om det nya programmet för forskning och innovation 2028–2035 presenterades i juli 2025 och förhandlingar om programmet inleds under hösten 2025.

Vid Unescos generalkonferens 2025 kommer ett nytt fyraårigt arbetsprogram och budget för 2026–2029 att antas. I enlighet med Strategi för Sveriges samarbete med Unesco 2022–2025 avser regeringen att verka för och följa upp att Unesco fortsätter att utveckla sin verksamhet inom framför allt området mänskliga rättigheter med tonvikt på yttrandefrihet och rätten till en jämställd och likvärdig utbildning, samt fortsätta arbetet för en effektivare organisation.

De prioriterade OECD-studierna PISA (Programme for International Student Assessment) och PIAAC (Programme for the International Assessment of Adult Competencies) är viktiga för att följa politikens måluppfyllelse. Med detta i åtanke beslutade regeringen under 2024 att ingå en överenskommelse med OECD om att OECD skulle utvärdera de svenska PISA-resultaten och rapporten väntas publiceras under hösten 2025. Resultaten från nästa PISA-undersökning publiceras i september 2026. Utöver läsförståelse, matematik och naturvetenskap ingår då även engelska samt lärande i en digital miljö. Huvudresultaten från den senaste PIAAC-undersökningen publicerades i december 2024 och flera temarapporter är planerade under 2026 och 2027. Under hösten 2025 publiceras resultat från OECD:s studie TALIS (Teaching and Learning International Survey) som syftar till att öka kunskapen om lärares och rektorers bakgrund, yrkesvardag och arbetstillfredsställelse.

44

Prop. 2025/26:1 Utgiftsområde 16

3 Barn- och ungdomsutbildning

3.1Mål för området

Av skollagen (2010:800) framgår att utbildningen inom skolväsendet syftar till att barn och elever ska inhämta och utveckla kunskaper och värden. Den ska främja alla barns och elevers utveckling och lärande samt en livslång lust att lära. Utbildningen ska också förmedla och förankra respekt för de mänskliga rättigheterna och de grund- läggande demokratiska värderingar som det svenska samhället vilar på. I utbildningen ska hänsyn tas till barns och elevers olika behov. Barn och elever ska ges stöd och stimulans så att de utvecklas så långt som möjligt. En strävan ska vara att uppväga skillnader i barnens och elevernas förutsättningar att tillgodogöra sig utbildningen. Utbildningen ska utformas i överensstämmelse med grundläggande demokratiska värderingar och de mänskliga rättigheterna som människolivets okränkbarhet, individens frihet och integritet, alla människors lika värde, jämställdhet samt solidaritet mellan människor. Utbildningen inom skolväsendet ska vara likvärdig inom varje skolform och inom fritidshemmet oavsett var i landet den anordnas.

3.2Resultatindikatorer och andra bedömningsgrunder

De indikatorer som redovisas nedan bedöms vara centrala för att mäta måluppfyllelse och resultat. Redovisningen av resultat inom utgiftsområdet är uppdelad på verksam- heter. Inom varje avsnitt redovisas i förekommande fall indikatorer och övriga resultat. All individbaserad statistik redovisas uppdelat på kön om de uppgifterna är tillgängliga. I bedömningen vägs det även in resultat från rapporter och undersök- ningar från t.ex. Statens skolverk.

Förskolan och fritidshemmet:

Deltagande i förskola. Andelen barn i åldern 3–5 år som är inskrivna i förskola.

Deltagande i fritidshem. Andelen barn i åldern 6–12 år som är inskrivna i fritids- hem.

Grundskolan:

Resultat på nationella prov i grundskolan.

Andelen elever som uppnått betygskriterierna i samtliga grundskolans ämnen i årskurs 9.

Andelen elever i årskurs 9 som uppnått behörighet till gymnasieskolans yrkes- program.

Resultat i internationella studier i grundskolan som PISA, TIMSS och PIRLS i de fall någon ny studie presenterats sedan föregående års budgetproposition.

Specialskolan och sameskolan:

Genomsnittligt meritvärde i årskurs 10 i specialskolan och andelen elever med behörighet till gymnasieskolans yrkesprogram.

Resultat på nationella prov i årskurs 6 i sameskolan och andelen elever som upp- nått minst betyget E i alla ämnen.

45

Prop. 2025/26:1 Utgiftsområde 16

Gymnasieskolan:

Resultat på nationella prov.

Genomsnittlig betygspoäng.

Andel elever som slutfört utbildningen inom tre år.

Andel elever som uppnått kraven för grundläggande behörighet till högskole- utbildning inom tre år.

Samtliga skolformer inom skolväsendet inklusive fritidshemmet:

Lärarbehörighet och personalens utbildning. Denna indikator redovisas i avsnitt 2.7.

3.3Resultatredovisning

I avsnittet Barn- och ungdomsutbildning används följande definitioner när det gäller barns och elevers bakgrund:

Med svensk bakgrund avses barn och elever födda i Sverige med minst en inrikes född förälder.

Med utländsk bakgrund avses utrikes födda barn och elever eller inrikes födda barn och elever med två utrikes födda föräldrar.

Med nyinvandrad avses enbart folkbokförda barn och elever som är utrikes födda, som har högst en inrikes född förälder, och som har invandrat till Sverige under de senaste fyra åren.

Med okänd bakgrund avses barn och elever som saknar personnummer i de register som används vid insamlingen. En anledning till att personnummer saknas kan vara att barnet eller eleven inte är folkbokförd i Sverige. Bland barn och elever med okänd bakgrund finns bl.a. de som nyligen kommit till Sverige genom anhöriginvandring eller som söker asyl. Även barn och elever som vistas i landet utan stöd av myndighetsbeslut eller författning finns i gruppen liksom barn och elever med skyddade personuppgifter.

3.3.1Förskolan

Indikator: Deltagande i förskola

År 2024 var andelen inskrivna barn i åldern 3–5 år 95,3 procent (se diagram 3.1). Under 2024 var andelen inskrivna flickor och pojkar ungefär lika stor, 95,2 procent respektive 95,4 procent.

46

Prop. 2025/26:1 Utgiftsområde 16

Diagram 3.1 Andelen barn i åldern 3–5 år inskrivna i förskolan

Procent

100,0

98,0

96,0

94,0

92,0

90,0

88,0

Totalt

Flickor

Pojkar

Källa: Statens skolverk.

Ser man till hela målgruppen för förskolan var 86,6 procent av landets alla barn i åldersgruppen 1–5 år inskrivna i förskolan 2024. Med undantag för marginella minsk- ningar några enstaka år har andelen inskrivna barn i alla åldersgrupper generellt sett ökat under den senaste tioårsperioden.

Över lag är barn med svensk bakgrund i högre utsträckning inskrivna i förskolan än barn med utländsk bakgrund. Under 2024 var 87,4 procent av barnen med svensk bakgrund i åldersgruppen 1–5 år inskrivna i förskolan, vilket är i nivå med föregående år. För barn med utländsk bakgrund i denna åldersgrupp var 82,2 procent inskrivna i förskolan 2024, vilket är en liten ökning jämfört med 2023. Det fanns ingen större skillnad mellan flickor och pojkar 2024 (se vidare utg.omr. 13 avsnitt 3.3.1 och 6.3.1).

Barn och barngrupper

Hösten 2024 var 485 000 barn inskrivna i förskolan, varav 48,5 procent var flickor och 51,5 procent var pojkar, vilket följer könsfördelningen i befolkningen för barn i för- skoleålder. Drygt hälften av alla inskrivna barn i förskolan var 1–3 år.

Av alla barn i förskolan 2024 gick knappt 22 procent i en fristående förskola, vilket är i nivå med 2023.

Hösten 2024 fanns det ungefär 13 700 nyinvandrade barn (ca 6 700 flickor och

ca 7 000 pojkar) och ca 3 300 barn med okänd bakgrund inskrivna i förskolan, vilka tillsammans motsvarar ungefär 3,5 procent av de inskrivna barnen i förskolan.

När det gäller barngruppernas storlek (antal inskrivna barn per barngrupp) gick det i genomsnitt 15,3 barn per grupp 2024 (15,6 i kommunala förskolor och 14,3 i fri- stående förskolor), vilket är i nivå med föregående år.

3.3.2Annan pedagogisk verksamhet

Barn i pedagogisk omsorg

I takt med att en allt större andel barn går i förskolan har andelen barn i pedagogisk omsorg minskat. Andelen av alla barn i åldern 1–5 år som var inskrivna i pedagogisk omsorg var 0,8 procent under 2024. Andelen har stadigt minskat under flera år. Fem år tidigare uppgick andelen till 1,6 procent. Antalet barn i åldern 1–12 år som hösten 2024 var inskrivna i pedagogisk omsorg var 5 200, att jämföra med 10 600 barn hösten

47

Prop. 2025/26:1 Utgiftsområde 16

2019. Det fanns ingen större skillnad mellan andelen flickor och pojkar som var inskrivna i pedagogisk omsorg 2024.

Öppen förskola och öppen fritidsverksamhet

Hösten 2024 fanns det totalt 529 öppna förskolor i landet. Antalet öppna förskolor har under den senaste tioårsperioden som lägst varit 474 enheter. Öppna förskolor erbjöds i 237 kommuner 2024, vilket är en ökning med 10 kommuner jämfört med föregående år.

Hösten 2024 fanns det 584 öppna fritidsverksamheter för 10–12-åringar i landet. Antalet har ökat med 59 verksamheter sedan 2023. Under den senaste tioårsperioden har antalet öppna fritidsverksamheter legat på i genomsnitt 576.

Kommuner som erbjuder omsorg under kvällar, nätter och helger

Hösten 2024 var drygt 5 000 barn i åldern 1–12 år inskrivna i omsorg under obekväm arbetstid, dvs. vardagar klockan 19–06 och på helger. Det motsvarar ca 0,5 procent av alla barn i åldersgruppen som var inskrivna i fritidshem, förskola eller pedagogisk omsorg. Under den senaste tioårsperioden har antalet inskrivna i omsorg under obekväm arbetstid varierat mellan ca 3 800 och 5 800 barn. Andelen inskrivna, av alla barn som var inskrivna i fritidshem, förskola eller pedagogisk omsorg, har i stort varit densamma under perioden, ca 0,4–0,6 procent.

Hösten 2024 erbjöd 155 kommuner omsorg under obekväm arbetstid, vilket är 12 färre än 2023.

3.3.3Förskoleklassen

Läsåret 2024/25 gick det 118 221 elever i förskoleklass. Nästan samtliga, 99 procent, var elever som fyllde sex år under 2024. Av alla elever som var inskrivna i förskole- klassen var 49 procent flickor och 51 procent pojkar, vilket följer könsfördelningen i befolkningen för barn i förskoleklassålder. Av dessa gick 12,3 procent i en verksamhet med enskild huvudman, vilket är en marginell ökning jämfört med föregående år.

3.3.4Grundskolan

I likhet med föregående läsår har elevantalet i grundskolan minskat marginellt, och uppgick läsåret 2024/25 till 1 104 823 elever, vilket var en minskning med knappt 0,5 procent jämfört med föregående läsår. Uppgiften är inklusive elever i sameskola och internationella skolenheter. I diagram 3.2 visas elevutveckling i grundskolan mellan läsåren 2015/16 och 2024/25.

48

Prop. 2025/26:1 Utgiftsområde 16

Diagram 3.2 Elevutveckling i grundskolan

Antal elever, tusental

1200

1000

800

600

400

200

0

 

 

 

 

 

 

 

 

 

 

 

 

 

 

 

 

 

 

 

 

2015

2016

2017

2018

2019

2020

2021

2022

2023

2024

 

 

Kommunala skolor

 

Fristående skolor

 

Alla elever

Källa: Statens skolverk.

Av alla elever i grundskolan läsåret 2024/25 var andelen flickor 48,7 procent och andelen pojkar 51,3 procent, vilket följer könsfördelningen för barn i grundskoleålder. I kommunala skolor var 48,5 procent flickor och 51,5 procent pojkar och i fristående skolor var 50,2 procent flickor och 49,8 procent pojkar. Det var alltså marginellt fler flickor än pojkar som gick i en fristående grundskola läsåret 2024/25 och så såg det även ut föregående läsår. Andelen elever som gick i fristående grundskolor var

16,4 procent. Uppgifterna är exklusive elever i sameskola och internationella skol- enheter.

Läsåret 2024/25 hade 73 procent av eleverna i grundskolan svensk bakgrund och 27 procent utländsk bakgrund vilket var i nivå med föregående läsår.

Antalet nyinvandrade elever i grundskolan uppgick läsåret 2024/25 till 28 689

(51,8 procent pojkar och 48,2 procent flickor), vilket motsvarar 2,6 procent av det totala antalet grundskoleelever. Motsvarande antal och andel elever med okänd bak- grund uppgick till 8 616 och knappt 0,8 procent. Av de nyinvandrade eleverna gick

89 procent i kommunala skolenheter läsåret 2024/25. Även 89 procent av elever med okänd bakgrund gick i kommunala skolenheter läsåret 2024/25.

Läsåret 2024/25 fanns det 3 831 kommunala skolenheter och 813 skolenheter med enskild huvudman inom grundskolan.

Läsåret 2024/25 gick ca 1 320 elever en riksrekryterande spetsutbildning i grund- skolan, vilket är en minskning med 145 elever jämfört med läsåret 2023/24. Av dessa läste den största andelen, 62 procent, en spetsutbildning inom områdena matematik, biologi, fysik och kemi.

Indikator: Resultat på nationella prov i grundskolan

Nationella prov genomförs i vissa ämnen i grundskolans årskurs 3, 6 och 9, special- skolans årskurs 4, 7 och 10 samt i sameskolans årskurs 3 och 6. Syftet med proven är att stödja betygssättningen, förutom i årskurserna 3 och 4 där syftet är att stödja bedömningen av elevernas kunskaper.

Provresultaten ger inte en heltäckande bild av elevernas kunskaper i ett ämne eftersom alla delar av kursplanen inte prövas, men bidrar med underlag för en analys av i vilken utsträckning målen för utbildningen nås. Vid betygssättningen ska dock resultaten på nationella prov särskilt beaktas. Att urvalet av kunskapsområden som prövas kan

49

Prop. 2025/26:1 Utgiftsområde 16

variera mellan åren är en faktor som påverkar resultatens jämförbarhet över tid, varför de resultat som redovisas endast avser 2024.

De nationella proven i årskurs 3 består av flera kortare delprov där resultaten bedöms utifrån om eleverna uppnått eller inte uppnått kravnivån på respektive delprov. Proven är inte konstruerade för en sammanvägning till ett samlat provresultat, dvs. att eleven ska ha klarat ett visst antal delprov eller poäng för att anses ha klarat provet.

Som indikator på måluppfyllelse i årskurs 6 respektive 9 används andelen elever, upp- delat på flickor och pojkar, som har uppnått godkända provbetyg (A–E) på de nationella proven i svenska, svenska som andraspråk, engelska och matematik. För att få ett provbetyg i de olika ämnena måste eleven ha deltagit i alla delprov i ämnet. De redovisade provresultaten avser därmed elever som har deltagit i samtliga delprov.

I majoriteten av de redovisade provresultaten har flickor bättre resultat än pojkar. Vidare har bakgrundsfaktorer som föräldrarnas utbildningsnivå och i vilken årskurs utrikes födda elever har påbörjat sin skolgång i Sverige betydelse för resultaten.

Årskurs 3

I svenska varierade andelen elever som uppnått kravnivån i de olika delproven läsåret 2023/24 mellan 88 och 97 procent. För de elever som följde kursplanen i svenska som andraspråk var andelen lägre och uppgick till mellan 65 och 90 procent. I båda ämnena var andelen elever som hade uppnått kravnivån störst i delprovet som prövar muntlig förmåga. I svenska hade minst andel elever uppnått kravnivån i delprovet om stavning och interpunktion, medan det i svenska som andraspråk var minst andel elever som uppnått kravnivån i delprovet om läsning av faktatext. I båda ämnena hade flickor i högre grad än pojkar uppnått kravnivån i de olika delproven.

I matematik varierade andelen elever som uppnått kravnivån i de olika delproven mellan 80 och 94 procent. Andelen var störst i delprovet om muntlig kommunikation. Minst andel var det i delprovet om skriftliga räknemetoder – addition och subtraktion. Pojkar hade i högre grad uppnått kravnivån i sex av åtta delprov. Störst skillnad var det i delproven som handlar om uppdelning av tal, överslagsräkning och tal i bråkform samt huvudräkning och likhetstecknets betydelse där skillnaden mellan flickor och pojkar var 4 respektive 7 procentenheter.

Årskurs 6

Resultaten från de nationella proven i årskurs 6 i svenska, svenska som andraspråk, matematik och engelska redovisas i diagram 3.3.

50

Prop. 2025/26:1 Utgiftsområde 16

Diagram 3.3 Andel elever som fått minst provbetyg E i nationella prov i årskurs 6 våren 2024

Procent

100

90

80

70

60

50

40

30

20

10

0

Svenska

Svenska som

 

Matematik

 

Engelska

 

 

 

andraspråk

 

 

 

 

 

 

Total

 

 

Flickor

 

Pojkar

 

 

 

 

 

 

 

 

 

 

Källa: Statens skolverk.

I svenska hade 92 procent av eleverna uppnått godkända provbetyg våren 2024. Motsvarande andel var 69 procent i svenska som andraspråk, 84 procent i matematik och 96 procent i engelska.

I ämnena svenska och svenska som andraspråk var det en större andel flickor än pojkar som hade uppnått godkända provbetyg. I ämnena matematik och engelska var det en större andel pojkar än flickor som hade uppnått godkända provbetyg.

Årskurs 9

Resultaten från de nationella proven i årskurs 9 i svenska, svenska som andraspråk, matematik och engelska redovisas i diagram 3.4.

Diagram 3.4 Andel elever som fått minst provbetyg E i nationella prov i årskurs 9 våren 2024

Procent

100

90

80

70

60

50

40

30

20

10

0

Svenska

Svenska som

 

Matematik

 

Engelska

 

 

 

andraspråk

 

 

 

 

 

 

Total

 

 

Flickor

 

Pojkar

 

 

 

 

 

 

 

 

 

 

Källa: Statens skolverk.

Andelen elever i årskurs 9 som våren 2024 hade uppnått godkända provbetyg i svenska var 94 procent och 74 procent i svenska som andraspråk. Motsvarande andel var 85 procent i matematik och 97 procent i engelska. I ämnena svenska och svenska som andraspråk var det en större andel flickor än pojkar som hade uppnått godkända

51

Prop. 2025/26:1 Utgiftsområde 16

provbetyg. I ämnet matematik var det en något större andel pojkar som hade uppnått godkänt provbetyg och i ämnet engelska hade flickor och pojkar lika resultat.

Elever vars föräldrar har kortare utbildning hade generellt sämre resultat på nationella prov än elever vars föräldrar har en längre utbildning. Exempelvis varierade resultaten på proven i svenska, svenska som andraspråk, matematik och engelska för årskurs 9 beroende på föräldrarnas utbildningsnivå. Tidpunkten för start i svensk skola för utri- kes födda elever påverkar också. Resultaten på proven i svenska, svenska som andra- språk, matematik och engelska för elever i årskurs 9 var exempelvis generellt lägre för de elever som hade invandrat vid eller efter ordinarie skolstartsålder (sju års ålder) i jämförelse med de elever som hade invandrat före ordinarie skolstartsålder.

Elevernas kunskapsutveckling i årskurs 6 och årskurs 9

I målet för verksamhetsområdet ingår att utbildningen ska främja elevernas utveckling och lärande. Den indikator som används för att följa denna del av målet när det gäller grundskolan är andelen elever som fått minst betyget E i samtliga ämnen i slutbetyget i årskurs 9. Måluppfyllelsen har följts under många år för elever som avslutat årskurs 9. Måluppfyllelsen har även följts i årskurs 6 från läsåret 2012/13 när betyg i denna årskurs infördes i grundskolan.

En faktor att ta hänsyn till när det gäller betygsutvecklingen som indikator är att det finns konstaterade brister i likvärdigheten vid bedömning och betygssättning (Skol- verkets rapport 475, 2019 och Skolinspektionens rapport 2024:2).

Årskurs 6 – andelen elever som fått minst betyget E i samtliga ämnen

Andelen elever i årskurs 6 som fått minst betyget E i samtliga ämnen som de har läst uppgick våren 2024 till 69,7 procent, vilket är en minskning med 1,5 procentenheter jämfört med 2023, då andelen var 71,2 procent. I diagram 3.5 framgår andelen elever i årskurs 6 som uppnått godkända betyg i alla ämnen. Det ska dock noteras att antalet betygsatta ämnen har ökat över tid. Detta beror delvis på att den timplan som infördes hösten 2018 slog fast att alla elever i årskurs 4–6 ska erbjudas undervisning i moderna språk. Andelen elever som efter ämnesövergripande undervisning i de natur- och samhällsorienterande ämnena har fått ett sammanfattande blockbetyg har även minskat över tid. Detta påverkar jämförbarheten av resultaten över tid.

Flickor hade i högre utsträckning än pojkar godkända betyg i samtliga ämnen våren 2024, 72,2 procent jämfört med 67,4 procent. Andelen flickor som uppnått godkända betyg i samtliga ämnen minskade med 1,5 procentenheter medan motsvarande andel pojkar minskade med 1,4 procentenheter jämfört med våren 2023. Sedan betyg infördes i årskurs 6 läsåret 2012/13 har skillnaden mellan andelen flickor och andelen pojkar som uppnått godkända betyg i alla ämnen legat mellan ca 5 och 7 procent- enheter.

52

Prop. 2025/26:1 Utgiftsområde 16

Diagram 3.5 Andelen elever i årskurs 6 som uppnått godkända betyg i alla ämnen

Procent

100

90

80

70

60

50

40

30

20

10

0 2014/15 2015/16 2016/17 2017/18 2018/19 2019/20 2020/21 2021/22 2022/23 2023/24

Totalt

Flickor

Pojkar

Källa: Statens skolverk.

Indikator: Andelen elever som uppnått betygskriterierna i samtliga grundskolans ämnen i årskurs 9

I diagram 3.6 visas andelen elever i årskurs 9 som fått ett godkänt betyg i alla ämnen.

Diagram 3.6 Andelen elever i årskurs 9 som uppnått godkända betyg i alla ämnen

Procent

100,0

90,0

80,0

70,0

60,0

50,0

40,0

30,0

20,0

10,0

0,0 2014/15 2015/16 2016/17 2017/18 2018/19 2019/20 2020/21 2021/22 2022/23 2023/24

Totalt

Flickor

Pojkar

Anm.: Den minskning som framgår läsåret 2015/16 när det gäller andelen pojkar som uppnått godkända betyg i alla ämnen hänger sannolikt samman med förändringar i elevsammansättningen, där andelen pojkar som var nyinvandrade eller hade okänd bakgrund – och därmed hade kortare tid i svensk skola – uppgick till 13 procent. Läsåret dessförinnan uppgick denna andel till 6 procent.

Källa: Statens skolverk.

Under de senaste fem läsåren har mellan 72 och 76 procent av eleverna avslutat årskurs 9 med godkänt betyg i alla ämnen. Andelen elever som vårterminen 2024 fick minst betyget E i alla ämnen i årskurs 9 uppgick till 71,9 procent, vilket är en minskning med 1,3 procentenheter jämfört med 2023. För elever med svensk bakgrund hade 77,1 procent avslutat årskurs 9 med godkänt betyg i alla ämnen, för elever med utländsk bakgrund var siffran 59,3 procent. Våren 2024 uppnådde

73,0 procent av flickorna och 71,0 procent av pojkarna godkända betyg i alla ämnen, att jämföra med 78,6 respektive 73,7 våren 2020. Det innebär att andelen flickor med godkända betyg har minskat mer än andelen pojkar med godkända betyg sedan våren 2020.

53

Prop. 2025/26:1 Utgiftsområde 16

Det finns skillnader i måluppfyllelse mellan de olika ämnena. De ämnen där störst an- del av eleverna har uppnått ett godkänt betyg är moderna språk läst som elevens val följt av slöjd och bild. De ämnen där minst andel elever har uppnått ett godkänt betyg är svenska som andraspråk och matematik. Det är bara i ämnena idrott och hälsa och matematik som högre andel pojkar än flickor har uppnått godkänt betyg.

Indikator: Andelen elever i årskurs 9 som uppnått behörighet till gymnasieskolans yrkesprogram

I gymnasieskolan finns nationella program som är yrkesprogram eller högskole- förberedande program. För att bli behörig till gymnasieskolans yrkesprogram krävs att eleverna har ett godkänt betyg i minst åtta ämnen från grundskolan och för högskole- förberedande program krävs ett godkänt betyg i minst tolv ämnen. För yrkesprogram krävs minst betyget E i ämnena svenska eller svenska som andraspråk, matematik och engelska samt i ytterligare fem ämnen, som inte är reglerade. För högskole- förberedande program krävs minst betyget E i ämnena svenska eller svenska som andraspråk, matematik och engelska samt i ytterligare nio ämnen. Vilka ämnen det rör sig om varierar beroende på program, dock inte för det estetiska programmet där det inte är reglerat vilka de nio ämnena är. Som indikator används andelen behöriga elever till yrkesprogram, eftersom eleverna därmed är behöriga till ett nationellt program i gymnasieskolan.

Diagram 3.7 Behörighet till gymnasieskolans yrkesprogram

Procent

100,0

90,0

80,0

70,0

60,0

50,0

40,0

30,0

20,0

10,0

0,0 2014/15 2015/16 2016/17 2017/18 2018/19 2019/20 2020/21 2021/22 2022/23 2023/24

Totalt

Flickor

Pojkar

Anm.: Den minskning som framgår läsåret 2015/16 när det gäller andelen pojkar som uppnått behörighet till gymnasieskolans yrkesprogram hänger sannolikt samman med förändringar i elevsammansättningen, där andelen pojkar som var nyinvandrade eller hade okänd bakgrund – och därmed hade kortare tid i svensk skola – uppgick till 13 procent. Läsåret dessförinnan uppgick denna andel till 6 procent.

Källa: Statens skolverk.

I diagram 3.7 visas behörighet till gymnasieskolans yrkesprogram läsåren 2014/15– 2023/24. Våren 2024 var totalt 83,7 procent av eleverna som gick ut grundskolan be- höriga till gymnasieskolans yrkesprogram, 84,1 procent av flickorna och 83,4 procent av pojkarna. Andelen behöriga elever har minskat med 1,5 procentenheter sedan våren 2023. Nästan 19 900 elever saknade behörighet till ett nationellt program i gymnasie- skolan efter vårterminen 2024.

Behörighet uppdelat på elevernas bakgrund

Genomgående för kunskapsresultaten är att de bakgrundsfaktorer som har störst betydelse för elevernas behörighet till ett nationellt program i gymnasieskolan är hur länge eleverna har gått i svensk skola och föräldrarnas utbildningsnivå. Exempelvis är de elever som har minst en förälder med en eftergymnasial utbildning i större

54

Prop. 2025/26:1 Utgiftsområde 16

utsträckning behöriga till ett nationellt program än de elever vars båda föräldrar högst har en gymnasieutbildning. Vidare är t.ex. elever som har invandrat till Sverige före sju års ålder i större utsträckning behöriga jämfört med elever som har färre år i svensk grundskola (se vidare utg.omr. 13 avsnitt 3.3.1 och 6.3.1).

I tabell 3.1 redovisas andelen elever som efter att ha avslutat årskurs 9 är behöriga till gymnasieskolans yrkesprogram, uppdelat efter svensk och utländsk bakgrund. Av tabellen framgår att skillnaderna mellan grupperna är stora.

Tabell 3.1 Andelen elever som efter årskurs 9 var behöriga till gymnasieskolans yrkesprogram uppdelat efter elevernas bakgrund

Procent

 

2016

2017

2018

2019

2020

2021

2022

2023

2024

Svensk bakgrund1

92

91

91

90

91

91

90

89

88

Utländsk bakgrund, född i

 

 

 

 

 

 

 

 

 

Sverige2

87

84

86

83

85

86

84

84

82

Invandrat före skolstart3

89

85

85

84

85

85

84

84

81

Invandrat under åk 1–54

74

69

67

66

68

68

67

68

68

Nyinvandrat (åk 6–9)5

30

28

30

29

32

34

32

34

35

1Elevgrupperna är olika stora och varierar mellan åren. I gruppen ingår ca 89 100 elever våren 2024.

2Elevgrupperna är olika stora och varierar mellan åren. I gruppen ingår ca 14 700 elever våren 2024.

3Elevgrupperna är olika stora och varierar mellan åren. I gruppen ingår ca 6 700 elever våren 2024.

4Elevgrupperna är olika stora och varierar mellan åren. I gruppen ingår ca 8 400 elever våren 2024.

5Elevgrupperna är olika stora och varierar mellan åren. I gruppen ingår ca 2 400 elever våren 2024. Källa: Statens skolverk.

Elevernas förutsättningar att uppfylla behörighetskraven påverkas även av föräldrarnas utbildningsnivå. Andelen elever som är behöriga till gymnasieskolans nationella program är genomgående större bland elever med minst en förälder som har efter- gymnasial utbildning, jämfört med elever vars båda föräldrar som högst har gymnasial utbildning. Detta förhållande gäller oavsett om eleven är född i Sverige eller har invandrat före respektive efter ordinarie skolstartsålder (sju års ålder). Störst skillnad sett till föräldrarnas utbildningsnivå är det bland elever som har börjat i svensk skola efter ordinarie skolstartsålder.

55

Prop. 2025/26:1 Utgiftsområde 16

Diagram 3.8 Andelen elever som var behöriga till gymnasieskolans yrkesprogram uppdelat efter elevernas bakgrund och föräldrarnas utbildningsnivå vårterminen 2024

Procent

 

 

 

 

 

 

 

 

 

 

 

 

 

 

 

 

 

 

 

 

 

 

 

 

100

 

 

 

 

 

 

 

 

 

 

 

 

 

 

 

 

 

 

 

 

 

 

 

 

 

 

93

 

 

 

88

 

 

 

89

 

 

 

 

 

 

 

 

 

 

 

 

 

 

 

 

 

 

 

 

 

 

 

 

 

 

 

 

 

 

 

90

76

 

 

 

 

75

 

 

 

 

 

 

83

 

 

 

 

 

 

 

 

 

 

 

 

 

 

 

 

 

 

 

 

 

 

80

 

 

 

 

 

 

 

 

73

 

 

 

 

 

 

 

 

 

 

 

 

 

 

 

 

 

 

 

 

 

 

 

 

 

 

 

 

 

 

 

 

 

 

 

 

 

 

 

 

 

 

 

 

 

 

 

 

 

 

 

 

 

 

70

 

 

 

 

 

 

 

 

 

 

 

 

 

60

 

 

 

 

 

 

 

60

 

 

 

 

 

 

 

 

 

 

 

 

 

 

 

 

 

 

 

 

 

 

 

 

 

 

 

 

 

 

 

 

 

 

 

 

 

 

53

 

 

 

 

 

 

 

 

 

 

 

 

 

 

 

 

 

 

50

 

 

 

 

 

 

 

 

 

 

 

 

 

 

 

 

 

 

 

 

 

 

 

 

 

 

 

 

 

 

 

 

 

 

 

 

 

 

 

 

 

 

 

 

 

 

 

 

40

 

 

 

 

 

 

 

 

 

 

 

 

 

 

 

 

 

 

 

 

 

 

 

 

30

 

 

 

 

 

 

 

 

 

 

 

 

 

 

 

 

 

 

27

 

 

 

 

 

 

 

 

 

 

 

 

 

 

 

 

 

 

 

 

 

 

 

 

 

 

20

 

 

 

 

 

 

 

 

 

 

 

 

 

 

 

 

 

 

 

 

 

 

 

 

10

 

 

 

 

 

 

 

 

 

 

 

 

 

 

 

 

 

 

 

 

 

 

 

 

0

 

 

 

 

 

 

 

 

 

 

 

 

 

 

 

 

 

 

 

 

 

 

 

 

 

 

 

 

 

 

 

 

 

 

 

 

 

 

 

 

 

 

 

 

 

 

 

 

Svensk bakgrund

Utländsk

Invandrat före

Invandrat under åk Nyinvandrad (åk

 

 

 

bakgrund, född i

skolstart

 

 

1–5

6–9)

 

 

 

Sverige

 

 

 

 

 

 

 

Förgymnasial eller gymnasial utb.

 

 

Eftergymnasial utb.

 

 

 

 

 

 

 

 

 

Anm.: Elevgrupperna blir olika stora när flera kategorier kombineras. Våren 2024 var antalet elever med föräldrar som har högst förgymnasial eller gymnasial utbildning 26 729 för kategorin född i Sverige, inrikes födda föräldrar, 7 034 för född i Sverige, utrikes födda föräldrar, 2 926 för invandrat före skolstart, 4 857 för invandrat under åk 1–5 och 1 025 för nyinvandrad åk 6–9. För elever med minst en förälder med eftergymnasial utbildning är motsvarande antal 62 367,

7 620, 3 059, 3 015 och 786. I diagrammet ingår inte de elever där uppgift om föräldrarnas utbildningsnivå saknas. Källa: Statens skolverk.

Flickor var i högre grad än pojkar behöriga till gymnasieskolans nationella program 2024. Detta gällde både inom gruppen med utländsk bakgrund och för olika nivåer för föräldrarnas utbildning. Med avseende på elever med olika lång tid i svensk skola var skillnaden i behörighet som störst mellan pojkar och flickor som invandrat under årskurs 6–9 (se diagram 3.8).

Indikator: Resultat i internationella studier

Den internationella studien International Computer and Information Literacy Study (ICILS) undersöker digital kompetens hos elever i årskurs 8 avseende dator- och informationskunnighet och datalogiskt tänkande. Studien har genomförts vart femte år sedan 2013. Sverige deltog för första gången i och med ICILS 2023 tillsammans med 33 andra länder. I Sverige deltog drygt 3 400 elever från 147 skolenheter.

ICILS 2023 visar att svenska elever presterar på samma nivå som genomsnittet för de deltagande EU- och OECD-länderna. Det gäller för både dator- och informations- kunnighet och datalogiskt tänkande. Spridningen mellan hög- och lågpresterande elever i Sverige är dock stor, i synnerhet för datalogiskt tänkande.

En majoritet av de svenska eleverna presterar på eller över nivå 2, som i studien anses vara en grundläggande nivå. Samtidigt visar undersökningen att många elever i Sverige

liksom i alla deltagande länder – inte når upp till denna nivå. I Sverige presterar fyra av tio elever under den grundläggande nivån. Dessa elever uppvisar en mindre förmå- ga till självständig datoranvändning och en bristande källmedvetenhet, vilket är grund- läggande för ett effektivt och säkert deltagande i en digital värld med ett komplext och stort informationsflöde. Detta ligger i linje med vad tidigare resultat från ICILS visat om att unga som växer upp i en digital värld inte per automatik får väl utvecklade digitala färdigheter.

Resultaten visar även på tydliga skillnader mellan olika elevgrupper. Skillnaderna är som störst för elever med olika socioekonomisk bakgrund där elever med en mindre

56

Prop. 2025/26:1 Utgiftsområde 16

gynnsam socioekonomisk bakgrund har lägre resultat. Elevernas migrationsbakgrund har också betydelse, men denna skillnad minskar när man tar hänsyn till socio- ekonomisk bakgrund. I Sverige, liksom i merparten av övriga länder, presterar flickor bättre i dator- och informationskunnighet än pojkar. Däremot presterar svenska pojkar bättre än flickor i datalogiskt tänkande, vilket skiljer sig från det internationella genomsnittet och de övriga nordiska länderna där inga signifikanta könsskillnader finns.

Den internationella studien TIMSS undersöker kunskaper i och attityder till matematik och naturvetenskap hos elever i årskurs 4 och årskurs 8. Sverige har deltagit med års- kurs 8 sedan 1995 och med årskurs 4 sedan 2007. I TIMSS 2023 deltog drygt

60 länder och i Sverige deltog totalt omkring 10 000 elever från ca 300 skolor. Sedan 2019 genomförs provet digitalt.

TIMSS 2023 visar att eleverna i Sverige har förbättrat sina resultat i matematik och i naturvetenskap är resultatet oförändrat jämfört med TIMSS 2019. Svenska elever presterar över genomsnittet för EU- och OECD-länderna, förutom i matematik i årskurs 4 där resultatet ligger på genomsnittet.

TIMSS 2023 visar även att elevers migrationsbakgrund och hemförhållanden spelar en allt större roll för elevers resultat. Elever med goda hemförhållanden med t.ex. tillgång till böcker och med högutbildade föräldrar presterar betydligt bättre jämfört med elever som inte har de resurserna i hemmet. Även om Sveriges genomsnittliga resultat har ökat har elevgruppen som har de allra lägsta resultaten inte minskat. De elever som presterar på lägst nivå i naturvetenskap i årskurs 4 har nästan dubblerats jämfört med TIMSS 2019. Elevers migrationsbakgrund har fortsatt betydelse för resultaten. Inrikes födda elever med minst en inrikes född förälder har i genomsnitt högre resultat än både inrikes födda elever med utrikes födda föräldrar och utrikes födda elever.

Pojkars resultat är högre än flickors i matematik i både årskurs 4 och i årskurs 8. I års- kurs 4 beror den genomsnittliga resultatförbättringen på att pojkars resultat har blivit bättre sedan TIMSS 2019. I årskurs 8 bidrar både pojkar och flickor till den genom- snittliga förändringen, men pojkars resultat står för en större del av förändringen sedan 2019. I naturvetenskap finns inga skillnader i resultat mellan pojkar och flickor, vare sig i årskurs 4 eller årskurs 8.

I en nordisk jämförelse är Sverige det land som har störst skillnader mellan elev- grupper utifrån socioekonomi. TIMSS 2023 visar också att elever presterar sämre om de upplever otrygghet och brist på studiero. Resultatet visar stora skillnader mellan elever som går på skolor där studieron är god jämfört med skolor med bristande studiero. Skillnaderna är stora – runt 30–40 poäng – vilket uppskattas till att motsvara undervisning i ca ett läsår på mellanstadiet. En större andel elever i Sverige upplever bristande studiero på en del lektioner än genomsnittet för EU- och OECD-länderna. Även om trenden i TIMSS totalt sett är uppåtgående i matematik och stillastående i naturvetenskap, visade PISA-studien 2022 en negativ trend vilket ger en oklar bild av svenska elevers kunskaper. Det gör det extra viktigt att följa utvecklingen över tid.

3.3.5Anpassade grundskolan

Läsåret 2024/25 var 17 216 elever mottagna i anpassade grundskolan, vilket är en ökning med 7,5 procent jämfört med antalet elever i anpassade grundskolan föregåen- de läsår. Av de 17 216 eleverna i anpassade grundskolan var 33 procent flickor och 67 procent pojkar, vilket är i nivå med föregående läsår. Av samtliga elever i de obligatoriska skolformerna har andelen elever som är mottagna i anpassade grund- skolan ökat kontinuerligt sedan läsåret 2019/20. Läsåret 2024/25 var andelen

57

Prop. 2025/26:1 Utgiftsområde 16

1,5 procent. Läsåret 2024/25 var drygt 1 570 av eleverna integrerade i en grund- skoleklass, vilket motsvarar 9,1 procent av samtliga elever i den anpassade grund- skolan.

Av de elever som var mottagna i anpassade grundskolan gick drygt 4 procent i anpassade grundskolan med enskild huvudman.

För denna skolform saknas en indikator som mäter måluppfyllelse. Att redovisa betygsresultat i anpassade grundskolan som är tillförlitliga över tid innebär svårigheter. Det beror på att betyg i anpassade grundskolans ämnen endast sätts efter begäran från eleven eller elevens vårdnadshavare, att betyg inte sätts för den elev som inte uppnår ett godkänt betyg i ett ämne och att elever som läser ämnesområden i stället för ämnen inte ges betyg.

3.3.6Specialskolan

Läsåret 2024/25 var 790 elever inskrivna i specialskolan, vilket är en ökning med

26 elever, 3 procent, jämfört med föregående läsår. Ökningen avser främst riksskolor. Av eleverna var 38 procent flickor och 62 procent pojkar. Pojkars överrepresentation i elevantalet kan förklaras av att grav språkstörning ofta uppmärksammas tidigare hos pojkar samt att språkstörning är vanligare bland pojkar än bland flickor.

Indikator: Genomsnittligt meritvärde i årskurs 10 och andelen elever med behörighet till gymnasieskolans yrkesprogram

Våren 2024 avslutade 70 elever årskurs 10 i specialskolan med ett genomsnittligt meritvärde på 158,7 meritpoäng (beräknat på 16 ämnen). Detta är en ökning jämfört med föregående år, då den genomsnittliga meritpoängen var 144,6. Våren 2024 var flickornas genomsnittliga meritvärde 154,3 meritpoäng och pojkarnas 160,8. Andelen elever som var behöriga till gymnasieskolans yrkesprogram minskade våren 2024 till 34,3 procent, vilket är en minskning jämfört med föregående år då andelen var

41,4 procent. Av flickorna var 22,7 procent behöriga till gymnasieskolans yrkes- program och av pojkarna var 39,6 procent behöriga.

3.3.7Sameskolan

Det finns fem skolenheter inom sameskolan och under läsåret 2024/25 gick

194 elever i sameskolan, exklusive förskoleklass, vilket var i nivå med föregående år. Av eleverna var 56,2 procent flickor och 43,8 procent pojkar. Utöver sameskola bedriver Sameskolstyrelsen integrerad samisk undervisning som anordnas i grund- skolor och innebär att elever kan få undervisning med samiska inslag utöver moders- målsundervisningen. Av de 12 kommuner som beviljades medel för att bedriva integrerad samisk undervisning under läsåret 2024/25 har endast 10 kommuner bedrivit verksamhet under höstterminen 2024. Under höstterminen 2024 deltog 209 elever i den integrerade undervisningen, vilket var en minskning med 12 elever jämfört med höstterminen 2023. Antalet undervisningstimmar minskade från 4 688 under höstterminen 2023 till 3 472 timmar under höstterminen 2024.

Läsåret 2023/24 gick 147 barn i samisk förskola, vilket är en ökning med 12 barn jäm- fört med föregående läsår. Antalet elever i fritidshem vid sameskolorna uppgick till 118 elever, vilket är en mindre ökning jämfört med föregående läsår.

Indikator: Resultat på nationella prov i årskurs 6 och andelen elever som uppnått minst betyget E i alla ämnen

Under läsåret 2023/24 gick 23 elever i årskurs 6 i sameskolan. Resultaten för dessa elever på de nationella proven i årskurs 6 kan inte redovisas på grund av risk för

58

Prop. 2025/26:1 Utgiftsområde 16

röjande av enskild individ. Även uppgiften om andel elever i årskurs 6 i sameskolan som fick minst betyget E i alla ämnen är skyddad av sekretesskäl.

3.3.8Fritidshemmet

Totalt uppgick antalet elever i fritidshem 2024/25 till ca 499 000, vilket är en minskning med omkring 2 230 elever sedan föregående år. Andelen elever som gick i fritidshem med enskild eller statlig huvudman uppgick till 14,1 procent, vilket är i nivå med föregående år. Antalet fritidshem uppgick totalt till 4 070.

I det följande redovisas statistiken om elever i fritidshemmet fördelad på olika ålders- grupper. Från och med läsåret 2022/23 används en ny beräkningsmetod för att beräkna antalet avdelningar i fritidshem. Den nya beräkningsmetoden gör att antalet fritidshem och avdelningar minskar och därmed ökar det genomsnittliga antalet elever per avdelning något. Från och med läsåret 2022/23 har även elever i fritidshemmet som saknar personnummer exkluderats i beräkningarna av andel inskrivna elever i fritidshemmet.

Indikator: Deltagande i fritidshem

Andelen av alla elever i åldern 6–12 år som var inskrivna i fritidshem 2024/25 var 57,2 procent, vilket är i nivå med föregående år. Av eleverna var 48,4 procent flickor och 51,6 procent pojkar, vilket främst hänger samman med att andelen pojkar i befolkningen är större än andelen flickor.

Andelen elever i åldern 6–9 år som gick i fritidshem 2024/25 var 84,5 procent, jämfört med 84,0 procent föregående år. Motsvarande andel barn bland elever i åldern 10–12 år var 21,7 procent, vilket är i nivå med föregående år.

I genomsnitt var antalet elever per avdelning 35,1 under 2024/25, jämfört med 36,0 elever föregående år.

3.3.9Gymnasieskolan

Cirka 98 procent av alla ungdomar som slutar grundskolan börjar i någon av de olika utbildningarna inom gymnasieskolan läsåret därefter. Hösten 2024 gick ca 372 000 elever i gymnasieskolan, vilket är en ökning med 4 800 elever eller drygt 1 procent jämfört med året innan (se diagram 3.9).

Antalet elever i skolor med en kommun som huvudman ökade med 1,4 procent och uppgick hösten 2024 till ca 251 700 elever (120 100 kvinnor och 131 600 män). Antalet elever i fristående gymnasieskolor ökade med 1,2 procent och uppgick 2024 till 117 800 elever (59 600 kvinnor och 58 200 män). Antalet elever i skolor med en re- gion som huvudman ökade något och uppgick 2024 till 2 280 personer (1 240 kvinnor och 1 040 män). Av alla elever i gymnasieskolan hösten 2024 gick 67,7 procent i en kommunal skola, 31,7 procent i en fristående skola och 0,6 procent i en skola som drevs av en region.

59

Prop. 2025/26:1 Utgiftsområde 16

Diagram 3.9 Elevutveckling i gymnasieskolan

Antal elever

450000

400000

350000

300000

250000

200000

150000

100000

50000

0 2004/05 2006/07 2008/09 2010/11 2012/13 2014/15 2016/17 2018/19 2020/21 2022/23 2024/25

 

 

Alla elever

Kommunala skolor

 

Fristående skolor

 

 

 

 

 

 

 

 

 

Källa: Statens skolverk.

 

 

 

Andelen kvinnor i gymnasieskolan hösten 2024 var 49 procent och andelen män 51 procent.

Läsåret 2023/24 gick 60 procent (65 procent av kvinnorna och 56 procent av männen) av eleverna i gymnasieskolan ett högskoleförberedande program, 30 procent (25 procent av kvinnorna och 34 procent av männen) ett yrkesprogram och

10 procent (10 procent av kvinnorna och 10 procent av männen) ett introduktions- program. Jämfört med föregående läsår har andelen elever på yrkesprogram ökat

0,5 procentenheter och andelen elever på högskoleförberedande program minskat

0,5 procentenheter. Andelen på introduktionsprogram har inte förändrats.

Hösten 2024 fanns det ca 18 950 lärlingar i gymnasieskolan varav 16 190 gick yrkes- program och 2 760 gick introduktionsprogram. Totalt innebär det en ökning med

ca 1 400 lärlingar jämfört med hösten 2023. Av lärlingarna var 41 procent kvinnor och 59 procent män. Jämfört med föregående läsår har andelen kvinnor ökat med två procentenheter. Läsåret 2024/25 gick ca 2 900 elever en riksrekryterande spets- utbildning i gymnasieskolan, vilket är en ökning med ca 130 elever jämfört med läsåret 2023/24. Av dessa läste den största delen, 61 procent, en spetsutbildning inom ramen för det estetiska programmet. Under 2024 har försöksverksamheten med riks- rekryterande spetsutbildningar inom matematik eller naturvetenskapliga, teknik- vetenskapliga, samhällsvetenskapliga eller humanistiska ämnen i gymnasieskolan permanentats efter att tidigare ha bedrivits i form av en försöksverksamhet.

Inför läsåret 2024/25 var det 38 procent av dem som sökt till ett nationellt program som sökte ett yrkesprogram som sitt förstahandsval, vilket innebär en ökning med 0,5 procentenheter jämfört med året innan. Andelen nybörjarelever på yrkesprogram var en procentenhet högre än föregående läsår och uppgick till 32 procent.

Sammanlagt var det 119 079 elever (57 945 kvinnor och 61 134 män) som för första gången gick i gymnasieskolans årskurs 1 hösten 2024. Av dessa nybörjarelever började 27,7 procent på ett yrkesprogram, 60 procent på ett högskoleförberedande program och 12,3 procent på ett introduktionsprogram. Andelen nybörjarelever i årskurs 1 på yrkesprogram är oförändrad på 27,7 procent jämfört med hösten 2023. Andelen nybörjarelever i årskurs 1 på högskoleförberedande program har minskat med en procentenhet till 60,0 procent. Andelen nybörjarelever på introduktionsprogram har ökat med en procentenhet och uppgick till 12,3 procent hösten 2024.

60

Prop. 2025/26:1 Utgiftsområde 16

Indikator: Resultat på nationella prov

Sedan den 1 januari 2018 är det obligatoriskt med nationella prov i engelska, matematik och svenska eller svenska som andraspråk i den högsta avslutande kursen för programmet och inriktningen. Från och med höstterminen 2023 gäller att nationella prov på yrkesprogram ska användas i den inledande kursen i studievägen i ämnena svenska eller svenska som andraspråk, engelska och matematik samt i den högsta avslutande kursen i studievägen i dessa ämnen, med undantag för kursen svenska 2 eller svenska som andraspråk 2. Majoriteten av de nationella proven genomförs under våren. Nedan redovisas provresultat för elever som fått ett provbetyg våren 2024, dvs. för de elever som genomförde alla delprov i aktuellt obligatoriskt prov.

Prov i kursen engelska 5 var våren 2024 obligatoriskt för alla elever på yrkesprogram och på riksrekryterande utbildningar. Prov i engelska 6 var obligatoriskt för elever på högskoleförberedande program, hotell- och turismprogrammet samt den riks- rekryterande flygteknikutbildningen. I engelska 5 fick 95,5 procent av eleverna med provbetyg våren 2024 ett godkänt provbetyg, dvs. något av provbetygen A–E

(94,5 procent av kvinnorna och 96,2 procent av männen). I engelska 6 var mot- svarande andel 98,4 procent (98 procent av kvinnorna och 98,8 procent av männen).

Prov i kursen svenska 1 eller svenska som andraspråk 1 var obligatoriska för alla elever på yrkesprogram och elever på riksrekryterande utbildningar. Våren 2024 var det

86,9 procent av de elever som gjorde provet i svenska 1 (93,7 procent av kvinnorna och 81,9 procent av männen) som fick minst godkänt provbetyg. Av de elever som gjorde provet i svenska som andraspråk 1 var det 74,4 procent (81,6 procent av kvinnorna och 69,1 procent av männen) som fick godkänt provbetyg. Prov i svenska 3 eller svenska som andraspråk 3 var obligatoriska på samtliga högskoleförberedande program. Våren 2024 var det 93,4 procent av de elever som gjorde provet i svenska 3 (95,9 procent av kvinnorna och 90,5 procent av männen) som fick minst godkänt provbetyg. Motsvarande siffror för dem som gjorde provet i svenska som andraspråk 3 var 86 procent (89,6 procent av kvinnorna och 82,1 procent av männen).

Prov i kursen matematik 1a var obligatoriskt för elever på yrkesprogram och elever på vissa riksrekryterande yrkesutbildningar. Det var 70,4 procent av alla elever med prov- betyg (68,6 procent av kvinnorna och 71,7 procent av männen) som fick minst ett godkänt provbetyg på detta prov våren 2024. Av eleverna på de estetiska och humanistiska programmen, för vilka det var obligatoriskt att genomföra prov i matematik 1b, fick 76,8 procent (77,2 procent av kvinnorna och 75,8 procent av männen) minst ett godkänt provbetyg. Eleverna på samhällsvetenskapsprogrammet och ekonomiprogrammet med inriktning mot juridik läser matematik 2b som högsta obligatoriska avslutande kurs, och av dem fick 63,2 procent (65,5 procent av kvinnorna och 59,1 procent av männen) minst ett godkänt provbetyg på kursprovet. Andelen elever med godkända provresultat i matematik 1a våren 2024 var högre jämfört med våren 2023. Andelen elever med godkänt provresultat i matematik 1b ligger i nivå med våren 2023. I matematik 2 var andelen elever med godkända provresultat lägre jämfört med våren 2023 vilket i sin tur var en förbättring jämfört med våren 2022. För de elever som läser ekonomiprogrammet med inriktning mot ekonomi var det obligatoriskt att genomföra prov i matematik 3b, och 62,6 procent av dem (67,1 procent av kvinnorna och 59,5 procent av männen) fick minst godkänt provbetyg. För elever på naturvetenskapsprogrammet med inriktning mot natur- vetenskap och elever på teknikprogrammet med inriktning mot teknikvetenskap var kursen matematik 4 högsta obligatoriska avslutande kurs medan elever på övriga inriktningar på dessa program hade matematik 3c som högsta avslutande kurs. Det var 83,7 procent av eleverna (82,8 procent av kvinnorna och 84,4 procent av männen) som fick provbetygen A–E på provet i matematik 4, och 70,8 procent av eleverna

61

Prop. 2025/26:1 Utgiftsområde 16

(72,2 procent av kvinnorna och 70,3 procent av männen) som fick dessa provbetyg på provet i matematik 3c.

Indikator: Genomsnittlig betygspoäng

Alla elever ska ges förutsättningar att nå de nationella målen. Den genomsnittliga betygspoängen, dvs. det genomsnittliga värdet av alla betyg som redovisas i elevens examensbevis eller studiebevis om minst 2 500 betygsatta gymnasiepoäng, är en indikator på i vilken mån det här målet har uppfyllts. Den genomsnittliga betygs- poängen i gymnasieskolan läsåret 2023/24 var 14,4 av maximalt 20 poäng. Det är en minskning med 0,1 poäng jämfört med föregående läsår. Den genomsnittliga betygs- poängen har sedan läsåret 2013/14 varierat mellan 14,0 och 14,5 poäng.

Det finns dock påtagliga skillnader mellan könen i uppnådda betygspoäng. Våren 2024 var den genomsnittliga betygspoängen för kvinnor 15,0 poäng och för män

13,9 poäng, vilket är oförändrat för män jämfört med föregående år och en minskning med 0,1 poäng för kvinnorna.

Kvinnor med svensk bakgrund hade i genomsnitt 15,3 poäng medan kvinnor med utländsk bakgrund i genomsnitt hade 14,0 poäng. Motsvarande resultat var för män 14,2 respektive 12,8 poäng.

Indikator: Andel elever som slutfört utbildningen inom tre år

Utbildningen i gymnasieskolans nationella program genomförs normalt på tre år. Av dem som började på ett nationellt program i gymnasieskolan hösten 2021 hade

86,2 procent slutfört utbildningen våren 2024, med examen eller studiebevis om minst 2 500 betygsatta gymnasiepoäng. Andelen har ökat med 0,3 procentenheter jämfört med den föregående elevkullen.

Av samtliga elever som började på ett nationellt program eller ett introduktions- program i gymnasieskolan hösten 2021, slutförde 77,0 procent gymnasieskolan med examen eller studiebevis om minst 2 500 betygsatta gymnasiepoäng inom tre år. Kvinnor gjorde det i högre grad än männen, 77,8 procent jämfört med 76,2 procent. Elever med svensk bakgrund gjorde det i högre grad än de med utländsk bakgrund, 81,5 procent jämfört med 64,5 procent. Elever som började på ett högskole- förberedande program hösten 2021 slutförde gymnasieskolan inom tre år i större utsträckning än elever som påbörjade ett yrkesprogram. Av dem som började på ett högskoleförberedande program slutförde 88,3 procent gymnasieskolan inom tre år. Motsvarande andel för yrkesprogram var 81,3 procent.

Orsaker till längre studietid än tre år

Att inte fler slutför gymnasieskolan inom tre år beror delvis på att nästan 10 procent av eleverna i gymnasieskolan byter program, vilket kan förlänga studietiden. Studie- tiden kan även bli längre om eleven gör ett studieuppehåll.

Att studietiden blir längre än tre år kan också till stor del förklaras av att ca 14 procent av nybörjarna i gymnasieskolan inte har varit behöriga till ett nationellt program och därför börjat sin gymnasietid på ett introduktionsprogram. Ungefär en femtedel av eleverna på introduktionsprogrammen är nyinvandrade eller har invandrat till Sverige under grundskolans senare årskurser. Av de elever som 2019 var nybörjare på ett introduktionsprogram hade 11 procent (11,7 procent av kvinnorna och 10,3 procent av männen) slutfört gymnasieskolan med examen eller studiebevis om minst

2 500 gymnasiepoäng från ett nationellt program efter tre år, vilket är en ökning med en procentenhet jämfört med nybörjare 2018. Av nybörjare 2019 hade 23,1 procent (24,5 procent för kvinnor och 22,1 procent för män) slutfört gymnasieskolan efter fyra

62

Prop. 2025/26:1 Utgiftsområde 16

år, vilket är en ökning med 0,6 procentenheter jämfört med nybörjare 2018, och

28,7 procent (30,8 procent för kvinnor och 27,1 procent för män) efter fem år, vilket är en ökning med 0,6 procentenheter jämfört med nybörjare 2018.

Indikator: Andel elever som har uppnått kraven för grundläggande behörighet till högskoleutbildning inom tre år

För att kunna antas till en högskoleutbildning på grundnivå som vänder sig till nybörjare krävs grundläggande behörighet. Det innebär att den sökande har nödvändiga kompetenser för att tillgodogöra sig en sådan utbildning. Sådana nödvändiga kompetenser anses t.ex. den sökande ha som har avlagt en högskole- förberedande examen i gymnasieskolan eller inom kommunal vuxenutbildning på gymnasial nivå och den sökande som har avlagt en yrkesexamen i gymnasieskolan eller inom kommunal vuxenutbildning på gymnasial nivå samt har lägst betyget E i de kurser i svenska eller svenska som andraspråk och engelska som krävs för en hög- skoleförberedande examen i gymnasieskolan. Sedan hösten 2023 gäller nya bestämmelser som gör det lättare för elever på gymnasieskolans yrkesprogram att nå grundläggande behörighet till en högskoleutbildning. Förändringen innebar att kurserna svenska 2 och 3 eller svenska som andraspråk 2 och 3 samt engelska 6 ingår i den gymnasiegemensamma delen i programstrukturen. Programstrukturen utökades därmed till 2 800 poäng, respektive 2 700 poäng på de program där någon av de nämnda kurserna redan ingår i ordinarie programstruktur. De första eleverna som läser enligt det nya systemet påbörjade en yrkesutbildning hösten 2023 och väntas ta gymnasieexamen våren 2026.

Av eleverna som började gymnasieskolan hösten 2021 uppnådde 57,3 procent kraven för grundläggande behörighet inom tre år. Här ingår elever både på nationella program och på introduktionsprogram. Det är en minskning med 0,2 procentenheter jämfört med den föregående elevkullen. Kvinnor uppnådde grundläggande behörighet i högre utsträckning än män, 63,2 procent jämfört med 51,7 procent (se diagram 3.10). Elever med utländsk bakgrund uppnådde kraven för grundläggande behörighet i lägre grad än elever med svensk bakgrund, 47,3 procent jämfört med 61,0 procent. Jämfört med föregående år har skillnaderna mellan grupperna minskat med 1,7 procent- enheter.

Diagram 3.10 Andel nybörjare i gymnasieskolan som uppnått grundläggande behörighet till högskolan inom tre år

Procent

100

90

80

70

60

50

40

30

20

10

0 2006 2007 2008 2009 2010 2011 2012 2013 2014 2015 2016 2017 2018 2019 2020 2021

Totalt

Kvinnor

 

Män

 

Källa: Statens skolverk.

63

Prop. 2025/26:1 Utgiftsområde 16

Av de elever som påbörjade ett högskoleförberedande program hösten 2021 och som inte varit inskrivna i gymnasieskolan tidigare uppnådde 81,2 procent kraven för grund- läggande behörighet efter tre år. Motsvarande andel av dem som påbörjade ett yrkes- program hösten 2021 var 27,3 procent. Skillnaden mellan olika yrkesprogram är dock stor. Det varierar mellan 7,2 procent och 61,2 procent.

Våren 2024 fick ungefär 96 600 elever ett examens- eller studiebevis omfattande minst 2 500 gymnasiepoäng, oavsett hur länge de hade gått i gymnasieskolan. Av dessa elever uppnådde 72,4 procent kraven för grundläggande behörighet till högskole- utbildning. Det är en ökning med 0,2 procentenheter jämfört med föregående år. Andelen kvinnor som uppnådde kraven för grundläggande behörighet till högskole- utbildning var 79,3 procent, medan motsvarande andel för männen var 65,7 procent.

Sammantaget har 56,5 procent av dem som fyllde 20 år under 2024 uppnått kraven för grundläggande behörighet, vilket är 0,1 procentenheter högre än för dem som fyllde 20 år under 2023. Av kvinnorna som fyllde 20 år under 2024 hade 63,4 procent uppnått kraven för grundläggande behörighet och för männen var andelen

50,1 procent.

Etableringen på arbetsmarknaden är högre bland ungdomar som slutfört gymnasieskolan

Tabell 3.2 Andel etablerade på arbetsmarknaden respektive studerande inom högskolan utifrån studieresultat på yrkesprogram under 2022

Procent

 

 

Andel etablerade på

 

 

 

Varken arbetande

 

 

arbetsmarknaden

Andel högskolestuderande

eller studerande

 

Totalt

Kvinnor

Män

Totalt

Kvinnor

Män

Totalt

 

 

 

 

 

 

 

 

Tog examen

64

54

71

9

15

4

3

Slutförde studierna utan

 

 

 

 

 

 

 

examen med studiebevis

 

 

 

 

 

 

 

om minst 2 500 poäng

53

45

57

1

2

0,7

6

 

 

 

 

 

 

 

 

Slutförde studierna utan

 

 

 

 

 

 

 

examen med studiebevis

 

 

 

 

 

 

 

om färre än 2 500 poäng

 

 

 

 

 

 

 

eller avbrutit under år 3

44

39

47

1

2

0,3

11

 

 

 

 

 

 

 

 

Avbrutit i förtid under år 1

 

 

 

 

 

 

 

eller år 2

27

25

28

0,6

1

0,1

17

 

 

 

 

 

 

 

 

Anm.: Etableringsstatus tre år efter avslutade gymnasiestudier bland ungdomar som

slutförde gymnasieskolan läsåret 2018/19 alternativt påbörjade gymnasiestudier och är födda 2000. I statistiken som ligger till grund för redovisningen redovisas fler kategorier än de i tabellen.

Källa: Statens skolverk.

Tabell 3.3 Andel etablerade på arbetsmarknaden respektive studerande inom högskolan utifrån studieresultat på ett högskoleförberedande program under 2022

Procent

 

Andel etablerade på

 

 

 

Varken arbetande

 

 

arbetsmarknaden

Andel högskolestuderande

eller studerande

 

Totalt

Kvinnor

Män

Totalt

Kvinnor

Män

Totalt

 

 

 

 

 

 

 

 

Tog examen

23

21

25

58

62

54

2

 

 

 

 

 

 

 

 

Slutförde studierna utan

 

 

 

 

 

 

 

examen med studiebevis

 

 

 

 

 

 

 

om minst 2 500 poäng

40

38

42

15

19

12

4

 

 

 

 

 

 

 

 

Slutförde studierna utan

 

 

 

 

 

 

 

examen med studiebevis

 

 

 

 

 

 

 

om färre än 2 500 poäng

 

 

 

 

 

 

 

eller avbrutit under år 3

31

31

32

11

14

9

10

 

 

 

 

 

 

 

 

64

Prop. 2025/26:1 Utgiftsområde 16

 

Andel etablerade på

 

 

 

Varken arbetande

 

 

arbetsmarknaden

Andel högskolestuderande

eller studerande

 

Totalt

Kvinnor

Män

Totalt

Kvinnor

Män

Totalt

Avbrutit i förtid under år 1

 

 

 

 

 

 

 

eller år 2

20

19

22

6

9

3

18

 

 

 

 

 

 

 

 

Anm.: Etableringsstatus tre år efter avslutade gymnasiestudier bland ungdomar som

slutförde gymnasieskolan läsåret 2018/19 alternativt påbörjade gymnasiestudier och är födda 2000. I statistiken som ligger till grund för redovisningen redovisas fler kategorier än de i tabellen.

Källa: Statens skolverk.

Företagande, och att få träna entreprenörskap, kan vara en väg till etablering på arbets- marknaden. Under utgiftsområde 24 avsnitt 3.3.3 redovisas resultat av Skolverkets och andra aktörers stöd till organisationer för att främja entreprenörskap bland unga i bl.a. grundskolan och gymnasieskolan.

För mer statistik om unga som varken arbetar eller studerar, se utgiftsområde 17 Kultur, medier, trossamfund och fritid, avsnitt 14 Ungdomspolitik.

Övergång till högskola och kommunal vuxenutbildning

Andelen elever som avslutade gymnasieskolan våren 2023 och påbörjade en högskole- utbildning under hösten 2023 eller våren 2024 var 20,2 procent, en ökning från föregående år då motsvarande siffra var 20,0 procent. Kvinnor fortsätter oftare än män att studera vidare på högskolan. Av de kvinnor som slutförde gymnasieskolan våren 2023 gick 23,6 procent direkt över till högskolestudier, jämfört med

16,9 procent av männen. Av de elever med utländsk bakgrund som avslutade gymnasieskolan 2023 började 30,2 procent studera på högskolan följande år, att jämföra med 17,1 procent av eleverna med svensk bakgrund. För elever med utländsk bakgrund var det en ökning med en procentenhet jämfört med föregående elevkull. Av kvinnorna med utländsk bakgrund började 36,4 procent studera på högskolan året efter avslutad gymnasieskola. Motsvarande andel för männen med utländsk bakgrund var 24,1 procent. När det gäller elever med svensk bakgrund började 19,6 procent av kvinnorna studera på högskolan året efter avslutad gymnasieskola medan motsvarande andel för männen var 14,7 procent.

Andelen ungdomar som påbörjar en högskoleutbildning inom tre år efter avslutad gymnasieskola med examens- eller studiebevis om minst 2 500 gymnasiepoäng minskade från 45,5 procent av dem som avslutade gymnasieskolan våren 2020 till 44,3 procent av dem som avslutade gymnasieskolan våren 2021. Det är ett avbrott i den uppåtgående trend som varat sedan införandet av Gy11.

Av alla elever som gick tredje året i gymnasieskolan läsåret 2022/23 gick 14,5 procent över till kommunal vuxenutbildning (komvux) följande läsår, vilket är en ökning med 1,2 procentenheter jämfört med läsåret 2021/22. Det är i stor utsträckning de som inte har fått en examen från gymnasieskolan som studerar på komvux. Av de elever som gick tredje året i gymnasieskolan hösten 2022 och som inte hade fått en examen våren 2023 var det totalt 31,0 procent som studerade på komvux läsåret 2023/24, att jämföra med 10,1 procent av de elever som fått examen.

Av de kvinnor som gick tredje året i gymnasieskolan hösten 2022 och som inte hade fått en examen eller motsvarande våren 2023 var det totalt 37,8 procent som studerade på komvux läsåret 2023/24. Motsvarande andel av männen var 25,7 procent.

Elever med utländsk bakgrund går över till komvux i större utsträckning än elever med svensk bakgrund. Av eleverna med utländsk bakgrund som gick tredje året i gymnasieskolan hösten 2022 och som inte hade fått en examen vårterminen 2023 läste totalt 42,1 procent vidare på komvux följande läsår. Av kvinnor med utländsk bakgrund läste 51,9 procent vidare på komvux, och för männen var motsvarande

65

Prop. 2025/26:1 Utgiftsområde 16

andel 34,6 procent. För elever med svensk bakgrund var denna andel 22,6 procent (27,4 procent av kvinnorna och 18,9 procent av männen).

Introduktionsprogram: Övergång till nationella program, annan utbildning och arbetsmarknaden

Syftet med introduktionsprogrammen är att ge elever som inte är behöriga till ett nat- ionellt program i gymnasieskolan möjlighet att bli behöriga till att studera på ett sådant program, gå vidare till annan utbildning eller förbereda sig för etablering på arbets- marknaden.

Att en elev byter från ett introduktionsprogram till ett nationellt program är ett tecken på studieframgång och är därmed en önskvärd utveckling. Av nybörjarna på ett intro- duktionsprogram under första skolåret hösten 2023 hade 40,1 procent (40,2 procent av kvinnorna och 40,0 procent av männen) bytt utbildning ett år senare. Störst andel, 19,9 procent (19,5 procent av kvinnorna och 20,2 procent av männen), hade bytt till ett yrkesprogram, 7,3 procent (8,3 procent av kvinnorna och 6,5 procent av männen) hade bytt till ett högskoleförberedande program och 12,9 procent (12,4 procent av kvinnorna och 13,4 procent av männen) till ett annat introduktionsprogram. Skillnaderna är stora mellan introduktionsprogrammen eftersom programmen har skilda syften.

Drygt hälften av eleverna som börjar på ett introduktionsprogram går ingen ytterligare utbildning i gymnasieskolan, eftersom de inte hinner uppnå behörighet till ett nationellt program före 20 års ålder eller för att de redan har etablerat sig på arbets- marknaden genom att de exempelvis har läst ett nationellt yrkespaket. Skolverkets statistik över etablering efter gymnasieskolan våren 2021 inkluderar även dessa ungdomar. Det innebär att det genom Skolverkets statistik går att följa elevers sysselsättning efter att de har fullföljt eller avbrutit sin utbildning på ett introduktions- program och sedan lämnat gymnasieskolan, dvs. elever vars sista utbildning i gymnasieskolan var på ett introduktionsprogram. Av de elever som sist var registrerade på ett introduktionsprogram hade, ett år senare, 16,5 procent en etablerad ställning på arbetsmarknaden, 34,7 procent en osäker eller svag ställning på arbets- marknaden, 23,0 procent studerade och 25,8 procent varken arbetade eller studerade. Andelen unga som varken arbetade eller studerade efter ett introduktionsprogram minskade med 3,5 procentenheter jämfört med föregående år. Männen hade i högre grad en etablerad ställning på arbetsmarknaden än kvinnorna, 20,3 procent jämfört med 11,2 procent. Kvinnor övergår i större uträckning än män till studier. Andelen kvinnor som studerade var 30,9 procent jämfört med 17,5 procent av männen.

3.3.10Anpassade gymnasieskolan

Hösten 2024 gick ca 7 570 elever i anpassade gymnasieskolan, vilket är en ökning med 5 procent jämfört med föregående år.

Drygt 89 procent av eleverna gick hösten 2024 i anpassade gymnasieskolan med en kommun som huvudman, medan ca 9 procent gick i en fristående anpassad gymnasie- skola och 2 procent i skolor som drivs av en region.

Av eleverna i anpassade gymnasieskolan gick 58 procent ett nationellt program och 42 procent ett individuellt program.

Det är fler män än kvinnor som går i anpassade gymnasieskolan och så ser det ut både på de nationella och de individuella programmen. Läsåret 2024/25 var det 40 procent kvinnor och 60 procent män i anpassade gymnasieskolan. Könsfördelningen var i stort sett likadan både på de nationella programmen (40 procent kvinnor och 60 pro-

66

Prop. 2025/26:1 Utgiftsområde 16

cent män) och på de individuella programmen (39 procent kvinnor och 61 procent män).

Det finns ingen indikator för att mäta måluppfyllelse i anpassade gymnasieskolan. Sedan 2019 finns möjlighet att samla in uppgifter om resultat på individnivå för elever i anpassade gymnasieskolan. År 2024 har Skolverket för tredje gången kunnat följa upp och redovisa statistik om sysselsättning efter studier i anpassade gymnasieskolan. I uppföljningen ingick 4 269 ungdomar som avslutade sin utbildning inom anpassade gymnasieskolan våren 2020, 2021 och 2022. Hösten 2022 hade 57 procent av ung- domarna daglig verksamhet som sysselsättning, 10 procent studerade och 18 procent var i arbete. Drygt var femte ungdom varken arbetade, studerade eller hade daglig verksamhet. I statistiken kan en ungdom förekomma i flera sysselsättningskategorier.

Av ungdomarna i uppföljningen hade 44 procent studerat på ett individuellt program. Av dessa ungdomar deltog 80 procent i daglig verksamhet och 10 procent studerade hösten 2022. Mycket få av ungdomarna, 5 procent hade ett arbete och 15 procent varken arbetade, studerade eller hade daglig verksamhet efter att ha gått individuella program i anpassade gymnasieskolan.

I uppföljningen hade 56 procent av ungdomarna studerat på ett nationellt program. Av dessa ungdomar var det 27 procent som varken arbetade, studerade eller hade daglig verksamhet hösten 2022. Ungefär 39 procent hade daglig verksamhet,

11 procent studerade och 28 procent hade ett arbete hösten 2022.

3.3.11Kostnader för området Barn- och ungdomsutbildning

De uppgifter som redovisas i tabell 3.4 om kostnader för 2024 bygger på preliminär statistik.

Tabell 3.4

Kostnadstabell för skolformer i skolväsendet

 

Tusental kronor

 

Total kostnad 2023

Total kostnad 2024

 

 

 

 

Förskolan

 

94 300 000

94 400 000

 

 

 

Annan pedagogisk verksamhet1

1 020 000

980 000

Förskoleklassen

9 500 000

9 600 000

 

 

 

 

Grundskolan

 

152 300 000

156 000 000

Anpassade grundskolan

7 500 000

8 150 000

 

 

 

 

Specialskolan

 

808 000

819 000

 

 

 

 

Sameskolan

 

114 000

118 000

Fritidshemmet

 

22 800 000

23 300 000

 

 

 

Gymnasieskolan

51 000 000

52 100 000

 

 

 

Anpassade gymnasieskolan

3 500 000

3 600 000

1Kostnaden innefattar endast barn i pedagogisk omsorg.

Anm.: Kostnader för kommunal vuxenutbildning redovisas i avsnitt 4.3.

Källor: Statens skolverk och årsredovisning 2024 för Specialpedagogiska skolmyndigheten och Sameskolstyrelsen.

Tabell 3.5

Kostnad per barn/elev i genomsnitt per skolform

 

 

 

Kostnad per barn/elev i

Kostnad per barn/elev i

Kronor

 

genomsnitt 2023

genomsnitt 2024

 

 

 

 

Förskolan

 

187 000

191 700

 

 

 

Annan pedagogisk verksamhet1

159 800

175 900

Förskoleklassen

77 700

80 500

 

 

 

 

Grundskolan

 

137 100

140 300

Anpassade grundskolan

533 600

539 700

 

 

 

 

Specialskolan

 

1 057 000

1 037 000

 

 

 

 

Sameskolan2

 

294 000

295 000

67

Prop. 2025/26:1 Utgiftsområde 16

 

Kostnad per barn/elev i

Kostnad per barn/elev i

Kronor

genomsnitt 2023

genomsnitt 2024

Fritidshemmet

46 100

46 800

 

 

 

Gymnasieskolan

141 000

143 000

 

 

 

Anpassade gymnasieskolan

507 900

508 600

 

 

 

1Kostnaden innefattar endast barn i pedagogisk omsorg. Övrig verksamhet redovisas inte per barn/elev.

2Genomsnittskostnaden per barn i förskolan uppgick 2024 till ca 265 000 kronor. För 2023 uppgick kostnaden till ca

268000 kronor.

Anm.: Kostnader för kommunal vuxenutbildning redovisas i avsnitt 4.3.

Källor: Statens skolverk och årsredovisning 2024 för Specialpedagogiska skolmyndigheten och Sameskolstyrelsen.

3.3.12Andra bedömningsgrunder

Bedömningsgrund

Attityder till skolan 2024

Attityder till skolan är Skolverkets enkätundersökning till elever i grundskolans årskurs 4–9 och gymnasieskolan samt lärare i samma skolformer. Undersökningen presenteras i fyra delrapporter. Det var ca 3 300 lärare och ca 6 400 elever som svarade på enkäterna. Svarsfrekvensen bland eleverna uppgick till knappt 60 procent.

I delrapport 1: Elevers och lärares trivsel, motivation och stress (rapport 2024:15) framgår att drygt åtta av tio elever upplever att det är mycket eller ganska viktigt att det går bra i skolan. Motivationen är högre i grundskolan än i gymnasieskolan.

När det gäller trivsel visar undersökningen att cirka tre av fyra elever i grundskolan och gymnasieskolan trivs mycket eller ganska bra i skolan. Samtidigt trivs ungefär var tionde elev mycket eller ganska dåligt i skolan.

Var tredje elev i grundskolans årskurs 4–6 har svarat att de känner sig stressade i skolan varje dag eller några gånger i veckan, att jämföra med hälften av eleverna i årskurs 7–9 och gymnasieskolan. För framför allt flickor ökar stressen markant när de kommer upp i högstadiet och gymnasieskolan.

I delrapport 2: Studiero, elevinflytande och lärverktyg (rapport 2025:6) framgår att drygt hälften av eleverna i både grundskolan och gymnasieskolan uppger att de alltid eller oftast kan koncentrera sig på lektionerna. Flickor kan koncentrera sig på lektionerna i lägre utsträckning än pojkarna, särskilt i högstadiet. Cirka tre av tio elever i grundskolan uppger vidare att de alltid eller oftast blir störda av hög ljudnivå. I gymnasieskolan är motsvarande andel något lägre, men uppgår till nästan en fjärdedel av eleverna.

I delrapport 3: Stöd, ledning och stimulans (rapport 2025:11) framgår att cirka två tredjedelar av eleverna upplever att de alltid eller oftast får hjälp i skolan när skol- arbetet känns för svårt.

Omkring sju av tio elever i mellanstadiet och i gymnasieskolan tycker att alla eller de flesta av lärarna är bra på att förklara när det är något de inte förstår. I högstadiet är det något färre som tycker så, knappt sex av tio elever.

I högstadiet uppger pojkarna att de oftare ber om hjälp än flickorna, och pojkarna i högstadiet upplever också i högre grad att de får hjälp.

Omkring två tredjedelar av lärarna uttrycker att de sällan, aldrig eller bara ibland har rätt förutsättningar att ge eleverna den ledning och stimulans som alla elever behöver, respektive rätt förutsättningar att ge extra anpassningar till elever som är i behov av det.

68

Prop. 2025/26:1 Utgiftsområde 16

Fyra av tio lärare upplever att det är dålig tillgång på speciallärare. Tillgången på specialpedagoger beskrivs vara något bättre.

I delrapport 4: Trygghet, bemötande och mobbning (rapport 2025:15) framgår att knappt åtta av tio elever i grundskolan och knappt nio av tio elever i gymnasieskolan oftast eller alltid känner sig trygga i skolan. I grundskolan finns det en könsskillnad, där flickor i mindre utsträckning än pojkar svarar att de alltid eller oftast känner sig trygga i skolan.

Det framgår även att knappt fem av tio grundskoleelever och sju av tio gymnasieelever svarar att eleverna på deras skola alltid eller oftast behandlar varandra med respekt. Ungefär var tionde elev känner sig vidare mobbad dagligen, några gånger i veckan eller några gånger i månaden. Det är flest elever i mellanstadiet som någon gång känner sig mobbade.

3.4Regeringens bedömning av måluppfyllelsen

Deltagandet i utbildning är över lag högt, men det finns stora variationer i verksam- hetsområdets måluppfyllelse.

Förskolan och obligatoriska skolan

Förskolan har en stor betydelse för barns utveckling och senare studieresultat i skolan och en stor majoritet av alla barn i målgruppen är inskrivna i förskolan. Däremot är deltagandet lägre bland barn med utländsk bakgrund i jämförelse med barn med svensk bakgrund, vilket kan innebära att barnens förutsättningar inför skolstarten blir olika.

Kontinuerlig kunskapsuppföljning av resultat från de tidiga årskurserna är viktiga, eftersom det är då som eleverna tillägnar sig grundläggande färdigheter som att läsa, skriva och räkna. Regeringen bedömer att alltför många elever inte uppnår kravnivån i flera av delproven på de nationella proven i årskurs 3, t.ex. när det gäller stavning och interpunktion i svenska, läsning av faktatexter i svenska som andraspråk och skriftliga räknemetoder – addition och subtraktion i matematik.

Regeringen bedömer att det fortfarande är alltför många elever som inte uppnår ett godkänt provbetyg på de nationella proven i årskurs 6 och 9 i grundskolan. Vidare noteras att det är betydande skillnader i resultatet beroende på kön och föräldrarnas utbildningsnivå. Resultaten är även lägre för elever som invandrat efter ordinarie skolstart. Statistik visar att resultaten på samtliga prov generellt är lägre för de elever som har varit en kortare tid i Sverige.

Resultat från internationella studier är en särskilt viktig indikator när det gäller kunskapsutvecklingen, eftersom dessa undersökningar är konstruerade för att mäta utvecklingen över tid. Även om TIMSS 2023 visade på förbättrade resultat i matematik och naturvetenskap för elever i årskurs 4 och 8, ser regeringen att det finns fortsatta utmaningar när det gäller elevernas kunskaper i grundläggande färdigheter, inte minst när det kommer till läsförståelse. Det visade inte minst den senaste PISA- undersökningen från 2022 och även PIRLS-undersökningen från samma år. Det är dessutom fortfarande ungefär var fjärde elev som lämnar grundskolan utan godkänt betyg i alla ämnen och ca 15 procent av eleverna som inte är behöriga till ett nationellt program i gymnasieskolan. Den internationella undersökningen ICILS 2023 visar dessutom att unga som växer upp i en digital värld och med god tillgång till digitala verktyg inte per automatik får väl utvecklade digitala färdigheter.

69

Prop. 2025/26:1 Utgiftsområde 16

Sammantaget visar internationella studier, provresultat och betyg att skillnaderna i resultat mellan elevgrupper med olika socioekonomisk bakgrund ökar. Elever med utländsk bakgrund och framför allt elever som har börjat i svensk skola efter ordinarie skolstartsålder, uppnår generellt sett lägre kunskapsresultat i grundskolan än elever med svensk bakgrund.

Därutöver framgår det av Skolverkets olika delrapporter inom ramen för Attityder till skolan 2024 att ett stort antal elever har svårigheter att koncentrera sig på lektionerna och att var tionde elev i grundskolan och gymnasieskolan mår mycket eller ganska dåligt. Enligt regeringen är bristande studiero på lektionerna ett allvarligt problem som påverkar såväl elevernas lärande som mående.

Gymnasieskolan och anpassade gymnasieskolan

I gymnasieskolan kvarstår problemen gällande det kompensatoriska uppdraget. Det finns fortsatt för stora skillnader i studieresultat mellan elever med svensk bakgrund och elever med utländsk bakgrund samt mellan elever med olika socioekonomisk bakgrund. De generella skillnaderna i studieresultat mellan kvinnor och män kvarstår. Uppföljningen av sysselsättningen för elever som gått i anpassade gymnasieskolan visar att omkring var femte ungdom efter avslutad utbildning varken arbetade, stude- rade eller hade daglig verksamhet, vilket är en viss försämring jämfört med föregående år. Resultaten för elever som gått i anpassade gymnasieskolan är inte tillfredsställande och visar på en risk för bristande delaktighet av målgruppen i samhället.

Det är viktigt för kompetensförsörjningen att näringslivet och den offentligt finansierade verksamheten i Sverige kan anställa rätt kompetens. Det underskott på gymnasialt yrkesutbildade personer som i dag finns inom flera sektorer är därför oroande. Regeringen ser det därmed fortsatt som problematiskt att fördelningen mellan andelen elever som går ett högskoleförberedande program respektive ett yrkes- program på gymnasieskolan inte har förändrats. Sedan föregående år har dock andelen nybörjarelever på ett yrkesprogram ökat med en procentenhet, vilket kan vara en indikation på ett trendbrott.

3.5Politikens inriktning

3.5.1En förskola och skola på vetenskaplig grund som ger bättre förutsättningar att utvecklas och lära

Regeringens påbörjade arbete för en utbildning på vetenskaplig grund med en förskola av hög kvalitet och en stärkt kunskapsskola måste fortsätta. Det är fortfarande alltför många elever som inte kan läsa, skriva och räkna ordentligt i Sverige. Dessa utmaningar kan inte mötas med enskilda insatser utan det behövs flera olika åtgärder som sammantaget bidrar till att återupprätta en stark kunskapsskola där fokus ligger på grundläggande kunskaper och färdigheter som att läsa, skriva och räkna. Regeringen presenterar därför det största reformpaketet på skolans område på trettio år. Gemensamt för insatserna är att de samlat ska ge lärare och förskollärare så goda förutsättningar som möjligt att bedriva en undervisning av hög kvalitet i en trygg och säker miljö för barn och elever och där det råder studiero i klassrummet. Insatserna ska ge barnen goda möjligheter till utveckling och lärande och ge eleverna goda förutsättningar att nå målen för utbildningen samt tidigt ge alla elever det stöd som de behöver. På så sätt kan både förskolan och skolan utvecklas och utbildningens kvalitet stärkas.

70

Prop. 2025/26:1 Utgiftsområde 16

3.5.2En skola med fokus på kunskaper

Nya läroplaner med tydlig kunskapsinriktning

För att skapa de bästa förutsättningarna för elevers lärande och kunskapsutveckling är det viktigt med läroplaner som kännetecknas av en tydlig kunskapsinriktning. Grund- läggande kunskaper och färdigheter bör betonas starkare än i dagens läroplaner, särskilt i de tidiga årskurserna. Det behöver även bli tydligare vad som ska behandlas i undervisningen och vad eleverna ska lära sig. Dessutom behöver läroplanerna vara bättre anpassade till elevers kognitiva utveckling och olika elevgruppers kognitiva förutsättningar. Regeringen anser därför att grundskolan och de motsvarande skol- formerna behöver nya läroplaner. I betänkandet Kunskap för alla – nya läroplaner med fokus på undervisning och lärande (SOU 2025:19) finns förslag på en tydligare kunskapsinriktning för de nya läroplanerna. Skolverket fick den 20 februari 2025 ett förberedande uppdrag att påbörja arbetet med att bl.a. införa nya läroplaner. Regeringen föreslår nu att medel tillförs för införandet av nya läroplaner. Det behöver också finnas ändamålsenliga läroböcker och lärarhandledningar som stödjer undervisningen. Regeringen beräknar därför en tillfällig förstärkning av statsbidraget för inköp av läroböcker och lärarhandledningar.

Nationellt kartläggningsmaterial för svenska som andraspråk

Många elever som inte har svenska som modersmål läser ämnet svenska som andra- språk. Det är rektorn som beslutar om en elev i grundskolan ska läsa svenska eller svenska som andraspråk men det finns inget nationellt kartläggningsmaterial som stöd för ett sådant beslut. Utredningen om införande av grundläggande svenska och översyn av modersmålsundervisningen har i betänkandet På språklig grund

(SOU 2025:9) lämnat förslag om att ta fram ett sådant nationellt kartläggningsmaterial. Utredningen föreslår också att det ska införas en ny kursplan som riktar sig till elever som är nybörjare i svenska språket. Kartläggningsmaterialet kan även användas för att avgöra vilka elever som ska läsa enligt denna kursplan. Regeringen föreslår att medel tillförs för att möjliggöra genomförandet av förslagen.

Tid för lärares och förskollärares undervisningsuppdrag

För att alla barn och elever ska få en undervisning av hög kvalitet behövs skickliga lärare och förskollärare som har tid att fokusera på undervisningen och på att planera och följa upp undervisningen. Tyvärr ser det inte ut så i dag. I dag finns ingen tydlig nationell reglering kring att lärare och förskollärare ska få goda förutsättningar för sin undervisning. Utredningen om minskad administration och om reglering av förskol- lärares och lärares tid har i betänkandet Tid för undervisningsuppdraget – åtgärder för god undervisning och läraryrkenas attraktivitet (SOU 2025:26) lämnat förslag för att minska förskollärares och lärares administrativa börda och reglera tiden för undervisningsuppdraget. Regeringen föreslår att medel tillförs för att möjliggöra genomförandet av förslagen.

Förbättrat stöd i skolan

Dagens bestämmelser om extra anpassningar och särskilt stöd fungerar inte som det var tänkt. Stödet sätts in för sent, är bristfälligt och möter inte elevernas behov i tillräcklig utsträckning. Samtidigt har kraven på enskilda lärare ökat. En bra skolgång med väl fungerande stödinsatser ökar elevers möjligheter att nå målen för utbild- ningen, stärker barns och ungas framtidsutsikter och kan vara en viktig skyddsfaktor för att motverka utanförskap och förebygga bl.a. psykisk ohälsa och kriminalitet. Utredningen om en förbättrad elevhälsa har i betänkandet Förbättrat stöd i skolan

71

Prop. 2025/26:1 Utgiftsområde 16

(SOU 2025:44) lämnat ett antal förslag på området. Regeringen föreslår att medel tillförs för att möjliggöra ett förbättrat stöd i skolan, bl.a. införandet av stöd- undervisning. Regeringen föreslår även att statsbidraget för personalförstärkningar förstärks avseende elevhälsan, för att ge elever förbättrad tillgång till elevhälsans kompetenser (se även utg.omr. 9 avsnitt 4.5).

Kunskapsbidraget förstärks

Resultaten från de internationella kunskapsundersökningarna är oroande, inte minst när det gäller de stora skillnaderna i studieresultat mellan elever med svensk och utländsk bakgrund samt mellan elever med olika socioekonomisk bakgrund. Var fjärde 15-åring läser inte tillräckligt bra och skillnaderna mellan de högst och lägst presteran- de eleverna ökar. Kunskapsbidraget fördelas enligt ett index som speglar resurs- behovet på huvudmannanivå. På så vis innebär bidraget att satsningar kan göras där de bäst behövs. Regeringen föreslår en tillfällig förstärkning av statsbidraget för att stärka elevernas kunskapsutveckling.

Kvalitetshöjande åtgärder inom förskolan

Grunderna för barns kunskapsutveckling läggs redan i förskolan. Förskolan ska ge alla barn som deltar i den en bra grund att stå på inför skolstarten. Det finns dock stora kvalitetsskillnader mellan förskolor, bl.a. när det gäller barngruppernas storlek och personalens utbildning. Det förekommer också att personalen har bristande kunskaper i svenska. Regeringen har bl.a. gett Statens skolverk i uppdrag att förtydliga kraven på personalens kunskaper i svenska. För att ge förskolor bättre förutsättningar att erbjuda barn en utbildning av likvärdig och god kvalitet föreslår regeringen en förstärkning av statsbidraget för kvalitetshöjande åtgärder inom förskolan.

Förstärkning av Skolforskningsinstitutet

Det är väsentligt att de verksamma inom skolväsendet ges goda förutsättningar att planera, genomföra och utvärdera undervisningen med stöd av vetenskapligt under- byggda metoder och arbetssätt. Det finns dock begränsad tillgång till relevant och praktiknära forskning. Därför beräknar regeringen en permanent förstärkning av Skolforskningsinstitutet så att myndigheten ska kunna fortsätta arbetet med att öka tillgången och tillgängligheten till sakkunniggranskade forskningsresultat av relevans för området.

Stimulansbidrag för judiska studier

I regeringens strategi för att stärka judiskt liv och motverka antisemitism i Sverige (Ku2025/00578) finns målsättningen att det ska finnas god kunskap om judiskt liv i samhället och att personer som tillhör den judiska minoriteten ska ha goda möjligheter att lära sig judiska språk. I dag anordnas judiska studier vid ett fåtal grundskolor i Sverige. Utredningen om nationell strategi för att stärka judiskt liv i Sverige har i betänkandet Ett starkt judiskt liv för framtida generationer (SOU 2024:3) lämnat förslag om att fler elever på fler orter ska få tillgång till utbildning i judiska studier. Regeringen föreslår att medel tillförs för att möjliggöra genomförandet av förslaget.

Nytt betygssystem för mer likvärdiga betyg och meritvärden

I dag är det stora problem med olikvärdig betygssättning i svensk skola. Utan rättvisa betyg snedvrids bl.a. antagningen och urvalet till gymnasieskolan och högre utbildning. Utbildningssystemets legitimitet riskerar att urholkas. Det ska inte vara möjligt att locka till sig elever genom att sätta s.k. glädjebetyg. Utredningen om likvärdiga betyg och meritvärden har i betänkandet Ett likvärdigt betygssystem (SOU 2025:18)

72

Prop. 2025/26:1 Utgiftsområde 16

föreslagit att ett nytt och likvärdigt betygssystem ska införas med s.k. meritvärdes- kalibrering. Det innebär att de betyg som lärarna sätter ska jämföras med och kalibreras mot elevernas resultat på nationella slutprov. Modellen förutsätter bl.a. digitala nationella slutprov som rättas centralt. Regeringen föreslår att medel tillförs för att göra det möjligt att genomföra utredningens förslag.

3.5.3En säker och trygg skolmiljö för alla barn, elever och personal

Stärkt trygghet och studiero i skolan

Trygghet och studiero är centralt för alla som verkar i skolan och en förutsättning för att eleverna ska kunna ta aktiv del av undervisningen och utvecklas. Utvecklingen har gått åt fel håll under en längre tid och undersökningar visar att tryggheten i svensk skola är ett allvarligt problem. Arbetsmiljöverkets statistik visar att antalet anmälda allvarliga händelser i arbete orsakat av hot och våld i skolan ökade med drygt

150 procent mellan 2013 och 2023. Skolan behöver bättre verktyg för att skapa ordning och reda och huvudmän, rektorer och lärare behöver bättre förutsättningar för att kunna säkerställa trygghet och studiero för alla elever. Utredningen om stärkt trygghet och studiero i skolan har i betänkandet Bättre förutsättningar för trygghet och studiero i skolan (SOU 2025:8) lämnat ett antal förslag som sammantaget syftar till att stärka tryggheten och studieron i skolan. Bland förslagen finns bl.a. utökade befogenheter för rektorer och lärare och förlängda tidsramar för vissa disciplinära åtgärder och införandet av möjligheten att neka tillträde för elever som allvarligt hotar säkerheten och tryggheten på skolan. Regeringen föreslår att medel tillförs för att möjliggöra genomförande av förslag från utredningen.

Mobilfri skola för ökad trygghet och studiero

Den senaste PISA-undersökningen från 2022 visar att svenska elever blir distraherade av digitala verktyg i klassrummet i högre utsträckning än elever i genomsnitt i OECD. Detta gäller framför allt mobiltelefoner. Undersökningar visar också att elevers upplevelse av trygghet har minskat och att mobbning, inklusive nätmobbning och andra digitala kränkningar, är ett växande problem i skolan. En helt mobilfri skola kan därför ha stora positiva effekter på både tryggheten och studieron. I departements- promemorian Ett nationellt mobilförbud i de obligatoriska skolformerna och fritids- hemmet (Ds 2025:9) lämnas förslag om mobilfri skola. Regeringen föreslår att medel tillförs för kostnader i anslutning till införandet av en mobilfri skola.

Satsningen på skolsociala team förstärks

Elever med långvarig skolfrånvaro löper stor risk att misslyckas med sin utbildning. Det är allvarligt eftersom en lyckad skolgång är en av de viktigaste skyddsfaktorerna för att motverka utanförskap och förebygga bl.a. kriminalitet, missbruk och ohälsa.

Skolfrånvaro är därför ett problem som måste åtgärdas och den befintliga satsningen på skolsociala team är en viktig del i detta arbete. En välfungerande samverkan mellan skolan och socialtjänsten är ett långsiktigt arbete. Därför föreslår regeringen att statsbidraget för personalkostnader för skolsociala team ska förstärkas och förlängas.

Förlängning av statsbidraget för säkerhetshöjande åtgärder i skolväsendet

Säkerhetsarbetet i skolväsendet behöver stärkas och utvecklas. Bestämmelser i skol- lagen om skolans säkerhetsarbete i brottsförebyggande syfte trädde i kraft den 1 juli 2025. Bestämmelserna innebär bl.a. att huvudmannen ska se till att åtgärder vidtas för

73

Prop. 2025/26:1 Utgiftsområde 16

att obehöriga personer inte ska ges tillträde till förskole- eller skolenhetens område under tid då verksamheten pågår. Trots att skolan inte är någon allmän plats har det under lång tid varit vanligt att svenska skolor har varit tillgängliga för alla, med olåsta dörrar och utan att besökare registreras eller kontrolleras på andra sätt. De senaste årens våldshändelser på skolor och i närheten av förskolor och skolor har visat att det behövs åtgärder i den fysiska miljön i syfte att förebygga brott och säkerhetsrisker. Regeringen föreslår en förlängning av statsbidraget för säkerhetshöjande åtgärder i skolväsendet.

3.5.4Likvärdiga förutsättningar över hela landet

Fribelopp för inkomster inom ramen för maxtaxan

Det är viktigt att minska ekonomiska hinder och möjliggöra deltagande i förskolan och fritidshemmet, inte minst för barnens språkutveckling. Hushållens ekonomi behöver också stärkas så att den utdragna lågkonjunkturen kan brytas och åter- hämtningen i svensk ekonomi återupptas. Regeringen avser att införa ett fribelopp för inkomster så att hushållens barnomsorgsavgifter inom ramen för maxtaxan blir lägre och föreslår därför att statsbidraget för maxtaxa förstärks.

Bättre kvalitet i yrkesutbildning på gymnasienivå

Det behövs en starkare koppling mellan studier på gymnasienivå och yrkeslivet. Utredningen om fler vägar till arbetslivet har lämnat ett antal förslag i sitt betänkande Fler vägar till arbetslivet (SOU 2024:74). Regeringen föreslår att medel tillförs för att möjliggöra genomförandet av förslag som ska göra det enklare att starta yrkes- utbildningar inom små och dyra yrkesområden samt om att yrkesprov ska kunna ingå i samtliga yrkesprogram. Regeringen föreslår även att medel tillförs för att möjliggöra genomförandet av andra förslag som syftar till stärkt koppling mellan studier på gymnasienivå och yrkeslivet.

3.5.5Skärpta villkor och en rätt till insyn i friskolesektorn

Villkoren för friskolesektorn behöver skärpas. Det ska inte finnas något utrymme för oseriösa och olämpliga aktörer i skolväsendet. Det behöver säkerställas att de som äger och driver företag inom förskole- och skolsektorn har ett långsiktigt och seriöst engagemang för att tillhandahålla en utbildning av hög kvalitet, så att alla barn och elever får den utbildning de har rätt till. Det behöver införas ett värdeöverförings- förbud i vissa situationer samtidigt som fler sanktionsmöjligheter behöver införas. Utredningen om vinst i skolan har i betänkandet Skärpta villkor för friskolesektorn (SOU 2025:37) lämnat ett antal förslag på området. Regeringen föreslår att medel tillförs för att möjliggöra skärpta villkor i friskolesektorn.

I dag har allmänheten ingen rätt till insyn i fristående förskolor, skolor och fritidshem. Förhållanden och missförhållanden behöver kunna granskas i alla delar av skol- väsendet. Regeringen avser därför att återkomma med förslag om att införa en rätt till insyn i fristående förskolor, skolor och fritidshem. Förslagen innebär vissa utökade åtaganden för kommunerna för att utöka sin tillsyn över fristående förskolor och fritidshem, och det föreslås att medel tillförs för ändamålet. För att underlätta införandet av en rätt till insyn föreslår regeringen att Skolverket får medel för att tillhandahålla stöd- och utbildningsinsatser för de enskilda huvudmännen samt att ett införandebidrag tillförs mindre enskilda huvudmän.

74

Prop. 2025/26:1 Utgiftsområde 16

3.6Budgetförslag

3.6.11:1 Statens skolverk

Tabell 3.6 Anslagsutveckling 1:1 Statens skolverk

Tusental kronor

2024

Utfall

1 374 257

Anslagssparande

14 329

 

 

 

 

 

2025

Anslag

1 364 3161

Utgiftsprognos

1 351 163

2026

Förslag

1 406 011

 

 

 

 

 

 

 

2027

Beräknat

1 425 4242

 

 

2028

Beräknat

1 544 8473

 

 

1Inklusive beslut om ändringar i statens budget 2025 och förslag till ändringar i samband med denna proposition.

2Motsvarar 1 406 497 tkr i 2026 års prisnivå.

3Motsvarar 1 497 374 tkr i 2026 års prisnivå.

Ändamål

Anslaget får användas för Statens skolverks förvaltningsutgifter.

Skälen för regeringens förslag

Tabell 3.7 Förändringar av anslagsnivån 2026–2028 för 1:1 Statens skolverk

Tusental kronor

 

2026

2027

2028

Anvisat 20251

1 342 316

1 342 316

1 342 316

Pris- och löneomräkning2

28 985

47 439

72 461

Beslutade, föreslagna och aviserade åtgärder

34 710

35 669

130 070

 

 

 

 

varav BP263

69 300

71 650

128 900

– Effektivisering av Skolverket

-20 000

-40 000

-60 000

– Avskaffade nationella prov i lågstadiet

 

-3 750

-7 500

 

 

 

 

– Flytt av medel för samordning av nationella

 

 

 

minoritetsspråk

10 400

10 400

10 400

– Yrkesprov för gymnasiala yrkesprogram

 

10 000

10 000

 

 

 

 

– Nytt betygssystem

24 900

39 200

147 400

 

 

 

 

– Kartläggningsmaterial för svenska som andraspråk

8 000

8 000

 

 

 

 

 

– Nya läroplaner

40 000

14 400

9 400

 

 

 

 

– Obligatoriska standardiserade tester

 

28 400

14 200

 

 

 

 

– Utökad insyn i enskilda huvudmän

6 000

4 000

4 000

– Reglering av lärares undervisningstid

 

1 000

1 000

 

 

 

 

Överföring till/från andra anslag

 

 

 

 

 

 

 

Övrigt

 

 

 

 

 

 

 

Förslag/beräknat anslag

1 406 011

1 425 424

1 544 847

 

 

 

 

1Statens budget enligt riksdagens beslut i december 2024 (bet. 2024/25:FiU10). Beloppet är således exklusive beslut om ändringar i statens budget.

2Pris- och löneomräkningen baseras på anvisade medel 2025. Övriga förändringskomponenter redovisas i löpande priser och inkluderar därmed en pris- och löneomräkning. Pris- och löneomräkningen för 2027–2028 är preliminär.

3Exklusive pris- och löneomräkning.

För en fortsatt effektivisering av Skolverkets verksamhet minskas anslaget med

20 000 000 kronor 2026. För 2027 beräknas anslaget minska med 40 000 000 kronor och fr.o.m. 2028 beräknas anslaget minska med 60 000 000 kronor.

75

Prop. 2025/26:1 Utgiftsområde 16

Med anledning av avskaffande av nationella prov i årskurs 3 i grundskolan och i årskurs 4 i specialskolan beräknas anslaget minska med 3 750 000 kronor 2027 och med 7 500 000 kronor fr.o.m. 2028.

För att bättre överensstämma med anslagsändamålet flyttas en del av tidigare avsatta medel för nationell samordning av nationella minoritetsspråk från anslaget 1:5 Utveckling av skolväsendet och annan pedagogisk verksamhet till anslaget 1:1 Statens skolverk. Anslaget ökas därför med 10 400 000 kronor fr.o.m. 2026.

För arbete med yrkesprov beräknas anslaget öka med 10 000 000 kronor 2027–2029. Från och med 2030 beräknas anslaget öka med 3 000 000 kronor (se avsnitt 3.5.4).

För att möjliggöra genomförandet av förslag i betänkandet Ett likvärdigt betygssystem (SOU 2025:18) ökas anslaget med 24 900 000 kronor 2026. För 2027 och 2028 beräknas anslaget öka med 39 200 000 kronor respektive 147 400 000 kronor. För 2029 och 2030 beräknas anslaget öka med 188 400 000 kronor respektive 357 900 000 kronor. För 2031 beräknas anslaget öka med 349 900 000 kronor. Från och med 2032 beräknas anslaget öka med 307 500 000 kronor (se avsnitt 3.5.2).

För att ta fram ett nationellt kartläggningsmaterial för svenska som andraspråk och för stöd för implementering ökas anslaget med 8 000 000 kronor 2026. För 2027 beräknas anslaget öka med motsvarande belopp (se avsnitt 3.5.2).

För att ta fram nya läroplaner för grundskolan och motsvarande skolformer ökas anslaget med 40 000 000 kronor 2026. För 2027 beräknas anslaget öka med

14 400 000 kronor, för 2028 med 9 400 000 kronor och för 2029 med 1 200 000 kronor (se avsnitt 3.5.2).

För utveckling av standardiserade tester med anledning av förslag om förbättrat stöd i skolan beräknas anslaget öka med 28 400 000 kronor 2027 och med 14 200 000 kronor 2028 (se avsnitt 3.5.2).

För stöd till enskilda huvudmän vid införandet av en rätt till insyn ökas anslaget med 6 000 000 kronor 2026. Från och med 2027 beräknas anslaget öka med 4 000 000 kronor (se avsnitt 3.5.5).

För en utvärdering med anledning av förslag om att minska förskollärares och lärares administrativa börda och reglera lärares undervisningstid beräknas anslaget öka med 1 000 000 kronor 2027 och 2028. För 2029 beräknas anslaget öka med 2 000 000 kronor (se avsnitt 3.5.2).

Regeringen föreslår att 1 406 011 000 kronor anvisas under anslaget 1:1 Statens skolverk för 2026. För 2027 och 2028 beräknas anslaget till 1 425 424 000 kronor respektive

1 544 847 000 kronor.

76

Prop. 2025/26:1 Utgiftsområde 16

Budget för avgiftsbelagd verksamhet

Tabell 3.8 Avgiftsfinansierad verksamhet vid Statens skolverk

Tusental kronor

 

Ack. resultat

Resultat

Intäkter

Kostnader

Resultat

Ack. resultat

Offentligrättslig verksamhet

t.o.m. 2024

2025

2026

2026

2026

2026

Utfärda och komplettera

 

 

 

 

 

 

lärarlegitimationer1

-

-

26 000

-

-

-

Prövning av

 

 

 

 

 

 

meriteringsnivå1

-

-

21 000

-

-

-

1Eftersom det ekonomiska målet är obestämt redovisas endast intäkterna.

Statens skolverk tar ut avgifter som ersättning av den enskilde läraren eller förskol- läraren för att utfärda och komplettera legitimationer. Skolverket tar även ut avgifter i samband med ansökan om meriteringsnivå för en legitimerad lärare eller legitimerad förskollärare. Intäkterna ska bidra till att täcka kostnaderna för verksamheten. Intäkterna redovisas mot inkomsttitel.

3.6.21:2 Statens skolinspektion

Tabell 3.9 Anslagsutveckling 1:2 Statens skolinspektion

Tusental kronor

2024

Utfall

571 804

Anslagssparande

20 395

2025

Anslag

619 6181

Utgiftsprognos

632 653

2026

Förslag

676 633

 

 

 

 

 

 

 

2027

Beräknat

703 9032

 

 

2028

Beräknat

719 8123

 

 

1Inklusive beslut om ändringar i statens budget 2025 och förslag till ändringar i samband med denna proposition.

2Motsvarar 692 372 tkr i 2026 års prisnivå.

3Motsvarar 694 300 tkr i 2026 års prisnivå.

Ändamål

Anslaget får användas för Statens skolinspektions förvaltningsutgifter. Anslaget får även användas för verksamhetsutgifter för Barn- och elevombudet samt Skolväsendets överklagandenämnd.

Skälen för regeringens förslag

Tabell 3.10 Förändringar av anslagsnivån 2026–2028 för 1:2 Statens skolinspektion

Tusental kronor

 

2026

2027

2028

Anvisat 20251

629 618

629 618

629 618

Pris- och löneomräkning2

12 015

22 702

35 592

Beslutade, föreslagna och aviserade åtgärder

35 000

51 583

54 602

varav BP263

12 000

26 000

28 000

– Skärpta villkor för friskolesektorn

12 000

26 000

28 000

 

 

 

 

Överföring till/från andra anslag

 

 

 

 

 

 

 

Övrigt

 

 

 

 

 

 

 

Förslag/beräknat anslag

676 633

703 903

719 812

 

 

 

 

77

Prop. 2025/26:1 Utgiftsområde 16

1Statens budget enligt riksdagens beslut i december 2024 (bet. 2024/25:FiU10). Beloppet är således exklusive beslut om ändringar i statens budget.

2Pris- och löneomräkningen baseras på anvisade medel 2025. Övriga förändringskomponenter redovisas i löpande priser och inkluderar därmed en pris- och löneomräkning. Pris- och löneomräkningen för 2027–2028 är preliminär.

3Exklusive pris- och löneomräkning.

För att möjliggöra genomförandet av förslag i betänkandet Skärpta villkor för friskolesektorn (SOU 2025:37) ökas anslaget med 12 000 000 kronor 2026. För 2027 beräknas anslaget öka med 26 000 000 kronor och fr.o.m. 2028 beräknas anslaget öka med 28 000 000 kronor (se avsnitt 3.5.5).

Regeringen föreslår att 676 633 000 kronor anvisas under anslaget 1:2 Statens skolinspektion för 2026. För 2027 och 2028 beräknas anslaget till 703 903 000 kronor respektive 719 812 000 kronor.

Budget för avgiftsbelagd verksamhet

Tabell 3.11 Avgiftsfinansierad verksamhet vid Statens skolinspektion

Tusental kronor

 

Ack. resultat

Resultat

Intäkter

Kostnader

Resultat

Ack. resultat

Offentligrättslig verksamhet

t.o.m. 2024

2025

2026

2026

2026

2026

 

 

 

 

 

 

 

Ansökningar om

 

 

 

 

 

godkännande som

 

 

 

 

 

enskild huvudman

-3 366

-734

7 000

8 100 - 1 100

-5 200

Källa: Statens skolinspektion.

Skolinspektionens intäkter avseende offentligrättslig verksamhet avser avgifter för ansökningar om godkännande som enskild huvudman. Intäkterna redovisas mot inkomsttitel.

3.6.31:3 Specialpedagogiska skolmyndigheten

Tabell 3.12 Anslagsutveckling 1:3 Specialpedagogiska skolmyndigheten

Tusental kronor

2024

Utfall

808 330

Anslagssparande

35 031

 

 

 

 

 

2025

Anslag

894 1191

Utgiftsprognos

875 854

2026

Förslag

894 052

 

 

 

 

 

 

 

2027

Beräknat

898 1342

 

 

2028

Beräknat

916 0023

 

 

1Inklusive beslut om ändringar i statens budget 2025 och förslag till ändringar i samband med denna proposition.

2Motsvarar 884 207 tkr i 2026 års prisnivå.

3Motsvarar 884 883 tkr i 2026 års prisnivå.

Ändamål

Anslaget får användas för Specialpedagogiska skolmyndighetens förvaltningsutgifter. Anslaget får även användas för utgifter för myndighetens verksamhet, produktions- stöd för läromedelsframställning och visst internationellt samarbete.

78

Prop. 2025/26:1 Utgiftsområde 16

Skälen för regeringens förslag

Tabell 3.13 Förändringar av anslagsnivån 2026–2028 för 1:3 Specialpedagogiska skolmyndigheten

Tusental kronor

 

2026

2027

2028

Anvisat 20251

894 119

894 119

894 119

Pris- och löneomräkning2

14 733

29 048

46 695

Beslutade, föreslagna och aviserade åtgärder

-14 800

-25 033

-24 812

 

 

 

 

varav BP263

-15 000

-25 000

-24 300

– Effektivisering av SPSM

-20 000

-30 000

-30 000

 

 

 

 

– Teckenspråksutbildning

5 000

5 000

5 000

– Införande av stödundervisning

 

 

700

 

 

 

 

Överföring till/från andra anslag

 

 

 

 

 

 

 

Övrigt

 

 

 

 

 

 

 

Förslag/beräknat anslag

894 052

898 134

916 002

 

 

 

 

1Statens budget enligt riksdagens beslut i december 2024 (bet. 2024/25:FiU10). Beloppet är således exklusive beslut om ändringar i statens budget.

2Pris- och löneomräkningen baseras på anvisade medel 2025. Övriga förändringskomponenter redovisas i löpande priser och inkluderar därmed en pris- och löneomräkning. Pris- och löneomräkningen för 2027–2028 är preliminär.

3Exklusive pris- och löneomräkning.

För en effektivisering av Specialpedagogiska skolmyndigheten minskas anslaget med 20 000 000 kronor 2026. Från och med 2027 beräknas anslaget minska med

30 000 000 kronor.

För teckenspråksutbildning för elever som själva är döva eller hörselskadade ökas anslaget med 5 000 000 kronor fr.o.m. 2026.

Med anledning av förslag om förbättrat stöd i skolan beräknas anslaget öka med 700 000 kronor 2028 och med 1 400 000 kronor fr.o.m. 2029 (se avsnitt 3.5.2).

Regeringen föreslår att 894 052 000 kronor anvisas under anslaget 1:3 Specialpedagogiska skolmyndigheten för 2026. För 2027 och 2028 beräknas anslaget till 898 134 000 kronor respektive 916 002 000 kronor.

Budget för avgiftsbelagd verksamhet

Tabell 3.14 Avgiftsfinansierad verksamhet vid Specialpedagogiska skolmyndigheten

Tusental kronor

Offentligrättslig verksamhet

Ack. resultat

Resultat

Intäkter

Kostnader

Resultat

Ack. resultat

 

t.o.m. 2024

2025

2026

2026

2026

2026

Avgifter för elever i

 

 

 

 

 

 

specialskolan m.m.1

-

-

511 000

-

-

-

1Eftersom det ekonomiska målet är obestämt redovisas endast intäkterna.

För elever i specialskolan tar Specialpedagogiska skolmyndigheten ut en avgift som ersättning från elevernas hemkommuner. Myndigheten tar även ut en avgift för försäljning av läromedel. Intäkterna ska delvis täcka kostnaderna för verksamheten. Myndigheten tar även ut en avgift från Folkbildningsrådet för administration av förstärkningsbidrag till folkhögskolor och ersättning lämnas även från hemkommunen för elever i förskoleklass och fritidshem inom specialskolan. Intäkterna disponeras av myndigheten.

79

Prop. 2025/26:1 Utgiftsområde 16

3.6.41:4 Sameskolstyrelsen

Tabell 3.15 Anslagsutveckling 1:4 Sameskolstyrelsen

Tusental kronor

2024

Utfall

60 396

Anslagssparande

1 892

2025

Anslag

64 4401

Utgiftsprognos

65 823

2026

Förslag

68 698

 

 

 

 

 

 

 

2027

Beräknat

69 8192

 

 

2028

Beräknat

71 4093

 

 

1Inklusive beslut om ändringar i statens budget 2025 och förslag till ändringar i samband med denna proposition.

2Motsvarar 68 797 tkr i 2026 års prisnivå.

3Motsvarar 69 087 tkr i 2026 års prisnivå.

Ändamål

Anslaget får användas för Sameskolstyrelsens förvaltningsutgifter. Anslaget får även användas för Sameskolstyrelsens verksamhet.

Skälen för regeringens förslag

Tabell 3.16 Förändringar av anslagsnivån 2026–2028 för 1:4 Sameskolstyrelsen

Tusental kronor

 

2026

2027

2028

Anvisat 20251

64 440

64 440

64 440

Pris- och löneomräkning2

1 058

2 031

3 260

Beslutade, föreslagna och aviserade åtgärder

3 200

3 348

3 709

 

 

 

 

varav BP263

 

100

400

– Reglering av lärares undervisningstid

 

100

200

 

 

 

 

– Införande av stödundervisning

 

 

200

 

 

 

 

Överföring till/från andra anslag

 

 

 

 

 

 

 

Övrigt

 

 

 

Förslag/beräknat anslag

68 698

69 819

71 409

 

 

 

 

1Statens budget enligt riksdagens beslut i december 2024 (bet. 2024/25:FiU10). Beloppet är således exklusive beslut om ändringar i statens budget.

2Pris- och löneomräkningen baseras på anvisade medel 2025. Övriga förändringskomponenter redovisas i löpande priser och inkluderar därmed en pris- och löneomräkning. Pris- och löneomräkningen för 2027–2028 är preliminär.

3Exklusive pris- och löneomräkning.

Med anledning av förslag om att reglera lärares undervisningstid beräknas anslaget öka med 100 000 kronor 2027 och med 200 000 kronor fr.o.m. 2028 (se avsnitt 3.5.2.).

Med anledning av förslag om förbättrat stöd i skolan beräknas anslaget öka med 200 000 kronor 2028 och med 300 000 kronor fr.o.m. 2029 (se avsnitt 3.5.2).

Regeringen föreslår att 68 698 000 kronor anvisas under anslaget 1:4 Sameskolstyrelsen för 2026. För 2027 och 2028 beräknas anslaget till 69 819 000 kronor respektive 71 409 000 kronor.

80

Prop. 2025/26:1 Utgiftsområde 16

Budget för avgiftsbelagd verksamhet

Tabell 3.17 Avgiftsfinansierad verksamhet vid Sameskolstyrelsen

Tusental kronor

 

Ack. resultat

Resultat

Intäkter

Kostnader

Resultat

Ack. resultat

Offentligrättslig verksamhet

t.o.m. 2024

2025

2026

2026

2026

2026

Avgifter för elever i

 

 

 

 

 

 

sameskolan m.m.1

-

-

60 225

-

-

-

1Eftersom det ekonomiska målet är obestämt redovisas endast intäkterna.

Sameskolstyrelsen tar ut avgifter som ersättning från kommuner för elever i sameskolan samt förskoleklass och fritidshem vid en skolenhet med sameskola. Ersättningens storlek ska beräknas utifrån samma grunder som elevens hemkommun tillämpar vid fördelning av resurser i sin egen grundskola, förskoleklass eller fritidshem. Avgifter tas även ut som ersättning för fjärrundervisning och för förskola. Intäkterna ska bidra till att täcka kostnaderna för verksamheten. Intäkterna disponeras av myndigheten.

3.6.51:5 Utveckling av skolväsendet och annan pedagogisk verksamhet

Tabell 3.18 Anslagsutveckling 1:5 Utveckling av skolväsendet och annan pedagogisk verksamhet

Tusental kronor

2024

Utfall

4 585 519

Anslagssparande

434 616

 

 

 

 

 

2025

Anslag

6 501 8851

Utgiftsprognos

5 233 265

2026

Förslag

5 493 885

 

 

2027

Beräknat

4 887 385

 

 

 

 

 

 

 

2028

Beräknat

4 575 385

 

 

 

 

 

 

 

1Inklusive beslut om ändringar i statens budget 2025 och förslag till ändringar i samband med denna proposition.

Ändamål

Anslaget får användas för utgifter för att främja utveckling av skolväsendet, vissa särskilda utbildningsformer och annan pedagogisk verksamhet samt för insatser som syftar till att minska skolsegregationen. Anslaget får även användas för utgifter för svenskt deltagande i internationella studier och tävlingar på utbildningsområdet. Anslaget får vidare användas för utgifter för administration av uppdrag, uppföljning och utvärdering av uppdrag och satsningar, utredningar samt statsbidrag och stipendier.

Skälen för regeringens förslag

Tabell 3.19 Förändringar av anslagsnivån 2026–2028 för 1:5 Utveckling av

skolväsendet och annan pedagogisk verksamhet

Tusental kronor

 

2026

2027

2028

Anvisat 20251

6 094 885

6 094 885

6 094 885

Beslutade, föreslagna och aviserade åtgärder

-601 000

-1 207 500

-1 519 500

 

 

 

 

varav BP26

638 000

260 000

910 000

 

 

 

 

– Flytt av medel för samordning av nationella

 

 

 

minoritetsspråk

-13 000

-13 000

-13 000

 

 

 

 

Förlängning av statsbidrag för säkerhetshöjande åtgärder

i skolväsendet

300 000

 

 

81

Prop. 2025/26:1 Utgiftsområde 16

2026

2027

2028

Insatser för att motverka antisemitism och andra former av

rasism

-5 000

-5 000

-5 000

– Ökade medel för elevhälsopersonal

200 000

200 000

200 000

 

 

 

 

– Förstärkt statsbidrag för vetenskapstävlingar

6 000

6 000

6 000

 

 

 

 

– Införandebidrag för utökad insyn i enskilda huvudmän

88 000

 

 

 

 

 

 

Förstärkning statsbidrag för läroböcker och

lärarhandledningar

 

 

500 000

 

 

 

 

– Stimulansbidrag för judiska studier

2 000

2 000

2 000

 

 

 

 

Förstärkning och förlängning av statsbidrag för skolsociala

team

50 000

50 000

200 000

 

 

 

 

– Statsbidrag för små och dyra yrkesområden

10 000

20 000

20 000

 

 

 

 

Överföring till/från andra anslag

 

 

 

Övrigt

 

 

 

 

 

 

 

Förslag/beräknat anslag

5 493 885

4 887 385

4 575 385

 

 

 

 

1Statens budget enligt riksdagens beslut i december 2024 (bet. 2024/25:FiU10). Beloppet är således exklusive beslut om ändringar i statens budget.

För att bättre överensstämma med anslagsändamålet flyttas en del av tidigare avsatta medel för nationell samordning av nationella minoritetsspråk till anslaget 1:1 Statens skolverk. Anslaget 1:5 Utveckling av skolväsendet och annan pedagogisk verksamhet minskas därför med 13 000 000 kronor fr.o.m. 2026.

För en förlängning av statsbidraget för säkerhetshöjande åtgärder i skolväsendet ökas anslaget med 300 000 000 kronor 2026 (se avsnitt 3.5.3).

För att bättre överensstämma med anslagsändamålet flyttas tidigare avsatta medel för demokratistärkande insatser för att motverka antisemitism och andra former av rasism till anslaget 7:4 Forum för levande historia inom utgiftsområde 17. Anslaget 1:5 Utveckling av skolväsendet och annan pedagogisk verksamhet minskas därför med 5 000 000 kronor fr.o.m. 2026 (se utg.omr. 17 avsnitt 10.6.4).

För en förstärkning av statsbidraget för personalförstärkning avseende elevhälsan ökas anslaget med 200 000 000 kronor 2026. För 2027 och 2028 beräknas anslaget öka med motsvarande belopp (se utg.omr. 9 avsnitt 4.5).

För en förstärkning av statsbidraget för elevers deltagande i och för anordnande av internationella vetenskapstävlingar ökas anslaget med 6 000 000 kronor 2026. För 2027 och 2028 beräknas anslaget öka med motsvarande belopp.

För ett införandebidrag till små enskilda huvudmän vid införandet av en rätt till insyn ökas anslaget med 88 000 000 kronor 2026 (se avsnitt 3.5.5).

För en förstärkning av statsbidraget för inköp av läroböcker och lärarhandledningar beräknas anslaget öka med 500 000 000 kronor 2028 (se avsnitt 3.5.2).

För ett stimulansbidrag för judiska studier ökas anslaget med 2 000 000 kronor fr.o.m. 2026 (se avsnitt 3.5.2).

För en förstärkning och förlängning av statsbidraget för personalkostnader för skolsociala team ökas anslaget med 50 000 000 kronor 2026. För 2027 beräknas anslaget öka med 50 000 000 kronor och för 2028 beräknas anslaget öka med 200 000 000 kronor (se avsnitt 3.5.3 och utg.omr. 9 avsnitt 6.5).

För statsbidrag för små och dyra yrkesområden ökas anslaget med 10 000 000 kronor 2026. För 2027 och 2028 beräknas anslaget öka med 20 000 000 kronor respektive 20 000 000 kronor (se avsnitt 3.5.4).

82

Prop. 2025/26:1 Utgiftsområde 16

Regeringen föreslår att 5 493 885 000 kronor anvisas under anslaget 1:5 Utveckling av skolväsendet och annan pedagogisk verksamhet för 2026. För 2027 och 2028 beräknas anslaget till 4 887 385 000 kronor respektive 4 575 385 000 kronor.

Bemyndigande om ekonomiska åtaganden

Regeringens förslag

Regeringen bemyndigas att under 2026 för anslaget 1:5 Utveckling av skolväsendet och annan pedagogisk verksamhet ingå ekonomiska åtaganden som inklusive tidigare åtaganden medför behov av framtida anslag på högst 1 468 000 000 kronor 2027– 2035.

Skälen för regeringens förslag

Skolverket behöver inom sin verksamhet kunna sluta fleråriga ekonomiska avtal. Vidare behöver myndigheten kunna lämna förhandsbesked till huvudmän om stats- bidrag. Regeringen bör därför bemyndigas att under 2026 för anslaget 1:5 Utveckling av skolväsendet och annan pedagogisk verksamhet ingå ekonomiska åtaganden som inklusive tidigare åtaganden medför behov av framtida anslag på högst 1 468 000 000 kronor 2027–2035.

Tabell 3.20 Beställningsbemyndigande för anslaget 1:5 Utveckling av skolväsendet och annan pedagogisk verksamhet

Tusental kronor

 

 

Prognos

 

Beräknat

Beräknat

Beräknat

 

Utfall 2024

2025

Förslag 2026

2027

2028

2029–2035

Ekonomiska

 

 

 

 

 

 

åtaganden vid årets

 

 

 

 

 

 

början

1 812 518

1 662 750

1 085 475

 

 

 

 

 

 

 

 

 

 

Nya ekonomiska

 

 

 

 

 

 

åtaganden

1 035 133

655 235

1 182 030

 

 

 

 

 

 

 

 

 

 

Utgifter mot anslag till

 

 

 

 

 

 

följd av ekonomiska

 

 

 

 

 

 

åtaganden

-1 057 888

-1 228 746

-799 505

-618 887

-224 859

-624 254

 

 

 

 

 

 

 

Övriga förändringar

 

 

 

 

 

 

av ekonomiska

 

 

 

 

 

 

åtaganden

-127 013

-3 764

 

 

 

 

Ekonomiska

 

 

 

 

 

 

åtaganden vid årets

 

 

 

 

 

 

slut

1 662 750

1 085 475

1 468 000

 

 

 

 

 

 

 

 

 

 

Beslutat/föreslaget

 

 

 

 

 

 

bemyndigande

2 023 000

1 625 780

1 468 000

 

 

 

 

 

 

 

 

 

 

83

Prop. 2025/26:1 Utgiftsområde 16

3.6.61:6 Statligt stöd till särskild utbildning i gymnasieskolan

Tabell 3.21 Anslagsutveckling 1:6 Statligt stöd till särskild utbildning i gymnasieskolan

Tusental kronor

2024

Utfall

250 610

Anslagssparande

19 227

 

 

 

 

 

2025

Anslag

269 8371

Utgiftsprognos

271 598

2026

Förslag

293 837

 

 

 

 

 

 

 

2027

Beräknat

324 837

 

 

 

 

 

 

 

2028

Beräknat

314 837

 

 

 

 

 

 

 

1Inklusive beslut om ändringar i statens budget 2025 och förslag till ändringar i samband med denna proposition.

Ändamål

Anslaget får användas för utgifter för särskilda insatser inom skolområdet för elever med funktionsnedsättning som är mottagna vid någon av de riksrekryterande utbildningarna i Göteborgs kommun, Kristianstads kommun, Stockholms kommun, Umeå kommun och Örebro kommun.

Skälen för regeringens förslag

Tabell 3.22 Förändringar av anslagsnivån 2026–2028 för 1:6 Statligt stöd till särskild utbildning i gymnasieskolan

Tusental kronor

 

2026

2027

2028

 

 

 

 

Anvisat 20251

269 837

269 837

269 837

Beslutade, föreslagna och aviserade åtgärder

24 000

55 000

45 000

 

 

 

 

varav BP26

24 000

 

 

 

 

 

 

– Förstärkt stöd till särskild utbildning i gymnasieskolan

24 000

 

 

Överföring till/från andra anslag

 

 

 

 

 

 

 

Övrigt

 

 

 

 

 

 

 

Förslag/beräknat anslag

293 837

324 837

314 837

 

 

 

 

1Statens budget enligt riksdagens beslut i december 2024 (bet. 2024/25:FiU10). Beloppet är således exklusive beslut om ändringar i statens budget.

För att täcka en hög efterfrågan på medel från anslaget ökas anslaget med 24 000 000 kronor 2026.

Regeringen föreslår att 293 837 000 kronor anvisas under anslaget 1:6 Statligt stöd till särskild utbildning i gymnasieskolan för 2026. För 2027 och 2028 beräknas anslaget till 324 837 000 kronor respektive 314 837 000 kronor.

Bemyndigande om ekonomiska åtaganden

Regeringens förslag

Regeringen bemyndigas att under 2026 för anslaget 1:6 Statligt stöd till särskild utbildning i gymnasieskolan ingå ekonomiska åtaganden som inklusive tidigare åtaganden medför behov av framtida anslag på högst 35 000 000 kronor 2027.

84

Prop. 2025/26:1 Utgiftsområde 16

Skälen för regeringens förslag

Specialpedagogiska skolmyndigheten beslutar om bidrag för omvårdnad och habilitering för elever som deltar i Rh-anpassad gymnasieutbildning. Bidraget beviljas per läsår. Regeringen bör därför bemyndigas att under 2026 för anslaget 1:6 Statligt stöd till särskild utbildning i gymnasieskolan ingå ekonomiska åtaganden som inklusive tidigare åtaganden medför behov av framtida anslag på högst 35 000 000 kronor 2027.

Tabell 3.23 Beställningsbemyndigande för anslaget 1:6 Statligt stöd till särskild utbildning i gymnasieskolan

Tusental kronor

 

Utfall 2024

Prognos 2025

Förslag 2026

Beräknat 2027

Ekonomiska åtaganden vid

 

 

 

 

årets början

33 050

33 611

35 000

 

 

 

 

 

 

Nya ekonomiska åtaganden

33 611

35 000

35 000

 

 

 

 

 

 

Utgifter mot anslag till följd av

 

 

 

 

ekonomiska åtaganden

-33 050

-33 611

-35 000

-35 000

 

 

 

 

 

Ekonomiska åtaganden vid

 

 

 

 

årets slut

33 611

35 000

35 000

 

 

 

 

 

 

Beslutat/föreslaget

 

 

 

 

bemyndigande

36 000

35 000

35 000

 

 

 

 

 

 

3.6.71:7 Maxtaxa i förskola, fritidshem och annan pedagogisk verksamhet samt kvalitetshöjande åtgärder inom förskola

Tabell 3.24 Anslagsutveckling 1:7 Maxtaxa i förskola, fritidshem och annan pedagogisk verksamhet samt kvalitetshöjande åtgärder inom förskola

Tusental kronor

2024

Utfall

4 954 734

Anslagssparande

5 266

2025

Anslag

4 560 0001

Utgiftsprognos

4 522 265

2026

Förslag

5 760 000

 

 

 

 

 

 

 

2027

Beräknat

6 060 000

 

 

 

 

 

 

 

2028

Beräknat

5 460 000

 

 

1Inklusive beslut om ändringar i statens budget 2025 och förslag till ändringar i samband med denna proposition.

Ändamål

Anslaget får användas för utgifter för statsbidrag till kommuner som tillämpar maxtaxa inom förskolan, fritidshemmet och pedagogisk omsorg. Anslaget får vidare användas för utgifter för statsbidrag för att stimulera omsorg under kvällar, nätter och helger. Anslaget får även användas för utgifter för statsbidrag för kvalitetshöjande åtgärder inom förskolan.

Skälen för regeringens förslag

Tabell 3.25 Förändringar av anslagsnivån 2026–2028 för 1:7 Maxtaxa i förskola, fritidshem och annan pedagogisk verksamhet samt kvalitetshöjande åtgärder inom förskola

Tusental kronor

 

2026

2027

2028

Anvisat 20251

4 560 000

4 560 000

4 560 000

Beslutade, föreslagna och aviserade åtgärder

1 200 000

1 500 000

900 000

 

 

 

 

varav BP26

1 500 000

1 800 000

1 800 000

 

 

 

 

85

Prop. 2025/26:1 Utgiftsområde 16

 

2026

2027

2028

– Fribelopp för inkomster inom ramen för maxtaxan

1 000 000

1 500 000

1 500 000

 

 

 

 

– Förstärkning statsbidrag för kvalitetshöjande åtgärder

 

 

 

inom förskolan

500 000

300 000

300 000

 

 

 

 

Överföring till/från andra anslag

 

 

 

 

 

 

 

Övrigt

 

 

 

 

 

 

 

Förslag/beräknat anslag

5 760 000

6 060 000

5 460 000

 

 

 

 

1Statens budget enligt riksdagens beslut i december 2024 (bet. 2024/25:FiU10). Beloppet är således exklusive beslut om ändringar i statens budget.

För ett fribelopp för inkomster inom ramen för maxtaxan för förskolan och fritidshemmet ökas anslaget med 1 000 000 000 kronor 2026. Från och med 2027 beräknas anslaget öka med 1 500 000 000 kronor (se avsnitt 3.5.4).

För en förstärkning av statsbidraget för kvalitetshöjande åtgärder inom förskolan ökas anslaget med 500 000 000 kronor 2026. Från och med 2027 beräknas anslaget öka med 300 000 000 kronor (se avsnitt 3.5.2).

Regeringen föreslår att 5 760 000 000 kronor anvisas under anslaget 1:7 Maxtaxa i förskola, fritidshem och annan pedagogisk verksamhet samt kvalitetshöjande åtgärder inom förskola för 2026. För 2027 och 2028 beräknas anslaget till 6 060 000 000 kronor respektive 5 460 000 000 kronor.

Bemyndigande om ekonomiska åtaganden

Regeringens förslag

Regeringen bemyndigas att under 2026 för anslaget 1:7 Maxtaxa i förskola, fritidshem och annan pedagogisk verksamhet samt kvalitetshöjande åtgärder inom förskola ingå ekonomiska åtaganden som inklusive tidigare åtaganden medför behov av framtida anslag på högst 2 886 000 000 kronor 2027.

Skälen för regeringens förslag

Statsbidraget för kvalitetshöjande åtgärder inom förskolan beviljas per kalenderår (bidragsår). Huvudmännen behöver information om bidragsramarnas storlek och beslut om bidragsramar behöver därför fattas året före bidragsåret. Regeringen bör därför bemyndigas att under 2026 för anslaget 1:7 Maxtaxa i förskola, fritidshem och annan pedagogisk verksamhet samt kvalitetshöjande åtgärder inom förskola ingå ekonomiska åtaganden som inklusive tidigare åtaganden medför behov av framtida anslag på högst 2 886 000 000 kronor 2027.

86

Prop. 2025/26:1 Utgiftsområde 16

Tabell 3.26 Beställningsbemyndigande för anslaget 1:7 Maxtaxa i förskola, fritidshem och annan pedagogisk verksamhet samt kvalitetshöjande åtgärder inom förskola

Tusental kronor

 

Utfall 2024

Prognos 2025

Förslag 2026

Beräknat 2027

Ekonomiska åtaganden vid

 

 

 

 

årets början

2 786 000

1 986 000

2 586 000

 

 

 

 

 

 

Nya ekonomiska åtaganden

1 986 000

2 586 000

2 886 000

 

 

 

 

 

 

Utgifter mot anslag till följd av

 

 

 

 

ekonomiska åtaganden

-2 785 999

-1 986 000

-2 586 000

-2 886 000

 

 

 

 

 

Övriga förändringar av

 

 

 

 

ekonomiska åtaganden

-1

 

 

 

 

 

 

 

 

Ekonomiska åtaganden vid

 

 

 

 

årets slut

1 986 000

2 586 000

2 886 000

 

 

 

 

 

 

Beslutat/föreslaget

 

 

 

 

bemyndigande

1 986 000

2 586 000

2 886 000

 

 

 

 

 

 

3.6.81:8 Bidrag till viss verksamhet inom skolväsendet, m.m.

Tabell 3.27 Anslagsutveckling 1:8 Bidrag till viss verksamhet inom skolväsendet, m.m.

Tusental kronor

2024

Utfall

195 541

Anslagssparande

10 179

 

 

 

 

 

2025

Anslag

204 7201

Utgiftsprognos

195 299

2026

Förslag

206 720

 

 

2027

Beräknat

206 720

 

 

 

 

 

 

 

2028

Beräknat

206 720

 

 

 

 

 

 

 

1Inklusive beslut om ändringar i statens budget 2025 och förslag till ändringar i samband med denna proposition.

Ändamål

Anslaget får användas för utgifter för

ersättning vid personskada till elev i viss gymnasieskolutbildning,

statsbidrag för avgifter till International Baccalaureate Office och för viss International Baccalaureateutbildning,

statsbidrag och särskilt stöd för utbildningsverksamhet med särskild inriktning,

statsbidrag för riksrekryterande gymnasiala utbildningar,

ersättning till skolhuvudmän för kostnader för nordiska elever, och

statsbidrag för utlandssvenska elever samt barn och ungdomar som inte är folkbokförda i Sverige eller som vistas i landet utan tillstånd.

Anslaget får även användas för utgifter för arbete med administration och uppföljning av statsbidrag.

Skälen för regeringens förslag

Tabell 3.28 Förändringar av anslagsnivån 2026–2028 för 1:8 Bidrag till viss verksamhet inom skolväsendet, m.m.

Tusental kronor

 

2026

2027

2028

 

 

 

 

Anvisat 20251

204 720

204 720

204 720

Beslutade, föreslagna och aviserade åtgärder

2 000

2 000

2 000

 

 

 

 

varav BP26

2 000

2 000

2 000

 

 

 

 

87

Prop. 2025/26:1 Utgiftsområde 16

 

2026

2027

2028

– Förstärkt stöd till Riksglasskolan

2 000

2 000

2 000

 

 

 

 

Överföring till/från andra anslag

 

 

 

 

 

 

 

Övrigt

 

 

 

Förslag/beräknat anslag

206 720

206 720

206 720

 

 

 

 

1Statens budget enligt riksdagens beslut i december 2024 (bet. 2024/25:FiU10). Beloppet är således exklusive beslut om ändringar i statens budget.

För förstärkt bidrag till Riksglasskolan i Nybro kommun ökas anslaget med 2 000 000 kronor fr.o.m. 2026.

Regeringen föreslår att 206 720 000 kronor anvisas under anslaget 1:8 Bidrag till viss verksamhet inom skolväsendet, m.m. för 2026. För 2027 och 2028 beräknas anslaget till 206 720 000 kronor respektive 206 720 000 kronor.

3.6.91:9 Bidrag till svensk undervisning i utlandet

Tabell 3.29 Anslagsutveckling 1:9 Bidrag till svensk undervisning i utlandet

Tusental kronor

2024

Utfall

113 872

Anslagssparande

-1 790

2025

Anslag

118 5821

Utgiftsprognos

115 978

2026

Förslag

130 582

 

 

 

 

 

 

 

2027

Beräknat

133 582

 

 

 

 

 

 

 

2028

Beräknat

135 582

 

 

1Inklusive beslut om ändringar i statens budget 2025 och förslag till ändringar i samband med denna proposition.

Ändamål

Anslaget får användas för utgifter för statsbidrag för utbildning av utlandssvenska barn och ungdomar. Anslaget får även användas för utgifter inom ramen för Statens skolverks utvecklingsinsatser för svensk undervisning i utlandet och för stöd för undervisning i svenska vid utländska skolor. Anslaget får vidare användas för utgifter för anställda vid Europaskolorna.

Skälen för regeringens förslag

Tabell 3.30 Förändringar av anslagsnivån 2026–2028 för 1:9 Bidrag till svensk undervisning i utlandet

Tusental kronor

 

2026

2027

2028

Anvisat 20251

118 582

118 582

118 582

Beslutade, föreslagna och aviserade åtgärder

12 000

15 000

17 000

 

 

 

 

varav BP26

12 000

15 000

17 000

 

 

 

 

– Förstärkt stöd till svensk undervisning i utlandet

12 000

15 000

17 000

 

 

 

 

Överföring till/från andra anslag

 

 

 

Övrigt

 

 

 

 

 

 

 

Förslag/beräknat anslag

130 582

133 582

135 582

 

 

 

 

1Statens budget enligt riksdagens beslut i december 2024 (bet. 2024/25:FiU10). Beloppet är således exklusive beslut om ändringar i statens budget.

För ett förstärkt stöd till svensk undervisning i utlandet ökas anslaget med 12 000 000 kronor 2026. För 2027 beräknas anslaget öka med 15 000 000 kronor och fr.o.m. 2028 beräknas anslaget öka med 17 000 000 kronor.

88

Prop. 2025/26:1 Utgiftsområde 16

Regeringen föreslår att 130 582 000 kronor anvisas under anslaget 1:9 Bidrag till svensk undervisning i utlandet för 2026. För 2027 och 2028 beräknas anslaget till 133 582 000 kronor respektive 135 582 000 kronor.

3.6.101:10 Fortbildning av lärare och förskolepersonal

Tabell 3.31 Anslagsutveckling 1:10 Fortbildning av lärare och förskolepersonal

Tusental kronor

2024

Utfall

707 450

Anslagssparande

371 076

2025

Anslag

1 097 5261

Utgiftsprognos

819 650

2026

Förslag

1 109 526

 

 

 

 

 

 

 

2027

Beräknat

1 144 526

 

 

 

 

 

 

 

2028

Beräknat

1 144 526

 

 

 

 

 

 

 

1Inklusive beslut om ändringar i statens budget 2025 och förslag till ändringar i samband med denna proposition.

Ändamål

Anslaget får användas för utgifter för statsbidrag och andra utgifter för fortbildning och annan kompetensutveckling av lärare, förskollärare, rektorer och annan pedagogisk personal.

Skälen för regeringens förslag

Tabell 3.32 Förändringar av anslagsnivån 2026–2028 för 1:10 Fortbildning av lärare och förskolepersonal

Tusental kronor

 

2026

2027

2028

Anvisat 20251

1 097 526

1 097 526

1 097 526

Beslutade, föreslagna och aviserade åtgärder

12 000

47 000

47 000

Överföring till/från andra anslag

 

 

 

 

 

 

 

Övrigt

 

 

 

 

 

 

 

Förslag/beräknat anslag

1 109 526

1 144 526

1 144 526

 

 

 

 

1Statens budget enligt riksdagens beslut i december 2024 (bet. 2024/25:FiU10). Beloppet är således exklusive beslut om ändringar i statens budget.

Regeringen föreslår att 1 109 526 000 kronor anvisas under anslaget 1:10 Fortbildning av lärare och förskolepersonal för 2026. För 2027 och 2028 beräknas anslaget till

1 144 526 000 kronor respektive 1 144 526 000 kronor.

Bemyndigande om ekonomiska åtaganden

Regeringens förslag

Regeringen bemyndigas att under 2026 för anslaget 1:10 Fortbildning av lärare och förskolepersonal ingå ekonomiska åtaganden som inklusive tidigare åtaganden medför behov av framtida anslag på högst 535 000 000 kronor 2027–2029.

Skälen för regeringens förslag

Skolverket behöver ingå fleråriga avtal med lärosäten om uppdragsutbildning och lämna förhandsbesked till huvudmän om statsbidrag. Regeringen bör därför bemyndigas att under 2026 för anslaget 1:10 Fortbildning av lärare och förskolepersonal ingå

89

Prop. 2025/26:1 Utgiftsområde 16

ekonomiska åtaganden som inklusive tidigare åtaganden medför behov av framtida anslag på högst 535 000 000 kronor 2027–2029.

Tabell 3.33 Beställningsbemyndigande för anslaget 1:10 Fortbildning av lärare och förskolepersonal

Tusental kronor

 

 

Prognos

 

Beräknat

Beräknat

Beräknat

 

Utfall 2024

2025

Förslag 2026

2027

2028

2029

Ekonomiska

 

 

 

 

 

 

åtaganden vid årets

 

 

 

 

 

 

början

382 878

301 330

471 424

 

 

 

 

 

 

 

 

 

 

Nya ekonomiska

 

 

 

 

 

 

åtaganden

166 020

425 036

387 049

 

 

 

 

 

 

 

 

 

 

Utgifter mot anslag till

 

 

 

 

 

 

följd av ekonomiska

 

 

 

 

 

 

åtaganden

-252 564

-274 889

-323 473

-397 863

-114 986

-22 151

 

 

 

 

 

 

 

Övriga förändringar

 

 

 

 

 

 

av ekonomiska

 

 

 

 

 

 

åtaganden

4 996

19 947

 

 

 

 

 

 

 

 

 

 

 

Ekonomiska

 

 

 

 

 

 

åtaganden vid årets

 

 

 

 

 

 

slut

301 330

471 424

535 000

 

 

 

 

 

 

 

 

 

 

Beslutat/föreslaget

 

 

 

 

 

 

bemyndigande

460 000

576 333

535 000

 

 

 

 

 

 

 

 

 

 

3.6.111:11 Skolforskningsinstitutet

Tabell 3.34 Anslagsutveckling 1:11 Skolforskningsinstitutet

Tusental kronor

2024

Utfall

30 512

Anslagssparande

5 959

 

 

 

 

 

2025

Anslag

47 0071

Utgiftsprognos

44 686

2026

Förslag

47 910

 

 

2027

Beräknat

49 5592

 

 

2028

Beräknat

50 4933

 

 

1Inklusive beslut om ändringar i statens budget 2025 och förslag till ändringar i samband med denna proposition.

2Motsvarar 48 829 tkr i 2026 års prisnivå.

3Motsvarar 48 830 tkr i 2026 års prisnivå.

Ändamål

Anslaget får användas för Skolforskningsinstitutets förvaltningsutgifter.

90

Prop. 2025/26:1 Utgiftsområde 16

Skälen för regeringens förslag

Tabell 3.35 Förändringar av anslagsnivån 2026–2028 för 1:11 Skolforsknings- institutet

Tusental kronor

 

2026

2027

2028

Anvisat 20251

47 007

47 007

47 007

Pris- och löneomräkning2

903

1 619

2 535

Beslutade, föreslagna och aviserade åtgärder

 

933

951

 

 

 

 

varav BP263

 

22 000

22 000

– Förstärkning av Skolforskningsinstitutet

 

22 000

22 000

 

 

 

 

Överföring till/från andra anslag

 

 

 

Övrigt

 

 

 

 

 

 

 

Förslag/beräknat anslag

47 910

49 559

50 493

 

 

 

 

1Statens budget enligt riksdagens beslut i december 2024 (bet. 2024/25:FiU10). Beloppet är således exklusive beslut om ändringar i statens budget.

2Pris- och löneomräkningen baseras på anvisade medel 2025. Övriga förändringskomponenter redovisas i löpande priser och inkluderar därmed en pris- och löneomräkning. Pris- och löneomräkningen för 2027–2028 är preliminär.

3Exklusive pris- och löneomräkning.

För en förstärkning av Skolforskningsinstitutet beräknas anslaget öka med 22 000 000 kronor fr.o.m. 2027 (se avsnitt 3.5.2).

Regeringen föreslår att 47 910 000 kronor anvisas under anslaget 1:11 Skolforsknings- institutet för 2026. För 2027 och 2028 beräknas anslaget till 49 559 000 kronor respektive 50 493 000 kronor.

3.6.121:12 Praktiknära skolforskning

Tabell 3.36 Anslagsutveckling 1:12 Praktiknära skolforskning

Tusental kronor

2024

Utfall

35 098

Anslagssparande

945

 

 

 

 

 

2025

Anslag

36 0431

Utgiftsprognos

35 792

2026

Förslag

36 043

 

 

 

 

 

 

 

2027

Beräknat

36 043

 

 

 

 

 

 

 

2028

Beräknat

36 043

 

 

 

 

 

 

 

1Inklusive beslut om ändringar i statens budget 2025 och förslag till ändringar i samband med denna proposition.

Ändamål

Anslaget får användas till finansieringsbidrag inom den praktiknära skolforskningen. Anslaget disponeras och fördelas av Skolforskningsinstitutet.

91

Prop. 2025/26:1 Utgiftsområde 16

Skälen för regeringens förslag

Tabell 3.37 Förändringar av anslagsnivån 2026–2028 för 1:12 Praktiknära skolforskning

Tusental kronor

 

2026

2027

2028

Anvisat 20251

36 043

36 043

36 043

Beslutade, föreslagna och aviserade åtgärder

 

 

 

 

 

 

 

Överföring till/från andra anslag

 

 

 

 

 

 

 

Övrigt

 

 

 

 

 

 

 

Förslag/beräknat anslag

36 043

36 043

36 043

 

 

 

 

1Statens budget enligt riksdagens beslut i december 2024 (bet. 2024/25:FiU10). Beloppet är således exklusive beslut om ändringar i statens budget.

Regeringen föreslår att 36 043 000 kronor anvisas under anslaget 1:12 Praktiknära skolforskning för 2026. För 2027 och 2028 beräknas anslaget till 36 043 000 kronor respektive 36 043 000 kronor.

Bemyndigande om ekonomiska åtaganden

Regeringens förslag

Regeringen bemyndigas att under 2026 för anslaget 1:12 Praktiknära skolforskning ingå ekonomiska åtaganden som inklusive tidigare åtaganden medför behov av framtida anslag på högst 72 100 000 kronor 2027–2029.

Skälen för regeringens förslag

För att kunna utlysa och fördela medel för praktiknära forskning för en längre period behövs ett bemyndigande att ingå ekonomiska åtaganden. Regeringen bör därför bemyndigas att under 2026 för anslaget 1:12 Praktiknära skolforskning ingå ekonomiska åtaganden som inklusive tidigare åtaganden medför behov av framtida anslag på högst 72 100 000 kronor 2027–2029.

Tabell 3.38 Beställningsbemyndigande för anslaget 1:12 Praktiknära skolforskning

Tusental kronor

 

 

Prognos

 

Beräknat

Beräknat

Beräknat

 

Utfall 2024

2025

Förslag 2026

2027

2028

2029

 

 

 

 

 

 

 

Ekonomiska

 

 

 

 

 

 

åtaganden vid årets

 

 

 

 

 

 

början

70 709

70 929

72 100

 

 

 

 

 

 

 

 

 

 

Nya ekonomiska

 

 

 

 

 

 

åtaganden

35 318

36 362

36 043

 

 

 

 

 

 

 

 

 

 

Utgifter mot anslag till

 

 

 

 

 

 

följd av ekonomiska

 

 

 

 

 

 

åtaganden

-35 098

-35 191

-36 043

-36 043

-24 057

-12 000

Ekonomiska

 

 

 

 

 

 

åtaganden vid årets

 

 

 

 

 

 

slut

70 929

72 100

72 100

 

 

 

 

 

 

 

 

 

 

Beslutat/föreslaget

 

 

 

 

 

 

bemyndigande

72 100

72 100

72 100

 

 

 

 

 

 

 

 

 

 

92

Prop. 2025/26:1 Utgiftsområde 16

3.6.131:13 Bidrag till lärarlöner

Tabell 3.39 Anslagsutveckling 1:13 Bidrag till lärarlöner

Tusental kronor

2024

Utfall

4 197 586

Anslagssparande

677 414

2025

Anslag

4 875 0001

Utgiftsprognos

4 175 995

2026

Förslag

4 875 000

 

 

 

 

 

 

 

2027

Beräknat

4 859 000

 

 

 

 

 

 

 

2028

Beräknat

4 859 000

 

 

 

 

 

 

 

1Inklusive beslut om ändringar i statens budget 2025 och förslag till ändringar i samband med denna proposition.

Ändamål

Anslaget får användas för utgifter för statsbidrag till höjda löner för lärare och förskollärare i fritidshemmet, förskolan, förskoleklassen, grundskolan, anpassade grundskolan, specialskolan, sameskolan, gymnasieskolan och anpassade gymnasie- skolan. Anslaget får även användas för karriärstegsreformen och för särskild kompletterande pedagogisk utbildning för personer med examen på forskarnivå.

Skälen för regeringens förslag

Tabell 3.40 Förändringar av anslagsnivån 2026–2028 för 1:13 Bidrag till lärarlöner

Tusental kronor

 

2026

2027

2028

Anvisat 20251

4 875 000

4 875 000

4 875 000

Beslutade, föreslagna och aviserade åtgärder

 

-16 000

-16 000

 

 

 

 

Överföring till/från andra anslag

 

 

 

 

 

 

 

Övrigt

 

 

 

 

 

 

 

Förslag/beräknat anslag

4 875 000

4 859 000

4 859 000

 

 

 

 

1Statens budget enligt riksdagens beslut i december 2024 (bet. 2024/25:FiU10). Beloppet är således exklusive beslut om ändringar i statens budget.

Regeringen föreslår att 4 875 000 000 kronor anvisas under anslaget 1:13 Bidrag till lärarlöner för 2026. För 2027 och 2028 beräknas anslaget till 4 859 000 000 kronor respektive 4 859 000 000 kronor.

Bemyndigande om ekonomiska åtaganden

Regeringens förslag

Regeringen bemyndigas att under 2026 för anslaget 1:13 Bidrag till lärarlöner ingå ekonomiska åtaganden som inklusive tidigare åtaganden medför behov av framtida anslag på högst 2 426 000 000 kronor 2027.

Skälen för regeringens förslag

Skolverket behöver kunna lämna förhandsbesked till huvudmän om statsbidrag. Regeringen bör därför bemyndigas att under 2026 för anslaget 1:13 Bidrag till lärarlöner ingå ekonomiska åtaganden som inklusive tidigare åtaganden medför behov av framtida anslag på högst 2 426 000 000 kronor 2027.

93

Prop. 2025/26:1 Utgiftsområde 16

Tabell 3.41 Beställningsbemyndigande för anslaget 1:13 Bidrag till lärarlöner

Tusental kronor

 

Utfall 2024

Prognos 2025

Förslag 2026

Beräknat 2027

Ekonomiska åtaganden vid

 

 

 

 

årets början

2 425 905

2 425 905

2 426 000

 

 

 

 

 

 

Nya ekonomiska åtaganden

2 425 905

2 426 000

2 426 000

 

 

 

 

 

 

Utgifter mot anslag till följd av

 

 

 

 

ekonomiska åtaganden

-2 092 486

-2 425 905

-2 426 000

-2 426 000

 

 

 

 

 

Övriga förändringar av

 

 

 

 

ekonomiska åtaganden

-333 419

 

 

 

 

 

 

 

 

Ekonomiska åtaganden vid

 

 

 

 

årets slut

2 425 905

2 426 000

2 426 000

 

 

 

 

 

 

Beslutat/föreslaget

 

 

 

 

bemyndigande

2 426 000

2 426 000

2 426 000

 

 

 

 

 

 

3.6.141:14 Särskilda insatser inom skolområdet

Tabell 3.42 Anslagsutveckling 1:14 Särskilda insatser inom skolområdet

Tusental kronor

2024

Utfall

198 507

Anslagssparande

4 911

2025

Anslag

163 4181

Utgiftsprognos

162 279

2026

Förslag

173 418

 

 

 

 

 

 

 

2027

Beräknat

173 418

 

 

 

 

 

 

 

2028

Beräknat

173 418

 

 

 

 

 

 

 

1Inklusive beslut om ändringar i statens budget 2025 och förslag till ändringar i samband med denna proposition.

Ändamål

Anslaget får användas för utgifter för statsbidrag för insatser för elever med funktionsnedsättning eller med andra särskilda behov.

Skälen för regeringens förslag

Tabell 3.43 Förändringar av anslagsnivån 2026–2028 för 1:14 Särskilda insatser inom skolområdet

Tusental kronor

 

2026

2027

2028

Anvisat 20251

163 418

163 418

163 418

Beslutade, föreslagna och aviserade åtgärder

10 000

10 000

10 000

 

 

 

 

varav BP26

10 000

10 000

10 000

 

 

 

 

– Förstärkning av statsbidrag för undervisning på sjukhus

10 000

10 000

10 000

Överföring till/från andra anslag

 

 

 

 

 

 

 

Övrigt

 

 

 

 

 

 

 

Förslag/beräknat anslag

173 418

173 418

173 418

 

 

 

 

1Statens budget enligt riksdagens beslut i december 2024 (bet. 2024/25:FiU10). Beloppet är således exklusive beslut om ändringar i statens budget.

För en förstärkning av statsbidrag för undervisning på sjukhus ökas anslaget med 10 000 000 kronor fr.o.m. 2026.

Regeringen föreslår att 173 418 000 kronor anvisas under anslaget 1:14 Särskilda insatser inom skolområdet för 2026. För 2027 och 2028 beräknas anslaget till

173 418 000 kronor respektive 173 418 000 kronor.

94

Prop. 2025/26:1 Utgiftsområde 16

3.6.151:15 Statligt stöd för stärkt kunskapsutveckling

Tabell 3.44 Anslagsutveckling 1:15 Statligt stöd för stärkt kunskapsutveckling

Tusental kronor

2024

Utfall

7 395 274

Anslagssparande

82 726

2025

Anslag

8 243 0001

Utgiftsprognos

8 147 475

2026

Förslag

9 364 600

 

 

 

 

 

 

 

2027

Beräknat

7 583 200

 

 

 

 

 

 

 

2028

Beräknat

5 783 000

 

 

 

 

 

 

 

1Inklusive beslut om ändringar i statens budget 2025 och förslag till ändringar i samband med denna proposition.

Ändamål

Anslaget får användas för utgifter för statsbidrag som syftar till att stärka kunskaps- utvecklingen i förskoleklassen, grundskolan och fritidshemmet.

Skälen för regeringens förslag

Tabell 3.45 Förändringar av anslagsnivån 2026–2028 för 1:15 Statligt stöd för stärkt kunskapsutveckling

Tusental kronor

 

2026

2027

2028

Anvisat 20251

8 243 000

8 243 000

8 243 000

Beslutade, föreslagna och aviserade åtgärder

1 121 600

-659 800

-2 460 000

 

 

 

 

varav BP26

1 801 600

840 200

-960 000

 

 

 

 

– Tillfällig förstärkning av Kunskapsbidraget

1 801 600

840 200

-960 000

 

 

 

 

Överföring till/från andra anslag

 

 

 

 

 

 

 

Övrigt

 

 

 

 

 

 

 

Förslag/beräknat anslag

9 364 600

7 583 200

5 783 000

 

 

 

 

1Statens budget enligt riksdagens beslut i december 2024 (bet. 2024/25:FiU10). Beloppet är således exklusive beslut om ändringar i statens budget.

För en tillfällig förstärkning av Kunskapsbidraget ökas anslaget med 1 801 600 000 kronor 2026. För 2027 beräknas anslaget öka med 840 200 000 kronor. Från och med 2028 beräknas anslaget minska med 960 000 000 kronor (se avsnitt 3.5.2).

Regeringen föreslår att 9 364 600 000 kronor anvisas under anslaget 1:15 Statligt stöd för stärkt kunskapsutveckling för 2026. För 2027 och 2028 beräknas anslaget till

7 583 200 000 kronor respektive 5 783 000 000 kronor.

Bemyndigande om ekonomiska åtaganden

Regeringens förslag

Regeringen bemyndigas att under 2026 för anslaget 1:15 Statligt stöd för stärkt kunskaps- utveckling ingå ekonomiska åtaganden som inklusive tidigare åtaganden medför behov av framtida anslag på högst 7 583 200 000 kronor 2027.

Skälen för regeringens förslag

Statsbidraget lämnas för ett kalenderår (bidragsår) i sänder. Huvudmännen behöver information om bidragsramarnas storlek och beslut om bidragsramar behöver därför fattas året före bidragsåret. Regeringen bör bemyndigas att under 2026 för anslaget

95

Prop. 2025/26:1 Utgiftsområde 16

1:15 Statligt stöd för stärkt kunskapsutveckling ingå ekonomiska åtaganden som inklusive tidigare åtaganden medför behov av framtida anslag på högst 7 583 200 000 kronor 2027.

Tabell 3.46 Beställningsbemyndigande för anslaget 1:15 Statligt stöd för stärkt kunskapsutveckling

Tusental kronor

 

Utfall 2024

Prognos 2025

Förslag 2026

Beräknat 2027

Ekonomiska åtaganden vid

 

 

 

 

årets början

6 628 000

7 543 000

7 563 000

 

 

 

 

 

 

Nya ekonomiska åtaganden

7 543 000

7 563 000

7 583 200

 

 

 

 

 

 

Utgifter mot anslag till följd av

 

 

 

 

ekonomiska åtaganden

-6 628 000

-7 543 000

-7 563 000

-7 583 200

 

 

 

 

 

Ekonomiska åtaganden vid

 

 

 

 

årets slut

7 543 000

7 563 000

7 583 200

 

 

 

 

 

 

Beslutat/föreslaget

 

 

 

 

bemyndigande

7 543 000

7 563 000

7 583 200

 

 

 

 

 

 

96

Prop. 2025/26:1 Utgiftsområde 16

4Kommunal vuxenutbildning och yrkeshögskola

4.1Mål för området

Kommunal vuxenutbildning

I skollagen (2010:800) anges att målen för kommunal vuxenutbildning (komvux) är att vuxna ska stödjas och stimuleras i sitt lärande. De ska ges möjlighet att utveckla sina kunskaper och sin kompetens i syfte att stärka sin ställning i arbets- och samhällslivet samt att främja sin personliga utveckling. Utbildningen ska ge en god grund för elever- nas fortsatta utbildning och utgöra en bas för den nationella och regionala kompetens- försörjningen till arbetslivet. Utgångspunkten för utbildningen ska vara den enskildes behov och förutsättningar. För komvux på gymnasial nivå och komvux som anpassad utbildning på gymnasial nivå ska de som har störst behov av utbildning prioriteras.

Yrkeshögskolan

Målen för yrkeshögskolan finns i lagen (2009:128) om yrkeshögskolan och förord- ningen (2009:130) om yrkeshögskolan. Bestämmelserna i lagen om yrkeshögskolan syftar till att säkerställa att eftergymnasiala yrkesutbildningar som svarar mot arbetsli- vets behov kommer till stånd, att statens stöd för eftergymnasiala yrkesutbildningar fördelas effektivt och att utbildningarna håller hög kvalitet. När det gäller smala yrkes- områden syftar bestämmelserna till att tillgodose behov av eftergymnasiala yrkes- utbildningar som avses leda till förvärvsarbete för de studerande eller till en ny nivå inom deras yrke. Utbildningarna ska vidare bidra till att bryta traditioner i fråga om könsbundna utbildnings- och yrkesval.

4.2Resultatindikatorer och andra bedömningsgrunder

Följande indikatorer används för att bedöma måluppfyllelsen i komvux och yrkeshögskolan.

Komvux:

Antal elever som deltagit i en eller flera kurser.

Antal heltidsstuderande i komvux på grundläggande och gymnasial nivå.

Antal kursdeltagare som avslutat respektive avbrutit en kurs i komvux.

Sysselsättning efter avslutade studier i komvux på grundläggande och gymnasial nivå och i kommunal vuxenutbildning i svenska för invandare (sfi).

Andel kursdeltagare som uppnått godkänt betyg på ett nationellt prov i sfi.

Yrkeshögskolan:

Andelen examinerade i yrkeshögskolan som har ett arbete året efter avslutad utbildning.

Andelen examinerade i yrkeshögskolan som har ett arbete inom utbildnings- området året efter avslutad utbildning.

97

Prop. 2025/26:1 Utgiftsområde 16

Andra bedömningsgrunder:

OECD:s internationella undersökning av vuxnas färdigheter, Programme for the International Assessment of Adult Competencies (PIAAC).

Utbildningsutskottet har efterfrågat skälet till att regeringen sedan tidigare budget- propositioner infört en ny indikator när det gäller området komvux som då benämndes Antal kursdeltagare som avslutat respektive avbrutit en kurs i komvux på grundläggande och gymnasial nivå och i kommunal vuxenutbildning i svenska för invandrare (sfi). Syftet med indikatorn är att ge en bättre bild av genomströmningen i de olika skolformsdelarna. Indikatorn byter namn till Antal kursdeltagare som avslutat respektive avbrutit en kurs i komvux fr.o.m. denna budgetproposition för 2026. Skälet är att indikatorn utökas med delvis ny redovisning av resultat från komvux som anpassad utbildning för att indikatorn ska omfatta samtliga delar av komvux.

Bedömningsgrunden OECD:s internationella undersökning av vuxnas färdigheter PIAAC är ny för denna budgetproposition. Syftet med bedömningsgrunden är att ge en bild av vuxnas färdigheter i Sverige och att resultaten från undersökningen ska kunna användas som underlag för att bedöma måluppfyllelsen för komvux och yrkeshögskolan.

4.3Resultatredovisning

4.3.1Komvux

Indikator: Antal elever som deltagit i en eller flera kurser

Totalt studerade 66 425 elever på grundläggande nivå och 227 991 elever på gymnasial nivå under 2024, se tabell 4.1. Antalet elever som studerade på grundläggande nivå ökade med 1 procent medan antalet elever på gymnasial nivå ökade med 4 procent jämfört med 2023. Andelen kvinnor på grundläggande nivå ökade med 1 procentenhet medan andelen kvinnor på gymnasial nivå minskade med 1 procentenhet jämfört med 2023. Totalt studerade 114 625 elever i sfi under 2024. Det är en minskning med 8 266 elever eller 7 procent jämfört med 2023. Under 2024 var 53 558 elever nyinskrivna i sfi. Av dessa var 62 procent kvinnor och 38 procent män. Eftersom en elev kan läsa flera kurser under ett år var det totala antalet kursdeltagare i sfi under året 141 836. Av eleverna i sfi är en försumbar andel inrikes födda. Totalt studerade 364 624 elever i komvux på grundläggande nivå, i komvux på gymnasial nivå och i sfi under 2024. Det är en ökning med 1 procent jämfört med 2023. Totalt var 65 procent av eleverna i samtliga delar av komvux utrikes födda. Andelen utrikes födda var något större bland kvinnorna, 67 procent av dem, jämfört med männen där 62 procent av dem var utrikes födda. I genomsnitt deltog en elev i 3 kurser under 2024, men det varierar mellan de olika delarna av komvux.

98

Prop. 2025/26:1 Utgiftsområde 16

Tabell 4.1 Elever i komvux på grundläggande och gymnasial nivå och i sfi

Antal elever, procent

 

2015

2016

2017

2018

2019

2020

2021

2022

2023

2024

Totalt (exkl.

 

 

 

 

 

 

 

 

 

 

anpassad

 

 

 

 

 

 

 

 

 

 

utbildning)

337 526

354 039

376 014

384 881

387 437

400 392

413 590

371 697

362 665

364 624

 

 

 

 

 

 

 

 

 

 

 

varav utrikes födda %

64

66

69

69

70

67

65

67

67

65

 

 

 

 

 

 

 

 

 

 

 

varav kvinnor %

58

57

57

59

59

60

61

62

63

63

varav män %

42

43

43

41

41

40

39

38

37

37

 

 

 

 

 

 

 

 

 

 

 

Grundläggande nivå

48 839

51 679

59 408

68 304

75 705

74 928

74 285

66 616

65 944

66 425

 

 

 

 

 

 

 

 

 

 

 

varav utrikes födda %

92

93

94

95

96

95

94

95

94

94

 

 

 

 

 

 

 

 

 

 

 

varav kvinnor %

63

60

58

59

60

62

64

66

68

70

 

 

 

 

 

 

 

 

 

 

 

varav män %

37

40

42

41

40

38

36

34

32

30

 

 

 

 

 

 

 

 

 

 

 

Gymnasial nivå

184 684

190 011

198 089

208 138

215 706

242 654

259 812

229 247

220 096

227 991

varav utrikes födda %

36

38

41

44

47

46

46

47

47

46

 

 

 

 

 

 

 

 

 

 

 

varav kvinnor %

63

62

62

62

61

61

62

63

63

62

 

 

 

 

 

 

 

 

 

 

 

varav män %

37

38

38

38

39

39

38

37

37

38

 

 

 

 

 

 

 

 

 

 

 

Sfi

138 386

150 142

163 175

159 127

153 003

136 940

132 753

123 474

122 891

114 625

varav kvinnor %

52

51

51

54

57

59

60

61

63

64

 

 

 

 

 

 

 

 

 

 

 

varav män %

48

49

49

46

43

41

40

39

37

36

 

 

 

 

 

 

 

 

 

 

 

Anm: Antal personer som studerade i komvux oavsett hur många kurser personen deltog i.

Källa: Statens skolverk.

Totalt studerade 3 266 elever i komvux som anpassad utbildning 2024, vilket var

310 fler än föregående år, se tabell 4.2. Antalet skolkommuner, dvs. kommuner som erbjuder komvux som anpassad utbildning, var något färre än föregående år. År 2024 var antalet skolkommuner 157. Skolkommunerna tog emot elever från totalt

217 kommuner, vilket var 1 kommun färre än föregående år.

Tabell 4.2 Elever i komvux som anpassad utbildning 2024

Antal elever, procent

 

Totalt

Gymnasial nivå

Grundläggande nivå

Totalt

3 266

1 390

2 297

 

 

 

 

varav kvinnor %

51

55

50

varav män %

49

45

50

Anm: En enskild elev kan återkomma på flera studienivåer.

Källa: Statens skolverk.

Indikator: Antal heltidsstuderande i komvux på grundläggande och gymnasial nivå

Många elever inom komvux studerar inte på heltid, vilket gör att antalet elever inte är ett helt rättvisande mått när det gäller omfattningen av komvux. För att underlätta jämförelser mellan olika år redovisas även uppgifter om antalet studerande omräknat till årsstudieplatser. Inom komvux på grundläggande och gymnasial nivå används måttet verksamhetspoäng för att beskriva omfattningen av utbildningen. I komvux på grundläggande och gymnasial nivå beräknas 20 verksamhetspoäng för en veckas heltidsstudier och 800 poäng motsvarar en årsstudieplats. I sfi används inte verksamhetspoäng för att beskriva studiernas omfattning. Det finns inget mått för heltid och årsstudieplatser beräknas därför inte. Antalet årsstudieplatser i komvux på grundläggande och gymnasial nivå uppgick 2024 till 105 784, se tabell 4.3. Det innebär att antalet årsstudieplatser har ökat med 1 030 sedan 2023, vilket motsvarar en ökning med 1 procent. Antalet årsstudieplatser på grundläggande nivå minskade med

99

Prop. 2025/26:1 Utgiftsområde 16

3 procent medan antalet årsstudieplatser på gymnasial nivå ökade med 2 procent jämfört med 2023.

Tabell 4.3 Årsstudieplatser i komvux på grundläggande och gymnasial nivå

Antal årsstudieplatser

 

2015

2016

2017

2018

2019

2020

2021

2022

2023

2024

 

 

 

 

 

 

 

 

 

 

 

Totalt

94 526

96 839

104 462

112 143

116 934

121 082

130 044

111 917

104 754

105 784

 

 

 

 

 

 

 

 

 

 

 

Grundläggande nivå

19 878

21 254

24 475

27 988

30 246

27 913

26 608

22 858

22 590

21 923

 

 

 

 

 

 

 

 

 

 

 

Gymnasial nivå

74 647

75 585

78 987

84 154

86 687

93 167

103 435

89 059

82 164

83 862

 

 

 

 

 

 

 

 

 

 

 

Anm: Totalsummorna för helårsplatser kan avvika från summan av delsummor till följd av avrundning. Årsstudieplatser beräknas inte för sfi.

Källa: Statens skolverk.

Indikator: Antal kursdeltagare som avslutat respektive avbrutit en kurs i komvux

Av dem som avslutade eller avbröt en kurs inom komvux under 2024 var det totalt 67 procent av kursdeltagarna som avslutade kursen med godkänt betyg, 12 procent som avslutade kursen utan godkänt betyg och 21 procent som avbröt kursen. Andelen som avbröt en kurs har minskat med 1,5 procentenheter jämfört med 2023. Män avbryter kurser i högre grad än kvinnor. Det finns dock en variation mellan de olika delarna av komvux.

Totalt 99 158 kursdeltagare (exklusive deltagare i orienteringskurser) avslutade eller avbröt en kurs inom komvux på grundläggande nivå under 2024, se tabell 4.4. Av dessa var det 68 procent som avslutade kursen med godkänt betyg, vilket är en ökning med 1 procentenhet jämfört med 2023.

Totalt 686 694 kursdeltagare (exklusive deltagare i individuella kurser och orienterings- kurser) avslutade eller avbröt en kurs inom komvux på gymnasial nivå under 2024, se tabell 4.4. Av dessa var det 69 procent som avslutade kursen med godkänt betyg, vilket är oförändrat jämfört med 2023.

Totalt 87 712 kursdeltagare avslutade eller avbröt en kurs inom sfi under 2024, se tabell 4.4. Av dessa var det 52 procent som avslutade kursen med godkänt betyg, vilket är i nivå med 2023.

Totalt 834 kursdeltagare avslutade eller avbröt en kurs inom komvux som anpassad utbildning på grundläggande nivå under 2024. Av dessa var det 46 procent som avslutade kursen med godkänt betyg.

Totalt 1 301 kursdeltagare avslutade eller avbröt en kurs inom komvux som anpassad utbildning på gymnasial nivå under 2024. Av dessa var det 71 procent som avslutade kursen med godkänt betyg.

Tabell 4.4 Kursdeltagare som avslutat respektive avbrutit en kurs under 2024

Antal kursdeltagare, procent

 

Totalt

Kvinnor

Män

Inrikes födda

Utrikes födda

Totalt

875 699

564 884

310 815

362 902

512 797

 

 

 

 

 

 

Grundläggande nivå

99 158

70 638

28 520

5 940

93 218

 

 

 

 

 

 

Avslutat med godkänt betyg %

68

71

61

57

69

 

 

 

 

 

 

Avslutat utan godkänt betyg %

14

13

15

18

13

 

 

 

 

 

 

Avbrutit %

19

17

24

25

18

Gymnasial nivå

686 694

436 351

250 343

354 983

331 711

 

 

 

 

 

 

Avslutat med godkänt betyg %

69

71

66

68

69

 

 

 

 

 

 

Avslutat utan godkänt betyg %

13

12

14

12

13

 

 

 

 

 

 

100

Prop. 2025/26:1 Utgiftsområde 16

 

Totalt

Kvinnor

Män

Inrikes födda

Utrikes födda

Avbrutit %

19

18

20

20

18

 

 

 

 

 

 

Sfi

87 712

56 673

31 039

270

87 442

 

 

 

 

 

 

Avslutat med godkänt betyg %

52

56

43

65

52

 

 

 

 

 

 

Avslutat utan godkänt betyg %

4

4

4

..

..

 

 

 

 

 

 

Avbrutit %

45

40

53

..

..

 

 

 

 

 

 

Anpassad utbildning

834

443

391

626

208

(grundläggande nivå)

 

 

 

 

 

 

 

 

 

 

 

Avslutat med godkänt betyg %

46

47

45

48

40

 

 

 

 

 

 

Avslutat utan godkänt betyg %

8

9

7

9

5

 

 

 

 

 

 

Avbrutit %

45

43

48

43

54

 

 

 

 

 

 

Anpassad utbildning

1 301

779

522

1 083

218

(gymnasial nivå)

 

 

 

 

 

 

 

 

 

 

 

Avslutat med godkänt betyg %

71

74

67

72

66

 

 

 

 

 

 

Avslutat utan godkänt betyg %

2

2

2

..

..

 

 

 

 

 

 

Avbrutit %

27

24

31

..

..

 

 

 

 

 

 

Anm.: Vissa uppgifter är dolda av sekretesskäl.

Källa: Statens skolverk.

Indikator: Sysselsättning efter avslutade studier i komvux på grundläggande och gymnasial nivå och kommunal vuxenutbildning i svenska för invandare (sfi)

Sysselsättning följs upp efter avslutade eller avbrutna studier, men det görs ingen åtskillnad i statistiken mellan om studierna avslutats eller avbrutits. Uppgifterna avser dem som avslutat eller avbrutit studier under 2021 och visar om de är etablerade på arbetsmarknaden eller om de studerar 2022, se tabell 4.5. Se även utgiftsområde

13 Integration och jämställdhet avsnitt 3.3.1, där sysselsättningen efter avslutade studier för utrikes födda redovisas.

Tabell 4.5 Etableringsstatus efter avslutade eller avbrutna studier inom komvux

Andel

 

Etablerad

Osäker

 

Högskole-

Övriga

Varken

 

ställning

ställning

Svag ställning

studier

studier

studerar/arbetar

Samtliga (grundläggande

45

12

13

15

7

9

och gymnasial nivå) %

 

 

 

 

 

 

 

 

 

 

 

 

 

varav utrikes födda %

44

15

15

9

5

11

 

 

 

 

 

 

 

varav kvinnor %

44

11

13

16

7

9

 

 

 

 

 

 

 

varav män %

46

14

12

12

8

8

Grundläggande nivå

37

17

19

1

3

23

 

 

 

 

 

 

 

varav kvinnor %

31

14

20

1

4

29

varav män %

43

21

17

1

2

16

 

 

 

 

 

 

 

Gymnasial nivå

46

11

12

16

8

7

 

 

 

 

 

 

 

varav kvinnor %

45

11

12

18

7

7

varav män %

46

13

12

14

9

7

 

 

 

 

 

 

 

Sfi

33

14

13

2

22

17

varav kvinnor %

24

10

13

2

30

21

 

 

 

 

 

 

 

varav män %

43

18

13

2

12

12

 

 

 

 

 

 

 

Anm: Etableringsstatusen avser 2022, ett år efter avslutade studier. Elever som har läst både på grundläggande och gymnasial nivå redovisas i tabellen på gymnasial nivå.

Källa: Statens skolverk.

Eleverna som avslutade komvux på grundläggande eller gymnasial nivå 2021, dvs. under pandemin, hade i 5 procentenheter högre grad en etablerad ställning på

101

Prop. 2025/26:1 Utgiftsområde 16

arbetsmarknaden ett år efter avslutade studier, jämfört med eleverna som avslutade komvux 2020. Totalt 45 procent hade en etablerad ställning medan 9 procent varken studerade eller arbetade.

Eleverna som avslutade sfi 2021 hade oftare en etablerad ställning på arbetsmark- naden ett år efter avslutade studier, jämfört med eleverna som avslutade sfi 2020. Av dem som avslutade sfi 2021 hade 33 procent en etablerad ställning ett år efter att de avslutat utbildningen. Motsvarande siffra var 28 procent för de elever som avslutade sfi 2020.

Totalt 24 procent av kvinnorna som avslutade sfi 2021 var etablerade på arbetsmark- naden året därpå, vilket kan jämföras med 43 procent för männen. Vidare var det

21 procent av kvinnorna som varken studerade eller arbetade, medan bara 12 procent av männen hörde till den kategorin. Kvinnor studerade dock oftare än männen,

32 procent av kvinnorna som avslutade sfi 2021 studerade året därpå jämfört med 14 procent av männen.

Indikator: Andel kursdeltagare som uppnått godkänt betyg på ett nationellt prov i sfi

I sfi finns det nationella prov för kurserna B, C och D. Totalt uppnådde 88 procent godkänt resultat på ett nationellt prov 2024, vilket är drygt 1 procentenhet mer än 2023. Totalt 8 979 kursdeltagare deltog i B-provet 2024, medan 18 830 deltog i C- provet och 15 565 deltog i D-provet. Andelen som uppnått godkänt betyg ökade med

3procentenheter för både B-provet och D-provet, medan den var i stort sett oförändrad för C-provet, se tabell 4.6. Kvinnor och män presterade i stort sett likvärdigt på de nationella proven, det är knappt 1 procentenhet fler män än kvinnor som har fått ett godkänt provbetyg.

Tabell 4.6 Andel kursdeltagare som uppnått godkänt betyg på ett nationellt prov

Andel som uppnått godkänt betyg på ett nationellt prov i procent

 

2015

2016

2017

2018

2019

2020

2021

2022

2023

2024

Kurs B

92

92

93

94

92

-

-

87

87

90

 

 

 

 

 

 

 

 

 

 

 

Kurs C

86

85

85

86

85

-

-

86

87

87

 

 

 

 

 

 

 

 

 

 

 

Kurs D

84

85

86

86

85

-

-

82

84

87

Anm: På grund av covid-19-pandemin ställdes de nationella proven in under 2020 och våren 2021.

Kostnader för komvux

Uppgifterna avseende 2024 är preliminära och uppgifterna avseende 2023 har reviderats sedan budgetpropositionen för 2025 (prop. 2024/25:1).

Tabell 4.7

Kostnadstabell för olika delar av komvux

 

Miljoner kronor

 

Total kostnad 2023

Total kostnad 2024

 

 

 

Grundläggande nivå

1 556

1 576

Gymnasial nivå

 

5 667

5 568

 

 

 

 

Sfi

 

3 626

3 571

 

 

 

Komvux som anpassad utbildning

311

310

 

 

 

Källa: Statens skolverk.

 

 

Tabell 4.8

Kostnad per elev i genomsnitt i olika delar av komvux

 

 

 

Kostnad per elev i genomsnitt

Kostnad per elev i

Kronor

 

2023

genomsnitt 2024

Grundläggande nivå

68 400

71 100

 

 

 

 

Gymnasial nivå

 

67 700

67 500

Sfi

 

77 300

79 900

 

 

 

 

102

Prop. 2025/26:1 Utgiftsområde 16

 

Kostnad per elev i genomsnitt

Kostnad per elev i

Kronor

2023

genomsnitt 2024

Komvux som anpassad utbildning

103 100

98 400

 

 

 

Källa: Statens skolverk.

4.3.2Yrkeshögskolan

Yrkeshögskolan omfattar ca 51 000 årsplatser inom s.k. program

Yrkeshögskolan är en högt efterfrågad utbildningsform med nära samverkan med arbetslivet som omfattar fler än 51 000 årsplatser inom s.k. program, dvs. långa examensgivande utbildningar. En årsplats omfattar 40 studieveckor på heltid. Myndigheten för yrkeshögskolan administrerar även andra utbildningar, bl.a. vissa konst- och kulturutbildningar. Dessa redovisas separat. Totalt inkom

1 258 ansökningar om att få bedriva utbildning inom yrkeshögskolan i ansöknings- omgången 2023/2024, vilket innebar en ökning med 4 procent jämfört med ansökningsomgången 2022/2023. Genom beslut i januari 2024 beviljade Myndigheten för yrkeshögskolan 477 ansökningar, vilket resulterade i närmare 40 700 nya utbildningsplatser med start 2024–2031. Andelen av platserna som var på distans- utbildning var 39 procent. Andelen utbildningar som beviljats statligt stöd för tre eller fler utbildningsomgångar har ökat sedan 2016 som ett led i arbetet med att göra yrkeshögskolan mer stabil och långsiktig. Under 2024 fick 94 procent av utbildning- arna beslut om tre eller fler utbildningsomgångar, vilket kan jämföras med 87 procent 2023.

Antalet behöriga sökande och studerande

Totalt fanns det 35 600 platser på de utbildningsomgångar inom program inom yrkeshögskolan, som startade 2024. Det motsvarar en ökning med 1 300 platser jämfört med 2023. Antalet behöriga sökande uppgick 2024 till 77 036, se tabell 4.9. Totalt 74 procent av de sökande var behöriga till minst en utbildning 2024, jämfört med 73 procent 2023.

Tabell 4.9

Antal studerande i och behöriga sökande till yrkeshögskolans program

 

 

 

 

Antal, procent

 

 

 

 

 

 

 

 

 

 

 

2015

2016

2017

2018

2019

2020

2021

2022

2023

2024

 

 

 

 

 

 

 

 

 

 

 

 

Antal

 

 

 

 

 

 

 

 

 

 

 

studerande

 

46 633

47 983

50 373

52 741

61 393

75 371

82 753

84 871

84 560

87 225

varav utrikes

 

 

 

 

 

 

 

 

 

 

 

födda %

 

16

17

18

19

21

22

22

23

25

26

 

 

 

 

 

 

 

 

 

 

 

varav kvinnor %

52

52

53

55

55

54

53

53

52

51

varav män %

 

48

48

47

45

45

46

47

47

48

49

 

 

 

 

 

 

 

 

 

 

 

 

Behöriga

 

 

 

 

 

 

 

 

 

 

 

sökande

 

38 266

39 041

40 259

43 612

53 079

69 356

71 071

67 191

70 150

77 036

varav kvinnor %

57

59

59

60

60

59

60

59

57

57

 

 

 

 

 

 

 

 

 

 

 

 

varav män %

 

43

41

41

40

40

41

40

41

43

43

 

 

 

 

 

 

 

 

 

 

 

 

Antal behöriga

 

 

 

 

 

 

 

 

 

 

 

sökande per

 

 

 

 

 

 

 

 

 

 

 

plats

 

2,0

1,9

1,9

1,8

1,8

2,0

2,2

2,0

2,0

2,2

 

 

 

 

 

 

 

 

 

 

 

 

Behörighet

 

 

 

 

 

 

 

 

 

 

 

efter

 

 

 

 

 

 

 

 

 

 

 

bedömning av

 

 

 

 

 

 

 

 

 

 

 

s.k. reell

 

 

 

 

 

 

 

 

 

 

 

kompetens %

 

-

13

13

13

15

15

14

12

13

13

 

 

 

 

 

 

 

 

 

 

 

 

Källa: Statistiska centralbyrån.

103

Prop. 2025/26:1 Utgiftsområde 16

Könsfördelningen är ojämn inom de största utbildningsområdena

Könsfördelningen är totalt sett relativt jämn inom yrkeshögskolan, men könsfördel- ningen är fortsatt ojämn inom de största utbildningsområdena, se tabell 4.10. Andelen kvinnor är större på utbildningar inom områdena ekonomi, administration och försälj- ning och hälso- och sjukvård samt socialt arbete. Andelen män är större på utbild- ningar inom data/it, teknik och tillverkning samt samhällsbyggnad och byggteknik.

Tabell 4.10 Studerande i yrkeshögskolan 2024

Antal studerande

Utbildningsområde

Kvinnor

%

Män

%

Totalt

Data/it

5 009

30

11 438

70

16 447

 

 

 

 

 

 

Ekonomi, administration och försäljning

12 373

71

5 007

29

17 380

 

 

 

 

 

 

Friskvård och kroppsvård

342

93

24

7

366

 

 

 

 

 

 

Hotell, restaurang och turism

2 143

77

657

23

2 800

Hälso- och sjukvård samt socialt arbete

10 534

88

1 382

12

11 916

 

 

 

 

 

 

Journalistik och information

506

78

140

22

646

 

 

 

 

 

 

Juridik

308

89

38

11

346

Kultur, media och design

2 453

53

2 183

47

4 636

 

 

 

 

 

 

Lantbruk, djurvård, trädgård, skog och fiske

1 656

71

690

29

2 346

 

 

 

 

 

 

Pedagogik och undervisning

593

54

502

46

1 095

Samhällsbyggnad och byggteknik

4 383

33

8 746

67

13 129

 

 

 

 

 

 

Säkerhetstjänster

394

47

436

53

830

 

 

 

 

 

 

Teknik och tillverkning

3 095

23

10 131

77

13 226

Transporttjänster

478

28

1 213

72

1 691

 

 

 

 

 

 

Övrigt

237

64

134

36

371

 

 

 

 

 

 

Totalt

44 504

51

42 721

49

87 225

Källa: Statistiska centralbyrån.

 

 

 

 

 

Sju av tio uppnår en examen

Examensgraden 2023 var 68 procent avrundat till heltal, vilket var 1 procentenhet högre än den som uppnåddes 2022, se tabell 4.11. För 2024 finns ännu inte det slutliga resultatet, men preliminärt väntas examensgraden då ha varit mellan 69 och

70 procent, vilket är något högre än den som uppnåddes 2023. Utbildningsområdet kultur, media och design hade 2023 högst examensgrad med 81 procent. Därefter följde säkerhetstjänster respektive ekonomi, administration och försäljning där examensgraden var 78 respektive 76 procent. Det område som hade lägst examens- grad 2023 var teknik och tillverkning med 55 procent.

Under 2023 avslutade totalt ca 21 200 studerande sin yrkeshögskoleutbildning med en examen, varav 12 800 kvinnor och 9 500 män.

Tabell 4.11 Examensgraden i yrkeshögskolan

Andel examinerade

 

2016

2017

2018

2019

2020

2021

2022

2023

Totalt %

74

73

73

72

72

70

67

68

 

 

 

 

 

 

 

 

 

Kvinnor

 

 

 

 

 

 

 

 

%

80

79

79

77

76

75

72

73

 

 

 

 

 

 

 

 

 

Män %

68

67

66

65

67

65

62

62

 

 

 

 

 

 

 

 

 

Utrikes

 

 

 

 

 

 

 

 

födda %

63

63

62

63

63

60

58

58

 

 

 

 

 

 

 

 

 

Källa: Myndigheten för yrkeshögskolan och Statistiska centralbyrån.

104

Prop. 2025/26:1 Utgiftsområde 16

Resultat för kurser inom yrkeshögskolan

Under 2023 beviljades ca 24 000 utbildningsplatser på 451 korta yrkeshögskoleutbild- ningar i form av kurser och kurspaket, med utbildningsstart 2024 och 2025. Det var 19 700 studerande som påbörjade en sådan utbildning under 2024, varav 61 procent kvinnor och 39 procent män. Av dem som avslutade en kort yrkeshögskoleutbildning 2024 var det 57 procent som fick godkända betyg i utbildningens samtliga delar. Av dem som påbörjade en kort utbildning under 2024 var det 99 procent som påbörjade utbildningen på distans. Av de studerande bedrev 14 procent sin utbildning på heltid medan 86 procent läste på deltid.

Snabbare och mer flexibla vägar till en yrkeshögskoleexamen

Den del av yrkeshögskolan som benämns yh-flex är till för studerande som redan har yrkeskunskaper som motsvarar en betydande del av en yrkeshögskoleutbildning. Syftet är att skapa snabbare och mer flexibla vägar till en yrkeshögskoleexamen. Verksamheten omfattar tillgodoräknande av kunskaper, färdigheter och kompetenser samt kompletterande utbildning. Under 2024 beviljades 2 019 nya yh-flex-platser på 152 utbildningar med start 2024 och framåt. Av platserna skulle 1 001 stycken starta 2024, varav 55 procent nyttjades. I snitt fick de studerande tillgodoräkna sig

42 procent av yrkeshögskoleutbildningen efter validering. Motsvarande siffror för

2023 var 612 beviljade platser på 85 utbildningar. Av dessa platser nyttjades omkring 75 procent och 43 procent av utbildningen tillgodoräknades.

Sju av tio kvalitetsgranskade utbildningar bedöms hålla hög eller mycket hög kvalitet

Under 2024 kvalitetsgranskade Myndigheten för yrkeshögskolan 104 yrkeshögskole- utbildningar, vilket är 11 färre än 2023. Av de granskade utbildningarna bedömdes 13 procent hålla mycket hög kvalitet och 52 procent hålla hög kvalitet medan

27 procent bedömdes inte nå tillräckligt hög kvalitet. Av de granskade utbildningarna bedömdes 8 ha bristande kvalitet. Studerande ges generellt goda möjligheter att nå utbildningarnas mål och den undervisande personalen har i hög grad god ämnes- kunskap och pedagogisk kompetens. För de utbildningar där lärande i arbete (LIA) behöver utvecklas handlar det oftast om att utbildningsanordnaren behöver säkra tillgången till LIA-platser och förbättra kommunikationen med LIA-arbetsplatserna. Kvalitetsgranskningar 2024 visar att de flesta utbildningar har ett fungerande värdegrunds- och jämställdhetsarbete.

Arbete efter yrkeshögskolan

Indikator: Andelen examinerade i yrkeshögskolan som har ett arbete året efter avslutad utbildning

En regelbunden enkätundersökning av examinerade från en yrkeshögskoleutbildning visar att av dem som examinerades 2023 hade 84 procent arbete som sin huvudsakliga sysselsättning året efter avslutad yrkeshögskoleutbildning, se diagram 4.1 och

tabell 4.12. Detta var i genomsnitt 5 procentenheter mindre än föregående år. Minskningen var störst inom utbildningsområdena data/it samt kultur, media och design. Kvinnor och män hade i likhet med tidigare år arbete i lika stor utsträckning. Inrikes födda hade arbete i högre grad än utrikes födda, 87 procent jämfört med 73 procent.

Liksom tidigare år var det drygt hälften, 57 procent, av de examinerade 2023 som arbetade hos en arbetsgivare där de genomfört någon kurs i LIA. Av dem som exami- nerades 2023 hade 74 procent ett arbete innan de påbörjade utbildningen. Kvinnor hade i högre grad än män ett arbete innan utbildningen påbörjades, 76 procent

105

Prop. 2025/26:1 Utgiftsområde 16

respektive 70 procent. Av de utrikes födda hade 66 procent ett arbete innan de påbörjade utbildningen och skillnaden mellan utrikes födda kvinnor och män var för- sumbar.

Diagram 4.1 Andel examinerade från yrkeshögskolan 2023 som har ett arbete året efter avslutad utbildning – kvinnor respektive män

Data/it

Ekonomi, adm.,försäljning

Hotell, restaurang, turism

Hälso- och sjukvård, socialt arbete

Kultur, media, design

Lantbruk, djurvård, trädgård, skog, fiske

Pedagogik, undervisning

Samhällsbyggnad, byggteknik

Teknik, tillverkning

Transporttjänster

Totalt

0

10

20

30

40

50

60

70

80

90

100

Kvinnor Män

Källa: Myndigheten för yrkeshögskolan.

Tabell 4.12 Andel examinerade från yrkeshögskolan som har ett arbete året efter avslutad utbildning inom olika utbildningsområden

Andel (kvinnor/män)

Uppföljningsår

2016

2017

2018

2019

2020

2021

2022

2023

2024

 

 

 

 

 

 

 

 

 

 

Totalt %

91

93

93

93

87

89

91

89

84

 

 

 

 

 

 

 

 

 

 

Data/it %

84

91

90

90

84

84

90

85

74

 

 

 

 

 

 

 

 

 

 

Ekonomi, adm.,

 

 

 

 

 

 

 

 

 

försäljning %

93

94

94

96

91

90

93

92

88

 

 

 

 

 

 

 

 

 

 

Hotell, restaurang,

 

 

 

 

 

 

 

 

 

turism %

88

89

86

91

74

76

83

81

82

 

 

 

 

 

 

 

 

 

 

Hälso- och

 

 

 

 

 

 

 

 

 

sjukvård, socialt

 

 

 

 

 

 

 

 

 

arbete %

96

95

95

93

93

94

93

92

90

 

 

 

 

 

 

 

 

 

 

Kultur, media,

 

 

 

 

 

 

 

 

 

design %

83

86

84

80

79

80

84

75

67

 

 

 

 

 

 

 

 

 

 

Lantbruk,

 

 

 

 

 

 

 

 

 

djurvård, trädgård,

 

 

 

 

 

 

 

 

 

skog, fiske %

87

92

92

96

92

94

94

90

92

 

 

 

 

 

 

 

 

 

 

Pedagogik,

 

 

 

 

 

 

 

 

 

undervisning %

97

96

87

91

75

81

90

83

82

 

 

 

 

 

 

 

 

 

 

Samhällsbygg-

 

 

 

 

 

 

 

 

 

nad, byggteknik %

95

95

96

94

90

91

92

89

83

 

 

 

 

 

 

 

 

 

 

Teknik,

 

 

 

 

 

 

 

 

 

tillverkning %

89

93

93

92

84

86

90

91

88

 

 

 

 

 

 

 

 

 

 

Transporttjänster

 

 

 

 

 

 

 

 

 

%

93

96

97

93

87

92

90

95

94

 

 

 

 

 

 

 

 

 

 

Källa: Statistiska centralbyrån och Myndigheten för yrkeshögskolan.

Ökningen av andelen i arbete efter utbildningen jämfört med före utbildningen var större bland inrikes födda (11 procentenheter) än bland utrikes födda

(7 procentenheter). Varken när det gäller gruppen utrikes födda eller inrikes födda var det någon större skillnad i andel kvinnor respektive män i arbete efter utbildningen.

106

Prop. 2025/26:1 Utgiftsområde 16

Indikator: Andelen examinerade i yrkeshögskolan som har ett arbete inom utbildningsområdet året efter avslutad utbildning

Av de examinerade inom yrkeshögskolan 2023 som året därefter hade ett arbete angav 62 procent att de hade ett arbete som helt eller till största delen överensstämmer med utbildningen, vilket är 4 procentenheter mindre än för dem som examinerades 2022. Det finns inte någon större skillnad mellan män och kvinnor i detta avseende, se tabell 4.13.

Om man summerar alla dem som hade ett arbete året efter avslutad utbildning och som anser att arbetet helt, till största delen eller till viss del överensstämmer med den genomgångna utbildningen blir andelen 87 procent. Av de examinerade angav

13 procent att arbetet inte alls stämmer överens med utbildningen, vilket är en ökning med 4 procentenheter jämfört med uppföljningsåret 2023 som avsåg de som examinerades 2022. De utrikes födda svarade dock i något lägre utsträckning

(56 procent jämfört med 64 procent av de inrikes födda) att deras arbete helt eller till största delen överensstämmer med utbildningen. För de utrikes födda kvinnorna var andelen 57 procent jämfört med 54 procent av männen. Av de utrikes födda var det 17 procent som angav att arbetet inte alls överensstämmer med utbildningen.

Tabell 4.13 Andel examinerade från yrkeshögskolan som uppger att de har ett arbete som överensstämmer med den genomgångna utbildningen året efter avslutad utbildning

Andel, procent

 

2016

2017

2018

2019

2020

2021

2022

2023

2024

Arbetet

 

 

 

 

 

 

 

 

 

överrensstämmelser

 

 

 

 

 

 

 

 

 

helt eller till största

 

 

 

 

 

 

 

 

 

delen

67

68

69

71

67

65

65

66

62

 

 

 

 

 

 

 

 

 

 

Kvinnor

69

69

69

71

67

65

66

67

62

Män

65

67

69

71

67

64

64

65

62

 

 

 

 

 

 

 

 

 

 

Arbetet

 

 

 

 

 

 

 

 

 

överensstämmer till

 

 

 

 

 

 

 

 

 

viss del

23

23

22

21

22

22

25

25

25

 

 

 

 

 

 

 

 

 

 

Kvinnor

22

22

21

21

21

21

24

24

25

 

 

 

 

 

 

 

 

 

 

Män

25

24

23

22

23

24

25

26

24

Arbetet

 

 

 

 

 

 

 

 

 

överensstämmer

 

 

 

 

 

 

 

 

 

inte alls

10

9

8

7

10

13

10

9

13

Kvinnor

9

9

9

8

11

13

10

9

12

 

 

 

 

 

 

 

 

 

 

Män

10

9

8

7

10

12

10

9

14

 

 

 

 

 

 

 

 

 

 

Anm.: Uppföljning sker året efter examen. Tabellen avser enbart personer med examen från yrkeshögskolan

Källa: Myndigheten för yrkeshögskolan och Statistiska centralbyrån.

Kostnader

Myndigheten för yrkeshögskolan betalade 3 530 miljoner kronor för 2024 i statlig finansiering för s.k. program inom yrkeshögskolan, 261 miljoner kronor för kurser (korta utbildningar) och 27 miljoner kronor för yh-flex. Därutöver betalade myndig- heten ut 87 miljoner kronor i övriga bidrag inom yrkeshögskolan, varav 19 miljoner kronor avsåg stödinsatser för studerande med funktionsnedsättning. Under 2024 inkom 682 ansökningar om finansiering av stödinsatser, vilket var 34 procent fler än 2023. Av dessa ansökningar beviljades 631. Sammantaget utbetalades drygt

3 905 miljoner kronor i statligt stöd för 2024 när det gäller yrkeshögskolan.

Sedan 2020 finns kurser och kurspaket (korta utbildningar) inom yrkeshögskolan och fr.o.m. budgetpropositionen för 2025 (prop. 2024/25:1) redovisas dessa både för sig

107

Prop. 2025/26:1 Utgiftsområde 16

och tillsammans med längre yrkeshögskoleutbildningar, dvs. program, se diagram 4.2. Totalt utbetalades statsbidrag för ca 51 000 årsplatser på program inom yrkeshög- skoleutbildning 2024, vilket är ca 2 100 fler än 2023. Det genomsnittliga bidraget per årsplats för program inom yrkeshögskolan 2024 var 69 200 kronor, vilket är en ökning med 400 kronor jämfört med året innan. I detta belopp ingår inte pedagogiskt stöd och andra stöd och insatser. För korta utbildningar utbetalades statsbidrag för ca

3 600 årsplatser, vilket är 600 fler än 2023. Det genomsnittliga bidraget per årsplats för korta utbildningar inom yrkeshögskolan 2024 var 73 200 kronor, vilket är en ökning med 900 kronor jämfört med året innan.

Diagram 4.2 Antal utbetalda årsplatser för 2015–2024 inom yrkeshögskolan

Antal platser

60 000

 

 

 

 

 

 

 

 

 

50 000

 

 

 

 

 

 

 

 

 

40 000

 

 

 

 

 

 

 

 

 

30 000

 

 

 

 

 

 

 

 

 

20 000

 

 

 

 

 

 

 

 

 

10 000

 

 

 

 

 

 

 

 

 

0

 

 

 

 

 

 

 

 

 

2015

2016

2017

2018

2019

2020

2021

2022

2023

2024

 

 

Varav program

 

 

Varav kurser

 

 

Källa: Myndigheten för yrkeshögskolan.

Konst- och kulturutbildningar

Högskoleförberedande utbildningar inom det konstnärliga området är vanligast

Konst- och kulturutbildningar som bedrivs med statligt stöd enligt förordningen (2013:871) om stöd för konst- och kulturutbildningar och vissa andra utbildningar administreras av Myndigheten för yrkeshögskolan. Utbildningarna ska förbereda för högskoleutbildningar som kan leda till konstnärliga examina, medverka till att utveckla ett kvalificerat yrkeskunnande inom det konstnärliga eller kulturella området, eller syfta till att bevara eller utveckla kulturarvet.

Under 2024 bedrevs totalt 118 konst- och kulturutbildningar, varav 63 procent var av högskoleförberedande karaktär.

Tabell 4.14 Studerande i och studerande som slutfört konst- och kulturutbildningar

Antal studerande, procent

 

2017

2018

2019

2020

2021

2022

2023

2024

Antal antagna som

 

 

 

 

 

 

 

 

påbörjat studier

3 081

3 109

2 947

2 529

2 945

3 067

2 945

2 892

 

 

 

 

 

 

 

 

 

varav utrikes födda

 

 

 

 

 

 

 

 

%

15

14

16

13

14

15

17

17

varav kvinnor %

75

75

77

76

77

78

77

77

 

 

 

 

 

 

 

 

 

varav män %

25

25

23

24

23

22

23

23

 

 

 

 

 

 

 

 

 

Antal studerande

5 518

5 714

5 531

5 242

5 699

5 880

5 635

5 599

 

 

 

 

 

 

 

 

 

varav utrikes födda

 

 

 

 

 

 

 

 

%

13

13

14

13

14

15

16

17

 

 

 

 

 

 

 

 

 

varav kvinnor %

73

74

74

75

75

75

76

76

 

 

 

 

 

 

 

 

 

108

Prop. 2025/26:1 Utgiftsområde 16

 

2017

2018

2019

2020

2021

2022

2023

2024

varav män %

27

26

26

25

25

25

24

24

 

 

 

 

 

 

 

 

 

Antal studerande

 

 

 

 

 

 

 

 

som slutförde

 

 

 

 

 

 

 

 

utbildningen

2 380

2 561

2 311

2 015

2 391

2 643

2 429

2 438

 

 

 

 

 

 

 

 

 

varav kvinnor %

75

78

77

78

78

77

77

80

 

 

 

 

 

 

 

 

 

varav män %

25

22

23

22

22

23

23

20

 

 

 

 

 

 

 

 

 

Slutförandegrad %

82

81

82

80

84

83

82

81

 

 

 

 

 

 

 

 

 

varav kvinnor %

84

83

84

83

85

84

83

83

 

 

 

 

 

 

 

 

 

varav män %

78

75

74

71

80

81

79

74

 

 

 

 

 

 

 

 

 

Källa: Myndigheten för yrkeshögskolan och Statistiska centralbyrån.

Totalt var det nästan 5 600 studerande inom konst- och kulturutbildningarna under 2024, se tabell 4.14. Antalet beslutade årsplatser uppgick till totalt 3 367 under 2024 jämfört med 3 344 årsplatser 2023. Antalet årsplatser som berättigar de studerande till studiestöd uppgick till 3 298. Det motsvarar 98 procent av alla årsplatser. Under 2024 nyttjades totalt 74 procent av de beviljade årsplatserna för konst- och kultur- utbildningar, vilket är 2 procentenheter mindre än 2023.

Åtta av tio studerande slutför utbildningen

Under 2024 slutförde totalt ca 2 400 studerande en konst- och kulturutbildning, vilket var i nivå med 2023. För yrkesinriktade utbildningar inom det konstnärliga eller kulturella området var slutförandegraden 78 procent och för högskoleförberedande utbildningar inom det konstnärliga området var den 70 procent. För utbildningar inom kulturarvsområdet, som generellt är korta, var slutförandegraden 94 procent.

Kostnader

Beslutat statsbidrag för konst- och kulturutbildningar uppgick 2024 till 169 miljoner kronor för 1 968 beslutade årsplatser med statsbidrag. Utöver statsbidraget tillkommer kostnaderna för studiestöd.

4.3.3Övriga insatser

Regionalt yrkesvux

Regional yrkesinriktad utbildning på gymnasial nivå inom komvux (regionalt yrkesvux) finansieras med ett särskilt statsbidrag. Satsningen syftar till att leda till kompetenser som efterfrågas på arbetsmarknaden. Våren 2023 ansökte kommunerna om totalt

4 703 miljoner kronor i statsbidrag för 2024. Inklusive tillfälliga förstärkningar avsattes det 4 338 miljoner kronor för ändamålet för 2024, vilket kan jämföras med

4 210 miljoner kronor för 2023. Totalt beviljade Statens skolverk 3 919 miljoner kronor för 2024, vilket motsvarar ca 71 300 årsstudieplatser. Det kan jämföras med 3 897 miljoner beviljade kronor motsvarande 70 800 årsstudieplatser för 2023. Kommunerna redovisade sedan genomförda platser för 2 413 miljoner kronor för 2024, vilket motsvarar en nyttjandegrad av statsbidraget på ca 62 procent. Det kan jämföras med 2023 då kommunerna redovisade platser för 2 369 miljoner kronor, vilket motsvarade en nyttjandegrad på ca 56 procent. För statistik om regionalt yrkesvux fördelat på inrikes födda och utrikes födda, se utgiftsområde 13 Integration och jämställdhet avsnitt 3.

109

Prop. 2025/26:1 Utgiftsområde 16

Statsbidrag för lärcentrum

Syftet med statsbidraget för lärcentrum är att stimulera utveckling av lärcentrum i kommunerna. För 2024 fördelade Skolverket 50 miljoner kronor till kommunerna i statsbidrag för lärcentrum och söktrycket är högt, liksom tidigare år.

Nationell yrkesutbildning

Nationell yrkesutbildning är en pilotverksamhet som inleddes under 2024. Det är en yrkesutbildning för vuxna på gymnasial nivå med utgångspunkt i arbetslivets kompetensbehov. Myndigheten för yrkeshögskolan administrerar pilotverksamheten vilket bl.a. innefattar att betala ut statsbidrag till de utbildningsanordnare som deltar i verksamheten. Under 2024 fördelade Myndigheten för yrkeshögskolan 15,8 miljoner kronor i statsbidrag för 160 årsplatser inom nationell yrkesutbildning.

Stöd till validering och branschvalidering

Under 2024 fördelade Myndigheten för yrkeshögskolan drygt 9,7 miljoner kronor i statsbidrag för utveckling av kvalifikationer i arbetslivet och branschmodeller för validering, vilket är 1,6 miljoner kronor mindre än 2023.

Nivåplacering av kvalifikationer i Sveriges referensram för kvalifikationer för livslångt lärande

Myndigheten för yrkeshögskolan fattade 34 beslut om nivåplacering i Sveriges referensram för kvalifikationer för livslångt lärande 2024, vilket är i nivå med föregående år. Det innebär att myndigheten vid slutet av 2024 har beslutat om nivå för sammanlagt 113 kvalifikationer.

4.3.4Andra bedömningsgrunder

Bedömningsgrund – PIAAC

Sverige deltar i OECD:s internationella undersökning av vuxnas färdigheter PIAAC, som inrättades 2008. PIAAC mäter de färdigheter inom läsning, räkning och problem- lösningsförmåga som krävs för att klara sig i samhället och arbetslivet. PIAAC- undersökningen har genomförts i två omgångar. Den första undersökningen genom- fördes 2012 och i december 2024 presenterades resultaten för de 27 länder som deltog i den andra omgången av undersökningen, som genomfördes 2023.

Den vuxna befolkningen i Sverige fortsätter att prestera på topp och Sverige ligger bland de fem främsta länderna när det gäller genomsnittliga poäng inom läsning, räkning och problemlösningsförmåga.

En jämförelse över tid visar att den vuxna befolkningen i Sverige generellt presterar på samma nivå inom färdigheter i läsning och räkning som de gjorde vid den första undersökningen. Resultaten för problemlösning kan inte jämföras över tid eftersom definitionen förändrats. Av männen hade 67 procent goda eller mycket goda färdig- heter i räkning, jämfört med 57 procent av kvinnorna. Däremot finns det inga signifikanta skillnader mellan kvinnor och män inom färdigheter i läsning eller problemlösningsförmåga. I Sverige har majoriteten av den vuxna befolkningen,

63 procent, goda eller mycket goda färdigheter i läsning. Resultatet är en signifikant ökning jämfört med den första undersökningen då andelen låg på 58 procent. Även inom räkning har andelen med goda eller mycket goda kunskapsnivåer ökat, från 57 procent till 62 procent. Inom problemlösningsförmåga är det 51 procent som minst uppnår goda färdigheter.

110

Prop. 2025/26:1 Utgiftsområde 16

Undersökningen visar att 12 procent av den vuxna befolkningen i Sverige uppvisar otillräckliga färdigheter inom läsning respektive räkning, vilket motsvarar

780 000 personer. Även om andelen med otillräckliga kunskaper är mindre än hälften så stor jämfört med OECD-genomsnittet är det många vuxna i Sverige som riskerar en sämre etablering på arbetsmarknaden och har sämre förutsättningar att aktivt delta i samhället. I den yngsta åldersgruppen, 16–24 år, har andelen med otillräckliga färdigheter inom läsning dessutom ökat från 9 procent 2012 till 15 procent 2023. Däremot har genomsnittliga poäng ökat inom både läsning och räkning i de äldsta åldersgrupperna, 45–65 år. För mer information om resultatet fördelat över inrikes födda och utrikes födda, se utgiftsområde 13 Integration och jämställdhet avsnitt 3. Undersökningen visar också att länder som har högt deltagande i organiserad vuxen- utbildning uppnår högre resultat inom färdigheter i läsning och räkning. Sverige är ett av de länder som erbjuder vuxenutbildning i stor utsträckning och som även lyckas erbjuda vuxenutbildning till dem som ligger på de lägsta färdighetsnivåerna.

4.4Regeringens bedömning av måluppfyllelsen

Komvux

Komvux ska ge en god grund för elevernas fortsatta utbildning, erbjuda möjligheter att stärka vuxnas ställning i arbets- och samhällslivet och utgöra en bas för den nationella och regionala kompetensförsörjningen. Mot bakgrund av den höga arbets- lösheten och den fortsatt stora efterfrågan på arbetskraft med rätt kompetens ser regeringen positivt på att det totala antalet elever i komvux har ökat något mellan 2023 och 2024, vilket är ett trendbrott i den minskning av antalet elever som pågått sedan pandemin. Ökningen beror främst på att antalet elever i komvux på gymnasial nivå har ökat. Samtidigt har antalet elever i sfi fortsatt att minska, vilket bl.a. kan förklaras med att invandringen till Sverige har minskat under flera år.

Ungefär två tredjedelar av eleverna i komvux på grundläggande och gymnasial nivå avslutade en kurs med godkänt betyg 2023. Inom sfi var det ungefär hälften som avslutade med godkänt betyg. Övriga elever har antingen avbrutit kursen eller inte fått godkänt betyg. Regeringen ser positivt på att andelen elever som avbrutit sina studier i förtid fortsatte att minska i komvux på grundläggande nivå, i komvux på gymnasial nivå och i sfi mellan 2023 och 2024. Samtidigt ser regeringen det som problematiskt att andelen som avbryter utbildningen i förtid fortsatt är hög, inte minst i sfi. Kvinnor slutför utbildningar med godkänt betyg i högre grad än män, i likhet med tidigare år. Av de elever som avslutade komvux på grundläggande eller gymnasial nivå 2021 hade andelen med en etablerad ställning på arbetsmarknaden ett år efteråt ökat med i genomsnitt 5 procentenheter till 45 procent. Andelen som varken arbetade eller studerade minskade med 3 procentenheter. Regeringen bedömer att det kan vara ett tecken på en återhämtning från tillfälligt lägre nivåer under pandemin. För eleverna som avslutade sfi 2021 var det endast en tredjedel som var etablerade på arbets- marknaden ett år efter att utbildningen avslutats. Det är oroande att en relativt stor grupp varken arbetar eller studerar ett år efter sina studier i komvux. Det finns när det gäller elever i sfi en markant könsskillnad där endast var fjärde kvinna var etablerad på arbetsmarknaden ett år efter avslutade studier. För männen är andelen etablerade nästan dubbelt så hög. Kvinnor studerade dock vidare oftare än män året efter att de avslutat sfi vilket delvis förklarar skillnaderna i etablering.

Satsningarna på regionalt yrkesvux inom komvux är viktiga för att förbättra matchningen av kompetens med arbetsmarknadens behov av yrkesutbildad arbetskraft. Regeringen ser positivt på att nyttjandegraden av statsbidraget har ökat, men kan konstatera att nyttjandegraden fortfarande är för låg. Medel som avsätts för

111

Prop. 2025/26:1 Utgiftsområde 16

statsbidraget har bedömts vara anpassade efter de behov av utbildningsplatser som finns. Den låga nyttjandegraden beror på flera faktorer. Det främsta skälet till att utbildningar inte blir av är bristande efterfrågan från elever. Ett annat skäl är brist på platser för arbetsplatsförlagt lärande (APL). Kommunernas förutsättningar för långsiktig planering och finansiering kan också vara en begränsande faktor. Regeringen har bl.a. därför tidigare i 2025 års ekonomiska vårproposition (prop. 2024/25:100) aviserat en avsikt att höja ersättningsnivåerna i statsbidraget i enlighet med förslag i betänkandet Växla yrke som vuxen – en reformerad vuxenutbildning och en ny yrkesskola för vuxna (SOU 2024:16), för bl.a. ökad kvalitet inom utbildningarna. Regeringen bedömer att arbetsgivares tillgång till arbetskraft med yrkesutbildning på gymnasial nivå är en fortsatt prioriterad fråga.

Yrkeshögskolan

Yrkeshögskolan är en framgångsrik utbildningsform som röner stort intresse från både vuxna som vill utbilda sig och arbetslivet som söker arbetskraft med kvalificerade yrkeskunskaper. Fler än åtta av tio med en examen från yrkeshögskolan har ett arbete året efter att de avslutat utbildningen. Andelen i arbete ökar med ca 10 procentenheter efter genomförd yrkeshögskoleutbildning jämfört med före utbildningen. Söktrycket från dem som vill gå utbildningarna var högt 2024, precis som tidigare år. Andelen utrikes födda studerande fortsätter att öka. Könsfördelningen är totalt sett relativt jämn inom yrkeshögskolan, men könsfördelningen är fortsatt ojämn inom de största utbildningsområdena.

Antalet studerande och årsplatser inom yrkeshögskolan ökar efter att ha varit ganska konstant under de senaste åren. Ökningen avser både långa och korta yrkeshögskole- utbildningar. Att yrkeshögskolan växer visar att intresset från sökande och arbetslivet är stort, men är också ett resultat av regeringens satsningar på utbildningsformen.

Ökningen av de korta utbildningarna inom yrkeshögskolan innebär att utbudet av utbildningsalternativ ökar, vilket bedöms vara positivt för kompetensförsörjningen till hela arbetsmarknaden. De särskilda konst- och kulturutbildningarna är viktiga för kompetensförsörjningen inom kulturområdet.

Examensgraden inom yrkeshögskolan ökade något 2023 efter att trenden har varit att den minskat under flera år. Examensgraden är dock för låg i många olika yrkeshögskoleutbildningar. Det är positivt att såväl utbildningsanordnare som Myndigheten för yrkeshögskolan arbetar aktivt för att vända trenden med den sjunkande examensgraden och resultatet från 2023 kan vara en indikation på ett trendbrott. Ett annat område som behöver bevakas är den negativa utvecklingen av de examinerades sysselsättning. Regeringens sammanvägda bedömning är dock att yrkeshögskolan fungerar väl och att utbildningarna håller en hög kvalitet.

Myndigheten för yrkeshögskolan har tillsyn över utbildningarna. Under 2024 har myndigheten genomfört tillsyn av LIA i utbildningar där myndigheten har bedömt att det kan finnas en risk för brister i LIA. Myndigheten fann brister i nästan en tredjedel av ärendena. Eftersom LIA är en viktig del av yrkeshögskolan, inte minst när det gäller utbildningarnas arbetslivsanknytning, behöver det hålla en hög kvalitet. Myndighetens granskning av LIA är därför viktig.

Myndigheten följer även upp pilotverksamheten med en nationell yrkesutbildning, som inleddes i augusti 2024. Det är för tidigt att dra några säkra slutsatser när det gäller pilotverksamheten, men regeringen konstaterar att intresset från utbildnings- anordnare att delta i verksamheten varit stort. Antalet sökande till de utbildningar som hittills startat varierar. Sammantaget har det dock varit drygt två sökande per utbild- ningsplats, vilket kan betraktas som ett gott resultat för en helt ny utbildningsform.

112

Prop. 2025/26:1 Utgiftsområde 16

4.5Politikens inriktning

4.5.1Vuxenutbildning ger fler möjlighet att komma i arbete

Den svenska ekonomin befinner sig i en lågkonjunktur, även om återhämtningen har börjat. Arbetslösheten är fortsatt hög. De strukturella problemen på arbetsmarknaden handlar bl.a. om svårigheter att matcha arbetslösas kvalifikationer och arbetsgivarnas efterfrågan. Detta gäller framför allt bland utrikes födda och personer som saknar gymnasial utbildning. Dessa två grupper är dessutom till stor del överlappande. Det finns t.ex. en stor efterfrågan på kompetenser som kan förvärvas genom yrkes- utbildning, men för få yrkesutbildade. Därför behöver möjligheterna till omställning genom utbildning stärkas. Det är avgörande både för tillväxten i svensk ekonomi och för att fler människor ska kunna komma i arbete.

Arbetslösheten är särskilt hög bland utrikes födda personer. Många saknar tillräckliga kunskaper i det svenska språket och de yrkeskunskaper som behövs för att kunna konkurrera om lediga jobb. Satsningar på vuxenutbildning är av stor betydelse eftersom utbildningarna kan påskynda språklig och ekonomisk integration och leda till att fler utrikes födda försörjer sig själva. Detta minskar risken för långtidsarbetslöshet och utanförskap.

4.5.2Det behövs fler utbildningsplatser inom gymnasiala yrkesutbildningar

Efterfrågan på arbetskraft med gymnasial yrkeskompetens har ökat under en längre tid samtidigt som utbudet inte motsvarar efterfrågan. Detta riskerar att hämma närings- livets tillväxt och Sveriges konkurrenskraft och påverka verksamheter inom välfärden. Det finns ett fortsatt behov av utbildningsplatser inom gymnasial yrkesutbildning för vuxna i hela landet.

Statsbidraget för regionalt yrkesvux finansierar ett stort antal av de yrkesutbildnings- platser på gymnasial nivå som finns inom komvux. Kommunernas nyttjande av stats- bidraget har under en längre tid varit för lågt. Det innebär att antalet genomförda utbildningar inte motsvarar de satsningar staten gör på regionalt yrkesvux. Det är också särskilt svårt att få till stånd bl.a. dyrare utbildningar inom investeringstunga områden. Nyttjandet av statsbidraget skiljer sig mycket mellan landets olika kommuner. Statsbidraget behöver förändras i grunden för att få ett högre nyttjande över hela landet och därmed ett ökat antal utbildningsplatser. I betänkandet Växla yrke som vuxen – en reformerad vuxenutbildning och en ny yrkesskola för vuxna (SOU 2024:16) föreslår Yrkesvuxutredningen en rad förändringar för att göra statsbidraget mer ändamålsenligt, långsiktigt och flexibelt. I 2025 års ekonomiska vårproposition (prop. 2024/25:100) aviserade regeringen en höjning av ersättnings- nivåerna i statsbidraget i enlighet med förslag i betänkandet. Regeringen föreslår nu även att kommunerna ska kunna beviljas statsbidrag för upp till tre år i taget. Vissa ersättningsnivåer i statsbidraget bör differentieras, så att dyra utbildningar får mer ersättning och billiga utbildningar får mindre. Regeringen avser också att höja ersättningsnivåerna i statsbidraget för elever i komvux som anpassad utbildning och elever med funktionsnedsättning i andra yrkesutbildningar inom komvux. Tillgången till en likvärdig utbildning med hög kvalitet för dessa målgrupper behöver stärkas.

Sedan 2024 pågår en pilotverksamhet med nationell yrkesutbildning på gymnasial nivå. I 2025 års ekonomiska vårproposition (prop. 2024/25:100) aviserade regeringen en förlängning av pilotverksamheten t.o.m. 2028 i avvaktan på en utvärdering. Myndigheten för yrkeshögskolan har hittills fokuserat på att bevilja utbildningsplatser inom bristyrken som kompletterar befintligt utbud av gymnasial yrkesutbildning inom

113

Prop. 2025/26:1 Utgiftsområde 16

bl.a. komvux. I de första omgångarna har fokus legat på utbildningar inom bygg och anläggning, el och energi, fordon och transport, industriteknik samt naturbruk. Regeringen bedömer att det finns möjligheter att bredda utbudet av utbildningar och öka antalet utbildningsplatser. Därför föreslår regeringen att medel avsätts för detta.

4.5.3En fortsatt utbyggnad av yrkeshögskolan

Arbetsmarknadens efterfrågan på personer med eftergymnasial yrkesutbildning är stor. Yrkeshögskolan har bl.a. visat sig vara attraktiv för dem som vill studera med omställningsstudiestöd. I budgetpropositionen för 2024 (prop. 2023/24:1) initierade regeringen en omfattande utbyggnad av yrkeshögskolan, där antalet utbildningsplatser stegvis ökar t.o.m. 2026. Det finns en stor efterfrågan på yrkesutbildad arbetskraft på arbetsmarknaden, och ett behov av ökade möjligheter till omställning och kompetens- utveckling. Därför bedömer regeringen att antalet utbildningsplatser inom yrkes- högskolan behöver öka ytterligare. Regeringen föreslår att permanenta medel bör tillföras yrkeshögskolan.

4.6En tidigare bedömning om särskilda medel till yrkeshögskoleutbildning ändras

Regeringens bedömning

Det behöver ses över om även andra statliga myndigheter än universitet och högskolor ska kunna få särskilda medel för yrkeshögskoleutbildning.

Skälen för regeringens bedömning

Utbildning inom yrkeshögskolan får enligt lagen (2009:128) om yrkeshögskolan anordnas av statliga universitet och högskolor, andra statliga myndigheter, kommuner, regioner och enskilda fysiska eller juridiska personer (4 §). Det är Myndigheten för yrkeshögskolan som beslutar om en utbildning ska få ingå i yrkeshögskolan och myndigheten beslutar även om statlig finansiering för yrkeshögskoleutbildningarna, efter ansökan från utbildningsanordnarna. Kommuner, regioner eller enskilda kan få statsbidrag och statliga universitet och högskolor kan få särskilda medel (1 kap. 4,

7 och 8 §§ lagen om yrkeshögskolan och 5 kap. 2 § förordningen [2009:130] om yrkeshögskolan).

Möjligheten för andra statliga myndigheter än universitet och högskolor att bedriva utbildning inom yrkeshögskolan infördes 2017. I förarbetena till lagändringen, propositionen En stärkt yrkeshögskola – ett lyft för kunskap (prop. 2015/16:198), uttalade den dåvarande regeringen beträffande andra statliga myndigheter än universitet och högskolor att myndigheter som anordnar utbildningar som inte ingår i yrkeshögskolan finansierar utbildningarna själva och att den ordningen bör gälla även om utbildningarna ingår i yrkeshögskolan (s. 29).

Sedan propositionen skrevs har omvärldsläget förändrats. För att främja Sveriges beredskap kan även andra statliga myndigheter än universitet och högskolor behöva särskilda medel för att bedriva yrkeshögskoleutbildningar. Det kan även finnas andra situationer där arbetslivets och samhällets behov i övrigt motiverar att sådana myndigheter får möjlighet att ta del av de medel som Myndigheten för yrkeshögskolan fördelar. Regeringen bedömer därför att det finns behov av att se över om en sådan möjlighet bör införas. Andra myndigheter än universitet och högskolor som har staten som huvudman skulle i så fall inte, som tidigare meddelats riksdagen, alltid behöva finansiera utbildningarna själva.

114

Prop. 2025/26:1 Utgiftsområde 16

4.7Budgetförslag

4.7.11:16 Bidrag till vissa studier

Tabell 4.15 Anslagsutveckling 1:16 Bidrag till vissa studier

Tusental kronor

2024

Utfall

11 028

Anslagssparande

6 497

 

 

 

 

 

2025

Anslag

17 5251

Utgiftsprognos

12 413

2026

Förslag

17 525

 

 

 

 

 

 

 

2027

Beräknat

17 525

 

 

 

 

 

 

 

2028

Beräknat

17 525

 

 

 

 

 

 

 

1Inklusive beslut om ändringar i statens budget 2025 och förslag till ändringar i samband med denna proposition.

Ändamål

Anslaget får användas för utgifter för statsbidrag som lämnas för studier om funktionsnedsättningar, utbildning som är särskilt anpassad för personer med funktionsnedsättningar och för studier inom kommunal vuxenutbildning som anpassad utbildning för vuxna.

Skälen för regeringens förslag

Tabell 4.16 Förändringar av anslagsnivån 2026–2028 för 1:16 Bidrag till vissa studier

Tusental kronor

 

2026

2027

2028

 

 

 

 

Anvisat 20251

17 525

17 525

17 525

Beslutade, föreslagna och aviserade åtgärder

 

 

 

 

 

 

 

Överföring till/från andra anslag

 

 

 

 

 

 

 

Övrigt

 

 

 

Förslag/beräknat anslag

17 525

17 525

17 525

 

 

 

 

1Statens budget enligt riksdagens beslut i december 2024 (bet. 2024/25:FiU10). Beloppet är således exklusive beslut om ändringar i statens budget.

Regeringen föreslår att 17 525 000 kronor anvisas under anslaget 1:16 Bidrag till vissa studier för 2026. För 2027 och 2028 beräknas anslaget till 17 525 000 kronor respektive 17 525 000 kronor.

4.7.21:17 Statligt stöd till vuxenutbildning

Tabell 4.17 Anslagsutveckling 1:17 Statligt stöd till vuxenutbildning

Tusental kronor

2024

Utfall

4 228 669

Anslagssparande

469 952

 

 

 

 

 

2025

Anslag

4 356 4221

Utgiftsprognos

3 823 152

2026

Förslag

3 712 422

 

 

 

 

 

 

 

2027

Beräknat

3 572 422

 

 

 

 

 

 

 

2028

Beräknat

3 572 422

 

 

1Inklusive beslut om ändringar i statens budget 2025 och förslag till ändringar i samband med denna proposition.

115

Prop. 2025/26:1 Utgiftsområde 16

Ändamål

Anslaget får användas för utgifter för

statsbidrag för kommunal vuxenutbildning och kommunal vuxenutbildning som anpassad utbildning samt för motsvarande äldre utbildningar, och annan utbildning som motsvarar kommunal vuxenutbildning,

statsbidrag för lärcentrum,

att främja utveckling av vuxenutbildning och öka deltagandet i sådan utbildning,

en försöksverksamhet med yrkesutbildning på gymnasial nivå med utgångspunkt i den modell som tillämpas för yrkeshögskolan, och

att främja språkutveckling för personal på arbetsplatser.

Skälen för regeringens förslag

Tabell 4.18 Förändringar av anslagsnivån 2026–2028 för 1:17 Statligt stöd till vuxenutbildning

Tusental kronor

 

2026

2027

2028

Anvisat 20251

4 156 422

4 156 422

4 156 422

Beslutade, föreslagna och aviserade åtgärder

-444 000

-584 000

-584 000

 

 

 

 

varav BP26

150 000

50 000

50 000

 

 

 

 

– Tillskott till statsbidrag för regionalt yrkesvux

100 000

 

 

 

 

 

 

– Förlängning och förstärkning av Nationell Yrkesutbildning

50 000

50 000

50 000

 

 

 

 

Överföring till/från andra anslag

 

 

 

 

 

 

 

Övrigt

 

 

 

 

 

 

 

Förslag/beräknat anslag

3 712 422

3 572 422

3 572 422

 

 

 

 

1Statens budget enligt riksdagens beslut i december 2024 (bet. 2024/25:FiU10). Beloppet är således exklusive beslut om ändringar i statens budget.

För att förstärka statsbidraget för regional yrkesinriktad utbildning på gymnasial nivå inom kommunal vuxenutbildning (regionalt yrkesvux) ökas anslaget med

100 000 000 kronor för 2026.

För en förstärkning av pilotverksamheten med nationell yrkesutbildning på gymnasial nivå ökas anslaget med 50 000 000 kronor för 2026. För 2027 och 2028 beräknas anslaget öka med motsvarande belopp.

Regeringen föreslår att 3 712 422 000 kronor anvisas under anslaget 1:17 Statligt stöd till vuxenutbildning för 2026. För 2027 och 2028 beräknas anslaget till

3 572 422 000 kronor respektive 3 572 422 000 kronor.

Bemyndigande om ekonomiska åtaganden

Regeringens förslag

Regeringen bemyndigas att under 2026 för anslaget 1:17 Statligt stöd till vuxenutbildning ingå ekonomiska åtaganden som inklusive tidigare åtaganden medför behov av framtida anslag på högst 9 672 000 000 kronor 2027–2029.

Skälen för regeringens förslag

Statens skolverk beslutar om statsbidrag för bl.a. kommunal vuxenutbildning (komvux). För att förbättra förutsättningarna för kommunernas planering av komvux bör statsbidrag få beviljas för upp till tre år framåt i tiden. Regeringen bör därför

116

Prop. 2025/26:1 Utgiftsområde 16

bemyndigas att under 2026 för anslaget 1:17 Statligt stöd till vuxenutbildning ingå ekonomiska åtaganden som inklusive tidigare åtaganden medför behov av framtida anslag på högst 9 672 000 000 kronor 2027–2029.

Tabell 4.19 Beställningsbemyndigande för anslaget 1:17 Statligt stöd till vuxenutbildning

Tusental kronor

 

 

Prognos

 

Beräknat

Beräknat

Beräknat

 

Utfall 2024

2025

Förslag 2026

2027

2028

2029

Ekonomiska

 

 

 

 

 

 

åtaganden vid årets

 

 

 

 

 

 

början

3 344 349

3 284 320

5 945 000

 

 

 

 

 

 

 

 

 

 

Nya ekonomiska

 

 

 

 

 

 

åtaganden

3 284 320

5 945 000

7 074 422

 

 

 

 

 

 

 

 

 

 

Utgifter mot anslag till

 

 

 

 

 

 

följd av ekonomiska

 

 

 

 

 

 

åtaganden

-3 306 491

-3 283 422

-3 347 422

-3 522 000

-3 150 000

-3 000 000

 

 

 

 

 

 

 

Övriga förändringar

 

 

 

 

 

 

av ekonomiska

 

 

 

 

 

 

åtaganden

-37 858

-898

 

 

 

 

 

 

 

 

 

 

 

Ekonomiska

 

 

 

 

 

 

åtaganden vid årets

 

 

 

 

 

 

slut

3 284 320

5 945 000

9 672 000

 

 

 

 

 

 

 

 

 

 

Beslutat/föreslaget

 

 

 

 

 

 

bemyndigande

3 622 422

6 100 000

9 672 000

 

 

 

 

 

 

 

 

 

 

4.7.31:18 Myndigheten för yrkeshögskolan

Tabell 4.20 Anslagsutveckling 1:18 Myndigheten för yrkeshögskolan

Tusental kronor

2024

Utfall

153 579

Anslagssparande

1 988

 

 

 

 

 

2025

Anslag

171 3831

Utgiftsprognos

171 618

2026

Förslag

202 724

 

 

 

 

 

 

 

2027

Beräknat

181 0642

 

 

2028

Beräknat

180 9913

 

 

1Inklusive beslut om ändringar i statens budget 2025 och förslag till ändringar i samband med denna proposition.

2Motsvarar 178 129 tkr i 2026 års prisnivå.

3Motsvarar 174 626 tkr i 2026 års prisnivå.

Ändamål

Anslaget får användas för Myndigheten för yrkeshögskolans förvaltningsutgifter.

Skälen för regeringens förslag

Tabell 4.21 Förändringar av anslagsnivån 2026–2028 för 1:18 Myndigheten för yrkeshögskolan

Tusental kronor

 

2026

2027

2028

Anvisat 20251

171 383

171 383

171 383

Pris- och löneomräkning2

3 341

6 220

9 709

Beslutade, föreslagna och aviserade åtgärder

28 000

3 461

-101

 

 

 

 

Överföring till/från andra anslag

 

 

 

 

 

 

 

Övrigt

 

 

 

117

Prop. 2025/26:1 Utgiftsområde 16

2026 2027 2028

Förslag/beräknat anslag

202 724 181 064 180 991

 

 

1Statens budget enligt riksdagens beslut i december 2024 (bet. 2024/25:FiU10). Beloppet är således exklusive beslut om ändringar i statens budget.

2Pris- och löneomräkningen baseras på anvisade medel 2025. Övriga förändringskomponenter redovisas i löpande priser och inkluderar därmed en pris- och löneomräkning. Pris- och löneomräkningen för 2027–2028 är preliminär.

Regeringen föreslår att 202 724 000 kronor anvisas under anslaget 1:18 Myndigheten för yrkeshögskolan för 2026. För 2027 och 2028 beräknas anslaget till 181 064 000 kronor respektive 180 991 000 kronor.

Budget för avgiftsbelagd verksamhet

Tabell 4.22 Avgiftsfinansierad verksamhet vid Myndigheten för yrkeshögskolan

Tusental kronor

 

Ack.

 

Verksam-

 

 

Ack.

 

resultat

 

hetens

 

 

resultat

 

t.o.m.

Resultat

intäkter

Kostnader

Resultat

utgående

Verksamhet

2024

2025

2026

2026

2026

2026

 

 

 

 

 

 

 

Verksamhet där intäkterna

 

 

 

 

 

 

disponeras

 

 

 

 

 

 

 

 

 

 

 

 

 

Offentligrättslig verksamhet

 

 

 

 

 

 

 

 

 

 

 

 

 

varav ansökningsavgifter för

 

 

 

 

 

 

referensramen för

 

 

 

 

 

 

kvalifikationer (SeQF)

192

-192

400

400

0

0

 

 

 

 

 

 

 

Verksamhet där intäkterna

 

 

 

 

 

 

inte disponeras

 

 

 

 

 

 

 

 

 

 

 

 

 

Uppdragsverksamhet

-361

0

90

90

0

-361

 

 

 

 

 

 

 

Myndigheten för yrkeshögskolan disponerar intäkter för offentligrättslig verksamhet som avser ansökningsavgift för inplacering i den nationella referensramen för kvalifikationer för livslångt lärande (SeQF). Myndigheten för yrkeshögskolan tar också ut avgifter från anordnare som bedriver uppdragsutbildningar. Myndigheten disponerar inte dessa avgifter.

4.7.41:19 Statligt stöd till yrkeshögskoleutbildning

Tabell 4.23 Anslagsutveckling 1:19 Statligt stöd till yrkeshögskoleutbildning

Tusental kronor

2024

Utfall

4 074 807

Anslagssparande

-64 424

 

 

 

 

 

2025

Anslag

4 330 3831

Utgiftsprognos

4 236 231

2026

Förslag

4 420 166

 

 

 

 

 

 

 

2027

Beräknat

4 532 166

 

 

 

 

 

 

 

2028

Beräknat

4 675 166

 

 

 

 

 

 

 

1Inklusive beslut om ändringar i statens budget 2025 och förslag till ändringar i samband med denna proposition.

Ändamål

Anslaget får användas för utgifter för

statligt stöd för yrkeshögskoleutbildning,

kostnader för personskadeförsäkring och ansvarsförsäkring inom yrkeshögskolan,

statsbidrag för konst- och kulturutbildningar,

118

Prop. 2025/26:1 Utgiftsområde 16

särskilt verksamhetsstöd för riksomfattande kursverksamhet avseende hemslöjd eller för att främja samisk utbildningsverksamhet, och

stöd för framtagande av modeller för branschvalidering.

Skälen för regeringens förslag

Tabell 4.24 Förändringar av anslagsnivån 2026–2028 för 1:19 Statligt stöd till yrkeshögskoleutbildning

Tusental kronor

 

2026

2027

2028

Anvisat 20251

4 010 383

4 010 383

4 010 383

Beslutade, föreslagna och aviserade åtgärder

409 783

521 783

664 783

 

 

 

 

varav BP26

117 500

229 500

372 500

 

 

 

 

– Ytterligare utbyggnad av Yrkeshögskolan

117 500

229 500

372 500

Överföring till/från andra anslag

 

 

 

 

 

 

 

Övrigt

 

 

 

 

 

 

 

Förslag/beräknat anslag

4 420 166

4 532 166

4 675 166

1Statens budget enligt riksdagens beslut i december 2024 (bet. 2024/25:FiU10). Beloppet är således exklusive beslut om ändringar i statens budget.

För att öka antalet utbildningsplatser inom yrkeshögskolan och bibehålla utbildningarnas kvalitet ökas anslaget med 117 500 000 kronor för 2026. För 2027 beräknas anslaget öka med 229 500 000 kronor. Från och med 2028 beräknas anslaget öka med 372 500 000 kronor.

Regeringen föreslår att 4 420 166 000 kronor anvisas under anslaget 1:19 Statligt stöd till yrkeshögskoleutbildning för 2026. För 2027 och 2028 beräknas anslaget till

4 532 166 000 kronor respektive 4 675 166 000 kronor.

Bemyndigande om ekonomiska åtaganden

Regeringens förslag

Regeringen bemyndigas att under 2026 för anslaget 1:19 Statligt stöd till yrkeshögskoleutbildning ingå ekonomiska åtaganden som inklusive tidigare åtaganden medför behov av framtida anslag på högst 12 300 000 000 kronor 2027–2033.

Skälen för regeringens förslag

Myndigheten för yrkeshögskolan beslutar om stöd för bl.a. yrkeshögskoleutbildningar. Regeringen har bedömt att ett beslut om att en utbildning ska ingå i yrkeshögskolan i regel bör omfatta fler än två utbildnings-omgångar. Utbildningar som omfattas av förordningen (2013:871) om stöd för konst- och kulturutbildningar och vissa andra utbildningar kan också pågå under en längre tid. Regeringen bör därför bemyndigas att under 2026 för anslaget 1:19 Statligt stöd till yrkeshögskoleutbildning ingå ekonomiska åtaganden som inklusive tidigare åtaganden medför behov av framtida anslag på högst 12 300 000 000 kronor 2027–2033.

119

Prop. 2025/26:1 Utgiftsområde 16

Tabell 4.25 Beställningsbemyndigande för anslaget 1:19 Statligt stöd till yrkeshögskoleutbildning

Tusental kronor

 

 

Prognos

 

Beräknat

Beräknat

Beräknat

 

Utfall 2024

2025

Förslag 2026

2027

2028

2029 – 2033

 

 

 

 

 

 

 

Ekonomiska

 

 

 

 

 

 

åtaganden vid årets

 

 

 

 

 

 

början

9 273 542

10 725 161

10 300 000

 

 

 

 

 

 

 

 

 

 

Nya ekonomiska

 

 

 

 

 

 

åtaganden

5 592 167

3 642 000

5 643 000

 

 

 

 

 

 

 

 

 

 

Utgifter mot anslag till

 

 

 

 

 

 

följd av ekonomiska

 

 

 

 

 

 

åtaganden

-3 563 160

-3 810 000

-3 643 000

-4 495 000

-4 664 000

-3 141 000

 

 

 

 

 

 

 

Övriga förändringar

 

 

 

 

 

 

av ekonomiska

 

 

 

 

 

 

åtaganden

-577 388

-257 161

 

 

 

 

 

 

 

 

 

 

 

Ekonomiska

 

 

 

 

 

 

åtaganden vid årets

 

 

 

 

 

 

slut

10 725 161

10 300 000

12 300 000

 

 

 

 

 

 

 

 

 

 

Beslutat/föreslaget

 

 

 

 

 

 

bemyndigande

11 300 000

11 300 000

12 300 000

 

 

 

 

 

 

 

 

 

 

120

Prop. 2025/26:1 Utgiftsområde 16

5 Universitet och högskolor

5.1Mål för området

Målet för området är att utbildning och forskning vid universitet och högskolor ska hålla en internationellt sett hög kvalitet och bedrivas effektivt (prop. 2011/12:1 utg.omr. 16, bet. 2011/12:UbU1, rskr. 2011/12:98).

5.2Kort beskrivning av verksamhetsområdet

Höstterminen 2024 studerade 402 000 studenter i högskolan, vilket var en ökning med 19 000 studenter jämfört med året innan. Av dessa var 62 procent kvinnor och 38 procent män. Högskolesektorn är den största statliga verksamheten sett till antalet anställda. År 2024 var antalet anställda ca 70 200, motsvarande 56 000 årsarbetskrafter, varav 55 procent var kvinnor och 45 procent män. De totala kostnaderna för verksamheten vid statliga universitet och högskolor samt enskilda utbildnings- anordnare med tillstånd att utfärda examina enligt lagen (1993:792) om tillstånd att utfärda vissa examina (examenstillståndslagen) uppgick 2024 till 93,6 miljarder kronor, vilket motsvarar 1,5 procent av Sveriges BNP.

Verksamheten omfattar utbildning på grundnivå, avancerad nivå och forskarnivå samt forskning. De direkta statliga anslagen till lärosätena uppgick under 2024 till 53,2 miljarder kronor. Utöver dessa finansierar staten verksamhet vid universitet och högskolor via olika statliga myndigheter, framför allt genom forskningsråden. Sammantaget är strax under 76 procent av verksamheten vid statliga universitet och högskolor samt enskilda utbildningsanordnare statligt finansierad. Statliga universitet och högskolor styrs i första hand av högskolelagen (1992:1434) och högskoleförord- ningen (1993:100). Regeringen styr också statliga universitet och högskolor via årliga regleringsbrev. År 2024 fanns det 16 statliga universitet och 15 statliga högskolor. För enskilda utbildningsanordnare ställs i examenstillståndslagen motsvarande krav på utbildningen som gäller för statliga universitet och högskolor enligt 1 kap. högskole- lagen. Relationerna med de enskilda utbildningsanordnarna regleras utöver i examens- tillståndslagen genom avtal med vissa av utbildningsanordnarna och villkor för medel i regleringsbrev till Kammarkollegiet.

Rätten att utfärda examina följer antingen av författning eller av särskilda beslut av regeringen eller Universitetskanslersämbetet. Inom de ramar som ges i gällande regelverk har samtliga lärosäten stor frihet att bestämma över sin verksamhet. Lärosätena återrapporterar i första hand utfallet av sin verksamhet till regeringen i sina årsredovisningar. Universitetskanslersämbetet ansvarar däremot för merparten av återrapporteringen till regeringen inom verksamhetsområdet. Myndigheten publicerar varje år en årsrapport som syftar till att ge en samlad bild av utvecklingen inom högskoleområdet. För en fördjupad beskrivning av verksamheten under 2024 hänvisas till denna årsrapport och till övrig statistik från Universitetskanslersämbetet.

5.3Resultatindikatorer och andra bedömningsgrunder

De centrala indikatorerna som används för att redovisa resultat inom området är följande:

andel med doktorsexamen bland forskande och undervisande personal.

121

Prop. 2025/26:1 Utgiftsområde 16

prestationsgrad i utbildning på grundnivå och avancerad nivå.

genomströmning i utbildning på forskarnivå.

andelen etablerade på arbetsmarknaden 1,5 år efter examen.

vetenskaplig produktion.

förmåga att attrahera externa medel för forskning.

5.4Resultatredovisning

Indikator: Andel med doktorsexamen bland forskande och undervisande personal

Andelen med doktorsexamen bland forskande och undervisande personal uppgick 2024 till 63 procent, vilket är en ökning med 3 procentenheter jämfört med andelen för tio år sedan. En högre andel män än kvinnor är disputerade, men skillnaden är mindre än den var för tio år sedan. Andelen kvinnor bland forskande och undervis- ande personal som är disputerade har ökat från 56 procent 2014 till 60 procent 2024. Under samma period har andelen män som är disputerade ökat från 63 procent till 66 procent.

Indikator: Prestationsgrad i utbildning på grundnivå och avancerad nivå

Prestationsgraden är ett mått som beräknas som antalet avklarade högskolepoäng omräknade till helårsprestationer dividerade med antalet helårsstudenter. Prestations- graden beräknas så att varje students avklarade poäng kan kopplas till den individens registrerade poäng. I måttet ingår de poäng som de aktuella studenterna har tagit under registreringsterminen och de tre därpå följande terminerna.

För samtliga helårsstudenter var prestationsgraden 83 procent läsåret 2022/23. Detta var en liten ökning jämfört med läsåret innan. Prestationsgraden skiljer sig mellan olika studieformer och kvinnor uppvisar generellt en högre prestationsgrad än män i alla studieformer. För program som leder till en yrkesexamen var prestationsgraden 91 procent läsåret 2022/23. De lägsta prestationsgraderna uppvisar fristående kurser som studeras på distans, där genomsnittet var 50 procent för samtliga studenter. Det är en lägre andel jämfört med året innan. Prestationsgraden skiljer sig också mellan olika ämnesområden. Läsåret 2022/23 var prestationsgraden högst inom ämnesområdet vård och omsorg (92 procent), och lägst var den inom ämnesområde humaniora

(69 procent), se tabell 5.1. Prestationsgraden bland män har ökat under en längre period, men under de senaste två läsåren har den sjunkit inom flera områden.

Tabell 5.1

Prestationsgrad

 

 

 

 

 

 

 

Procent

 

 

 

 

 

 

 

 

Ämnesområde

 

20/21

21/22

22/23

Ämnesområde

20/21

21/22

22/23

Humaniora (inkl. teologi)

72

69

69

Teknik

83

83

84

 

 

 

 

 

 

 

 

 

Kvinnor

 

73

71

71

Kvinnor

84

84

84

 

 

 

 

 

 

 

 

 

Män

 

68

65

65

Män

83

82

83

 

 

 

 

 

 

 

 

Samhällsvetenskap (inkl. juridik)

86

84

85

Medicin och odontologi

91

91

91

 

 

 

 

 

 

 

 

 

Kvinnor

 

88

86

87

Kvinnor

91

91

91

 

 

 

 

 

 

 

 

 

Män

 

82

80

81

Män

90

91

91

 

 

 

 

 

 

 

 

Vård och omsorg

91

92

92

Konstnärligt område

88

87

86

 

 

 

 

 

 

 

 

 

Kvinnor

 

92

93

93

Kvinnor

88

87

86

 

 

 

 

 

 

 

 

 

Män

 

88

90

90

Män

88

86

86

 

 

 

 

 

 

 

 

Naturvetenskap

77

76

78

Övrigt område

83

83

83

 

 

 

 

 

 

 

 

 

122

 

Prop. 2025/26:1 Utgiftsområde 16

 

 

 

 

Kvinnor

81

80

81

Kvinnor

84

84

83

 

 

 

 

 

 

 

 

Män

73

72

74

Män

82

82

82

Källa: Universitetskanslersämbetet.

 

 

 

 

 

 

 

Indikator: Genomströmning i utbildning på forskarnivå

Doktorsexamen och licentiatexamen omfattar 240 respektive 120 högskolepoäng, dvs. en studietid på 4 respektive 2 år. De som under 2024 avlade en doktorsexamen hade en genomsnittlig nettostudietid på 4,3 år. Nettostudietiden till doktorsexamen var samma för kvinnor och för män. För doktorander som avlade licentiatexamen under samma period uppgick den genomsnittliga nettostudietiden till 2,9 år. Även här var nettostudietiden samma för kvinnor och för män. Jämfört med 2015 har netto- studietiden för licentiatexamen ökat för både män och kvinnor. För doktorsexamen har nettostudietiden ökat något för kvinnor men varit samma för män.

Under 2024 var bruttostudietiden, dvs. den totala tiden i utbildningen utan hänsyn tagen till aktivitetsgrad, i genomsnitt 6 år för doktorsexamen och 4 år för licentiat- examen. Till licentiatexamen hade kvinnor längre genomsnittlig bruttostudietid än männen, 4 år respektive 3,5 år. Även till doktorsexamen hade kvinnor något längre genomsnittlig bruttostudietid än männen, 6 år respektive 5,5 år. Detta kan delvis förklaras av att kvinnor i större utsträckning är föräldralediga.

Av de doktorandnybörjare som påbörjade sina studier 2019 hade 47 procent,

43 procent av kvinnorna och 51 procent av männen, avlagt doktorsexamen inom fem år, dvs. 2024. Det är en ökning med en procentenhet jämfört med de doktorand- nybörjare som påbörjade sina studier 2018. Sett över en längre tidsperiod har genom- strömningen ökat väsentligt. Detta har skett mot bakgrund av 1998 års reform då reglerna om antagning till utbildning på forskarnivå förändrades med bl.a. krav på finansiering för hela studietiden. Bland dem som var doktorandnybörjare 1990 avlade 22 procent doktorsexamen inom fem år. Kvinnors och mäns examensfrekvens jämnas ut över tid. År 2024 var det 79 procent av kvinnorna och 79 procent av männen bland doktorandnybörjarna 2016 som hade avlagt doktorsexamen. Även i andra nybörjar- kullar har skillnaden i examensfrekvens mellan kvinnor och män varit liten eller obefintlig efter åtta år.

Indikator: Andelen etablerade på arbetsmarknaden 1,5 år efter examen

Av dem som tog en examen på grundnivå eller avancerad nivå under 2021/22 var totalt 86 procent av både kvinnor och män etablerade på arbetsmarknaden efter 1–1,5 år. Med etablering avses att individen hade ett förvärvsarbete i november månad, en arbetsinkomst som översteg en viss nivå samt inte hade varit arbetslös någon gång under uppföljningsåret. Särskilt hög är etableringen bland dem som tog en yrkes- examen. Av dem som tog en yrkesexamen läsåret 2021/22 var 91 procent etablerade 1–1,5 år efter examen. Civilingenjörsexamen och sjuksköterskeexamen var de vanligaste yrkesexamina 2021/22. Examinerade från dessa utbildningar har också en hög etableringsgrad, 95 procent av dem som tog en civilingenjörsexamen och 91 procent av dem som tog en sjuksköterskeexamen var etablerade på arbetsmarknaden 1–1,5 år efter examen. Ur ett långt perspektiv är etableringsgraden för dem som examinerades 2021/22 hög. Endast examinerade läsåret 2016/17 och 2020/21 hade en lika hög etableringsgrad, 86 procent. För indikatorer om sysselsättningsgrad, förvärvsgrad och matchad förvärvsgrad för personer med eftergymnasial utbildning, se avsnitt 2.5.

123

Prop. 2025/26:1 Utgiftsområde 16

Indikator: Vetenskaplig produktion

För uppgifter i fråga om vetenskaplig produktion, se avsnitt 6.3.2.

Indikator: Förmåga att attrahera externa medel för forskning

Lärosätenas intäkter för forskning från nationella och internationella forsknings- finansiärer uppgick 2024 till 26,9 miljarder kronor och intäkterna från uppdrags- forskning och övriga avgifter uppgick till 4,6 miljarder kronor. Jämfört med föregående år var detta en ökning med 1,9 miljarder kronor från nationella och internationella forskningsfinansiärer, medan intäkterna från uppdragsforskning och avgifter var på samma nivå som föregående år.

Under perioden 2014–2024 har lärosätenas forskningsintäkter ökat med 2,8 miljarder kronor i 2024 års priser. Majoriteten av intäktsökningen under perioden utgörs av ökade externa medel, men även de direkta statsanslagen har ökat. Lärosätenas intäkter från externa finansiärer utgör därmed en ökad andel av de totala forskningsintäkterna.

Kvalitetssäkring av universitetens och högskolornas verksamhet

Universitetskanslersämbetet ansvarar för att kvalitetssäkra universitetens och hög- skolornas verksamhet genom fyra olika slags granskningar: granskning av lärosätenas kvalitetssäkringsarbete, utbildningsutvärdering, tematisk utvärdering och examens- tillståndsprövning. Universitetskanslersämbetet tillgängliggör resultatet av kvalitets- utvärderingarna på sin webbplats, vilket ger studenter möjlighet att inhämta information bl.a. om utbildningars kvalitet.

Inom granskningar av lärosätens kvalitetssäkringsarbete genomförde Universitets- kanslersämbetet 2024 sex uppföljningar av lärosäten vars kvalitetssäkringsarbete tidigare hade fått något av omdömena ifrågasatt kvalitetssäkringsarbete eller godkänt kvalitetssäkringsarbete med förbehåll. Uppföljningarna ledde fram till att UKÄ beslutade om omdömet godkänt kvalitetssäkringsarbete för fem av sex lärosäten. Ett lärosäte gick ifrån omdömet ifrågasatt kvalitetssäkringsarbete till att, efter upp- följningen, ha ett godkänt kvalitetssäkringsarbete med förbehåll.

Under året fattade Universitetskanslersämbetet beslut i utvärderingen av utbildningar inom fastighetsmäkleri, där tre av tio utbildningar fick omdömet hög kvalitet och sju utbildningar omdömet ifrågasatt kvalitet. Resultaten pekar bland annat på att läro- sätena har utmaningar med att tillgodose behovet av lärarkompetens i form av disputerade lärare inom juridik.

Universitetskanslersämbetet har på uppdrag av regeringen genomfört en tematisk utvärdering av svenska lärosätens samverkan med det omgivande samhället. Resultaten visar att lärosäten har omfattande aktivitet inom samverkansområdet men att de oavsett storlek och inriktning står inför liknande utmaningar när det gäller samverkan. Utmaningarna handlar bl.a. om att koppla samman det strategiska och praktiska arbetet med samverkan och att involvera externa parter i processer som rör samverkan.

Under 2024 beslutade myndigheten även i elva uppföljningsärenden gällande utvärderingen av specialistsjuksköterskeexamen som beslutades 2023 vilka tidigare fått omdömet ifrågasatt kvalitet. Samtliga fick omdömet hög kvalitet i uppföljningen.

Ansökningar om tillstånd att utfärda examina

Under 2024 har fem examenstillståndsprövningar beslutats av Universitetskanslersämbetet och myndigheten har även vid fyra tillfällen under året yttrat sig till regeringen gällande ansökningar från enskilda utbildningsanordnare och

124

Prop. 2025/26:1 Utgiftsområde 16

Sveriges lantbruksuniversitet. Volymen är beroende av hur många ansökningar som inkommer till myndigheten. Alla ansökningar från statliga universitet och högskolor fick omdömet tillfredsställande under 2024.

Tabell 5.2 Examenstillståndsprövningar per examen och utfall 2024

Examen

Varav

 

 

Tillfredsställande

Inte tillfredsställande

Generell examen på grundnivå

 

1

 

 

 

Yrkesexamen på grundnivå

 

 

 

 

 

Generell examen på avancerad nivå

1

1

Yrkesexamen på avancerad nivå

5

1

 

 

 

Konstnärlig examen på avancerad nivå

 

 

 

 

 

Generell examen på forskarnivå

 

 

Konstnärlig examen på forskarnivå

 

 

 

 

 

Totalt

6

3

 

 

 

Anm.: Universitetskanslersämbetet beviljar eller avslår examenstillståndsansökningar från statliga lärosäten och ger utlåtandet tillfredsställande eller inte tillfredsställande rörande ansökningar från enskilda utbildningsanordnare.

Källa: Universitetskanslersämbetet.

Verksamhetens ekonomiska omfattning har ökat

För utbildning på grundnivå och avancerad nivå tilldelas respektive lärosäte varje år ett s.k. takbelopp som är den ersättning lärosätet kan få för att utbilda studenter. Ersättningen beräknas dels utifrån antalet registrerade studenter, dels utifrån det antal högskolepoäng som studenterna presterar under ett år. Ersättningen beror också på vilket utbildningsområde som helårsstudenterna och helårsprestationerna hänförs till. Olika utbildningsområden genererar olika ersättningsbelopp och respektive kurs klassificeras av lärosätet till ett utbildningsområde beroende på kursens ämnesinnehåll.

Summan av universiteten och högskolornas takbelopp för utbildning på grundnivå och avancerad nivå uppgick till 27,7 miljarder kronor under 2024. År 2023 var motsvarande summa ca 27,4 miljarder kronor i 2024 års priser. Anslagen för utbildning på grundnivå och avancerad nivå till de lärosäten som inte har ett takbelopp uppgick till 1,6 miljarder kronor. Därutöver tilldelades universitet och högskolor 0,5 miljarder kronor för särskilda åtaganden. Ett särskilt åtagande är en uppgift som statliga universitet och högskolor har särskild finansiering för och som inte avräknas mot takbeloppet. De totala intäkterna till utbildning på grundnivå och avancerad var ca 37,6 miljarder under 2024, se diagram 5.1.

Lärosätenas totala intäkter för forskning och utbildning på forskarnivå var 55,2 miljarder kronor 2024, se diagram 5.1. Jämfört med 2023 har de totala kostnaderna ökat med 1,3 miljarder kronor i fasta priser. Lärosätenas intäkter från statsanslag för forskning och utbildning på forskarnivå var 22,6 miljarder kronor 2024. I fasta priser låg dessa intäkter på samma nivå som 2023. Anslagen för forskning och utbildning på forskarnivå utgjorde 41 procent av lärosätenas alla intäkter för forskning under 2024. Lärosätenas forskningsintäkter från externa finansiärer uppgick till 31,4 miljarder kronor 2024 och utgjorde 57 procent av lärosätenas totala forskningsintäkter. Övrig del utgörs av finansiella intäkter.

125

Prop. 2025/26:1 Utgiftsområde 16

Diagram 5.1 Lärosätenas intäkter

Miljarder kronor (2024 års priser)

100

90

 

 

 

 

 

 

 

 

 

 

80

 

 

 

 

 

 

 

 

 

 

70

 

 

 

 

 

 

 

 

 

 

60

 

 

 

 

 

 

 

 

 

 

50

 

 

 

 

 

 

 

 

 

 

40

 

 

 

 

 

 

 

 

 

 

30

 

 

 

 

 

 

 

 

 

 

20

 

 

Totalt

 

 

 

 

 

 

 

10

 

 

Utbildning på grundnivå och avancerad nivå

 

 

 

 

 

Forskning och utbildning på forskarnivå

 

 

 

 

 

 

 

 

 

0

 

 

 

 

 

 

 

 

 

 

2014

2015

2016

2017

2018

2019

2020

2021

2022

2023

2024

Källa: Universitetskanslersämbetet.

Myndighetskapitalet fortsätter att minska

Vid utgången av 2024 uppgick de statliga lärosätenas skattade myndighetskapital (summan av lärosätenas balanserade kapitalförändring och årets kapitalförändring) till 13,8 miljarder kronor, en minskning med drygt 1,1 miljarder kronor i 2024 års priser från föregående år. Detta var tredje året i rad som myndighetskapitalet minskade, se diagram 5.2. Av myndighetskapitalet återfanns 4,8 miljarder kronor inom utbildning på grundnivå och avancerad nivå och 9,0 miljarder kronor inom forskning och utbildning på forskarnivå. Det skattade myndighetskapitalet minskade i relation till lärosätenas kostnader från föregående år, från 17 procent till 16 procent. Myndighets- kapitalet minskade inom både forskning och utbildning på forskarnivå, och utbildning på grundnivå och avancerad nivå. Den största minskningen var inom utbildning på grundnivå och avancerad nivå. Regeringen har återkommande följt upp myndighetskapitalet vid myndighetsdialogerna och understrukit vikten av att det används.

Diagram 5.2 Skattat myndighetskapital vid statliga universitet och högskolor (2024 års priser)

Miljoner kronor

22 000

20 000

18 000

16000

14000

12000

10 000

8000

6000

4000

2000

0

 

 

 

 

 

 

 

 

 

 

 

 

 

 

 

 

 

 

 

 

 

 

 

 

 

 

 

 

2014

2015

2016

2017

2018

2019

2020

2021

2022

2023

2024

 

Utbildning på grundnivå och avancerad nivå

 

 

 

Forskning och utbildning på forskarnivå

 

 

 

 

 

 

Annan verksamhet

Källa: Universitetskanslersämbetet.

126

Prop. 2025/26:1 Utgiftsområde 16

Antalet sökande och antagna ökade under höstterminen

Det totala antalet sökande till utbildningsprogram och kurser ökade med 7 procent höstterminen 2024 jämfört med höstterminen 2023, medan antalet sökande utan tidigare högskolestudier ökade med 9 procent. Det totala antalet antagna till högskole- utbildning hösten 2024 ökade med 6 procent jämfört med föregående hösttermin. Könsfördelningen bland de sökande och antagna har varit i stort sett oförändrad under de senaste åren, dvs. fler kvinnor än män söker respektive blir antagna. Att fler kvinnor antas kan bl.a. bero på att kvinnor i genomsnitt har högre betyg än män från gymnasieskolan. Söktrycket, antal sökande per antagen, har de senaste höstterminerna varit runt 2,0 för yrkesexamensprogram. Samtliga lärarutbildningar hade hösten 2024 ett söktryck som var lägre än det totala söktrycket för yrkesexamensprogram, medan det var högre på sjuksköterskeprogrammet.

Tabell 5.3 Antal helårsstudenter samt resurser för utbildning och forskning vid universitet och högskolor 2024

 

 

 

 

 

 

 

Ackumulerad

 

 

 

 

 

 

 

 

 

överproduktion (+)

 

 

 

 

 

 

 

 

 

eller anslags-

 

 

 

 

 

 

 

 

 

sparande (-) i

 

Anslag för

 

 

 

 

 

 

Över-

mnkr (andelen

 

forskning

 

 

 

 

 

 

produktion

ackumulerad

 

och

 

Antal helårsstu-

 

 

 

(+) eller

överproduktion (+)

 

utbildning

 

denter (andelen

 

Utfall i mnkr

anslags-

eller

 

 

kvinnor och män

Takbelop

(utfall i procent

sparande (-

anslagssparande

 

forskarnivå

Universitet/Högskola

inom parentes)

p i mnkr

inom parentes)

) i mnkr

(-) inom parentes)

Indrag1

i mnkr

Uppsala universitet

28 922

(60/40)

2 118

2 204

(104)

+86

+283 (+13 %)

 

2 451

 

 

 

 

 

 

 

 

 

 

Lunds universitet

29 850

(57/43)

2 458

2 552

(104)

+95

+337 (+14 %)

 

2 554

 

 

 

 

 

 

 

 

 

 

Göteborgs universitet

29 129

(66/34)

2 455

2 510

(102)

+55

+102 (+4 %)

 

1 820

Stockholms universitet

31 063

(64/36)

2 032

2 057

(101)

+25

-151 (-7 %)

 

1 857

 

 

 

 

 

 

 

 

 

Umeå universitet

17 992

(63/37)

1 647

1 609 (98)

-38

-165 (-10 %)

15

1 286

 

 

 

 

 

 

 

 

 

 

Linköpings universitet

19 706

(56/44)

1 812

1 812

(100)

0

-173 (-10 %)

 

1 114

 

 

 

 

 

 

 

 

 

Karolinska institutet

6 849

(73/27)

827

813 (98)

-14

-81 (-10 %)

 

1 826

 

 

 

 

 

 

 

 

 

 

Kungl. Tekniska högskolan

14 453

(35/65)

1 385

1 418

(102)

+34

-73 (-5 %)

 

1 944

 

 

 

 

 

 

 

 

 

Luleå tekniska universitet

7 647

(51/49)

791

732 (92)

-60

-79 (-10 %)

52

452

Karlstads universitet

9 572

(62/38)

801

812

(101)

+11

+120 (+15 %)

9

298

 

 

 

 

 

 

 

 

 

 

Linnéuniversitetet

15 249

(63/37)

1 246

1 254

(101)

+8

+119 (+10 %)

 

407

 

 

 

 

 

 

 

 

 

 

Örebro universitet

10 822

(64/36)

932

981

(105)

+49

-5 (-1 %)

 

336

 

 

 

 

 

 

 

 

 

 

Mittuniversitetet

8 417

(68/32)

661

691

(105)

+30

+99 (+15 %)

 

300

 

 

 

 

 

 

 

 

 

 

Malmö universitet

13 689

(69/31)

1 114

1 122

(101)

+7

-98 (-9 %)

 

313

 

 

 

 

 

 

 

 

 

Mälardalens universitet

7 930

(66/34)

723

700 (97)

-22

-1 (0 %)

 

295

Blekinge tekniska högskola

3 313

(39/61)

301

321

(107)

+20

-1 (0 %)

 

114

 

 

 

 

 

 

 

 

 

 

Försvarshögskolan2

1 312

(41/59)

 

 

 

0

 

 

45

Gymnastik- och

 

 

 

 

 

 

 

 

 

idrottshögskolan

876

(39/61)

128

134

(105)

+6

+19 (+15 %)

 

36

 

 

 

 

 

 

 

 

 

 

Högskolan i Borås

6 760

(72/28)

590

601

(102)

+10

+34 (+6 %)

 

111

 

 

 

 

 

 

 

 

 

 

Högskolan Dalarna

6 682

(64/36)

506

509

(101)

+4

-5 (-1 %)

 

114

 

 

 

 

 

 

 

 

 

 

Högskolan i Gävle

6 610

(67/33)

548

546

(100)

-2

+3 (+1 %)

 

121

 

 

 

 

 

 

 

 

 

 

Högskolan i Halmstad

6 192

(62/38)

481

488

(101)

+7

+47 (+10 %)

 

108

 

 

 

 

 

 

 

 

 

Högskolan Kristianstad

5 441

(74/36)

472

460 (97)

-12

+10 (+2 %)

 

104

Högskolan i Skövde

4 342

(56/44)

371

383

(103)

+12

+21 (+6 %)

 

70

 

 

 

 

 

 

 

 

 

 

Högskolan Väst

5 592

(63/37)

445

467

(105)

+22

+35 (+8 %)

 

98

 

 

 

 

 

 

 

 

 

 

Konstfack

687

(75/25)

189

193

(102)

+3

+20 (+11 %)

 

23

 

 

 

 

 

 

 

 

 

 

Kungl. Konsthögskolan

219

(64/36)

73

74

(101)

0

+4 (+6 %)

 

14

 

 

 

 

 

 

 

 

 

 

Kungl. Musikhögskolan i

 

 

 

 

 

 

 

 

 

Stockholm

716

(41/59)

151

151

(100)

+1

-10 (-7 %)

 

23

 

 

 

 

 

 

 

 

 

 

127

 

Prop. 2025/26:1 Utgiftsområde 16

 

 

 

 

 

Stockholms konstnärliga

 

 

 

 

 

 

 

 

 

högskola

412

(66/34)

225

204 (91)

-21

+13 (+6 %)

 

58

Södertörns högskola

7 670

(69/31)

495

512

(103)

+17

+74 (+15 %)

4

131

 

 

 

 

 

 

 

 

 

 

Sveriges

 

 

 

 

 

 

 

 

 

lantbruksuniversitet2

4 233

(72/28)

 

 

 

0

 

 

1 305

Chalmers tekniska högskola

 

 

 

 

 

 

 

 

 

AB

10 684

(33/67)

1 096

1 115

(102)

+19

-72 (+7 %)

 

1 058

 

 

 

 

 

 

 

 

 

 

Stiftelsen Högskolan i

 

 

 

 

 

 

 

 

 

Jönköping

8 061

(61/39)

655

684

(104)

+29

+46 (+7 %)

 

152

 

 

 

 

 

 

 

 

 

Summa

331 093

(61/39)

27 730

28 109

379

 

 

16 374

 

 

 

 

 

 

 

 

 

 

Anm.: I tabellen redovisas inte vissa mindre enskilda utbildningsanordnare. Vid dessa lärosäten fanns under 2024 ca 5 700 helårsstudenter varav ca 64 procent var kvinnor och ca 36 procent män.

1Indrag av överproduktion som överstiger 15 procent av takbelopp eller anslagssparande som överstiger 10 procent av takbelopp i mnkr.

2Försvarshögskolan och Sveriges lantbruksuniversitet har inga takbelopp varför inte detta redovisas i tabellen. Källor: Universitetskanslersämbetet och regleringsbrev.

Antalet nybörjare i högskolan ökade

Antalet högskolenybörjare, dvs. studenter som för första gången registreras vid högskoleutbildning i Sverige, ökade läsåret 2023/24 med 4 300 jämfört med föregående läsår, se tabell 5.4. Ökningen kan förklaras av en kombination av ökad efterfrågan på högre utbildning och demografisk tillväxt. Av högskolenybörjarna var 59 procent kvinnor och 41 procent män. Under läsåret 2023/24 var medianåldern för alla högskolenybörjare, inklusive inresande studenter, 21,8 år. Bland svenska högskolenybörjare var medianåldern något lägre.

Fler studenter i högskolan

Efter att antalet studenter minskat under läsåret 2022/23, vände trenden och ökade igen under 2023/24. Under läsåret fanns det 336 800 helårsstudenter i högskolan, vilket var 13 400 helårsstudenter fler jämfört med läsåret före. Även antalet registrerade studenter ökade läsåret 2023/24 till 459 100, vilket var 18 000 fler än läsåret före. Av alla registrerade studenter var 62 procent kvinnor och 38 procent var män. Andelen kvinnor i högskolan har ökat under de senaste åren, se tabell 5.4.

Tabell 5.4 Antal högskolenybörjare, helårsstudenter, registrerade studenter

 

2015

2016

2017

2018

2019

2020

2021

2022

2023

2024

Högskolenybörjare1

86 000

85 800

85 800

86 500

87 700

92 000

92 200

93 700

91 600

95 800

Kvinnor %

57

57

57

58

58

58

59

59

58

59

Män %

43

43

43

42

42

42

41

41

42

41

 

 

 

 

 

 

 

 

 

 

 

Helårsstudenter

294 400

293 900

295 200

298 700

300 500

321 600

303 601

325 800

323 400

336 800

 

 

 

 

 

 

 

 

 

 

 

Kvinnor %

59

60

59

60

60

60

60

61

61

61

Män %

41

40

41

40

40

40

40

39

39

39

 

 

 

 

 

 

 

 

 

 

 

Registrerade studenter1

403 900

402 800

402 200

405 400

409 900

428 700

454 100

450 400

441 100

459 100

Kvinnor %

60

60

60

61

61

61

62

62

62

62

 

 

 

 

 

 

 

 

 

 

 

Män %

40

40

40

39

39

39

38

38

38

38

1Uppgifterna avser läsår, 2024 innebär läsåret 2023/24

Källor: Statistiska centralbyrån och Universitetskanslersämbetet.

Tillkännagivande in-och utpasseringskontroller vid högskoleprovet

Riksdagen har tillkännagett för regeringen det som anförs i reservation 2 under punkt 2 om att regeringen bör överväga och vid behov lämna förslag på nya arbetssätt och

128

Prop. 2025/26:1 Utgiftsområde 16

andra tekniska lösningar som kan bidra till att motverka fusk vid högskoleprovet (bet. 2021/22:UbU26 reservation 2 punkt 2, rskr. 2021/22:412).

Lagen (2022:1101) om in- och utpasseringskontroller vid högskoleprovet trädde i kraft den 1 juli 2023 och in- och utpasseringskontroller genomfördes för första gången vid det högskoleprov som anordnades i oktober 2023. Med anledning av tillkännagivandet beslutade regeringen den 20 december 2023 att i regleringsbrevet för budgetåret 2024 avseende Universitets- och högskolerådet ge myndigheten i uppdrag att analysera om det finns behov av ytterligare åtgärder för att motverka fusk på högskoleprovet, och i så fall föreslå sådana åtgärder (U2023/03655).

Uppdraget redovisades till Regeringskansliet (Utbildningsdepartementet) den 11 december 2024 (U2024/02767). Universitets- och högskolerådet har redovisat att de verktyg myndigheten har fått genom lagstiftningen om in- och utpasseringskontroller vid högskoleprovet bedöms vara tillräckliga för att förhindra att fusk sker genom användning av elektroniskt hjälpmedel. Initialt var tillgången på ordningsvakter till in- och utpasseringskontroller en utmaning men tack vare ett nytt ordningsvakts- förordnande från 2024 ökade tillgången på ordningsvakter. Andra exempel på åtgärder för att förhindra fusk före, under och efter provet är granskning av intyg vid ansökan om anpassat prov, övervakning vid provtillfället och systematisk uppföljning av provresultat. För att säkerställa att syftet med åtgärder mot fusk vid högskoleprovet uppnås granskar Universitets- och högskolerådet insatserna kontinuerligt som en del i det löpande förbättringsarbetet.

Regeringen bedömer att det inte finns behov av ytterligare insatser inom området utan anser att tillkännagivandet med de vidtagna och redovisade åtgärderna är tillgodosett och slutbehandlat.

Övergången till högskolan

Föräldrarnas utbildningsnivå spelar stor roll

Föräldrarnas utbildningsnivå spelar stor roll för benägenheten att påbörja högskole- studier. I årskullen födda 1999 hade 26 procent påbörjat högskolestudier senast vid

25 års ålder om föräldrarna hade högst en förgymnasial utbildning. Motsvarande siffra var 83 procent om föräldrarna hade en forskarutbildning. Det grundläggande mönstret är tydligt, skillnaden i övergång till högskolan varierar stort beroende på vilken utbildningsnivå som föräldrarna har. Kvinnor hade en högre övergång till högskole- studier än män i alla grupper.

Stora regionala skillnader i övergången till högskolan

Övergångsfrekvensen till högskoleutbildning, dvs. hur stor andel av en viss årskull som påbörjar högskolestudier, varierar i landet. I genomsnitt för hela landet hade 44 procent påbörjat högskolestudier vid 24 års ålder 2023. Detta var på samma nivå som året innan. Universitetskanslersämbetet studerar varje år skillnaderna i övergångs- frekvensen mellan olika län och kommuner, som i många fall är stor. För 2023 var andelen högst i Stockholms län (52 procent) och lägst i Jämtlands län och Norrbottens län (33 procent). I Danderyds kommun var andelen högst i landet (81 procent), medan flera kommuner hade en övergångsfrekvens som låg under 20 procent. De flesta av dessa kommuner har en liten ungdomsbefolkning, vilket innebär att resultaten bör tolkas med försiktighet. I samtliga län är övergångsfrekvensen högre bland kvinnor än bland män. Skillnaden mellan länen beror på flera bakomliggande faktorer. Universitetskanslersämbetet har tidigare lyft fram den sociala sammansättningen av

129

Prop. 2025/26:1 Utgiftsområde 16

befolkningen i länen, geografisk närhet till en ort med högskoleutbildning och situationen på den lokala och regionala arbetsmarknaden som skäl.

Övergångsfrekvensen har varit stabil under de senaste tio åren, men utvecklingen har varit olika i länen. I Stockholms län, som hade högst övergångsfrekvens 2024, har det skett en ökning med 3 procentenheter jämfört med 2013. I Norrbottens län och Jämtlands län har däremot övergångsfrekvensen minskat med 5 respektive 2 procentenheter under samma period.

Personer som är födda i Sverige med utrikes födda föräldrar har högst övergångsfrekvens

Universitetskanslersämbetet har analyserat andelen som har påbörjat en svensk högskoleutbildning senast vid 25 års ålder bland personer födda åren 1989–1998 med svensk respektive utländsk bakgrund, se diagram 5.3. Svensk bakgrund definieras som född i Sverige med minst en inrikes född förälder eller född utomlands med två föräldrar födda i Sverige. Utländsk bakgrund redovisas i tre kategorier: personer som är födda i Sverige med utrikesfödda föräldrar, personer som har invandrat före 7 års ålder och personer som har invandrat efter skolstart mellan 7 års och 18 års ålder. Av alla personer födda 1998 som var folkbokförda i Sverige vid 18 års ålder hade 54 procent av kvinnorna börjat i högskolan senast vid 25 års ålder, och 36 procent av männen. Övergången till högskolestudier bland personer med utländsk bakgrund (totalt för de tre grupperna) var 38 procent, jämfört med 47 procent bland dem med svensk bakgrund. Personer som är födda i Sverige med utrikes födda föräldrar börjar studera vid högskola i högre grad än personer med svensk bakgrund. Högst övergång bland personer med utländsk bakgrund hade kvinnor födda i Sverige med utrikes födda föräldrar, 62 procent. Även för männen var övergången högst i denna grupp tillsammans med män som är utrikes födda och har invandrat före 7 års ålder. Båda dess grupper hade en övergång på 43 procent. Män som har invandrat någon gång i åldern 7–18 år påbörjar högskolestudier i lägst utsträckning. I årskullen 1998 var deras övergångsandel 19 procent medan den var 37 procent bland kvinnorna som hade invandrat i motsvarande åldrar. En större andel av kvinnorna jämfört med männen fortsätter till högskolan i samtliga grupper.

Diagram 5.3 Andel som har påbörjat svensk högskoleutbildning senast vid 25 års ålder av personer som är födda 1989–1998 med svensk eller utländsk bakgrund

Procent

60

 

 

 

 

 

 

 

 

 

50

 

 

 

 

 

 

 

 

 

40

 

 

 

 

 

 

 

 

 

30

 

 

 

 

 

 

 

 

 

20

Född i Sverige med utrikes födda föräldrar

 

 

 

 

Invandrad före 7 års ålder

 

 

 

 

 

 

 

Invandrad vid 7–18 års ålder

 

 

 

 

 

10

Utländsk bakgrund (totalt)

 

 

 

 

 

 

 

Svensk bakgrund

 

 

 

 

 

 

 

0

 

 

 

 

 

 

 

 

 

1989

1990

1991

1992

1993

1994

1995

1996

1997

1998

Anm.: Uppgifterna i diagrammet redovisas ej uppdelade på kön, redovisning per kön finns i text ovan.

Källa: Universitetskanslersämbetet.

130

Prop. 2025/26:1 Utgiftsområde 16

Stor ökning av antalet examina och examinerade

Läsåret 2023/24 utfärdades 90 600 examina på grundnivå och avancerad nivå vid universitet och högskolor, en ökning med 6 500 examina jämfört med föregående läsår, se tabell 5.5. Kvinnor stod för 65 procent av de utfärdade examina och män för 35 procent. Antalet personer som examinerades uppgick till 79 100, inklusive dem som sedan tidigare hade en eller flera examina. Jämfört med föregående läsår innebar detta en ökning med 6 600 personer. Kvinnor har varit i majoritet bland de examinerade sedan 1977. Läsåret 2023/24 utfärdades 13 600 masterexamina, vilket var en ökning med 900 examina jämfört med året innan. Av dessa utfärdades 53 procent till kvinnor och 47 procent till män. Ungefär 43 procent av dem som tog ut en masterexamen var personer från andra länder som kommit till Sverige för att studera.

Tabell 5.5 Antal examina och examinerade personer, kvinnor och män

 

14/15

15/16

16/17

17/18

18/19

19/20

20/21

21/22

22/23

23/24

Examina

81 400

81 300

76 100

78 000

77 600

84 200

87 100

85 600

84 100

90 600

 

 

 

 

 

 

 

 

 

 

 

Kvinnor %

63

64

64

64

64

65

64

64

65

65

 

 

 

 

 

 

 

 

 

 

 

Män %

37

36

36

36

36

35

36

36

35

35

Examinerade

68 300

68 300

63 400

65 600

65 900

72 000

74 700

73 600

72 500

79 100

 

 

 

 

 

 

 

 

 

 

 

Kvinnor %

63

64

64

64

64

65

63

64

64

65

 

 

 

 

 

 

 

 

 

 

 

Män %

37

36

36

36

36

35

37

36

36

35

 

 

 

 

 

 

 

 

 

 

 

Källor: Statistiska centralbyrån och Universitetskanslersämbetet.

Antalet personer som tog ut en yrkesexamen ökade

Läsåret 2023/24 tog 37 900 personer ut en yrkesexamen, varav 70 procent kvinnor och 30 procent män. Könsskillnaderna beror bl.a. på att en stor del av de utbildningar som leder till yrkesexamina förbereder för yrken som i dag domineras av kvinnor, t.ex. sjuksköterska och förskollärare. Antalet personer som tog ut yrkesexamina totalt sett ökade med 2 400 personer jämfört med läsåret innan och från de flesta stora programmen ökade antalet examina jämfört med läsåret innan. Bl.a. ökade antalet civilingenjörsexamina med 200 och antalet högskoleingenjörsexamina med 300, däremot var antalet sjuksköterskeexamina på samma nivå som föregående läsår, se tabell 5.6. För en beskrivning av utvecklingen av lärarutbildningen, se avsnittet lärar- och förskollärarutbildning i avsnitt 2.7.

Tabell 5.6 Antal programnybörjare och examina inom vissa yrkesexamensprogram

 

Programnybörjare

 

 

 

Examina

 

 

 

 

20/21

21/22

22/23

23/24

20/21

21/22

22/23

23/24

 

 

 

 

 

 

 

 

 

Civilingenjörsexamen

8 300

8 200

7 800

8 000

4 800

4 400

4 300

4 500

 

 

 

 

 

 

 

 

 

Kvinnor %

33

31

31

33

35

35

35

36

 

 

 

 

 

 

 

 

 

Män %

67

69

69

67

65

65

65

64

 

 

 

 

 

 

 

 

 

Högskoleingenjörsexamen

4 500

4 500

4 100

4 000

2 600

2 400

2 000

2 300

Kvinnor %

25

27

25

27

30

30

28

29

 

 

 

 

 

 

 

 

 

Män %

75

73

75

73

70

70

72

71

 

 

 

 

 

 

 

 

 

Läkarexamen

1 600

1 600

1 700

1 700

1 500

1 500

1 400

1 500

 

 

 

 

 

 

 

 

 

Kvinnor %

60

60

60

59

57

58

61

60

 

 

 

 

 

 

 

 

 

Män %

40

40

40

41

43

42

39

40

 

 

 

 

 

 

 

 

 

Tandläkarexamen

400

400

400

400

300

300

300

300

Kvinnor %

66

66

65

68

70

71

67

65

 

 

 

 

 

 

 

 

 

Män %

34

34

35

32

30

29

33

35

 

 

 

 

 

 

 

 

 

Sjuksköterskeexamen

5 900

5 700

5 700

5 900

4 600

4 400

4 400

4 400

 

 

 

 

 

 

 

 

 

Kvinnor %

85

85

84

84

88

88

87

87

 

 

 

 

 

 

 

 

 

131

 

Prop. 2025/26:1 Utgiftsområde 16

 

 

 

 

 

Män %

15

15

16

16

12

12

13

13

 

 

 

 

 

 

 

 

 

Specialistsjuksköterskeexamen

2 700

2 700

2700

2 600

2 400

2 600

2 700

2 800

Kvinnor %

87

87

86

87

86

87

88

86

 

 

 

 

 

 

 

 

 

Män %

13

13

14

13

14

13

12

14

 

 

 

 

 

 

 

 

 

Barnmorskeexamen

400

300

400

300

400

300

300

400

Kvinnor %

99

98

99

100

100

100

99

99

 

 

 

 

 

 

 

 

 

Män %

1

2

1

0

0

0

1

1

 

 

 

 

 

 

 

 

 

Källor: Statistiska centralbyrån och Universitetskanslersämbetet.

Studenternas internationella rörlighet

Studenternas internationella rörlighet fortsätter att öka

De senaste tre läsåren har antalet inresande och utresande studenter ökat kraftigt. Detta efter en stor minskning under läsåret 2020/21 på grund av covid-19-pandemin. Under pandemin var det främst antalet utresande studenter som minskade.

Antalet inresande studenter ökade läsåret 2023/24 med 3 procent jämfört med läsåret innan och var fortsatt på en högre nivå än innan pandemin. Jämfört med föregående läsår ökade inresande utbytesstudenter med nästan 2 procent och fritt resande studenter (s.k. freemover-studenter) ökade med 3 procent.

Antalet svenska studenter som studerar utomlands var på samma nivå

Under läsåret 2023/24 studerade 20 800 svenskar utomlands via utbytesprogram eller som fritt inresande studenter. Det är på samma nivå jämfört med föregående läsår. Medan antalet utresande utbytesstudenter ökade med 2 procent minskade antalet fritt resande studenter med 2 procent jämfört med läsåret innan. Majoriteten av de utresande studerade i Europa och då främst i Storbritannien, Nederländerna och Frankrike. Även Nordamerika och i synnerhet USA lockade många svenska studenter. USA och Storbritannien var de enskilt största mottagarländerna läsåret 2023/24. Förutsättningarna för studenter från Storbritannien att komma till Sverige för studier samt för svenska studenter att åka till Storbritannien har förändrats till följd av Storbritanniens utträde ur EU. Precis som för övriga länder minskade antalet utresande studenter till Storbritannien under pandemin, men till skillnad mot många andra länder har antalet inte ökat igen under de två senaste läsåren. Under läsåret 2023/24 minskade antalet utresande studenter till Storbritannien till totalt 1 900, vilket var en minskning med 23 procent jämfört med året innan.

Av de studenter i svensk högskoleutbildning som tog examen för första gången läsåret 2023/24 hade 11 procent studerat utomlands någon gång under de senaste tolv terminerna inklusive examensterminen. Detta går att jämföra med 9 procent föregående läsår och 14 procent läsåret 2012/13. Ökningen jämfört med föregående läsår beror på att antalet studenter som studerar utomlands har ökat efter covid-19- pandemin. Det är en högre andel bland män än bland kvinnor som har studerat utomlands.

Ökning av antalet nya inresande studenter

Läsåret 2023/24 var det totalt 43 000 inresande studenter som studerade vid svenska universitet och högskolor. Av dem var 29 800 fritt inresande studenter medan 13 200 studerade inom ramen för ett utbytesprogram. Av dem studerade 25 700 för första gången i svensk högskola, de var så kallade nya inresande studenter. Jämfört med föregående år ökade antalet nya inresande studenter med 1 procent.

132

Prop. 2025/26:1 Utgiftsområde 16

Könsfördelningen var jämnare bland inresande studenter än utresande, med 56 procent kvinnor och 44 procent män bland inresande studenter och 59 procent kvinnor och 41 procent män bland utresande studenter.

Av de nya inresande utbytesstudenterna läsåret 2023/24 kom 75 procent från Europa. De enskilt största länderna var Tyskland, Frankrike och Italien. Av de nya inresande utbytesstudenterna var 57 procent kvinnor och 43 procent män. Utanför Europa var det flest nya inresande utbytesstudenter från Kina och Singapore.

Tabell 5.7

Antal in- och utresande studenter, kvinnor och män

 

 

 

 

14/15

15/16

16/17

17/18

18/19

19/20

20/21

21/22

22/23

23/24

 

 

 

 

 

 

 

 

 

 

 

Inresande

33 200

35 300

35 900

37 900

38 400

39 600

33 300

39 800

41 700

43 000

Kvinnor %

52

52

53

53

53

53

53

55

55

56

 

 

 

 

 

 

 

 

 

 

 

Män %

48

48

47

47

47

47

47

45

45

44

 

 

 

 

 

 

 

 

 

 

 

Utresande

26 300

25 600

24 100

23 800

23 600

22 500

16 300

20 100

20 900

20 800

Kvinnor %

58

59

58

58

59

59

59

59

60

59

 

 

 

 

 

 

 

 

 

 

 

Män %

42

41

42

42

41

41

41

41

40

41

 

 

 

 

 

 

 

 

 

 

 

Källor: Statistiska centralbyrån och Universitetskanslersämbetet.

Antalet avgiftsbetalande studenter minskade lite

Personer som inte är medborgare i en stat som omfattas av avtalet om Europeiska ekonomiska samarbetsområdet eller i Schweiz (s.k. tredjelandsmedborgare) är som huvudregel skyldiga att betala anmälnings- och studieavgifter vid studier i Sverige.

Antalet avgiftsbetalande studenter har ökat stadigt sedan studieavgifterna för vissa tredjelandsmedborgare infördes 2011. Av de 29 800 fritt inresande studenterna läsåret 2023/24 betalade 9 600 studieavgifter. Bland de betalande fritt inresande-studenterna var 48 procent kvinnor och 52 procent män.

Läsåret 2023/24 examinerades 9 000 inresande studenter, en ökning med lite mer än 1 000 personer jämfört med läsåret innan. Av dessa var 5 000 kvinnor och 4 000 män.

Färre läser kompletterande utbildningar

Under 2024 utbetalades ca 143 miljoner kronor för kompletterande utbildningar för personer med avslutad utländsk utbildning som motsvarar en svensk högskole- utbildning.

Utbildningen syftar till att studenterna ska avlägga en examen som kan ges efter en högskoleutbildning som motsvarar deras utländska utbildning eller kunna få behörighet, alternativt kunskaper för att i Sverige utöva ett yrke som den utländska utbildningen är relevant för, se tabell 5.8.

Tabell 5.8 Antal helårsstudenter vid kompletterande utbildningar i regeringens särskilda satsning 2024

Kompletterande utbildning

 

Kompletterande utbildning

 

Kompletterande utbildning

 

Lärar- och förskollärarutbildning

383

Juristutbildning

31

Socionomutbildning

22

Läkarutbildning

63

Biomedicinsk analytikerutbildning

35

Fysioterapeututbildning

12

 

 

 

 

 

 

Tandläkarutbildning

48

Apotekar- och receptarieutbildning

98

Arkitektutbildning

0

 

 

 

 

 

 

Sjuksköterskeutbildning

76

Psykologutbildning

33

Ingenjörsutbildning

0

 

 

 

 

 

 

Barnmorskeutbildning

10

 

 

 

 

 

 

 

 

 

 

Totalt antal helårsstudenter1

 

 

 

 

811

1Antal helårsstudenter är avrundat.

Källa: Särskild redovisning från lärosätena.

133

Prop. 2025/26:1 Utgiftsområde 16

Antal bedömningar av utländska utbildningar minskar

Universitets- och högskolerådet ansvarar för bedömning av utländska utbildningar på gymnasial och eftergymnasial nivå. Antalet ansökningar om bedömning minskade med 9 procent 2024 jämfört med 2023. Totalt inkom ca 23 000 ärenden 2024 varav 61 procent rörde kvinnor och 26 procent män (de resterande hade inte uppgett kön, saknar svenskt personnummer eller har uppgett ”annat” i ansökan). Minskningen av inkomna ärenden medförde att antalet avgjorda ärenden minskade till totalt 24 000, en minskning med 9 procent jämfört med 2023. Den genomsnittliga handläggningstiden minskade jämfört med 2023 och uppgick under 2024 till 61 dagar. På två år har den genomsnittliga handläggningstiden minskat med 26 dagar.

Liten minskning av antalet doktorandnybörjare

Antalet doktorandnybörjare 2024 var 3 190 vilket var 120 personer färre jämfört med föregående år. Bland doktorandnybörjarna var det fler kvinnor än män, med 51 procent kvinnor och 49 procent män. I början av 1990-talet var ungefär en tredjedel kvinnor. Könsfördelningen bland doktorandnybörjarna skiljer sig dock åt mellan olika forskningsämnesområden.

En stor del av nybörjarna utgörs av utländska doktorander. Under 2024 fanns det

1 340 utländska nybörjare i utbildning på forskarnivå, vilket motsvarar 42 procent av nybörjarna. Av dessa var 43 procent kvinnor och 57 procent män. Andelen utländska nybörjare har legat relativt konstant omkring 40 till 42 procent det senaste decenniet.

Antalet doktorander uppgick hösten 2024 till 17 800 vilket är 600 färre doktorander än föregående höst. Av doktoranderna var 53 procent kvinnor och 47 procent män. Antalet utfärdade doktorsexamina var ungefär på samma nivå som föregående år. Under den senaste tioårsperioden har antalet examina varit relativt stabilt, se tabell 5.9, men i ett längre perspektiv har antalet doktorsexamina ökat kraftigt.

Av dem som avlade doktorsexamen 2024 var 50 procent kvinnor och 50 procent män. Det finns dock skillnader i könsfördelningen mellan olika ämnesområden, t.ex. utfärdades 34 procent av doktorsexamina inom teknik till kvinnor och 66 procent till män. Medicin och hälsovetenskap var det område som hade högst andel kvinnor, 61 procent var kvinnor och 39 procent var män. Det var även det området med totalt flest utfärdade doktorsexamina. Antalet licentiatexamina var 410 vilket var på samma nivå som föregående år. Andelsmässigt togs 41 procent av alla licentiatexamina 2024 ut av kvinnor och 59 procent av män. Detta beror bl.a. på att mer än hälften av alla licentiatexamina avläggs i teknik där männen är i majoritet.

Tabell 5.9

Antal doktorandnybörjare och doktorsexamina

 

 

 

 

2015

2016

2017

2018

2019

2020

2021

2022

2023

2024

 

 

 

 

 

 

 

 

 

 

 

Nybörjare

3 060

3 030

3 240

3 300

3 240

3 300

3 200

3 040

3 310

3 190

 

 

 

 

 

 

 

 

 

 

 

Kvinnor %

47

46

48

50

51

51

50

54

52

51

 

 

 

 

 

 

 

 

 

 

 

Män %

53

54

52

50

49

49

50

46

48

49

 

 

 

 

 

 

 

 

 

 

 

Examina

2 860

2 990

2 840

2 800

2 750

2 570

2 670

2 740

2 760

2 790

Kvinnor %

47

46

48

48

48

46

47

49

50

50

 

 

 

 

 

 

 

 

 

 

 

Män %

53

54

52

52

52

54

53

51

50

50

 

 

 

 

 

 

 

 

 

 

 

Anm.: Uppgifterna för 2024 är preliminära då inrapporteringen från lärosätena sker med viss eftersläpning.

Källor: Statistiska centralbyrån och Universitetskanslersämbetet.

134

Prop. 2025/26:1 Utgiftsområde 16

5.5Regeringens bedömning av måluppfyllelsen

Regeringen bedömer att det övergripande målet att utbildning och forskning vid universitet och högskolor ska hålla en internationellt sett hög kvalitet och bedrivas effektivt har uppnåtts.

Den sammantagna prestationsgraden för utbildning på grundnivå och avancerad nivå har legat på en jämn nivå under de senaste åren även om prestationsgraden har utvecklats olika beroende på ämnesområde. Jämfört med för 15 år sedan har prestationsgraden ökat och är numera på en högre nivå. En bakomliggande orsak till den ökade prestationsgraden bedöms bl.a. vara den ökade andelen program- utbildningar i utbildningsutbudet. Särskilt hög är prestationsgraden på program som leder till en yrkesexamen. Kvinnor fortsätter generellt att ha en högre prestationsgrad än män i alla studieformer.

Intresset för högskolestudier ökar och antalet helårsstudenter i högskolan var betydligt fler läsåret 2023/24 än läsåret innan. Men söktrycket, dvs. antal sökande per antagen, varierar på utbildningar där bristen på utbildade är stor. Under flera år har vissa utbildningar byggts ut, bl.a. vård-, lärar- och ingenjörsutbildningar. Regeringen inledde under 2024 en satsning på ingenjörsutbildningar som kan leda till fler program- nybörjare och examinerade de närmaste läsåren. Regeringen har presenterat en STEM- strategi (U2025/00563) som innehåller ett samlat paket med åtgärder som syftar till att stärka den svenska kompetensförsörjningen inom naturvetenskap och teknik, inklusive ingenjörsutbildningar. Jämfört med läsåret innan ökade både antalet nybörjare och antalet examinerade på civilingenjörsutbildningen läsåret 2023/24.

Under 2024 fortsatte lärosätena arbeta för att uppfylla sina lärosätesspecifika mål för antal examina inom vissa hälso- och sjukvårdsutbildningar och lärar- och förskollärarutbildningar för perioden 2021–2024. När ett år återstod visade Universitetskanslersämbetets uppföljning att måluppfyllelsen var något högre för lärar- och förskollärarutbildningar än för utbildningar inom hälso- och sjukvård. Lärosätena har i sina regleringsbrev fått nya lärosätesspecifika mål för perioden 2025– 2028. Det finns fortfarande utmaningar med dimensioneringen av utbildningar mot bristyrken, inte minst inom vårdområdet. Antalet personer som avlade sjuksköterske- examen läsåret 2023/24 var 4 400, vilket var i nivå med läsåret innan. På specialist- sjuksköterskeprogrammet har det varit en tydlig ökning av antalet examina de senaste läsåren. För att universitet och högskolor ska kunna ta emot och examinera fler studenter krävs bl.a. att det finns fler platser för verksamhetsförlagd utbildning (VFU). Åtgärder har vidtagits för att fler VFU-platser ska finnas tillgängliga.

Etableringen på arbetsmarknaden bland de studenter som examineras från högskolan är fortsatt hög. Universitetskanslersämbetets senaste uppgifter visar att 86 procent av både kvinnor och män var etablerade på arbetsmarknaden 1–1,5 år efter avslutad utbildning.

Genomströmningen varierar mellan olika utbildningar och inom vissa lärar- utbildningar och ingenjörsutbildningar är genomströmningen fortsatt låg. I budgetpropositionen för 2024 (prop. 2023/24:1) inleddes en kvalitetssatsning på natur- och teknikområdet och i budgetpropositionen för 2025 (prop. 2024/25:1) fortsatte regeringen kvalitetsförstärkningen genom att höja ersättningen till utbildningsområdena humanistiskt, teologiskt, juridiskt, samhällsvetenskapligt. Båda satsningarna syftar till att höja kvaliteten genom att möjliggöra mer lärarledd tid och på längre sikt öka genomströmningen. I juli 2023 tillsatte regeringen en särskild utredare med uppdrag att föreslå åtgärder för att utveckla lärar- och förskollärar- utbildningarna i syfte att höja utbildningarnas kvalitet och yrkenas status och

135

Prop. 2025/26:1 Utgiftsområde 16

attraktivitet (dir. 2023:111). Uppdraget redovisades i betänkandet Ämneskunskaper och lärarskicklighet — en reformerad lärarutbildning (SOU 2024:81).

Regeringen har återkommande följt upp myndighetskapitalet vid de årliga myndighetsdialogerna och understrukit vikten av att det används. Lärosätenas myndighetskapital minskade för tredje året i rad.

5.6Politikens inriktning

5.6.1Utbildning och forskning för excellens och konkurrenskraft

Regeringens mål är att utbildning och forskning vid universitet och högskolor ska hålla en internationellt sett hög kvalitet och bedrivas effektivt. Kunskap, utbildning och bildning är grunden för samhällsutveckling och välstånd. Den akademiska friheten och lärares och forskares självbestämmande över den egna forskningen och undervis- ningen ska aktivt främjas och värnas.

Utbildning och forskning inom högskolan ska genomsyras av hög kvalitet. Veten- skaplig excellens är avgörande för att Sverige ska kunna stärka sin konkurrenskraft och ställning som en av världens främsta forskningsnationer. Detta gäller såväl grund- forskningen som den tillämpade forskningen, oavsett forskningsområde och ämnes- inriktning. Det ska finnas ett nära samband mellan forskning och utbildning och en god samverkan med det omgivande samhället för ömsesidigt utbyte.

Att utbildningen håller hög kvalitet är avgörande för att Sverige ska fortsätta att utvecklas som kunskapsnation. Högskoleutbildningar ska vila på vetenskaplig eller konstnärlig grund samt på beprövad erfarenhet. Utbildning av hög kvalitet ökar vår- dens, skolans och näringslivets tillgång till välutbildad personal och stärker individers möjligheter att etablera sig på arbetsmarknaden. Det rustar också studenterna väl för ett långt arbetsliv. För att uppnå det bör lärosätenas utbildningsutbud mer effektivt styras mot hög kvalitet, relevans för samhällets och arbetsmarknadens behov av framtida kompetens, samtidigt som möjligheterna till bildning är goda. Enligt högskolelagen ska jämställdhet mellan kvinnor och män alltid iakttas och främjas i högskolornas verksamhet.

Det finns goda skäl att utbildning på campus har varit kärnan i den akademiska traditionen under lång tid. Regeringen menar att det bör vara så även fortsatt. Distansutbildning kan i vissa fall vara viktigt för att öka möjligheten till vidareutbildning så att studenter kan kombinera arbete och familjeliv med studier. Samtidigt ställer distansutbildning av hög kvalitet stora krav på både pedagogik och tekniska lösningar. Oavsett i vilken form som utbildningen ges, har universitet och högskolor i uppgift att hålla hög utbildningskvalitet. Det är viktigt att det finns plats för det akademiska samtalet och att studenter, lärare och forskare möts och med kunskap i fokus kan utveckla perspektiv på utbildningen som berikar hela samhället.

För att stärka förutsättningarna för hög kvalitet i utbildning och utbildningsutbud fortsätter regeringen att prioritera höjda ersättningsbelopp till flera utbildnings- områden. Det är en viktig signal om att hög kvalitet ska vara i fokus. Regeringens kvalitetssatsningar inom utbildningsområdena natur och teknik respektive humaniora, samhälle, juridik och teologi skapar förutsättningar för höjd kvalitet inom de utbildningar som är störst inom högskolan. Det innebär att nära tre fjärdedelar av studenterna får del av kvalitetssatsningarna. Det är viktigt att de ökade resurserna per student kan omsättas i bl.a. ökad lärarledd tid för att främja studenters lärande och förståelse. Det ger studenter bättre förutsättningar att förstå komplexa samband,

136

Prop. 2025/26:1 Utgiftsområde 16

reflektera kritiskt och nå djupare kunskaper inom sitt ämne. Universitet och högskolor ansvarar för att organisera och utveckla verksamheten och utbildningsutbudet för att uppnå hög kvalitet i utbildningen, stärka kompetensförsörjningen för arbets- marknadens behov och säkerställa att resurserna utnyttjas effektivt.

5.6.2Stärkt akademisk frihet

Akademisk frihet är en grundläggande förutsättning för utbildning och forskning i världsklass och en viktig beståndsdel i ett demokratiskt och starkt samhälle med ett öppet debattklimat. Den kan dock inte tas för given utan behöver aktivt främjas och värnas. Forskare och lärare behöver ha förutsättningar för att dels fritt söka kunskap och kunna utforska det omgivande samhället, dels fritt sprida kunskap. Därför har en särskild utredare fått i uppdrag att analysera och föreslå ändringar för att stärka forskares och lärares akademiska frihet i Sverige (dir. 2025:42). Uppdraget ska redovisas senast den 30 juni 2026.

Verksamheten vid universitet och högskolor skiljer sig i många avseenden från flertalet andra statliga förvaltningsmyndigheter, inte minst mot bakgrund av principerna om forskningens frihet och akademisk frihet. Det är viktigt att se över hur t.ex. detaljreglering genom regelverk och uppdrag kan undvikas för att på så vis minska den administrativa överbyggnaden och ge förutsättningar för lärosätena att fokusera på kärnverksamheten. Regeringen har därför gett Statskontoret i uppdrag att analysera konsekvenserna av universitets och högskolors administrativa uppgifter (U2024/01755). Uppdraget redovisades den 11 september 2025. Regeringen avser även att lämna en proposition om att viss forskning ska undantas från kraven på etikprövning, (se avsnitt 6.5.1).

5.6.3Kvalitet som bygger kunskap

Regeringen har inlett ett kvalitetslyft sedan 2024 och tar nu steg för att öka resurserna inom musikutbildningar och inom förskollärar- och lärarutbildningar (se även avsnitt 5.6.5). Genom att öka och frigöra resurser till kvalitet skapas möjligheter för mer lärarledd tid och nödvändiga investeringar i utbildningsmiljöer som ger förutsättningar för att bedriva undervisning som förbereder studenterna för deras kommande yrkesliv. Syftet med utbildning är inte enbart examen utan också att förmedla perspektiv som ger möjlighet till personlig utveckling och skapar förutsättningar för ett aktivt deltagande i det demokratiska samhället. Studenter i högskolan behöver få möjlighet att utveckla såväl sina ämneskunskaper som sin förmåga att förstå och kommunicera det akademiska språket, oavsett vilken utbildning de går. Så kallad akademisk litteracitet kan även stärka studenters kritiska tänkande och förmåga att se problem ur olika perspektiv.

Studenter från lärosätenas musikutbildningar bidrar till ett starkt nationellt och internationellt kulturliv och de kreativa näringarna. Samtidigt är arbetsmarknaden för musiker hårt internationellt konkurrensutsatt vilket innebär att kvalitetskraven på studenterna är höga. För att värna en hög kvalitet inom utbildningarna höjs ersättningen för musikområdet vilket möjliggörs genom att antalet utbildningsplatser inom området minskas.

Starka utbildnings- och forskningsmiljöer med utvecklad samverkan mellan lärosäten och näringsliv samt ett aktivt arbete för att främja den akademiska friheten kan attrahera internationell kompetens. Det är viktigt att fortsatt arbeta för ökad internationalisering och det måste finnas goda möjligheter för utländska forskare och doktorander att verka i Sverige. Därför har en utredare fått i uppdrag att bl.a. föreslå åtgärder som förbättrar möjligheterna att attrahera och behålla utländska doktorander och forskare i Sverige (HR2024/00827). Uppdraget redovisades den 4 december 2024

137

Prop. 2025/26:1 Utgiftsområde 16

i promemorian Bättre migrationsrättsliga regler för forskare och studenter (Ds 2024:31) som har remitterats. Förslagen bereds inom Regeringskansliet.

Regeringen vill att fler svenskar ska arbeta inom EU:s förvaltning för att öka möjligheterna till inflytande för Sverige samt för att bidra till ökad kunskap om Sverige inom EU. Det finns även anledning att stärka kompetensförsörjningen till svenska myndigheter och institutioner för att bidra till en högkvalificerad och effektiv förvaltning i Sverige. Genom att satsa på högkvalitativa masterprogram i offentlig förvaltning bl.a. med EU-inriktning kan kompetensförsörjningen till offentlig sektor samt EU:s institutioner, myndigheter och organ förstärkas. Särskilda medel satsas därför för att ett urval lärosäten ska kunna genomföra sådana masterprogram som kan bidra till utvecklingen av den offentliga sektorn och som ökar förutsättningarna för att studenterna ska kunna konkurrera om framtida tjänster inom EU.

5.6.4Starka och robusta samhällen

I robusta samhällen finns strukturer och processer som utgör förmågor att förebygga och stå emot företeelser som utmanar den sociala hållbarheten. Globalt sett har demokratin utvecklats i en negativ riktning de senaste decennierna och i allt fler länder begränsas demokratin av förtryck såsom attacker mot civilsamhället och en ökad statlig kontroll av media. Den negativa utvecklingen är i sin tur relaterad till såväl brist på hållbar tillväxt som säkerhetspolitiska faktorer. Att vända denna trend är avgörande för det globala samfundets förmåga att möta vår tids stora utmaningar.

Möjligheten för judar i Sverige att leva tryggt och säkert begränsas av den antisemitism som förekommer i samhället. Under månaderna som följde efter Hamas terrorangrepp den 7 oktober 2023 har antalet hatbrottsanmälningar med antisemitiska motiv ökat kraftigt i Sverige. Göteborgs universitet har i uppdrag att genom Segerstedtinstitutet sprida kunskap om arbetsmetoder mot antisemitism till aktörer som har en viktig roll i att motverka antisemitism bland barn och unga. För att ge Segerstedtinstitutet bättre förutsättningar för detta viktiga arbete förstärker regeringen satsningen under 2026– 2028.

Svenska lärosäten behöver stå rustade för att möta det allvarliga säkerhetsläget, vilket bl.a. ställer stora krav på god cybersäkerhet. Europeiska unionens direktiv om åtgärder för en hög gemensam cybersäkerhetsnivå inom EU, det s.k. NIS2-direktivet, föreslås genomföras i svensk rätt genom att införa en ny cybersäkerhetslag. Regeringen beslutade den 12 juni 2025 lagrådsremissen Ett starkt skydd för nätverks- och informationssystem – en ny cybersäkerhetslag (Fö2025/01006). De universitet och högskolor som kommer att omfattas av lagen ska vidta åtgärder för att skydda sina nätverks- och informationssystem samt rapportera betydande incidenter, vilket innebär ökade kostnader. Regeringen tillför därför särskilda resurser för att berörda lärosäten ska kunna vidta åtgärder som uppfyller de krav som följer av den nya cybersäkerhetslagen.

Medieinstitutet Fojo vid Linnéuniversitetet arbetar sedan mer än 50 år med vidareutbildning för yrkesverksamma journalister. Journalistiken står inför allt större utmaningar såsom inverkan av artificiell intelligens (AI), desinformation, det växande inflytandet från sociala medier och ökad polarisering. Med AI:s intåg behövs mer kunskap om värdering av nyheter och källor och journalister behöver bättre verktyg för att navigera i en alltmer komplex yrkesroll.

5.6.5Samhällets och näringslivets kompetensförsörjning

Utbildning och forskning av hög kvalitet är helt avgörande för Sveriges välstånd. Genom gröna och andra banbrytande innovationer och världsledande utbildning och

138

Prop. 2025/26:1 Utgiftsområde 16

forskning skapas förutsättningar för framtidens nya jobb och stärkt konkurrenskraft i industrin. Utbildning och praktiknära forskning av hög kvalitet möjliggör också stärkt kvalitet i skolan och i vården. För hälso- och sjukvården är god kompetensförsörjning en nyckelfråga. Tillgången till personal är bl.a. en förutsättning för fler vårdplatser och minskade vårdköer. Regeringens satsning på kompletterande utbildningar för personer med avslutad utländsk utbildning är en viktig väg för att stärka kompetens- försörjningen inom bl.a. vården. Samtidigt är det en väg in för personer som inte kan arbeta inom ett bristyrke som de utbildat sig för. Regeringen har som ambition att utöka antalet kompletterande vårdutbildningar inom de medel som avsatts för satsningen.

För att Sverige ska stå starkt och konkurrenskraftigt inför framtiden och fortsätta att utvecklas som kunskapsnation är kompetensförsörjningen avgörande. Regeringens har beslutat om en STEM-strategi (Science, Technology, Engineering and Mathematics) som spänner över hela utbildningssystemet från förskola till forskarutbildning och har inrättat en STEM-delegation för att långsiktigt stärka förutsättningarna för att fler personer ska ha intresset och de kunskaper som behövs för att söka till och fullfölja en utbildning inom STEM (se även avsnitt 2.9.1).

Utbildningsutbudet bör utvecklas för att stärka konkurrenskraften

För att förbättra möjligheterna till vidareutbildning för yrkesverksamma med specialistkompetens har regeringen satsat särskilt på korta kurser för yrkesverksamma. Syftet är att medlen ska kunna bidra till att utveckla ett särskilt kvalificerat utbildningsutbud inom prioriterade områden, bl.a. STEM-området. Nu satsar regeringen på att bibehålla nivån permanent vilket gör det möjligt att fortsätta utvecklingen av utbildning inom bl.a. batterier och produktionsteknik, kärnkrafts- teknik och AI.

Det är viktigt att de resurser som avsätts för utbildning används effektivt. Lärosätenas myndighetskapital har ökat under flera år. Även om myndighetskapitalet inom utbildning minskat kraftigt under de senaste åren finns det behov av att se över detta. För att uppnå ett effektivt resursutnyttjande och ett utbildningsutbud av hög kvalitet som är relevant för samhällets och arbetsmarknadens behov av högskoleutbildning bedömer regeringen att styrningen behöver utvecklas. Regeringen avser därför att utreda hur lärosätenas utbildningsutbud mer effektivt kan styras mot ett utbildnings- utbud av hög kvalitet som är relevant för samhällets och arbetsmarknadens behov av framtida kompetens, samtidigt som möjligheterna till bildning är goda och lärosätenas autonomi och rådighet värnas. Utredningen ska även lämna förslag som kan förbättra uppföljning och kontroll av myndighetskapitalet.

De kommande årens samhällsutveckling och omställning medför att fler yrkesverksamma kommer att behöva kompetensutveckling. Det är därför viktigt att det finns ett relevant, kvalificerat och resurseffektivt utbildningsutbud som kan erbjudas till personer i behov av omställning och fortbildning. För att ge lärosätena bättre förutsättningar att utveckla ett sådant flexibelt och kvalificerat utbildningsutbud kan ersättningssystemet i vissa delar behöva anpassas. Utbildningsdepartementet har remitterat och bereder just nu ett förslag på en ersättningsmodell för hur universitets och högskolors utbildningsutbud kan utvecklas för att möta de nya behov som uppkommer i en föränderlig arbetsmarknad (U2025/01339). För att påskynda utvecklingen av ett sådant utbud bl.a. inom STEM-ämnena satsar regeringen också på riktade resurser till ett antal lärosäten och avser att presentera förslag på en särskild ersättningsmodell för universitet och högskolor avseende utbildning för yrkes- verksamma med fokus på omställning och vidareutbildning.

139

Prop. 2025/26:1 Utgiftsområde 16

Utbildning för att höja kvaliteten i skolan

Regeringens bedömning

Det finns behov av att reformera lärarutbildningarna för att höja kvaliteten. Det kan leda till förordningsändringar som avviker från de bedömningar som har legat till grund för den nuvarande regleringen av den utbildningsvetenskapliga kärnan. Reformbehovet kan även leda till ändringar som avviker från de bedömningar som tidigare legat till grund för speciallärar- och specialpedagogutbildningarna.

Skälen för regeringens bedömning

Lärarens kompetens spelar en avgörande roll för elevernas framgång i skolan. Det finns ett tydligt samband mellan å ena sidan en väl fungerande lärarutbildning och å andra sidan barns utveckling och elevers studieframgång. Det innebär att det för skolväsendets utveckling är mycket viktigt att lärar- och förskollärarutbildningarna håller hög kvalitet och utbildar professionella lärare och förskollärare med hög kompetens. Därför måste både kraven på utbildningarnas kvalitet och på lärarstudenterna vara höga.

Samtidigt finns det många nyexaminerade lärare som anser att de inte blivit tillräckligt förberedda för vad undervisningsuppdraget i verkligheten kräver. Denna utveckling behöver vändas. Utbildningarna behöver reformeras så att en student efter genomgången utbildning är förberedd för yrkesutövningen.

Mot denna bakgrund har en särskild utredare haft i uppdrag att lämna förslag inom tre områden: höjda antagningskrav till vissa utbildningar, samarbete mellan lärarutbildningar och innehållet i lärar- och förskollärarutbildningarna (dir. 2023:111). Uppdraget redovisades i betänkandet Ämneskunskaper och lärarskicklighet – en reformerad lärarutbildning (SOU 2024:81). När det gäller innehållet i utbildningarna föreslås bl.a. ett ökat fokus på ämnesstudier och ämnesdidaktiska studier med 15 högskolepoäng och en motsvarande minskning av omfattningen när det gäller den vetenskapliga kärnan.

Regeringen har tidigare gjort uttalanden till riksdagen som rör utbildningarnas nuvarande utformning. I propositionen Bäst i klassen (prop. 2009/10:89) gjorde regeringen bedömningen att centrala och generella kunskaper för lärare och förskollärare bör utgöra en utbildningsvetenskaplig kärna och att studier inom den utbildningsvetenskapliga kärnan bör omfatta 60 högskolepoäng. Vidare gjordes bedömningen att den som har tillräckliga kunskaper i minst ett ämne bör kunna få en ämneslärarexamen efter en kompletterande pedagogisk utbildning, som bör omfatta 90 högskolepoäng, och att speciallärarexamen bör utökas med specialiseringar mot dövhet eller hörselskada, synskada, grav språkstörning och utvecklingsstörning. Vid den nu pågående översynen av utbildningarna behöver det finnas utrymme att ändra utbildningarnas struktur och utformning. Det kan också visa sig att det finns behov av följdändringar i de alternativa vägarna till en lärarexamen och att det framöver behöver göras ändringar när det gäller speciallärar- och specialpedagogutbildningarna.

Regeringen avser att arbeta vidare med utredarens förslag för att höja kvaliteten och bl.a. höja ersättningsbeloppen inom ram för lärar- och förskollärarutbildningarna. I kommande budgetproposition återkommer regeringen med förslag inom ram mot bakgrund av de förändringar som planeras. Utredningens förslag påverkar alla lärar- och förskollärarutbildningar som bedrivs vid ett flertal lärosäten. Förslagen medför behov av ökad samverkan mellan lärosätena för att säkerställa hög kvalitet i utbildningarna. För att förtydliga lärosätenas gemensamma ansvar för ett fortsatt varierat utbud av lärarutbildningar, som även omfattar ansvaret för ämnes-

140

Prop. 2025/26:1 Utgiftsområde 16

lärarutbildning i små ämnen, satsar regeringen särskilda medel inom ram för att stödja detta. Regeringen satsar också på vidareutbildning i kognitionsvetenskap för dem som undervisar i utbildningarna.

För att få fler skickliga lärare i skolan är det viktigt att skapa attraktiva utbildningsvägar. En sådan väg är Arbetsintegrerad lärarutbildning där studenter kan kombinera arbete och studier. Den tillfälliga satsningen på sådan utbildning beräknas förlängas till 2032. För att den svenska skolan ska hålla hög kvalitet är det avgörande att den vilar på vetenskaplig grund och att undervisningsmetoderna är evidensbaserade. Regeringen bedömer att behovet av praktiknära skolforskning är stort och att verksamheten har potential att utvecklas för att få ännu större genomslag i klassrummen och på skolresultaten. I forsknings- och innovationspropositionen Forskning och innovation för framtid, nyfikenhet och nytta (prop. 2024/25:60) presenterade regeringen satsningar på sådan forskning under kommande år.

5.6.6Forskningsanslagen ska i större utsträckning premiera excellens

De satsningar som presenterades i forsknings- och innovationspropositionen innebär stora ökningar av resurserna till forskning. Av den totala ökningen riktas en väsentlig del till förstärkningar av universitets och högskolors anslag till forskning och utbildning på forskarnivå. Det är angeläget att ökade forskningsanslag i likhet med andra satsningar på forskning fördelas på ett sådant sätt att de bidrar till att de övergripande målen om excellens, innovation och internationalisering uppnås. Regeringen avser därför fördela ökade medel till forskningsanslag till de områden och de lärosäten som bäst kan uppfylla målen. Se tabell 5.11 och 5.12 för en samlad redovisning av de ökningar som föreslås till respektive lärosäte.

Universitets och högskolors roll i innovationssystemet

Holdingbolagen vid universitet och högskolor stödjer Sveriges konkurrenskraft genom att bidra till att forskningsresultat och innovationer kommersialiseras så att de kommer till nytta i samhället. Regeringen avser att se över grunden för fördelning av medel för holdingbolagen för kommande år. I samband med att ett nytt innovationskontor inrättas för kulturella och kreativa branscher kommer regeringen även se över fördelningen av medel för alla innovationskontor som i dag tilldelas särskilda medel.

5.7Den årliga revisionens iakttagelser

Umeå universitet har fått en revisionsberättelse med reservation avseende sin årsredovisning för 2024. Som grund för uttalande om reservation anger Riksrevisionen följande. Umeå universitet har under flera års tid ackumulerat ett överskott i avgiftsområdena uppdragsforskning och uppdragsutbildning. Det ackumulerade överskottet uppgår till 25 316 000 kronor respektive 22 398 000 kronor per den 31 december 2024. Det avviker från det ekonomiska målet om full kostnadstäckning enligt 5 § avgiftsförordningen (1992:191) respektive 5 § förordningen (2002:760) om uppdragsutbildning vid universitet och högskolor. Avgifter ska beräknas så att intäkterna täcker verksamhetens kostnader på ett eller några års sikt. Umeå universitet har i en skrivelse till regeringen redogjort för de åtgärder universitetet avser att vidta med anledning av Riksrevisionens iakttagelser.

Karolinska institutet har fått en revisionsberättelse med reservation avseende sin årsredovisning för 2024. Som grund för uttalande om reservation anger Riksrevisionen följande. Karolinska institutet har under flera års tid ackumulerat ett överskott i avgiftsområdena uppdragsforskning och uppdragsutbildning. Det ackumulerade

141

Prop. 2025/26:1 Utgiftsområde 16

överskottet uppgår till 49 389 000 kronor respektive 32 453 000 kronor per den 31 december 2024. Det avviker från det ekonomiska målet om full kostnadstäckning enligt 5 § avgiftsförordningen (1992:191) respektive 5 § förordningen (2002:760) om uppdragsutbildning vid universitet och högskolor. Avgifter ska beräknas så att intäkterna täcker verksamhetens kostnader på ett eller några års sikt. Karolinska institutet har i en skrivelse till regeringen redogjort för de åtgärder universitetet avser att vidta med anledning av Riksrevisionens iakttagelser.

Kungl. Tekniska högskolan har fått en revisionsberättelse med reservation avseende sin årsredovisning för 2024. Som grund för uttalande om reservation anger Riksrevisionen följande. Kungliga tekniska högskolan har under flera års tid ackumulerat ett överskott i avgiftsområdet utbildning av studieavgiftsskyldiga studenter. Det ackumulerade överskottet uppgår till 25 423 000 kronor per den 31 december 2024. Det avviker från det ekonomiska målet om full kostnadstäckning enligt 6 § förordningen om anmälningsavgift och studieavgift vid universitet och högskolor. Avgifter ska beräknas så att intäkterna täcker verksamhetens kostnader på ett eller några års sikt. Kungl. Tekniska högskolan har i en skrivelse till regeringen redogjort för de åtgärder universitetet avser att vidta med anledning av Riksrevisionens iakttagelser.

Malmö universitet har fått en revisionsberättelse med reservation avseende sin årsredovisning för 2024. Som grund för uttalande om reservation anger Riksrevisionen följande. Malmö universitet har under flera års tid ackumulerat ett överskott i avgiftsområdet uppdragsutbildning. Det ackumulerade överskottet uppgår till

32 407 000 kronor per den 31 december 2024. Det avviker från det ekonomiska målet om full kostnadstäckning enligt 5 § förordningen (2002:760) om uppdragsutbildning vid universitet och högskolor. Avgifter ska beräknas så att intäkterna täcker verksamhetens kostnader på ett eller några års sikt. Malmö universitet har i en skrivelse till regeringen redogjort för de åtgärder universitetet avser att vidta med anledning av Riksrevisionens iakttagelser.

Högskolan Dalarna har fått en revisionsberättelse med reservation avseende sin årsredovisning för 2024. Som grund för uttalande om reservation anger Riksrevisionen följande. Högskolan Dalarna har under flera års tid ackumulerat ett överskott i avgiftsområdet uppdragsutbildning. Det ackumulerade överskottet uppgår till

38 006 000 kronor per den 31 december 2024. Det avviker från det ekonomiska målet om full kostnadstäckning enligt 5 § förordningen (2002:760) om uppdragsutbildning vid universitet och högskolor. Avgifter ska beräknas så att intäkterna täcker verksamhetens kostnader på ett eller några års sikt. Högskolan Dalarna har i en skrivelse till regeringen redogjort för de åtgärder högskolan avser att vidta med anledning av Riksrevisionens iakttagelser.

Konstfack har fått en revisionsberättelse med reservation avseende sin årsredovisning för 2024. Som grund för uttalande om reservation anger Riksrevisionen följande. Konstfack har inte återrapporterat vilka insatser som bedömts relevanta och vidtagits för att myndigheten ska bidra till de mål som anges i den nationella strategin för svenskt deltagande i Horisont Europa. Återrapporteringskravet framgår av det gemensamma regleringsbrevet 2024 för universitet och högskolor. Avsaknaden av återrapportering är inte förenlig med 3 kap. 1 § förordningen (2000:605) om årsredovisning och budgetunderlag. Konstfack har i en skrivelse till regeringen lämnat den saknade återrapporteringen.

Regeringen har följt upp Riksrevisionens iakttagelser med berörda myndigheter och avser att följa utvecklingen.

142

Prop. 2025/26:1 Utgiftsområde 16

5.8Budgetförslag

Ersättningsbelopp

Samtliga ersättningsbelopp för helårsstudenter och helårsprestationer räknas upp med pris- och löneomräkningen på 1,84 procent. Därutöver höjs ersättningsbeloppet för humanistiskt, teologiskt, juridiskt, samhällsvetenskapligt utbildningsområde med

1 050 kronor per helårsprestation i enlighet med vad som aviserades i budget- propositionen för 2025 (prop. 2024/25:1 utg.omr. 16 avsnitt 5.8). För 2027 beräknas ersättningsbeloppet öka med ytterligare 525 kronor per helårsprestation. Även ersättningsbeloppet per helårsstudent för naturvetenskapligt, tekniskt, farmaceutiskt utbildningsområde höjs med ytterligare 1 040 kronor i enlighet med vad som aviserades i budgetpropositionen för 2024 (prop. 2023/24:1 utg.omr. 16 avsnitt 5.6.3).

Ersättningsbeloppet för utbildningsområdet musik höjs utöver pris- och löneomräk- ningen med 24 000 kronor per helårsstudent och med 11 000 kronor per helårs- prestation för att skapa möjligheter att höja utbildningens kvalitet. Sammanlagt innebär det en höjning med 15 procent per helårsstudent och 11 procent per helårsprestation. Höjningen görs inom ram vilket innebär att den totala kostnaden för utbildningsområdet inte ökar.

Ersättningsbeloppen för helårsstudenter och helårsprestationer bör för budgetåret 2026 uppgå till de belopp som presenteras i tabell 5.10.

Tabell 5.10 Ersättningsbelopp för helårsstudenter och helårsprestationer

Kronor

UTBILDNINGSOMRÅDE

HST

HPR

Humanistiskt, teologiskt, juridiskt, samhällsvetenskapligt

37 363

26 486

Naturvetenskapligt, tekniskt, farmaceutiskt

66 824

53 728

 

 

 

Vård

67 732

58 664

 

 

 

Odontologiskt

56 011

65 247

Medicinskt

75 688

92 063

 

 

 

Undervisning1

45 445

47 608

Verksamhetsförlagd utbildning2

64 403

62 486

Övrigt3

51 165

41 562

Design

180 536

109 995

 

 

 

Konst

256 301

110 034

Musik

179 753

109 479

 

 

 

Opera

371 174

222 040

 

 

 

Teater

358 917

178 773

Media

366 276

293 401

 

 

 

Dans

252 427

139 480

 

 

 

Idrott

131 538

60 870

 

 

 

1Avser utbildning inom det allmänna utbildningsområdet och den utbildningsvetenskapliga kärnan.

2Avser verksamhetsförlagd utbildning inom lärar- och förskollärarutbildning.

3Avser utbildning i vissa ämnen inom humanistiskt utbildningsområde enligt uppdrag i regleringsbrev, journalistutbildning, bibliotekarieutbildning samt praktiska och estetiska kurser inom lärarutbildning med inriktning mot tidigare år, inom grundlärarutbildning och inom förskollärarutbildning.

Ökade forskningsanslag

I enlighet med vad som angavs i forsknings- och innovationspropositionen 2024 fördelas direkta forskningsanslag till universitet och högskolor med hjälp av kvalitetsindikatorer. I fördelningen används indikatorer som är beräknade av Vetenskapsrådet. Det innebär att indikatorn för externa medel är något utvecklad. Bland annat väger forskningsbidrag från EU högre i syfte att öka lärosätenas

143

Prop. 2025/26:1 Utgiftsområde 16

incitament att söka EU-medel. Därutöver permanentas de tillskott till de direkta forskningsanslagen som ingick i propositionen Vårändringsbudgeten för 2025 i denna proposition.

Baserat på kvalitetsindikatorerna görs även en omfördelning av befintliga resurser, där 5 procent av respektive lärosätes direkta forskningsanslag ingår. I denna omfördelning ingår inte de medel till strategiska forskningsområden (SFO) som lärosätet erhåller.

Skälet till detta är att delar av SFO-medlen i många fall skickas vidare till andra lärosäten som deltar i samma SFO. I det belopp som omfördelas undantas 50 procent av lärosätets basresurs för att markera betydelsen av forskningsanknytning i alla utbildningar på grundnivå och avancerad nivå. Beräkningen av omfördelningen är därmed i linje med hur sådan omfördelning har gjorts tidigare. Regeringen avser inte att omfördela ytterligare medel under 2027 och 2028.

De ökade resurserna till forskning och utbildning på forskarnivå möjliggör att den finansiering som sker från lärosäten för att säkerställa driften av forskningsinfrastruk- turen MAX IV vid Lunds universitet kan upprätthållas. MAX IV är en nationell anläggning som är viktig för svenska forskare. Utöver den finansiering som kanaliseras via forskningsfinansiärer är det rimligt att de som använder anläggningen för sin forskning också bidrar till anläggningens kostnader och till dess utveckling. Det stärker det nationella engagemanget vilket är avgörande för att MAX IV ska utvecklas som resurs för forskare.

Tabell 5.11 visar tillskotten i de olika propositionerna. Tillskotten i propositionen Vårändringsbudget för 2025 permanentas i denna budgetproposition. Beräkningen för budgetpropositionerna för 2027 och 2028 är planeringsförutsättningar och kommer att justeras i respektive budgetproposition när uppdaterade indikatorer är tillgängliga. Beloppen för 2027 och 2028 är inte inräknade i respektive lärosätes anslagsberäkningar.

Tabell 5.11 Fördelning och omfördelning med kvalitetsindikatorer

Miljoner kronor

 

VÄB25

BP2026

omförd.

BP20271

BP20281

Totalt1

Uppsala universitet

14,5

19,7

-9,6

12,8

12,0

49,4

 

 

 

 

 

 

 

Lunds universitet

17,5

23,6

3,7

15,3

14,4

74,5

 

 

 

 

 

 

 

Göteborgs universitet

12,3

16,0

-4,0

10,4

9,8

44,6

 

 

 

 

 

 

 

Stockholms universitet

10,9

14,6

-11,5

9,5

8,9

32,3

 

 

 

 

 

 

 

Umeå universitet

5,8

7,7

-18,5

5,0

4,7

4,6

 

 

 

 

 

 

 

Linköpings universitet

7,4

10,3

8,3

6,7

6,3

39,0

Karolinska institutet

14,3

20,5

14,9

13,3

12,5

75,4

 

 

 

 

 

 

 

Kungl. Tekniska högskolan

9,4

14,4

11,2

9,3

8,7

53,0

 

 

 

 

 

 

 

Luleå tekniska universitet

3,2

4,6

3,2

3,0

2,8

16,8

 

 

 

 

 

 

 

Sveriges lantbruksuniversitet

7,6

10,1

-1,8

6,5

6,1

28,6

 

 

 

 

 

 

 

Chalmers

7,5

12,3

20,5

8,0

7,5

55,8

 

 

 

 

 

 

 

Karlstads universitet

1,1

1,4

-4,6

0,9

0,8

-0,3

Linnéuniversitetet

1,7

2,2

-3,6

1,5

1,4

3,2

 

 

 

 

 

 

 

Örebro universitet

1,9

2,4

-1,9

1,5

1,4

5,3

 

 

 

 

 

 

 

Mittuniversitetet

1,1

1,2

-6,4

0,8

0,7

-2,6

 

 

 

 

 

 

 

Malmö universitet

1,2

1,7

-2,4

1,1

1,0

2,6

 

 

 

 

 

 

 

Mälardalens universitet

1,2

1,6

-4,3

1,0

1,0

0,5

 

 

 

 

 

 

 

Handelshögskolan

1,2

1,6

7,3

1,0

1,0

12,1

Blekinge tekniska högskola

0,4

0,5

-2,2

0,3

0,3

-0,8

 

 

 

 

 

 

 

Högskolan i Borås

0,6

0,9

1,3

0,6

0,5

3,9

 

 

 

 

 

 

 

144

 

Prop. 2025/26:1 Utgiftsområde 16

 

 

 

Högskolan Dalarna

0,4

0,6

-0,6

0,4

0,3

1,1

 

 

 

 

 

 

 

Högskolan i Gävle

0,4

0,6

-0,6

0,4

0,4

1,2

Högskolan i Halmstad

0,5

0,8

0,6

0,5

0,5

2,8

 

 

 

 

 

 

 

Högskolan Kristianstad

0,2

0,3

-1,7

0,2

0,2

-0,8

 

 

 

 

 

 

 

Högskolan i Skövde

0,4

0,4

0,2

0,3

0,3

1,6

Högskolan Väst

0,6

0,6

0,2

0,4

0,4

2,2

 

 

 

 

 

 

 

Södertörns högskola

0,7

0,9

0,9

0,6

0,6

3,7

 

 

 

 

 

 

 

Stiftelsen Högskolan i

 

 

 

 

 

 

Jönköping

1,0

1,2

1,2

0,8

0,7

4,9

 

 

 

 

 

 

 

 

125,0

172,6

0,0

112,0

105,0

514,6

 

 

 

 

 

1Uppgifterna för 2027 och 2028 är planeringsförutsättningar.

 

 

 

 

I enlighet med forsknings- och innovationspropositionen 2024 fördelas medel till särskilda satsningar samt medel till de mindre, statliga lärosäten som inte omfattas av fördelningen av medel med kvalitetsindikatorer för att ge dessa lärosäten möjligheter att stärka och utveckla sin forskning. Av tabell 5.12 framgår dessa tillskott. Utöver detta görs särskilda satsningar på praktiknära forskning för lärare och praktiknära forskarskola för sjuksköterskor (forsknings- och innovationspropositionen 2024 avsnitt 13.1.12) genom anslag 2:65 Särskilda medel till universitet och högskolor.

Tabell 5.12 Särskilda satsningar m.m.

Miljoner kronor

 

VÄB25

2026

2027

2028-

Uppsala universitet1

12

12

15

20

Lunds universitet1

12

12

15

20

Stockholms universitet2

8

8

8

8

Linköpings universitet3

2,5

2,5

2,5

2,5

Kungl. Tekniska högskolan1,4

102

117

120

125

Luleå tekniska universitet1,5

42

42

50

70

Chalmers Tekniska Högskola AB1

12

12

15

20

Gymnastik- och idrottshögskolan

 

2,5

2,5

2,5

 

 

 

 

 

Stockholms konstnärliga högskola

 

2,5

2,5

2,5

Konstfack

 

1,5

1,5

1,5

 

 

 

 

 

Kungl. Konsthögskolan

 

1,5

1,5

1,5

 

 

 

 

 

Kungl. Musikhögskolan i Stockholm

 

1,5

1,5

1,5

 

 

 

 

 

Försvarshögskolan6

7

9,5

9,5

10,5

 

197,5

224,5

244,5

285,5

 

 

 

 

 

1Batteriforskning (12, 12, 15, 20 mnkr per lärosäte 2025, 2026, 2027 och fr.o.m. 2028), se avsnitt 10.1.4 i FOI-prop.

2Nordita (8 mnkr), se avsnitt 7.7.5 i FOI-prop.

3Forskarutbildning folkhögskollärare (2,5 mnkr), se avsnitt 13.1.12 i FOI-prop.

4SciLifeLab (90 mnkr) och Cybercampus (15 mnkr), se avsnitt 7.3 och 10.1.3 i FOI-prop.

5Gruvforskning (30, 30, 35, 50 mnkr 2025, 2026, 2027 och fr.o.m. 2028), se avsnitt 10.1.8 i FOI-prop.

6Campus totalförsvar (7 mnkr fr.o.m. 2025), se avsnitt 14.2.1 i FOI-prop.

I enlighet med förslag i forsknings- och innovationspropositionen 2024 höjs basresursen för de enskilda utbildningsanordnarna. I avsnitt 5.8.63 redogörs för tillskotten per lärosäte. Basresursen höjs för de enskilda utbildningsanordnarna till samma nivå som för de statliga lärosätena. Den ökade basresursen innebär att den del av bidraget som avser forskning och forskarutbildning inte understiger 17 500 kr per helårsstudent. Basresursen är bl.a. tänkt att säkerställa utbildningens forsknings- anknytning och genom höjningen ges de enskilda utbildningsanordnarna motsvarande fortsättningar som de statliga att bedriva utbildning av hög kvalitet.

145

Prop. 2025/26:1 Utgiftsområde 16

Samtliga satsningar med anledning av forsknings- och innovationspropositionen 2024 finansieras genom neddragning av anslaget 2:64 Särskilda utgifter inom universitet och högskolor där medel beräknades för ändamålen i budgetpropositionen för 2025.

Budget för avgiftsbelagd verksamhet

För att öka överskådligheten och minska omfattningen av budgetavsnittet redovisas de statliga universitetens och högskolornas avgiftsbelagda verksamhet samlat i tabell

5.13.Den offentligrättsliga verksamheten avser den del av avgiften för högskoleprovet som lärosätena disponerar. Lärosäten med obetydliga intäkter från avgiftsbelagd verksamhet redovisas inte i tabellen.

Tabell 5.13 Avgiftsbelagd verksamhet

Tusental kronor

 

Offentlig-

 

 

 

 

 

 

 

 

rättslig

Uppdrags-

 

 

 

 

 

 

 

verksamhet

verksamhet

 

 

 

 

 

 

 

Obestämt

Obestämt

 

 

 

 

 

 

 

ekonomiskt

ekonomiskt

 

 

 

 

 

 

 

mål

mål

Bestämt ekonomiskt mål

 

 

 

 

 

 

 

 

 

 

 

 

 

 

 

Ack.

 

 

 

 

Ack.

 

 

 

resultat

 

 

 

 

resultat

 

Intäkter

Intäkter

t.o.m.

Resultat

Intäkter

Kostnader

Resultat

utgående

 

2026

2026

2024

2025

2026

2026

2026

2026

 

 

 

 

 

 

 

 

 

Universitet/högskola

 

 

 

 

 

 

 

 

 

 

 

 

 

 

 

 

 

Uppsala universitet

2 500

120 000

12 569

-5 000

357 000

362 000

-5 000

2 569

Lunds universitet

6 000

85 000

-22 552

0

470 000

465 000

-5 000

-27 552

 

 

 

 

 

 

 

 

 

Göteborgs

 

 

 

 

 

 

 

 

universitet

7 000

25 000

26 922

-2 000

435 000

435 000

0

24 922

Stockholms

 

 

 

 

 

 

 

 

universitet

22 500

 

3 863

0

350 000

350 000

0

3 863

 

 

 

 

 

 

 

 

 

Umeå universitet

1 000

 

47 433

-12 500

370 000

375 000

-5 000

29 943

Linköpings

 

 

 

 

 

 

 

 

universitet

2 300

11 794

4 794

-3 547

136 000

138 500

-2 500

-1 253

 

 

 

 

 

 

 

 

 

Karolinska institutet

 

115 000

100 016

-30 000

440 000

460 000

-30 000

40 016

Kungl. Tekniska

 

 

 

 

 

 

 

 

högskolan

 

197 300

45 487

14 000

418 000

401 000

17 000

76 487

 

 

 

 

 

 

 

 

 

Luleå tekniska

 

 

 

 

 

 

 

 

universitet

624

 

9 541

-4 111

105 779

113 751

-7 972

-2 542

 

 

 

 

 

 

 

 

 

Karlstads universitet

852

6 705

1 266

-138

89 882

81 281

8 601

9 729

 

 

 

 

 

 

 

 

 

Linnéuniversitetet

1 650

400

1 293

-3 407

320 000

325 000

-5 000

-7 114

Örebro universitet

1 000

 

3 545

1 755

25 100

25 400

-300

5 000

 

 

 

 

 

 

 

 

 

Mittuniversitetet

1 000

70

25 010

-7 318

31 950

37 500

-5 550

12 142

 

 

 

 

 

 

 

 

 

Malmö universitet

 

50 000

47 325

-15 189

244 275

255 647

-11 372

20 764

Mälardalens

 

 

 

 

 

 

 

 

universitet

2 000

 

14 184

-8 300

34 000

36 000

-2 000

3 884

 

 

 

 

 

 

 

 

 

Blekinge tekniska

 

 

 

 

 

 

 

 

högskola

485

5 000

2 618

-200

44 000

44 200

-200

2 218

 

 

 

 

 

 

 

 

 

Försvarshögskolan

 

 

-5 360

5 542

491 143

491 143

0

192

 

 

 

 

 

 

 

 

 

Högskolan i Borås

675

1 000

10 375

1 000

205 000

205 000

0

11 375

Högskolan Dalarna

700

 

39 733

-10 545

35 000

46 000

-11 000

18 188

 

 

 

 

 

 

 

 

 

Högskolan i Gävle

800

7 000

1 426

0

25 900

25 900

0

1 426

 

 

 

 

 

 

 

 

 

Högskolan i

 

 

 

 

 

 

 

 

Halmstad

1 000

5 400

919

-300

56 000

56 300

-300

319

 

 

 

 

 

 

 

 

 

Högskolan

 

 

 

 

 

 

 

 

Kristianstad

800

 

68 536

4 000

45 000

52 000

-7 000

65 536

146

 

 

Prop. 2025/26:1 Utgiftsområde 16

 

 

 

 

Högskolan i Skövde

850

33 500

-629

100

33 500

-33 300

200

-329

 

 

 

 

 

 

 

 

 

Högskolan Väst

800

 

2 762

-4 200

58 500

57 500

1 000

-438

Södertörns

 

 

 

 

 

 

 

 

högskola

 

 

13 401

1 364

226 810

235 446

1 364

16 129

 

 

 

 

 

 

 

 

 

5.8.12:1 Universitetskanslersämbetet

Tabell 5.14 Anslagsutveckling 2:1 Universitetskanslersämbetet

Tusental kronor

2024

Utfall

188 285

Anslagssparande

-11 830

2025

Anslag

175 5541

Utgiftsprognos

167 753

2026

Förslag

166 446

 

 

 

 

 

 

 

2027

Beräknat

168 9262

 

 

2028

Beräknat

172 1003

 

 

1Inklusive beslut om ändringar i statens budget 2025 och förslag till ändringar i samband med denna proposition.

2Motsvarar 166 446 tkr i 2026 års prisnivå.

3Motsvarar 166 445 tkr i 2026 års prisnivå.

Ändamål

Anslaget får användas för Universitetskanslersämbetets förvaltningsutgifter.

Skälen för regeringens förslag

Tabell 5.15 Förändringar av anslagsnivån 2026–2028 för 2:1

Universitetskanslersämbetet

Tusental kronor

 

2026

2027

2028

Anvisat 20251

173 554

173 554

173 554

Pris- och löneomräkning2

3 830

6 473

9 856

Beslutade, föreslagna och aviserade åtgärder

-10 938

-11 101

-11 310

 

 

 

 

Överföring till/från andra anslag

 

 

 

 

 

 

 

Övrigt

 

 

 

Förslag/beräknat anslag

166 446

168 926

172 100

 

 

 

 

1Statens budget enligt riksdagens beslut i december 2024 (bet. 2024/25:FiU10). Beloppet är således exklusive beslut om ändringar i statens budget.

2Pris- och löneomräkningen baseras på anvisade medel 2025. Övriga förändringskomponenter redovisas i löpande priser och inkluderar därmed en pris- och löneomräkning. Pris- och löneomräkningen för 2027–2028 är preliminär.

Regeringen föreslår att 166 446 000 kronor anvisas under anslaget 2:1 Universitetskanslersämbetet för 2026. För 2027 och 2028 beräknas anslaget till 168 926 000 kronor respektive 172 100 000 kronor.

5.8.22:2 Universitets- och högskolerådet

Tabell 5.16 Anslagsutveckling 2:2 Universitets- och högskolerådet

Tusental kronor

2024

Utfall

230 170

Anslagssparande

-2 430

 

 

 

 

 

2025

Anslag

251 3481

Utgiftsprognos

252 248

2026

Förslag

320 330

 

 

 

 

 

 

 

2027

Beräknat

334 0452

 

 

2028

Beräknat

383 4213

 

 

147

Prop. 2025/26:1 Utgiftsområde 16

1Inklusive beslut om ändringar i statens budget 2025 och förslag till ändringar i samband med denna proposition.

2Motsvarar 329 503 tkr i 2026 års prisnivå.

3Motsvarar 371 452 tkr i 2026 års prisnivå.

Ändamål

Anslaget får användas för Universitets- och högskolerådets förvaltningsutgifter.

Skälen för regeringens förslag

Tabell 5.17 Förändringar av anslagsnivån 2026–2028 för 2:2 Universitets- och högskolerådet

Tusental kronor

 

2026

2027

2028

Anvisat 20251

227 348

227 348

227 348

Pris- och löneomräkning2

4 982

8 184

12 468

Beslutade, föreslagna och aviserade åtgärder

88 000

98 513

143 605

 

 

 

 

varav BP263

88 000

97 300

140 600

– Nytt betygssystem

 

2 300

3 600

 

 

 

 

– Uppbyggnad och drift av medborgarskapsprov i svenska

 

 

 

och samhällskunskap

88 000

95 000

137 000

 

 

 

 

Överföring till/från andra anslag

 

 

 

 

 

 

 

Övrigt

 

 

 

 

 

 

 

Förslag/beräknat anslag

320 330

334 045

383 421

 

 

 

 

1Statens budget enligt riksdagens beslut i december 2024 (bet. 2024/25:FiU10). Beloppet är således exklusive beslut om ändringar i statens budget.

2Pris- och löneomräkningen baseras på anvisade medel 2025. Övriga förändringskomponenter redovisas i löpande priser och inkluderar därmed en pris- och löneomräkning. Pris- och löneomräkningen för 2027–2028 är preliminär.

3Exklusive pris- och löneomräkning.

Regeringen har gett Universitets- och högskolerådet i uppdrag (U2025/00286) att ansvara för arbetet med medborgarskapsprov i svenska och samhällskunskap. Anslaget ökas därför med 88 000 000 kronor 2026. För 2027 beräknas anslaget öka med 95 000 000 kronor och för 2028 beräknas anslaget öka med 137 000 000 kronor. Därefter beräknas anslaget öka med 129 000 000 kronor 2029, 131 000 000 kronor 2030, 133 000 000 kronor 2031 och med 135 000 000 kronor fr.o.m. 2032 (se utg.omr. 8 avsnitt 1.7).

För införandet av ett nytt betygssystem beräknas anslaget öka med 2 300 000 kronor 2027 och för 2028 beräknas anslaget öka med 3 600 000 kronor. Därefter beräknas anslaget öka med 2 300 000 kronor 2029 och med 3 600 000 kronor fr.o.m. 2030.

Regeringen föreslår att 320 330 000 kronor anvisas under anslaget 2:2 Universitets- och högskolerådet för 2026. För 2027 och 2028 beräknas anslaget till 334 045 000 kronor respektive 383 421 000 kronor.

Budget för avgiftsfinansierad verksamhet

Tabell 5.18 Avgiftsfinansierad verksamhet vid Universitets- och högskolerådet

Tusental kronor

Ack.

 

 

 

 

Ack.

resultat

 

 

Kostnader

 

resultat

t.o.m.

Resultat

Verksamhetens

som ska

Resultat

utgående

2024

2025

intäkter 2026

täckas 2026

2026

2026

Avgiftsbelagd verksamhet där intäkterna disponeras av myndigheten och bidrar till att finansiera verksamheten

Offentligrättslig verksamhet

Högskoleprovet

32 000

45 320

148

Prop. 2025/26:1 Utgiftsområde 16

Ack.

 

 

 

 

Ack.

resultat

 

 

Kostnader

 

resultat

t.o.m.

Resultat

Verksamhetens

som ska

Resultat

utgående

2024

2025

intäkter 2026

täckas 2026

2026

2026

 

 

 

 

 

 

Avgiftsbelagd verksamhet där intäkterna disponeras av myndigheten och finansierar en bestämd del av verksamheten

Uppdragsverksamhet

-17 660 -51

278 562

273 700

4862

-12 849

 

 

 

 

 

 

5.8.32:3 Uppsala universitet: Utbildning på grundnivå och avancerad nivå

Tabell 5.19 Anslagsutveckling 2:3 Uppsala universitet: Utbildning på grundnivå och avancerad nivå

Tusental kronor

2024

Utfall

2 117 826

Anslagssparande

 

 

 

 

 

 

2025

Anslag

2 182 3401

Utgiftsprognos

2 182 340

2026

Förslag

2 207 888

 

 

 

 

 

 

 

2027

Beräknat

2 257 6362

 

 

2028

Beräknat

2 301 2603

 

 

1Inklusive beslut om ändringar i statens budget 2025 och förslag till ändringar i samband med denna proposition.

2Motsvarar 2 229 988 tkr i 2026 års prisnivå.

3Motsvarar 2 237 118 tkr i 2026 års prisnivå.

Ändamål

Anslaget får användas för ersättning till universitetet för högskoleutbildning på grundnivå och avancerad nivå samt behörighetsgivande och högskoleintroducerande utbildning.

Skälen för regeringens förslag

Tabell 5.20 Förändringar av anslagsnivån 2026–2028 för 2:3 Uppsala universitet: Utbildning på grundnivå och avancerad nivå

Tusental kronor

 

2026

2027

2028

Anvisat 20251

2 182 340

2 182 340

2 182 340

Pris- och löneomräkning2

40 330

67 887

104 058

Beslutade, föreslagna och aviserade åtgärder

-14 782

7 409

14 862

 

 

 

 

Överföring till/från andra anslag

 

 

 

 

 

 

 

Övrigt

 

 

 

 

 

 

 

Förslag/beräknat anslag

2 207 888

2 257 636

2 301 260

 

 

 

 

1Statens budget enligt riksdagens beslut i december 2024 (bet. 2024/25:FiU10). Beloppet är således exklusive beslut om ändringar i statens budget.

2Pris- och löneomräkningen baseras på anvisade medel 2025. Övriga förändringskomponenter redovisas i löpande priser och inkluderar därmed en pris- och löneomräkning. Pris- och löneomräkningen för 2027–2028 är preliminär.

Regeringen föreslår att 2 207 888 000 kronor anvisas under anslaget 2:3 Uppsala universitet: Utbildning på grundnivå och avancerad nivå för 2026. För 2027 och 2028 beräknas anslaget till 2 257 636 000 kronor respektive 2 301 260 000 kronor.

149

Prop. 2025/26:1 Utgiftsområde 16

5.8.42:4 Uppsala universitet: Forskning och utbildning på forskarnivå

Tabell 5.21 Anslagsutveckling 2:4 Uppsala universitet: Forskning och utbildning på forskarnivå

Tusental kronor

2024

Utfall

2 451 337

Anslagssparande

 

 

 

 

 

 

2025

Anslag

2 562 2741

Utgiftsprognos

2 562 274

2026

Förslag

2 619 766

 

 

 

 

 

 

 

2027

Beräknat

2 655 2472

 

 

2028

Beräknat

2 702 9283

 

 

1Inklusive beslut om ändringar i statens budget 2025 och förslag till ändringar i samband med denna proposition.

2Motsvarar 2 622 730 tkr i 2026 års prisnivå.

3Motsvarar 2 627 590 tkr i 2026 års prisnivå.

Ändamål

Anslaget får användas för ersättning till universitetet för forskning och utbildning på forskarnivå.

Skälen för regeringens förslag

Tabell 5.22 Förändringar av anslagsnivån 2026–2028 för 2:4 Uppsala universitet: Forskning och utbildning på forskarnivå

Tusental kronor

 

2026

2027

2028

Anvisat 20251

2 535 797

2 535 797

2 535 797

Pris- och löneomräkning2

46 862

78 883

120 912

Beslutade, föreslagna och aviserade åtgärder

37 107

40 567

46 219

varav BP263

36 617

39 617

44 617

FoI-prop Särskilda satsningar

12 000

15 000

20 000

 

 

 

 

FoI-prop. Ökade anslag 2025

14 476

14 476

14 476

FoI-prop. Ökade anslag 2026

10 141

10 141

10 141

 

 

 

 

Överföring till/från andra anslag

 

 

 

 

 

 

 

Övrigt

 

 

 

Förslag/beräknat anslag

2 619 766

2 655 247

2 702 928

 

 

 

 

1Statens budget enligt riksdagens beslut i december 2024 (bet. 2024/25:FiU10). Beloppet är således exklusive beslut om ändringar i statens budget.

2Pris- och löneomräkningen baseras på anvisade medel 2025. Övriga förändringskomponenter redovisas i löpande priser och inkluderar därmed en pris- och löneomräkning. Pris- och löneomräkningen för 2027–2028 är preliminär.

3Exklusive pris- och löneomräkning.

Anslaget ökas med 14 476 000 kronor samt 10 141 000 kronor till följd av fördelning av den ökning av universitets och högskolors anslag för forskning och utbildning på forskarnivå som aviserades i forsknings- och innovationspropositionen 2024. Se tabell

5.11.Totalt innebär det en ökning om 24 617 000 kronor fr.o.m. 2026. I efterkommande avsnitt redovisas bara den totala ökningen. Med anledning av samma proposition ökas anslaget med 12 000 000 kronor 2026 och beräknas öka med

15 000 000 kronor 2027 och 20 000 000 kronor fr.o.m. 2028 till följd av fördelning av medel till särskilda satsningar. Se tabell 5.12.

Regeringen föreslår att 2 619 766 000 kronor anvisas under anslaget 2:4 Uppsala universitet: Forskning och utbildning på forskarnivå för 2026. För 2027 och 2028 beräknas anslaget till 2 655 247 000 kronor respektive 2 702 928 000 kronor.

150

Prop. 2025/26:1 Utgiftsområde 16

Bemyndigande om ekonomiska åtaganden

Regeringens förslag

Regeringen bemyndigas att under 2026–2028 för anslaget 2:4 Uppsala universitet: Forskning och utbildning på forskarnivå besluta om en årlig medlemsavgift till en kunskaps- och innovationsplattform inom råvaror under Europeiska institutet för innovation och teknik (EIT Raw Materials) på högst 380 000 kronor.

Regeringen bemyndigas att under 2026–2028 för anslaget 2:4 Uppsala universitet: Forskning och utbildning på forskarnivå besluta om en årlig medlemsavgift till Centre Européen de Calcul Atomique et Moléculaire (CECAM) på högst 380 000 kronor.

Skälen för regeringens förslag

Sedan 2015 är Uppsala universitet medlem i EIT Raw Materials (prop. 2022/23:1 utg.omr. 16, bet. 2022/23:UbU1, rskr. 2022/23:108). Eftersom verksamheten kommer att fortsätta bedrivas bör regeringens bemyndigande att besluta om medlemsavgift i EIT Raw Materials förlängas. Regeringen bör därför bemyndigas att under 2026–2028 för anslaget 2:4 Uppsala universitet: Forskning och utbildning på forskarnivå besluta om en årlig medlemsavgift på högst 380 000 kronor.

Sedan 2016 är Uppsala universitet medlem i Centre Européen de Calcul Atomique et Moléculaire (CECAM) (prop. 2022/23:1 utg.omr. 16, bet. 2022/23:UbU1, rskr. 2022/23:108) Eftersom verksamheten kommer att fortsätta bedrivas bör regeringens bemyndigande att besluta om medlemsavgift i CECAM förlängas. Regeringen bör därför bemyndigas att under 2026–2028 för anslaget 2:4 Uppsala universitet: Forskning och utbildning på forskarnivå besluta om en årlig medlemsavgift på högst 380 000 kronor.

5.8.52:5 Lunds universitet: Utbildning på grundnivå och avancerad nivå

Tabell 5.23 Anslagsutveckling 2:5 Lunds universitet: Utbildning på grundnivå och avancerad nivå

Tusental kronor

2024

Utfall

2 457 847

Anslagssparande

 

 

 

 

 

 

2025

Anslag

2 533 8791

Utgiftsprognos

2 533 879

2026

Förslag

2 572 678

 

 

2027

Beräknat

2 631 6022

 

 

2028

Beräknat

2 681 2363

 

 

1Inklusive beslut om ändringar i statens budget 2025 och förslag till ändringar i samband med denna proposition.

2Motsvarar 2 599 374 tkr i 2026 års prisnivå.

3Motsvarar 2 606 503 tkr i 2026 års prisnivå.

Ändamål

Anslaget får användas för ersättning till universitetet för högskoleutbildning på grundnivå och avancerad nivå samt behörighetsgivande och högskoleintroducerande utbildning.

151

Prop. 2025/26:1 Utgiftsområde 16

Skälen för regeringens förslag

Tabell 5.24 Förändringar av anslagsnivån 2026–2028 för 2:5 Lunds universitet: Utbildning på grundnivå och avancerad nivå

Tusental kronor

 

2026

2027

2028

Anvisat 20251

2 533 879

2 533 879

2 533 879

Pris- och löneomräkning2

46 827

78 824

120 821

Beslutade, föreslagna och aviserade åtgärder

-8 028

18 899

26 536

 

 

 

 

Överföring till/från andra anslag

 

 

 

 

 

 

 

Övrigt

 

 

 

 

 

 

 

Förslag/beräknat anslag

2 572 678

2 631 602

2 681 236

 

 

 

 

1Statens budget enligt riksdagens beslut i december 2024 (bet. 2024/25:FiU10). Beloppet är således exklusive beslut om ändringar i statens budget.

2Pris- och löneomräkningen baseras på anvisade medel 2025. Övriga förändringskomponenter redovisas i löpande priser och inkluderar därmed en pris- och löneomräkning. Pris- och löneomräkningen för 2027–2028 är preliminär.

Regeringen föreslår att 2 572 678 000 kronor anvisas under anslaget 2:5 Lunds universitet: Utbildning på grundnivå och avancerad nivå för 2026. För 2027 och 2028 beräknas anslaget till 2 631 602 000 kronor respektive 2 681 236 000 kronor.

5.8.62:6 Lunds universitet: Forskning och utbildning på forskarnivå

Tabell 5.25 Anslagsutveckling 2:6 Lunds universitet: Forskning och utbildning på forskarnivå

Tusental kronor

2024

Utfall

2 554 257

Anslagssparande

 

2025

Anslag

2 671 7341

Utgiftsprognos

2 671 734

2026

Förslag

2 748 425

 

 

 

 

 

 

 

2027

Beräknat

2 785 5012

 

 

2028

Beräknat

2 835 2763

 

 

1Inklusive beslut om ändringar i statens budget 2025 och förslag till ändringar i samband med denna proposition.

2Motsvarar 2 751 389 tkr i 2026 års prisnivå.

3Motsvarar 2 756 249 tkr i 2026 års prisnivå.

Ändamål

Anslaget får användas för ersättning till universitetet för forskning och utbildning på forskarnivå.

Skälen för regeringens förslag

Tabell 5.26 Förändringar av anslagsnivån 2026–2028 för 2:6 Lunds universitet: Forskning och utbildning på forskarnivå

Tusental kronor

 

2026

2027

2028

Anvisat 20251

2 642 263

2 642 263

2 642 263

Pris- och löneomräkning2

48 830

82 195

125 989

Beslutade, föreslagna och aviserade åtgärder

57 332

61 043

67 024

 

 

 

 

varav BP263

56 787

59 787

64 787

FoI-prop Särskilda satsningar

12 000

15 000

20 000

 

 

 

 

FoI-prop. Ökade anslag 2025

17 473

17 473

17 473

 

 

 

 

152

Prop. 2025/26:1 Utgiftsområde 16

 

2026

2027

2028

FoI-prop. Ökade anslag 2026

27 314

27 314

27 314

 

 

 

 

Överföring till/från andra anslag

 

 

 

 

 

 

 

Övrigt

 

 

 

Förslag/beräknat anslag

2 748 425

2 785 501

2 835 276

 

 

 

 

1Statens budget enligt riksdagens beslut i december 2024 (bet. 2024/25:FiU10). Beloppet är således exklusive beslut om ändringar i statens budget.

2Pris- och löneomräkningen baseras på anvisade medel 2025. Övriga förändringskomponenter redovisas i löpande priser och inkluderar därmed en pris- och löneomräkning. Pris- och löneomräkningen för 2027–2028 är preliminär.

3Exklusive pris- och löneomräkning.

Anslaget ökas med 44 787 000 kronor fr.o.m. 2026 till följd av fördelning av den ökning av universitets och högskolors anslag för forskning och utbildning på forskarnivå som aviserades i forsknings- och innovationspropositionen 2024. Se tabell

5.11.Med anledning av samma proposition ökas anslaget med 12 000 000 kronor

2026 och beräknas öka med 15 000 000 kronor 2027 och med 20 000 000 kronor fr.o.m. 2028 till följd av fördelning av medel till särskilda satsningar. Se tabell 5.12.

Regeringen föreslår att 2 748 425 000 kronor anvisas under anslaget 2:6 Lunds universitet: Forskning och utbildning på forskarnivå för 2026. För 2027 och 2028 beräknas anslaget till 2 785 501 000 kronor respektive 2 835 276 000 kronor.

Bemyndigande om ekonomiska åtaganden

Regeringens förslag

Regeringen bemyndigas att under 2026–2028 för anslaget 2:6 Lunds universitet: Forskning och utbildning på forskarnivå besluta om en årlig medlemsavgift till en kunskaps- och innovationsplattform inom klimatområdet under Europeiska institutet för innovation och teknik (EIT Climate-KIC) på högst 150 000 kronor.

Regeringen bemyndigas att under 2026–2028 för anslaget 2:6 Lunds universitet: Forskning och utbildning på forskarnivå besluta om en årlig medlemsavgift till en kunskaps- och innovationsplattform inom livsmedel under Europeiska institutet för innovation och teknik (EIT Foods) på högst 1 200 000 kronor.

Skälen för regeringens förslag

Sedan 2020 är Lunds universitet medlem i EIT Climate-KIC (prop. 2019/20:99 utg.omr. 16, bet. 2019/20:FiU21, rskr. 2019/20:340). Eftersom verksamheten kommer att fortsätta bedrivas bör regeringens bemyndigande att besluta om medlemsavgift EIT Climate-KIC förlängas. Regeringen bör därför bemyndigas att under 2026–2028 för anslaget 2:6 Lunds universitet: Forskning och utbildning på forskarnivå besluta om en årlig medlemsavgift på högst 150 000 kronor.

Sedan 2019 är Lunds universitet medlem i EIT Foods (prop. 2018/19:99 utg.omr. 16, bet. 2018/19:FiU21, rskr. 2018/19:288). Eftersom verksamheten kommer att fortsätta bedrivas bör regeringens bemyndigande att besluta om medlemsavgift i EIT Foods förlängas. Regeringen bör därför bemyndigas att under 2026–2028 för anslaget 2:6 Lunds universitet: Forskning och utbildning på forskarnivå besluta om en årlig medlemsavgift på högst 1 200 000 kronor.

153

Prop. 2025/26:1 Utgiftsområde 16

5.8.72:7 Göteborgs universitet: Utbildning på grundnivå och avancerad nivå

Tabell 5.27 Anslagsutveckling 2:7 Göteborgs universitet: Utbildning på grundnivå och avancerad nivå

Tusental kronor

2024

Utfall

2 455 086 Anslagssparande

 

 

 

 

 

2025

Anslag

Utgiftsprognos

2 510

 

 

2 510 0041

004

2026

Förslag

2 543 214

 

 

 

 

 

2027

Beräknat

2 591 7432

 

2028

Beräknat

2 633 4033

 

1Inklusive beslut om ändringar i statens budget 2025 och förslag till ändringar i samband med denna proposition.

2Motsvarar 2 560 003 tkr i 2026 års prisnivå.

3Motsvarar 2 560 003 tkr i 2026 års prisnivå.

Ändamål

Anslaget får användas för ersättning till universitetet för högskoleutbildning på grundnivå och avancerad nivå samt behörighetsgivande och högskoleintroducerande utbildning.

Skälen för regeringens förslag

Tabell 5.28 Förändringar av anslagsnivån 2026–2028 för 2:7 Göteborgs universitet: Utbildning på grundnivå och avancerad nivå

Tusental kronor

 

2026

2027

2028

Anvisat 20251

2 510 004

2 510 004

2 510 004

Pris- och löneomräkning2

46 386

78 081

119 683

Beslutade, föreslagna och aviserade åtgärder

-13 176

3 658

3 716

Överföring till/från andra anslag

 

 

 

 

 

 

 

Övrigt

 

 

 

 

 

 

 

Förslag/beräknat anslag

2 543 214

2 591 743

2 633 403

 

 

 

 

1Statens budget enligt riksdagens beslut i december 2024 (bet. 2024/25:FiU10). Beloppet är således exklusive beslut om ändringar i statens budget.

2Pris- och löneomräkningen baseras på anvisade medel 2025. Övriga förändringskomponenter redovisas i löpande priser och inkluderar därmed en pris- och löneomräkning. Pris- och löneomräkningen för 2027–2028 är preliminär.

Regeringen föreslår att 2 543 214 000 kronor anvisas under anslaget 2:7 Göteborgs universitet: Utbildning på grundnivå och avancerad nivå för 2026. För 2027 och 2028 beräknas anslaget till 2 591 743 000 kronor respektive 2 633 403 000 kronor.

Bemyndigande om ekonomiska åtaganden

Regeringens förslag

Riksdagen godkänner att regeringen under 2026 beslutar om medlemskap i den belgiska juridiska personen EUTOPIA internationale vereniging zondeer winstoogmerk (EUTOPIA IVZW) och bemyndigar regeringen att under 2026–2035 för anslagen 2:7 Göteborgs universitet: Utbildning på grundnivå och avancerad nivå respektive 2:8 Göteborgs universitet: Forskning och utbildning på forskarnivå besluta om en årlig medlemsavgift för universitetet på högst 1 000 000 kronor.

154

Prop. 2025/26:1 Utgiftsområde 16

Skälen för regeringens förslag

EU-initiativet om Europauniversitet är viktigt för högre utbildning i Europa. Europauniversitet innebär att universitet och högskolor i olika europeiska länder samarbetar, bl.a. för att öka mobiliteten för studenter och anställda, erbjuda gemensamma utbildningsprogram och bidra till stärkt kvalitet i utbildning och forskning. Göteborgs universitet är medlem i Europauniversitetet EUTOPIA. För att universitet ska kunna delta i EUTOPIA på ett fullvärdigt och effektivt sätt behöver det kunna ingå som medlem i den juridiska personen EUTOPIA IVZW som driver och stödjer frågor av intresse för europauniversitetet samt betala den årliga medlems- avgiften som fastställts i stadgarna för EUTOPIA IVZW. Eftersom samarbetet kan avse både utbildning och forskning bedömer regeringen att avgiften kan komma att belasta såväl universitetets anslag för utbildning på grundnivå och avancerad nivå som anslaget för forskning och utbildning på forskarnivå. Den totala avgiften som belastar Göteborgs universitets båda anslag ska dock inte överstiga 1 000 000 kronor årligen.

Riksdagen bör därför godkänna att regeringen under 2026 beslutar om medlemskap i EUTOPIA IVZW och bemyndiga regeringen att under 2026–2035 för anslagen 2:7 Göteborgs universitet: Utbildning på grundnivå och avancerad nivå respektive 2:8 Göteborgs universitet: Forskning och utbildning på forskarnivå besluta om en årlig medlemsavgift för universitetet på högst 1 000 000 kronor.

5.8.82:8 Göteborgs universitet: Forskning och utbildning på forskarnivå

Tabell 5.29 Anslagsutveckling 2:8 Göteborgs universitet: Forskning och utbildning på forskarnivå

Tusental kronor

2024

Utfall

1 819 634

Anslagssparande

 

2025

Anslag

1 894 6771

Utgiftsprognos

1 894 677

2026

Förslag

1 941 779

 

 

 

 

 

 

 

2027

Beräknat

1 965 8542

 

 

2028

Beräknat

1 997 4533

 

 

1Inklusive beslut om ändringar i statens budget 2025 och förslag till ändringar i samband med denna proposition.

2Motsvarar 1 941 779 tkr i 2026 års prisnivå.

3Motsvarar 1 941 779 tkr i 2026 års prisnivå.

Ändamål

Anslaget får användas för ersättning till universitetet för forskning och utbildning på forskarnivå.

Skälen för regeringens förslag

Tabell 5.30 Förändringar av anslagsnivån 2026–2028 för 2:8 Göteborgs universitet: Forskning och utbildning på forskarnivå

Tusental kronor

 

2026

2027

2028

Anvisat 20251

1 882 329

1 882 329

1 882 329

Pris- och löneomräkning2

34 786

58 555

89 753

Beslutade, föreslagna och aviserade åtgärder

24 664

24 970

25 371

 

 

 

 

varav BP263

24 436

24 436

24 436

FoI-prop. Ökade anslag 2025

12 348

12 348

12 348

 

 

 

 

FoI-prop. Ökade anslag 2026

12 088

12 088

12 088

 

 

 

 

155

Prop. 2025/26:1 Utgiftsområde 16

202620272028

Överföring till/från andra anslag

Övrigt

Förslag/beräknat anslag

1 941 779

1 965 854

1 997 453

 

 

 

 

1Statens budget enligt riksdagens beslut i december 2024 (bet. 2024/25:FiU10). Beloppet är således exklusive beslut om ändringar i statens budget.

2Pris- och löneomräkningen baseras på anvisade medel 2025. Övriga förändringskomponenter redovisas i löpande priser och inkluderar därmed en pris- och löneomräkning. Pris- och löneomräkningen för 2027–2028 är preliminär.

3Exklusive pris- och löneomräkning.

Anslaget ökas med 24 436 000 kronor fr.o.m. 2026 till följd av fördelning av den ökning av universitets och högskolors anslag för forskning och utbildning på forskarnivå som aviserades i forsknings- och innovationspropositionen 2024. Se tabell 5.11.

Regeringen föreslår att 1 941 779 000 kronor anvisas under anslaget 2:8 Göteborgs universitet: Forskning och utbildning på forskarnivå för 2026. För 2027 och 2028 beräknas anslaget till 1 965 854 000 kronor respektive 1 997 453 000 kronor.

5.8.92:9 Stockholms universitet: Utbildning på grundnivå och avancerad nivå

Tabell 5.31 Anslagsutveckling 2:9 Stockholms universitet: Utbildning på grundnivå och avancerad nivå

Tusental kronor

2024

Utfall

2 061 373

Anslagssparande

150 797

 

 

 

 

 

2025

Anslag

2 069 5221

Utgiftsprognos

2 055 100

2026

Förslag

2 091 947

 

 

2027

Beräknat

2 110 7482

 

 

2028

Beräknat

2 136 9063

 

 

1Inklusive beslut om ändringar i statens budget 2025 och förslag till ändringar i samband med denna proposition.

2Motsvarar 2 084 899 tkr i 2026 års prisnivå.

3Motsvarar 2 077 345 tkr i 2026 års prisnivå.

Ändamål

Anslaget får användas för ersättning till universitetet för högskoleutbildning på grundnivå och avancerad nivå samt behörighetsgivande och högskoleintroducerande utbildning.

Skälen för regeringens förslag

Tabell 5.32 Förändringar av anslagsnivån 2026–2028 för 2:9 Stockholms universitet: Utbildning på grundnivå och avancerad nivå

Tusental kronor

 

2026

2027

2028

Anvisat 20251

2 069 522

2 069 522

2 069 522

Pris- och löneomräkning2

38 245

64 377

98 678

Beslutade, föreslagna och aviserade åtgärder

-15 820

-23 151

-24 005

 

 

 

 

Överföring till/från andra anslag

 

 

-7 289

 

 

 

 

Övrigt

 

 

 

Förslag/beräknat anslag

2 091 947

2 110 748

2 136 906

 

 

 

 

156

Prop. 2025/26:1 Utgiftsområde 16

1Statens budget enligt riksdagens beslut i december 2024 (bet. 2024/25:FiU10). Beloppet är således exklusive beslut om ändringar i statens budget.

2Pris- och löneomräkningen baseras på anvisade medel 2025. Övriga förändringskomponenter redovisas i löpande priser och inkluderar därmed en pris- och löneomräkning. Pris- och löneomräkningen för 2027–2028 är preliminär.

Regeringen föreslår att 2 091 947 000 kronor anvisas under anslaget 2:9 Stockholms universitet: Utbildning på grundnivå och avancerad nivå för 2026. För 2027 och 2028 beräknas anslaget till 2 110 748 000 kronor respektive 2 136 906 00 kronor.

5.8.102:10 Stockholms universitet: Forskning och utbildning på forskarnivå

Tabell 5.33 Anslagsutveckling 2:10 Stockholms universitet: Forskning och utbildning på forskarnivå

Tusental kronor

2024

Utfall

1 856 651

Anslagssparande

 

2025

Anslag

1 939 5091

Utgiftsprognos

1 939 509

2026

Förslag

1 978 453

 

 

 

 

 

 

 

2027

Beräknat

2 002 9822

 

 

2028

Beräknat

2 035 1793

 

 

1Inklusive beslut om ändringar i statens budget 2025 och förslag till ändringar i samband med denna proposition.

2Motsvarar 1 978 453 tkr i 2026 års prisnivå.

3Motsvarar 1 978 453 tkr i 2026 års prisnivå.

Ändamål

Anslaget får användas för ersättning till universitetet för forskning och utbildning på forskarnivå.

Skälen för regeringens förslag

Tabell 5.34 Förändringar av anslagsnivån 2026–2028 för 2:10 Stockholms universitet: Forskning och utbildning på forskarnivå

Tusental kronor

 

2026

2027

2028

Anvisat 20251

1 920 621

1 920 621

1 920 621

Pris- och löneomräkning2

35 494

59 746

91 580

Beslutade, föreslagna och aviserade åtgärder

22 338

22 615

22 978

varav BP263

21 989

21 989

21 989

FoI-prop Särskilda satsningar

8 000

8 000

8 000

 

 

 

 

FoI-prop. Ökade anslag 2025

10 888

10 888

10 888

FoI-prop. Ökade anslag 2026

3 101

3 101

3 101

 

 

 

 

Överföring till/från andra anslag

 

 

 

 

 

 

 

Övrigt

 

 

 

Förslag/beräknat anslag

1 978 453

2 002 982

2 035 179

 

 

 

 

1Statens budget enligt riksdagens beslut i december 2024 (bet. 2024/25:FiU10). Beloppet är således exklusive beslut om ändringar i statens budget.

2Pris- och löneomräkningen baseras på anvisade medel 2025. Övriga förändringskomponenter redovisas i löpande priser och inkluderar därmed en pris- och löneomräkning. Pris- och löneomräkningen för 2027–2028 är preliminär.

3Exklusive pris- och löneomräkning.

Anslaget ökas med 13 989 000 kronor fr.o.m. 2026 till följd av fördelning av den ökning av universitets och högskolors anslag för forskning och utbildning på forskarnivå som aviserades i forsknings- och innovationspropositionen 2024. Se tabell

157

Prop. 2025/26:1 Utgiftsområde 16

5.11.Med anledning av samma proposition ökas anslaget med 8 000 000 kronor fr.o.m. 2026 till följd av fördelning av medel till särskilda satsningar. Se tabell 5.12.

Regeringen föreslår att 1 978 453 000 kronor anvisas under anslaget 2:10 Stockholms universitet: Forskning och utbildning på forskarnivå för 2026. För 2027 och 2028 beräknas anslaget till 2 002 982 000 kronor respektive 2 035 179 000 kronor.

5.8.112:11 Umeå universitet: Utbildning på grundnivå och avancerad nivå

Tabell 5.35 Anslagsutveckling 2:11 Umeå universitet: Utbildning på grundnivå och avancerad nivå

Tusental kronor

2024

Utfall

1 611 483

Anslagssparande

179 545

 

 

 

 

 

2025

Anslag

1 680 9691

Utgiftsprognos

1 697 426

2026

Förslag

1 694 535

 

 

 

 

 

 

 

2027

Beräknat

1 727 2442

 

 

2028

Beräknat

1 755 0093

 

 

1Inklusive beslut om ändringar i statens budget 2025 och förslag till ändringar i samband med denna proposition.

2Motsvarar 1 706 091 tkr i 2026 års prisnivå.

3Motsvarar 1 706 092 tkr i 2026 års prisnivå.

Ändamål

Anslaget får användas för ersättning till universitetet för högskoleutbildning på grundnivå och avancerad nivå samt behörighetsgivande och högskoleintroducerande utbildning.

Skälen för regeringens förslag

Tabell 5.36 Förändringar av anslagsnivån 2026–2028 för 2:11 Umeå universitet: Utbildning på grundnivå och avancerad nivå

Tusental kronor

 

2026

2027

2028

Anvisat 20251

1 680 969

1 680 969

1 680 969

Pris- och löneomräkning2

31 065

52 291

80 153

Beslutade, föreslagna och aviserade åtgärder

-17 499

-6 016

-6 113

 

 

 

 

Överföring till/från andra anslag

 

 

 

 

 

 

 

Övrigt

 

 

 

 

 

 

 

Förslag/beräknat anslag

1 694 535

1 727 244

1 755 009

 

 

 

 

1Statens budget enligt riksdagens beslut i december 2024 (bet. 2024/25:FiU10). Beloppet är således exklusive beslut om ändringar i statens budget.

2Pris- och löneomräkningen baseras på anvisade medel 2025. Övriga förändringskomponenter redovisas i löpande priser och inkluderar därmed en pris- och löneomräkning. Pris- och löneomräkningen för 2027–2028 är preliminär.

Regeringen föreslår att 1 694 535 000 kronor anvisas under anslaget 2:11 Umeå universitet: Utbildning på grundnivå och avancerad nivå för 2026. För 2027 och 2028 beräknas anslaget till 1 727 244 000 kronor respektive 1 755 009 000 kronor.

158

Prop. 2025/26:1 Utgiftsområde 16

5.8.122:12 Umeå universitet: Forskning och utbildning på forskarnivå

Tabell 5.37 Anslagsutveckling 2:12 Umeå universitet: Forskning och utbildning på forskarnivå

Tusental kronor

2024

Utfall

1 285 682

Anslagssparande

 

 

 

 

 

 

2025

Anslag

1 335 8011

Utgiftsprognos

1 335 801

2026

Förslag

1 349 615

 

 

 

 

 

 

 

2027

Beräknat

1 366 3482

 

 

2028

Beräknat

1 388 3113

 

 

1Inklusive beslut om ändringar i statens budget 2025 och förslag till ändringar i samband med denna proposition.

2Motsvarar 1 349 615 tkr i 2026 års prisnivå.

3Motsvarar 1 349 615 tkr i 2026 års prisnivå.

Ändamål

Anslaget får användas för ersättning till universitetet för forskning och utbildning på forskarnivå.

Skälen för regeringens förslag

Tabell 5.38 Förändringar av anslagsnivån 2026–2028 för 2:12 Umeå universitet: Forskning och utbildning på forskarnivå

Tusental kronor

 

2026

2027

2028

Anvisat 20251

1 329 980

1 329 980

1 329 980

Pris- och löneomräkning2

24 578

41 372

63 416

Beslutade, föreslagna och aviserade åtgärder

-4 943

-5 004

-5 085

varav BP263

-5 051

-5 051

-5 051

FoI-prop. Ökade anslag 2025

5 821

5 821

5 821

 

 

 

 

FoI-prop. Ökade anslag 2026

-10 872

-10 872

-10 872

Överföring till/från andra anslag

 

 

 

 

 

 

 

Övrigt

 

 

 

 

 

 

 

Förslag/beräknat anslag

1 349 615

1 366 348

1 388 311

1Statens budget enligt riksdagens beslut i december 2024 (bet. 2024/25:FiU10). Beloppet är således exklusive beslut om ändringar i statens budget.

2Pris- och löneomräkningen baseras på anvisade medel 2025. Övriga förändringskomponenter redovisas i löpande priser och inkluderar därmed en pris- och löneomräkning. Pris- och löneomräkningen för 2027–2028 är preliminär.

3Exklusive pris- och löneomräkning.

Anslaget minskas med 5 051 000 kronor fr.o.m. 2026 till följd av fördelning av den ökning av universitets och högskolors anslag för forskning och utbildning på forskarnivå som aviserades i forsknings- och innovationspropositionen 2024. Se tabell 5.11.

Regeringen föreslår att 1 349 615 000 kronor anvisas under anslaget 2:12 Umeå universitet: Forskning och utbildning på forskarnivå för 2026. För 2027 och 2028 beräknas anslaget till 1 366 348 000 kronor respektive 1 388 311 000 kronor.

159

Prop. 2025/26:1 Utgiftsområde 16

5.8.132:13 Linköpings universitet: Utbildning på grundnivå och avancerad nivå

Tabell 5.39 Anslagsutveckling 2:13 Linköpings universitet: Utbildning på grundnivå och avancerad nivå

Tusental kronor

2024

Utfall

1 813 789

Anslagssparande

173 036

 

 

 

 

 

2025

Anslag

1 860 0651

Utgiftsprognos

1 870 314

2026

Förslag

1 895 241

 

 

 

 

 

 

 

2027

Beräknat

1 934 4222

 

 

2028

Beräknat

1 956 1763

 

 

1Inklusive beslut om ändringar i statens budget 2025 och förslag till ändringar i samband med denna proposition.

2Motsvarar 1 910 732 tkr i 2026 års prisnivå.

3Motsvarar 1 901 652 tkr i 2026 års prisnivå.

Ändamål

Anslaget får användas för ersättning till universitetet för högskoleutbildning på grundnivå och avancerad nivå samt behörighetsgivande och högskoleintroducerande utbildning.

Skälen för regeringens förslag

Tabell 5.40 Förändringar av anslagsnivån 2026–2028 för 2:13 Linköpings universitet: Utbildning på grundnivå och avancerad nivå

Tusental kronor

 

2026

2027

2028

Anvisat 20251

1 860 065

1 860 065

1 860 065

Pris- och löneomräkning2

34 375

57 863

88 692

Beslutade, föreslagna och aviserade åtgärder

801

16 494

16 229

 

 

 

 

Överföring till/från andra anslag

 

 

-8 810

 

 

 

 

Övrigt

 

 

 

 

 

 

 

Förslag/beräknat anslag

1 895 241

1 934 422

1 956 176

 

 

 

 

1Statens budget enligt riksdagens beslut i december 2024 (bet. 2024/25:FiU10). Beloppet är således exklusive beslut om ändringar i statens budget.

2Pris- och löneomräkningen baseras på anvisade medel 2025. Övriga förändringskomponenter redovisas i löpande priser och inkluderar därmed en pris- och löneomräkning. Pris- och löneomräkningen för 2027–2028 är preliminär.

Regeringen föreslår att 1 895 241 000 kronor anvisas under anslaget 2:13 Linköpings universitet: Utbildning på grundnivå och avancerad nivå för 2026. För 2027 och 2028 beräknas anslaget till 1 934 422 000 kronor respektive 1 956 176 000 kronor.

160

Prop. 2025/26:1 Utgiftsområde 16

5.8.142:14 Linköpings universitet: Forskning och utbildning på forskarnivå

Tabell 5.41 Anslagsutveckling 2:14 Linköpings universitet: Forskning och utbildning på forskarnivå

Tusental kronor

2024

Utfall

1 113 565

Anslagssparande

 

 

 

 

 

 

2025

Anslag

1 159 6391

Utgiftsprognos

1 159 639

2026

Förslag

1 199 667

 

 

 

 

 

 

 

2027

Beräknat

1 214 5412

 

 

2028

Beräknat

1 234 0643

 

 

1Inklusive beslut om ändringar i statens budget 2025 och förslag till ändringar i samband med denna proposition.

2Motsvarar 1 199 667 tkr i 2026 års prisnivå.

3Motsvarar 1 199 667 tkr i 2026 års prisnivå.

Ändamål

Anslaget får användas för ersättning till universitetet för forskning och utbildning på forskarnivå.

Skälen för regeringens förslag

Tabell 5.42 Förändringar av anslagsnivån 2026–2028 för 2:14 Linköpings universitet: Forskning och utbildning på forskarnivå

Tusental kronor

 

2026

2027

2028

Anvisat 20251

1 149 738

1 149 738

1 149 738

Pris- och löneomräkning2

21 247

35 765

54 822

Beslutade, föreslagna och aviserade åtgärder

28 682

29 038

29 504

varav BP263

28 499

28 499

28 499

FoI-prop Särskilda satsningar

2 500

2 500

2 500

 

 

 

 

FoI-prop. Ökade anslag 2025

7 401

7 401

7 401

FoI-prop. Ökade anslag 2026

18 598

18 598

18 598

 

 

 

 

Överföring till/från andra anslag

 

 

 

 

 

 

 

Övrigt

 

 

 

Förslag/beräknat anslag

1 199 667

1 214 541

1 234 064

 

 

 

 

1Statens budget enligt riksdagens beslut i december 2024 (bet. 2024/25:FiU10). Beloppet är således exklusive beslut om ändringar i statens budget.

2Pris- och löneomräkningen baseras på anvisade medel 2025. Övriga förändringskomponenter redovisas i löpande priser och inkluderar därmed en pris- och löneomräkning. Pris- och löneomräkningen för 2027–2028 är preliminär.

3Exklusive pris- och löneomräkning.

Anslaget ökas med 25 899 000 kronor fr.o.m. 2026 till följd av fördelning av den ökning av universitets och högskolors anslag för forskning och utbildning på forskarnivå som aviserades i forsknings- och innovationspropositionen 2024. Se tabell

5.11.Med anledning av samma proposition ökas anslaget med 2 500 000 kronor fr.o.m. 2026 till följd av fördelning av medel till särskilda satsningar. Se tabell 5.12.

Regeringen föreslår att 1 199 667 000 kronor anvisas under anslaget 2:14 Linköpings universitet: Forskning och utbildning på forskarnivå för 2026. För 2027 och 2028 beräknas anslaget till 1 214 541 000 kronor respektive 1 234 064 000 kronor.

161

Prop. 2025/26:1 Utgiftsområde 16

5.8.152:15 Karolinska institutet: Utbildning på grundnivå och avancerad nivå

Tabell 5.43 Anslagsutveckling 2:15 Karolinska institutet: Utbildning på grundnivå och avancerad nivå

Tusental kronor

2024

Utfall

819 117

Anslagssparande

81 419

 

 

 

 

 

2025

Anslag

849 8601

Utgiftsprognos

857 095

2026

Förslag

859 998

 

 

 

 

 

 

 

2027

Beräknat

897 9292

 

 

2028

Beräknat

912 3623

 

 

1Inklusive beslut om ändringar i statens budget 2025 och förslag till ändringar i samband med denna proposition.

2Motsvarar 886 933 tkr i 2026 års prisnivå.

3Motsvarar 886 932 tkr i 2026 års prisnivå.

Ändamål

Anslaget får användas för ersättning till universitetet för högskoleutbildning på grundnivå och avancerad nivå samt behörighetsgivande och högskoleintroducerande utbildning.

Skälen för regeringens förslag

Tabell 5.44 Förändringar av anslagsnivån 2026–2028 för 2:15 Karolinska institutet: Utbildning på grundnivå och avancerad nivå

Tusental kronor

 

2026

2027

2028

Anvisat 20251

849 860

849 860

849 860

Pris- och löneomräkning2

15 706

26 438

40 523

Beslutade, föreslagna och aviserade åtgärder

-5 568

21 631

21 979

 

 

 

 

Överföring till/från andra anslag

 

 

 

 

 

 

 

Övrigt

 

 

 

 

 

 

 

Förslag/beräknat anslag

859 998

897 929

912 362

 

 

 

 

1Statens budget enligt riksdagens beslut i december 2024 (bet. 2024/25:FiU10). Beloppet är således exklusive beslut om ändringar i statens budget.

2Pris- och löneomräkningen baseras på anvisade medel 2025. Övriga förändringskomponenter redovisas i löpande priser och inkluderar därmed en pris- och löneomräkning. Pris- och löneomräkningen för 2027–2028 är preliminär.

Regeringen föreslår att 859 998 000 kronor anvisas under anslaget 2:15 Karolinska institutet: Utbildning på grundnivå och avancerad nivå för 2026. För 2027 och 2028 beräknas anslaget till 897 929 000 kronor respektive 912 362 000 kronor.

162

Prop. 2025/26:1 Utgiftsområde 16

5.8.162:16 Karolinska institutet: Forskning och utbildning på forskarnivå

Tabell 5.45 Anslagsutveckling 2:16 Karolinska institutet: Forskning och utbildning på forskarnivå

Tusental kronor

2024

Utfall

1 825 779

Anslagssparande

 

 

 

 

 

 

2025

Anslag

1 902 9471

Utgiftsprognos

1 902 947

2026

Förslag

1 973 459

 

 

 

 

 

 

 

2027

Beräknat

1 997 9262

 

 

2028

Beräknat

2 030 0423

 

 

1Inklusive beslut om ändringar i statens budget 2025 och förslag till ändringar i samband med denna proposition.

2Motsvarar 1 973 459 tkr i 2026 års prisnivå.

3Motsvarar 1 973 459 tkr i 2026 års prisnivå.

Ändamål

Anslaget får användas för ersättning till universitetet för forskning och utbildning på forskarnivå.

Skälen för regeringens förslag

Tabell 5.46 Förändringar av anslagsnivån 2026–2028 för 2:16 Karolinska institutet: Forskning och utbildning på forskarnivå

Tusental kronor

 

2026

2027

2028

Anvisat 20251

1 888 686

1 888 686

1 888 686

Pris- och löneomräkning2

34 903

58 752

90 056

Beslutade, föreslagna och aviserade åtgärder

49 870

50 488

51 300

varav BP263

49 606

49 606

49 606

FoI-prop. Ökade anslag 2025

14 261

14 261

14 261

 

 

 

 

FoI-prop. Ökade anslag 2026

35 345

35 345

35 345

Överföring till/från andra anslag

 

 

 

 

 

 

 

Övrigt

 

 

 

 

 

 

 

Förslag/beräknat anslag

1 973 459

1 997 926

2 030 042

1Statens budget enligt riksdagens beslut i december 2024 (bet. 2024/25:FiU10). Beloppet är således exklusive beslut om ändringar i statens budget.

2Pris- och löneomräkningen baseras på anvisade medel 2025. Övriga förändringskomponenter redovisas i löpande priser och inkluderar därmed en pris- och löneomräkning. Pris- och löneomräkningen för 2027–2028 är preliminär.

3Exklusive pris- och löneomräkning.

Anslaget ökas med 49 606 000 kronor fr.o.m. 2026 till följd av fördelning av den ökning av universitets och högskolors anslag för forskning och utbildning på forskarnivå som aviserades i forsknings- och innovationspropositionen. 2024 Se tabell 5.11

Regeringen föreslår att 1 973 459 000 kronor anvisas under anslaget 2:16 Karolinska institutet: Forskning och utbildning på forskarnivå för 2026. För 2027 och 2028 beräknas anslaget till 1 997 926 000 kronor respektive 2 030 042 000 kronor.

163

Prop. 2025/26:1 Utgiftsområde 16

Bemyndigande om ekonomiska åtaganden

Regeringens förslag

Riksdagen godkänner att regeringen under 2026 beslutar om medlemskap i Science Business Bryssel och bemyndigar regeringen att under 2026–2028 för anslaget 2:16 Karolinska institutet: Forskning och utbildning på forskarnivå besluta om en årlig medlemsavgift på högst 200 000 kronor.

Skälen för regeringens förslag

Science Business Bryssel är en viktig, och för Karolinska institutet en relativt unik kanal som skapar värde genom att underlätta förståelsen för frågor rörande policy, finansiering, nyttiggörande och innovation inom EU. För att möjliggöra att Karolinska institutet blir medlem i Science Business Bryssel bör riksdagen godkänna att regeringen under 2026 beslutar om medlemskap i Science Business Bryssel och bemyndiga regeringen att under 2026–2028 för anslaget 2:16 Karolinska institutet: Forskning och utbildning på forskarnivå besluta om en årlig medlemsavgift på högst

200 000 kronor.

5.8.172:17 Kungl. Tekniska högskolan: Utbildning på grundnivå och avancerad nivå

Tabell 5.47 Anslagsutveckling 2:17 Kungl. Tekniska högskolan: Utbildning på grundnivå och avancerad nivå

Tusental kronor

2024

Utfall

1 444 212 Anslagssparande

73 059

2025

Anslag

Utgiftsprognos

1 478

 

 

1 415 7631

447

2026

Förslag

1 435 827

 

 

 

 

 

2027

Beräknat

1 448 3212

 

2028

Beräknat

1 469 3073

 

1Inklusive beslut om ändringar i statens budget 2025 och förslag till ändringar i samband med denna proposition.

2Motsvarar 1 430 584 tkr i 2026 års prisnivå.

3Motsvarar 1 428 353 tkr i 2026 års prisnivå.

Ändamål

Anslaget får användas för ersättning till universitetet för högskoleutbildning på grundnivå och avancerad nivå samt behörighetsgivande och högskoleintroducerande utbildning.

Skälen för regeringens förslag

Tabell 5.48 Förändringar av anslagsnivån 2026–2028 för 2:17 Kungl. Tekniska högskolan: Utbildning på grundnivå och avancerad nivå

Tusental kronor

 

2026

2027

2028

Anvisat 20251

1 415 763

1 415 763

1 415 763

Pris- och löneomräkning2

26 164

44 041

67 507

Beslutade, föreslagna och aviserade åtgärder

-6 100

-11 483

-11 813

Överföring till/från andra anslag

 

 

-2 150

 

 

 

 

Övrigt

 

 

 

 

 

 

 

164

Prop. 2025/26:1 Utgiftsområde 16

 

2026

2027

2028

Förslag/beräknat anslag

1 435 827

1 448 321

1 469 307

 

 

 

 

1Statens budget enligt riksdagens beslut i december 2024 (bet. 2024/25:FiU10). Beloppet är således exklusive beslut om ändringar i statens budget.

2Pris- och löneomräkningen baseras på anvisade medel 2025. Övriga förändringskomponenter redovisas i löpande priser och inkluderar därmed en pris- och löneomräkning. Pris- och löneomräkningen för 2027–2028 är preliminär.

Regeringen föreslår att 1 435 827 000 kronor anvisas under anslaget 2:17 Kungl. Tekniska högskolan: Utbildning på grundnivå och avancerad nivå för 2026. För 2027 och 2028 beräknas anslaget till 1 448 321 000 kronor respektive 1 469 307 000 kronor.

5.8.182:18 Kungl. Tekniska högskolan: Forskning och utbildning på forskarnivå

Tabell 5.49 Anslagsutveckling 2:18 Kungl. Tekniska högskolan: Forskning och utbildning på forskarnivå

Tusental kronor

2024

Utfall

1 944 253

Anslagssparande

 

 

 

 

 

 

2025

Anslag

2 122 6371

Utgiftsprognos

2 122 637

2026

Förslag

2 207 400

 

 

 

 

 

 

 

2027

Beräknat

2 242 7672

 

 

2028

Beräknat

2 283 8193

 

 

1Inklusive beslut om ändringar i statens budget 2025 och förslag till ändringar i samband med denna proposition.

2Motsvarar 2 215 301 tkr i 2026 års prisnivå.

3Motsvarar 2 220 163 tkr i 2026 års prisnivå.

Ändamål

Anslaget får användas för ersättning till universitetet för forskning och utbildning på forskarnivå.

Skälen för regeringens förslag

Tabell 5.50 Förändringar av anslagsnivån 2026–2028 för 2:18 Kungl. Tekniska högskolan: Forskning och utbildning på forskarnivå

Tusental kronor

 

2026

2027

2028

Anvisat 20251

2 011 242

2 011 242

2 011 242

Pris- och löneomräkning2

37 168

62 564

95 900

Beslutade, föreslagna och aviserade åtgärder

158 990

168 961

176 677

 

 

 

 

varav BP263

156 659

164 659

169 659

FoI-prop Särskilda satsningar

116 729

119 729

124 729

FoI-prop. Ökade anslag 2025

9 395

9 395

9 395

 

 

 

 

FoI-prop. Ökade anslag 2026

25 535

25 535

25 535

 

 

 

 

– Tillskott till forskningsverksamhet i Södertälje

5 000

10 000

10 000

 

 

 

 

Överföring till/från andra anslag

 

 

 

 

 

 

 

Övrigt

 

 

 

 

 

 

 

Förslag/beräknat anslag

2 207 400

2 242 767

2 283 819

 

 

 

 

165

Prop. 2025/26:1 Utgiftsområde 16

1Statens budget enligt riksdagens beslut i december 2024 (bet. 2024/25:FiU10). Beloppet är således exklusive beslut om ändringar i statens budget.

2Pris- och löneomräkningen baseras på anvisade medel 2025. Övriga förändringskomponenter redovisas i löpande priser och inkluderar därmed en pris- och löneomräkning. Pris- och löneomräkningen för 2027–2028 är preliminär.

3Exklusive pris- och löneomräkning.

Anslaget ökas med 34 927 000 kronor fr.o.m. 2026 till följd av fördelning av den ökning av universitets och högskolors anslag för forskning och utbildning på forskarnivå som aviserades i forsknings- och innovationspropositionen 2024. Se tabell

5.11.Med anledning av samma proposition ökas anslaget med 116 729 000 kronor

2026 och beräknas öka med 119 729 000 kronor 2027 och med 124 729 000 kronor fr.o.m. 2028 till följd av fördelning av medel till särskilda satsningar. Se tabell 5.12. Anslaget ökas med 5 000 000 kronor 2026 för en tillfällig förstärkning av universitetets forskningsverksamhet i Södertälje. För 2027 och 2028 beräknas anslaget öka med 10 000 000 årligen för detta ändamål. Anslaget beräknas minska med motsvarande belopp fr.o.m. 2029 då den tillfälliga förstärkningen upphör.

Regeringen föreslår att 2 207 400 000 kronor anvisas under anslaget 2:18 Kungl. Tekniska högskolan: Forskning och utbildning på forskarnivå för 2026. För 2027 och 2028 beräknas anslaget till 2 242 767 000 kronor respektive 2 283 819 000 kronor.

Bemyndigande om ekonomiska åtaganden

Regeringens förslag

Regeringen bemyndigas att under 2026–2028 för anslaget 2:18 Kungl. Tekniska högskolan: Forskning och utbildning på forskarnivå besluta om en årlig medlemsavgift till en kunskaps- och innovationsplattform inom råvaror under Europeiska institutet för innovation och teknik (EIT Raw Materials) på högst 380 000 kronor.

Regeringen bemyndigas att under 2026–2028 för anslaget 2:18 Kungl. Tekniska högskolan: Forskning och utbildning på forskarnivå besluta om en årlig medlemsavgift till en kunskaps- och innovationsplattform inom hälsa under Europeiska institutet för innovation och teknik (EIT Health) på högst 320 000 kronor.

Regeringen bemyndigas att under 2026–2028 för anslaget 2:18 Kungl. Tekniska högskolan: Forskning och utbildning på forskarnivå besluta om en årlig medlemsavgift till en kunskaps- och innovationsplattform inom it-området under Europeiska institutet för innovation och teknik (EIT Digital) på högst 420 000 kronor.

Skälen för regeringens förslag

Sedan 2015 är Kungl. Tekniska högskolan medlem i EIT Raw Materials (prop. 2022/23:1 utg.omr. 16, bet. 2022/23:UbU1, rskr. 2022/23:108). Eftersom verksamheten kommer att fortsätta bedrivas bör regeringens bemyndigande att besluta om medlemsavgift i EIT Raw Materials förlängas. Regeringen bör därför bemyndigas att under 2026–2028 för anslaget 2:18 Kungl. Tekniska högskolan: Forskning och utbildning på forskarnivå besluta om en årlig medlemsavgift på högst 380 000 kronor.

Sedan 2015 är Kungl. Tekniska högskolan medlem i EIT Health (prop. 2022/23:1 utg.omr. 16, bet. 2022/23:UbU1, rskr. 2022/23:108). Eftersom verksamheten kommer att fortsätta bedrivas bör regeringens bemyndigande att besluta om medlemsavgift i EIT Health förlängas. Regeringen bör därför bemyndigas att under 2026–2028 för anslaget 2:18 Kungl. Tekniska högskolan: Forskning och utbildning på forskarnivå besluta om en årlig medlemsavgift på högst 320 000 kronor.

166

Prop. 2025/26:1 Utgiftsområde 16

Sedan 2017 är Kungl. Tekniska högskolan medlem i EIT Digital (prop. 2022/23:1 utg.omr. 16, bet. 2022/23:UbU1, rskr. 2022/23:108). Eftersom verksamheten kommer att fortsätta bedrivas bör regeringens bemyndigande att besluta om medlemsavgift i EIT Digital förlängas. Regeringen bör därför bemyndigas att under 2026–2028 för anslaget 2:18 Kungl. Tekniska högskolan: Forskning och utbildning på forskarnivå besluta om en årlig medlemsavgift på högst 420 000 kronor.

5.8.192:19 Luleå tekniska universitet: Utbildning på grundnivå och avancerad nivå

Tabell 5.51 Anslagsutveckling 2:19 Luleå tekniska universitet: Utbildning på grundnivå och avancerad nivå

Tusental kronor

2024

Utfall

736 554

Anslagssparande

131 008

2025

Anslag

815 9361

Utgiftsprognos

777 512

2026

Förslag

832 619

 

 

 

 

 

 

 

2027

Beräknat

842 9432

 

 

2028

Beräknat

854 3253

 

 

1Inklusive beslut om ändringar i statens budget 2025 och förslag till ändringar i samband med denna proposition.

2Motsvarar 832 620 tkr i 2026 års prisnivå.

3Motsvarar 830 513 tkr i 2026 års prisnivå.

Ändamål

Anslaget får användas för ersättning till universitetet för högskoleutbildning på grundnivå och avancerad nivå samt behörighetsgivande och högskoleintroducerande utbildning.

Skälen för regeringens förslag

Tabell 5.52 Förändringar av anslagsnivån 2026–2028 för 2:19 Luleå tekniska universitet: Utbildning på grundnivå och avancerad nivå

Tusental kronor

 

2026

2027

2028

 

 

 

 

Anvisat 20251

815 936

815 936

815 936

Pris- och löneomräkning2

15 079

25 383

38 906

Beslutade, föreslagna och aviserade åtgärder

1 604

1 624

-517

 

 

 

 

Överföring till/från andra anslag

 

 

 

 

 

 

 

Övrigt

 

 

 

 

 

 

 

Förslag/beräknat anslag

832 619

842 943

854 325

 

 

 

 

1Statens budget enligt riksdagens beslut i december 2024 (bet. 2024/25:FiU10). Beloppet är således exklusive beslut om ändringar i statens budget.

2Pris- och löneomräkningen baseras på anvisade medel 2025. Övriga förändringskomponenter redovisas i löpande priser och inkluderar därmed en pris- och löneomräkning. Pris- och löneomräkningen för 2027–2028 är preliminär.

Regeringen föreslår att 832 619 000 kronor anvisas under anslaget 2:19 Luleå tekniska universitet: Utbildning på grundnivå och avancerad nivå för 2026. För 2027 och 2028 beräknas anslaget till 842 943 000 kronor respektive 854 325 000 kronor.

167

Prop. 2025/26:1 Utgiftsområde 16

5.8.202:20 Luleå tekniska universitet: Forskning och utbildning på forskarnivå

Tabell 5.53 Anslagsutveckling 2:20 Luleå tekniska universitet: Forskning och utbildning på forskarnivå

Tusental kronor

2024

Utfall

452 185

Anslagssparande

 

 

 

 

 

 

2025

Anslag

512 9321

Utgiftsprognos

512 932

2026

Förslag

530 237

 

 

 

 

 

 

 

2027

Beräknat

544 8102

 

 

2028

Beräknat

573 5693

 

 

1Inklusive beslut om ändringar i statens budget 2025 och förslag till ändringar i samband med denna proposition.

2Motsvarar 538 138 tkr i 2026 års prisnivå.

3Motsvarar 557 582 tkr i 2026 års prisnivå.

Ändamål

Anslaget får användas för ersättning till universitetet för forskning och utbildning på forskarnivå.

Skälen för regeringens förslag

Tabell 5.54 Förändringar av anslagsnivån 2026–2028 för 2:20 Luleå tekniska universitet: Forskning och utbildning på forskarnivå

Tusental kronor

 

2026

2027

2028

Anvisat 20251

467 765

467 765

467 765

Pris- och löneomräkning2

8 644

14 550

22 304

Beslutade, föreslagna och aviserade åtgärder

53 828

62 495

83 500

varav BP263

52 993

60 993

80 993

FoI-prop Särskilda satsningar

42 000

50 000

70 000

 

 

 

 

FoI-prop. Ökade anslag 2025

3 167

3 167

3 167

FoI-prop. Ökade anslag 2026

7 826

7 826

7 826

 

 

 

 

Överföring till/från andra anslag

 

 

 

 

 

 

 

Övrigt

 

 

 

Förslag/beräknat anslag

530 237

544 810

573 569

 

 

 

 

1Statens budget enligt riksdagens beslut i december 2024 (bet. 2024/25:FiU10). Beloppet är således exklusive beslut om ändringar i statens budget.

2Pris- och löneomräkningen baseras på anvisade medel 2025. Övriga förändringskomponenter redovisas i löpande priser och inkluderar därmed en pris- och löneomräkning. Pris- och löneomräkningen för 2027–2028 är preliminär.

3Exklusive pris- och löneomräkning.

Anslaget ökas med 10 993 000 kronor fr.o.m. 2026 till följd av fördelning av den ökning av universitets och högskolors anslag för forskning och utbildning på forskarnivå som aviserades i forsknings- och innovationspropositionen 2024. Se tabell

5.11.Med anledning av samma proposition ökas anslaget med 42 000 000 kronor

2026 och beräknas öka med 50 000 000 kronor 2027 och med 70 000 000 kronor fr.o.m. 2028 till följd av fördelning av medel till särskilda satsningar. Se tabell 5.12.

Regeringen föreslår att 530 237 000 kronor anvisas under anslaget 2:20 Luleå tekniska universitet: Forskning och utbildning på forskarnivå för 2026. För 2027 och 2028 beräknas anslaget till 544 810 000 kronor respektive 573 569 000 kronor.

168

Prop. 2025/26:1 Utgiftsområde 16

Bemyndigande om ekonomiska åtaganden

Regeringens förslag

Regeringen bemyndigas att under 2026–2028 för anslaget 2:20 Luleå tekniska universitet: Forskning och utbildning på forskarnivå besluta om en årlig medlemsavgift till en kunskaps- och innovationsplattform inom råvaror under Europeiska institutet för innovation och teknik (EIT Raw Materials) på högst 380 000 kronor.

Skälen för regeringens förslag

Sedan 2015 är Luleå tekniska universitet medlem i EIT Raw Materials (prop. 2022/23:1 utg.omr. 16, bet. 2022/23:UbU1, rskr. 2022/23:108). Eftersom verksamheten kommer att fortsätta bedrivas bör regeringens bemyndigande att besluta om medlemsavgift i EIT Raw Materials förlängas. Regeringen bör därför bemyndigas att under 2026–2028 för anslaget 2:20 Luleå tekniska universitet: Forskning och utbildning på forskarnivå besluta om en årlig medlemsavgift på högst 380 000 kronor.

5.8.212:21 Karlstads universitet: Utbildning på grundnivå och avancerad nivå

Tabell 5.55 Anslagsutveckling 2:21 Karlstads universitet: Utbildning på grundnivå och avancerad nivå

Tusental kronor

2024

Utfall

800 766

Anslagssparande

 

2025

Anslag

818 7591

Utgiftsprognos

818 759

2026

Förslag

824 443

 

 

 

 

 

 

 

2027

Beräknat

834 1102

 

 

2028

Beräknat

841 8603

 

 

1Inklusive beslut om ändringar i statens budget 2025 och förslag till ändringar i samband med denna proposition.

2Motsvarar 823 895 tkr i 2026 års prisnivå.

3Motsvarar 818 395 tkr i 2026 års prisnivå.

Ändamål

Anslaget får användas för ersättning till universitetet för högskoleutbildning på grundnivå och avancerad nivå samt behörighetsgivande och högskoleintroducerande utbildning.

Skälen för regeringens förslag

Tabell 5.56 Förändringar av anslagsnivån 2026–2028 för 2:21 Karlstads universitet: Utbildning på grundnivå och avancerad nivå

Tusental kronor

 

2026

2027

2028

Anvisat 20251

818 759

818 759

818 759

Pris- och löneomräkning2

15 131

25 470

39 040

Beslutade, föreslagna och aviserade åtgärder

-9 447

-10 119

-10 619

 

 

 

 

Överföring till/från andra anslag

 

 

-5 320

Övrigt

 

 

 

 

 

 

 

Förslag/beräknat anslag

824 443

834 110

841 860

 

 

 

 

169

Prop. 2025/26:1 Utgiftsområde 16

1Statens budget enligt riksdagens beslut i december 2024 (bet. 2024/25:FiU10). Beloppet är således exklusive beslut om ändringar i statens budget.

2Pris- och löneomräkningen baseras på anvisade medel 2025. Övriga förändringskomponenter redovisas i löpande priser och inkluderar därmed en pris- och löneomräkning. Pris- och löneomräkningen för 2027–2028 är preliminär.

Regeringen föreslår att 824 443 000 kronor anvisas under anslaget 2:21 Karlstads universitet: Utbildning på grundnivå och avancerad nivå för 2026. För 2027 och 2028 beräknas anslaget till 834 110 000 kronor respektive 841 860 000 kronor.

Bemyndigande om ekonomiska åtaganden

Regeringens förslag

Riksdagen godkänner att regeringen under 2026 beslutar om medlemskap i den belgiska juridiska personen European University for Customised Education Association internationale sans but licratif (EUNICE AISBL) och bemyndigar regeringen att under 2026–2035 för anslagen 2:21 Karlstads universitet: Utbildning på grundnivå och avancerad nivå respektive 2:22 Karlstads universitet: Forskning och utbildning på forskarnivå besluta om en årlig medlemsavgift för universitetet på högst 700 000 kronor.

Skälen för regeringens förslag

EU-initiativet om Europauniversitet är viktigt för högre utbildning i Europa. Europauniversitet innebär att universitet och högskolor i olika europeiska länder samarbetar, bl.a. för att öka mobiliteten för studenter och anställda, erbjuda gemensamma utbildningsprogram och bidra till stärkt kvalitet i utbildning och forskning. Karlstads universitet är medlem i Europauniversitetet EUNICE. För att universitetet ska kunna delta i EUNICE på ett fullvärdigt och effektivt sätt behöver det kunna ingå som medlem i den juridiska personen EUNICE AISBL som driver och stödjer frågor av intresse för europauniversitetet samt betala den årliga medlems- avgiften som fastställts i stadgarna för EUNICE AISBL. Eftersom samarbetet kan avse både utbildning och forskning bedömer regeringen att avgiften kan komma att belasta såväl universitetets anslag för utbildning på grundnivå och avancerad nivå som anslaget för forskning och utbildning på forskarnivå. Den totala avgiften som belastar Karlstads universitets båda anslag ska dock inte överstiga 700 000 kronor årligen.

Riksdagen bör därför godkänna att regeringen under 2026 beslutar om medlemskap i EUNICE AISBL och bemyndiga regeringen att under 2026–2035 för anslagen 2:21 Karlstads universitet: Utbildning på grundnivå och avancerad nivå respektive 2:22 Karlstads universitet: Forskning och utbildning på forskarnivå besluta om en årlig medlemsavgift för universitetet på högst 700 000 kronor.

5.8.222:22 Karlstads universitet: Forskning och utbildning på forskarnivå

Tabell 5.57 Anslagsutveckling 2:22 Karlstads universitet: Forskning och utbildning på forskarnivå

Tusental kronor

2024

Utfall

297 629

Anslagssparande

 

2025

Anslag

308 9921

Utgiftsprognos

308 992

2026

Förslag

311 502

 

 

 

 

 

 

 

2027

Beräknat

315 3642

 

 

2028

Beräknat

320 4333

 

 

170

Prop. 2025/26:1 Utgiftsområde 16

1Inklusive beslut om ändringar i statens budget 2025 och förslag till ändringar i samband med denna proposition.

2Motsvarar 311 502 tkr i 2026 års prisnivå.

3Motsvarar 311 502 tkr i 2026 års prisnivå.

Ändamål

Anslaget får användas för ersättning till universitetet för forskning och utbildning på forskarnivå.

Skälen för regeringens förslag

Tabell 5.58 Förändringar av anslagsnivån 2026–2028 för 2:22 Karlstads universitet: Forskning och utbildning på forskarnivå

Tusental kronor

 

2026

2027

2028

Anvisat 20251

307 884

307 884

307 884

Pris- och löneomräkning2

5 690

9 578

14 680

Beslutade, föreslagna och aviserade åtgärder

-2 072

-2 098

-2 131

varav BP263

-2 092

-2 092

-2 092

FoI-prop. Ökade anslag 2025

1 108

1 108

1 108

 

 

 

 

FoI-prop. Ökade anslag 2026

-3 200

-3 200

-3 200

Överföring till/från andra anslag

 

 

 

 

 

 

 

Övrigt

 

 

 

 

 

 

 

Förslag/beräknat anslag

311 502

315 364

320 433

1Statens budget enligt riksdagens beslut i december 2024 (bet. 2024/25:FiU10). Beloppet är således exklusive beslut om ändringar i statens budget.

2Pris- och löneomräkningen baseras på anvisade medel 2025. Övriga förändringskomponenter redovisas i löpande priser och inkluderar därmed en pris- och löneomräkning. Pris- och löneomräkningen för 2027–2028 är preliminär.

3Exklusive pris- och löneomräkning.

Anslaget minskas med 2 092 000 kronor fr.o.m. 2026 till följd av fördelning av den ökning av universitets och högskolors anslag för forskning och utbildning på forskarnivå som aviserades i forsknings- och innovationspropositionen 2024. Se tabell 5.11.

Regeringen föreslår att 311 502 000 kronor anvisas under anslaget 2:22 Karlstads universitet: Forskning och utbildning på forskarnivå för 2026. För 2027 och 2028 beräknas anslaget till 315 364 000 kronor respektive 320 433 000 kronor.

5.8.232:23 Linnéuniversitetet: Utbildning på grundnivå och avancerad nivå

Tabell 5.59 Anslagsutveckling 2:23 Linnéuniversitetet: Utbildning på grundnivå och avancerad nivå

Tusental kronor

2024

Utfall

1 246 264

Anslagssparande

 

 

 

 

 

 

2025

Anslag

1 274 7061

Utgiftsprognos

1 265 823

2026

Förslag

1 283 484

 

 

 

 

 

 

 

2027

Beräknat

1 294 5982

 

 

2028

Beräknat

1 315 4083

 

 

171

Prop. 2025/26:1 Utgiftsområde 16

1Inklusive beslut om ändringar i statens budget 2025 och förslag till ändringar i samband med denna proposition.

2Motsvarar 1 278 744 tkr i 2026 års prisnivå.

3Motsvarar 1 278 744 tkr i 2026 års prisnivå.

Ändamål

Anslaget får användas för ersättning till universitetet för högskoleutbildning på grundnivå och avancerad nivå samt behörighetsgivande och högskoleintroducerande utbildning.

Skälen för regeringens förslag

Tabell 5.60 Förändringar av anslagsnivån 2026–2028 för 2:23 Linnéuniversitetet: Utbildning på grundnivå och avancerad nivå

Tusental kronor

 

2026

2027

2028

Anvisat 20251

1 274 706

1 274 706

1 274 706

Pris- och löneomräkning2

23 557

39 653

60 781

Beslutade, föreslagna och aviserade åtgärder

-14 779

-19 761

-20 079

 

 

 

 

Överföring till/från andra anslag

 

 

 

 

 

 

 

Övrigt

 

 

 

 

 

 

 

Förslag/beräknat anslag

1 283 484

1 294 598

1 315 408

 

 

 

 

1Statens budget enligt riksdagens beslut i december 2024 (bet. 2024/25:FiU10). Beloppet är således exklusive beslut om ändringar i statens budget.

2Pris- och löneomräkningen baseras på anvisade medel 2025. Övriga förändringskomponenter redovisas i löpande priser och inkluderar därmed en pris- och löneomräkning. Pris- och löneomräkningen för 2027–2028 är preliminär.

Regeringen föreslår att 1 283 484 000 kronor anvisas under anslaget 2:23 Linnéuniversitetet: Utbildning på grundnivå och avancerad nivå för 2026. För 2027 och 2028 beräknas anslaget till 1 294 598 000 kronor respektive 1 315 408 000 kronor.

5.8.242:24 Linnéuniversitetet: Forskning och utbildning på forskarnivå

Tabell 5.61 Anslagsutveckling 2:24 Linnéuniversitetet: Forskning och utbildning på forskarnivå

Tusental kronor

2024

Utfall

406 967

Anslagssparande

 

 

 

 

 

 

2025

Anslag

422 7281

Utgiftsprognos

422 728

2026

Förslag

429 188

 

 

2027

Beräknat

434 5092

 

 

2028

Beräknat

441 4943

 

 

1Inklusive beslut om ändringar i statens budget 2025 och förslag till ändringar i samband med denna proposition.

2Motsvarar 429 188 tkr i 2026 års prisnivå.

3Motsvarar 429 188 tkr i 2026 års prisnivå.

Ändamål

Anslaget får användas för ersättning till universitetet för forskning och utbildning på forskarnivå.

172

Prop. 2025/26:1 Utgiftsområde 16

Skälen för regeringens förslag

Tabell 5.62 Förändringar av anslagsnivån 2026–2028 för 2:24 Linnéuniversitetet: Forskning och utbildning på forskarnivå

Tusental kronor

 

2026

2027

2028

Anvisat 20251

420 989

420 989

420 989

Pris- och löneomräkning2

7 780

13 096

20 074

Beslutade, föreslagna och aviserade åtgärder

419

424

431

 

 

 

 

varav BP263

387

387

387

FoI-prop. Ökade anslag 2025

1 739

1 739

1 739

 

 

 

 

FoI-prop. Ökade anslag 2026

-1 352

-1 352

-1 352

Överföring till/från andra anslag

 

 

 

 

 

 

 

Övrigt

 

 

 

 

 

 

 

Förslag/beräknat anslag

429 188

434 509

441 494

 

 

 

 

1Statens budget enligt riksdagens beslut i december 2024 (bet. 2024/25:FiU10). Beloppet är således exklusive beslut om ändringar i statens budget.

2Pris- och löneomräkningen baseras på anvisade medel 2025. Övriga förändringskomponenter redovisas i löpande priser och inkluderar därmed en pris- och löneomräkning. Pris- och löneomräkningen för 2027–2028 är preliminär.

3Exklusive pris- och löneomräkning.

Anslaget ökas med 387 000 kronor fr.o.m. 2026 till följd av fördelning av den ökning av universitets och högskolors anslag för forskning och utbildning på forskarnivå som aviserades i forsknings- och innovationspropositionen 2024. Se tabell 5.11.

Regeringen föreslår att 429 188 000 kronor anvisas under anslaget 2:24 Linnéuniversitetet: Forskning och utbildning på forskarnivå för 2026. För 2027 och 2028 beräknas anslaget till 434 509 000 kronor respektive 441 494 000 kronor.

5.8.252:25 Örebro universitet: Utbildning på grundnivå och avancerad nivå

Tabell 5.63 Anslagsutveckling 2:25 Örebro universitet: Utbildning på grundnivå och avancerad nivå

Tusental kronor

2024

Utfall

982 279

Anslagssparande

5 301

2025

Anslag

956 7711

Utgiftsprognos

950 104

2026

Förslag

966 377

 

 

 

 

 

 

 

2027

Beräknat

987 7582

 

 

2028

Beräknat

1 003 6353

 

 

1Inklusive beslut om ändringar i statens budget 2025 och förslag till ändringar i samband med denna proposition.

2Motsvarar 975 661 tkr i 2026 års prisnivå.

3Motsvarar 975 661 tkr i 2026 års prisnivå.

Ändamål

Anslaget får användas för ersättning till universitetet för högskoleutbildning på grundnivå och avancerad nivå samt behörighetsgivande och högskoleintroducerande utbildning.

173

Prop. 2025/26:1 Utgiftsområde 16

Skälen för regeringens förslag

Tabell 5.64 Förändringar av anslagsnivån 2026–2028 för 2:25 Örebro universitet: Utbildning på grundnivå och avancerad nivå

Tusental kronor

 

2026

2027

2028

Anvisat 20251

956 771

956 771

956 771

Pris- och löneomräkning2

17 682

29 764

45 621

Beslutade, föreslagna och aviserade åtgärder

-8 076

1 223

1 243

 

 

 

 

Överföring till/från andra anslag

 

 

 

 

 

 

 

Övrigt

 

 

 

 

 

 

 

Förslag/beräknat anslag

966 377

987 758

1 003 635

 

 

 

 

1Statens budget enligt riksdagens beslut i december 2024 (bet. 2024/25:FiU10). Beloppet är således exklusive beslut om ändringar i statens budget.

2Pris- och löneomräkningen baseras på anvisade medel 2025. Övriga förändringskomponenter redovisas i löpande priser och inkluderar därmed en pris- och löneomräkning. Pris- och löneomräkningen för 2027–2028 är preliminär.

Regeringen föreslår att 966 377 000 kronor anvisas under anslaget 2:25 Örebro universitet: Utbildning på grundnivå och avancerad nivå för 2026. För 2027 och 2028 beräknas anslaget till 987 758 000 kronor respektive 1 003 635 000 kronor.

5.8.262:26 Örebro universitet: Forskning och utbildning på forskarnivå

Tabell 5.65 Anslagsutveckling 2:26 Örebro universitet: Forskning och utbildning på forskarnivå

Tusental kronor

2024

Utfall

336 081

Anslagssparande

 

2025

Anslag

349 5211

Utgiftsprognos

349 521

2026

Förslag

356 479

 

 

 

 

 

 

 

2027

Beräknat

360 8992

 

 

2028

Beräknat

366 7013

 

 

1Inklusive beslut om ändringar i statens budget 2025 och förslag till ändringar i samband med denna proposition.

2Motsvarar 356 479 tkr i 2026 års prisnivå.

3Motsvarar 356 480 tkr i 2026 års prisnivå.

Ändamål

Anslaget får användas för ersättning till universitetet för forskning och utbildning på forskarnivå.

Skälen för regeringens förslag

Tabell 5.66 Förändringar av anslagsnivån 2026–2028 för 2:26 Örebro universitet: Forskning och utbildning på forskarnivå

Tusental kronor

 

2026

2027

2028

Anvisat 20251

347 661

347 661

347 661

Pris- och löneomräkning2

6 425

10 815

16 578

Beslutade, föreslagna och aviserade åtgärder

2 393

2 423

2 462

 

 

 

 

varav BP263

2 359

2 359

2 359

FoI-prop. Ökade anslag 2025

1 860

1 860

1 860

 

 

 

 

FoI-prop. Ökade anslag 2026

499

499

499

 

 

 

 

174

Prop. 2025/26:1 Utgiftsområde 16

2026 2027 2028

Överföring till/från andra anslag

Övrigt

Förslag/beräknat anslag

356 479

360 899

366 701

 

 

 

 

1Statens budget enligt riksdagens beslut i december 2024 (bet. 2024/25:FiU10). Beloppet är således exklusive beslut om ändringar i statens budget.

2Pris- och löneomräkningen baseras på anvisade medel 2025. Övriga förändringskomponenter redovisas i löpande priser och inkluderar därmed en pris- och löneomräkning. Pris- och löneomräkningen för 2027–2028 är preliminär.

3Exklusive pris- och löneomräkning.

Anslaget ökas med 2 359 000 kronor fr.o.m. 2026 till följd av fördelning av den ökning av universitets och högskolors anslag för forskning och utbildning på forskarnivå som aviserades i forsknings- och innovationspropositionen 2024. Se tabell 5.11.

Regeringen föreslår att 356 479 000 kronor anvisas under anslaget 2:26 Örebro universitet: Forskning och utbildning på forskarnivå för 2026. För 2027 och 2028 beräknas anslaget till 360 899 000 kronor respektive 366 701 000 kronor.

5.8.272:27 Mittuniversitetet: Utbildning på grundnivå och avancerad nivå

Tabell 5.67 Anslagsutveckling 2:27 Mittuniversitetet: Utbildning på grundnivå och avancerad nivå

Tusental kronor

2024

Utfall

661 282

Anslagssparande

 

 

 

 

 

 

2025

Anslag

671 5821

Utgiftsprognos

671 582

2026

Förslag

672 410

 

 

 

 

 

 

 

2027

Beräknat

677 7292

 

 

2028

Beräknat

684 0833

 

 

1Inklusive beslut om ändringar i statens budget 2025 och förslag till ändringar i samband med denna proposition.

2Motsvarar 669 429 tkr i 2026 års prisnivå.

3Motsvarar 665 016 tkr i 2026 års prisnivå.

Ändamål

Anslaget får användas för ersättning till universitetet för högskoleutbildning på grundnivå och avancerad nivå samt behörighetsgivande och högskoleintroducerande utbildning.

Skälen för regeringens förslag

Tabell 5.68 Förändringar av anslagsnivån 2026–2028 för 2:27 Mittuniversitetet: Utbildning på grundnivå och avancerad nivå

Tusental kronor

 

2026

2027

2028

Anvisat 20251

671 582

671 582

671 582

Pris- och löneomräkning2

12 411

20 891

32 022

Beslutade, föreslagna och aviserade åtgärder

-11 583

-14 744

-15 222

 

 

 

 

Överföring till/från andra anslag

 

 

-4 299

 

 

 

 

Övrigt

 

 

 

 

 

 

 

Förslag/beräknat anslag

672 410

677 729

684 083

 

 

 

 

175

Prop. 2025/26:1 Utgiftsområde 16

1Statens budget enligt riksdagens beslut i december 2024 (bet. 2024/25:FiU10). Beloppet är således exklusive beslut om ändringar i statens budget.

2Pris- och löneomräkningen baseras på anvisade medel 2025. Övriga förändringskomponenter redovisas i löpande priser och inkluderar därmed en pris- och löneomräkning. Pris- och löneomräkningen för 2027–2028 är preliminär.

Regeringen föreslår att 672 410 000 kronor anvisas under anslaget 2:27 Mittuniversitetet: Utbildning på grundnivå och avancerad nivå för 2026. För 2027 och 2028 beräknas anslaget till 677 729 000 kronor respektive 684 083 000 kronor.

5.8.282:28 Mittuniversitetet: Forskning och utbildning på forskarnivå

Tabell 5.69 Anslagsutveckling 2:28 Mittuniversitetet: Forskning och utbildning på forskarnivå

Tusental kronor

2024

Utfall

299 667

Anslagssparande

 

2025

Anslag

311 0781

Utgiftsprognos

311 078

2026

Förslag

311 638

 

 

 

 

 

 

 

2027

Beräknat

315 5012

 

 

2028

Beräknat

320 5733

 

 

1Inklusive beslut om ändringar i statens budget 2025 och förslag till ändringar i samband med denna proposition.

2Motsvarar 311 637 tkr i 2026 års prisnivå.

3Motsvarar 311 638 tkr i 2026 års prisnivå.

Ändamål

Anslaget får användas för ersättning till universitetet för forskning och utbildning på forskarnivå.

Skälen för regeringens förslag

Tabell 5.70 Förändringar av anslagsnivån 2026–2028 för 2:28 Mittuniversitetet: Forskning och utbildning på forskarnivå

Tusental kronor

 

2026

2027

2028

Anvisat 20251

309 992

309 992

309 992

Pris- och löneomräkning2

5 729

9 643

14 781

Beslutade, föreslagna och aviserade åtgärder

-4 083

-4 134

-4 200

varav BP263

-4 103

-4 103

-4 103

FoI-prop. Ökade anslag 2025

1 086

1 086

1 086

 

 

 

 

FoI-prop. Ökade anslag 2026

-5 189

-5 189

-5 189

Överföring till/från andra anslag

 

 

 

 

 

 

 

Övrigt

 

 

 

 

 

 

 

Förslag/beräknat anslag

311 638

315 501

320 573

1Statens budget enligt riksdagens beslut i december 2024 (bet. 2024/25:FiU10). Beloppet är således exklusive beslut om ändringar i statens budget.

2Pris- och löneomräkningen baseras på anvisade medel 2025. Övriga förändringskomponenter redovisas i löpande priser och inkluderar därmed en pris- och löneomräkning. Pris- och löneomräkningen för 2027–2028 är preliminär.

3Exklusive pris- och löneomräkning.

Anslaget minskas med 4 103 000 kronor fr.o.m. 2026 till följd av fördelning av den ökning av universitets och högskolors anslag för forskning och utbildning på forskarnivå som aviserades i forsknings- och innovationspropositionen 2024. Se tabell 5.11.

176

Prop. 2025/26:1 Utgiftsområde 16

Regeringen föreslår att 311 638 000 kronor anvisas under anslaget 2:28 Mittuniversitetet: Forskning och utbildning på forskarnivå för 2026. För 2027 och 2028 beräknas anslaget till 315 501 000 kronor respektive 320 573 000 kronor.

5.8.292:29 Malmö universitet: Utbildning på grundnivå och avancerad nivå

Tabell 5.71 Anslagsutveckling 2:29 Malmö universitet: Utbildning på grundnivå och avancerad nivå

Tusental kronor

2024

Utfall

1 124 045

Anslagssparande

98 221

2025

Anslag

1 139 6031

Utgiftsprognos

1 160 782

2026

Förslag

1 148 114

 

 

 

 

 

 

 

2027

Beräknat

1 160 2402

 

 

2028

Beräknat

1 170 8853

 

 

1Inklusive beslut om ändringar i statens budget 2025 och förslag till ändringar i samband med denna proposition.

2Motsvarar 1 146 031 tkr i 2026 års prisnivå.

3Motsvarar 1 138 249 tkr i 2026 års prisnivå.

Ändamål

Anslaget får användas för ersättning till universitetet för högskoleutbildning på grundnivå och avancerad nivå samt behörighetsgivande och högskoleintroducerande utbildning.

Skälen för regeringens förslag

Tabell 5.72 Förändringar av anslagsnivån 2026–2028 för 2:29 Malmö universitet: Utbildning på grundnivå och avancerad nivå

Tusental kronor

 

2026

2027

2028

Anvisat 20251

1 139 603

1 139 603

1 139 603

Pris- och löneomräkning2

21 061

35 451

54 340

Beslutade, föreslagna och aviserade åtgärder

-12 550

-14 814

-15 534

 

 

 

 

Överföring till/från andra anslag

 

 

-7 524

Övrigt

 

 

 

 

 

 

 

Förslag/beräknat anslag

1 148 114

1 160 240

1 170 885

 

 

 

 

1Statens budget enligt riksdagens beslut i december 2024 (bet. 2024/25:FiU10). Beloppet är således exklusive beslut om ändringar i statens budget.

2Pris- och löneomräkningen baseras på anvisade medel 2025. Övriga förändringskomponenter redovisas i löpande priser och inkluderar därmed en pris- och löneomräkning. Pris- och löneomräkningen för 2027–2028 är preliminär.

Regeringen föreslår att 1 148 114 000 kronor anvisas under anslaget 2:29 Malmö universitet: Utbildning på grundnivå och avancerad nivå för 2026. För 2027 och 2028 beräknas anslaget till 1 160 240 000 kronor respektive 1 170 885 000 kronor.

177

Prop. 2025/26:1 Utgiftsområde 16

5.8.302:30 Malmö universitet: Forskning och utbildning på forskarnivå

Tabell 5.73 Anslagsutveckling 2:30 Malmö universitet: Forskning och utbildning på forskarnivå

Tusental kronor

2024

Utfall

312 903

Anslagssparande

 

 

 

 

 

 

2025

Anslag

324 8951

Utgiftsprognos

324 895

2026

Förslag

330 179

 

 

 

 

 

 

 

2027

Beräknat

334 2722

 

 

2028

Beräknat

339 6473

 

 

1Inklusive beslut om ändringar i statens budget 2025 och förslag till ändringar i samband med denna proposition.

2Motsvarar 330 178 tkr i 2026 års prisnivå.

3Motsvarar 330 180 tkr i 2026 års prisnivå.

Ändamål

Anslaget får användas för ersättning till universitetet för forskning och utbildning på forskarnivå.

Skälen för regeringens förslag

Tabell 5.74 Förändringar av anslagsnivån 2026–2028 för 2:30 Malmö universitet: Forskning och utbildning på forskarnivå

Tusental kronor

 

2026

2027

2028

Anvisat 20251

323 684

323 684

323 684

Pris- och löneomräkning2

5 982

10 069

15 435

Beslutade, föreslagna och aviserade åtgärder

513

519

528

varav BP263

491

491

491

FoI-prop. Ökade anslag 2025

1 211

1 211

1 211

 

 

 

 

FoI-prop. Ökade anslag 2026

-720

-720

-720

Överföring till/från andra anslag

 

 

 

 

 

 

 

Övrigt

 

 

 

 

 

 

 

Förslag/beräknat anslag

330 179

334 272

339 647

1Statens budget enligt riksdagens beslut i december 2024 (bet. 2024/25:FiU10). Beloppet är således exklusive beslut om ändringar i statens budget.

2Pris- och löneomräkningen baseras på anvisade medel 2025. Övriga förändringskomponenter redovisas i löpande priser och inkluderar därmed en pris- och löneomräkning. Pris- och löneomräkningen för 2027–2028 är preliminär.

3Exklusive pris- och löneomräkning.

Anslaget ökas med 491 000 kronor fr.o.m. 2026 till följd av fördelning av den ökning av universitets och högskolors anslag för forskning och utbildning på forskarnivå som aviserades i forsknings- och innovationspropositionen 2024. Se tabell 5.11.

Regeringen föreslår att 330 179 000 kronor anvisas under anslaget 2:30 Malmö universitet: Forskning och utbildning på forskarnivå för 2026. För 2027 och 2028 beräknas anslaget till 334 272 000 kronor respektive 339 647 000 kronor.

178

Prop. 2025/26:1 Utgiftsområde 16

5.8.312:31 Mälardalens universitet: Utbildning på grundnivå och avancerad nivå

Tabell 5.75 Anslagsutveckling 2:31 Mälardalens universitet: Utbildning på grundnivå och avancerad nivå

Tusental kronor

2024

Utfall

721 539

Anslagssparande

1 042

 

 

 

 

 

2025

Anslag

738 9691

Utgiftsprognos

734 854

2026

Förslag

746 278

 

 

 

 

 

 

 

2027

Beräknat

754 6812

 

 

2028

Beräknat

759 2733

 

 

1Inklusive beslut om ändringar i statens budget 2025 och förslag till ändringar i samband med denna proposition.

2Motsvarar 745 439 tkr i 2026 års prisnivå.

3Motsvarar 738 110 tkr i 2026 års prisnivå.

Ändamål

Anslaget får användas för ersättning till universitetet för högskoleutbildning på grundnivå och avancerad nivå samt behörighetsgivande och högskoleintroducerande utbildning.

Skälen för regeringens förslag

Tabell 5.76 Förändringar av anslagsnivån 2026–2028 för 2:31 Mälardalens universitet: Utbildning på grundnivå och avancerad nivå

Tusental kronor

 

2026

2027

2028

Anvisat 20251

738 969

738 969

738 969

Pris- och löneomräkning2

13 656

22 987

35 235

Beslutade, föreslagna och aviserade åtgärder

-6 347

-7 275

-7 825

 

 

 

 

Överföring till/från andra anslag

 

 

-7 106

 

 

 

 

Övrigt

 

 

 

 

 

 

 

Förslag/beräknat anslag

746 278

754 681

759 273

 

 

 

 

1Statens budget enligt riksdagens beslut i december 2024 (bet. 2024/25:FiU10). Beloppet är således exklusive beslut om ändringar i statens budget.

2Pris- och löneomräkningen baseras på anvisade medel 2025. Övriga förändringskomponenter redovisas i löpande priser och inkluderar därmed en pris- och löneomräkning. Pris- och löneomräkningen för 2027–2028 är preliminär.

Regeringen föreslår att 746 278 000 kronor anvisas under anslaget 2:31 Mälardalens universitet: Utbildning på grundnivå och avancerad nivå för 2026. För 2027och 2028 beräknas anslaget till 754 681 000 kronor respektive 759 273 000 kronor.

5.8.322:32 Mälardalens universitet: Forskning och utbildning på forskarnivå

Tabell 5.77 Anslagsutveckling 2:32 Mälardalens universitet: Forskning och utbildning på forskarnivå

Tusental kronor

2024

Utfall

294 743

Anslagssparande

 

 

 

 

 

 

2025

Anslag

306 0801

Utgiftsprognos

304 899

2026

Förslag

309 021

 

 

2027

Beräknat

312 8522

 

 

179

Prop. 2025/26:1 Utgiftsområde 16

2028

Beräknat

317 8813

1Inklusive beslut om ändringar i statens budget 2025 och förslag till ändringar i samband med denna proposition.

2Motsvarar 309 021 tkr i 2026 års prisnivå.

3Motsvarar 309 021 tkr i 2026 års prisnivå.

Ändamål

Anslaget får användas för ersättning till universitetet för forskning och utbildning på forskarnivå.

Skälen för regeringens förslag

Tabell 5.78 Förändringar av anslagsnivån 2026–2028 för 2:32 Mälardalens universitet: Forskning och utbildning på forskarnivå

Tusental kronor

 

2026

2027

2028

Anvisat 20251

304 899

304 899

304 899

Pris- och löneomräkning2

5 635

9 485

14 538

Beslutade, föreslagna och aviserade åtgärder

-1 513

-1 532

-1 556

 

 

 

 

varav BP263

-1 535

-1 535

-1 535

FoI-prop. Ökade anslag 2025

1 181

1 181

1 181

FoI-prop. Ökade anslag 2026

-2 716

-2 716

-2 716

 

 

 

 

Överföring till/från andra anslag

 

 

 

 

 

 

 

Övrigt

 

 

 

Förslag/beräknat anslag

309 021

312 852

317 881

 

 

 

 

1Statens budget enligt riksdagens beslut i december 2024 (bet. 2024/25:FiU10). Beloppet är således exklusive beslut om ändringar i statens budget.

2Pris- och löneomräkningen baseras på anvisade medel 2025. Övriga förändringskomponenter redovisas i löpande priser och inkluderar därmed en pris- och löneomräkning. Pris- och löneomräkningen för 2027–2028 är preliminär.

3Exklusive pris- och löneomräkning.

Anslaget minskas med 1 535 000 kronor fr.o.m. 2026 till följd av fördelning av den ökning av universitets och högskolors anslag för forskning och utbildning på forskarnivå som aviserades i forsknings- och innovationspropositionen 2024. Se tabell 5.11.

Regeringen föreslår att 309 021 000 kronor anvisas under anslaget 2:32 Mälardalens universitet: Forskning och utbildning på forskarnivå för 2026 För 2027 och 2028 beräknas anslaget till 312 852 000 kronor respektive 317 881 000 kronor.

5.8.332:33 Blekinge tekniska högskola: Utbildning på grundnivå och avancerad nivå

Tabell 5.79 Anslagsutveckling 2:33 Blekinge tekniska högskola: Utbildning på grundnivå och avancerad nivå

Tusental kronor

2024

Utfall

322 009

Anslagssparande

693

2025

Anslag

310 6921

Utgiftsprognos

309 213

2026

Förslag

317 252

 

 

 

 

 

 

 

2027

Beräknat

321 1852

 

 

2028

Beräknat

326 3473

 

 

180

Prop. 2025/26:1 Utgiftsområde 16

1Inklusive beslut om ändringar i statens budget 2025 och förslag till ändringar i samband med denna proposition.

2Motsvarar 317 252 tkr i 2026 års prisnivå.

3Motsvarar 317 251 tkr i 2026 års prisnivå.

Ändamål

Anslaget får användas för ersättning till högskolan för högskoleutbildning på grundnivå och avancerad nivå samt behörighetsgivande och högskoleintroducerande utbildning.

Skälen för regeringens förslag

Tabell 5.80 Förändringar av anslagsnivån 2026–2028 för 2:33 Blekinge tekniska

högskola: Utbildning på grundnivå och avancerad nivå

Tusental kronor

 

2026

2027

2028

Anvisat 20251

310 692

310 692

310 692

Pris- och löneomräkning2

5 742

9 665

14 814

Beslutade, föreslagna och aviserade åtgärder

818

828

841

 

 

 

 

Överföring till/från andra anslag

 

 

 

 

 

 

 

Övrigt

 

 

 

 

 

 

 

Förslag/beräknat anslag

317 252

321 185

326 347

 

 

 

 

1Statens budget enligt riksdagens beslut i december 2024 (bet. 2024/25:FiU10). Beloppet är således exklusive beslut om ändringar i statens budget.

2Pris- och löneomräkningen baseras på anvisade medel 2025. Övriga förändringskomponenter redovisas i löpande priser och inkluderar därmed en pris- och löneomräkning. Pris- och löneomräkningen för 2027–2028 är preliminär.

Regeringen föreslår att 317 252 000 kronor anvisas under anslaget 2:33 Blekinge tekniska högskola: Utbildning på grundnivå och avancerad nivå för 2026. För 2027 och 2028 beräknas anslaget till 321 185 000 kronor respektive 326 347 000 kronor.

5.8.342:34 Blekinge tekniska högskola: Forskning och utbildning på forskarnivå

Tabell 5.81 Anslagsutveckling 2:34 Blekinge tekniska högskola: Forskning och utbildning på forskarnivå

Tusental kronor

2024

Utfall

114 436

Anslagssparande

 

 

 

 

 

 

2025

Anslag

118 7421

Utgiftsprognos

118 742

2026

Förslag

119 201

 

 

2027

Beräknat

120 6792

 

 

2028

Beräknat

122 6193

 

 

1Inklusive beslut om ändringar i statens budget 2025 och förslag till ändringar i samband med denna proposition.

2Motsvarar 119 201 tkr i 2026 års prisnivå.

3Motsvarar 119 201 tkr i 2026 års prisnivå.

Ändamål

Anslaget får användas för ersättning till högskolan för forskning och utbildning på forskarnivå.

181

Prop. 2025/26:1 Utgiftsområde 16

Skälen för regeringens förslag

Tabell 5.82 Förändringar av anslagsnivån 2026–2028 för 2:34 Blekinge tekniska högskola: Forskning och utbildning på forskarnivå

Tusental kronor

 

2026

2027

2028

Anvisat 20251

118 379

118 379

118 379

Pris- och löneomräkning2

2 187

3 682

5 644

Beslutade, föreslagna och aviserade åtgärder

-1 365

-1 382

-1 404

 

 

 

 

varav BP263

-1 372

-1 372

-1 372

FoI-prop. Ökade anslag 2025

363

363

363

 

 

 

 

FoI-prop. Ökade anslag 2026

-1 735

-1 735

-1 735

Överföring till/från andra anslag

 

 

 

 

 

 

 

Övrigt

 

 

 

 

 

 

 

Förslag/beräknat anslag

119 201

120 679

122 619

 

 

 

 

1Statens budget enligt riksdagens beslut i december 2024 (bet. 2024/25:FiU10). Beloppet är således exklusive beslut om ändringar i statens budget.

2Pris- och löneomräkningen baseras på anvisade medel 2025. Övriga förändringskomponenter redovisas i löpande priser och inkluderar därmed en pris- och löneomräkning. Pris- och löneomräkningen för 2027–2028 är preliminär.

3Exklusive pris- och löneomräkning.

Anslaget minskas med 1 372 000 kronor fr.o.m. 2026 till följd av fördelning av den ökning av universitets och högskolors anslag för forskning och utbildning på forskarnivå som aviserades i forsknings- och innovationspropositionen 2024. Se tabell 5.11.

Regeringen föreslår att 119 201 000 kronor anvisas under anslaget 2:34 Blekinge tekniska högskola: Forskning och utbildning på forskarnivå för 2026. För 2027 och 2028 beräknas anslaget till 120 679 000 kronor respektive 122 619 000 kronor.

5.8.352:35 Stockholms konstnärliga högskola: Utbildning på grundnivå och avancerad nivå

Tabell 5.83 Anslagsutveckling 2:35 Stockholms konstnärliga högskola: Utbildning på grundnivå och avancerad nivå

Tusental kronor

2024

Utfall

225 049

Anslagssparande

 

2025

Anslag

232 3691

Utgiftsprognos

230 750

2026

Förslag

235 787

 

 

 

 

 

 

 

2027

Beräknat

238 7102

 

 

2028

Beräknat

242 5473

 

 

1Inklusive beslut om ändringar i statens budget 2025 och förslag till ändringar i samband med denna proposition.

2Motsvarar 235 787 tkr i 2026 års prisnivå.

3Motsvarar 235 787 tkr i 2026 års prisnivå.

Ändamål

Anslaget får användas för ersättning till högskolan för högskoleutbildning på grundnivå och avancerad nivå samt behörighetsgivande och högskoleintroducerande utbildning.

182

Prop. 2025/26:1 Utgiftsområde 16

Skälen för regeringens förslag

Tabell 5.84 Förändringar av anslagsnivån 2026–2028 för 2:35 Stockholms konstnärliga högskola: Utbildning på grundnivå och avancerad nivå

Tusental kronor

 

2026

2027

2028

Anvisat 20251

232 369

232 369

232 369

Pris- och löneomräkning2

4 295

7 229

11 080

Beslutade, föreslagna och aviserade åtgärder

-877

-888

-902

 

 

 

 

Överföring till/från andra anslag

 

 

 

 

 

 

 

Övrigt

 

 

 

 

 

 

 

Förslag/beräknat anslag

235 787

238 710

242 547

 

 

 

 

1Statens budget enligt riksdagens beslut i december 2024 (bet. 2024/25:FiU10). Beloppet är således exklusive beslut om ändringar i statens budget.

2Pris- och löneomräkningen baseras på anvisade medel 2025. Övriga förändringskomponenter redovisas i löpande priser och inkluderar därmed en pris- och löneomräkning. Pris- och löneomräkningen för 2027–2028 är preliminär.

Regeringen föreslår att 235 787 000 kronor anvisas under anslaget 2:35 Stockholms konstnärliga högskola: Utbildning på grundnivå och avancerad nivå för 2026. För 2027 och 2028 beräknas anslaget till 238 710 000 kronor respektive 242 547 000 kronor.

5.8.362:36 Stockholms konstnärliga högskola: Forskning och utbildning på forskarnivå

Tabell 5.85 Anslagsutveckling 2:36 Stockholms konstnärliga högskola: Forskning och utbildning på forskarnivå

Tusental kronor

2024

Utfall

58 092

Anslagssparande

 

2025

Anslag

60 0941

Utgiftsprognos

60 094

2026

Förslag

63 704

 

 

 

 

 

 

 

2027

Beräknat

64 4942

 

 

2028

Beräknat

65 5313

 

 

1Inklusive beslut om ändringar i statens budget 2025 och förslag till ändringar i samband med denna proposition.

2Motsvarar 63 704 tkr i 2026 års prisnivå.

3Motsvarar 63 704 tkr i 2026 års prisnivå.

Ändamål

Anslaget får användas för ersättning till universitetet för forskning och utbildning på forskarnivå.

Skälen för regeringens förslag

Tabell 5.86 Förändringar av anslagsnivån 2026–2028 för 2:36 Stockholms konstnärliga högskola: Forskning och utbildning på forskarnivå

Tusental kronor

 

2026

2027

2028

Anvisat 20251

60 094

60 094

60 094

Pris- och löneomräkning2

1 110

1 869

2 865

Beslutade, föreslagna och aviserade åtgärder

2 500

2 531

2 572

 

 

 

 

varav BP263

2 500

2 500

2 500

FoI-prop Ökade basanslag

2 500

2 500

2 500

 

 

 

 

Överföring till/från andra anslag

 

 

 

 

 

 

 

183

Prop. 2025/26:1 Utgiftsområde 16

2026 2027 2028

Övrigt

Förslag/beräknat anslag

63 704

64 494

65 531

1Statens budget enligt riksdagens beslut i december 2024 (bet. 2024/25:FiU10). Beloppet är således exklusive beslut om ändringar i statens budget.

2Pris- och löneomräkningen baseras på anvisade medel 2025. Övriga förändringskomponenter redovisas i löpande priser och inkluderar därmed en pris- och löneomräkning. Pris- och löneomräkningen för 2027–2028 är preliminär.

3Exklusive pris- och löneomräkning.

Anslaget ökas med 2 500 000 kronor fr.o.m. 2026 till följd av fördelning av den ökning av universitets och högskolors anslag för forskning och utbildning på forskarnivå som aviserades i forsknings- och innovationspropositionen 2024. Se tabell 5.12.

Regeringen föreslår att 63 704 000 kronor anvisas under anslaget 2:36 Stockholms konstnärliga högskola: Forskning och utbildning på forskarnivå för 2026. För 2027 och 2028 beräknas anslaget till 64 494 000 kronor respektive 65 531 000 kronor.

5.8.372:37 Gymnastik- och idrottshögskolan: Utbildning på grundnivå och avancerad nivå

Tabell 5.87 Anslagsutveckling 2:37 Gymnastik- och idrottshögskolan: Utbildning på grundnivå och avancerad nivå

Tusental kronor

2024

Utfall

127 982

Anslagssparande

 

 

 

 

 

 

2025

Anslag

131 6731

Utgiftsprognos

131 673

2026

Förslag

131 447

 

 

2027

Beräknat

133 0772

 

 

2028

Beräknat

133 7713

 

 

1Inklusive beslut om ändringar i statens budget 2025 och förslag till ändringar i samband med denna proposition.

2Motsvarar 131 447 tkr i 2026 års prisnivå.

3Motsvarar 130 042 tkr i 2026 års prisnivå.

Ändamål

Anslaget får användas för ersättning till högskolan för högskoleutbildning på grundnivå och avancerad nivå samt behörighetsgivande och högskoleintroducerande utbildning.

Skälen för regeringens förslag

Tabell 5.88 Förändringar av anslagsnivån 2026–2028 för 2:37 Gymnastik- och idrottshögskolan: Utbildning på grundnivå och avancerad nivå

Tusental kronor

 

2026

2027

2028

Anvisat 20251

131 673

131 673

131 673

Pris- och löneomräkning2

2 433

4 096

6 278

Beslutade, föreslagna och aviserade åtgärder

-2 659

-2 692

-4 180

 

 

 

 

Överföring till/från andra anslag

 

 

 

 

 

 

 

Övrigt

 

 

 

 

 

 

 

Förslag/beräknat anslag

131 447

133 077

133 771

 

 

 

 

1Statens budget enligt riksdagens beslut i december 2024 (bet. 2024/25:FiU10). Beloppet är således exklusive beslut om ändringar i statens budget.

2Pris- och löneomräkningen baseras på anvisade medel 2025. Övriga förändringskomponenter redovisas i löpande priser och inkluderar därmed en pris- och löneomräkning. Pris- och löneomräkningen för 2027–2028 är preliminär.

184

Prop. 2025/26:1 Utgiftsområde 16

Regeringen föreslår att 131 447 000 kronor anvisas under anslaget 2:37 Gymnastik- och idrottshögskolan: Utbildning på grundnivå och avancerad nivå för 2026. För 2027 och 2028 beräknas anslaget till 133 077 000 kronor respektive 133 771 000 kronor.

5.8.382:38 Gymnastik- och idrottshögskolan: Forskning och utbildning på forskarnivå

Tabell 5.89 Anslagsutveckling 2:38 Gymnastik- och idrottshögskolan: Forskning och utbildning på forskarnivå

Tusental kronor

2024

Utfall

36 434

Anslagssparande

 

2025

Anslag

37 6891

Utgiftsprognos

37 689

2026

Förslag

40 885

 

 

 

 

 

 

 

2027

Beräknat

41 3922

 

 

2028

Beräknat

42 0583

 

 

1Inklusive beslut om ändringar i statens budget 2025 och förslag till ändringar i samband med denna proposition.

2Motsvarar 40 885 tkr i 2026 års prisnivå.

3Motsvarar 40 886 tkr i 2026 års prisnivå.

Ändamål

Anslaget får användas för ersättning till högskolan för forskning och utbildning på forskarnivå.

Skälen för regeringens förslag

Tabell 5.90 Förändringar av anslagsnivån 2026–2028 för 2:38 Gymnastik- och idrottshögskolan: Forskning och utbildning på forskarnivå

Tusental kronor

 

2026

2027

2028

Anvisat 20251

37 689

37 689

37 689

Pris- och löneomräkning2

696

1 172

1 797

Beslutade, föreslagna och aviserade åtgärder

2 500

2 531

2 572

 

 

 

 

varav BP263

2 500

2 500

2 500

FoI-prop Ökade basanslag

2 500

2 500

2 500

 

 

 

 

Överföring till/från andra anslag

 

 

 

Övrigt

 

 

 

 

 

 

 

Förslag/beräknat anslag

40 885

41 392

42 058

 

 

 

 

1Statens budget enligt riksdagens beslut i december 2024 (bet. 2024/25:FiU10). Beloppet är således exklusive beslut om ändringar i statens budget.

2Pris- och löneomräkningen baseras på anvisade medel 2025. Övriga förändringskomponenter redovisas i löpande priser och inkluderar därmed en pris- och löneomräkning. Pris- och löneomräkningen för 2027–2028 är preliminär.

3Exklusive pris- och löneomräkning.

Anslaget ökas med 2 500 000 kronor fr.o.m. 2026 till följd av fördelning av den ökning av universitets och högskolors anslag för forskning och utbildning på forskarnivå som aviserades i forsknings- och innovationspropositionen 2024. Se tabell 5.12.

Regeringen föreslår att 40 885 000 kronor anvisas under anslaget 2:38 Gymnastik- och idrottshögskolan: Forskning och utbildning på forskarnivå för 2026. För 2027 och 2028 beräknas anslaget till 41 392 000 kronor respektive 42 058 000 kronor.

185

Prop. 2025/26:1 Utgiftsområde 16

5.8.392:39 Högskolan i Borås: Utbildning på grundnivå och avancerad nivå

Tabell 5.91 Anslagsutveckling 2:39 Högskolan i Borås: Utbildning på grundnivå och avancerad nivå

Tusental kronor

2024

Utfall

590 289

Anslagssparande

 

 

 

 

 

 

2025

Anslag

605 6871

Utgiftsprognos

605 687

2026

Förslag

611 787

 

 

 

 

 

 

 

2027

Beräknat

618 7052

 

 

2028

Beräknat

628 6503

 

 

1Inklusive beslut om ändringar i statens budget 2025 och förslag till ändringar i samband med denna proposition.

2Motsvarar 611 128 tkr i 2026 års prisnivå.

3Motsvarar 611 128 tkr i 2026 års prisnivå.

Ändamål

Anslaget får användas för ersättning till högskolan för högskoleutbildning på grundnivå och avancerad nivå samt behörighetsgivande och högskoleintroducerande utbildning.

Skälen för regeringens förslag

Tabell 5.92 Förändringar av anslagsnivån 2026–2028 för 2:39 Högskolan i Borås: Utbildning på grundnivå och avancerad nivå

Tusental kronor

 

2026

2027

2028

Anvisat 20251

605 687

605 687

605 687

Pris- och löneomräkning2

11 193

18 841

28 880

Beslutade, föreslagna och aviserade åtgärder

-5 093

-5 823

-5 917

 

 

 

 

Överföring till/från andra anslag

 

 

 

 

 

 

 

Övrigt

 

 

 

 

 

 

 

Förslag/beräknat anslag

611 787

618 705

628 650

 

 

 

 

1Statens budget enligt riksdagens beslut i december 2024 (bet. 2024/25:FiU10). Beloppet är således exklusive beslut om ändringar i statens budget.

2Pris- och löneomräkningen baseras på anvisade medel 2025. Övriga förändringskomponenter redovisas i löpande priser och inkluderar därmed en pris- och löneomräkning. Pris- och löneomräkningen för 2027–2028 är preliminär.

Regeringen föreslår att 611 787 000 kronor anvisas under anslaget 2:39 Högskolan i Borås: Utbildning på grundnivå och avancerad nivå för 2026. För 2027 och 2028 beräknas anslaget till 618 705 000 kronor respektive 628 650 000 kronor.

5.8.402:40 Högskolan i Borås: Forskning och utbildning på forskarnivå

Tabell 5.93 Anslagsutveckling 2:40 Högskolan i Borås: Forskning och utbildning på forskarnivå

Tusental kronor

2024

Utfall

110 758

Anslagssparande

 

 

 

 

 

 

2025

Anslag

115 2041

Utgiftsprognos

115 204

2026

Förslag

119 515

 

 

2027

Beräknat

120 9972

 

 

186

Prop. 2025/26:1 Utgiftsområde 16

2028

Beräknat

122 9423

1Inklusive beslut om ändringar i statens budget 2025 och förslag till ändringar i samband med denna proposition.

2Motsvarar 119 515 tkr i 2026 års prisnivå.

3Motsvarar 119 515 tkr i 2026 års prisnivå.

Ändamål

Anslaget får användas för ersättning till högskolan för forskning och utbildning på forskarnivå.

Skälen för regeringens förslag

Tabell 5.94 Förändringar av anslagsnivån 2026–2028 för 2:40 Högskolan i Borås: Forskning och utbildning på forskarnivå

Tusental kronor

 

2026

2027

2028

Anvisat 20251

114 574

114 574

114 574

Pris- och löneomräkning2

2 117

3 564

5 463

Beslutade, föreslagna och aviserade åtgärder

2 824

2 859

2 905

 

 

 

 

varav BP263

2 812

2 812

2 812

FoI-prop. Ökade anslag 2025

630

630

630

FoI-prop. Ökade anslag 2026

2 182

2 182

2 182

 

 

 

 

Överföring till/från andra anslag

 

 

 

 

 

 

 

Övrigt

 

 

 

Förslag/beräknat anslag

119 515

120 997

122 942

 

 

 

 

1Statens budget enligt riksdagens beslut i december 2024 (bet. 2024/25:FiU10). Beloppet är således exklusive beslut om ändringar i statens budget.

2Pris- och löneomräkningen baseras på anvisade medel 2025. Övriga förändringskomponenter redovisas i löpande priser och inkluderar därmed en pris- och löneomräkning. Pris- och löneomräkningen för 2027–2028 är preliminär.

3Exklusive pris- och löneomräkning.

Anslaget ökas med 2 812 000 kronor fr.o.m. 2026 till följd av fördelning av den ökning av universitets och högskolors anslag för forskning och utbildning på forskarnivå som aviserades i forsknings- och innovationspropositionen 2024. Se tabell 5.11.

Regeringen föreslår att 119 515 000 kronor anvisas under anslaget 2:40 Högskolan i Borås: Forskning och utbildning på forskarnivå för 2026. För 2027 och 2028 beräknas anslaget till 120 997 000 kronor respektive 122 942 000 kronor.

5.8.412:41 Högskolan Dalarna: Utbildning på grundnivå och avancerad nivå

Tabell 5.95 Anslagsutveckling 2:41 Högskolan Dalarna: Utbildning på grundnivå och avancerad nivå

Tusental kronor

2024

Utfall

509 955

Anslagssparande

4 611

2025

Anslag

513 8241

Utgiftsprognos

513 824

2026

Förslag

513 590

 

 

 

 

 

 

 

2027

Beräknat

518 0692

 

 

2028

Beräknat

526 3983

 

 

187

Prop. 2025/26:1 Utgiftsområde 16

1Inklusive beslut om ändringar i statens budget 2025 och förslag till ändringar i samband med denna proposition.

2Motsvarar 511 725 tkr i 2026 års prisnivå.

3Motsvarar 511 726 tkr i 2026 års prisnivå.

Ändamål

Anslaget får användas för ersättning till högskolan för högskoleutbildning på grundnivå och avancerad nivå samt behörighetsgivande och högskoleintroducerande utbildning.

Skälen för regeringens förslag

Tabell 5.96 Förändringar av anslagsnivån 2026–2028 för 2:41 Högskolan Dalarna: Utbildning på grundnivå och avancerad nivå

Tusental kronor

 

2026

2027

2028

Anvisat 20251

513 824

513 824

513 824

Pris- och löneomräkning2

9 496

15 984

24 501

Beslutade, föreslagna och aviserade åtgärder

-9 730

-11 739

-11 927

 

 

 

 

Överföring till/från andra anslag

 

 

 

 

 

 

 

Övrigt

 

 

 

 

 

 

 

Förslag/beräknat anslag

513 590

518 069

526 398

 

 

 

 

1Statens budget enligt riksdagens beslut i december 2024 (bet. 2024/25:FiU10). Beloppet är således exklusive beslut om ändringar i statens budget.

2Pris- och löneomräkningen baseras på anvisade medel 2025. Övriga förändringskomponenter redovisas i löpande priser och inkluderar därmed en pris- och löneomräkning. Pris- och löneomräkningen för 2027–2028 är preliminär.

Regeringen föreslår att 513 590 000 kronor anvisas under anslaget 2:41 Högskolan Dalarna: Utbildning på grundnivå och avancerad nivå för 2026. För 2027 och 2028 beräknas anslaget till 518 069 000 kronor respektive 526 398 000 kronor.

5.8.422:42 Högskolan Dalarna: Forskning och utbildning på forskarnivå

Tabell 5.97 Anslagsutveckling 2:42 Högskolan Dalarna: Forskning och utbildning på forskarnivå

Tusental kronor

2024

Utfall

114 256

Anslagssparande

 

 

 

 

 

 

2025

Anslag

118 6221

Utgiftsprognos

118 622

2026

Förslag

120 821

 

 

2027

Beräknat

122 3192

 

 

2028

Beräknat

124 2853

 

 

1Inklusive beslut om ändringar i statens budget 2025 och förslag till ändringar i samband med denna proposition.

2Motsvarar 120 821 tkr i 2026 års prisnivå.

3Motsvarar 120 821 tkr i 2026 års prisnivå.

Ändamål

Anslaget får användas för ersättning till högskolan för forskning och utbildning på forskarnivå.

188

Prop. 2025/26:1 Utgiftsområde 16

Skälen för regeringens förslag

Tabell 5.98 Förändringar av anslagsnivån 2026–2028 för 2:42 Högskolan Dalarna: Forskning och utbildning på forskarnivå

Tusental kronor

 

2026

2027

2028

Anvisat 20251

118 193

118 193

118 193

Pris- och löneomräkning2

2 184

3 676

5 635

Beslutade, föreslagna och aviserade åtgärder

444

450

457

 

 

 

 

varav BP263

436

436

436

FoI-prop. Ökade anslag 2025

429

429

429

 

 

 

 

FoI-prop. Ökade anslag 2026

7

7

7

Överföring till/från andra anslag

 

 

 

 

 

 

 

Övrigt

 

 

 

 

 

 

 

Förslag/beräknat anslag

120 821

122 319

124 285

 

 

 

 

1Statens budget enligt riksdagens beslut i december 2024 (bet. 2024/25:FiU10). Beloppet är således exklusive beslut om ändringar i statens budget.

2Pris- och löneomräkningen baseras på anvisade medel 2025. Övriga förändringskomponenter redovisas i löpande priser och inkluderar därmed en pris- och löneomräkning. Pris- och löneomräkningen för 2027–2028 är preliminär.

3Exklusive pris- och löneomräkning.

Anslaget ökas med 436 000 kronor fr.o.m. 2026 till följd av fördelning av den ökning av universitets och högskolors anslag för forskning och utbildning på forskarnivå som aviserades i forsknings- och innovationspropositionen 2024. Se tabell 5.11.

Regeringen föreslår att 120 821 000 kronor anvisas under anslaget 2:42 Högskolan Dalarna: Forskning och utbildning på forskarnivå för 2026. För 2027 och 2028 beräknas anslaget till 122 319 000 kronor respektive 124 285 000 kronor.

5.8.432:43 Högskolan i Gävle: Utbildning på grundnivå och avancerad nivå

Tabell 5.99 Anslagsutveckling 2:43 Högskolan i Gävle: Utbildning på grundnivå och avancerad nivå

Tusental kronor

2024

Utfall

548 352

Anslagssparande

 

2025

Anslag

560 1291

Utgiftsprognos

560 129

2026

Förslag

564 285

 

 

 

 

 

 

 

2027

Beräknat

570 2412

 

 

2028

Beräknat

574 4693

 

 

1Inklusive beslut om ändringar i statens budget 2025 och förslag till ändringar i samband med denna proposition.

2Motsvarar 563 258 tkr i 2026 års prisnivå.

3Motsvarar 558 457 tkr i 2026 års prisnivå.

Ändamål

Anslaget får användas för ersättning till högskolan för högskoleutbildning på grundnivå och avancerad nivå samt behörighetsgivande och högskoleintroducerande utbildning.

189

Prop. 2025/26:1 Utgiftsområde 16

Skälen för regeringens förslag

Tabell 5.100 Förändringar av anslagsnivån 2026–2028 för 2:43 Högskolan i Gävle: Utbildning på grundnivå och avancerad nivå

Tusental kronor

 

2026

2027

2028

Anvisat 20251

560 129

560 129

560 129

Pris- och löneomräkning2

10 351

17 424

26 708

Beslutade, föreslagna och aviserade åtgärder

-6 195

-7 312

-7 718

 

 

 

 

Överföring till/från andra anslag

 

 

-4 650

 

 

 

 

Övrigt

 

 

 

 

 

 

 

Förslag/beräknat anslag

564 285

570 241

574 469

 

 

 

 

1Statens budget enligt riksdagens beslut i december 2024 (bet. 2024/25:FiU10). Beloppet är således exklusive beslut om ändringar i statens budget.

2Pris- och löneomräkningen baseras på anvisade medel 2025. Övriga förändringskomponenter redovisas i löpande priser och inkluderar därmed en pris- och löneomräkning. Pris- och löneomräkningen för 2027–2028 är preliminär.

Regeringen föreslår att 564 285 000 kronor anvisas under anslaget 2:43 Högskolan i Gävle: Utbildning på grundnivå och avancerad nivå för 2026. För 2027 och 2028 beräknas anslaget till 570 241 000 kronor respektive 574 469 000 kronor.

5.8.442:44 Högskolan i Gävle: Forskning och utbildning på forskarnivå

Tabell 5.101 Anslagsutveckling 2:44 Högskolan i Gävle: Forskning och utbildning på forskarnivå

Tusental kronor

2024

Utfall

121 318

Anslagssparande

 

2025

Anslag

125 9241

Utgiftsprognos

125 924

2026

Förslag

128 297

 

 

 

 

 

 

 

2027

Beräknat

129 8882

 

 

2028

Beräknat

131 9763

 

 

1Inklusive beslut om ändringar i statens budget 2025 och förslag till ändringar i samband med denna proposition.

2Motsvarar 128 297 tkr i 2026 års prisnivå.

3Motsvarar 128 297 tkr i 2026 års prisnivå.

Ändamål

Anslaget får användas för ersättning till högskolan för forskning och utbildning på forskarnivå.

Skälen för regeringens förslag

Tabell 5.102 Förändringar av anslagsnivån 2026–2028 för 2:44 Högskolan i Gävle: Forskning och utbildning på forskarnivå

Tusental kronor

 

2026

2027

2028

Anvisat 20251

125 498

125 498

125 498

Pris- och löneomräkning2

2 319

3 904

5 984

Beslutade, föreslagna och aviserade åtgärder

480

486

494

 

 

 

 

varav BP263

472

472

472

FoI-prop. Ökade anslag 2025

426

426

426

 

 

 

 

FoI-prop. Ökade anslag 2026

46

46

46

 

 

 

 

190

Prop. 2025/26:1 Utgiftsområde 16

202620272028

Överföring till/från andra anslag

Övrigt

Förslag/beräknat anslag

128 297

129 888

131 976

 

 

 

 

1Statens budget enligt riksdagens beslut i december 2024 (bet. 2024/25:FiU10). Beloppet är således exklusive beslut om ändringar i statens budget.

2Pris- och löneomräkningen baseras på anvisade medel 2025. Övriga förändringskomponenter redovisas i löpande priser och inkluderar därmed en pris- och löneomräkning. Pris- och löneomräkningen för 2027–2028 är preliminär.

3Exklusive pris- och löneomräkning.

Anslaget ökas med 472 000 kronor fr.o.m. 2026 till följd av fördelning av den ökning av universitets och högskolors anslag för forskning och utbildning på forskarnivå som aviserades i forsknings- och innovationspropositionen 2024. Se tabell 5.11.

Regeringen föreslår att 128 297 000 kronor anvisas under anslaget 2:44 Högskolan i Gävle: Forskning och utbildning på forskarnivå för 2026. För 2027 och 2028 beräknas anslaget till 129 888 000 kronor respektive 131 976 000 kronor.

5.8.452:45 Högskolan i Halmstad: Utbildning på grundnivå och avancerad nivå

Tabell 5.103 Anslagsutveckling 2:45 Högskolan i Halmstad: Utbildning på grundnivå och avancerad nivå

Tusental kronor

2024

Utfall

481 161

Anslagssparande

 

2025

Anslag

493 7501

Utgiftsprognos

493 750

2026

Förslag

497 394

 

 

 

 

 

 

 

2027

Beräknat

503 0972

 

 

2028

Beräknat

502 6413

 

 

1Inklusive beslut om ändringar i statens budget 2025 och förslag till ändringar i samband med denna proposition.

2Motsvarar 496 936 tkr i 2026 års prisnivå.

3Motsvarar 488 631 tkr i 2026 års prisnivå.

Ändamål

Anslaget får användas för ersättning till högskolan för högskoleutbildning på grundnivå och avancerad nivå samt behörighetsgivande och högskoleintroducerande utbildning.

Skälen för regeringens förslag

Tabell 5.104 Förändringar av anslagsnivån 2026–2028 för 2:45 Högskolan i Halmstad: Utbildning på grundnivå och avancerad nivå

Tusental kronor

 

2026

2027

2028

Anvisat 20251

493 750

493 750

493 750

Pris- och löneomräkning2

9 125

15 359

23 544

Beslutade, föreslagna och aviserade åtgärder

-5 481

-6 012

-6 591

 

 

 

 

Överföring till/från andra anslag

 

 

-8 062

 

 

 

 

Övrigt

 

 

 

 

 

 

 

Förslag/beräknat anslag

497 394

503 097

502 641

1Statens budget enligt riksdagens beslut i december 2024 (bet. 2024/25:FiU10). Beloppet är således exklusive beslut om ändringar i statens budget.

2Pris- och löneomräkningen baseras på anvisade medel 2025. Övriga förändringskomponenter redovisas i löpande priser och inkluderar därmed en pris- och löneomräkning. Pris- och löneomräkningen för 2027–2028 är preliminär.

191

Prop. 2025/26:1 Utgiftsområde 16

Regeringen föreslår att 497 394 000 kronor anvisas under anslaget 2:45 Högskolan i Halmstad: Utbildning på grundnivå och avancerad nivå för 2026. För 2027 och 2028 beräknas anslaget till 503 097 000 kronor respektive 502 641 000 kronor.

5.8.462:46 Högskolan i Halmstad: Forskning och utbildning på forskarnivå

Tabell 5.105 Anslagsutveckling 2:46 Högskolan i Halmstad: Forskning och utbildning på forskarnivå

Tusental kronor

2024

Utfall

107 704

Anslagssparande

 

2025

Anslag

111 9321

Utgiftsprognos

111 932

2026

Förslag

115 343

 

 

 

 

 

 

 

2027

Beräknat

116 7732

 

 

2028

Beräknat

118 6503

 

 

1Inklusive beslut om ändringar i statens budget 2025 och förslag till ändringar i samband med denna proposition.

2Motsvarar 115 343 tkr i 2026 års prisnivå.

3Motsvarar 115 343 tkr i 2026 års prisnivå.

Ändamål

Anslaget får användas för ersättning till högskolan för forskning och utbildning på forskarnivå.

Skälen för regeringens förslag

Tabell 5.106 Förändringar av anslagsnivån 2026–2028 för 2:46 Högskolan i Halmstad: Forskning och utbildning på forskarnivå

Tusental kronor

 

2026

2027

2028

Anvisat 20251

111 415

111 415

111 415

Pris- och löneomräkning2

2 059

3 466

5 312

Beslutade, föreslagna och aviserade åtgärder

1 869

1 892

1 923

 

 

 

 

varav BP263

1 859

1 859

1 859

FoI-prop. Ökade anslag 2025

517

517

517

 

 

 

 

FoI-prop. Ökade anslag 2026

1 342

1 342

1 342

Överföring till/från andra anslag

 

 

 

 

 

 

 

Övrigt

 

 

 

 

 

 

 

Förslag/beräknat anslag

115 343

116 773

118 650

 

 

 

 

1Statens budget enligt riksdagens beslut i december 2024 (bet. 2024/25:FiU10). Beloppet är således exklusive beslut om ändringar i statens budget.

2Pris- och löneomräkningen baseras på anvisade medel 2025. Övriga förändringskomponenter redovisas i löpande priser och inkluderar därmed en pris- och löneomräkning. Pris- och löneomräkningen för 2027–2028 är preliminär.

3Exklusive pris- och löneomräkning.

Anslaget ökas med 1 859 000 kronor fr.o.m. 2026 till följd av fördelning av den ökning av universitets och högskolors anslag för forskning och utbildning på forskarnivå som aviserades i forsknings- och innovationspropositionen 2024. Se tabell 5.11.

Regeringen föreslår att 115 343 000 kronor anvisas under anslaget 2:46 Högskolan i Halmstad: Forskning och utbildning på forskarnivå för 2026. För 2027 och 2028 beräknas anslaget till 116 773 000 kronor respektive 118 650 000 kronor.

192

Prop. 2025/26:1 Utgiftsområde 16

5.8.472:47 Högskolan Kristianstad: Utbildning på grundnivå och avancerad nivå

Tabell 5.107 Anslagsutveckling 2:47 Högskolan Kristianstad: Utbildning på grundnivå och avancerad nivå

Tusental kronor

2024

Utfall

472 278

Anslagssparande

 

 

 

 

 

 

2025

Anslag

481 8601

Utgiftsprognos

481 860

2026

Förslag

484 014

 

 

 

 

 

 

 

2027

Beräknat

489 0772

 

 

2028

Beräknat

496 9393

 

 

1Inklusive beslut om ändringar i statens budget 2025 och förslag till ändringar i samband med denna proposition.

2Motsvarar 483 088 tkr i 2026 års prisnivå.

3Motsvarar 483 088 tkr i 2026 års prisnivå.

Ändamål

Anslaget får användas för ersättning till högskolan för högskoleutbildning på grundnivå och avancerad nivå samt behörighetsgivande och högskoleintroducerande utbildning.

Skälen för regeringens förslag

Tabell 5.108 Förändringar av anslagsnivån 2026–2028 för 2:47 Högskolan Kristianstad: Utbildning på grundnivå och avancerad nivå

Tusental kronor

 

2026

2027

2028

Anvisat 20251

481 860

481 860

481 860

Pris- och löneomräkning2

8 905

14 989

22 976

Beslutade, föreslagna och aviserade åtgärder

-6 751

-7 772

-7 897

 

 

 

 

Överföring till/från andra anslag

 

 

 

 

 

 

 

Övrigt

 

 

 

 

 

 

 

Förslag/beräknat anslag

484 014

489 077

496 939

 

 

 

 

1Statens budget enligt riksdagens beslut i december 2024 (bet. 2024/25:FiU10). Beloppet är således exklusive beslut om ändringar i statens budget.

2Pris- och löneomräkningen baseras på anvisade medel 2025. Övriga förändringskomponenter redovisas i löpande priser och inkluderar därmed en pris- och löneomräkning. Pris- och löneomräkningen för 2027–2028 är preliminär.

Regeringen föreslår att 484 014 000 kronor anvisas under anslaget 2:47 Högskolan Kristianstad: Utbildning på grundnivå och avancerad nivå för 2026. För 2027 och 2028 beräknas anslaget till 489 077 000 kronor respektive 496 939 000 kronor.

5.8.482:48 Högskolan Kristianstad: Forskning och utbildning på forskarnivå

Tabell 5.109 Anslagsutveckling 2:48 Högskolan Kristianstad: Forskning och utbildning på forskarnivå

Tusental kronor

2024

Utfall

103 776

Anslagssparande

 

 

 

 

 

 

2025

Anslag

107 5811

Utgiftsprognos

107 581

2026

Förslag

108 153

 

 

2027

Beräknat

109 4932

 

 

193

Prop. 2025/26:1 Utgiftsområde 16

2028

Beräknat

111 2543

1Inklusive beslut om ändringar i statens budget 2025 och förslag till ändringar i samband med denna proposition.

2Motsvarar 108 152 tkr i 2026 års prisnivå.

3Motsvarar 108 153 tkr i 2026 års prisnivå.

Ändamål

Anslaget får användas för ersättning till högskolan för forskning och utbildning på forskarnivå.

Skälen för regeringens förslag

Tabell 5.110 Förändringar av anslagsnivån 2026–2028 för 2:48 Högskolan Kristianstad: Forskning och utbildning på forskarnivå

Tusental kronor

 

2026

2027

2028

Anvisat 20251

107 351

107 351

107 351

Pris- och löneomräkning2

1 984

3 339

5 119

Beslutade, föreslagna och aviserade åtgärder

-1 182

-1 197

-1 216

 

 

 

 

varav BP263

-1 186

-1 186

-1 186

FoI-prop. Ökade anslag 2025

230

230

230

FoI-prop. Ökade anslag 2026

-1 416

-1 416

-1 416

 

 

 

 

Överföring till/från andra anslag

 

 

 

 

 

 

 

Övrigt

 

 

 

Förslag/beräknat anslag

108 153

109 493

111 254

 

 

 

 

1Statens budget enligt riksdagens beslut i december 2024 (bet. 2024/25:FiU10). Beloppet är således exklusive beslut om ändringar i statens budget.

2Pris- och löneomräkningen baseras på anvisade medel 2025. Övriga förändringskomponenter redovisas i löpande priser och inkluderar därmed en pris- och löneomräkning. Pris- och löneomräkningen för 2027–2028 är preliminär.

3Exklusive pris- och löneomräkning.

Anslaget minskas med 1 186 000 kronor fr.o.m. 2026 till följd av fördelning av den ökning av universitets och högskolors anslag för forskning och utbildning på forskarnivå som aviserades i forsknings- och innovationspropositionen 2024. Se tabell 5.11.

Regeringen föreslår att 108 153 000 kronor anvisas under anslaget 2:48 Högskolan Kristianstad: Forskning och utbildning på forskarnivå för 2026. För 2027 och 2028 beräknas anslaget till 109 493 000 kronor respektive 111 254 000 kronor.

5.8.492:49 Högskolan i Skövde: Utbildning på grundnivå och avancerad nivå

Tabell 5.111 Anslagsutveckling 2:49 Högskolan i Skövde: Utbildning på grundnivå och avancerad nivå

Tusental kronor

2024

Utfall

371 028

Anslagssparande

 

2025

Anslag

381 9191

Utgiftsprognos

381 919

2026

Förslag

386 068

 

 

 

 

 

 

 

2027

Beräknat

390 5692

 

 

2028

Beräknat

396 8483

 

 

194

Prop. 2025/26:1 Utgiftsområde 16

1Inklusive beslut om ändringar i statens budget 2025 och förslag till ändringar i samband med denna proposition.

2Motsvarar 385 786 tkr i 2026 års prisnivå.

3Motsvarar 385 787 tkr i 2026 års prisnivå.

Ändamål

Anslaget får användas för ersättning till högskolan för högskoleutbildning på grundnivå och avancerad nivå samt behörighetsgivande och högskoleintroducerande utbildning.

Skälen för regeringens förslag

Tabell 5.112 Förändringar av anslagsnivån 2026–2028 för 2:49 Högskolan i Skövde: Utbildning på grundnivå och avancerad nivå

Tusental kronor

 

2026

2027

2028

Anvisat 20251

381 919

381 919

381 919

Pris- och löneomräkning2

7 058

11 880

18 211

Beslutade, föreslagna och aviserade åtgärder

-2 909

-3 230

-3 282

 

 

 

 

Överföring till/från andra anslag

 

 

 

 

 

 

 

Övrigt

 

 

 

 

 

 

 

Förslag/beräknat anslag

386 068

390 569

396 848

 

 

 

 

1Statens budget enligt riksdagens beslut i december 2024 (bet. 2024/25:FiU10). Beloppet är således exklusive beslut om ändringar i statens budget.

2Pris- och löneomräkningen baseras på anvisade medel 2025. Övriga förändringskomponenter redovisas i löpande priser och inkluderar därmed en pris- och löneomräkning. Pris- och löneomräkningen för 2027–2028 är preliminär.

Regeringen föreslår att 386 068 000 kronor anvisas under anslaget 2:49 Högskolan i Skövde: Utbildning på grundnivå och avancerad nivå för 2026. För 2027 och 2028 beräknas anslaget till 390 569 000 kronor respektive 396 848 000 kronor.

5.8.502:50 Högskolan i Skövde: Forskning och utbildning på forskarnivå

Tabell 5.113 Anslagsutveckling 2:50 Högskolan i Skövde: Forskning och utbildning på forskarnivå

Tusental kronor

2024

Utfall

69 521

Anslagssparande

 

 

 

 

 

 

2025

Anslag

72 2681

Utgiftsprognos

72 268

2026

Förslag

74 265

 

 

2027

Beräknat

75 1862

 

 

2028

Beräknat

76 3943

 

 

1Inklusive beslut om ändringar i statens budget 2025 och förslag till ändringar i samband med denna proposition.

2Motsvarar 74 265 tkr i 2026 års prisnivå.

3Motsvarar 74 265 tkr i 2026 års prisnivå.

Ändamål

Anslaget får användas för ersättning till högskolan för forskning och utbildning på forskarnivå.

195

Prop. 2025/26:1 Utgiftsområde 16

Skälen för regeringens förslag

Tabell 5.114 Förändringar av anslagsnivån 2026–2028 för 2:50 Högskolan i Skövde: Forskning och utbildning på forskarnivå

Tusental kronor

 

2026

2027

2028

Anvisat 20251

71 916

71 916

71 916

Pris- och löneomräkning2

1 329

2 237

3 429

Beslutade, föreslagna och aviserade åtgärder

1 020

1 033

1 049

 

 

 

 

varav BP263

1 013

1 013

1 013

FoI-prop. Ökade anslag 2025

352

352

352

 

 

 

 

FoI-prop. Ökade anslag 2026

661

661

661

Överföring till/från andra anslag

 

 

 

 

 

 

 

Övrigt

 

 

 

 

 

 

 

Förslag/beräknat anslag

74 265

75 186

76 394

 

 

 

 

1Statens budget enligt riksdagens beslut i december 2024 (bet. 2024/25:FiU10). Beloppet är således exklusive beslut om ändringar i statens budget.

2Pris- och löneomräkningen baseras på anvisade medel 2025. Övriga förändringskomponenter redovisas i löpande priser och inkluderar därmed en pris- och löneomräkning. Pris- och löneomräkningen för 2027–2028 är preliminär.

3Exklusive pris- och löneomräkning.

Anslaget ökas med 1 013 000 kronor fr.o.m. 2026 till följd av fördelning av den ökning av universitets och högskolors anslag för forskning och utbildning på forskarnivå som aviserades i forsknings- och innovationspropositionen 2024. Se tabell 5.11.

Regeringen föreslår att 74 265 000 kronor anvisas under anslaget 2:50 Högskolan i Skövde: Forskning och utbildning på forskarnivå för 2026. För 2027 och 2028 beräknas anslaget till 75 186 000 kronor respektive 76 394 000 kronor.

5.8.512:51 Högskolan Väst: Utbildning på grundnivå och avancerad nivå

Tabell 5.115 Anslagsutveckling 2:51 Högskolan Väst: Utbildning på grundnivå och avancerad nivå

Tusental kronor

2024

Utfall

444 839

Anslagssparande

 

2025

Anslag

454 9541

Utgiftsprognos

454 954

2026

Förslag

456 387

 

 

 

 

 

 

 

2027

Beräknat

461 5892

 

 

2028

Beräknat

465 5923

 

 

1Inklusive beslut om ändringar i statens budget 2025 och förslag till ändringar i samband med denna proposition.

2Motsvarar 455 936 tkr i 2026 års prisnivå.

3Motsvarar 452 615 tkr i 2026 års prisnivå.

Ändamål

Anslaget får användas för ersättning till högskolan för högskoleutbildning på grundnivå och avancerad nivå samt behörighetsgivande och högskoleintroducerande utbildning.

196

Prop. 2025/26:1 Utgiftsområde 16

Skälen för regeringens förslag

Tabell 5.116 Förändringar av anslagsnivån 2026–2028 för 2:51 Högskolan Väst: Utbildning på grundnivå och avancerad nivå

Tusental kronor

 

2026

2027

2028

Anvisat 20251

454 954

454 954

454 954

Pris- och löneomräkning2

8 408

14 153

21 694

Beslutade, föreslagna och aviserade åtgärder

-6 975

-7 518

-7 831

 

 

 

 

Överföring till/från andra anslag

 

 

-3 225

 

 

 

 

Övrigt

 

 

 

 

 

 

 

Förslag/beräknat anslag

456 387

461 589

465 592

 

 

 

 

1Statens budget enligt riksdagens beslut i december 2024 (bet. 2024/25:FiU10). Beloppet är således exklusive beslut om ändringar i statens budget.

2Pris- och löneomräkningen baseras på anvisade medel 2025. Övriga förändringskomponenter redovisas i löpande priser och inkluderar därmed en pris- och löneomräkning. Pris- och löneomräkningen för 2027–2028 är preliminär.

Regeringen föreslår att 456 387 000 kronor anvisas under anslaget 2:51 Högskolan Väst: Utbildning på grundnivå och avancerad nivå för 2026. För 2027 och 2028 beräknas anslaget till 461 589 000 kronor respektive 465 592 000 kronor.

5.8.522:52 Högskolan Väst: Forskning och utbildning på forskarnivå

Tabell 5.117 Anslagsutveckling 2:52 Högskolan Väst: Forskning och utbildning på forskarnivå

Tusental kronor

2024

Utfall

97 827

Anslagssparande

 

2025

Anslag

101 7631

Utgiftsprognos

101 763

2026

Förslag

104 446

 

 

 

 

 

 

 

2027

Beräknat

105 7412

 

 

2028

Beräknat

107 4413

 

 

1Inklusive beslut om ändringar i statens budget 2025 och förslag till ändringar i samband med denna proposition.

2Motsvarar 104 446 tkr i 2026 års prisnivå.

3Motsvarar 104 446 tkr i 2026 års prisnivå.

Ändamål

Anslaget får användas för ersättning till högskolan för forskning och utbildning på forskarnivå.

Skälen för regeringens förslag

Tabell 5.118 Förändringar av anslagsnivån 2026–2028 för 2:52 Högskolan Väst: Forskning och utbildning på forskarnivå

Tusental kronor

 

2026

2027

2028

Anvisat 20251

101 197

101 197

101 197

Pris- och löneomräkning2

1 870

3 148

4 825

Beslutade, föreslagna och aviserade åtgärder

1 379

1 396

1 419

 

 

 

 

varav BP263

1 369

1 369

1 369

FoI-prop. Ökade anslag 2025

566

566

566

 

 

 

 

FoI-prop. Ökade anslag 2026

803

803

803

 

 

 

 

197

Prop. 2025/26:1 Utgiftsområde 16

2026 2027 2028

Överföring till/från andra anslag

Övrigt

Förslag/beräknat anslag

104 446

105 741

107 441

 

 

 

 

1Statens budget enligt riksdagens beslut i december 2024 (bet. 2024/25:FiU10). Beloppet är således exklusive beslut om ändringar i statens budget.

2Pris- och löneomräkningen baseras på anvisade medel 2025. Övriga förändringskomponenter redovisas i löpande priser och inkluderar därmed en pris- och löneomräkning. Pris- och löneomräkningen för 2027–2028 är preliminär.

3Exklusive pris- och löneomräkning.

Anslaget ökas med 1 369 000 kronor fr.o.m. 2026 till följd av fördelning av den ökning av universitets och högskolors anslag för forskning och utbildning på forskarnivå som aviserades i forsknings- och innovationspropositionen 2024. Se tabell 5.11.

Regeringen föreslår att 104 446 000 kronor anvisas under anslaget 2:52 Högskolan Väst: Forskning och utbildning på forskarnivå för 2026. För 2027 och 2028 beräknas anslaget till 105 741 000 kronor respektive 107 441 000 kronor.

5.8.532:53 Konstfack: Utbildning på grundnivå och avancerad nivå

Tabell 5.119 Anslagsutveckling 2:53 Konstfack: Utbildning på grundnivå och avancerad nivå

Tusental kronor

2024

Utfall

189 433

Anslagssparande

 

 

 

 

 

 

2025

Anslag

195 3091

Utgiftsprognos

195 309

2026

Förslag

196 524

 

 

 

 

 

 

 

2027

Beräknat

198 9602

 

 

2028

Beräknat

202 1583

 

 

1Inklusive beslut om ändringar i statens budget 2025 och förslag till ändringar i samband med denna proposition.

2Motsvarar 196 523 tkr i 2026 års prisnivå.

3Motsvarar 196 523 tkr i 2026 års prisnivå.

Ändamål

Anslaget får användas för ersättning till högskolan för högskoleutbildning på grundnivå och avancerad nivå samt behörighetsgivande och högskoleintroducerande utbildning.

Skälen för regeringens förslag

Tabell 5.120 Förändringar av anslagsnivån 2026–2028 för 2:53 Konstfack: Utbildning på grundnivå och avancerad nivå

Tusental kronor

 

2026

2027

2028

Anvisat 20251

195 309

195 309

195 309

Pris- och löneomräkning2

3 610

6 076

9 313

Beslutade, föreslagna och aviserade åtgärder

-2 395

-2 425

-2 464

 

 

 

 

Överföring till/från andra anslag

 

 

 

 

 

 

 

Övrigt

 

 

 

 

 

 

 

Förslag/beräknat anslag

196 524

198 960

202 158

 

 

 

 

198

Prop. 2025/26:1 Utgiftsområde 16

1Statens budget enligt riksdagens beslut i december 2024 (bet. 2024/25:FiU10). Beloppet är således exklusive beslut om ändringar i statens budget.

2Pris- och löneomräkningen baseras på anvisade medel 2025. Övriga förändringskomponenter redovisas i löpande priser och inkluderar därmed en pris- och löneomräkning. Pris- och löneomräkningen för 2027–2028 är preliminär.

Regeringen föreslår att 196 524 000 kronor anvisas under anslaget 2:53 Konstfack: Utbildning på grundnivå och avancerad nivå för 2026. För 2027 och 2028 beräknas anslaget till 198 960 000 kronor respektive 202 158 000 kronor.

5.8.542:54 Konstfack: Forskning och utbildning på forskarnivå

Tabell 5.121 Anslagsutveckling 2:54 Konstfack: Forskning och utbildning på forskarnivå

Tusental kronor

2024

Utfall

23 201

Anslagssparande

 

 

 

 

 

 

2025

Anslag

24 0001

Utgiftsprognos

24 000

2026

Förslag

25 943

 

 

 

 

 

 

 

2027

Beräknat

26 2652

 

 

2028

Beräknat

26 6873

 

 

1Inklusive beslut om ändringar i statens budget 2025 och förslag till ändringar i samband med denna proposition.

2Motsvarar 25 943 tkr i 2026 års prisnivå.

3Motsvarar 25 943 tkr i 2026 års prisnivå.

Ändamål

Anslaget får användas för ersättning till högskolan för forskning och utbildning på forskarnivå.

Skälen för regeringens förslag

Tabell 5.122 Förändringar av anslagsnivån 2026–2028 för 2:54 Konstfack: Forskning och utbildning på forskarnivå

Tusental kronor

 

2026

2027

2028

Anvisat 20251

24 000

24 000

24 000

Pris- och löneomräkning2

443

746

1 144

Beslutade, föreslagna och aviserade åtgärder

1 500

1 519

1 543

varav BP263

1 500

1 500

1 500

FoI-prop Ökade basanslag

1 500

1 500

1 500

 

 

 

 

Överföring till/från andra anslag

 

 

 

 

 

 

 

Övrigt

 

 

 

 

 

 

 

Förslag/beräknat anslag

25 943

26 265

26 687

 

 

 

 

1Statens budget enligt riksdagens beslut i december 2024 (bet. 2024/25:FiU10). Beloppet är således exklusive beslut om ändringar i statens budget.

2Pris- och löneomräkningen baseras på anvisade medel 2025. Övriga förändringskomponenter redovisas i löpande priser och inkluderar därmed en pris- och löneomräkning. Pris- och löneomräkningen för 2027–2028 är preliminär.

3Exklusive pris- och löneomräkning.

Anslaget ökas med 1 500 000 kronor fr.o.m. 2026 till följd av fördelning av den ökning av universitets och högskolors anslag för forskning och utbildning på forskarnivå som aviserades i forsknings- och innovationspropositionen 2024. Se tabell 5.12.

199

Prop. 2025/26:1 Utgiftsområde 16

Regeringen föreslår att 25 943 000 kronor anvisas under anslaget 2:54 Konstfack: Forskning och utbildning på forskarnivå för 2026. För 2027 och 2028 beräknas anslaget till 26 265 000 kronor respektive 26 687 000 kronor.

5.8.552:55 Kungl. Konsthögskolan: Utbildning på grundnivå och avancerad nivå

Tabell 5.123 Anslagsutveckling 2:55 Kungl. Konsthögskolan: Utbildning på grundnivå och avancerad nivå

Tusental kronor

2024

Utfall

73 485

Anslagssparande

 

2025

Anslag

75 8001

Utgiftsprognos

75 800

2026

Förslag

76 756

 

 

 

 

 

 

 

2027

Beräknat

77 7072

 

 

2028

Beräknat

78 9563

 

 

1Inklusive beslut om ändringar i statens budget 2025 och förslag till ändringar i samband med denna proposition.

2Motsvarar 76 755 tkr i 2026 års prisnivå.

3Motsvarar 76 755 tkr i 2026 års prisnivå.

Ändamål

Anslaget får användas för ersättning till högskolan för högskoleutbildning på grundnivå och avancerad nivå samt behörighetsgivande och högskoleintroducerande utbildning.

Skälen för regeringens förslag

Tabell 5.124 Förändringar av anslagsnivån 2026–2028 för 2:55 Kungl. Konsthögskolan: Utbildning på grundnivå och avancerad nivå

Tusental kronor

 

2026

2027

2028

Anvisat 20251

75 800

75 800

75 800

Pris- och löneomräkning2

1 401

2 358

3 614

Beslutade, föreslagna och aviserade åtgärder

-445

-451

-458

 

 

 

 

Överföring till/från andra anslag

 

 

 

Övrigt

 

 

 

 

 

 

 

Förslag/beräknat anslag

76 756

77 707

78 956

 

 

 

 

1Statens budget enligt riksdagens beslut i december 2024 (bet. 2024/25:FiU10). Beloppet är således exklusive beslut om ändringar i statens budget.

2Pris- och löneomräkningen baseras på anvisade medel 2025. Övriga förändringskomponenter redovisas i löpande priser och inkluderar därmed en pris- och löneomräkning. Pris- och löneomräkningen för 2027–2028 är preliminär.

Regeringen föreslår att 76 756 000 kronor anvisas under anslaget 2:55 Kungl. Konsthögskolan: Utbildning på grundnivå och avancerad nivå för 2026. För 2027 och 2028 beräknas anslaget till 77 707 000 kronor respektive 78 956 000 kronor.

200

Prop. 2025/26:1 Utgiftsområde 16

5.8.562:56 Kungl. Konsthögskolan: Forskning och utbildning på forskarnivå

Tabell 5.125 Anslagsutveckling 2:56 Kungl. Konsthögskolan: Forskning och utbildning på forskarnivå

Tusental kronor

2024

Utfall

13 610

Anslagssparande

 

 

 

 

 

 

2025

Anslag

14 0791

Utgiftsprognos

14 079

2026

Förslag

15 839

 

 

 

 

 

 

 

2027

Beräknat

16 0362

 

 

2028

Beräknat

16 2933

 

 

1Inklusive beslut om ändringar i statens budget 2025 och förslag till ändringar i samband med denna proposition.

2Motsvarar 15 840 tkr i 2026 års prisnivå.

3Motsvarar 15 839 tkr i 2026 års prisnivå.

Ändamål

Anslaget får användas för ersättning till högskolan för forskning och utbildning på forskarnivå.

Skälen för regeringens förslag

Tabell 5.126 Förändringar av anslagsnivån 2026–2028 för 2:56 Kungl. Konsthögskolan: Forskning och utbildning på forskarnivå

Tusental kronor

 

2026

2027

2028

Anvisat 20251

14 079

14 079

14 079

Pris- och löneomräkning2

260

438

671

Beslutade, föreslagna och aviserade åtgärder

1 500

1 519

1 543

varav BP263

1 500

1 500

1 500

FoI-prop Ökade basanslag

1 500

1 500

1 500

 

 

 

 

Överföring till/från andra anslag

 

 

 

Övrigt

 

 

 

 

 

 

 

Förslag/beräknat anslag

15 839

16 036

16 293

 

 

 

 

1Statens budget enligt riksdagens beslut i december 2024 (bet. 2024/25:FiU10). Beloppet är således exklusive beslut om ändringar i statens budget.

2Pris- och löneomräkningen baseras på anvisade medel 2025. Övriga förändringskomponenter redovisas i löpande priser och inkluderar därmed en pris- och löneomräkning. Pris- och löneomräkningen för 2027–2028 är preliminär.

3Exklusive pris- och löneomräkning.

Anslaget ökas med 1 500 000 kronor fr.o.m. 2026 till följd av fördelning av den ökning av universitets och högskolors anslag för forskning och utbildning på forskarnivå som aviserades i forsknings- och innovationspropositionen 2024. Se tabell 5.12.

Regeringen föreslår att 15 839 000 kronor anvisas under anslaget 2:56 Kungl. Konsthögskolan: Forskning och utbildning på forskarnivå för 2026. För 2027 och 2028 beräknas anslaget till 16 036 000 kronor respektive 16 293 000 kronor.

201

Prop. 2025/26:1 Utgiftsområde 16

5.8.572:57 Kungl. Musikhögskolan i Stockholm: Utbildning på grundnivå och avancerad nivå

Tabell 5.127 Anslagsutveckling 2:57 Kungl. Musikhögskolan i Stockholm: Utbildning på grundnivå och avancerad nivå

Tusental kronor

2024

Utfall

152 373

Anslagssparande

9 752

 

 

 

 

 

2025

Anslag

154 7951

Utgiftsprognos

157 089

2026

Förslag

156 768

 

 

 

 

 

 

 

2027

Beräknat

158 7122

 

 

2028

Beräknat

161 2633

 

 

1Inklusive beslut om ändringar i statens budget 2025 och förslag till ändringar i samband med denna proposition.

2Motsvarar 156 768 tkr i 2026 års prisnivå.

3Motsvarar 156 768 tkr i 2026 års prisnivå.

Ändamål

Anslaget får användas för ersättning till högskolan för högskoleutbildning på grundnivå och avancerad nivå samt behörighetsgivande och högskoleintroducerande utbildning.

Skälen för regeringens förslag

Tabell 5.128 Förändringar av anslagsnivån 2026–2028 för 2:57 Kungl. Musikhögskolan i Stockholm: Utbildning på grundnivå och avancerad nivå

Tusental kronor

 

2026

2027

2028

Anvisat 20251

154 795

154 795

154 795

Pris- och löneomräkning2

2 860

4 815

7 380

Beslutade, föreslagna och aviserade åtgärder

-887

-898

-912

 

 

 

 

Överföring till/från andra anslag

 

 

 

 

 

 

 

Övrigt

 

 

 

Förslag/beräknat anslag

156 768

158 712

161 263

 

 

 

 

1Statens budget enligt riksdagens beslut i december 2024 (bet. 2024/25:FiU10). Beloppet är således exklusive beslut om ändringar i statens budget.

2Pris- och löneomräkningen baseras på anvisade medel 2025. Övriga förändringskomponenter redovisas i löpande priser och inkluderar därmed en pris- och löneomräkning. Pris- och löneomräkningen för 2027–2028 är preliminär.

Regeringen föreslår att 156 768 00 kronor anvisas under anslaget 2:57 Kungl. Musikhögskolan i Stockholm: Utbildning på grundnivå och avancerad nivå för 2026. För 2027 och 2028 beräknas anslaget till 158 712 000 kronor respektive 161 263 000 kronor.

5.8.582:58 Kungl. Musikhögskolan i Stockholm: Forskning och utbildning på forskarnivå

Tabell 5.129 Anslagsutveckling 2:58 Kungl. Musikhögskolan i Stockholm: Forskning och utbildning på forskarnivå

Tusental kronor

2024

Utfall

23 342

Anslagssparande

 

 

 

 

 

 

2025

Anslag

24 1461

Utgiftsprognos

24 146

2026

Förslag

26 092

 

 

 

 

 

 

 

2027

Beräknat

26 4162

 

 

202

Prop. 2025/26:1 Utgiftsområde 16

2028

Beräknat

26 8403

1Inklusive beslut om ändringar i statens budget 2025 och förslag till ändringar i samband med denna proposition.

2Motsvarar 26 093 tkr i 2026 års prisnivå.

3Motsvarar 26 092 tkr i 2026 års prisnivå.

Ändamål

Anslaget får användas för ersättning till högskolan för forskning och utbildning på forskarnivå.

Skälen för regeringens förslag

Tabell 5.130 Förändringar av anslagsnivån 2026–2028 för 2:58 Kungl. Musikhögskolan i Stockholm: Forskning och utbildning på forskarnivå

Tusental kronor

 

2026

2027

2028

Anvisat 20251

24 146

24 146

24 146

Pris- och löneomräkning2

446

751

1 151

Beslutade, föreslagna och aviserade åtgärder

1 500

1 519

1 543

 

 

 

 

varav BP263

1 500

1 500

1 500

FoI-prop Ökade basanslag

1 500

1 500

1 500

Överföring till/från andra anslag

 

 

 

 

 

 

 

Övrigt

 

 

 

 

 

 

 

Förslag/beräknat anslag

26 092

26 416

26 840

1Statens budget enligt riksdagens beslut i december 2024 (bet. 2024/25:FiU10). Beloppet är således exklusive beslut om ändringar i statens budget.

2Pris- och löneomräkningen baseras på anvisade medel 2025. Övriga förändringskomponenter redovisas i löpande priser och inkluderar därmed en pris- och löneomräkning. Pris- och löneomräkningen för 2027–2028 är preliminär.

3Exklusive pris- och löneomräkning.

Anslaget ökas med 1 500 000 kronor fr.o.m. 2026 till följd av fördelning av den ökning av universitets och högskolors anslag för forskning och utbildning på forskarnivå som aviserades i forsknings- och innovationspropositionen 2024. Se tabell 5.12.

Regeringen föreslår att 26 092 000 kronor anvisas under anslaget 2:58 Kungl. Musikhögskolan i Stockholm: Forskning och utbildning på forskarnivå för 2026. För 2027 och 2028 beräknas anslaget till 26 416 000 kronor respektive 26 840 000 kronor.

5.8.592:59 Södertörns högskola: Utbildning på grundnivå och avancerad nivå

Tabell 5.131 Anslagsutveckling 2:59 Södertörns högskola: Utbildning på grundnivå och avancerad nivå

Tusental kronor

2024

Utfall

495 123

Anslagssparande

 

 

 

 

 

 

2025

Anslag

505 2321

Utgiftsprognos

505 232

2026

Förslag

509 279

 

 

2027

Beräknat

515 1182

 

 

2028

Beräknat

523 4003

 

 

203

Prop. 2025/26:1 Utgiftsområde 16

1Inklusive beslut om ändringar i statens budget 2025 och förslag till ändringar i samband med denna proposition.

2Motsvarar 508 810 tkr i 2026 års prisnivå.

3Motsvarar 508 811 tkr i 2026 års prisnivå.

Ändamål

Anslaget får användas för ersättning till högskolan för högskoleutbildning på grundnivå och avancerad nivå samt behörighetsgivande och högskoleintroducerande utbildning.

Skälen för regeringens förslag

Tabell 5.132 Förändringar av anslagsnivån 2026–2028 för 2:59 Södertörns högskola: Utbildning på grundnivå och avancerad nivå

Tusental kronor

 

2026

2027

2028

Anvisat 20251

505 232

505 232

505 232

Pris- och löneomräkning2

9 336

15 715

24 090

Beslutade, föreslagna och aviserade åtgärder

-5 289

-5 829

-5 922

 

 

 

 

Överföring till/från andra anslag

 

 

 

 

 

 

 

Övrigt

 

 

 

 

 

 

 

Förslag/beräknat anslag

509 279

515 118

523 400

 

 

 

 

1Statens budget enligt riksdagens beslut i december 2024 (bet. 2024/25:FiU10). Beloppet är således exklusive beslut om ändringar i statens budget.

2Pris- och löneomräkningen baseras på anvisade medel 2025. Övriga förändringskomponenter redovisas i löpande priser och inkluderar därmed en pris- och löneomräkning. Pris- och löneomräkningen för 2027–2028 är preliminär.

Regeringen föreslår att 509 279 000 kronor anvisas under anslaget 2:59 Södertörns högskola: Utbildning på grundnivå och avancerad nivå för 2026. För 2027 och 2028 beräknas anslaget till 515 118 000 kronor respektive 523 400 000 kronor.

5.8.602:60 Södertörns högskola: Forskning och utbildning på forskarnivå

Tabell 5.133 Anslagsutveckling 2:60 Södertörns högskola: Forskning och utbildning på forskarnivå

Tusental kronor

2024

Utfall

130 998

Anslagssparande

 

 

 

 

 

 

2025

Anslag

136 2071

Utgiftsprognos

136 207

2026

Förslag

140 575

 

 

2027

Beräknat

142 3182

 

 

2028

Beräknat

144 6053

 

 

1Inklusive beslut om ändringar i statens budget 2025 och förslag till ändringar i samband med denna proposition.

2Motsvarar 140 575 tkr i 2026 års prisnivå.

3Motsvarar 140 574 tkr i 2026 års prisnivå.

Ändamål

Anslaget får användas för ersättning till högskolan för forskning och utbildning på forskarnivå.

204

Prop. 2025/26:1 Utgiftsområde 16

Skälen för regeringens förslag

Tabell 5.134 Förändringar av anslagsnivån 2026–2028 för 2:60 Södertörns högskola: Forskning och utbildning på forskarnivå

Tusental kronor

 

2026

2027

2028

Anvisat 20251

135 511

135 511

135 511

Pris- och löneomräkning2

2 504

4 215

6 461

Beslutade, föreslagna och aviserade åtgärder

2 560

2 592

2 633

 

 

 

 

varav BP263

2 547

2 547

2 547

FoI-prop. Ökade anslag 2025

696

696

696

 

 

 

 

FoI-prop. Ökade anslag 2026

1 851

1 851

1 851

Överföring till/från andra anslag

 

 

 

 

 

 

 

Övrigt

 

 

 

 

 

 

 

Förslag/beräknat anslag

140 575

142 318

144 605

 

 

 

 

1Statens budget enligt riksdagens beslut i december 2024 (bet. 2024/25:FiU10). Beloppet är således exklusive beslut om ändringar i statens budget.

2Pris- och löneomräkningen baseras på anvisade medel 2025. Övriga förändringskomponenter redovisas i löpande priser och inkluderar därmed en pris- och löneomräkning. Pris- och löneomräkningen för 2027–2028 är preliminär.

3Exklusive pris- och löneomräkning.

Anslaget ökas med 2 547 000 kronor fr.o.m. 2026 till följd av fördelning av den ökning av universitets och högskolors anslag för forskning och utbildning på forskarnivå som aviserades i forsknings- och innovationspropositionen 2024. Se tabell 5.11.

Regeringen föreslår att 140 575 000 kronor anvisas under anslaget 2:60 Södertörns högskola: Forskning och utbildning på forskarnivå för 2026. För 2027 och 2028 beräknas anslaget till 142 318 000 kronor respektive 144 605 000 kronor.

5.8.612:61 Försvarshögskolan: Utbildning på grundnivå och avancerad nivå

Tabell 5.135 Anslagsutveckling 2:61 Försvarshögskolan: Utbildning på grundnivå och avancerad nivå

Tusental kronor

2024

Utfall

40 921

Anslagssparande

 

2025

Anslag

47 4301

Utgiftsprognos

47 430

2026

Förslag

47 704

 

 

 

 

 

 

 

2027

Beräknat

48 4152

 

 

2028

Beräknat

49 3253

 

 

1Inklusive beslut om ändringar i statens budget 2025 och förslag till ändringar i samband med denna proposition.

2Motsvarar 47 704 tkr i 2026 års prisnivå.

3Motsvarar 47 704 tkr i 2026 års prisnivå.

Ändamål

Anslaget får användas för ersättning till högskolan för högskoleutbildning på grundnivå och avancerad nivå samt behörighetsgivande och högskoleintroducerande utbildning.

205

Prop. 2025/26:1 Utgiftsområde 16

Skälen för regeringens förslag

Tabell 5.136 Förändringar av anslagsnivån 2026–2028 för 2:61 Försvarshögskolan: Utbildning på grundnivå och avancerad nivå

Tusental kronor

 

2026

2027

2028

Anvisat 20251

47 430

47 430

47 430

Pris- och löneomräkning2

1 647

2 378

3 315

Beslutade, föreslagna och aviserade åtgärder

-1 373

-1 393

-1 420

 

 

 

 

Överföring till/från andra anslag

 

 

 

 

 

 

 

Övrigt

 

 

 

 

 

 

 

Förslag/beräknat anslag

47 704

48 415

49 325

 

 

 

 

1Statens budget enligt riksdagens beslut i december 2024 (bet. 2024/25:FiU10). Beloppet är således exklusive beslut om ändringar i statens budget.

2Pris- och löneomräkningen baseras på anvisade medel 2025. Övriga förändringskomponenter redovisas i löpande priser och inkluderar därmed en pris- och löneomräkning. Pris- och löneomräkningen för 2027–2028 är preliminär.

Regeringen föreslår att 47 704 000 kronor anvisas under anslaget 2:61 Försvarshögskolan: Utbildning på grundnivå och avancerad nivå för 2026. För 2027och 2028 beräknas anslaget till 48 415 000 kronor respektive 49 325 000 kronor.

5.8.622:62 Försvarshögskolan: Forskning och utbildning på forskarnivå

Tabell 5.137 Anslagsutveckling 2:62 Försvarshögskolan: Forskning och utbildning på forskarnivå

Tusental kronor

2024

Utfall

44 646

Anslagssparande

 

2025

Anslag

53 1851

Utgiftsprognos

52 814

2026

Förslag

56 667

 

 

 

 

 

 

 

2027

Beräknat

57 3692

 

 

2028

Beräknat

59 2923

 

 

1Inklusive beslut om ändringar i statens budget 2025 och förslag till ändringar i samband med denna proposition.

2Motsvarar 56 666 tkr i 2026 års prisnivå.

3Motsvarar 57 639 tkr i 2026 års prisnivå.

Ändamål

Anslaget får användas för ersättning till högskolan för forskning och utbildning på forskarnivå.

Skälen för regeringens förslag

Tabell 5.138 Förändringar av anslagsnivån 2026–2028 för 2:62 Försvarshögskolan: Forskning och utbildning på forskarnivå

Tusental kronor

 

2026

2027

2028

Anvisat 20251

46 185

46 185

46 185

Pris- och löneomräkning2

853

1 436

2 202

Beslutade, föreslagna och aviserade åtgärder

9 629

9 748

10 905

 

 

 

 

varav BP263

9 500

9 500

10 500

FoI-prop Särskilda satsningar

7 000

7 000

7 000

 

 

 

 

FoI-prop Ökade basanslag

2 500

2 500

3 500

 

 

 

 

206

Prop. 2025/26:1 Utgiftsområde 16

2026 2027 2028

Överföring till/från andra anslag

Övrigt

Förslag/beräknat anslag

56 667

57 369

59 292

 

 

 

 

1Statens budget enligt riksdagens beslut i december 2024 (bet. 2024/25:FiU10). Beloppet är således exklusive beslut om ändringar i statens budget.

2Pris- och löneomräkningen baseras på anvisade medel 2025. Övriga förändringskomponenter redovisas i löpande priser och inkluderar därmed en pris- och löneomräkning. Pris- och löneomräkningen för 2027–2028 är preliminär.

3Exklusive pris- och löneomräkning.

Anslaget ökas med 2 500 000 kronor 2026. För 2027 beräknas anslaget öka med motsvarande belopp och fr.o.m. 2028 beräknas anslaget öka med 3 500 000 kronor till följd av fördelning av den ökning av universitets och högskolors anslag för forskning och utbildning på forskarnivå som aviserades i forsknings- och innovationspropositionen 2024. Se tabell 5.12.

Anslaget ökas med 7 000 000 kronor fr.om. 2026 till följd av fördelning av de medel till särskilda satsningar som aviserades i forsknings- och innovationspropositionen 2024. Se tabell 5.12.

Regeringen föreslår att 56 667 000 kronor anvisas under anslaget 2:62 Försvarshögskolan: Forskning och utbildning på forskarnivå för 2026. För 2027och 2028 beräknas anslaget till 57 369 000 kronor respektive 59 292 000 kronor.

5.8.632:63 Enskilda utbildningsanordnare på högskoleområdet

Tabell 5.139 Anslagsutveckling 2:63 Enskilda utbildningsanordnare på högskoleområdet

Tusental kronor

2024

Utfall

4 010 391

Anslagssparande

40 516

2025

Anslag

4 232 5261

Utgiftsprognos

4 151 642

2026

Förslag

4 415 760

 

 

 

 

 

 

 

2027

Beräknat

4 480 6032

 

 

2028

Beräknat

4 564 9593

 

 

1Inklusive beslut om ändringar i statens budget 2025 och förslag till ändringar i samband med denna proposition.

2Motsvarar 4 425 731 tkr i 2026 års prisnivå.

3Motsvarar 4 437 721 tkr i 2026 års prisnivå.

Ändamål

Anslaget får användas för utgifter för statsbidrag till enskilda utbildningsanordnare för ersättning för högskoleutbildning på grundnivå och avancerad nivå, behörighetsgivande och högskoleintroducerande utbildning. Anslaget får även användas för utgifter för statsbidrag till forskning och utbildning på forskarnivå.

Skälen för regeringens förslag

Tabell 5.140 Förändringar av anslagsnivån 2026–2028 för 2:63 Enskilda utbildningsanordnare på högskoleområdet

Tusental kronor

 

2026

2027

2028

Anvisat 20251

4 210 776

4 210 776

4 210 776

Pris- och löneomräkning2

77 816

130 987

200 779

Beslutade, föreslagna och aviserade åtgärder

127 168

138 840

153 404

 

 

 

 

207

Prop. 2025/26:1 Utgiftsområde 16

 

2026

2027

2028

varav BP263

83 290

86 290

91 290

FoI-prop Särskilda satsningar

12 000

15 000

20 000

 

 

 

 

FoI-prop. Ökad basresurs

17 416

17 416

17 416

FoI-prop. Ökade anslag 2025

9 750

9 750

9 750

 

 

 

 

FoI-prop. Ökade anslag 2026

44 124

44 124

44 124

 

 

 

 

Överföring till/från andra anslag

 

 

 

 

 

 

 

Övrigt

 

 

 

 

 

 

 

Förslag/beräknat anslag

4 415 760

4 480 603

4 564 959

 

 

 

 

1Statens budget enligt riksdagens beslut i december 2024 (bet. 2024/25:FiU10). Beloppet är således exklusive beslut om ändringar i statens budget.

2Pris- och löneomräkningen baseras på anvisade medel 2025. Övriga förändringskomponenter redovisas i löpande priser och inkluderar därmed en pris- och löneomräkning. Pris- och löneomräkningen för 2027–2028 är preliminär.

3Exklusive pris- och löneomräkning.

Anslaget ökas med 53 874 000 kronor fr.o.m. 2026 till följd av fördelning av den ökning av universitets och högskolors anslag för forskning och utbildning på forskarnivå som aviserades i forsknings- och innovationspropositionen 2024. Se tabell

5.11.Med anledning av samma proposition ökas anslaget med 17 416 000 kronor fr.o.m. 2026 till följd av att basresursen för enskilda utbildningsanordnare ökar (se tabell 5.141). Anslaget ökas också med 12 000 000 kronor 2026, och beräknas öka med 15 000 000 kronor 2027 och med 20 000 000 kronor fr.o.m. 2028 till följd av fördelning av medel till särskilda satsningar. Se tabell 5.12.

Regeringen föreslår att 4 415 760 000 kronor anvisas under anslaget 2:63 Enskilda utbildningsanordnare på högskoleområdet för 2026. För 2027 och 2028 beräknas anslaget till 4 480 603 000 kronor respektive 4 564 959 000 kronor.

Fördelning på anslagsposter

Beräknade bidrag för de enskilda utbildningsanordnare som erhåller bidrag från anslaget framgår av tabell 5.141. I det beräknade bidraget för 2026 till Chalmers Tek- niska Högskola AB för utbildning på grundnivå och avancerad nivå ingår medel till särskilda åtaganden avseende bidrag för utrustning m.m. till sjöbefälsutbildningen och bidrag för studenthälsa. Av det beräknade bidraget till Stiftelsen Högskolan i Jönköping för utbildning på grundnivå och avancerad nivå ingår medel för studenthälsa.

Utbildningsutskottet föreslog i betänkande 2018/19:UbU1 att bidraget till Enskilda Högskolan i Stockholm skulle ökas för en utbyggnad av den utbildning som ges i samarbete med Stiftelsen Sankt Ignatius. Riksdagen biföll utskottets förslag till riksdagsbeslut (rskr. 2018/19:104). Stiftelsen har under sommaren 2025 tilldelats examenstillstånd för magisterexamen i östkyrkliga studier och har ansökt om att få ta över resurserna för utbildningen från Enskilda högskolan Stockholm. Frågan bereds i Regeringskansliet och regeringen avser att besluta om medel i regleringsbrev.

Mervärdesskattekostnader för enskilda utbildningsanordnare

Under anslagsposten har mervärdesskattekostnader beräknats för Stiftelsen Chalmers Tekniska Högskola, Chalmers Tekniska Högskola AB, och Stiftelsen Högskolan i Jönköping i enlighet med de ramavtal som har ingåtts mellan staten, stiftelsen och bolaget respektive staten och stiftelsen. Syftet är att garantera konkurrensneutralitet gentemot statliga universitet och högskolor. Under anslagsposten har även medel beräknats för höjda kostnader för mervärdesskatt inom utbildningen för övriga enskilda utbildningsanordnare som tilldelas bidrag från detta anslag. Därutöver ingår

208

Prop. 2025/26:1 Utgiftsområde 16

även medel till Handelshögskolan i Stockholm för mervärdesskattekostnader som utbetalas under fortsättning att avtal ingås mellan staten och universitetet om frågan.

För budgetåret 2024 anvisades 463 280 000 kronor när det gäller ersättning för mervärdesskattekostnader. Det sammanlagda beloppet som utbetalades för 2024 var 432 527 795 kronor. Enligt prognoser kommer de samlade utgifterna för mervärdes- skattekostnader 2025 att uppgå till 467 000 000 kronor.

Tabell 5.141 Beräknad fördelning per anslagspost

Tusental kronor

 

 

 

 

Ökad

Anslagspost

2026

2027

2028

basresurs1

Chalmers Tekniska Högskola AB

2 369 092

2 409 097

2 460 196

 

 

 

 

 

 

- Utbildning på grundnivå och avancerad nivå

1 202 105

1 224 406

1 251 145

 

 

 

 

 

 

- Forskning och utbildning på forskarnivå

1 166 987

1 184 691

1 209 051

 

 

 

 

 

 

Handelshögskolan i Stockholm

147 632

149 576

152 124

2 933

 

 

 

 

 

Stiftelsen Högskolan i Jönköping

847 413

857 022

870 330

 

- Utbildning på grundnivå och avancerad nivå

683 634

691 228

701 898

 

 

 

 

 

 

- Forskning och utbildning på forskarnivå

163 779

165 794

168 432

 

 

 

 

 

 

Enskilda Högskolan Stockholm AB

25 795

26 125

26 557

1 553

 

 

 

 

 

Akademi för Ledarskap och Teologi

10 420

10 557

10 738

969

 

 

 

 

 

Johannelunds teologiska högskola AB

8 295

8 399

8 534

300

 

 

 

 

 

Stiftelsen Stockholms Musikpedagogiska Institut

15 139

15 325

15 569

323

Ericastiftelsen

8 996

9 106

9 249

105

 

 

 

 

 

Marie Cederschiöld högskola AB

151 756

153 607

156 031

3 612

 

 

 

 

 

Stiftelsen Röda Korsets Högskola

118 529

119 966

121 848

2 226

 

 

 

 

 

Sophiahemmet, Ideell förening

131 609

133 235

135 364

4 573

 

 

 

 

 

Beckmans skola AB

37 659

38 119

38 721

528

 

 

 

 

 

Newmaninstitutet AB

7 382

7 471

7 587

 

Brunnsviks folkhögskola

7 942

8 041

8 171

294

 

 

 

 

 

Mervärdesskattekostnader för enskilda utbildnings-

 

 

 

 

anordnare

528 101

534 957

543 940

 

Summa

4 415 760

4 480 603

4 564 959

17 416

 

 

 

 

 

1Den ökade basresursen är inkluderad i den beräknade fördelningen. Handelshögskolan i Stockholm tilldelas även medel genom den kvalitetsbaserade resursfördelningen se tabell 5.11.

5.8.642:64 Särskilda utgifter inom universitet och högskolor

Tabell 5.142 Anslagsutveckling 2:64 Särskilda utgifter inom universitet och högskolor

Tusental kronor

2024

Utfall

748 029

Anslagssparande

180 906

 

 

 

 

 

2025

Anslag

970 2221

Utgiftsprognos

953 692

2026

Förslag

991 719

 

 

 

 

 

 

 

2027

Beräknat

1 166 269

 

 

 

 

 

 

 

2028

Beräknat

1 719 999

 

 

1Inklusive beslut om ändringar i statens budget 2025 och förslag till ändringar i samband med denna proposition.

Ändamål

Anslaget får användas för utgifter för särskilda insatser för högskoleutbildning och forskning inom högskoleområdet. Anslaget får även användas för utgifter i fråga om

209

Prop. 2025/26:1 Utgiftsområde 16

bidrag till statliga universitet och högskolor, enskilda utbildningsanordnare av högskoleutbildning, samt statliga myndigheter och andra organisationer med anknytning till högskoleområdet.

Skälen för regeringens förslag

Tabell 5.143 Förändringar av anslagsnivån 2026–2028 för 2:64 Särskilda utgifter inom universitet och högskolor

Tusental kronor

 

2026

2027

2028

Anvisat 20251

1 332 722

1 332 722

1 332 722

Beslutade, föreslagna och aviserade åtgärder

-421 003

-246 453

254 909

 

 

 

 

varav BP26

-677 500

-740 500

-813 500

 

 

 

 

FoI-prop Särskilda satsningar

-212 500

-232 500

-272 500

 

 

 

 

FoI-prop Ökade basanslag

-12 000

-12 000

-13 000

 

 

 

 

FoI-prop. Ökad basresurs

-17 416

-17 416

-17 416

FoI-prop. Ökade anslag 2025

-125 000

-125 000

-125 000

 

 

 

 

FoI-prop. Ökade anslag 2026

-172 584

-172 584

-172 584

 

 

 

 

FoI-prop. Flytt praktiknära forskning lärarutbildning

-78 000

-91 000

-103 000

FoI-prop. Flytt av praktiknära vårdforskning

-20 000

-40 000

-40 000

 

 

 

 

FoI-prop. Medel till holdingbolag

-40 000

-50 000

-70 000

 

 

 

 

Överföring till/från andra anslag

120 000

120 000

172 368

Övrigt

-40 000

-40 000

-40 000

 

 

 

 

Förslag/beräknat anslag

991 719

1 166 269

1 719 999

 

 

 

 

1Statens budget enligt riksdagens beslut i december 2024 (bet. 2024/25:FiU10). Beloppet är således exklusive beslut om ändringar i statens budget.

Forsknings- och innovationspropositionen 2024 föranleder flera förändringar av anslaget då tidigare beräknade medel på anslaget fördelas till sitt avsedda ändamål. Anslaget minskas 2026 med 539 500 000 kronor för att finansiera ökade basanslag. För 2027 beräknas anslaget minska med 559 500 000 kronor och fr.o.m.2028 beräknas anslaget minska med 600 500 000 kronor. Dessa medel fördelas till universitet och högskolors anslag för forskning och forskarutbildning samt till anslaget 2:63 Enskilda utbildningsanordnare på högskoleområdet. Anslaget minskas med 40 000 000 kronor 2026 för att finansiera kapitaltillskott till holdingbolag. Av samma anledning beräknas anslaget minska med 50 000 000 kronor 2027 och med 70 000 000 kronor fr.o.m. 2028. Anslaget minskas med 20 000 000 kronor 2026 och beräknas minska med

40 000 000 kronor fr.o.m. 2027 för att finansiera praktiknära forskarskola för sjuksköterskor. Anslaget minskas även med 78 000 000 kronor 2026 för att finansiera praktiknära forskning inom lärarutbildningen. Av samma anledning beräknas anslaget minska med 91 000 000 kronor 2027 och med 103 000 000 kronor fr.o.m. 2028. Dessa neddragningar finansierar motsvarande höjning av anslaget 2:65 Särskilda medel till universitet och högskolor.

Regeringen föreslår att 991 719 000 kronor anvisas under anslaget 2:64 Särskilda utgifter inom universitet och högskolor för 2026. För 2027 och 2028 beräknas anslaget till

1 166 269 000 kronor respektive 1 719 999 000 kronor.

Satsningar som finansieras under anslaget

Från anslaget finansieras bl.a. vissa särskilda utbildningsinsatser såsom vidareutbildning av obehöriga lärare (VAL), stöd till waldorflärarutbildningen och särskild KPU inklusive Teach for Sweden. För Teach for Sweden beräknas 15 900 000 kronor årligen 2026–2028. Inom anslaget finansieras också kompletterande

210

Prop. 2025/26:1 Utgiftsområde 16

utbildningar för personer med avslutad utländsk utbildning. Från anslaget fördelas även medel till övningsskolor, universitetens innovationskontor, kulturskolekliv och till Svenska institutet för informationsinsatser och svenskundervisning i utlandet.

5.8.652:65 Särskilda medel till universitet och högskolor

Tabell 5.144 Anslagsutveckling 2:65 Särskilda medel till universitet och högskolor

Tusental kronor

2024

Utfall

621 132

Anslagssparande

15 603

2025

Anslag

746 0611

Utgiftsprognos

741 762

2026

Förslag

983 700

 

 

 

 

 

 

 

2027

Beräknat

1 118 3592

 

 

2028

Beräknat

1 170 8323

 

 

1Inklusive beslut om ändringar i statens budget 2025 och förslag till ändringar i samband med denna proposition.

2Motsvarar 1 104 663 tkr i 2026 års prisnivå.

3Motsvarar 1 138 198 tkr i 2026 års prisnivå.

Ändamål

Anslaget får användas för utgifter vid universitet och högskolor för särskilda åtaganden och för utgifter för bidrag till insatser för ökad kvalitet i högskoleutbildning på grundnivå och avancerad nivå. Anslaget får även användas för kapitaltillskott för finansiering av idébanksmedel efter beslut av riksdagen i varje enskilt fall. Anslaget får även användas för kapitaltillskott till holdingbolagen vid universitet och högskolor för att främja kommersialisering av forskningsresultat och innovation efter beslut av riksdagen i varje enskilt fall.

Skälen för regeringens förslag

Tabell 5.145 Förändringar av anslagsnivån 2026–2028 för 2:65 Särskilda medel till universitet och högskolor

Tusental kronor

 

2026

2027

2028

Anvisat 20251

703 061

703 061

703 061

Pris- och löneomräkning2

12 993

21 871

33 523

Beslutade, föreslagna och aviserade åtgärder

267 646

393 427

434 251

 

 

 

 

varav BP263

324 700

448 200

482 700

FoI-prop. Flytt praktiknära forskning lärarutbildning

78 000

91 000

103 000

 

 

 

 

FoI-prop. Flytt av praktiknära vårdforskning

20 000

40 000

40 000

 

 

 

 

FoI-prop. Medel till holdingbolag

40 000

50 000

70 000

 

 

 

 

– Företagshälsovårdens kompetensförsörjning överförs till KI

4 300

4 300

4 300

 

 

 

 

– Stimulans för utveckling av kursutbud för yrkesverksamma

20 000

40 000

40 000

 

 

 

 

– Fortsatt satsning på korta kurser

50 000

50 000

50 000

 

 

 

 

– Masterutbildning i offentlig förvaltning bl.a. med EU-

 

 

 

inriktning

30 000

60 000

60 000

 

 

 

 

– Utvecklad utbildning i ledarskap, konflikt- och krishantering

3 000

 

 

 

 

 

 

– Medel till Segerstedtinstitutet vid GU

5 000

5 000

5 000

– Vidareutbildning i kognitionsvetenskap för lärarutbildare

 

2 500

5 000

 

 

 

 

– Förlängning arbetsintegrerad lärarutbildning (AIL)

 

31 000

31 000

 

 

 

 

– Implementering av ny cybersäkerhetslag och NIS2-

 

 

 

direktivet

50 000

50 000

50 000

 

 

 

 

– Förstärkning av uppdrag om fortbildning av journalister

2 400

2 400

2 400

 

 

 

 

211

Prop. 2025/26:1 Utgiftsområde 16

 

2026

2027

2028

–Stärkt arbete inom studenthälsovården med att främja

 

 

 

psykisk hälsa

22 000

22 000

22 000

 

 

 

 

Överföring till/från andra anslag

 

 

 

 

 

 

 

Övrigt

 

 

 

 

 

 

 

Förslag/beräknat anslag

983 700

1 118 359

1 170 832

 

 

 

 

1Statens budget enligt riksdagens beslut i december 2024 (bet. 2024/25:FiU10). Beloppet är således exklusive beslut om ändringar i statens budget.

2Pris- och löneomräkningen baseras på anvisade medel 2025. Övriga förändringskomponenter redovisas i löpande priser och inkluderar därmed en pris- och löneomräkning. Pris- och löneomräkningen

för 2027–2028 är preliminär.

3Exklusive pris- och löneomräkning.

Anslaget ökas med 40 000 000 kronor 2026 för att finansiera kapitaltillskott till holdingbolag. Av samma anledning beräknas anslaget öka med 50 000 000 kronor 2027 och med 70 000 000 kronor fr.o.m. 2028. Anslaget ökas med 20 000 000 kronor 2026 och beräknas öka med 40 000 000 kronor fr.o.m. 2027 för att finansiera praktiknära forskarskola för sjuksköterskor. Anslaget ökas med 78 000 000 kronor 2026 för att finansiera praktiknära forskning inom lärarutbildningen. Av samma anledning beräknas anslaget öka med 91 000 000 kronor 2027 och med 103 000 000 kronor fr.o.m. 2028. Samtliga ökningar finansieras genom neddragning av anslag 2:64 Särskilda utgifter inom universitet och högskolor (se avsnitt 5.8.64). Anslaget ökas med

2 400 000 kronor fr.o.m. 2026 för att förstärka uppdrag om fortbildning för journalister vid Linnéuniversitet. Anslaget ökas med 5 000 000 kronor 2026 och beräknas öka med motsvarande belopp 2027 och 2028 för att tillfälligt förstärka förutsättningarna för Göteborgs universitet att genom Segerstedtinstitutet arbeta förbyggande mot antisemitism. Anslaget ökas med 20 000 000 kronor 2026 för att finansiera särskilda medel för att utveckla och ge kortare vidareutbildning för yrkesverksamma vid ett urval lärosäten. Av samma anledning beräknas anslaget öka med 40 000 000 kronor fr.o.m. 2027. På sikt bedömer regeringen att medel bör överföras till berörda lärosätens anslag för utbildning på grundnivå och avancerad nivå. För att permanenta tidigare nivå för satsning på korta kurser för yrkesverksamma som finansieras inom anslaget ökas anslaget med 50 000 000 kronor fr.o.m. 2026. För att finansiera särskilda medel till ett urval lärosäten för att inrätta nya masterprogram i offentlig förvaltning ökas anslaget med 30 000 000 kronor 2026 (se avsnitt 5.6.3). Av samma anledning beräknas anslaget öka med 60 000 000 kronor fr.o.m. 2027. För att fortsätta arbetet med att ta fram utbildning inom bl.a. ledarskap, konflikt- och krishantering som ska kunna användas inom lärar- och förskollärarutbildningarna ökas anslaget med 3 000 000 kronor 2026. För att finansiera satsning på vidareutbildning i kognitionsvetenskap för lärarutbildare beräknas anslaget öka med 2 500 000 kronor 2027 och med 5 000 000 kronor fr.o.m. 2028. För att förlänga den tillfälliga satsningen på Arbetsintegrerad lärarutbildning efter 2026 beräknas anslaget öka med 31 000 000 kronor 2027–2032 (se även avsnitt 5.6.5). Anslaget ökas med 50 000 000 kronor fr.o.m. 2026 för att tillföra särskilda resurser till vissa lärosäten som bedöms få ökade kostnader till följd av den nya cybersäkerhetslagen (se avsnitt 5.6.4).

Anslaget ökas med 4 300 000 kronor fr.o.m. 2026 eftersom den del av uppgiften att följa och främja företagshälsovårdens utveckling som avser kompetensförsörjning överförs till Karolinska institutet. Anslaget 2:1 Arbetsmiljöverket inom utgiftsområde 14 Arbetsmarknad och arbetsliv minskas med motsvarande belopp. Anslaget ökas med 22 000 000 kronor 2026 och beräknas öka med motsvarande belopp 2027 och 2028 för att stärka arbetet inom studenthälsovården med att främja studenters psykiska hälsa. Anslaget 1:8 Bidrag till psykiatri inom utgiftsområde 9 Hälsovård, sjukvård och social omsorg minskas med motsvarande belopp.

212

Prop. 2025/26:1 Utgiftsområde 16

Regeringen föreslår att 983 700 000 kronor anvisas under anslaget 2:65 Särskilda medel till universitet och högskolor för 2026. För 2027 och 2028 beräknas anslaget till

1 118 359 00 kronor respektive 1 170 832 000 kronor.

Bemyndigande om ekonomiska åtaganden

Regeringens förslag

Regeringen bemyndigas att under 2026 för anslaget 2:65 Särskilda medel till universitet och högskolor besluta om kapitaltillskott till holdingbolag vid universitet och högskolor för finansiering av verksamhet som syftar till att främja kommersialisering av forskningsresultat och innovationer, inklusive idébanksmedel, på högst 52 000 000 kronor.

Skälen för regeringens förslag

I propositionen Forskning och innovation för framtid, nyfikenhet och nytta uttalar regeringen att det behövs en förstärkning av lärosätenas innovationsstödjande funktioner (prop. 2024/25:60 s. 78 och 79). Holdingbolagen vid universitet och högskolor fyller en viktig funktion i innovationssystemet såväl regionalt som nationellt. Bolagen är ett centralt verktyg för universitet och högskolors nyttiggörande av forskningsresultat som kan bidra till att fler forskningsresultat och innovationer når marknaden och på så sätt stödjer Sveriges konkurrenskraft. I denna proposition föreslås 40 000 000 kronor tillföras för kapitaltillskott till holdingbolag. Sedan tidigare har 11 000 000 kronor fördelats inom anslaget till idébanksmedel genom kapitaltillskott till holdingbolagen samt 1 000 000 kronor till Chalmers Tekniska Högskola AB från anslaget 2:64 Särskilda utgifter inom universitet och högskolor. För att åstadkomma en mer ändamålsenlig användning av medlen utifrån respektive holdingbolags förutsättningar och för att ta bort öronmärkningen av idébanksmedlen bör medel för idébanker slås samman med de medel för kapitaltillskott som tillförs med anledning av forsknings- och innovationspropositionen 2024.

Regeringen bör därför bemyndigas att under 2026 för anslaget 2:65 Särskilda medel till universitet och högskolor besluta om kapitaltillskott till holdingbolag knutna till universitet och högskolor för finansiering av verksamhet som syftar till att främja kommersialisering av forskningsresultat och innovationer, inklusive idébanksmedel, på högst 52 000 000 kronor.

Satsningar som finansieras under anslaget

Från anslaget finansieras bl.a. tandvårdscentraler, stöd till studenter med funktions- hinder, tolk- och översättarutbildning, medel till studenthälsa och medel till korta kurser. Inom anslaget finansieras också medel till Cybercampus och utrustning till sjöfartsutbildning. Mälardalens universitet har tidigare fått särskilda medel för Idélab. Då universitetet nu får del av medel för universitetens innovationskontor bedömer regeringen att de särskilda medlen för verksamhet vid Idélab bör omprioriteras för att bl.a. möjliggöra vissa särskilda satsningar avseende lärar- och förskollärarutbildnin- garna som presenterats i denna proposition (se avsnitt 5.6.5). Utöver de förändringar som aviserats i denna proposition samt tidigare budgetpropositioner avser regeringen att göra fördelningen av medel till respektive lärosäte på samma sätt som tidigare år.

213

Prop. 2025/26:1 Utgiftsområde 16

5.8.662:66 Ersättningar för klinisk utbildning och forskning

Tabell 5.146 Anslagsutveckling 2:66 Ersättningar för klinisk utbildning och forskning

Tusental kronor

2024

Utfall

2 884 576

Anslagssparande

 

2025

Anslag

2 983 9631

Utgiftsprognos

2 983 963

2026

Förslag

3 039 108

 

 

 

 

 

 

 

2027

Beräknat

3 148 7042

 

 

2028

Beräknat

3 199 3193

 

 

1Inklusive beslut om ändringar i statens budget 2025 och förslag till ändringar i samband med denna proposition.

2Motsvarar 3 110 144 tkr i 2026 års prisnivå.

3Motsvarar 3 110 145 tkr i 2026 års prisnivå.

Ändamål

Anslaget får användas för utgifter för statsbidrag enligt avtal mellan svenska staten och landsting om samarbete om högskoleutbildning av läkare, medicinsk forskning och utveckling av hälso- och sjukvården. Anslaget får även användas för utgifter för statsbidrag till landsting enligt avtal om samarbete om högskoleutbildning av tandläkare, odontologisk forskning och utveckling av tandvården.

Skälen för regeringens förslag

Tabell 5.147 Förändringar av anslagsnivån 2026–2028 för 2:66 Ersättningar för klinisk utbildning och forskning

Tusental kronor

 

2026

2027

2028

Anvisat 20251

2 983 963

2 983 963

2 983 963

Pris- och löneomräkning2

55 145

92 824

142 283

Beslutade, föreslagna och aviserade åtgärder

 

71 917

73 073

 

 

 

 

Överföring till/från andra anslag

 

 

 

 

 

 

 

Övrigt

 

 

 

 

 

 

 

Förslag/beräknat anslag

3 039 108

3 148 704

3 199 319

 

 

 

 

1Statens budget enligt riksdagens beslut i december 2024 (bet. 2024/25:FiU10). Beloppet är således exklusive beslut om ändringar i statens budget.

2Pris- och löneomräkningen baseras på anvisade medel 2025. Övriga förändringskomponenter redovisas i löpande priser och inkluderar därmed en pris- och löneomräkning. Pris- och löneomräkningen för 2027–2028 är preliminär.

Ett avtal om samarbete om utbildning av läkare, klinisk forskning och utveckling av hälso- och sjukvården, det s.k. ALF-avtalet, slöts 2014 mellan staten och företrädare för de sju berörda landstingen Stockholms läns landsting, Uppsala läns landsting, Östergötlands läns landsting, Skåne läns landsting, Västra Götalands läns landsting, Örebro läns landsting och Västerbottens läns landsting. Ett avtal om samarbete om grundutbildning av tandläkare, odontologisk forskning och utveckling av tandvården slöts 2004 mellan staten, Västra Götalands läns landsting och Västerbottens läns landsting (TUA-avtalet). Från och med 2020 ersattes beteckningen landsting med regioner.

Regeringen föreslår att 3 039 108 000 kronor anvisas under anslaget 2:66 Ersättningar för klinisk utbildning och forskning för 2026. För 2027 och 2028 beräknas anslaget till

3 148 704 000 kronor respektive 3 199 319 000 kronor.

214

Prop. 2025/26:1 Utgiftsområde 16

Utgiftsutvecklingen

Enligt ALF-avtalet ersätter staten berörda regioner för medverkan i verksamhets- integrerad utbildning av läkare per helårsstudent och för klinisk forskning. Fördelning enligt ALF-avtalet 2026 framgår av tabell 5.148.

Tabell 5.148 Fördelning av anslagsmedel 2026 för utbildning av läkare, klinisk forskning och utveckling av hälso- och sjukvården (ALF)

Tusental kronor

 

Ersättning för antal

Grundbelopp för

Ersättning kvalitet i

 

 

HST1

forskning

klinisk forskning

SUMMA

Uppsala universitet

95 946

197 842

60 650

354 438

 

 

 

 

 

Lunds universitet

119 690

325 498

58 116

503 304

 

 

 

 

 

Göteborgs universitet

113 446

343 536

109 297

566 279

 

 

 

 

 

Umeå universitet

102 893

177 221

41 216

321 331

 

 

 

 

 

Linköpings universitet

106 235

135 984

24 279

266 498

 

 

 

 

 

Karolinska institutet

154 428

453 306

119 730

727 464

 

 

 

 

 

Örebro universitet

32 187

69 158

12 348

113 693

 

 

 

 

 

Summa

724 826

1 702 544

425 636

2 853 007

 

 

 

 

 

1Ersättning per helårsstudent på läkarutbildningen som omfattas av anslaget 2:66 Ersättningar för klinisk utbildning och forskning beräknas för 2026 till: 87 943 kronor.

Regeringen har vid beräkningen utgått från följande antal helårsstudenter på läkarut- bildningen. Det ökade antalet helårsstudenter 2027 är en följd av att läkarutbildningen förlängts.

Tabell 5.149 Läkarutbildning som omfattas av anslaget 2:66 Ersättningar för klinisk utbildning och forskning

Helårsstudenter

 

2026

2027

2028

Uppsala universitet

1 091

1 190

1 190

 

 

 

 

Lunds universitet

1 361

1 485

1 485

 

 

 

 

Göteborgs universitet

1 290

1 407

1 407

 

 

 

 

Umeå universitet

1 170

1 276

1 276

 

 

 

 

Linköpings universitet

1 208

1 318

1 318

 

 

 

 

Karolinska institutet

1 756

1 916

1 916

 

 

 

 

Örebro universitet

366

423

423

 

 

 

 

Summa

8 242

9 015

9 015

 

 

 

 

Enligt TUA-avtalet ersätter staten berörda regioner för medverkan i grundutbildning av tandläkare per helårsstudent, basorganisation och kliniskt inriktad odontologisk forskning. Fördelning enligt TUA-avtalet framgår av tabell 5.151.

Tabell 5.150 Fördelning av anslagsmedel 2026 för grundutbildning av tandläkare, odontologisk forskning och utveckling av tandvården (TUA)

Tusental kronor

 

 

Ersättning för

 

 

 

forskning och

 

 

Ersättning för antal HST1

basorganisation

SUMMA

Göteborgs universitet

42 076

54 034

96 110

 

 

 

 

Umeå universitet

32 575

49 820

82 396

 

 

 

 

Summa

74 652

103 854

178 506

 

 

 

 

1Ersättning per helårsstudent på tandläkarutbildningen som omfattas av anslaget 2:66 Ersättningar för klinisk utbildning och forskning beräknas för 2026 till: 90 487 kronor.

Regeringen har vid beräkningen utgått från följande antal helårsstudenter på tand- läkarutbildningen.

215

Prop. 2025/26:1 Utgiftsområde 16

Tabell 5.151 Tandläkarutbildning som omfattas av anslaget 2:66 Ersättningar för klinisk utbildning och forskning

Helårsstudenter

Universitet

2026

2027

2028

Göteborgs universitet

465

465

465

Umeå universitet

360

360

360

 

 

 

 

Summa

825

825

825

 

 

 

 

5.8.672:67 Särskilda bidrag inom högskoleområdet

Tabell 5.152 Anslagsutveckling 2:67 Särskilda bidrag inom högskoleområdet

Tusental kronor

2024

Utfall

67 780

Anslagssparande

 

2025

Anslag

80 9801

Utgiftsprognos

70 980

2026

Förslag

50 980

 

 

 

 

 

 

 

2027

Beräknat

50 980

 

 

 

 

 

 

 

2028

Beräknat

47 980

 

 

 

 

 

 

 

1Inklusive beslut om ändringar i statens budget 2025 och förslag till ändringar i samband med denna proposition.

Ändamål

Anslaget får användas för utgifter i fråga om bidrag till statliga universitet och högskolor, enskilda utbildningsanordnare av högskoleutbildning, samt statliga myndigheter och andra organisationer med anknytning till högskoleområdet.

Skälen för regeringens förslag

Tabell 5.153 Förändringar av anslagsnivån 2026–2028 för 2:67 Särskilda bidrag inom högskoleområdet

Tusental kronor

 

2026

2027

2028

Anvisat 20251

70 980

70 980

70 980

Beslutade, föreslagna och aviserade åtgärder

-20 000

-20 000

-23 000

 

 

 

 

Överföring till/från andra anslag

 

 

 

 

 

 

 

Övrigt

 

 

 

 

 

 

 

Förslag/beräknat anslag

50 980

50 980

47 980

 

 

 

 

1Statens budget enligt riksdagens beslut i december 2024 (bet. 2024/25:FiU10). Beloppet är således exklusive beslut om ändringar i statens budget.

Regeringen föreslår att 50 980 000 kronor anvisas under anslaget 2:67 Särskilda bidrag inom högskoleområdet för 2026. För 2027 och 2028 beräknas anslaget till 50 980 000 kronor respektive 47 980 000 kronor.

216

Prop. 2025/26:1 Utgiftsområde 16

6 Forskning

6.1Mål för området

I forsknings- och innovationspropositionen Forskning och innovation för framtid, nyfikenhet och nytta (prop. 2024/25:60) presenterades mål och nya delmål för forsk- ningspolitiken. Målet för forskningspolitiken är att Sverige ska vara ett av världens främsta forsknings- och innovationsländer och en ledande kunskapsnation. Sverige ska vara ett land där högkvalitativ forskning, högre utbildning och innovation leder till samhällets utveckling och välfärd, stärker näringslivets konkurrenskraft och svarar mot de samhällsutmaningar vi står inför, både i Sverige och globalt. Följande uppföljnings- bara delmål har pekats ut för tioårsperioden 2025–2034:

Sverige ska vara en ledande kunskapsnation och vara bland de främsta länderna vad gäller utgifter för forskning och utveckling som andel av BNP.

Svensk forskning ska hålla hög kvalitet.

Sverige ska vara ett av världens främsta innovationsländer.

Ovanstående mål inbegriper även forskningspolitik inom utgiftsområdena 9 Hälso- vård, sjukvård och social omsorg, 20 Klimat, miljö och natur, 23 Areella näringar, landsbygd och livsmedel samt 24 Näringsliv.

6.2Resultatindikatorer och andra bedömningsgrunder

De indikatorer för forskning som används för att redovisa resultaten inom verk- samhetsområdet är följande:

finansiering av forskning och utveckling

andel forskare i befolkningen

andel vetenskapliga artiklar som tillhör de tio procent högst citerade inom respektive område

andel högciterade publikationer relaterat till högskolans FoU-utgifter

andel internationell sampublicering

andel beviljade ansökningar inom EU:s ramprogram för forskning och innovation

Indikatorerna har modifierats för att erhålla en mer övergripande beskrivning av hur svensk forskning och utveckling (FoU) står sig i internationell jämförelse. Därför har indikatorn om jämställdhet respektive antal vetenskapliga artiklar per miljon invånare ersatts med tre indikatorer som närmare beskriver kvaliteten för svensk forskning; andel högciterade publikationer relaterat till högskolans FoU-utgifter, andel vetenskap- liga artiklar med internationella samarbeten samt andel beviljade ansökningar i EU:s ramprogram för forskning och innovation. Tillsammans med indikatorn andel veten- skapliga artiklar som tillhör de tio procent högst citerade inom respektive område ger de en mer ingående beskrivning över forskningskvaliteten i Sverige. Könsfördelning för professorer, lektorer och meriteringsanställda är fortsatt en bedömningsgrund för området.

Statistiska centralbyrån (SCB) publicerar årliga beräkningar av de statliga anslagen för forskning och utveckling och vartannat år beräkningar för avsättningar vid universitet och högskolor, inom näringslivet och offentlig sektor samt översiktliga prognoser åren

217

Prop. 2025/26:1 Utgiftsområde 16

däremellan. OECD publicerar vartannat år rapporten Science, Technology and Inno- vation Outlook med data inklusive landsjämförelser inom området. Under resultat- redovisningen nedan anges senast tillgängliga data.

6.3Resultatredovisning

6.3.1Finansiering av forskning och utveckling ökar i Sverige

Det första uppföljningsbara delmålet är att Sverige ska vara bland de främsta länderna i världen vad gäller utgifter för forskning och utveckling som andel av BNP. Vidare bör de offentliga och privata investeringarna i forskning och utveckling överskrida EU:s mål på 3 procent av bruttonationalprodukt (BNP).

Indikator: Finansiering av forskning och utveckling

De totala utgifterna för FoU i Sverige uppgick 2024 till 230,4 miljarder kronor vilket är en ökning jämfört med 2023 med drygt 6,7 miljarder kronor i löpande priser. Ut- tryckt i fasta priser, dvs justerat för inflation, är FoU-utgifterna oförändrade. Sveriges utgifter för forskning och utveckling som andel av BNP var 3,6 procent 2024, vilket innebär en minskning med 0,04 procentenheter jämfört med 2023. Sveriges finansie- ring av forskning och utveckling översteg därmed EU:s mål på 3 procent av BNP.

Diagram 6.1 FoU-utgifter som andel av BNP

Procent

7,00%

6,00%

 

2023

2013

 

5,00%

4,00%

3,00%

2,00%

1,00%

0,00%

Israel Sydkorea Taiwan Sverige USA Japan *Schweiz Belgien Österrike Tyskland Finland Danmark Storbritannien Island Kina Nederländerna Frankrike Slovenien Norge Singapore Estland Tjeckien *Australien Kanada *Nya Zeeland Portugal Irland Polen OECD EU

Anm: Data från Schweiz, Australien och Nya Zeeland är från 2021.

Källa: OECD.

I internationell jämförelse ligger Sverige bland de fem främsta länderna när det gäller investeringar i FoU. I diagram 6.1 visas investeringar i FoU för de länder som investe- rar mest i FoU mellan 2013 och 2023. Forskningsintensiva länder som Israel och Sydkorea har gjort betydande investeringar sedan 2013. Även Taiwan, USA och Belgien har kraftigt ökat sina investeringar sedan dess. Sverige har inte haft motsvarande utveckling under denna tidsperiod.

De statliga anslagen för FoU uppgår 2025 till 48,8 miljarder kronor enligt SCB:s stats- budgetanalys. Förutom de statliga anslagen fördelas medel från de forskningsstiftelser som bildades med löntagarfondsmedel. Under 2024 omfattade dessa 1,1 miljarder kronor. Av bidragen från EU:s forskningsmedel har 2,6 miljarder kronor fördelats 2024 till projekt vid svenska universitet och högskolor, vilket är en ökning med ca

0,4 miljarder kronor sedan 2023. År 2024 uppgick, enligt SCB:s preliminära statistik, utgifterna för FoU inom universitet och högskolor till 50,6 miljarder kronor. Inom

218

Prop. 2025/26:1 Utgiftsområde 16

övrig offentlig sektor var utgifterna 9,8 miljarder kronor och inom den privata icke- vinstdrivande sektorn till 0,4 miljarder kronor.

Indikator: Andel forskare i befolkningen

Andelen forskande personal visar på FoU-intensiteten i ett land och är viktig för både forsknings- och innovationsverksamheter. Sverige utmärker sig med en hög andel forskare i befolkningen och var ett av fem toppländer 2022 enligt Världsbanken med 8 623 forskare per miljon invånare. Högst andel forskare i relation till befolkningen har Sydkorea, följt av Danmark, Sverige, Finland och Norge. 2024 uppgick enligt SCB personal inom FoU-verksamhet i Sverige till 106 531 heltidsekvivalenter, vilket inne- bär en ökning med totalt 190 heltidsekvivalenter sedan 2023. En stor andel av perso- nalen inom FoU-verksamhet var sysselsatta inom företagssektorn, med 78 378 heltid- sekvivalenter 2024. Detta är en minskning med ca 200 heltidsekvivalenter jämfört med 2023. Samtidigt har den forskande personalen inom högskolesektorn ökat något, med ca 100 personer, till 21 846 heltidsekvivalenter 2024.

6.3.2Svensk forskningskvalitet är hög men den internationella konkurrensen ökar

För att identifiera forskning av högsta kvalitet används ofta en kombination av indika- torer för forskningens genomslag och sakkunniggranskning av oberoende forskare. Nedan har fyra indikatorer valts ut för att sammantaget analysera kvaliteten i forskning i Sverige.

Indikator: Andel högciterade vetenskapliga publikationer

Andelen vetenskapliga artiklar som är bland de 10 procent högst citerade inom respek- tive forskningsområde är en indikator som visar på vetenskapligt genomslag för forsk- ning genomförd. Andelen från Sverige uppgick 2023 till 11,0 procent, vilket är en svag minskning jämfört med 2013. Sverige ligger på en något högre nivå än Norge och Finland, men lägre än Danmark, se tabell 6.1. En majoritet av länderna i Europa och Nordamerika har sjunkit det senaste decenniet då ett antal länder i Asien har ökat sitt genomslag markant.

Tabell 6.1 Andel vetenskapliga artiklar som är bland de 10 procent högst citerade

Procent

Land

2013

2023

Singapore

16,1

17,5

 

 

 

Qatar

8,1

14,8

 

 

 

Förenade Arabemiraten

6,7

14,2

 

 

 

Storbritannien

14,3

13,7

 

 

 

Nederländerna

15,1

13,4

Bangladesh

3,9

13,3

 

 

 

Schweiz

15,4

13,2

 

 

 

Australien

12,3

12,9

 

 

 

Irland

11,9

12,4

 

 

 

Kina

9,1

12,3

 

 

 

Danmark

13,6

11,9

Pakistan

3,5

11,8

 

 

 

USA

15,2

11,7

 

 

 

Saudiarabien

7,6

11,6

 

 

 

Italien

9,2

11,3

 

 

 

219

Prop. 2025/26:1 Utgiftsområde 16

Land

2013

2023

Belgien

13,0

11,2

 

 

 

Sverige

11,6

11,0

 

 

 

Norge

10,9

10,8

Egypten

4,3

10,8

 

 

 

Finland

10,4

10,6

 

 

 

Anm. Tabellen anger de topp 20 länder med mest citerade publikationer, med minst 1500 publikationer per år för 2023. Världsmedelvärdet är 10 procent.

Källor: Clarivate Analytics, Vetenskapsrådet.

Indikator: Andel högciterade publikationer relaterade till högskolans FoU- utgifter

För att få en förståelse för hur användningen av forskningsmedel relaterar till genom- slaget av forskning har en ny indikator införts. Diagram 6.2 visar andelen högciterade publikationer i relation till högskolesektorns FoU-utgifter som andel av BNP för 2022. Urvalet är huvudsakligen OECD-länder, men även Kina, Singapore Taiwan har in- kluderats. Sverige ligger högt när det gäller högskolesektorns FoU-utgifter som andel av BNP och har ett gott citeringsgenomslag. Dock finns det andra jämförbara länder som har lägre utgifter som andel av BNP och samtidigt högre citeringsgenomslag som exempelvis Storbritannien (GB), Nederländerna (NL) och Australien (AU).

Diagram 6.2 Högskolesektorns FoU-utgifter som andel av BNP i relation till andelen högciterade publikationer

Procent

Andel högciterade publikationer 20

SG

15

 

 

 

 

 

 

 

 

 

 

 

 

 

 

 

 

 

 

 

 

 

 

 

 

 

 

 

 

 

 

 

 

 

 

 

 

 

 

 

NL

GB

 

 

CH

 

 

 

 

 

 

 

 

 

 

 

 

 

 

 

 

 

 

 

 

 

 

 

 

 

 

 

 

 

 

 

 

 

 

 

 

 

 

 

 

AU

 

 

 

 

 

 

 

 

 

 

 

 

 

 

 

 

 

 

 

CN

 

 

 

 

 

 

 

 

 

 

 

 

 

 

DK

 

 

 

 

 

 

 

IT

US

NO

 

BE

CA

FI SE

 

 

 

10

 

 

 

 

 

 

 

 

 

 

 

 

 

 

 

 

 

 

 

 

 

 

 

 

 

 

 

GR

 

DE

AT

 

 

 

 

 

 

 

 

 

 

 

 

 

 

ES

 

IS

 

 

 

 

 

 

 

 

 

 

 

 

 

 

 

FR

 

EE

 

 

 

 

 

 

 

 

 

 

 

 

 

 

 

 

 

 

IL

PT

 

 

 

 

 

 

 

 

 

 

 

 

 

 

 

 

 

 

CZ

KR

 

 

 

 

 

 

 

 

 

 

 

 

 

 

 

 

 

 

 

 

TW

 

 

 

 

 

 

 

 

 

 

 

 

 

 

 

 

 

 

 

 

 

 

 

 

 

 

TR

PL

 

 

 

 

 

 

 

 

 

 

 

 

 

 

 

 

 

 

 

 

 

 

LT

 

 

 

 

 

 

 

 

 

 

 

 

 

 

 

 

5

 

 

 

 

 

 

 

 

 

JP

 

 

 

 

 

 

 

 

 

 

 

 

 

 

 

 

 

 

 

 

 

 

 

 

 

 

 

 

 

 

 

 

 

 

 

 

 

 

 

 

 

 

 

 

 

 

 

 

 

 

 

 

 

 

 

 

 

 

 

 

 

 

 

 

 

 

 

 

 

 

 

 

LV

 

 

 

 

 

 

 

 

 

 

 

 

 

 

 

0

 

 

 

 

 

 

 

 

 

 

 

 

 

 

 

 

 

 

 

 

 

 

 

 

 

 

 

 

 

 

 

 

 

 

 

 

 

 

 

 

 

 

 

 

 

 

 

 

 

 

 

 

0,0

0,2

 

0,4

 

 

0,6

 

0,8

1,0

1,2

 

 

 

 

 

 

 

Högskolesektorns FoU-utgifter som andel av BNP

 

 

 

 

 

 

Källor: OECD och Clarivate analytics, Vetenskapsrådet.

Indikator: Internationalisering, sampublikationer

Internationellt samarbete inom forskning är viktigt, eftersom det bidrar till att höja forskningens kvalitet och stärka Sveriges konkurrenskraft och attraktivitet. Interna- tionella FoU-samarbeten behövs också för att bidra till att lösa globala utmaningar. Därför har en ny indikator införts. Ett sätt att mäta internationellt forskningssam- arbete är att mäta andelen svenska publikationer som är samförfattade med forskare från andra länder. Andelen internationella sampublikationer har ökat stadigt i Sverige under en längre tid. För åren 2021–2023 ligger andelen på 71 procent. Detta kan jämföras med EU- och OECD-genomsnittet som ligger på ca 60 procent. Svenska forskare sampublicerar mest med forskare verksamma i USA, följt av Storbritannien och Tyskland. De internationella sampublikationerna är i genomsnitt citerade väsent- ligt över världsgenomsnittet.

220

Prop. 2025/26:1 Utgiftsområde 16

Indikator: Beviljandegrad för EU-medel

EU:s ramprogram för forskning och innovation, Horisont Europa, är världens största forskningsprogram och en viktig finansieringskälla för att utveckla forskning och innovation av hög kvalitet. Forskare och organisationer som söker medel från pro- grammet konkurrerar på internationell nivå. Detta sker genom en process baserad på sakkunniggranskning. Deltagande i ramprogrammet ger därför en indikation på intresse för programmet från svenska forskare och organisationer samt hur konkurrenskraftiga dessa är på en europeisk nivå. Sveriges beviljandegrad i det nuvarande ramprogrammet låg i mars 2025 på 19,6 procent. Detta är lägre än den genomsnittliga beviljandegraden för samtliga EU-länder (EU27) som ligger på

20,5 procent, och ännu lägre än Norge, Danmark och Finland som ligger på drygt 22 procent.

6.3.3Sverige är ett av världens främsta innovationsländer

Det svenska näringslivet tillhör de mest FoU-intensiva i världen. SCB uppskattar att företagens investeringar i FoU 2024 uppgick till 169,5 miljarder kronor. Det motsvarar en andel av BNP på 2,6 procent och 74 procent av Sveriges totala FoU-utgifter.

Regeringen har under mandatperioden vidtagit olika åtgärder för att främja företagens investeringar i forskning och utveckling och öka Sveriges möjligheter att attrahera och behålla internationell nyckelkompetens, t.ex. utvidgat tidsgränsen för expertskatt som innebär skattelättnader i upp till sju år för bl.a. forskare och höjt taket för det s.k.

FoU-avdraget.

Sverige är enligt internationella innovationsindex ett av världens främsta innovations- länder. I European Innovation Scoreboard 2025, som rankar EU:s medlemsländer ligger Sverige på första plats före Danmark. I Global innovation Index hamnar Sverige på plats två efter Schweiz.

Vid universitet och högskolor finns totalt 19 statliga holdingbolag som har till uppgift att stödja och främja tillväxten av nya forskningsbaserade företag i Sverige. Från att det första holdingbolaget bildades 1995 fram till och med 2024 har holdingbolagen medverkat till att 722 nya företag startats.

För en mer omfattande redovisning av indikatorer kopplade till Sverige som fram- stående innovationsnation, se utgiftsområde 24 Näringsliv.

6.3.4Fördelning av statliga medel till forskning

Av de totala statliga FoU-medlen för 2025 om 48,8 miljarder kronor tilldelades uni- versitet och högskolor 21 miljarder kronor som direkta forskningsanslag. De fyra forskningsfinansiärerna Forskningsrådet för hälsa, arbetsliv och välfärd (Forte), Forskningsrådet för miljö, areella näringar och samhällsbyggnad (Formas), Verket för innovationssystem (Vinnova) och Vetenskapsrådet tilldelades sammantaget

14,6 miljarder kronor 2025. Statlig finansiering av FoU för försvarsändamål är det område som ökat mest och återfinns under Övriga myndigheter i tabellen nedan.

Tabell 6.2 Medel för forskning från statsbudgeten efter mottagare

Miljarder kronor i löpande priser

Mottagare

2024

2025

Universitet och högskolor1

21,0

21,0

Vetenskapsrådet

7,9

8,4

 

 

 

Vinnova

3,5

3,4

221

Prop. 2025/26:1 Utgiftsområde 16

Mottagare

2024

2025

Formas

1,8

1,9

 

 

 

Forte

0,8

0,9

 

 

 

Statens energimyndighet

1,4

1,6

Övriga myndigheter2

11.8

11,6

Totalt

48,2

48,8

 

 

 

1Avser i denna proposition samtliga universitet och högskolor.

2Övriga myndigheter innefattar Försvarsmakten, MSB, Naturvårdsverket, Rymdstyrelsen, Sida, Trafikverket m.fl. Källor: Budgetpropositioner och regleringsbrev.

6.3.5Jämställdhet inom forskningen

Jämställdhet, dvs. att män och kvinnor får samma möjligheter, inom högskolesektorn, är viktigt för att de bästa ska komma fram och därigenom driva kvalitet i utbildning och excellent forskning. Rekryteringsmål för nyanställda professorer beslutades av riksdagen 1997 i enlighet med propositionen Högskolans ledning, lärare och organisa- tion (prop. 1996/97:141, bet. 1997/98:UbU3, rskr. 1997/98:12) i syfte att stimulera ett långsiktigt och systematiskt jämställdhetsarbete på alla nivåer. Jämställdhet inom forskningen vid universitet och högskolor kan bl.a. mätas genom andelen kvinnor och män som är anställda som professorer, lektorer och i meriteringsanställningar, dvs. forskarassistenter, biträdande lektorer och postdoktorer.

Könsfördelningen inom de flesta anställningskategorierna är relativt jämn. 2024 var 47 procent kvinnor och 53 procent män. Av professorerna var 33 procent kvinnor och 67 procent män 2024, vilket är oförändrat jämfört med 2023. Professorer är den anställningskategori där könsfördelningen har ändrats mest sedan 2012, då andelen professorer som är kvinnor var 24 procent. Den stigande andel kvinnor bland nyrek- ryterade professorer har dock mattats av under de senaste fyra åren. Även andelen kvinnor som är lektorer är oförändrad jämfört med 2023 och uppgår 2024 till

49 procent. I kategorin meriteringsanställningar är andelen kvinnor 45 procent och andelen män 55 procent 2024, vilket är samma fördelning som 2023. Rekryterings- målet för perioden är att hälften av de nyrekryterade professorerna vid universitet och högskolor ska vara kvinnor 2030. Regeringen har gett Universitetskanslersämbetet i uppdrag att följa upp rekryteringsmålen för att vidare studera dess effekter på kvalite- ten i forskning och utbildning.

Jämställdhetsintegrering

Jämställdhetsperspektivet dvs. att män och kvinnor får samma möjligheter, är viktigt för att de bästa ska komma fram och därigenom driva kvalitet i utbildning och ex- cellent forskning. Jämställdhetsperspektivet är till stora delar fortsatt väl integrerat i Vetenskapsrådets verksamhet. Myndighetens arbete för ökad jämställdhet handlar ytterst om att ge kvinnor och män lika möjligheter inom forskningen. Under året har Vetenskapsrådet arbetat aktivt med att utveckla eller komplettera processer och arbetssätt för att främja jämställdhet och högsta vetenskapliga kvalitet.

Beviljandegraden för Vetenskapsrådets forskningsmedel inom olika ämnesområden är fortsatt tämligen jämn mellan könen inom de olika forskningsämnesområdena. För det totala antalet ansökningar 2024 är beviljandegraden 15 procent för kvinnor och

16 procent för män. Inom humaniora och samhällsvetenskap ligger beviljandegraden på 10 procent för kvinnor och 8 procent för män. Inom medicin och hälsa ligger be- viljandegraden på 18 procent för kvinnor och 19 procent för män och inom natur- vetenskap och teknikvetenskap på 19 procent för kvinnor och 20 procent för män.

222

Prop. 2025/26:1 Utgiftsområde 16

För vissa områden, såsom utbildningsvetenskap, konstnärlig forskning och klinisk behandlingsforskning, varierar siffrorna mer mellan åren, vilket i huvudsak beror på förhållandevis få ansökningar.

6.3.6Fri forskning av högsta kvalitet

Under 2024 presenterade regeringen forskningspolitiken för åren 2025–2028 i propositionen Forskning och innovation för framtid, nyfikenhet och nytta

(prop. 2024/25:60). Omfattande satsningar på fri forskning av högsta kvalitet avisera- des. I dessa ingår konkurrensutsatta medel till universitet och högskolor, satsningar på att stärka incitamenten till strategisk rekrytering, med särskild inriktning på den tidiga karriäranställningen biträdande lektor, excellenscentrum och en större satsning på ban- brytande forskning på högsta internationella nivå.

Forskning av högsta kvalitet är en grundläggande förutsättning för att forsknings- resultat ska vara tillförlitliga, relevanta och användbara för fortsatt vetenskaplig ut- veckling samt för att resultaten ska komma till nytta i näringsliv och samhälle. En tydlig inriktning mot excellens förbättrar också möjligheterna att attrahera och behålla nyckelkompetens i Sverige.

Vetenskapsrådet ger stöd till grundläggande forskning av högsta vetenskapliga kvalitet inom samtliga vetenskapsområden. Det s.k. fria projektbidraget är den bidragsform som omfattar flest ansökningar och medel. Under 2024 inkom 3 706 ansökningar om fria projektbidrag. Av dessa beviljades 580 ansökningar med totalt 2,6 miljarder kronor. År 2024 inkom fler ansökningar jämfört med andra år. Beviljandegraden var lägre vilket berodde på dels fler ansökningar, dels att ämnesrådet för naturvetenskap och teknik samt ämnesrådet för medicin och hälsa höjde schablonbeloppen per be- viljade projekt för att ge bättre förutsättningar för de projekt som håller högsta kvalitet.

Tabell 6.3 Ansökningar om fria projektbidrag

Tusental kronor

 

 

Totala antalet

 

Beviljandegrad,

 

Genomsnittlig

 

 

ansökningar

 

procent

 

bidragsstorlek

Vetenskapligt område

2024

2022

2024

2022

2024

2022

Humaniora &

 

 

 

 

 

 

Samhällsvetenskap

1053

847

9

11

1495

1383

 

 

 

 

 

 

 

Medicin och hälsa

965

870

19

26

1373

1112

Naturvetenskap &

 

 

 

 

 

 

Teknikvetenskap

1269

1109

20

24

1042

920

 

 

 

 

 

 

 

Utbildningsvetenskap

312

260

10

12

1483

1453

Konstnärlig forskning

74

57

9

14

1489

1448

 

 

 

 

 

 

 

Källa: Vetenskapsrådet.

 

 

 

 

 

 

Internationell mobilitet är många gånger grundläggande för forskning av högsta kvali- tet. För att ge nydisputerade möjlighet att verka vid ett utländskt universitet och utöka sin kompetens och sitt nätverk ger Vetenskapsrådet bidrag för internationell postdok. Under 2024 inkom 348 ansökningar om sådant bidrag, vilket är betydligt fler ansök- ningar jämfört med de två senaste åren. Totalt erhöll 58 forskare postdokbidrag under 2024. Vetenskapsrådets uppföljning visar att forskare som beviljats detta bidrag har högre sannolikhet att ha en fortsatt karriär inom universitet och högskola i Sverige.

6.3.7Forskning för att möta samhällets utmaningar

Satsningar på forskning för att möta samhällsutmaningar gjordes både i forsknings- och innovationspropositionen 2016 (prop. 2016/17:50) och forsknings- och inno-

223

Prop. 2025/26:1 Utgiftsområde 16

vationspropositionen 2020 (prop. 2020/21:60). I detta avsnitt redovisas satsningar inom utgiftsområde 16 som genomförs för att möta samhällsutmaningar. Redovis- ningar finns även inom utgiftsområdena 9 Hälsovård, sjukvård och social omsorg avsnitt 8, 20 Klimat, miljö och natur avsnitt 4.3, 23 Areella näringar, landsbygd och livsmedel avsnitt 2.6.2 samt 24 Näringsliv avsnitt 3.3.2.

Det nationella forskningsprogrammet om antibiotikaresistens gjorde under 2024 en utlysning av projektbidrag, vilket resulterade i att 23 ansökningar beviljades finansie- ring med totalt 80 miljoner kronor. Många av de beviljade projekten har en tvärveten- skaplig komponent. Svenska forskare beviljades också finansiering från en utlysning inom det internationella forskningssamarbetet om antibiotikaresistens (JPIAMR). En utlysning om projektbidrag för forskning om virala zoonoser gjordes 2024 inom det nationella forskningsprogrammet om virus och pandemier. De utvalda forsknings- projekten erhåller totalt 49 miljoner kronor. Tillsammans med det nationella forsk- ningsprogrammet om antibiotikaresistens genomfördes en utlysning om koncepttest (proof of concept) inom infektionsområdet, vilket syftar till att nyttiggöra och kom- mersialisera resultat från grundforskning. Vidare pågår ett arbete med att färdigställa en handlingsplan för forskningsfinansiering om ett nytt pandemiutbrott skulle uppstå.

Vetenskapsrådet stödjer Kliniska Studier Sverige som är ett nationellt samarbete mellan samverkansregionerna för hälso- och sjukvård för att skapa fler kliniska studier av hög kvalitet. Vetenskapsrådet har under 2024 genomfört en utvärdering av arbetet med att stödja och utveckla förutsättningarna för kliniska studier. Utvärderingen visar att det skapats ett robust system för samverkan som bidragit till ökad samordning och förbättrad tillgång till stöd för kliniska studier. Stödet har störst betydelse för forskare i början av sin karriär och för små företag.

Vetenskapsrådet har inom ramen för det nationella forskningsprogrammet om brott- slighet gett projektbidrag för forskning om brottslighet och fortsatt arbetet med att skapa mötesplatser för forskare och praktiker. Vetenskapsrådet ingår i Nätverket för brottsförebyggande praktiker och forskare vars syfte är att öka informationsflödet mellan forskare och praktiker. Under året publicerades kunskapsöversikter inom om- rådena ungdomsbrottslighet och kriminella nätverk. Vidare arbetar Vetenskapsrådet och Delegationen för migrationsstudier (Delmi) tillsammans med att ta fram en serie kunskapsöversikter om segregation. Under 2025 har det publicerats en kunskaps- översikt om boendesegregation och en kunskapsöversikt om valdeltagande. Även inom området migration och integration sker ett samarbete med Delmi om spridning av forskningsresultat.

Det nationella forskningsprogrammet om digitaliseringens samhälleliga konsekvenser har fortsatt arbetet med att sprida forskningsresultat och kunskap. Ett arbete med att ta fram en kunskapsöversikt om kostnader och nyttor med digitalisering i offentlig sektor har påbörjats.

6.3.8Rymdforskning och rymdverksamhet

Rymdverksamhet är internationell

Svensk rymdforskning och rymdindustri håller hög internationell klass, vilket bl.a. illustreras av att Sverige och svenska aktörer är efterfrågade i internationella och bi- laterala rymdsamarbeten. En stor del av de svenska statliga satsningarna på rymd- verksamhet finansierar projekt som genomförs i internationella samarbeten. Forsk- ningsresultat och dess tillämpningar är ofta av globalt intresse. Sverige deltar i både EU:s och den europeiska rymdorganisationens (ESA) rymdprogram som bidrar till samhällsnytta genom forskning och olika tjänster. I början av 2024 deltog Sverige ge- nom ett samarbete med ESA och det amerikanska företaget Axiom Space med en

224

Prop. 2025/26:1 Utgiftsområde 16

svensk projektastronaut i en rymdfärd till den internationella rymdstationen där två svenska experiment genomfördes jämte ett tjugotal internationella experiment. Sverige anslöt sig i april 2024 till Artemisavtalet, vilket är en politisk deklaration som har tagits fram av det amerikanska rymdorganet NASA. Avtalet fungerar som ett ramverk för internationellt samarbete kring utforskning av rymden och har sin grund i Rymdför- draget och andra relevanta FN-konventioner.

Strategi för svensk rymdverksamhet

Den nationella strategin för svensk rymdverksamhet (skr. 2017/18:259) innehåller långsiktiga strategiska mål för att stärka svensk rymdverksamhet. Genomförande av rymdstrategin fortsatte under 2024, exempelvis när det gäller informationsspridning om rymddata och användning av sådan data för olika samhällstjänster. Strategin fram- håller även vikten av rymdforskning bl.a. för att bättre kunna studera jorden.

Den svenska forskningssatelliten MATS sändes upp i november 2022 och har under 2024 levererat värdefulla mätningar av jordens övre atmosfär. Detta bidrar till grund- forskning om dynamiken i mesosfären, vilket kommer att öka förståelsen för det glo- bala klimatsystemet och klimatförändringarna. ESA-projektet Arctic Weather Satellite startade på initiativ av Sverige och leds av OHB Sweden AB. Den första satelliten, av vad som den europeiska väderorganisationen Eumetsat har tänkt ska bli en konstella- tion om ett tjugotal satelliter, färdigställdes under 2023 och sändes upp från USA i augusti 2024. Den går i en vertikal omloppsbana runt jorden som passerar både Arktis och Antarktis. Dessa regioner har i dagsläget inte fullgod täckning av vädersatelliter, varför satelliten ger betydligt bättre förståelse än vad som varit möjligt tidigare om väder och klimat i de polära regionerna.

Utveckling av Esrange för rymdverksamhet

Utvecklingen av forskningsinfrastrukturen vid rymdbasen Esrange, som den nationella rymdstrategin anger som en viktig satsning, fortsätter. Färdigställandet av den nya uppskjutningsanläggningen som invigdes 2023 och som ska möjliggöra uppskjutningar av satelliter till omloppsbana fortsatte under 2024. Den testbädd som öppnades 2020 för test- och utvecklingsverksamhet vid Esrange inom återanvändningsbar uppskjut- ningsteknik och för teknikdemonstrationer har sedan dess varit väl belagd med inter- nationella kunder som bl.a. utför motortester. Inom det nationella ballong- och raket- programmet genomförs projekt vid Esrange av betydelse bl.a. för klimatforskning.

6.3.9Forskningens infrastruktur

Forskningsinfrastruktur stärker Sveriges och Europas konkurrenskraft

Forskningsgenombrott bygger i stor utsträckning på användning av avancerad forsk- ningsinfrastruktur. Begreppet forskningsinfrastruktur omfattar t.ex. forskningsanlägg- ningar, biobanker, databaser, teleskop, superdatorer, forskningsnät för elektronisk kommunikation, försöksstationer, forskningsfartyg, fältförsök och testbäddar. För- utom att skapa förutsättningar för excellent forskning och innovation, skapar forsk- ningsinfrastrukturer nav för samverkan mellan forskningsområden, olika sektorer och nationaliteter. Vetenskapsrådet har ett övergripande nationellt ansvar för forsknings- infrastruktur, vilket inbegriper såväl nationell forskningsinfrastruktur som åtaganden i internationella forskningsinfrastrukturer. Under 2024 slutförde Vetenskapsrådet be- dömningen av ca 70 inkomna förslag som beskriver behov av ny och befintlig forsk- ningsinfrastruktur av nationellt intresse.

225

Prop. 2025/26:1 Utgiftsområde 16

Flera forskningsinfrastrukturer fortsätter att utvecklas

Den europeiska neutronkällan, ESS, förbereder för provdrift

ESS, som är under uppbyggnad, är en internationell neutronforskningsanläggning med 13 medlemsländer för vilken Sverige och Danmark är värdländer. ESS är baserad på världens mest kraftfulla neutronkälla. Under 2024 färdigställdes installationen av accelerator och målstation och tester av systemen pågår. Ett viktigt kommande steg är att skicka en protonstråle hela vägen till slutet av acceleratorn. Installation och tester av instrumenten pågår. Anläggningen förbereds för provdrift i slutet av 2025, en milstolpe för att öppna för användare år 2028. Vetenskapsrådet har under perioden 2021–2025 avsatt totalt 150 miljoner kronor för s.k. naturabidrag (in-kindbidrag), vilket innebär att forskare i Sverige bidrar med tjänster eller utrustning till anläggning- en. Under 2024 har ytterligare åtta projekt som leds av svenska lärosäten finansierats, som möjliggör för Sverige att involveras i de första vetenskapliga experimenten på ESS.

Användningen av MAX IV fortsätter öka

MAX IV är en synkrotronljusanläggning för material- och livsvetenskaplig forskning som i dag har 16 instrument, s.k. strålrör. Anläggningen används för forskning om nya material och läkemedel samt avancerade analysmetoder inom bl.a. nanoteknik och kvantmaterial. Experimenttid tilldelas i konkurrens och vetenskaplig excellens priorite- ras. Under 2024 har MAX IV gjort ett betydande vetenskapligt avtryck. Antalet veten- skapliga publikationer som baserats på forskning vid MAX IV ökade med 27 procent från föregående år. Antalet användare var 1 921 från 35 länder och 291 olika organisa- tioner inom både högskola och näringsliv. Av användarna var 94 procent från euro- peiska länder, varav 42 procent från Sverige. Antalet användare har ökat stadigt sedan 2022, inte minst från industrin som i och med den gröna omställningen har behov av avancerad materialforskning.

SciLifeLab är ett nav inom livsvetenskaplig forskning

Science for Life Laboratory (SciLifeLab) är ett nationellt center för storskalig forsk- ning inom biovetenskap, medicin och miljö av högsta internationella standard med flera anknutna universitet. Dess vetenskapliga forskningsresultat har hög kvalitet och står sig mycket bra i internationell konkurrens. Forskningsinfrastrukturen gav under 2024 stöd till nära 4 500 forskningsprojekt fördelade på över 1 900 unika användare. Av infrastrukturens totala resurser nyttjades 78 procent av forskare vid svenska läro- säten. Den största andelen kom ifrån andra lärosäten än de grundande universiteten. Därutöver nyttjades SciLifeLab av internationella forskare, av forskare inom hälso- och sjukvård och användare inom annan offentlig eller privat sektor. Under perioden 2019–2024 producerades 8 187 vetenskapliga publikationer från SciLifeLab.

Nyanskaffning av forskningsisbrytare

Sverige har ett strategiskt intresse av att ha en stark närvaro i Arktis, särskilt i ljuset av ett nytt säkerhetspolitiskt läge och Natomedlemskapet. Isbrytaren Oden har under flera decennier varit en av världens främsta marina infrastrukturer, men börjar närma sig slutet på sin beräknade livslängd för forskning i polarhaven. Regeringskansliet har därför beslutat om ett uppdrag att ta fram ett underlag inför en möjlig nyanskaffning av ett polarforskningsfartyg (U2024/00015).

Nytt regelverk för vissa forskningsdatabaser

Inom många forskningsområden behövs tillgång till personuppgifter för att kunna besvara forskningsfrågor. Med stöd av en ny lag för vissa forskningsdatabaser kan universitet och högskolor föra forskningsdatabaser som har ett särskilt vetenskapligt

226

Prop. 2025/26:1 Utgiftsområde 16

värde ur ett långsiktigt perspektiv i syfte att skapa underlag för olika forskningsprojekt. Insamlingen och behandlingen av personuppgifter ska ske med de registrerades fri- villiga medverkan. Lagen trädde i kraft den 1 januari 2025. Ändringar i offentlighets- och sekretesslagen (2009:400) har också gjorts för att skydda enskildas integritet och samtidigt möjliggöra att kompletterande uppgifter ska kunna inhämtas från t.ex. registerhållande myndigheter. Syftet är att förbättra förutsättningarna för register- baserad forskning samtidigt som de registrerades personliga integritet skyddas. Regeringen har gett Vetenskapsrådet i uppdrag att bistå i bedömningen av forsknings- databaser som ska föras enligt den nya lagen.

6.3.10Förutsättningar för forskning av högsta kvalitet

Ett öppet vetenskapssystem

Vetenskapliga publikationer som är ett resultat av forskning som har finansierats med offentliga medel ska vara omedelbart öppet tillgängliga med verkan fr.o.m. 2021. När det gäller forskningsdata ska omställningen vara genomförd fullt ut senast 2026, vilket innebär att forskningsdata ska göras tillgängliga så öppet som möjligt och så begränsat som nödvändigt (prop. 2020/21:60).

Vetenskapsrådet mäter årligen utvecklingen av det nationella arbetet med öppen till- gång till forskningsdata. Rapporteringen för 2024 visar att det fortsatt pågår etablering av strategiska inriktningar och implementering av öppen tillgång till forskningsdata i processer och arbetssätt hos universitet och högskolor, forskningsfinansiärer samt andra forskningsutförande myndigheter. Vidare lyfts bl.a. behovet av forskarstöd, att det fortfarande finns svårigheter att mäta omfattningen av öppen tillgång till forsk- ningsdata i Sverige samt vikten av hög datakvalitet och säker och tillförlitlig data- hantering.

Kungl. biblioteket publicerar årligen en rapport om det nationella arbetet med öppen tillgång till vetenskapliga publikationer. Rapporteringen visar att det finns behov av alternativa publiceringsmodeller utan höga kostnader i syfte att möjliggöra likvärdiga möjligheter för forskare att publicera sina resultat. Andelen omedelbart öppet tillgäng- liga sakkunniggranskade artiklar registrerade i Swepub för 2024 minskade med

1 procentenhet jämfört med 2023 och det senaste decenniets ökningstakt tenderar därmed att ha avtagit. Utvecklingen de senaste tio åren framgår av diagram 6.3.

Diagram 6.3 Andel omedelbart öppet tillgängliga artiklar

100

90

80

70

60

50

40

30

20

10

0

2015

2016

2017

2018

2019

2020

2021

2022

2023

2024

Källa: Kungl. biblioteket.

Kungl. bibliotekets sammanställning av de totala utgifterna för vetenskaplig publice- ring visar att kostnaderna för 2024 uppgick till ca 806 miljoner kronor, vilket är en

227

Prop. 2025/26:1 Utgiftsområde 16

ökning med ca 7 miljoner kronor jämfört med föregående år. Kostnaderna 2024 kan jämföras med 2021 då de totala kostnaderna var ca 711 miljoner kronor. Ökningen be- ror främst på att övervägande delen av lärosätenas utgifter är kopplade till avtal med kommersiella vetenskapliga förlag, som inkluderar såväl kostnader för prenumera- tioner som för öppet tillgängliga publikationer.

Etik i forskningen

Forskning av högsta kvalitet är en grundläggande förutsättning för att forsknings- resultat ska vara tillförlitliga, relevanta och användbara för fortsatt vetenskaplig utveckling samt för att resultaten ska komma till nytta i näringsliv och samhälle. Forskningen är samtidigt underställd etiska regler, vilka har sitt ursprung i samhällets etiska normer och värderingar. Regeringskansliet beslutade i augusti 2023 om ett upp- drag att utreda undantag från kravet på etikgodkännande för viss forskning och regle- ringen av tillsyn i etikprövningslagen (U 2023:C). Utredningen presenterade sina för- slag i oktober 2024 i promemorian En ny lag om forskningsetiska krav på och etik- prövning av forskning som avser människor (Ds 2024:21). Promemorian har remiss- behandlats.

Etikprövning med handläggningstider inom tidsfristerna

Etikprövningsmyndigheten har till huvudsaklig uppgift att pröva ansökningar om etikprövning enligt lagen (2003:460) om etikprövning av forskning som avser människor. Under 2024 inkom totalt 8 486 ansökningar, varav drygt hälften var nya grundansökningar och hälften ändringsansökningar. De genomsnittliga handläggnings- tiderna 2024 låg på 36 dagar, vilket är i samma nivå som föregående år och inom god marginal för de rekommenderade tidsfristerna enligt förordningen (2003:615) om etikprövning av forskning som avser människor.

Ny statistikportal för klinisk forskning och statistik över personuppgifter

Etikprövningsmyndigheten fick 2023 i uppdrag av regeringen att från och med 2024 föra och presentera statistik över klinisk forskning. En statistikportal lanserades i maj 2024 då även en första årlig rapport över klinisk forskning i Sverige överlämnades till Regeringskansliet. Av rapporten framgår att 196 ansökningar för kliniska forsknings- projekt godkänts under de inledande månaderna 2024. En majoritet av dessa,

53 procent, var kliniska observationsstudier. Vidare gav regeringen i maj 2023 Etikprövningsmyndigheten i uppdrag att föra och presentera statistik över inkomna ansökningar om forskning som enbart rör känsliga personuppgifter eller person- uppgifter om vissa lagöverträdelser. Uppdraget slutrapporterades i februari 2024 och visar att under urvalsperioden november 2021 till och med september 2023, inkom det 4 265 ansökningar om forskning som endast skulle behandla personuppgifter. Flest ansökningar fanns inom ämnesområdet medicin och hälsa.

6.3.11Forskningssamarbete inom EU och andra internationella forskningssamarbeten

Ramprogrammet för forskning och innovation, Horisont Europa, pågår mellan 2021 och 2027 med en total budget på ca 94 miljarder euro. Den strategiska planen för

2025–2027 trädde i kraft 2025. På övergripande nivå är programmet indelat i tre pelare med en underliggande horisontell bas. Pelare två innehåller också partnerskapspro- gram och uppdrag (missions). Horisont Europa är öppet för aktörer från näringsliv, akademi, offentlig sektor och civilsamhälle och det är i princip öppet för alla länder att delta, med några undantag. EU har under de senaste åren har identifierat framväxande forsknings- och teknikområden. Dessa områden ligger till grund för vissa prioriterin- gar inom EU:s ramprogram. Programmet för ett digitalt Europa kompletterar ram-

228

Prop. 2025/26:1 Utgiftsområde 16

programmet och omfattar satsningar på innovation, teknikutveckling och -tillämpning inom bl.a. beräkningsförmåga, kvantteknik, data, cybersäkerhet och AI.

Under senaste året har flera förändringar skett i form av nya partnerskapsprogram som etablerats och ytterligare länder som associerats till Horisont Europa. Ur svenskt perspektiv framstår avtalen med Kanada och Storbritannien som speciellt viktiga. Dessa båda länder är fullt ut associerade med ramprogrammet från och med första januari 2024. Från och med 2025 är även Singapore och Schweiz fullt ut associerade till ramprogrammet.

Hittills har svenska organisationer kontrakterat 3,3 procent av den totala beviljade budgeten inom Horisont Europa, vilket motsvarar 1 421,7 miljoner euro och resulte- rat i 2 811 deltaganden i 1 931 europeiska projekt. Detta innebär att Sverige har tappat en tiondels procentenhet av ramprogrammets medel i jämförelse med förra årets rapportering. Trots tillbakagången ligger Sverige för närvarande på åttondeplats bland deltagande länder när det gäller beviljade medel, vilket innebär en förbättring jämfört med föregående år då Sverige hade en niondeplats. Det största svenska deltagandet i programmet kommer från akademin, som har tilldelats 59,2 procent av de medel (netto) som hittills beviljats till svenska aktörer. Beviljandegraden för svenska projekt har sjunkit något över lag under det gångna året.

Forskningssamarbete bidrar till målet om att vara en framstående forskningsnation och nordiskt forskningssamarbete är centralt för att möta olika samhällsutmaningar och hantera samhällskriser. Under 2024 innehade Sverige ordförandeskapet i Nordiska ministerrådet för utbildning och forskning. Ansvarsfull internationalisering, forsk- ningsinfrastrukturer samt tvärvetenskaplig forskning är områden där det nordiska forskningssamarbetet ger mervärde. Flera bilaterala forskningssamarbeten har vidare- utvecklats under 2024, exempelvis det strategiska partnerskapet mellan Storbritannien och Sverige, som undertecknades 2023. År 2024 tecknades ett bilateralt genom- förandeavtal om cancerforskning och ett cancervårdsavtal mellan Sverige och USA för att främja utbyte länderna emellan inom cancerforskning liksom att implementera forskningsresultat i cancervården för att snabbare stärka vården för cancerpatienter.

6.4Regeringens bedömning av måluppfyllelsen

6.4.1Svensk forskning i internationell jämförelse

I internationell jämförelse har Sverige länge varit ett framgångsrikt forsknings- och innovationsland med hög intensitet inom forskning och utveckling och en hög FoU- finansiering relativt ekonomins och landets storlek. Sverige är fortsatt en framstående forskningsnation och de svenska investeringarna i FoU överstiger EU:s mål på

3 procent av BNP. Under perioden 2015–2024 har de statliga anslagen för forskning och utveckling ökat med ca 15 miljarder kronor i löpande priser, men i relation till BNP har statens andel legat oförändrat. Samtidigt har de svenska investeringarna i FoU på totalen ökat till 3,6 procent som andel av BNP för 2024, en ökning på

0,36 procentenheter under samma tidsperiod. Denna ökning utgörs till största andel av näringslivets investeringar. Detta gör att Sveriges totala investeringar i FoU överstiger EU:s mål på 3 procent av BNP med drygt 0,6 procentenheter.

Andra forskningsintensiva länder, exempelvis Israel, Sydkorea och USA, har gjort större investeringar under den senaste tioårsperioden. Länder som Belgien och Schweiz har också ökat sina FoU-investeringar och börjar närma sig Sveriges nivå. Även om Sverige fortfarande ligger högt i FoU-investeringar så har det inte skett någon motsvarande ökning den senaste tioårsperioden. Huvuddelen av ökningen av statliga medel har tillförts universitet och högskolor, antingen som direkta anslag för forskning och utbildning på forskarnivå eller via forskningsfinansiärerna. Den veten-

229

Prop. 2025/26:1 Utgiftsområde 16

skapliga genomslaget mätt som antalet artiklar som citeras bland de 10 procent högst citerade har inte ökat trots att statliga medel har tillförts. Dessa citeringar har i stället minskat något jämfört med de senaste tio åren. En majoritet av länderna i Europa och Nordamerika har dock sjunkit det senaste decenniet då ett antal länder i Asien har ökat sitt genomslag markant. Vidare har forskare i Sverige en mycket hög grad av internationella samarbeten vilket troligen stärker forskningens kvalitet.

Sammanfattningsvis indikerar resultaten att Sverige är ett av världens främsta länder när det gäller investeringar i FoU, att svensk forskning har en mycket hög grad av internationella samarbeten och ett relativt stabilt internationellt genomslag (citerings- grad) vilket indikerar en god vetenskaplig kvalitet. När citeringsgraden relateras till högskolans utgifter framgår att Sverige har potential att öka det vetenskapliga genom- slaget. Det finns därför utrymme för att ytterligare höja kvaliteten i svensk forskning. Sverige är fortsatt ett ledande innovationsland, för mer detaljerad måluppfyllelse inom detta delmål, se utgiftsområde 24 Näringsliv.

6.4.2Fri forskning av högsta kvalitet

En majoritet av Vetenskapsrådets forskningsmedel ska fördelas till fri forskning av högsta kvalitet. Enligt regeringens bedömning garanterar Vetenskapsrådets processer, inklusive sakkunniggranskning av forskningsansökningar, att forskning av högsta kvalitet finansieras och därmed bidrar till delmålet att svensk forskning ska hålla hög kvalitet.

6.4.3Forskning för att möta samhällets utmaningar

Vetenskapsrådet genomför ett antal forskningssatsningar som syftar till att möta olika samhällsutmaningar. Enligt regeringens bedömning fyller de nationella forsknings- programmen och de riktade satsningarna en viktig funktion bland annat genom att de skapar länkar mellan praktiker och forskare. Genom fördjupat samarbete mellan forskning, praktiker och behovsägare stärks det praktiknära perspektivet. Regeringen ser positivt på de insatser som gjorts för att kommunicera forskningsresultat inom olika programområden.

6.4.4Rymdforskning och rymdverksamhet

Rymden har en viktig och växande betydelse för många samhällsfunktioner i det nya säkerhetsläget. Rymdforskning bidrar med kunskap inom ett flertal samhälls- och forskningsområden och samhällets växande beroende av satellitdata för olika sam- hällsfunktioner gör att rymdverksamhetens betydelse ökar. Hög kompetens, erfaren- het och kvalitet inom t.ex. instrumentutveckling, kommersiell rymdteknik, deltagande i rymdmissioner och publicering av forskningsresultat samt ett ansvarsfullt och säker- hetsmedvetet arbetssätt är avgörande för svensk konkurrenskraft inom rymdverksam- heten. Regeringen bedömer fortsatt att Sverige tappar något i konkurrenskraft som leverantör till den europeiska rymdsektorn, bland annat på grund av att det svenska bidraget till ESA har minskat i relation till andra länders bidrag. Insatserna inom rymdforskning och rymdverksamhet bedöms bidra till målet att Sverige ska vara ett internationellt attraktivt land för investeringar i forskning och utveckling.

6.4.5Forskningens infrastruktur

God tillgång till högkvalitativ forskningsinfrastruktur är en konkurrensfördel när allt fler länder strävar efter att befinna sig i forskningsfronten och den globala konkurren- sen inom forskning och innovation hårdnar. Satsningarna på forskningsinfrastruktur i Sverige har bidragit till att svenska forskare inom flera områden ligger i forsknings- fronten och kan bedriva excellent forskning.

230

Prop. 2025/26:1 Utgiftsområde 16

Forskningsinfrastruktur inom alla vetenskapsområden bedöms vara av strategisk betydelse och stärker Sveriges position som ledande kunskapsnation och har bidragit till forskning av hög kvalitet vilket är ett av de forskningspolitiska delmålen. Dessutom utgör de en stark attraktionskraft för nationell och internationell spetskompetens, näringslivsetableringar och internationella samarbeten. Vidare bedömer regeringen att åtgärder inom området forskningsinfrastruktur även bidrar till måluppfyllelsen att Sverige ska vara ett världens främsta innovationsländer.

6.4.6Förutsättningar för forskning av högsta kvalitet

Ett öppet vetenskapssystem

Öppen vetenskap, såsom öppen tillgång till publikationer och forskningsdata, bidrar till ökad transparens vilket främjar god forskningssed, genomslag, reproducerbarhet och validering av kunskap. Svårigheterna att mäta omfattningen av öppen tillgång till forskningsdata i Sverige behöver fortsatt adresseras. Att den stadiga ökningstakten för omedelbart öppet tillgängliga publikationer avtagit det senaste året synliggör behov av alternativa publiceringsmodeller i syfte att stärka möjligheterna att följa den nationella inriktningen. Det är angeläget att de nationella riktlinjerna för öppen vetenskap implementeras på ett effektivt sätt.

Etik i forskningen

Forskningsetik och god forskningssed är avgörande för att värna människor och djur som deltar i forskningen och är grunden för att upprätthålla ett högt förtroende för forskningen. Regeringen bedömer att den etikprövning som genomförs vid Etikprövningsmyndigheten bidrar till forskning av hög kvalitet. Då en del av etik- prövningen även avser kliniska prövningar, vilka är en del i innovationsprocessen hos life science företag, bedömer regeringen att en effektiv etikprövning även bidrar till måluppfyllelsen att Sverige ska vara ett världens främsta innovationsländer.

Jämställdhet inom forskningen

För att Sverige fortsatt ska vara en ledande kunskaps- och forskningsnation måste lika villkor för likartat arbete och meriter gälla för kvinnor och män. Fördelningen av forskningsmedel behöver regelbundet följas upp och analyseras ur ett jämställdhets- perspektiv. Vetenskapsrådets arbete med jämställdhet inom beredningsprocessen be- döms ha resulterat i god jämställdhet i antalet beviljade ansökningar av högsta kvalitet. Det är viktigt att bevara det resultat som arbetet med jämställdhetsintegrering har bidragit till och att fortsätta arbeta aktivt för ökad jämställdhet.

6.4.7Stärkt och strategiskt internationellt samarbete

I den nationella strategin för svenskt deltagande i Horisont Europa har flera lång- siktiga mål och delmål fastställts för att stärka Sveriges engagemang i ramprogrammet. Målet att Sverige ska tilldelas mer än 3,7 procent av de totala beviljade medlen i pro- grammet är en ambitionshöjning jämfört med föregående ramprogram. Den senaste statistiken för Horisont Europa visar dock att Sveriges deltagande fortfarande ligger på omkring 3,3 procent. Det finns en outnyttjad potential att få en större andel av medlen från EU:s ramprogram för forskning och innovation samt angränsande fonder och program.

För att stärka Sveriges position krävs att forskningsfinansiärer, lärosäten och andra relevanta aktörer gör fortsatta ansträngningar, inte minst genom att fokusera på internationella samarbeten som stärker kvaliteten i svensk forskning. Ett strategiskt och ansvarsfullt internationellt samarbete är avgörande för att främja forsknings- genombrott och möta de globala samhällsutmaningarna.

231

Prop. 2025/26:1 Utgiftsområde 16

6.5Politikens inriktning

6.5.1Sverige ska fortsatt vara en ledande forskningsnation

Forskning är avgörande för Sveriges konkurrenskraft, välstånd och förmågan att hantera samhällsutmaningar, både i dag och i framtiden. Det forskningspolitiska målet är att Sverige ska vara ett av världens främsta forsknings- och innovationsländer och en ledande kunskapsnation. Fortsatta investeringar i forskning och innovation behövs för ökad tillväxt och välfärd.

Sverige behöver fortsatt göra investeringar i forskning och utveckling. Kvalitet ska stå i fokus och den fria forskningen ska värnas. En tydlig inriktning med satsningar på de främsta forskarna och forskning av högsta kvalitet ska prägla statens investeringar i FoU. Tydliga karriärvägar krävs för att svenska lärosäten ska kunna konkurrera om topptalanger och ge förutsättningar för utbildning och forskning av högsta kvalitet. Strategisk rekrytering av forskare tidigt i karriären är därför ett viktigt led i att stärka svensk forskning.

Internationella samarbeten, utbyten och sampubliceringar är viktiga förutsättningar för att skapa forskning av högsta kvalitet. Därför måste forskning i Sverige också ha ett starkt internationellt engagemang och högt deltagande i EU:s ramprogram för forsk- ning. Sverige ska vara ett attraktivt land för såväl nationell som internationell talang och spetskompetens samt för FoU-investeringar. Forskning och innovation spelar även en central roll för att hantera samhällsutmaningar som klimatförändringar, hälso- kriser brottslighet och för välfärdens utveckling. Praktiknära forskning kan bidra till att reformer och åtgärder blir mer evidensbaserade och effektiva. Den administrativa bördan för forskare bör minska så att mer tid kan ägnas åt kärnverksamhet. Som ett led i detta arbete bör viss forskning kunna undantas från kraven på etikprövning.

Samverkan mellan statliga universitet och högskolor och näringsliv samt offentlig sektor är viktig för Sveriges samlade innovationsförmåga och ska värnas och utveck- las. Sverige har en lång och fantastisk historia av forskning, innovationer och entre- prenörskap som bör vårdas. För detta kan ett framtida Nobel Center vara betydelse- fullt. Regeringen budgeterar sedan tidigare för årliga stöd till Nobelprismuseet och staten har för avsikt att spela en roll i driften av det nya centret.

I forsknings- och innovationspropositionen 2024, som tar utgångspunkt i excellens, internationalisering och innovation, presenteras satsningar för att stärka forskning och innovation i Sverige. I propositionen aviseras även utvärderingar av de befintliga sats- ningarna på strategiska forskningsområden och av nationella forskningsprogram. Utvärderingarna kommer bidra till utformningen av regeringens långsiktiga forsk- ningspolitik.

232

Prop. 2025/26:1 Utgiftsområde 16

Tabell 6.4 Föreslagna och beräknade anslagsökningar för de statliga anslagen för forskning och innovation i enlighet med forsknings- och innovationspropositionen 2024

Miljoner kronor

Område

2025

2026

2027

2028

Universitet och högskolor

377

627

1 004

1 632

varav

 

 

 

 

Konkurrensutsatta forskningsanslag

125

327

439

544

Strategiska forskningsområden

0

0

200

400

Strategisk rekrytering

0

0

0

245

Särskilda satsningar

210

257

310

363

Innovation

42

43

55

80

 

 

 

 

 

Vetenskapsrådet

595

995

1 591

2 585

varav

 

 

 

 

Strategisk rekrytering

0

75

145

245

Banbrytande forskning

0

75

200

450

Excellenscentrum

50

100

175

300

Nationell infrastruktur

30

30

35

55

Digital forskningsinfrastruktur

65

85

100

140

Förstärkning till MAX IV

50

55

65

90

Nytta av ESS och MAX IV

35

35

45

55

Förstärkning av biobanker

5

5

5

5

EU:s ramprogram, excellent forskning

10

10

25

35

Excellenskluster banbrytande teknik

125

265

420

710

Grundforskning metaller och mineraler

10

15

25

35

Nationell forskarskola polar

10

10

10

10

Kärnteknisk grundforskning

20

20

35

45

Life science, fokus precisionsmedicin

30

50

85

110

Klinisk behandlingsforskning

25

25

25

30

NFP Antibiotikaresistens

40

40

45

55

Forskning om kvinnors hälsa och sjukdomar

10

10

20

40

Forskning inom primärvården

10

10

10

15

NFP Brottslighet

25

30

30

40

Forskning om mäns våld mot kvinnor m.m.

10

15

20

30

Forskning om Förintelsen och antisemitism

0

0

12

12

Forskning om demokrati, m.m.

20

20

35

45

Bildningslyftet 2.0

15

15

24

33

 

 

 

 

 

Vinnova1

315,6

524

838

1 366

varav

 

 

 

 

EU:s ramprogram

28

43

65

100

Verifieringsmedel

35

50

77,5

108

Test och demo

29,5

47

70

102

Excellenskluster för banbrytande teknik

62

143

268

537

Avancerad digitalisering - steg 2

46,5

70

104

150

Batterier

40

60

88

128

Nationella Flygtekniska Forskningsprogrammet (NFFP)

28

42

62

90

Internationella samarbeten metaller och mineraler

11,6

17

26

38

Program för avancerad Life Science

35

52

77,5

113

 

 

 

 

 

Formas2

74

123

197

319

varav

 

 

 

 

NFP Hav och vatten

10

10

10

15

233

Prop. 2025/26:1 Utgiftsområde 16

Område

2025

2026

2027

2028

NFP Klimat

0

0

10

20

Kemikaliesäker framtid

10

20

25

40

Bioekonomi inkl. skog

25

35

60

83

Bioekonomi, forskarskola

0

15

20

27

NFP Livsmedel

25

35

60

110

NFP Hållbart samhällsbyggande

4

8

12

24

 

 

 

 

 

Forte3

62

102

164

267

varav

 

 

 

 

NFP Psykisk hälsa och suicidprevention

32

32

44

77

Forskning om kvinnors hälsa och sjukdomar

20

20

30

40

Forskning och utveckling av en nära vård

10

10

20

30

NFP Barn och ungas uppväxtvillkor och hälsoutveckling

0

20

30

60

NFP Hållbar socialtjänst

0

20

30

40

NFP Arbetsliv

0

0

10

20

Rymdstyrelsen

48

80

128

208

varav

 

 

 

 

Rymdforskning och rymdteknik

48

70

118

193

Nationell forskarskola rymd

0

10

10

15

 

 

 

 

 

RISE4

27

45

72

117

varav

 

 

 

 

Höjt anslag

15

24,4

42,4

68,8

Batterier

10,5

17

29,6

48,2

Utvinningstekniker

1,5

3,6

0

0

 

 

 

 

 

Finansmarknadsforskning, anslag 1:165

1,4

4

6

6

Totalt

1 500

2 500

4 000

6 500

 

 

 

 

 

1Myndighet inom. utg.omr. 24 Näringsliv.

2Myndighet inom utg.omr. 20 Klimat, miljö och natur och utg.omr. 23. Areella näringar, landsbygd och livsmedel. 3Myndighet inom utg.omr. 9 Hälsovård, sjukvård och social omsorg.

4Statligt ägt bolag inom utg.omr. 24 Näringsliv.

5Anslag inom utg.omr. 2 Samhällsekonomi och finansförvaltning.

6.5.2Excellent forskning

En tydlig inriktning mot excellens och högsta kvalitet ska prägla svensk forskning. Forskning av högsta kvalitet är en avgörande förutsättning för att Sverige ska fortsätta att vara en ledande välfärds- och kunskapsnation. Excellenssatsningar kan leda till högkvalitativ forskning, nya forskningsperspektiv, ökat risktagande, nya angreppssätt och nya samarbeten. Forskningsmedel som fördelas i konkurrens på nationell och internationell nivå är kvalitetsdrivande. Forskning där forskarna själva väljer forsk- ningsfrågor och metoder och samarbetar med internationellt ledande forskare med kompletterade kompetenser bidrar till nya forskningsgenombrott och att Sverige fortsatt kan vara en konkurrenskraftig kunskapsnation.

Internationella studier visar att andelen forskningsgenombrott har sjunkit de senaste decennierna. Enligt OECD är statligt stöd för vetenskapligt risktagande och ett lång- siktigt åtagande de enskilt viktigaste faktorerna för att stimulera banbrytande forsk- ning. Nya finansieringsinstrument behöver utvecklas för att identifiera och stimulera forskning som kan leda till forskningsgenombrott. För att skapa förutsättningar för vetenskapligt risktagande och utveckla dagens finansieringsinstrument ska Vetenskapsrådet etablera ett nytt program för banbrytande forskning fr.o.m. 2026.

Excellenta forskningsmiljöer bidrar till nya forskningsfrågor och angreppssätt, sam- arbeten över ämnesgränser och ett ökat risktagande i kombination med höga ambitio-

234

Prop. 2025/26:1 Utgiftsområde 16

ner. Därför förstärker regeringen Vetenskapsrådets satsning på excellenscentrum så att fler excellenta forskningsmiljöer kan etableras.

Mobilitet av forskare mellan högskolor, näringsliv och andra organisationer, såväl na- tionellt som internationellt, är kvalitetsdrivande och en av de viktigaste faktorerna för att sprida och dela kunskap och kompetens. Förmågan att rekrytera de främsta forskarna är en nyckel till att åstadkomma forskning av högsta kvalitet och en lång- siktig förutsättning för verksamheter vid såväl lärosäten som näringsliv, hälso- och sjukvård, myndigheter och andra organisationer som vill hålla en hög kunskapsnivå.

För att stärka lärosätenas arbete med strategisk rekrytering har regeringen infört en ny karriärstödssatsning på nationell nivå vid Vetenskapsrådet och kopplat denna till en ny indikator inom ramen för lärosätenas forskningsanslag. Satsningen fokuserar på meriteringsanställningen biträdande lektor och ger möjlighet att rekrytera talanger såväl nationellt som internationellt.

Internationellt har möjligheterna att bedriva forskning påverkats på senare tid. Regeringen har agerat på ett flertal sätt för att säkra svenska forskningsprojekt och minska osäkerheterna i forskningssektorn. För att stärka förutsättningarna att attrahera forskare till Sverige avsätter regeringen 25 miljoner kronor under 2025 för en satsning via Vetenskapsrådet på strategisk rekrytering av framstående internationella forskare. Satsningen gör det möjligt för svenska lärosäten att erbjuda anställning för dessa i Sverige under en begränsad period.

6.5.3Forskning som grund för innovation och konkurrenskraft

Sverige är en tekniknation och utvecklingen inom framväxande, banbrytande och stra- tegiskt viktiga tekniker går snabbt. Forskning och innovation på banbrytande tekniker med fokus på framtidens teknikområden har potential att ge stora positiva effekter på konkurrenskraft, samhällsutveckling och välstånd. Därför behövs satsningar inom teknikområdet.

Sverige ska vara framstående i att nyttja AI som vetenskapligt verktyg och instrument. Användningen av AI inom forskningen behöver även vara i linje med vetenskaplig kvalitet, öppenhet och säkerhet. För att säkerställa Sveriges värdskap för en av sju europeiska s.k. AI-fabriker föreslår regeringen att medel ska tillföras Vetenskapsrådets forskningsanslag. Den snabba utvecklingen inom beräkningsteknik och AI gör att Kungl. bibliotekets digitala samlingar fått kraftigt ökad relevans för forskningen. Regeringen föreslår därför en förstärkning av Kungl. biblioteket för fortsatt digitise- ring av bibliotekets material och för vidareutveckling av AI-modeller som stöd för forskningen, samt för att tillgängliggöra och vid behov anpassa utvecklade AI- modeller för användning inom den offentliga förvaltningen.

Kvantteknik är under stark utveckling världen över och bedöms vara en nyckelteknik för utvecklingen i stora delar av samhället. För att omhänderta kvantteknikens möjlig- heter behövs stark grundforskning som kan ligga till grund för tekniksprång inom olika tillämpningar. Eftersom området kräver investeringar och ökad samordning be- dömer regeringen att det behövs en tydlig nationell strategi för kvantområdet.

6.5.4Internationellt forskningssamarbete och ansvarsfull internationalisering

I ett förändrat geopolitiskt landskap med ökade spänningar och hårdnande konkur- rens får forskning och innovation en allt större betydelse. Detta innebär förändrade mönster och förutsättningar för ett ansvarsfullt och säkert internationellt forsknings- samarbete där även vetenskapsdiplomatiska perspektiv har en viktig betydelse. Det är

235

Prop. 2025/26:1 Utgiftsområde 16

därför nödvändigt med en balanserad bedömning av både risker och möjligheter samt att värna akademisk frihet och forskningsintegritet.

Öppenhet bör utgöra grunden i internationellt samarbete, samtidigt som det behöver finnas en medvetenhet om behovet att skydda nationella intressen, kunskap och tek- nik. För att inte riskera att bromsa vetenskapliga genombrott och framsteg behöver de skyddsåtgärder som vidtas vara precisa, proportionerliga och effektiva. Det är därför angeläget att statliga universitet och högskolor, forskningsfinansiärer och andra rele- vanta myndigheter tar ansvar för att internationella samarbeten sker ansvarsfullt och säkert.

6.5.5Forskningsinfrastruktur – en förutsättning för forskning av högsta kvalitet

Avancerad forskningsinfrastruktur är många gånger en förutsättning för forskning av högsta kvalitet och avgörande för möjligheten att bedriva internationellt konkurrens- kraftig forskning i Sverige. Sådan forskningsinfrastruktur skapar förutsättningar för forskningsgenombrott och driver teknikutveckling från grundforskning till nyttig- görande. ESS, MAX IV och SciLifeLab är forskningsinfrastrukturer som ger unika möjligheter för forskning som kan leda fram till exempelvis bättre mediciner med färre biverkningar, nya material för energilagring och än mer effektiva solceller. Anläggning- arna är framstående miljöer som kan attrahera såväl kompetens som investeringar och näringslivsetableringar till Sverige. Att Sverige har en högklassig digital infrastruktur för forskning är viktigt för att ta fram ny kunskap som kan bidra till att hantera utma- ningar inom klimat, energi, transporter och hälsa.

Sverige har ett strategiskt intresse av att ha en stark närvaro i Arktis, särskilt i ljuset av ett nytt säkerhetspolitiskt läge och Natomedlemskapet. Regeringen bedömer att Sveriges ledande position inom polarforskning och oberoende tillträde till Arktis be- höver säkras. Hänsyn ska även tas till vår kapacitet för utbyggnad och reparation av undervattensinfrastruktur. Regeringen avser att närmare utreda hur Sverige kostnads- effektivt kan säkra tillgången till en forskningsisbrytare.

För att säkerställa fortsatt tillgång till marin forskningsinfrastruktur som bidrar till att stärka svensk polarforskning föreslås att Polarforskningssekretariatet tillförs medel som möjliggör att fr.o.m. 2026 ansvara för Kristineberg Center för marin forskning och innovation som idag förvaltas av Göteborgs universitet.

6.5.6Sveriges position som framstående rymdnation ska stärkas

Rymdverksamhetens betydelse för olika samhällsfunktioner ökar och har de senaste åren även blivit allt viktigare mot bakgrund av den förändrade säkerhetspolitiska situationen. Flera länder gör betydande satsningar. Den svenska rymdbasen Esrange, den enda operationella rymdbasen i fastlands-EU, och utvecklingen av uppskjutnings- förmåga av satelliter till omloppsbana som pågår vid rymdbasen, utgör en strategisk resurs för svensk konkurrenskraft och för Europas oberoende tillträde till rymden. Ett viktigt steg för Sveriges rymdförmåga är det avtal regeringen tecknat med USA för skydd av känslig teknik som framöver gör det möjligt att använda amerikanska bärraketer för satellituppsändningar från svenskt territorium.

Det svenska bidraget till den europeiska rymdorganisationen (ESA) har minskat i relation till andra länder de senaste åren. Finansiering till ESA ger förutsättningar för svenskt deltagande i viktiga internationella forskningsprojekt. Detta leder till att svenska forskare och företag kan behålla sina framstående positioner inom interna- tionell rymdforskning och rymdverksamhet. Det är därför av största vikt att Sverige

236

Prop. 2025/26:1 Utgiftsområde 16

redan vid ministerrådsmötet hösten 2025 kan öka deltagandet i ESA:s program för att bibehålla Sveriges position inom rymdområdet. Mot denna bakgrund föreslår regerin- gen en förstärkning av Rymdstyrelsens anslag för rymdforskning och rymdverksam- het. Satsningar på rymdverksamhet bidrar också till att stärka näringslivet och är en förutsättning för att Sverige ska vara en konkurrenskraftig rymd- och kunskapsnation. Från och med 2026 inrättas även en nationell forskarskola med fokus på Sveriges behov inom rymdområdet.

6.6Den årliga revisionens iakttagelser

Riksrevisionen har lämnat en revisionsberättelse med reservation för Rymdstyrelsen med anledning av att Rymdstyrelsen har ingått åtaganden utöver tilldelad ram för beställningsbemyndiganden. Detta är inte förenligt med 17 § anslagsförordningen (2011:223). Rymdstyrelsen har redovisat att bemyndigandet för anslaget 3:4 Rymd- forskning och rymdverksamhet har överskridits med 297 miljoner kronor. Överskridandet beror på en oväntat hög inflationsuppräkning av åtaganden gentemot den europeiska rymdorganisationen (ESA) som Rymdstyrelsen inte hade möjlighet att påverka.

Riksrevisionen har även lämnat en revisionsberättelse med reservation för Kungl. biblioteket med anledning av att Kungl. bibliotekets årsredovisning för 2024 saknar underskriftsmening och underskrift från myndighetschefen. Detta är inte förenligt med 2 kap. 8 och 9 §§ förordningen (2000:605) om årsredovisning och budget- underlag. Kungl. biblioteket lämnade den 27 mars 2025 en reviderad årsredovisning med underskriftsmeningen inkluderad och undertecknad av myndighetschefen till regeringen.

6.7Budgetförslag

6.7.13:1 Vetenskapsrådet: Forskning och forskningsinformation

Tabell 6.5 Anslagsutveckling 3:1 Vetenskapsrådet: Forskning och forskningsinformation

Tusental kronor

2024

Utfall

7 906 618

Anslagssparande

-218 169

 

 

 

 

 

2025

Anslag

8 424 0461

Utgiftsprognos

8 344 056

2026

Förslag

8 072 296

 

 

 

 

 

 

 

2027

Beräknat

8 561 296

 

 

 

 

 

 

 

2028

Beräknat

9 555 296

 

 

 

 

 

 

 

1Inklusive beslut om ändringar i statens budget 2025 och förslag till ändringar i samband med denna proposition.

Ändamål

Anslaget får användas för utgifter för stöd för forskning och forskningsinformation. Anslaget får även användas för utgifter för forskningsinfrastrukturer, internationellt forskningssamarbete, utvärderingar, beredningsarbete, konferenser, resor och semina- rier som är kopplade till forskningsstödet. Anslaget får även användas för bidrag till ett konsortium för konstruktionen och driften av European Spallation Source ESS, efter beslut av riksdagen i varje enskilt fall.

237

Prop. 2025/26:1 Utgiftsområde 16

Skälen för regeringens förslag

Tabell 6.6 Förändringar av anslagsnivån 2026–2028 för 3:1 Vetenskapsrådet: Forskning och forskningsinformation

Tusental kronor

 

2026

2027

2028

Anvisat 20251

8 439 046

8 439 046

8 439 046

Beslutade, föreslagna och aviserade åtgärder

-236 750

252 250

1 246 250

 

 

 

 

varav BP26

-23 750

-23 750

-23 750

 

 

 

 

– Förstärkning Npof

-3 750

-3 750

-3 750

 

 

 

 

– Medfinansiering av den svenska AI-fabriken

80 000

80 000

80 000

 

 

 

 

– Ökat deltagande i ESA-program

-100 000

-100 000

-100 000

Överföring till/från andra anslag

-130 000

-130 000

-130 000

 

 

 

 

Övrigt

 

 

 

 

 

 

 

Förslag/beräknat anslag

8 072 296

8 561 296

9 555 296

 

 

 

 

1Statens budget enligt riksdagens beslut i december 2024 (bet. 2024/25:FiU10). Beloppet är således exklusive beslut om ändringar i statens budget.

Anslaget ökas med 80 000 000 kronor fr.o.m. 2026 för att finansiera en del av Sveriges medfinansiering i den svenska AI-fabriken vid Linköpings universitet.

Anslaget minskas med 100 000 000 kronor fr.o.m. 2026 för att finansiera en ökning av anslaget 3:4 Rymdforskning och rymdverksamhet. Vidare minskas anslaget med

3 750 000 kronor fr.o.m. 2026 för att finansiera en ökning av anslaget 3:12 Nämnden för prövning av oredlighet i forskning.

Regeringen föreslår att 8 072 296 000 kronor anvisas under anslaget 3:1 Vetenskaps- rådet: Forskning och forskningsinformation för 2026. För 2027 och 2028 beräknas anslaget till 8 561 296 000 kronor respektive 9 555 296 000 kronor.

Bemyndigande om ekonomiska åtaganden

Regeringens förslag

Regeringen bemyndigas att under 2026 för anslaget 3:1 Vetenskapsrådet: Forskning och forskningsinformation besluta om bidrag som inklusive tidigare åtaganden medför behov av framtida anslag på högst 25 979 400 000 kronor 2027–2036.

Skälen för regeringens förslag

Den grundforskning som finansieras av Vetenskapsrådet bedrivs vanligen i form av fleråriga projekt. De medel som Vetenskapsrådet fördelar för vetenskaplig utrustning är också långsiktiga, eftersom myndigheten åtar sig att under flera år betala amorte- ringar och räntor för den aktuella utrustningen. Vidare tillkommer de åtaganden som följer av inrättandet av ESS. Regeringen bör därför bemyndigas att under 2026 för anslaget 3:1 Vetenskapsrådet: Forskning och forskningsinformation besluta om bidrag som inklusive tidigare åtaganden medför behov av framtida anslag på högst

25 979 400 000 kronor 2027–2036.

238

Prop. 2025/26:1 Utgiftsområde 16

Tabell 6.7 Beställningsbemyndigande för anslaget 3:1 Vetenskapsrådet: Forskning och forskningsinformation

Tusental kronor

 

 

Prognos

 

Beräknat

Beräknat

Beräknat 2029

 

Utfall 2024

2025

Förslag 2026

2027

2028

– 2036

 

 

 

 

 

 

 

Ekonomiska

 

 

 

 

 

 

åtaganden vid årets

 

 

 

 

 

 

början

22 194 774

20 163 852

24 327 000

 

 

 

 

 

 

 

 

 

 

Nya ekonomiska

 

 

 

 

 

 

åtaganden

5 424 378

9 682 311

8 730 889

 

 

 

 

 

 

 

 

 

 

Utgifter mot anslag till

 

 

 

 

 

 

följd av ekonomiska

 

 

 

 

 

 

åtaganden

-7 466 339

-5 519 163

-7 078 489

-7 510 400

-6 150 215

-12 318 785

 

 

 

 

 

 

 

Övriga förändringar

 

 

 

 

 

 

av ekonomiska

 

 

 

 

 

 

åtaganden

11 039

 

 

 

 

 

 

 

 

 

 

 

 

Ekonomiska

 

 

 

 

 

 

åtaganden vid årets

 

 

 

 

 

 

slut

20 163 852

24 327 000

25 979 400

 

 

 

 

 

 

 

 

 

 

Beslutat/föreslaget

 

 

 

 

 

 

bemyndigande

25 000 000

24 327 000

25 979 400

 

 

 

 

 

 

 

 

 

 

Bemyndigande om bidrag till European Spallation Source ERIC (ESS)

Regeringens förslag

Regeringen bemyndigas att under 2026 för anslaget 3:1 Vetenskapsrådet: Forskning och forskningsinformation besluta om bidrag till European Spallation Source ERIC (ESS) på högst 470 000 000 kronor.

Skälen för regeringens förslag

Konstruktionen av ESS påbörjades under hösten 2014. Hittills har Sverige betalat ca 10,9 miljarder kronor, varav ca 9,5 miljarder kronor från Vetenskapsrådets forsknings- anslag, ca 0,6 miljarder kronor från Lunds universitets forskningsanslag och

0,8 miljarder kronor från Region Skåne. Mot bakgrund av att driftsättningen av ESS försenats beräknas Sveriges kostnader fram till driftstart 2028 uppgå till ca 11 miljarder kronor i 2013 års priser. Regeringen bör mot denna bakgrund bemyndigas att under 2026 för anslaget 3:1 Vetenskapsrådet: Forskning och forskningsinformation besluta om bidrag till European Spallation Source ERIC (ESS) på högst 470 000 000 kronor.

Bemyndigande om medlemsavgift i det gemensamma företaget för ett europeiskt högpresterande datorsystem

Regeringens förslag

Regeringen bemyndigas att under 2026 för anslaget 3:1 Vetenskapsrådet: Forskning och forskningsinformation besluta om medlemsavgift till det gemensamma företaget för ett europeiskt högpresterande datorsystem (Euro-HPC) på högst 25 000 000 kronor.

Skälen för regeringens förslag

I budgetpropositionen för 2019 bemyndigades regeringen att under 2019 för anslaget 3:1 Vetenskapsrådet: Forskning och forskningsinformation besluta om medlemskap i det gemensamma företaget för ett europeiskt högpresterande datorsystem (Euro-HPC) med en medlemsavgift på högst 25 000 000 kronor. Högpresterande datorer behövs för att klara stora vetenskapliga och samhälleliga utmaningar som kräver stor be- räkningskapacitet, såsom tidig upptäckt och behandling av sjukdomar och prognoser

239

Prop. 2025/26:1 Utgiftsområde 16

om klimatutvecklingen. Eftersom Sverige är medlem i Euro-HPC bör regeringen bemyndigas att under 2026 besluta om medlemsavgiften för 2026 på högst

25 000 000 kronor.

Bemyndigande om kapitaltillskott till EISCAT AB

Regeringens förslag

Regeringen bemyndigas att under 2026 för anslaget 3:1 Vetenskapsrådet: Forskning och forskningsinformation besluta om kapitaltillskott till EISCAT AB på högst 5 000 000 kronor.

Skälen för regeringens förslag

I oktober 2024 bildades EISCAT AB vars verksamhet består i att utveckla infrastruk- tur och bereda tillgång till radar och andra anläggningar för atmosfär- och jonosfär- forskning. Fram till bildandet av bolaget drevs verksamheten inom den ideella för- eningen EISCAT Scientific Association. Bolaget ägs till en tredjedel av den svenska staten och en tredjedel vardera av den finska och den norska staten.

Arbete pågår med att uppföra nästa generations markbaserade forskningsradar, EISCAT 3D, en forskningsinfrastruktur som etableras på Nordkalotten med anlägg- ningar i Sverige, Norge och Finland. Det finns behov av ett kapitaltillskott under nästa år. Regeringen bör mot denna bakgrund bemyndigas att under 2026 för anslaget 3:1 Vetenskapsrådet: Forskning och forskningsinformation besluta om kapitaltillskott på högst

5 000 000 kronor till EISCAT AB.

6.7.23:2 Vetenskapsrådet: Avgifter till internationella organisationer

Tabell 6.8 Anslagsutveckling 3:2 Vetenskapsrådet: Avgifter till internationella organisationer

Tusental kronor

2024

Utfall

499 739

Anslagssparande

-20 487

2025

Anslag

500 0611

Utgiftsprognos

497 089

2026

Förslag

420 061

 

 

 

 

 

 

 

2027

Beräknat

420 061

 

 

 

 

 

 

 

2028

Beräknat

420 061

 

 

 

 

 

 

 

1Inklusive beslut om ändringar i statens budget 2025 och förslag till ändringar i samband med denna proposition.

Ändamål

Anslaget får användas för utgifter för avgifter till internationella forsknings- organisationer.

Skälen för regeringens förslag

Tabell 6.9 Förändringar av anslagsnivån 2026–2028 för 3:2 Vetenskapsrådet: Avgifter till internationella organisationer

Tusental kronor

202620272028

Anvisat 20251

420 061

420 061

420 061

Beslutade, föreslagna och aviserade åtgärder

Överföring till/från andra anslag

240

Prop. 2025/26:1 Utgiftsområde 16

202620272028

Övrigt

Förslag/beräknat anslag

420 061

420 061

420 061

1Statens budget enligt riksdagens beslut i december 2024 (bet. 2024/25:FiU10). Beloppet är således exklusive beslut om ändringar i statens budget.

Regeringen föreslår att 420 061 000 kronor anvisas under anslaget 3:2 Vetenskapsrådet: Avgifter till internationella organisationer för 2026. För 2027 och 2028 beräknas anslaget till 420 061 000 kronor respektive 420 061 000 kronor.

Bemyndigande om ekonomiska åtaganden

Regeringens förslag

Regeringen bemyndigas att under 2026 för anslaget 3:2 Vetenskapsrådet: Avgifter till internationella organisationer besluta om bidrag som inklusive tidigare åtaganden medför behov av framtida anslag på högst 2 808 900 000 kronor 2027–2031.

Skälen för regeringens förslag

Vetenskapsrådet svarar för långsiktiga internationella åtaganden gentemot forsknings- organisationer. Regeringen bör därför bemyndigas att under 2026 för anslaget 3:2 Vetenskapsrådet: Avgifter till internationella organisationer besluta om bidrag som inklusive tidigare åtaganden medför behov av framtida anslag på högst 2 808 900 000 kronor 2027–2031.

Tabell 6.10 Beställningsbemyndigande för anslaget 3:2 Vetenskapsrådet: Avgifter till internationella organisationer

Tusental kronor

 

 

Prognos

 

Beräknat

Beräknat

Beräknat

 

Utfall 2024

2025

Förslag 2026

2027

2028

2029 – 2031

 

 

 

 

 

 

 

Ekonomiska

 

 

 

 

 

 

åtaganden vid årets

 

 

 

 

 

 

början

2 463 004

2 506 916

2 690 000

 

 

 

 

 

 

 

 

 

 

Nya ekonomiska

 

 

 

 

 

 

åtaganden

456 240

603 145

440 000

 

 

 

 

 

 

 

 

 

 

Utgifter mot anslag till

 

 

 

 

 

 

följd av ekonomiska

 

 

 

 

 

 

åtaganden

-499 739

-420 061

-321 100

-420 061

-420 061

-1 968 778

 

 

 

 

 

 

 

Övriga förändringar

 

 

 

 

 

 

av ekonomiska

 

 

 

 

 

 

åtaganden

87 411

 

 

 

 

 

 

 

 

 

 

 

 

Ekonomiska

 

 

 

 

 

 

åtaganden vid årets

 

 

 

 

 

 

slut

2 506 916

2 690 000

2 808 900

 

 

 

 

 

 

 

 

 

 

Beslutat/föreslaget

 

 

 

 

 

 

bemyndigande

2 537 000

2 690 000

2 808 900

 

 

 

6.7.33:3 Vetenskapsrådet: Förvaltning

Tabell 6.11 Anslagsutveckling 3:3 Vetenskapsrådet: Förvaltning

Tusental kronor

2024

Utfall

203 886

Anslagssparande

5 033

2025

Anslag

209 5131

Utgiftsprognos

219 238

2026

Förslag

212 500

 

 

 

 

 

 

 

2027

Beräknat

215 8052

 

 

241

Prop. 2025/26:1 Utgiftsområde 16

2028

Beräknat

219 9413

1Inklusive beslut om ändringar i statens budget 2025 och förslag till ändringar i samband med denna proposition.

2Motsvarar 212 499 tkr i 2026 års prisnivå.

3Motsvarar 212 500 tkr i 2026 års prisnivå.

Ändamål

Anslaget får användas för Vetenskapsrådets förvaltningsutgifter.

Skälen för regeringens förslag

Tabell 6.12 Förändringar av anslagsnivån 2026–2028 för 3:3 Vetenskapsrådet: Förvaltning

Tusental kronor

 

2026

2027

2028

Anvisat 20251

209 513

209 513

209 513

Pris- och löneomräkning2

3 987

7 308

11 463

Beslutade, föreslagna och aviserade åtgärder

-1 000

-1 016

-1 035

 

 

 

 

Överföring till/från andra anslag

 

 

 

Övrigt

 

 

 

 

 

 

 

Förslag/beräknat anslag

212 500

215 805

219 941

 

 

 

 

1Statens budget enligt riksdagens beslut i december 2024 (bet. 2024/25:FiU10). Beloppet är således exklusive beslut om ändringar i statens budget.

2Pris- och löneomräkningen baseras på anvisade medel 2025. Övriga förändringskomponenter redovisas i löpande priser och inkluderar därmed en pris- och löneomräkning. Pris- och löneomräkningen för 2027–2028 är preliminär.

Regeringen föreslår att 212 500 000 kronor anvisas under anslaget 3:3 Vetenskapsrådet: Förvaltning för 2026. För 2027 och 2028 beräknas anslaget till 215 805 000 kronor respektive 219 941 000 kronor.

Budget för avgiftsbelagd verksamhet

Tabell 6.13 Avgiftsbelagd verksamhet vid Vetenskapsrådet

Tusental kronor

 

Ack. resultat

Resultat

Intäkter

Kostnader

Resultat

Ack. resultat

Verksamhet

t.o.m. 2024

2025

2026

2026

2026

2026

Verksamheter där intäkterna disponeras

 

 

 

 

 

Prisma

405

-405

15 000

15 000

0

0

 

 

 

 

 

 

 

Sunet

-81

-7 445

286 600

283 000

3 600

-3 926

 

 

 

 

 

 

 

Vetenskapsrådet får ta ut avgifter för grundanslutning och tilläggstjänster inom Sunet och avgifter för tillhandahållande av ansöknings- och ärendehanteringssystem för forskningsfinansiering (Prisma). Avgifterna avseende Sunet ska täcka de kostnader som inte täcks av anslaget 3:9 Sunet.

6.7.43:4 Rymdforskning och rymdverksamhet

Tabell 6.14 Anslagsutveckling 3:4 Rymdforskning och rymdverksamhet

Tusental kronor

2024

Utfall

1 311 092

Anslagssparande

-17 283

 

 

 

 

 

2025

Anslag

1 345 3561

Utgiftsprognos

1 336 472

2026

Förslag

1 477 356

 

 

2027

Beräknat

1 465 356

 

 

 

 

 

 

 

242

Prop. 2025/26:1 Utgiftsområde 16

2028

Beräknat

1 545 356

 

 

 

1Inklusive beslut om ändringar i statens budget 2025 och förslag till ändringar i samband med denna proposition.

Ändamål

Anslaget får användas för utgifter för stöd till forskning och utveckling inklusive in- dustriutvecklingsprojekt och fjärranalys inom nationella och internationella sam- arbeten. Anslaget får även användas för utgifter för information om rymdforskning och rymdverksamhet samt utgifter för deltagande i internationella rymdsamarbeten. Anslaget får användas för statsbidrag till Svenska rymdaktiebolaget och för utgifter för statsbidrag för verksamhet vid Esrange, samt till utgifter för ersättning till vissa same- byar och till samefonden med anledning av verksamheten vid Esrange.

Skälen för regeringens förslag

Tabell 6.15 Förändringar av anslagsnivån 2026–2028 för 3:4 Rymdforskning och rymdverksamhet

Tusental kronor

 

2026

2027

2028

Anvisat 20251

1 345 356

1 345 356

1 345 356

Beslutade, föreslagna och aviserade åtgärder

132 000

120 000

200 000

 

 

 

 

varav BP26

100 000

100 000

100 000

– Ökat deltagande i ESA-program

100 000

100 000

100 000

 

 

 

 

Överföring till/från andra anslag

 

 

 

 

 

 

 

Övrigt

 

 

 

 

 

 

 

Förslag/beräknat anslag

1 477 356

1 465 356

1 545 356

 

 

 

 

1Statens budget enligt riksdagens beslut i december 2024 (bet. 2024/25:FiU10). Beloppet är således exklusive beslut om ändringar i statens budget.

Anslaget ökas med 100 000 000 kronor fr.o.m. 2026 för att bidra till en ökad finansie- ring till den europeiska rymdorganisationen (ESA) och därmed ökat svenskt deltagan- de i ESA-program. Ökningen finansieras genom att anslag 3:1 Vetenskapsrådet: Forsk- ning och forskningsinformation minskas med motsvarande belopp.

Regeringen föreslår att 1 477 356 000 kronor anvisas under anslaget 3:4 Rymdforskning och rymdverksamhet för 2026. För 2027 och 2028 beräknas anslaget till

1 465 356 000 kronor respektive 1 545 356 000 kronor.

Bemyndigande om ekonomiska åtaganden

Regeringens förslag

Regeringen bemyndigas att under 2026 för anslaget 3:4 Rymdforskning och rymdverksamhet besluta om bidrag som inklusive tidigare åtaganden medför behov av framtida anslag på högst 6 000 000 000 kronor 2027–2035.

Skälen för regeringens förslag

Den verksamhet som finansieras från anslaget för rymdforskning och rymdverksam- het bedrivs vanligen i form av fleråriga projekt. Regeringen bör därför bemyndigas att under 2026 för anslaget 3:4 Rymdforskning och rymdverksamhet besluta om bidrag som inklusive tidigare åtaganden medför behov av framtida anslag på högst

6 000 000 000 kronor 2027–2035.

243

Prop. 2025/26:1 Utgiftsområde 16

Tabell 6.16 Beställningsbemyndigande för anslaget 3:4 Rymdforskning och rymdverksamhet

Tusental kronor

 

 

Prognos

 

Beräknat

Beräknat

Beräknat

 

Utfall 2024

2025

Förslag 2026

2027

2028

2029 – 2035

 

 

 

 

 

 

 

Ekonomiska

 

 

 

 

 

 

åtaganden vid årets

 

 

 

 

 

 

början

4 045 464

3 596 652

6 303 644

 

 

 

 

 

 

 

 

 

 

Nya ekonomiska

 

 

 

 

 

 

åtaganden

710 699

4 519 000

1 013 712

 

 

 

 

 

 

 

 

 

 

Utgifter mot anslag till

 

 

 

 

 

 

följd av ekonomiska

 

 

 

 

 

 

åtaganden

-1 263 142

-1 140 185

-1 317 356

-1 465 000

-1 545 000

-2 990 000

 

 

 

 

 

 

 

Övriga förändringar

 

 

 

 

 

 

av ekonomiska

 

 

 

 

 

 

åtaganden

103 631

-671 823

 

 

 

 

 

 

 

 

 

 

 

Ekonomiska

 

 

 

 

 

 

åtaganden vid årets

 

 

 

 

 

 

slut

3 596 652

6 303 644

6 000 000

 

 

 

 

 

 

 

 

 

 

Beslutat/föreslaget

 

 

 

 

 

 

bemyndigande

3 300 000

8 500 000

6 000 000

 

 

 

 

 

 

 

 

 

 

6.7.53:5 Rymdstyrelsen: Förvaltning

Tabell 6.17 Anslagsutveckling 3:5 Rymdstyrelsen: Förvaltning

Tusental kronor

2024

Utfall

53 313

Anslagssparande

562

2025

Anslag

54 3141

Utgiftsprognos

54 975

2026

Förslag

55 379

 

 

 

 

 

 

 

2027

Beräknat

56 2172

 

 

2028

Beräknat

57 2813

 

 

1Inklusive beslut om ändringar i statens budget 2025 och förslag till ändringar i samband med denna proposition.

2Motsvarar 55 379 tkr i 2026 års prisnivå.

3Motsvarar 55 379 tkr i 2026 års prisnivå.

Ändamål

Anslaget får användas för Rymdstyrelsens förvaltningsutgifter.

Skälen för regeringens förslag

Tabell 6.18 Förändringar av anslagsnivån 2026–2028 för 3:5 Rymdstyrelsen: Förvaltning

Tusental kronor

 

2026

2027

2028

Anvisat 20251

54 314

54 314

54 314

Pris- och löneomräkning2

1 065

1 903

2 967

Beslutade, föreslagna och aviserade åtgärder

 

 

 

 

 

 

 

Överföring till/från andra anslag

 

 

 

 

 

 

 

Övrigt

 

 

 

 

 

 

 

Förslag/beräknat anslag

55 379

56 217

57 281

1Statens budget enligt riksdagens beslut i december 2024 (bet. 2024/25:FiU10). Beloppet är således exklusive beslut om ändringar i statens budget.

2Pris- och löneomräkningen baseras på anvisade medel 2025. Övriga förändringskomponenter redovisas i löpande priser och inkluderar därmed en pris- och löneomräkning. Pris- och löneomräkningen för 2027–2028 är preliminär.

244

Prop. 2025/26:1 Utgiftsområde 16

Regeringen föreslår att 55 379 000 kronor anvisas under anslaget 3:5 Rymdstyrelsen: Förvaltning för 2026. För 2027 och 2028 beräknas anslaget till 56 217 000 kronor respektive 57 281 000 kronor.

6.7.63:6 Institutet för rymdfysik

Tabell 6.19 Anslagsutveckling 3:6 Institutet för rymdfysik

Tusental kronor

2024

Utfall

63 963

Anslagssparande

-637

2025

Anslag

64 6591

Utgiftsprognos

65 490

2026

Förslag

65 811

 

 

 

 

 

 

 

2027

Beräknat

67 1062

 

 

2028

Beräknat

68 5413

 

 

1Inklusive beslut om ändringar i statens budget 2025 och förslag till ändringar i samband med denna proposition.

2Motsvarar 65 811 tkr i 2026 års prisnivå.

3Motsvarar 65 811 tkr i 2026 års prisnivå.

Ändamål

Anslaget får användas för Institutet för rymdfysiks förvaltningsutgifter.

Skälen för regeringens förslag

Tabell 6.20 Förändringar av anslagsnivån 2026–2028 för 3:6 Institutet för rymdfysik

Tusental kronor

 

2026

2027

2028

Anvisat 20251

64 659

64 659

64 659

Pris- och löneomräkning2

1 152

2 447

3 882

Beslutade, föreslagna och aviserade åtgärder

 

 

 

 

 

 

 

Överföring till/från andra anslag

 

 

 

Övrigt

 

 

 

 

 

 

 

Förslag/beräknat anslag

65 811

67 106

68 541

 

 

 

 

1Statens budget enligt riksdagens beslut i december 2024 (bet. 2024/25:FiU10). Beloppet är således exklusive beslut om ändringar i statens budget.

2Pris- och löneomräkningen baseras på anvisade medel 2025. Övriga förändringskomponenter redovisas i löpande priser och inkluderar därmed en pris- och löneomräkning. Pris- och löneomräkningen för 2027–2028 är preliminär.

Regeringen föreslår att 65 811 000 kronor anvisas under anslaget 3:6 Institutet för rymdfysik för 2026. För 2027 och 2028 beräknas anslaget till 67 106 000 kronor respektive 68 541 000 kronor.

6.7.73:7 Kungl. biblioteket

Tabell 6.21 Anslagsutveckling 3:7 Kungl. biblioteket

Tusental kronor

2024

Utfall

452 196

Anslagssparande

1 643

 

 

 

 

 

2025

Anslag

464 7511

Utgiftsprognos

463 144

2026

Förslag

509 048

 

 

 

 

 

 

 

2027

Beräknat

515 6482

 

 

2028

Beräknat

524 6733

 

 

245

Prop. 2025/26:1 Utgiftsområde 16

1Inklusive beslut om ändringar i statens budget 2025 och förslag till ändringar i samband med denna proposition.

2Motsvarar 509 049 tkr i 2026 års prisnivå.

3Motsvarar 509 048 tkr i 2026 års prisnivå.

Ändamål

Anslaget får användas för Kungl. bibliotekets förvaltningsutgifter.

Skälen för regeringens förslag

Tabell 6.22 Förändringar av anslagsnivån 2026–2028 för 3:7 Kungl. biblioteket

Tusental kronor

 

2026

2027

2028

 

 

 

 

Anvisat 20251

464 751

464 751

464 751

Pris- och löneomräkning2

4 297

10 378

18 694

Beslutade, föreslagna och aviserade åtgärder

40 000

40 519

41 228

 

 

 

 

varav BP263

40 000

40 000

40 000

AI-verkstad för offentlig förvaltning

10 000

10 000

10 000

 

 

 

 

– Ökad digital lagring och beräkningskapacitet

30 000

30 000

30 000

 

 

 

 

Överföring till/från andra anslag

 

 

 

 

 

 

 

Övrigt

 

 

 

 

 

 

 

Förslag/beräknat anslag

509 048

515 648

524 673

 

 

 

 

1Statens budget enligt riksdagens beslut i december 2024 (bet. 2024/25:FiU10). Beloppet är således exklusive beslut om ändringar i statens budget.

2Pris- och löneomräkningen baseras på anvisade medel 2025. Övriga förändringskomponenter redovisas i löpande priser och inkluderar därmed en pris- och löneomräkning. Pris- och löneomräkningen för 2027–2028 är preliminär.

3Exklusive pris- och löneomräkning.

Anslaget ökas med 30 000 000 kronor fr.o.m. 2026 för att finansiera ökade utgifter för digital lagring och stärkt beräkningskapacitet. Vidare ökas anslaget med

10 000 000 kronor fr.o.m. 2026 för att finansiera utgifter för Kungl. bibliotekets medverkan i AI-verkstad för offentlig förvaltning.

Regeringen föreslår att 509 048 000 kronor anvisas under anslaget 3:7 Kungl. biblioteket för 2026. För 2027 och 2028 beräknas anslaget till 515 648 000 kronor respektive 524 673 000 kronor.

6.7.83:8 Polarforskningssekretariatet

Tabell 6.23 Anslagsutveckling 3:8 Polarforskningssekretariatet

Tusental kronor

2024

Utfall

67 187

Anslagssparande

65 263

2025

Anslag

70 7121

Utgiftsprognos

60 863

2026

Förslag

75 359

 

 

 

 

 

 

 

2027

Beräknat

76 1412

 

 

2028

Beräknat

77 3833

 

 

1Inklusive beslut om ändringar i statens budget 2025 och förslag till ändringar i samband med denna proposition.

2Motsvarar 75 359 tkr i 2026 års prisnivå.

3Motsvarar 75 360 tkr i 2026 års prisnivå.

Ändamål

Anslaget får användas för Polarforskningssekretariatets förvaltningsutgifter. Anslaget får även användas för att organisera och genomföra forskningsexpeditioner.

246

Prop. 2025/26:1 Utgiftsområde 16

Skälen för regeringens förslag

Tabell 6.24 Förändringar av anslagsnivån 2026–2028 för 3:8

Polarforskningssekretariatet

Tusental kronor

 

2026

2027

2028

Anvisat 20251

70 712

70 712

70 712

Pris- och löneomräkning2

1 647

2 398

3 590

Beslutade, föreslagna och aviserade åtgärder

3 000

3 031

3 081

 

 

 

 

varav BP263

3 000

3 000

3 000

– Värdskap för Kristinebergs forskningsstation

3 000

3 000

3 000

 

 

 

 

Överföring till/från andra anslag

 

 

 

Övrigt

 

 

 

 

 

 

 

Förslag/beräknat anslag

75 359

76 141

77 383

 

 

 

 

1Statens budget enligt riksdagens beslut i december 2024 (bet. 2024/25:FiU10). Beloppet är således exklusive beslut om ändringar i statens budget.

2Pris- och löneomräkningen baseras på anvisade medel 2025. Övriga förändringskomponenter redovisas i löpande priser och inkluderar därmed en pris- och löneomräkning. Pris- och löneomräkningen för 2027–2028 är preliminär.

3Exklusive pris- och löneomräkning.

Anslaget ökas med 3 000 000 kronor fr.o.m. 2026 för att finansiera Kristineberg Center för marin forskning och innovation som förs över till Polarforsknings- sekretariatet från Göteborgs universitet.

Regeringen föreslår att 75 359 000 kronor anvisas under anslaget 3:8 Polarforsknings- sekretariatet för 2026. För 2027 och 2028 beräknas anslaget till 76 141 000 kronor respektive 77 383 000 kronor.

Budget för avgiftsbelagd verksamhet

Tabell 6.25 Avgiftsbelagd verksamhet vid Polarforskningssekretariatet

Tusental kronor

 

Ack. resultat

Resultat

Intäkter

Kostnader

Resultat

Ack. resultat

Verksamhet

t.o.m. 2024

2025

2026

2026

2026

2026

Verksamheter där intäkterna disponeras

 

 

 

 

 

 

 

 

 

 

 

 

Tjänsteexport

-679

0

55 000

55 000

0

- 679

Abisko

400

0

2 900

2 500

400

800

 

 

 

 

 

 

 

Polarforskningssekretariatet får ta ut avgifter för tjänsteexport av polarforsknings- expeditioner och för boende vid Abisko naturvetenskapliga station.

6.7.93:9 Sunet

Tabell 6.26 Anslagsutveckling 3:9 Sunet

Tusental kronor

2024

Utfall

50 794

Anslagssparande

-1 611

2025

Anslag

49 1831

Utgiftsprognos

48 261

2026

Förslag

49 183

 

 

 

 

 

 

 

2027

Beräknat

49 183

 

 

 

 

 

 

 

2028

Beräknat

49 183

 

 

 

 

 

 

 

247

Prop. 2025/26:1 Utgiftsområde 16

1Inklusive beslut om ändringar i statens budget 2025 och förslag till ändringar i samband med denna proposition.

Ändamål

Anslaget får användas för utgifter för Swedish University Computer Network (Sunet), ett datanätverk för överföring av digital information mellan universitet och högskolor samt vissa andra organisationer. Anslaget får även användas för utgifter för grund- anslutning till Sunet för de konstnärliga högskolorna, statliga kulturarvsinstitutioner och Kungl. biblioteket samt för de specifika kostnader Sunet har för anslutning till internationella forskningsnät.

Skälen för regeringens förslag

Tabell 6.27 Förändringar av anslagsnivån 2026–2028 för 3:9 Sunet

Tusental kronor

 

2026

2027

2028

Anvisat 20251

49 183

49 183

49 183

Beslutade, föreslagna och aviserade åtgärder

 

 

 

 

 

 

 

Överföring till/från andra anslag

 

 

 

Övrigt

 

 

 

 

 

 

 

Förslag/beräknat anslag

49 183

49 183

49 183

 

 

 

 

1Statens budget enligt riksdagens beslut i december 2024 (bet. 2024/25:FiU10). Beloppet är således exklusive beslut om ändringar i statens budget.

Regeringen föreslår att 49 183 000 kronor anvisas under anslaget 3:9 Sunet för 2026. För 2027 och 2028 beräknas anslaget till 49 183 000 kronor respektive

49 183 000 kronor.

6.7.103:10 Överklagandenämnden för etikprövning

Tabell 6.28 Anslagsutveckling 3:10 Överklagandenämnden för etikprövning

Tusental kronor

2024

Utfall

5 237

Anslagssparande

481

 

 

 

 

 

2025

Anslag

5 7001

Utgiftsprognos

5 474

2026

Förslag

5 809

 

 

 

 

 

 

 

2027

Beräknat

5 9052

 

 

2028

Beräknat

6 0213

 

 

1Inklusive beslut om ändringar i statens budget 2025 och förslag till ändringar i samband med denna proposition.

2Motsvarar 5 809 tkr i 2026 års prisnivå.

3Motsvarar 5 809 tkr i 2026 års prisnivå.

Ändamål

Anslaget får användas för förvaltningsutgifter för Överklagandenämnden för etikprövning.

248

Prop. 2025/26:1 Utgiftsområde 16

Skälen för regeringens förslag

Tabell 6.29 Förändringar av anslagsnivån 2026–2028 för 3:10 Överklagandenämnden för etikprövning

Tusental kronor

 

2026

2027

2028

Anvisat 20251

5 700

5 700

5 700

Pris- och löneomräkning2

109

205

321

Beslutade, föreslagna och aviserade åtgärder

 

 

 

 

 

 

 

Överföring till/från andra anslag

 

 

 

 

 

 

 

Övrigt

 

 

 

 

 

 

 

Förslag/beräknat anslag

5 809

5 905

6 021

 

 

 

 

1Statens budget enligt riksdagens beslut i december 2024 (bet. 2024/25:FiU10). Beloppet är således exklusive beslut om ändringar i statens budget.

2Pris- och löneomräkningen baseras på anvisade medel 2025. Övriga förändringskomponenter redovisas i löpande priser och inkluderar därmed en pris- och löneomräkning. Pris- och löneomräkningen för 2027–2028 är preliminär.

Regeringen föreslår att 5 809 000 kronor anvisas under anslaget 3:10 Överklagande- nämnden för etikprövning för 2026. För 2027 och 2028 beräknas anslaget till

5 905 000 kronor respektive 6 021 000 kronor.

6.7.113:11 Etikprövningsmyndigheten

Tabell 6.30 Anslagsutveckling 3:11 Etikprövningsmyndigheten

Tusental kronor

2024

Utfall

49 775

Anslagssparande

2 913

2025

Anslag

57 4181

Utgiftsprognos

58 588

2026

Förslag

58 495

 

 

 

 

 

 

 

2027

Beräknat

59 4502

 

 

2028

Beräknat

60 6143

 

 

1Inklusive beslut om ändringar i statens budget 2025 och förslag till ändringar i samband med denna proposition.

2Motsvarar 58 495 tkr i 2026 års prisnivå.

3Motsvarar 58 495 tkr i 2026 års prisnivå.

Ändamål

Anslaget får användas för Etikprövningsmyndighetens förvaltningsutgifter.

Skälen för regeringens förslag

Tabell 6.31 Förändringar av anslagsnivån 2026–2028 för 3:11

Etikprövningsmyndigheten

Tusental kronor

 

2026

2027

2028

Anvisat 20251

57 418

57 418

57 418

Pris- och löneomräkning2

1 077

2 032

3 196

Beslutade, föreslagna och aviserade åtgärder

 

 

 

 

 

 

 

Överföring till/från andra anslag

 

 

 

 

 

 

 

Övrigt

 

 

 

 

 

 

 

Förslag/beräknat anslag

58 495

59 450

60 614

 

 

 

 

1Statens budget enligt riksdagens beslut i december 2024 (bet. 2024/25:FiU10). Beloppet är således exklusive beslut om ändringar i statens budget.

2Pris- och löneomräkningen baseras på anvisade medel 2025. Övriga förändringskomponenter redovisas i löpande priser och inkluderar därmed en pris- och löneomräkning. Pris- och löneomräkningen för 2027–2028 är preliminär.

249

Prop. 2025/26:1 Utgiftsområde 16

Regeringen föreslår att 58 495 000 kronor anvisas under anslaget 3:11 Etikprövnings- myndigheten för 2026. För 2027 och 2028 beräknas anslaget till 59 450 000 kronor respektive 60 614 000 kronor.

Budget för avgiftsbelagd verksamhet

Tabell 6.32 Avgiftsbelagd verksamhet vid Etikprövningsmyndigheten

Tusental kronor

 

Ack.

 

 

 

 

 

 

resultat

Resultat

 

Kostnader

Resultat

Ack. resultat

Verksamhet

2024

2025

Intäkter 2026

2026

2026

2026

 

 

 

 

 

Verksamhet där intäkterna inte disponeras

 

 

 

 

 

 

 

 

 

 

 

Avgifter för etikprövning

-

-

33 000

-

-

-

 

 

 

 

 

Verksamhet där intäkterna disponeras

 

 

 

 

 

 

 

 

 

 

 

Avgifter från Npof

0

0

12 800

12 800

0

0

Avgifterna för etikprövning levereras in på inkomsttitel 2559 Avgifter för etikpröv- ning. Det finns inte något bestämt ekonomiskt mål, därav redovisas endast intäkterna. Etikprövningsmyndigheten är värdmyndighet för Nämnden för prövning av oredlig- het i forskning (Npof) och tar ut administrativa avgifter.

6.7.123:12 Nämnden för prövning av oredlighet i forskning

Tabell 6.33 Anslagsutveckling 3:12 Nämnden för prövning av oredlighet i forskning

Tusental kronor

2024

Utfall

9 546

Anslagssparande

486

2025

Anslag

11 7501

Utgiftsprognos

10 903

2026

Förslag

16 091

 

 

 

 

 

 

 

2027

Beräknat

16 1592

 

 

2028

Beräknat

16 3663

 

 

1Inklusive beslut om ändringar i statens budget 2025 och förslag till ändringar i samband med denna proposition.

2Motsvarar 16 092 tkr i 2026 års prisnivå.

3Motsvarar 16 091 tkr i 2026 års prisnivå.

Ändamål

Anslaget får användas för förvaltningsutgifter för Nämnden för prövning av oredlighet i forskning.

Skälen för regeringens förslag

Tabell 6.34 Förändringar av anslagsnivån 2026–2028 för 3:12 Nämnden för prövning av oredlighet i forskning

Tusental kronor

 

2026

2027

2028

Anvisat 20251

11 750

11 750

11 750

Pris- och löneomräkning2

341

392

548

Beslutade, föreslagna och aviserade åtgärder

4 000

4 017

4 068

varav BP263

3 000

3 000

3 000

– Förstärkning Npof

3 000

3 000

3 000

 

 

 

 

Överföring till/från andra anslag

 

 

 

Övrigt

 

 

 

 

 

 

 

Förslag/beräknat anslag

16 091

16 159

16 366

 

 

 

 

250

Prop. 2025/26:1 Utgiftsområde 16

1Statens budget enligt riksdagens beslut i december 2024 (bet. 2024/25:FiU10). Beloppet är således exklusive beslut om ändringar i statens budget.

2Pris- och löneomräkningen baseras på anvisade medel 2025. Övriga förändringskomponenter redovisas i löpande priser och inkluderar därmed en pris- och löneomräkning. Pris- och löneomräkningen för 2027–2028 är preliminär.

3Exklusive pris- och löneomräkning.

Anslaget ökas med 3 000 000 kronor fr.o.m. 2026 för att finansiera ökade kostnader till följd av en ökad mängd och mer komplexa ärenden till nämnden samt fler ärenden som överklagas. Ökningen finansieras genom att anslag 3:1 Vetenskapsrådet: Forskning och forskningsinformation minskas med 3 750 000 kronor fr.o.m. 2026. Anledningen till att minskningen är större än motsvarande ökning beror på att detta anslag pris- och löneomräknas, vilket inte är fallet med anslaget 3:1 Vetenskapsrådet: Forskning och forskningsinformation.

Regeringen föreslår att 16 091 000 kronor anvisas under anslaget 3:12 Nämnden för prövning av oredlighet i forskning för 2026. För 2027 och 2028 beräknas anslaget till 16 159 000 kronor respektive 16 366 000 kronor.

6.7.133:13 Särskilda utgifter för forskningsändamål

Tabell 6.35 Anslagsutveckling 3:13 Särskilda utgifter för forskningsändamål

Tusental kronor

2024

Utfall

92 725

Anslagssparande

1 270

2025

Anslag

80 6951

Utgiftsprognos

80 133

2026

Förslag

89 495

 

 

 

 

 

 

 

2027

Beräknat

89 495

 

 

2028

Beräknat

89 495

 

 

 

 

 

 

 

1Inklusive beslut om ändringar i statens budget 2025 och förslag till ändringar i samband med denna proposition.

Ändamål

Anslaget får användas för utgifter för särskilda insatser inom forsknings- och utvecklingsområdet.

Skälen för regeringens förslag

Tabell 6.36 Förändringar av anslagsnivån 2026–2028 för 3:13 Särskilda utgifter för forskningsändamål

Tusental kronor

 

2026

2027

2028

Anvisat 20251

80 695

80 695

80 695

Beslutade, föreslagna och aviserade åtgärder

-1 200

-1 200

-1 200

 

 

 

 

Överföring till/från andra anslag

10 000

10 000

10 000

Övrigt

 

 

 

 

 

 

 

Förslag/beräknat anslag

89 495

89 495

89 495

 

 

 

 

1Statens budget enligt riksdagens beslut i december 2024 (bet. 2024/25:FiU10). Beloppet är således exklusive beslut om ändringar i statens budget.

Regeringen föreslår att 89 495 000 kronor anvisas under anslaget 3:13 Särskilda utgifter för forskningsändamål för 2026. För 2027 och 2028 beräknas anslaget till

89 495 000 kronor respektive 89 495 000 kronor.

251

Prop. 2025/26:1 Utgiftsområde 16

6.7.143:14 Gentekniknämnden

Tabell 6.37 Anslagsutveckling 3:14 Gentekniknämnden

Tusental kronor

2024

Utfall

3 952

Anslagssparande

1 105

2025

Anslag

5 0451

Utgiftsprognos

4 677

2026

Förslag

5 145

 

 

 

 

 

 

 

2027

Beräknat

5 2252

 

 

2028

Beräknat

5 3263

 

 

1Inklusive beslut om ändringar i statens budget 2025 och förslag till ändringar i samband med denna proposition.

2Motsvarar 5 145 tkr i 2026 års prisnivå.

3Motsvarar 5 145 tkr i 2026 års prisnivå.

Ändamål

Anslaget får användas för utgifter för Gentekniknämndens verksamhet.

Skälen för regeringens förslag

Tabell 6.38 Förändringar av anslagsnivån 2026–2028 för 3:14 Gentekniknämnden

Tusental kronor

 

2026

2027

2028

Anvisat 20251

5 045

5 045

5 045

Pris- och löneomräkning2

100

180

281

Beslutade, föreslagna och aviserade åtgärder

 

 

 

 

 

 

 

Överföring till/från andra anslag

 

 

 

 

 

 

 

Övrigt

 

 

 

 

 

 

 

Förslag/beräknat anslag

5 145

5 225

5 326

 

 

 

 

1Statens budget enligt riksdagens beslut i december 2024 (bet. 2024/25:FiU10). Beloppet är således exklusive beslut om ändringar i statens budget.

2Pris- och löneomräkningen baseras på anvisade medel 2025. Övriga förändringskomponenter redovisas i löpande priser och inkluderar därmed en pris- och löneomräkning. Pris- och löneomräkningen för 2027–2028 är preliminär.

Regeringen föreslår att 5 145 000 kronor anvisas under anslaget 3:14 Gentekniknämnden för 2026. För 2027 och 2028 beräknas anslaget till 5 225 000 kronor respektive

5 326 000 kronor.

252

Prop. 2025/26:1 Utgiftsområde 16

7Anslag för gemensamma ändamål

7.1Anslag för gemensamma ändamål

7.1.14:1 Internationella program

Tabell 7.1 Anslagsutveckling 4:1 Internationella program

Tusental kronor

2024

Utfall

79 384

Anslagssparande

2 205

 

 

 

 

 

2025

Anslag

81 5891

Utgiftsprognos

81 020

2026

Förslag

81 589

 

 

2027

Beräknat

81 589

 

 

 

 

 

 

 

2028

Beräknat

81 589

 

 

 

 

 

 

 

1Inklusive beslut om ändringar i statens budget 2025 och förslag till ändringar i samband med denna proposition.

Ändamål

Anslaget får användas för utgifter för stipendier till s.k. tredjelandsstudenter. Anslaget får även användas för utgifter för statsbidrag för att främja internationella kontakter inom EU-program och andra internationella program inom utbildningsområdet. Anslaget får även användas för att medfinansiera EU-medel inom Universitets- och högskolerådets ansvarsområde och genomföra stödåtgärder inom ramen för EU:s utbildningsprogram.

Skälen för regeringens förslag

Tabell 7.2 Förändringar av anslagsnivån 2026–2028 för 4:1 Internationella program

Tusental kronor

 

2026

2027

2028

Anvisat 20251

81 589

81 589

81 589

Beslutade, föreslagna och aviserade åtgärder

 

 

 

 

 

 

 

Överföring till/från andra anslag

 

 

 

 

 

 

 

Övrigt

 

 

 

Förslag/beräknat anslag

81 589

81 589

81 589

 

 

 

 

1Statens budget enligt riksdagens beslut i december 2024 (bet. 2024/25:FiU10). Beloppet är således exklusive beslut om ändringar i statens budget.

Regeringen föreslår att 81 589 000 kronor anvisas under anslaget 4:1 Internationella program för 2026. För 2027 och 2028 beräknas anslaget till 81 589 000 kronor respektive 81 589 000 kronor.

253

Prop. 2025/26:1 Utgiftsområde 16

Bemyndigande om ekonomiska åtaganden

Regeringens förslag

Regeringen bemyndigas att under 2026 för anlaget 4:1 Internationella program besluta om bidrag som inklusive tidigare åtaganden medför behov av framtida anslag på högst 90 412 000 kronor 2027 och 2028.

Skälen för regeringens förslag

Universitets- och högskolerådet kommer under 2026 att bevilja stipendier för senare läsår. Regeringen bör därför bemyndigas att under 2026 för anslaget 4:1 Internationella program besluta om bidrag som inklusive tidigare åtaganden medför behov av framtida anslag om högst 90 412 000 kronor 2027 och 2028.

Tabell 7.3 Beställningsbemyndigande för anslaget 4:1 Internationella program

Tusental kronor

 

Utfall 2024

Prognos 2025

Förslag 2026

Beräknat 2027

Beräknat 2028

Ekonomiska åtaganden

 

 

 

 

 

vid årets början

90 412

90 412

90 412

 

 

 

 

 

 

 

 

Nya ekonomiska

 

 

 

 

 

åtaganden

60 275

60 275

60 275

 

 

 

 

 

 

 

 

Utgifter mot anslag till

 

 

 

 

 

följd av ekonomiska

 

 

 

 

 

åtaganden

-60 275

-60 275

-60 275

-60 275

-30 137

 

 

 

 

 

 

Ekonomiska åtaganden

 

 

 

 

 

vid årets slut

90 412

90 412

90 412

 

 

Beslutat/föreslaget

 

 

 

 

 

bemyndigande

90 412

90 412

90 412

 

 

 

 

 

 

 

 

7.1.24:2 Avgift till Unesco och ICCROM

Tabell 7.4 Anslagsutveckling 4:2 Avgift till Unesco och ICCROM

Tusental kronor

2024

Utfall

32 229

Anslagssparande

-43

2025

Anslag

32 1861

Utgiftsprognos

31 962

2026

Förslag

32 186

 

 

 

 

 

 

 

2027

Beräknat

32 186

 

 

 

 

 

 

 

2028

Beräknat

32 186

 

 

 

 

 

 

 

1Inklusive beslut om ändringar i statens budget 2025 och förslag till ändringar i samband med denna proposition.

Ändamål

Anslaget får användas för utgifter för Sveriges medlemsavgift till Unesco. Anslaget får även användas för utgifter för Internationella centret för bevarande och restaurering av kulturföremål i Rom (ICCROM) samt utgifter för de Unescokonventioner som Sverige har ratificerat.

254

Prop. 2025/26:1 Utgiftsområde 16

Skälen för regeringens förslag

Tabell 7.5 Förändringar av anslagsnivån 2026–2028 för 4:2 Avgift till Unesco och

ICCROM

Tusental kronor

 

2026

2027

2028

Anvisat 20251

32 186

32 186

32 186

Beslutade, föreslagna och aviserade åtgärder

 

 

 

 

 

 

 

Överföring till/från andra anslag

 

 

 

 

 

 

 

Övrigt

 

 

 

 

 

 

 

Förslag/beräknat anslag

32 186

32 186

32 186

 

 

 

 

1Statens budget enligt riksdagens beslut i december 2024 (bet. 2024/25:FiU10). Beloppet är således exklusive beslut om ändringar i statens budget.

Regeringen föreslår att 32 186 00 kronor anvisas under anslaget 4:2 Avgift till Unesco och ICCROM för 2026. För 2027 och 2028 beräknas anslaget till 32 186 000 kronor respektive 32 186 000 kronor.

7.1.34:3 Kostnader för Svenska Unescorådet

Tabell 7.6 Anslagsutveckling 4:3 Kostnader för Svenska Unescorådet

Tusental kronor

2024

Utfall

11 131

Anslagssparande

275

 

 

 

 

 

2025

Anslag

11 6841

Utgiftsprognos

11 876

2026

Förslag

11 906

 

 

 

 

 

 

 

2027

Beräknat

12 0872

 

 

2028

Beräknat

12 3153

 

 

1Inklusive beslut om ändringar i statens budget 2025 och förslag till ändringar i samband med denna proposition.

2Motsvarar 11 906 tkr i 2026 års prisnivå.

3Motsvarar 11 906 tkr i 2026 års prisnivå.

Ändamål

Anslaget får användas för Svenska Unescorådets förvaltningsutgifter. Anslaget får även användas för utgifter för bevakning och genomförande av Unescos verksamhet.

Skälen för regeringens förslag

Tabell 7.7 Förändringar av anslagsnivån 2026–2028 för 4:3 Kostnader för Svenska Unescorådet

Tusental kronor

 

2026

2027

2028

Anvisat 20251

11 684

11 684

11 684

Pris- och löneomräkning2

222

403

631

Beslutade, föreslagna och aviserade åtgärder

 

 

 

 

 

 

 

Överföring till/från andra anslag

 

 

 

 

 

 

 

Övrigt

 

 

 

Förslag/beräknat anslag

11 906

12 087

12 315

 

 

 

 

1Statens budget enligt riksdagens beslut i december 2024 (bet. 2024/25:FiU10). Beloppet är således exklusive beslut om ändringar i statens budget.

2Pris- och löneomräkningen baseras på anvisade medel 2025. Övriga förändringskomponenter redovisas i löpande priser och inkluderar därmed en pris- och löneomräkning. Pris- och löneomräkningen för 2027–2028 är preliminär.

255

Prop. 2025/26:1 Utgiftsområde 16

Regeringen föreslår att 11 906 000 kronor anvisas under anslaget 4:3 Kostnader för Svenska Unescorådet för 2026. För 2027 och 2028 beräknas anslaget till

12 087 000 kronor respektive 12 315 000 kronor.

7.1.44:4 Utvecklingsarbete inom områdena utbildning och forskning

Tabell 7.8 Anslagsutveckling 4:4 Utvecklingsarbete inom områdena utbildning och forskning

Tusental kronor

2024

Utfall

23 316

Anslagssparande

57

2025

Anslag

26 9431

Utgiftsprognos

26 755

2026

Förslag

24 543

 

 

 

 

 

 

 

2027

Beräknat

20 843

 

 

 

 

 

 

 

2028

Beräknat

19 143

 

 

 

 

 

 

 

1Inklusive beslut om ändringar i statens budget 2025 och förslag till ändringar i samband med denna proposition.

Ändamål

Anslaget får användas för utgifter för utvecklingsarbete inom områdena utbildning och forskning. Anslaget får även användas för utgifter för statistik, analyser och prognoser inom dessa områden.

Skälen för regeringens förslag

Tabell 7.9 Förändringar av anslagsnivån 2026–2028 för 4:4 Utvecklingsarbete inom områdena utbildning och forskning

Tusental kronor

 

2026

2027

2028

Anvisat 20251

24 943

24 943

24 943

Beslutade, föreslagna och aviserade åtgärder

-400

-4 100

-5 800

varav BP26

4 100

4 100

4 100

 

 

 

 

– Regionala trender och prognoser

4 100

4 100

4 100

 

 

 

 

Överföring till/från andra anslag

 

 

 

 

 

 

 

Övrigt

 

 

 

 

 

 

 

Förslag/beräknat anslag

24 543

20 843

19 143

 

 

 

 

1Statens budget enligt riksdagens beslut i december 2024 (bet. 2024/25:FiU10). Beloppet är således exklusive beslut om ändringar i statens budget.

För Statistiska centralbyråns (SCB) insamling av data för regional planering och dimensionering av utbildningsutbud, regionala trender och prognoser ökas anslaget med 4 100 000 kronor fr.o.m. 2026.

Regeringen föreslår att 24 543 000 kronor anvisas under anslaget 4:4 Utvecklingsarbete inom områdena utbildning och forskning för 2026. För 2027 och 2028 beräknas anslaget till 20 843 000 kronor respektive 19 143 000 kronor.

256