Utgiftsområde 10

Ekonomisk trygghet vid sjukdom och

funktionsnedsättning

1

Prop. 2025/26:1 Utgiftsområde 10

Utgiftsområde 10 – Ekonomisk trygghet vid sjukdom och funktionsnedsättning

Innehållsförteckning

1 Förslag till riksdagsbeslut ................................................................................................. 3
2 Lagförslag............................................................................................................................ 5
  2.1 Förslag till lag om ändring i socialförsäkringsbalken ....................................... 5
  2.2 Förslag till lag om ändring i socialförsäkringsbalken ....................................... 7
3 Utgiftsområde 10 Ekonomisk trygghet vid sjukdom och funktionsnedsättning .... 9
  3.1 Utgiftsområdets omfattning................................................................................. 9
  3.2 Utgiftsutvecklingen................................................................................................ 9
  3.3 Skatteutgifter ........................................................................................................ 10
  3.4 Mål för utgiftsområdet........................................................................................ 11
  3.5 Resultatindikatorer och andra bedömningsgrunder....................................... 11
  3.6 Resultatredovisning ............................................................................................. 11
    3.6.1 Sjukfrånvarons utveckling .................................................................... 11
    3.6.2 Aktörer i sjukskrivningsprocessen ...................................................... 22
  3.7 Regeringens bedömning av måluppfyllelsen ................................................... 27
  3.8 Politikens inriktning ............................................................................................ 28
  3.9 Partiellt vilande sjuk- och aktivitetsersättning vid studier ............................. 30
    3.9.1 Ärendet och dess beredning ................................................................ 30
    3.9.2 Gällande regelverk................................................................................. 31

3.9.3Sjuk- och aktivitetsersättning ska kunna förklaras partiellt vilande

  vid studier ............................................................................................... 32
3.9.4 Ikraftträdande- och övergångsbestämmelser .................................... 35
3.9.5 Konsekvenser......................................................................................... 35
3.9.6 Författningskommentar........................................................................ 36
3.10 SGI-skydd för medföljande till statsanställda med flera................................ 38
3.10.1 Ärendet och dess beredning ................................................................ 38
3.10.2 Gällande regelverk................................................................................. 38
3.10.3 Medföljande till statsanställda m.fl. ska vid återkomsten kunna få  
  motsvarande SGI som omedelbart före utresan .............................. 41
3.10.4 Undantaget från 240-dagarsvillkoret i föräldrapenningen ska också
  gälla medföljande till statsanställda ..................................................... 43
3.10.5 Ikraftträdande- och övergångsbestämmelser .................................... 44
3.10.6 Konsekvenser......................................................................................... 44
3.10.7 Författningskommentar........................................................................ 45
3.11 Budgetförslag........................................................................................................ 47
3.11.1 1:1. Sjukpenning och rehabilitering m.m. .......................................... 47
3.11.2 1:2 Aktivitets- och sjukersättningar m.m. .......................................... 49
3.11.3 1:3 Merkostnadsersättning och handikappersättning ...................... 51
3.11.4 1:4 Arbetsskadeersättningar m.m........................................................ 53
3.11.5 1:5 Ersättning inom det statliga personskadeskyddet...................... 54
3.11.6 1:6 Bidrag för sjukskrivningsprocessen.............................................. 55
3.11.7 2:1 Försäkringskassan ........................................................................... 57
3.11.8 2:2 Inspektionen för socialförsäkringen ............................................ 60

Bilaga 1 Partiellt vilande sjuk- och aktivitetsersättning vid studier samt förlängd prövotid vid studier med aktivitetsersättning

Bilaga 2 SGI-skydd för medföljande till statsanställda med flera

2

Prop. 2025/26:1 Utgiftsområde 10

1 Förslag till riksdagsbeslut

Regeringens förslag:

1.Riksdagen antar förslaget till lag om ändring i socialförsäkringsbalken (avsnitt 2.1 och 3.9.

2.Riksdagen antar förslaget till lag om ändring i socialförsäkringsbalken (avsnitt 2.2 och 3.10).

3.Riksdagen bemyndigar regeringen att för 2026 besluta om en kredit i Riksgäldskontoret för att tillgodose Försäkringskassans behov av likviditet vid utbetalning av ersättning för vård i andra länder som inklusive tidigare utnyttjad kredit uppgår till högst 170 000 000 kronor (avsnitt 3.11.7).

4.Riksdagen anvisar anslagen för budgetåret 2026 inom utgiftsområde 10 Ekonomisk trygghet vid sjukdom och funktionsnedsättning enligt tabell 1.1.

Tabell 1.1 Anslagsbelopp  
Tusental kronor    
Anslag    
   
1:1 Sjukpenning och rehabilitering m.m. 51 559 676
1:2 Aktivitets- och sjukersättningar m.m. 53 674 700
   
1:3 Merkostnadsersättning och handikappersättning 1 440 000
   
1:4 Arbetsskadeersättningar m.m. 2 494 000
1:5 Ersättning inom det statliga personskadeskyddet 38 082
   
1:6 Bidrag för sjukskrivningsprocessen 1 436 700
   
2:1 Försäkringskassan 11 271 917
2:2 Inspektionen för socialförsäkringen 79 121
   
Summa anslag inom utgiftsområdet 121 994 196
     

3

Under hela den tidsperiod som aktivitetsersättning kan lämnas enligt 33 kap. 18 § kan aktivitetsersättning under prövotid betalas ut under sammanlagt högst tolv månader.
Om studierna avbryts under prövotiden eller beslutet avser kortare tid än tolv månader, får Försäkringskassan senare fatta ett nytt beslut om aktivitetsersättning under prövotid. Ett sådant beslut får tillsammans med redan
lämnad aktivitetsersättning under prövotid sammanlagt uppgå till högst tolv månader.

Prop. 2025/26:1 Utgiftsområde 10

2 Lagförslag

Regeringen har följande förslag till lagtext.

2.1Förslag till lag om ändring i socialförsäkringsbalken

Härigenom föreskrivs att 36 kap. 9 a, 12, 15 b och 18 a §§ socialförsäkringsbalken ska ha följande lydelse.

36kap.

9a §1

Försäkringskassan får efter ansökan av en försäkrad som under minst tolv månader har fått aktivitetsersättning på grund av nedsatt arbetsförmåga besluta att han eller hon får studera utan att aktivitetsersättningen minskas med hänsyn till studierna (aktivitetsersättning under prövotid).

Under hela den tidsperiod som aktivitetsersättning kan lämnas enligt 33 kap. 18 § kan aktivitetsersättning under prövotid betalas ut under sammanlagt högst sex månader.

Om studierna avbryts under prövotiden eller beslutet avser kortare tid än sex månader, får Försäkringskassan senare fatta ett nytt beslut om aktivitetsersättning under prövotid. Ett sådant beslut får tillsammans med redan

lämnad aktivitetsersättning under prövotid sammanlagt uppgå till högst sex månader.

12 §

Vilandeförklaring får avse hel sjukersättning eller aktivitetsersättning eller en sådan andel av ersättningen som anges i 33 kap. 9 §. När det bedöms hur stor del av förmånen som ska förklaras vilande ska Försäkringskassan beakta omfattningen av det förvärvsarbete som den försäkrade avser att utföra. Vid studier ska dock alltid den beviljade förmånen i sin helhet förklaras vilande.

Vilandeförklaring får avse hel sjukersättning eller aktivitetsersättning eller en sådan andel av ersättningen som anges i 33 kap. 9 §. När det bedöms hur stor del av förmånen som ska förklaras vilande ska Försäkringskassan vid förvärvsarbete beakta omfattningen av det förvärvsarbete som den försäkrade avser

att utföra. Vid studier ska Försäkringskassan beakta omfattningen av de studier som den försäkrade avser att bedriva.

15 b §2

Om aktivitetsersättning har förklarats Om aktivitetsersättning har förklarats
vilande enligt 15 § tredje stycket och den vilande enligt 15 § tredje stycket och den
försäkrade fortfarande förvärvsarbetar försäkrade fortfarande förvärvsarbetar
eller studerar vid utgången av den period eller studerar vid utgången av den period

1Senaste lydelse 2016:1291.

2Senaste lydelse 2016:1291.

5

Prop. 2025/26:1 Utgiftsområde 10

som beslutet om aktivitetsersättning

omfattar, ska perioden med aktivitetsersättning förlängas med den tid som motsvarar den återstående tiden för vilandeförklaringen. Förlängningen av aktivitetsersättningen får dock endast avse den del av arbetsförmågan som fortfarande används för förvärvsarbete. Vid studier ska alltid aktivitetsersättningen förlängas i sin helhet.

som beslutet om aktivitetsersättning

omfattar, ska perioden med aktivitetsersättning förlängas med den tid som motsvarar den återstående tiden för vilandeförklaringen. Förlängningen av aktivitetsersättningen får dock endast avse den del av arbetsförmågan som fortfarande används för förvärvsarbete.

Vid studier ska perioden med aktivitetsersättning förlängas i den omfattning som motsvarar omfattningen av de studier som pågår vid utgången av den period som beslutet om aktivitetsersättning omfattar.

18 a §3

När tiden för ett beslut om När tiden för ett beslut om
vilandeförklaring av aktivitetsersättning vilandeförklaring av aktivitetsersättning
har löpt ut eller beslutet har upphävts har löpt ut eller beslutet har upphävts
enligt 16 § lämnas aktivitetsersättning för enligt 16 § lämnas aktivitetsersättning för
en period om tre månader i den en period om tre månader i den
omfattning som ersättningen tidigare var omfattning som ersättningen tidigare var
förklarad vilande. Ersättningen lämnas förklarad vilande. Ersättningen lämnas
utan någon ny prövning av i vilken mån utan någon ny prövning av i vilken mån
arbetsförmågan är nedsatt. Ersättning arbetsförmågan är nedsatt. Ersättning
lämnas inte till en försäkrad till den del lämnas inte till en försäkrad till den del
denne förvärvsarbetar eller till en försäkrad denne förvärvsarbetar eller studerar.
som studerar.  

1.Denna lag träder i kraft den 1 juni 2026.

2.Bestämmelserna i den nya lydelsen tillämpas första gången för tid efter den 30 juni

2026.

3Senaste lydelse 2012:933.

6

Prop. 2025/26:1 Utgiftsområde 10

2.2Förslag till lag om ändring i socialförsäkringsbalken

Härigenom föreskrivs att 6 kap. 12 §, 12 kap. 38 § och 26 kap. 24 § socialförsäkringsbalken ska ha följande lydelse.

Nuvarande lydelse Föreslagen lydelse

6 kap.

12 §

För biståndsarbetare m.fl. enligt 5 kap. 6 § som till följd av utlandsarbete inte omfattas av den arbetsbaserade

försäkringen och som efter utlandstjänstgöringens slut återvänder till Sverige ska efterskyddstiden börja löpa

först efter återkomsten, om utlandstjänstgöringen varat längst fem år.

För biståndsarbetare m.fl. enligt 5 kap. 6 § som till följd av utlandsarbete inte omfattas av den arbetsbaserade

försäkringen och som efter utlandstjänstgöringens slut återvänder till Sverige ska efterskyddstiden börja löpa

först efter återkomsten, om utlandstjänstgöringen varat längst fem år.

För sådana medföljande familjemedlemmar som avses i 5 kap. 8 § och som vid tillämpning av 5 kap. 4 eller 6 § anses bosatta i Sverige under utlandsvistelse, ska efterskyddstiden börja löpa först efter återkomsten till Sverige, om återkomsten sker direkt efter det att personen upphört att anses vara bosatt i Sverige under utlandsvistelse.

12kap. 38 §1

För en förälder som anses bosatt i För en förälder som anses bosatt i
Sverige även under vistelse utomlands Sverige även under vistelse utomlands
enligt bestämmelserna i 5 kap. 6 och 8 §§, ska enligt 5 kap. 6 §, och för en förälder som är en
det bortses från tiden för utlandsvistelsen medföljande familjemedlem enligt 5 kap. 8 § till
när det bestäms om 240-dagarsvillkoret i en person som avses i 5 kap. 4 eller 6 §, ska det
35 § 1 är uppfyllt. bortses från tiden för utlandsvistelsen när
  det bestäms om 240-dagarsvillkoret i 35 §
  1 är uppfyllt.

Vidare ska för en förälder som fått sjukersättning eller aktivitetsersättning en sjukpenninggrundande inkomst beräknad enligt 26 kap. 22 a § anses ha gällt hela den tid som föräldern fått sådan ersättning.

26kap. 24 §

För sådana personer som enligt 5 kap. 6 och 8 §§ anses bosatta i Sverige även under vistelse utomlands, ska den sjukpenninggrundande inkomsten vid återkomsten till Sverige motsvara lägst det belopp som utgjorde deras

sjukpenninggrundandeinkomst omedelbart före utlandsresan.

För sådana personer som enligt 5 kap. 6 § anses bosatta i Sverige även under

vistelse utomlands, ska den sjukpenninggrundande inkomsten vid återkomsten till Sverige motsvara lägst det belopp som utgjorde deras

sjukpenninggrundandeinkomst omedelbart före utlandsresan.

Detsamma gäller för sådana medföljande familjemedlemmar som avses i 5 kap. 8 § och

1Senaste lydelse 2015:758.

7

Prop. 2025/26:1 Utgiftsområde 10

som vid tillämpning av 5 kap. 4 eller 6 § anses bosatta i Sverige även under vistelse utomlands.

1.Denna lag träder i kraft den 1 januari 2026.

2.Äldre bestämmelser gäller fortfarande för den som har återkommit till Sverige före ikraftträdandet.

8

Prop. 2025/26:1 Utgiftsområde 10

3Utgiftsområde 10 Ekonomisk trygghet vid sjukdom och funktionsnedsättning

3.1Utgiftsområdets omfattning

Utgiftsområdet omfattar sjukpenning, rehabiliteringspenning, sjukrespektive rehabiliteringspenning i särskilda fall, boendetillägg, närståendepenning, medel för köp av arbetshjälpmedel m.m., sjukersättning, aktivitetsersättning, handikappersättning, merkostnadsersättning, ersättning vid arbetsskador och inom det statliga personskadeskyddet samt bidrag för sjukskrivningsprocessen. I utgiftsområdet ingår myndigheterna Försäkringskassan och Inspektionen för socialförsäkringen.

3.2Utgiftsutvecklingen

Tabell 3.1 Utgiftsutveckling inom utgiftsområde 10 Ekonomisk trygghet vid sjukdom och funktionsnedsättning

Miljoner kronor

  Utfall Budget Prognos Förslag Beräknat Beräknat
  2024 20251 2025 2026 2027 2028
Ersättning vid sjukdom och funktionsnedsättning 108 281 111 066 108 883 110 643 112 263 112 268
             
1:1 Sjukpenning och rehabilitering m.m. 51 264 53 898 50 737 51 560 52 406 52 968
             
1:2 Aktivitets- och sjukersättningar m.m. 51 661 51 652 52 782 53 675 54 444 53 971
             
1:3 Merkostnadsersättning och handikappersättning 1 446 1 516 1 469 1 440 1 391 1 347
             
1:4 Arbetsskadeersättningar m.m. 2 440 2 526 2 450 2 494 2 548 2 508
             
1:5 Ersättning inom det statliga personskadeskyddet 37 37 38 38 38 38
             
1:6 Bidrag för sjukskrivningsprocessen 1 432 1 437 1 407 1 437 1 437 1 437
Myndigheter 9 707 10 882 10 631 11 351 11 725 11 998
             
2:1 Försäkringskassan 9 633 10 805 10 556 11 272 11 645 11 916
             
2:2 Inspektionen för socialförsäkringen 74 78 74 79 80 82
             
Äldreanslag 2 108 1 414 1 086      
             
2025 1:7 Ersättning för höga sjuklönekostnader 2 108 1 414 1 086      
             
Totalt för utgiftsområde 10 Ekonomisk trygghet vid            
sjukdom och funktionsnedsättning 120 096 123 362 120 600 121 994 123 988 124 266
             

1Inklusive beslut om ändringar i statens budget 2025 och förslag till ändringar i samband med denna proposition.

9

Prop. 2025/26:1 Utgiftsområde 10

Tabell 3.2 Förändringar av utgiftsramen 2026–2028 för utgiftsområde 10 Ekonomisk trygghet vid sjukdom och funktionsnedsättning

Miljoner kronor

  2026 2027 2028
Anvisat 20251 123 059 123 059 123 059
Pris- och löneomräkning2 205 383 601
Beslutade, föreslagna och aviserade åtgärder 282 2 022 2 062
varav BP263 257 498 514
Makroekonomisk utveckling 1 251 2 194 4 220
       
Volymer -2 803 -3 670 -5 676
Överföring till/från andra utgiftsområden      
       
Övrigt      
       
Ny utgiftsram 121 994 123 988 124 266
       

1Statens budget enligt riksdagens beslut i december 2024 (bet. 2024/25:FiU10). Beloppet är således exklusive beslut om ändringar i statens budget.

2Pris- och löneomräkningen baseras på anvisade medel 2025. Övriga förändringskomponenter redovisas i löpande priser och inkluderar därmed en pris- och löneomräkning. Pris- och löneomräkningen för 2027–2028 är preliminär.

3Exklusive pris- och löneomräkning.

Tabell 3.3 Utgiftsram 2026 realekonomiskt fördelad för utgiftsområde 10 Ekonomisk trygghet vid sjukdom och funktionsnedsättning

Miljoner kronor

  2026
Transfereringar1 110 000
Verksamhetsutgifter2 11 975
Investeringar3 19
Summa utgiftsram 121 994
   

Anm.: Den realekonomiska fördelningen baseras på utfall 2024 samt kända förändringar av anslagens användning.

1Med transfereringar avses inkomstöverföringar, dvs. utbetalningar av bidrag från staten till exempelvis hushåll, företag eller kommuner utan att staten får någon direkt motprestation.

2Med verksamhetsutgifter avses resurser som statliga myndigheter använder i verksamheten, t.ex. utgifter för löner, hyror och inköp av varor och tjänster.

3Med investeringar avses utgifter för anskaffning av varaktiga tillgångar såsom byggnader, maskiner, immateriella tillgångar och finansiella tillgångar.

3.3Skatteutgifter

Vid sidan av stöd till företag och hushåll på budgetens utgiftssida finns det även stöd på budgetens inkomstsida i form av avvikelser från en enhetlig beskattning, s.k. skatteutgifter. Innebörden av skatteutgifter beskrivs närmare i Förslag till statens budget, finansplan m.m., avsnittet om skattefrågor. Den samlade redovisningen finns i regeringens skrivelse Redovisning av skatteutgifter 2025 (skr. 2024/2025:98). Nedan redovisas de skatteutgifter som är att hänföra till utgiftsområdet.

Tabell 3.4 Skatteutgifter inom utgiftsområde 10 Ekonomisk trygghet vid sjukdom och funktionsnedsättning

Miljoner kronor

  2025 2026
Skattereduktion för personer med sjuk-    
och aktivitetsersättning (G2) 4 150 4 220
     

Anm.: Inom parentes anges den beteckning för respektive skatteutgift som används i regeringens skrivelse.

Källa: Regeringens skrivelse Redovisning av skatteutgifter 2025 (skr. 2024/25:98).

10

Prop. 2025/26:1 Utgiftsområde 10

3.4Mål för utgiftsområdet

Målet för utgiftsområdet är att frånvaron från arbete på grund av sjukdom ska ligga på en långsiktigt stabil och låg nivå (prop 2008/09:1 utg.omr. 10 avsnitt 2.3,

bet. 2008/09:SfU1, rskr. 2008/09:138). Målet innebär mer specifikt följande:

Sjukfrånvaron ska inte variera mer än inom ramen för normala säsongsvariationer.

Osakliga regionala skillnader i sjukfrånvaron ska inte förekomma.

Skillnaden i sjukfrånvaron mellan kvinnor och män ska minska.

3.5Resultatindikatorer och andra bedömningsgrunder

De centrala indikatorer som används för att redovisa resultaten inom utgiftsområdet är följande:

Ohälsotalet – antal nettodagar per år som personer 16–64 år i genomsnitt har sjukpenning, rehabiliteringspenning, sjukersättning eller aktivitetsersättning.

Sjukpenningtalet.

Antal pågående sjukfall.

Antal nybeviljade sjuk- och aktivitetsersättningar.

Observerat och standardiserat medelantal sjukpenningdagar per person 16–64 år i respektive län.

3.6Resultatredovisning

3.6.1Sjukfrånvarons utveckling

Den sammantagna sjukfrånvaron är svagt stigande

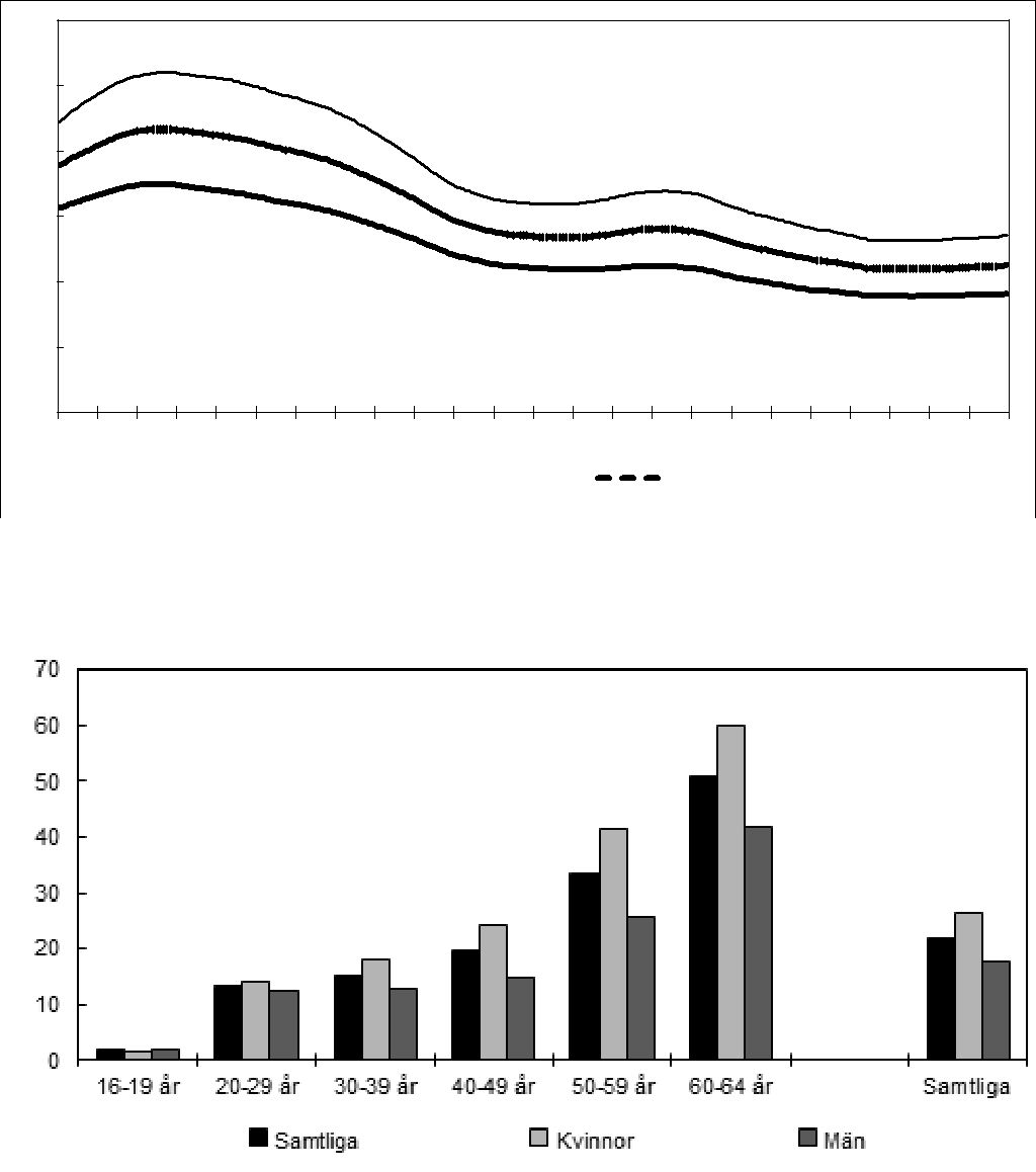
Den totala sjukfrånvaron mäts med måttet ohälsotalet och uppgick till 22,6 dagar i december 2024. Ohälsotalets nivå var därmed 0,4 dagar högre (ca 2 procent) jämfört med 2023. Ohälsotalet består av frånvaro genom sjuk- och aktivitetsersättning (SA) samt sjukfrånvaro i form av sjukpenning för personer i åldrarna 16–64 år. För kvinnor uppgick ohälsotalet till 27,2 dagar och för män till 18,1 dagar under 2024. Kvinnor står således för en betydligt större del av sjukfrånvaron än män. Förändringen under 2024 skiljer sig åt mellan kvinnor och män; kvinnors ohälsotal har ökat 0,6 dagar jämfört med en ökning om 0,1 dagar för män. Ökningen i ohälsotal under 2024 är relativt stor i de tre åldersklasserna 20–29, 30–39 och 60–64 år. Ohälsotalets nuvarande nivå är dock jämförelsevis låg sett ur ett längre tidsperspektiv, främst på grund av det minskade antalet personer med sjukersättning. En allt lägre andel av befolkningen försörjs alltså genom sjukförsäkringen och nuvarande nivå är i princip halverad jämfört med nivån för 20 år sedan. Bakgrunden till den minskande andelen personer med sjukersättning är att utflödet (dvs. de som lämnar ersättningen) varit högre än nybeviljandet (dvs. de som beviljas ersättningen). I början av 2000-talet var nybeviljandet av sjukersättning högt vilket resulterade i ett stort antal personer med den ersättningen. Dessa personer har successivt lämnat ersättningen för ålderspension. Ökningen av ohälsotalet under resultatåret beror på ett ökat antal sjukpenningdagar, ökningen har dock motverkats av en viss minskning i antalet personer med sjukersättning.

11

Prop. 2025/26:1 Utgiftsområde 10

Diagram 3.1 Ohälsotalet 2001–2024

Ohälsotal

60

50

40

30

20

10

0

01 03 05 07 09 11 13 15 17 19 21 23
    Kvinnor och män   Kvinnor   Män      
             

Källa: Försäkringskassan.

Diagram 3.2 Ohälsotalet december 2024 efter kön och åldersklass

Ohälsotal

Källa: Försäkringskassan.

Växande sjukpenningtal och större ökning för kvinnor

I denna proposition har ett nytt sjukpenningtal (sjukpenningtalet 2.0) använts som indikator. Sjukpenningtalet 2.0 speglar på ett bättre sätt det potentiella antal försäkrade som kan ha rätt till sjukpenning jämfört med det tidigare sjukpenningtalet. Den stora skillnaden mellan måtten är att nämnaren i sjukpenningtalet 2.0 är fastställd utifrån en skattning av antalet försäkrade i åldrarna 15–69 år. Som sjukpenningförsäkrad räknas de som enligt rapporten Befolkningens arbetsmarknadsstatus (SCB/BAS) varit sysselsatta eller inskrivna som arbetssökande hos Arbetsförmedlingen minst 4 månader i följd, samt individer med utbetald sjukpenning eller rehabiliteringspenning under referensperioden. Sammantaget innebär detta att nämnaren antalsmässigt blir lägre än nämnaren i den tidigare definitionen av sjukpenningtalet, där i princip hela befolkningen ingick, vilket i sin tur medför att sjukpenningtalet blir högre. I december 2024 uppgick sjukpenningtalet för åldrarna 15–69 år till 12,69 dagar, vilket innebar en ökning med 0,5 dagar (4 procent) jämfört med 2023. Skillnaden mellan kvinnor och män är stor och har ökat under 2024. Kvinnors sjukpenningtal ökade 5 procent, att jämföra med 2 procent för män. Kvinnors sjukpenningtal var därmed 87 procent högre än det för män (en ökning med 6 procentenheter under resultatåret). Ökningen i sjukpenningtalet har skett i alla åldersgrupper, utom de allra yngsta (15–19 år).

12

Prop. 2025/26:1 Utgiftsområde 10

Att sjukpenningtalet stigit kan framför allt förklaras av att allt fler kvarstår längre i sjukpenningen, och att sjukfrånvarons totala volym därigenom fått en högre koncentration av längre sjukfall. Vid sidan av detta spelar det även in att fler äldre har rätt till sjukpenning ytterligare ett år, en effekt av att riktåldern höjdes 2023. Sjukpenningen kan genom denna förändring sägas försäkra, och omfatta, ytterligare en årskull. Det är därför som ökningen i sjukpenningtalet under 2024 varit störst både för kvinnor och män inom åldersgruppen 65–69 år.

Tabell 3.5 Sjukpenningtalet december 2024 för kvinnor och män samt förändring jämfört med december 2023

      Kvinnor och Förändring Förändring Förändring
Ålder Kvinnor Män män kvinnor män samtliga
             
15–19 år 1,0 1,0 1,0 -0,1 -0,1 -0,1
             
20–24 år 6,4 3,5 4,8 0,1 -0,1 0,1
             
25–29 år 10,6 5,0 7,6 0,6 -0,1 0,2
             
30–34 år 16,4 8,1 12,1 0,9 0,1 0,5
35–39 år 16,8 7,7 12,1 1,0 0,5 0,8
             
40–44 år 16,9 7,4 12,1 0,8 0,1 0,4
             
45–49 år 17,5 8,4 12,9 0,6 0,2 0,4
             
50–54 år 19,4 9,7 14,5 0,8 -0,1 0,4
             
55–59 år 21,6 13,0 17,2 0,8 0,0 0,4
             
60–64 år 25,3 18,0 21,6 0,8 0,0 0,4
65–69 år 11,5 9,2 10,3 3,5 2,0 2,7
             
Samtliga 15–            
69 år 16,7 8,9 12,7 0,9 0,2 0,5

Källa: Försäkringskassan.

Sjukpenningtalet enligt tidigare definition uppgick till 10,5 i december 2024 (kvinnor 13,8, män 7,3), och hade därmed ökat med 0,3 dagar jämfört med december 2023.

Inflödet av sjukfall med psykiatriska diagnoser stabilt

Inflödet (här påbörjade sjukfall som blivit minst 14 dagar långa) uppgick under 2024 till 489 000 (309 000 kvinnor, 180 000 män). Utvecklingen av antalet startade sjukfall kan beskrivas som relativt oförändrad jämfört med föregående år. Inflödet av sjukfall 2024 var 5 000 högre jämfört med 2023, vilket motsvarar en ökning med en procent.

Diagram 3.3 Antalet påbörjade sjukfall som blivit minst 14 dagar, rullande 12- månadersvärde 2006–2024

Antal startade sjukfall, 12-månadersvärde

450000

400000

350000

300000

250000

200000

150000

100000

50000

0                                                                                
                                                                               
06 08 10     12 14 16 18 20 22 24
                  Kvinnor                   Män                                
                                                                   

Källa: Försäkringskassan.

13

Prop. 2025/26:1 Utgiftsområde 10

Utvecklingen av antalet påbörjade sjukfall har stor betydelse för sjukfrånvarons utveckling. Även inflödets diagnossammansättning har betydelse i detta sammanhang eftersom t.ex. psykiatriska diagnoser innebär längre förväntade sjukskrivningstider. Åren 2020 och 2021 minskade antalet sjukskrivningar med psykiatriska diagnoser, men därefter har antalet ökat till motsvarande nivåer som före covid-19-pandemin. Ungefär 30 procent av de påbörjade sjukfallen har en psykiatrisk diagnos. Under 2024 uppgick antalet psykiatriska diagnoser till 145 000 av påbörjade sjukfall som blev minst 14 dagar långa (103 000 kvinnor, 42 000 män). Jämfört med 2023 var det en ökning med 4 000 påbörjade sjukfall med psykiatrisk diagnos.

Sjukfallens varaktighet är stabil

I detta avsnitt redovisas hur sjukfallens varaktighet har utvecklats. Här jämförs i vilken utsträckning sjukfall som blivit minst 30 dagar kvarstår i sjukskrivning över tid. Resultatåret 2024 jämförs med 2023 vad avser sjukfall som startat under första kvartalet respektive år. Dessa sjukfall följs fram till dag 300 och i diagrammen 3.4 och

3.5visas hur stor andel som kvarstår vid varje tidpunkt. Ett skifte utåt av varaktighetskurvorna innebär därmed att sjukfallens varaktighet har ökat mellan de jämförda åren och vice versa.

Exempelvis var det 25 procent av sjukfallen bland kvinnor som fortfarande pågick dag 180 och vid dag 300 kvarstod 15 procent av de sjukfall som startat 2024. För män var motsvarande andel en procentenhet lägre än för kvinnor.

Det kan konstateras att varaktigheten inte förändrats på ett avgörande sätt då 2024 jämförs med 2023. Detta gäller för såväl män som kvinnor. Den nivå respektive års varaktighetskurva ligger på är starkt beroende av hur diagnossammansättningen är bland de sjukfall som startas samt hur strikt prövningen är vid rehabiliteringskedjans olika tidpunkter.

År 2020 och tidigare var sannolikheten för att ett sjukfall skulle avslutas högre kring rehabiliteringskedjans tidpunkter, såsom dag 180. I varaktighetskurvorna tog det sig i uttryck i att andelen kvarstående minskade på ett uttalat sätt kring dessa fasta tidpunkter i rehabiliteringskedjan. För närvarande finns inte någon sådan markant ökad sannolikhet att sjukfallen avslutas. Den huvudsakliga förklaringen till den förhöjda varaktigheten är de regelförändringar som har införts 2020–2021 vad gäller bedömningen av arbetsförmågan efter dag 180 i rehabiliteringskedjan.

Den ökade varaktigheten efter 2020 är den faktor som lett till att allt fler långa sjukfall ackumuleras.

14

Prop. 2025/26:1 Utgiftsområde 10

Diagram 3.4 Kvinnor: andel sjukfall som kvarstår vid olika sjukfallslängder

Andel kvarstående vid resp. dag

1

0,9

0,8

0,7

0,6

0,5

0,4

0,3

0,2

0,1

0

30 60 90 120 150 180 210 240 270 300

20232024

Anm.: Sjukfall startade under kvartal 1 respektive år, som blivit minst 30 dagar långa.

Källa: Försäkringskassan.

Diagram 3.5 Män: andel sjukfall som kvarstår vid olika sjukfallslängder

Andel kvarstående vid resp. dag

1

0,9

0,8

0,7

0,6

0,5

0,4

0,3

0,2

0,1

0

30 60 90 120 150 180 210 240 270 300

20232024

Anm.: Sjukfall startade under kvartal 1 respektive år, som blivit minst 30 dagar långa.

Källa: Försäkringskassan.

Ökat antal långa sjukfall

Vid utgången av 2024 uppgick antalet pågående sjukfall med sjukpenning till 201 000. Totalt sett hade antalet pågående sjukfall minskat med ca 1 600 (1 procent) jämfört med ett år tidigare. Antalet sjukfall kan därmed beskrivas ha planat ut under året, till skillnad från tidigare år då sjukfrånvaron ökat. Att antalet pågående sjukfall vid årsskiftet var något lägre än ett år tidigare samtidigt som sjukpenningtalet ökade under samma år (se tabell 3.5) kan framstå som motsägelsefullt. Differensen mellan dessa två olika mått förklaras med att antalet pågående sjukfall visar sjukfrånvaron i december medan sjukpenningtalet återspeglar nyttjandet av sjukpenning under hela året. Den ökning som sjukpenningtalet visar skedde huvudsakligen i början av året.

Sett till olika fallängder i pågående sjukfall har vissa förändringar skett när dessa för december 2024 jämförs med motsvarande månad 2023. Antalet sjukfall som pågått längre än två år har ökat med ca 4 000 mellan åren. Sjukfall som pågått en kortare tid än två år har däremot minskat.

15

Prop. 2025/26:1 Utgiftsområde 10

Diagram 3.6 Antalet pågående sjukfall efter sjukfallslängd

Antal

Källa: Försäkringskassan.

Av de pågående sjukfallen i december 2024 var 65 procent kvinnor och 35 procent män. Denna fördelning av sjukfallen mellan könen har varit stabil de senaste tio åren. Vid utgången av december 2024 hade antalet sjukfall bland kvinnor minskat med ca 300 (0,2 procent). Bland män hade antalet sjukfall minskat med 1 300 (1,8 procent). För både kvinnor som män gäller dock att de långa sjukfallen (överstigande två år) har ökat under året.

Att sjukfallsbeståndet över tid får en förändrad sammansättning på så sätt att de långa sjukfallen blir fler är huvudsakligen en följd av vissa lagändringar som genomfördes 2021 och 2022. Då infördes bestämmelser om undantag från bedömningen av arbetsförmågan mot ”normalt förekommande arbete” som ska göras fr.o.m. dag 181 i rehabiliteringskedjan. Undantagen, s.k. övervägande skäl och särskilda skäl, innebär att bedömningen av arbetsförmågan mot normalt förekommande arbete ska skjutas upp om övervägande skäl talar för att den försäkrade kan återgå i arbete senast dag 365 (övervägande skäl) eller om återgång i arbete med stor sannolikhet kommer att ske senast dag 550 (särskilda skäl). Sedan bestämmelsen övervägande skäl infördes 2021 är det enligt Försäkringskassan färre sjukfall som avslutas efter omkring 180 dagar. Under 2024 registrerades övervägande skäl i 60 procent av de ärenden som passerat dag 180. Sjukfall som pågått länge än 180 dagar har, jämfört med kortare sjukfall, en relativt låg sannolikhet att avslutas. En ökad mängd sjukfall som passerar dag 180 kommer därmed att med viss eftersläpning leda till att fler riktigt långa sjukfall uppstår vilket det senaste årets utveckling kan ses som ett exempel på.

I rapporten Undantaget som blev regel – Försäkringskassans användning av övervägande skäl vid 180 dagars sjukskrivning (RiR 2024:14) fann Riksrevisionen att undantaget övervägande skäl används som huvudregel snarare än som ett undantag. Regeringen har, utifrån Riksrevisionens rekommendationer till Försäkringskassan, gett ett uppdrag till Försäkringskassan att vidta åtgärder för att öka likformigheten och träffsäkerheten i användningen av undantaget övervägande skäl. Motsvarande åtgärder ska vidtas när det gäller undantaget särskilda skäl. Senast den 3 februari 2026 ska Försäkringskassan redovisa till Regeringskansliet (Socialdepartementet) vilka åtgärder myndigheten har vidtagit.

Försäkringskassans analyser visar att av de som får sjukpenningen beviljad med stöd av övervägande skäl har omkring hälften en psykiatrisk diagnos. 6 av 10 sjukfall avslutas innan dag 365 på grund av att den försäkrade åter är arbetsför. Återinsjuknandet, dvs. i vilken utsträckning försäkrade avslutar ett sjukfall mellan dag 181 och

16

Prop. 2025/26:1 Utgiftsområde 10

365 i rehabiliteringskedjan och sedan påbörjar en ny sjukskrivningsperiod inom ett år, har inte förändrats efter införandet av övervägande skäl 2021 (S2024/01119).

Försäkringskassan har på uppdrag av regeringen analyserat skillnader i nyttjandet av sjukförsäkringen. Uppdraget har redovisats i fyra delrapporter (S2023/01244). Förutom skillnaderna mellan kvinnor och män, så finns det skillnader mellan olika åldersgrupper och yrken samt socioekonomisk status. Exempelvis är risken att bli sjukskriven i psykiatriska diagnoser (givet att man blivit sjukskriven) störst i åldersgruppen 25–39 år. Vidare är risken att bli sjukskriven lägre inom tjänstemannayrken och högre inom arbetaryrken och yrken med sämre fysisk, social och organisatorisk arbetsmiljö.

Vad gäller långtidssjukskrivna har Försäkringskassan också fått i uppdrag att utveckla sitt arbete med att utreda och tillvarata arbetsförmåga i förvärvsarbeten på arbetsmarknaden för denna grupp, t.ex. i arbeten med stöd från Arbetsförmedlingen. Försäkringskassan och Arbetsförmedlingen ska se över respektive myndighets arbetssätt och samarbetsformerna dem emellan för att dessa personers arbetsförmåga ska kunna tas tillvara. Uppdraget ska redovisas gemensamt till Regeringskansliet (Socialdepartementet och Arbetsmarknadsdepartementet) senast den 14 april 2026.

Antalet avslag svagt ökande

Under 2024 avslutades ca 542 000 sjukfall, vilket är 4 000 fler än föregående år. En delmängd av sjukfallen avslutas genom avslag, dvs. den försäkrade har ansökt om fortsatt ersättning men Försäkringskassan har avslagit ansökan. Att sjukfall avslutas med ett avslag har blivit något mer förekommande under 2024. Antalet sjukfall som avslutades genom ett avslag 2024 uppgick till 17 600 (10 800 kvinnor, 6 800 män). Detta motsvarade ca 3,2 procent av samtliga avslutade sjukfall, vilket innebar att avslagsandelen var 0,8 procentenheter högre än 2023.

Antal sjukfall som avslutas genom avslag fr.o.m. dag 181 t.o.m. dag 365 i rehabiliteringskedjan har sedan 2021 minskat på ett betydande sätt jämfört med åren innan. Under 2024 var antalet avslag 5 100 för dag 181–365, vilket är ca 1 300 fler än 2023.

När antalet avslag relateras till summan av samtliga avslutade sjukfall mellan dag 181 och 365 i rehabiliteringskedjan och antalet sjukfall som passerat dag 365, framgår det att avslagsandelen uppgick till 7 procent 2024 (6,1 procent för kvinnor, 8,8 procent för män, analys saknar om vad skillnaderna beror på). År 2023 var motsvarande andel 5,5 procent.

17

Prop. 2025/26:1 Utgiftsområde 10

Diagram 3.7 Andel avslag vid dag 181–365 i rehabiliteringskedjan

Andel

35

30

25

20

15

10

5

0 2010 2011 2012 2013 2014 2015 2016 2017 2018 2019 2020 2021 2022 2023 2024

Kvinnor   Män   Samtliga
   

Anm.: Antalet avslag i förhållande till antalet avslutade sjukfall samt sjukfall som passerat dag 365.

Källa: Försäkringskassan.

Psykisk ohälsa vanligaste sjukskrivningsorsaken och stressrelaterade diagnoser står för ökningen

Psykisk ohälsa, i form av bl.a. ångestsyndrom och depression, är den vanligaste sjukskrivningsorsaken för både kvinnor och män. Vid utgången av 2024 hade ca

99 000 av dem som då var sjukskrivna en psykiatrisk diagnos (70 000 kvinnor och

29 000 män). Det är en ökning jämfört med året innan med ca 4 500 personer. Av antalet sjukskrivna kvinnor hade 53 procent en psykiatrisk diagnos och motsvarande andel för män var 41 procent.

Sammantaget hade därmed 49 procent av de pågående sjukfallen vid utgången av 2024 en psykiatrisk diagnos, vilket är en ökning med drygt två procentenheter jämfört med 2023. Under covid-19-pandemin var det en minskad förekomst av sjukpenning kopplad till dessa diagnoser, men över tid har antalet sjukfall med psykiatriska diagnoser ökat till motsvarande nivåer som före pandemins utbrott. En delförklaring till detta är ökningen av antalet långa sjukfall. Ju längre sjukfall desto högre är andelen psykiatriska diagnoser. Exempelvis uppgår andelen psykiatriska diagnoser till

58 procent (kvinnor 60 procent, män 54 procent) bland sjukfall som pågått över två år. Sjukfrånvaron har därmed under året fått en starkare koncentration av psykiatriska diagnoser. De psykiatriska diagnoserna har aldrig varit mer förekommande än nu sett till såväl absoluta som relativa tal.

18

Prop. 2025/26:1 Utgiftsområde 10

Diagram 3.8 Antal och andel pågående sjukfall med psykiatrisk diagnos, december respektive år, 2010–2024

Antal Andel av samtliga sjukfall

Källa: Försäkringskassan.

Bland de psykiatriska diagnoserna är stressrelaterad ohälsa (diagnoskod F43, anpassningsstörningar och reaktion på svår stress) den mest förekommande. För kvinnor är den stressrelaterade ohälsan större än alla andra psykiatriska diagnoser tillsammans.

Vid utgången av 2024 var det 37 000 kvinnor och 10 000 män som hade pågående sjukfall med stressrelaterad diagnos. Som framgår av diagrammet nedan har ökningen i dessa diagnoser varit stor de senaste fyra åren (50 procents ökning både för kvinnor och män).

Diagram 3.9 Antalet pågående sjukfall med diagnosen anpassningsstörningar och reaktion på svår stress

Antal

Källa: Försäkringskassan.

Generellt sett är risken för sjukskrivning som högst i åldrarna 55–59 år. Men den relativa risken för att bli sjukskriven med en stressrelaterad diagnos är som högst i åldrarna 30–39 år, vilket är åldrar då många bildar familj. Familjebildning i kombination med förvärvsarbete har en betydelse för sjukfrånvaron i allmänhet och risken för stressrelaterade besvär i synnerhet, vilket bli särskilt tydligt för kvinnor (se Försäkringskassan Lägesrapport 2024:1 – Psykisk ohälsa i dagens arbetsliv).

19

Prop. 2025/26:1 Utgiftsområde 10

Regionala skillnader i sjukfrånvaron består

Vid en jämförelse av länens genomsnittliga sjukfrånvaro (observerad sjukfrånvaro, antal nettosjukpenningdagar per person 16–64 år), där hänsyn tas till hur befolkningssammansättningen med avseende på kön, ålder och utbildningsnivå är i respektive län (standardiserad sjukfrånvaro), framgår det att det finns en regional variation mellan faktisk sjukfrånvaro och den förväntade givet befolkningssammansättningen. Som framgår av diagram 3.9 är kvinnors sjukfrånvaro som lägst i relation till den förväntade i Gotlands län, där den genomsnittliga sjukfrånvaron 2023 var 2,6 dagar lägre än den befolkningsmässigt förväntade. Motsatt förhållande gäller i Värmlands län, som har en sjukskrivningsgrad som är 3 dagar högre än förväntat.

Diagram 3.10 Observerad och standardiserad sjukfrånvaro för kvinnor per län 2023

Genomsnittligt antal sjukpenningdagar per person

16                                                                                                                            
                                          Observerad                               Standardiserad
14                                                                        
                                                                       
                                                                                                                           
12                                                                                                                            
                                                                                                                           
                                                                                                                           
                                                                                                                           
                                                                                                                           
10                                                                                                                            
                                                                                                                           
                                                                                                                           
                                                                                                                           
                                                                                                                           
8                                                                                                                            
6                                                                                                                            
4                                                                                                                            
2                                                                                                                            

0

Gotland Skåne Stockholm Blekinge Kalmar Halland Norrbotten Kronoberg Jönköping Östergötland Uppsala Örebro Södermanland Västmanland Jämtland Västerbotten Dalarna Västernorrland Gävleborg Götaland Västra Värmland

Anm: Sorterat efter differens mellan observerad och standardiserad sjukfrånvaro.

Källa: Socialdepartementets beräkningar i LISA, SCB.

Även för män uppvisar Gotlands län den största differensen, där den observerade sjukfrånvaron understiger den förväntade med 1,4 dagar. För Västra Götalands län gäller att den observerade sjukfrånvaron motsatt är 1,3 dagar högre än den förväntade.

Diagram 3.11 Observerad och standardiserad sjukfrånvaro för män per län 2023

Genomsnittligt antal sjukpenningdagar per person

16

14                                           Observerad                                   Standardiserad
                                                                           
12                                                                                                                              
10                                                                                                                              
8                                                                                                                              
                                                                                                                             
6                                                                                                                              
                                                                                                                             
                                                                                                                             
                                                                                                                             
4                                                                                                                              
                                                                                                                             
2                                                                                                                              

0

Gotland Blekinge Norrbotten Skåne Stockholm Kronoberg Kalmar Östergötland Halland Jönköping Örebro Jämtland Västerbotten Västmanland Uppsala Södermanland Dalarna Västernorrland Värmland Gävleborg Götaland Västra

Anm: Sorterat efter differens mellan observerad och standardiserad sjukfrånvaro.

Källa: Socialdepartementets beräkningar i LISA, SCB.

Den regionala variationen är mer uttalad för kvinnor än för män. Generellt sett är de regionala avvikelserna mellan observerad och förväntad sjukfrånvaro lägre för män än

20

Prop. 2025/26:1 Utgiftsområde 10

för kvinnor. Männens sjukfrånvaro är på en absolut lägre nivå, men avvikelserna är också lägre relativt sett (dvs. procentuell avvikelse mellan observerad och standardiserad sjukfrånvaro). Det län där överensstämmelsen mellan den observerade sjuk-frånvaron och den förväntade är som störst är Jönköpings län.

Antalet personer med sjukersättning minskar svagt

Det totala antalet personer med sjukersättning minskade svagt under 2024. Vid utgången av 2024 hade 220 000 personer (126 000 kvinnor och 94 000 män) sjukersättning, vilket var ca 4 000 färre än i december 2023. Fram till 2023 hade antalet personer med sjukersättning minskat kontinuerligt sedan 2008, då bestämmelserna gällande rätten till ersättningen skärptes. Efter introduktionen av de s.k. äldrereglerna i sjukersättningen har inflödet (dvs. personer som beviljas ersättningen) ökat samtidigt som utflödet (dvs. personer som lämnar ersättningen) har påverkats genom att den högsta åldern att uppbära sjukersättning har höjts från 64 till 65 år under 2023, vilket på så vis minskat utflödet från sjukersättningen. Dessa förändringar har sammantaget medverkat till att det tidigare gapet mellan utflöde ur förmånen och inflöde till den har minskat betydligt. Resultatet blir att totalantalet närmast har stabiliserats.

Under 2024 nybeviljades totalt ca 11 000 personer sjukersättning (5 900 kvinnor och 5 100 män), vilket var 1 000 personer färre än föregående år. Bland äldre försäkrade ses dock ett högre nybeviljande. En viktig förklaring till de högre nybeviljandetalen är de särskilda reglerna som sedan den 1 september 2022 gäller för äldre. Under 2024 nybeviljades totalt 4 600 personer 60 år och äldre sjukersättning, vilket är drygt 3 500 fler jämfört med innan reglerna fanns. Även för åldrar som inte träffas av äldrereglerna har nybeviljandet ökat. Under 2024 nybeviljades t.ex. 1 096 kvinnor i åldern 55–59 år sjukersättning jämfört med 642 år 2021. Motsvarande antal för män var 880 under 2024 jämfört med 579 år 2021. Orsaken till denna ökning är inte helt klarlagd. I takt med att antalet långa sjukfall har ökat de senaste åren bör även antalet potentiella utbyten mellan förmånsslagen sjukpenning och sjukersättning ha ökat i antal.

Under 2024 avslogs fler ansökningar om sjukersättning än under 2023. Andelen avslag har ökat något. Andelen avslag för kvinnor var 54 procent 2024 jämfört med

50 procent 2023. Motsvarande siffror för män var 47 procent 2024 jämfört med 44 procent 2023.

Diagram 3.12 Antal personer med nybeviljad sjukersättning per år, samt antal personer med sjukersättning i december månad, 2003–2024

Antal personer med SE i december Antal nybeviljade under året

Källa: Försäkringskassan.

21

Prop. 2025/26:1 Utgiftsområde 10

Liksom andelen sjukfall med psykiatrisk diagnos har ökat över tid har också andelen nybeviljad sjukersättning med psykiatrisk diagnos (diagnoskapitel F) ökat. År 2003 var andelen med psykiatrisk diagnos bland nybeviljanden av sjukersättning 18 procent för kvinnor och 14 procent för män. År 2024 var motsvarande siffror 46 respektive

42 procent.

Antal personer med aktivitetsersättning ökar

I december 2024 hade 33 100 personer aktivitetsersättning (15 600 kvinnor, 17 500 män), vilket var 2 100 fler än ett år tidigare. Under 2024 nybeviljades 8 900 personer aktivitetsersättning, (4 400 kvinnor, 4 500 män), vilket var en ökning med 15 procent jämfört med 2023. Den numerärt största beslutsvolymen avsåg ärenden om förlängning av aktivitetsersättningen. Under 2024 avslogs 558 förlängningsansökningar, vilket är fler än under 2023 då 400 ansökningar avslogs.

Diagram 3.13 Antal personer med aktivitetsersättning i december respektive år, samt antal nybeviljade under respektive år, 2003–2024

Antal i december Antal nybeviljade per 1000

Källa: Försäkringskassan.

Under 2024 lämnade 5 600 personer aktivitetsersättningen, marginellt fler än under 2023 då 5 300 personer lämnade ersättningen. Av dem som lämnade ersättningen var 49 procent kvinnor och 51 procent män. En stor andel av dem som lämnar aktivitetsersättning vid 30 års ålder får ersättning från andra delar av sjukförsäkringen tiden efter det att aktivitetsersättningen upphört. Baserat på uppgifter för perioden juli 2023 till mars 2024 hade 52 procent inom ett halvår ansökt om och beviljats sjukersättning. Andelen som fick sjukpenning i särskilda fall var 29 procent och andelen som fick sjukpenning baserad på en tidigare inkomst var 5 procent. Sammantaget kan konstateras att merparten (ca 85 procent) av personerna som fyllt 30 år fortsatte uppbära ersättning inom sjukförsäkringen tiden efter det att aktivitetsersättningen upphört.

3.6.2Aktörer i sjukskrivningsprocessen

Sjukfrånvarons utveckling påverkas både av de åtgärder som ansvariga aktörer vidtar och individens deltagande i sjukskrivningsprocessen. Försäkringskassans handläggning har också betydelse för måluppfyllelsen. Andra viktiga aktörer som genom insatser eller genom frånvaro av sådana insatser kan påverka sjukfrånvarons utveckling och därigenom måluppfyllelsen är arbetsgivare, hälso- och sjukvården och Arbetsförmedlingen. Det stöd som Socialstyrelsen ger har betydelse för hälso- och sjukvårdens arbete med sjukskrivningar och i förlängningen för sjukfrånvarons utveckling.

22

Prop. 2025/26:1 Utgiftsområde 10

Fler planer för återgång i arbete har inkommit till Försäkringskassan

Arbetsgivaren har en skyldighet att inom 30 dagar upprätta en plan för återgång i arbete för arbetstagare som kan förväntas vara sjukskrivna i minst 60 dagar. Försäkringskassan kan hämta in planen eller fråga arbetsgivaren om innehållet när det behövs ytterligare information om vilka förutsättningar som finns för att arbetstagaren ska kunna återgå i arbete hos arbetsgivaren. Informationen i planen kan också användas för att avgöra om det är aktuellt med arbetslivsinriktad rehabilitering hos arbetsgivaren, Arbetsförmedlingen eller med insatser via samordningsförbund.

Antalet planer för återgång i arbete från arbetsgivaren som har kommit in till Försäkringskassan har ökat från ca 49 300 under 2023 till ca 57 600 under 2024, vilket motsvarar en ökning med 16 procent (uppgifter om hur vanligt det är att upprätta planer för kvinnor respektive män saknas). Antalet inkomna planer påverkas dels av hur många planer som arbetsgivare skickar in till Försäkringskassan på eget initiativ, dels av hur många planer som Försäkringskassan begär in. Försäkringskassan bedömer att det är svårt att uttala sig om orsaken till utvecklingen eftersom det inte är obligatoriskt att lämna in en upprättad plan till Försäkringskassan.

Det arbetsplatsinriktade rehabiliteringsstödet, som syftar till att stödja arbetsgivare som anlitar expertstöd för att förebygga sjukfall och att underlätta återgång i arbete efter sjukdom, används i ökande utsträckning. Stödet omfattar insatser för att utreda, initiera, planera, genomföra och följa upp åtgärder för arbetstagarens återgång i arbete. Under 2024 har 2 146 arbetsgivare beviljats sådant bidrag. Det kan jämföras med 2023 och 2022 då 1 867 respektive 1 484 arbetsgivare beviljats bidrag. Enligt Försäkringskassan kan en del av ökningen förklaras av att myndigheten under 2023 genomförde en informationskampanj för arbetsgivare, särskilt riktad mot små och medelstora företag.

De åtgärder som har vidtagits inom arbetsmiljöområdet redovisas inom utgiftsområde 14 Arbetsmarknad och arbetsliv.

Försäkringskassan har stärkt stödet för återgång till arbete i sjukpenningärenden

Försäkringskassan påverkar sjukfrånvarons utveckling genom bl.a. den samordning och det stöd för återgång i arbete som myndigheten står för.

Försäkringskassan har i sjukpenninghandläggningen infört två nya standardiserade utredningsmoment för att klarlägga den försäkrades rehabiliteringsbehov, initial kartläggning av rehabiliteringsbehov (IKR) och fördjupad kartläggning av rehabiliteringsbehov (FKR). IKR är ett obligatoriskt handläggningsmoment som infördes 2023 och ersatte den s.k. telefonutredningen. FKR som infördes 2024 har enligt Försäkringskassan ersatt en del av avstämningsmötena. Antalet avstämningsmöten i sjukfall har minskat och tiden till ett första möte har förlängts. Försäkringskassan anger i sin årsredovisning för 2024 användandet av de nya utredningsmetoderna som förklaring. Försäkringskassan kräver inte manuell registrering av IKR med anledning av att IKR är ett obligatoriskt handläggningsmoment. Detta betyder att det inte är möjligt att jämföra antalet tidiga kontakter under 2024 med tidigare år. I en enkätundersökning som Försäkringskassan publicerade i september 2024 framgår att 93 procent av de som svarade på enkäten har pratat med en handläggare hos Försäkringskassan under sin sjukskrivning.1

1Arbetsrapport 2024:02 - Stöd tillbaka i arbete, En enkätundersökning om sjukskrivnas upplevelser av stöd från arbetsgivare, hälso- och sjukvården och Försäkringskassan, dnr FK 2022/009500.

23

Prop. 2025/26:1 Utgiftsområde 10

Försäkringskassan har under 2024 tagit fram ett stödmaterial till handläggarna för deras dialoger med arbetsgivare, i syfte att ge arbetsgivare ökad kunskap om sitt ansvar i sjukskrivningsprocessen. Ett arbete pågår även för att utveckla samverkan med arbetsgivare. Exempelvis är Försäkringskassan projektanordnare för ett socialfondsprojekt som involverar offentliga och privata arbetsgivare. Projektet syftar till att stödja arbetsgivare att hitta effektiva metoder för att främja psykisk hälsa för ett hållbart arbetsliv.

Unga med aktivitetsersättning har sällan en arbetsgivare att återgå till. Samverkan mellan Försäkringskassan och Arbetsförmedlingen är därför särskilt viktig för målgruppens möjligheter att närma sig arbete. Trots detta fortsätter antalet gemensamma kartläggningar som genomförts av myndigheterna inom ramen för deras förstärkta samarbete under 2024 att minska för målgruppen från redan låga nivåer. Under 2024 fick 1 180 av totalt 26 400 unga som uppbar aktivitetsersättning på grund av nedsatt arbetsförmåga en gemensam kartläggning, att jämföra med 2023 då 1 259 personer fick en gemensam kartläggning. För dem som får en gemensam kartläggning tar det närmare tre år innan den kommer till stånd.

Försäkringskassan påverkar sjukfrånvaron även genom sin prövning av rätten till ersättning. Försäkringskassan har under 2024 fortsatt arbetet med att förbättra kvaliteten i utredningar, bedömningar och beslut. I delar av sjukpenningens regelverk är bedömningsutrymmet stort. Det gäller särskilt då sjukfall har pågått mer än 180 dagar och bedömning ska göras av den försäkrades arbetsförmåga eller om undantagen övervägande eller särskilda skäl föreligger att skjuta upp bedömningen av arbetsförmågan mot andra arbeten på arbetsmarknaden. För att ge handläggarna stöd i bedömningarna har Försäkringskassan bl.a. utbildat sina försäkringsspecialister i juridisk metod för att de i sin tur ska kunna vara stöd till handläggarna i deras roll som rättstillämpare.

Europeiska Socialfonden+ (ESF+) ger Försäkringskassan möjlighet att bedriva och delta i projekt som syftar till att fler personer etablerar sig på eller närmar sig arbetsmarknaden, eller återgår i arbete. De målgrupper hos Försäkringskassan som fonden riktar sig till är försäkrade som på grund av sjukdom eller funktionsnedsättning har nedsatt arbetsförmåga och får sjukpenning, aktivitetsersättning eller sjukersättning, samt personer som har ansökt om och beviljats samordning av rehabiliteringsinsatser. Under 2024 har Försäkringskassan medfinansierat 13 projekt som samverkanspart och tagit del av stödet från ESF+ (S2025/00243).

Fler personer omfattas av samverkan mellan Försäkringskassan och Arbetsförmedlingen men en minskad andel återfår arbetsförmågan

Samverkan mellan Försäkringskassan och Arbetsförmedlingen syftar till att öka kvinnors och mäns förutsättningar att utveckla eller återfå arbetsförmåga och därmed kunna komma i arbete eller studier. Samarbetet bedrivs enligt gemensamma regleringsbrevsuppdrag och finansieras med medel inom anslaget 1:6 Bidrag för sjukskrivningsprocessen. Samarbetet består dels av förstärkta insatser i form av gemensam kartläggning och aktiva insatser för personer som är i sjukförsäkringen, dels av stöd till personer i övergången från sjukförsäkringen till arbetsmarknaden.

Antalet gemensamma kartläggningar är i princip oförändrat. Under 2024 genomfördes 8 886 gemensamma kartläggningar, varav 64 procent avsåg kvinnor och 36 procent män, jämfört med 8 830 gemensamma kartläggningar 2023. Antalet gemensamma kartläggningar för individer med sjukpenning har ökat, men minskat för individer med aktivitetsersättning. För såväl individer med sjukpenning som med aktivitetsersättning var det 75 procent som efter gemensam kartläggning påbörjade rehabiliteringsinsatser

24

Prop. 2025/26:1 Utgiftsområde 10

hos Arbetsförmedlingen under 2024, jämfört med 73 procent 2023. Det totala antalet individer som har återfått arbetsförmåga efter insatser inom ramen för samverkan har ökat något under 2024 jämfört med 2023. Andelen med sjukpenning som återfått arbetsförmåga har emellertid minskat från 45 procent 2023 till 38 procent 2024. För individer med aktivitetsersättning har andelen minskat från 39 procent 2023 till

29 procent 2024. En sannolik förklaring till detta är, enligt myndigheterna, att pågående insatser där individens arbetsförmåga inte utvecklats som planerat har avslutats i högre utsträckning än tidigare år.

Genom ett s.k. omställningsmöte ger myndigheterna information och stöd när det inte finns grund för ersättning från sjukförsäkringen och den enskilde därför behöver ställa om till ett annat arbete. Andelen av individerna som tackat ja till ett omställningsmöte efter ett avslag har minskat jämfört med 2023. Under 2024 var det 8,2 procent av de som inte längre fick sjukpenning och 4,6 procent av de som fick avslag på ansökan om aktivitetsersättning som deltog i ett omställningsmöte. Under 2023 var motsvarande andelar 10 respektive 7,8 procent. Myndigheterna kan utifrån tillgängliga data inte förklara minskningen i andel som deltar vid omställningsmöte efter ett avslag. Myndigheterna anser dock att det är viktigt att fortsätta arbeta utifrån det överenskomna arbetssättet, där individer ska erbjudas omställningsmöten och få stöd i att förhindra att de förlorar sin sjukpenninggrundande inkomst. (Försäkringskassan och Arbetsförmedlingen, Insatser för personer som är sjukskrivna och för unga med aktivitetsersättning, S2025/00715).

Samordnat stöd genom samordningsförbund bidrar till ökad egenförsörjning

För personer som har behov av samordnade rehabiliteringsinsatser är det möjligt för Försäkringskassan, Arbetsförmedlingen, regioner och kommuner att genom samordningsförbund finansiera sådana insatser. Vid utgången av 2024 fanns det 69 samordningsförbund som innefattade 274 av Sveriges 290 kommuner och samtliga regioner.

Under 2024 har samordningsförbunden finansierat totalt 591 insatser, varav

49 procent var individinriktade och 51 procent var strukturövergripande insatser. Totalt har 23 849 individer deltagit i de individinriktade insatserna under 2024, varav 57 procent var kvinnor och 43 procent var män. Den vanligaste insatsen är arbetslivsinriktade insatser och den näst vanligaste är förberedande insatser. Många insatser riktar sig till unga personer. De strukturövergripande insatserna avser framför allt insatser för att utveckla myndigheternas samverkan.

Försäkringskassan och Arbetsförmedlingen har ett uppdrag att arbeta för att samordningsförbunden ska prioritera att finansiera insatser för långtidssjukskrivna, unga med funktionsnedsättning och unga med aktivitetsersättning. Samordningsförbunden har under 2024 finansierat totalt 240 insatser som omfattar de prioriterade målgrupperna. Under 2024 har totalt 11 749 individer, varav 6 618 var kvinnor och 5 131 var män, deltagit i en insats som omfattar någon eller några av de prioriterade målgrupperna. Det är en ökning med 1 900 individer, varav 1 054 kvinnor och 846 män, jämfört med 2023 (Försäkringskassan och Arbetsförmedlingen, Återrapportering för uppdrag om prioriterade målgrupper samt myndigheternas ansvar i samverkan genom samordningsförbund, S2025/00720).

Inspektionen för socialförsäkringen (ISF) har på uppdrag av regeringen utvärderat samordningsförbundsfinansierade insatsers effekter på individers försörjningssituation. Enligt ISF får de personer som tar del av samordningsförbundsfinansierade insatser i form av teamverksamhet bättre möjligheter att försörja sig själva. Sådan teamverksamhet finns hos de flesta samordningsförbund. ISF

25

Prop. 2025/26:1 Utgiftsområde 10

bedömer att teaminsatserna är mer effektiva än enskilda myndigheters insatser för personer med sammansatt problematik som står långt ifrån arbetsmarknaden. Enligt ISF tyder detta på att samordnat stöd ger stora vinster för både deltagare och samhället i stort. ISF påpekar att det är betydligt färre individer än de som bedömts ha behov av samordnade rehabiliteringsinsatser som får ta del av stöd via samordningsförbunden. (ISF, Samordnat stöd leder till bättre försörjning, Rapport 2024:12, S2024/00723).

Socialstyrelsen tillgängliggör kunskap och stöd till hälso- och sjukvården i arbetet med sjukskrivning

Socialstyrelsen bidrar genom kunskapsstöd och föreskrifter till att hälso- och sjukvården och socialtjänsten bedrivs enligt vetenskap och beprövad erfarenhet. I myndighetens uppdrag ingår att stödja hälso- och sjukvårdens arbete med försäkringsmedicin och bidra till kvalitetsutvecklingen på området.

Socialstyrelsen ansvarar för det försäkringsmedicinska beslutsstödet med diagnosspecifika rekommendationer om sjukskrivningstider. I kunskapsstödet Hälso- och sjukvårdens arbete med sjukskrivning och rehabilitering – prioriterade områden för uppföljning, erbjuder Socialstyrelsen stöd för systematisk uppföljning av hälso- och sjukvårdens arbete med sjukskrivning och rehabilitering. Under 2024 har Socialstyrelsen prioriterat områden för uppföljning och uppföljningsmått som utformats i dialog med sakkunniga inom området.

Under hösten 2024 påbörjade Socialstyrelsen på uppdrag av regeringen ett arbete att stödja hälso- och sjukvården i implementeringen av rutiner för arbetet med sjukskrivning och rehabilitering på ett verksamhetsnära sätt (S2024/01779).

Regeringens åtgärder för återgång i arbete

I budgetpropositionen för 2025 tillfördes drygt 100 miljoner kronor för att förbättra stödet för återgång i arbete. Medlen har använts för att åstadkomma förbättrade arbetssätt hos myndigheterna och effektiva insatser på arbetsplatserna liksom ett starkare samarbete mellan aktörerna i sjukskrivningsprocessen med fokus på att motverka många och särskilt långa sjukskrivningar.

För att stödja åtgärderna på arbetsplatsen har regeringen utvecklat bidraget till arbetsgivare för köp av arbetsplatsinriktat rehabiliteringsstöd. Regeringen har dessutom gett Försäkringskassan i uppdrag att stärka arbetet med att följa upp arbetsgivares planer för återgång i arbete och samordningen av rehabiliteringsinsatser för långtidssjukskrivna. Av Försäkringskassans återrapportering framgår att myndigheten har uppdaterat handläggarstödet för sjukskrivnings- och rehabiliteringsärenden och utvecklat informationen till arbetsgivare. Det förväntas bl.a. bidra till fler planer av god kvalitet, färre sjukfall över två år och kortare genomsnittstid till arbetslivsinriktad åtgärd (S2025/01169).

Vidare har Försäkringskassan och Arbetsmiljöverket fått i uppdrag att utveckla sin samverkan och tillsyn av arbetsgivares arbetsmiljö- och rehabiliteringsansvar. Av myndigheternas återapportering framgår att myndigheterna har utvecklat sina rutiner för tips/anmälan från Försäkringskassan till Arbetsmiljöverket vad gäller arbetsgivare som inte fullgör sitt rehabiliterings- eller arbetsanpassningsansvar. Myndigheterna genomför också gemensamma tillsynsaktiviteter riktade mot hemtjänsten och arbetsgivare inom förskola och primärvård samt industri och bygg (S2025/01170).

Regeringen har tillskjutit permanenta medel för att Försäkringskassan ska utveckla arbetet med att utreda förutsättningarna för arbetsförberedande eller arbetslivsinriktade insatser för personer med aktivitetsersättning och sjukpenning i särskilda fall

26

Prop. 2025/26:1 Utgiftsområde 10

och initiera insatser när sådana förutsättningar finns. Försäkringskassan har redovisat åtgärder som ska leda till att fler av dessa personer ska gå ut i arbete eller studier och att färre personer som haft aktivitetsersättning uppbär sjukpenning i särskilda fall (S2025/01205).

För att undvika inlåsningseffekter är det viktigt att stödet till individen utvecklas så att arbetsförmåga, i de fall det är möjligt, kan tillvaratas i alla förvärvsarbeten på arbetsmarknaden, exempelvis i lönebidragsanställningar. Försäkringskassan har därför också fått i ett regleringsbrevsuppdrag att tillsammans med Arbetsförmedlingen vidareutveckla arbetssätt för att pröva och ta tillvara individens arbetsförmåga i förvärvsarbete på arbetsmarknaden.

Regeringen har bl.a. gett Socialstyrelsen i uppdrag att betala ut statsbidrag till regionerna för att stärka och utveckla primärvårdens arbete med psykisk ohälsa (S2025/00397). Socialstyrelsen har också, som framgår av ovan, fått i uppdrag av regeringen att stödja hälso- och sjukvården i implementeringen av rutiner för arbetet med sjukskrivning och rehabilitering på ett verksamhetsnära sätt. Åtgärderna bedöms bidra till att förbättra möjligheterna att tillhandahålla rätt vård och rehabilitering för att den som sjukskriven sa snart som det är möjligt kunna återgå i arbete.

3.7Regeringens bedömning av måluppfyllelsen

Regeringens sammantagna bedömning är att målet om en långsiktigt stabil och låg sjukfrånvaro delvis har uppfyllts under resultatåret. Sjukfrånvaron är låg, men bedöms inte vara långsiktigt stabil med hänsyn till det ökande antalet långa sjukfall, kvinnors fortsatt höga sjukfrånvaro i stressrelaterade diagnoser samt ökat inflöde till aktivitetsersättningen samtidigt som stödet för återgång i arbete till denna grupp minskar.

Under 2024 har inga dramatiska förändringar skett av den totala sjukfrånvaron. Ohälsotalet – vilket sammanfattar den sammantagna sjukfrånvaron – uppvisade en svag ökning under 2024 men är i ett historiskt perspektiv lågt.

De pågående sjukfallen vid årets slut var marginellt färre jämfört med december 2023. Det förklaras av att de kortare sjukfallen har minskat i antal. Däremot har antalet sjukfall längre än två år ökat. Att fler långa sjukfall ackumuleras över tid är en naturlig följd av undantagen övervägande och särskilda skäl som infördes 2021 respektive 2022. Sedan regeländringen om övervägande skäl infördes 2021 avslutas färre sjukfall efter omkring 180 dagar.

Vid utgången av 2024 hade över 55 000 sjukfall, mer än vart fjärde pågående sjukfall, pågått längre än två år. Inte sedan 2004 har antalet sjukfall som är längre än två år varit lika stort. Det är bekymmersamt eftersom sannolikheten att ett sjukfall ska avslutas genom en återgång till arbete minskar ju längre sjukfallet har pågått.

Då antalet startade sjukfall har varit relativt oförändrat kan utvecklingen under 2024 sammanfattas med att sjukfrånvaron gått mot en ny jämvikt vad avser fördelningen av sjukfall i olika längdklasser och att denna utveckling förväntas fortgå.

Antalet personer med sjukersättning har minskat svagt under 2024. Att antalet långa sjukfall har ökat bedöms dock kunna innebära att fler personer kommer att beviljas sjukersättning framöver.

Det kan konstateras att kvinnors sjukfrånvaro på grund av psykisk ohälsa är fortsatt hög. Drygt hälften av denna sjukfrånvaro är kopplad till stressrelaterade diagnoser. Kvinnor löper mer än dubbelt så hög risk för sjukfrånvaro på grund av stressrelaterad psykisk ohälsa jämfört med män. Könsskillnaderna förstärks av att många kvinnor

27

Prop. 2025/26:1 Utgiftsområde 10

arbetar i s.k. kontaktyrken inom vård, skola och omsorg vilka präglas av hög arbetsbelastning och inte sällan har brister i arbetsmiljön. Kvinnor tar också ett större ansvar än män för barn och hem, vilket leder till en tyngre arbetsbörda. Det verksamhetsnära stödet till hälso- och sjukvårdens arbete med sjukskrivning och rehabilitering med fokus på psykisk ohälsa, som för närvarande utvecklas av Socialstyrelsen på uppdrag av regeringen, är viktigt för att personer med stressrelaterad ohälsa eller andra psykiska besvär kan få rätt vård och behandling.

Arbetsgivaren är en central aktör när det gäller att minska den stressrelaterade sjukfrånvaron. Det finns indikationer på att arbetsgivares engagemang i anställdas sjukfrånvaro ökar. Antalet inkomna planer från arbetsgivare till Försäkringskassan fortsätter att öka och det arbetsplatsinriktade rehabiliteringsstödet används i ökande utsträckning. Det kan också konstateras att Försäkringskassan under 2024 har vidtagit insatser i syfte att förbättra dialogen med arbetsgivare och för att öka arbetsgivares kunskap om sitt ansvar i sjukskrivningsprocessen.

Försäkringskassan utvecklar sin handläggning i syfte att säkerställa att de insatser som behövs för återgång i arbete vidtas tidigt i sjukfallet. Exempelvis har Försäkringskassan infört nya handläggningsmetoder i syfte att kartlägga rehabiliteringsbehovet tidigt i ett sjukfall. Det är positivt att Försäkringskassan vidtar åtgärder som kan bidra till att sjukskrivningarna inte blir längre än vad som är nödvändigt. Det kan dock konstateras att motsvarande aktivitet saknas i arbetet inom aktivitetsersättningen. Trots ett ökande inflöde till aktivitetsersättningen har stödet för återgång i arbete från Försäkringskassan och Arbetsförmedlingen fortsatt att minska för unga med aktivitetsersättning.

3.8Politikens inriktning

Återgången till arbetsmarknaden ska underlättas

Sjukförsäkringens syfte är att ge ersättning för inkomstbortfall vid sjukdom och rehabilitering. Människor ska känna sig trygga med att det finns en sjukförsäkring som ger ekonomisk ersättning om de blir sjuka och inte kan arbeta. Samtidigt är det viktigt att regelverket inte bidrar till inlåsningseffekter, utan att utformningen motverkar onödigt många och långa sjukskrivningar. Det behöver finnas incitament både för individen och andra berörda aktörer för snabb återgång i arbete. Fokus ska vara på rehabilitering med tydligt definierade avstämningstillfällen.

Långtidssjukfrånvaron har ökat under de senaste åren. Detta gäller också den stressrelaterade sjukfrånvaron bland kvinnor. Mot bakgrund av detta har regeringen påbörjat ett arbete för att den som är sjukskriven ska få rätt hjälp att komma tillbaka i arbete. En rad åtgärder har initierats för att främja en långsiktig och hållbar utveckling som stödjer individens återgång i arbete samt minska sjukfrånvaron och skillnaderna mellan kvinnor och män. Ingen ska fastna i sjukskrivning utan i stället få hjälp tillbaka till arbete. Bland annat har utgiftsområdet tillförts nya permanenta medel och berörda myndigheter har getts flera uppdrag.

Regeringens åtgärder ska leda till förbättrade arbetssätt hos myndigheterna och effektiva insatser på arbetsplatserna liksom ett starkare samarbete mellan aktörerna i sjukskrivningsprocessen med fokus på att motverka många och särskilt långa sjukskrivningar. Mot bakgrund av att kvinnor är oftare sjukskrivna än män, bedöms åtgärderna ha positiva effekter för kvinnors sjukfrånvaro och bidra till det jämställdhetspolitiska målet om jämställd hälsa.

För att ytterligare förbättra möjligheterna för sjukskrivna att återgå i arbete avser regeringen att göra det möjligt för den som är sjukskriven att, i överenskommelse med

28

Prop. 2025/26:1 Utgiftsområde 10

arbetsgivaren, arbetspröva med bibehållen sjukpenning under en kortare period. Syftet är att sänka trösklarna för återgång i arbete. En proposition planeras att lämnas till riksdagen under hösten 2025.

Den som är sjuk men som har kapacitet att närma sig en försörjning utanför sjukförsäkringssystemet ska inte hindras av systemets utformning. Regeringen föreslår därför i denna proposition att det ska bli möjligt för den som har sjukersättning eller aktivitetsersättning att kunna studera på deltid och ha sin sjukersättning eller aktivitetsersättning partiellt vilande. Samtidigt föreslår regeringen att prövotiden för studier med aktivitetsersättning förlängs från sex till tolv månader.

Personer med varaktigt nedsatt arbetsförmåga kan få sjuk- eller aktivitetsersättning som beskattas högre än motsvarande löneinkomst. Regeringen avser att föreslå att denna skillnad i beskattning avskaffas genom en förstärkning av skattereduktionen för personer som får sjukersättning eller aktivitetsersättning.

Regeringen föreslår i denna proposition en fortsatt satsning för att stärka och utveckla den specialiserade psykiatriska vården för vuxna, se utgiftsområde 9 avsnitt 4 Folkhälsopolitik.

För att stärka den sociala tryggheten för medföljande till statsanställda m.fl. lämnas i denna proposition förslag om SGI-skydd för medföljande till statsanställda m.fl. Därmed underlättas för Försvarsmakten att bemanna de befattningar som följer av Nato-inträdet.

Sammantaget innebär regeringens politik inom området att återgången till arbetsmarknaden underlättas, vilket stärker arbetslinjen, möjliggör en egen försörjning och bidrar till att främja Sveriges tillväxt. Sjukförsäkringen ska finnas där för den som behöver den, varför åtgärder som, likt dessa, stärker legitimiteten och tilltron, behövs. Regeringen kommer att följa sjukfrånvarons utveckling noga. Skulle det behövas kommer ytterligare åtgärder att vidtas för att uppnå en väl fungerande sjukförsäkring och en stabil och låg sjukfrånvaro.

Arbetet att motverka bidragsbrott och felaktiga utbetalningar

Regeringen avser att lämna förslag om administrativa sanktioner i socialförsäkringen med ledning av förslagen i promemorian Administrativa sanktioner i socialförsäkringen (Ds 2025:8). Promemorians förslag innebär att en sanktionsavgift ska kunna ges till dem vars felaktiga ersättning krävs tillbaka och att personer kan stängas av från en socialförsäkringsförmån under en viss tid. Syftet är att bidra till att samhällets reaktion kommer snabbare och i fler fall än i dag när någon tillskansar sig ersättning felaktigt, att skydda socialförsäkringen genom att stärka dess legitimitet och att stärka förutsättningarna att förebygga brott och felaktiga utbetalningar. Regeringen föreslår även andra åtgärder för att motverka felaktiga utbetalningar från välfärdssystemen, se utgiftsområde 2, avsnitt 8).

Bidragsreform för att göra det mer lönsamt att gå från bidrag till arbete och självförsörjning

Det behöver bli mer lönsamt att gå från bidrag till arbete och egen försörjning. För att bygga ett Sverige som håller ihop måste den som riskerar ett långvarigt bidragsberoende och liv i utanförskap mötas av samhällets stöd, men också av tydliga krav på att göra det som behövs för att komma i arbete och bli en del av samhällets gemenskap. En del av regeringens arbete inom detta område är en omfattande bidragsreform. Genom bidragsreformen tar regeringen ytterligare steg med åtgärder för att stärka arbetslinjen och ta itu med det stora utanförskapet i samhället.

29

Prop. 2025/26:1 Utgiftsområde 10

Bidragsreformen som regeringen aviserar i denna proposition innehåller ett bidragstak genom en begränsning av försörjningsstödet för större hushåll, ett aktivitetskrav för biståndsmottagare, jobbpremie och kvalificering till vissa bosättningsbaserade socialförsäkringsförmåner. De nuvarande regelverken för bosättningsbaserade socialförsäkringsförmåner riskerar att fungera som en tilldragningsfaktor för migranter och kan innebära att den som kommer till Sverige inte har tillräckliga incitament för att komma i arbete och få en egen försörjning. Detta kan leda till långvarigt bidragsberoende och utanförskap.

Kraven som ställs för att kvalificera sig till den svenska välfärden behöver höjas för personer som bosätter sig i Sverige. Regeringen avser att återkomma med ett förslag avseende kvalificering till socialförsäkring enligt betänkandet Kvalificering till socialförsäkring och ekonomiskt bistånd för vissa grupper (SOU 2025:53) som ska gälla de som bosätter sig i Sverige fr.o.m. 1 januari 2027. Kvalificeringen ska gälla vissa bosättningsbaserade förmåner. Regeringen avser emellertid inte att gå vidare med de övergångsbestämmelser som utredningen föreslog som omfattade redan här i landet bosatta personer. Regeringen avser för närvarande inte heller att gå vidare med förslaget vad gäller kvalificering till ekonomiskt bistånd. Vad beträffar kvalificering och förmånen assistansersättning avser regeringen att utreda frågan vidare i syfte att assistansen ska begränsas för vissa personer som kommer till Sverige.

Övriga åtgärder

Försäkringskassan ska tillsammans med Skatteverket etablera en AI-verkstad för att ge aktörer inom den offentliga förvaltningen stöd för att använda AI, se utgiftsområde 3 avsnitt 2.8.2 och utgiftsområde 22 avsnitt 4.5.

Regeringen anser att det behöver finnas en beredskap för att kunna införa ett högkostnadsskydd för hushållen i händelse av en längre period med höga el- och gaspriser från november 2025 och hela 2026, och föreslår därför att medel avsätts för detta ändamål, se utgiftsområde 21 avsnitt 2.8.

3.9Partiellt vilande sjuk- och aktivitetsersättning vid studier

3.9.1Ärendet och dess beredning

Den dåvarande regeringen beslutade i mars 2020 att ge en särskild utredare i uppdrag att se över sjukersättningen och aktivitetsersättningen i syfte att förmånerna ska ge hög trygghet vid långvarigt nedsatt arbetsförmåga, god förutsebarhet för den enskilde och stabilitet i tillämpningen över tid. Av direktiven framgick att utredaren bl.a. skulle utreda hur regelverket när det gäller arbete, studier, bisysslor, uppdrag eller liknande under tid med sjukersättning och aktivitetsersättning kan göras mer förutsebart och enklare för både den försäkrade och Försäkringskassan (dir 2020:31).

I augusti 2021 lämnade utredningen sitt betänkande En sjukförsäkring med prevention, rehabilitering och trygghet (SOU 2021:69).

En sammanfattning av för denna proposition relevanta delar av betänkandet finns i bilaga 1, avsnitt 1. Betänkandets lagförslag i relevanta delar finns i bilaga 1, avsnitt 2. Betänkandet har remissbehandlats. En förteckning över remissinstanserna finns i bilaga 1, avsnitt 3. Remissyttrandena finns tillgängliga i Socialdepartementet (S2020/05113).

I denna proposition behandlas utredningens förslag om att det ska vara möjligt att ha sjukersättning och aktivitetsersättning partiellt vilandeförklarad under tid med studier

30

Prop. 2025/26:1 Utgiftsområde 10

samt att prövotiden för studier med bibehållen aktivitetsersättning förlängs från 6 till 12 månader.

3.9.2Gällande regelverk

Vilande sjukersättning och aktivitetsersättning vid studier

För att stimulera den enskilde att pröva sin arbetsförmåga eller studera kan den som har haft sjukersättning eller aktivitetsersättning under minst ett år pröva att arbeta eller studera under som längst tjugofyra kalendermånader utan att rätten till ersättningen går förlorad. Ersättningen är då under studie- eller arbetstiden vilandeförklarad. När en försäkrad provar att studera gäller att vilandeförklaringen ska avse hela den sjukersättning eller aktivitetsersättning som man har blivit beviljad, oavsett studiernas omfattning (prop. 2005/06:159 s. 21 och prop. 2007/08:124 s. 91). Vad som gäller vid vilande sjukersättning och aktivitetsersättning regleras huvudsakligen i 36 kap. socialförsäkringsbalken, förkortad SFB. Att ersättningen görs vilande innebär att det ursprungliga beslutet om rätten till ersättning fortfarande gäller, men att ersättningen inte betalas ut för den tid och omfattning som vilandeförklaringen avser. Reglerna om vilande ersättning omfattar dock inte personer som har sjukersättning enligt reglerna som gällde före den 1 juli 2008. Dessa personer omfattas i stället av reglerna i 37 kap. SFB.

Det är möjligt att ha ersättningen vilande i flera perioder som tillsammans uppgår till maximalt 24 månader, räknat fr.o.m. den första vilandemånaden. För att en helt ny 24- månadersperiod med vilande ersättning ska kunna påbörjas måste den försäkrade ha fått sin ersättning utbetalad i minst tolv månader sedan den tidigare perioden med vilande ersättning avslutades. Den försäkrade ska ansöka om vilande ersättning innan studierna påbörjas.

Ersättning som förklarats vilande får inte ändras med anledning av att den försäkrade under den tid och i den omfattning som anges i beslutet om vilandeförklaring uppvisar en förbättrad arbetsförmåga genom studier. Den arbetsförmåga som uppvisats under vilandeperioden får alltså inte ligga till grund för omprövning. Arbetsförmåga som uppvisats under tid med vilande aktivitetsersättning kan dock beaktas t.ex. vid en ansökan om sjukersättning eller vid en ansökan om en ny period med aktivitetsersättning.

För att finansiera sitt uppehälle under studietiden hänvisas den studerande till möjligheten att söka studiemedel. Hur mycket studiemedel som betalas ut beror bl.a. på hans eller hennes studietakt. Enligt gällande bestämmelser måste studierna dock uppgå till minst 50 procent för att studiemedel ska beviljas. En person med en funktionsnedsättning som försvårar studierna kan efter individuell prövning ges studiemedel för en högre studietakt än vad personen faktiskt studerar.

Vilande aktivitetsersättning vid studier

För att öka de ekonomiska incitamenten och tryggheten för försäkrade som har aktivitetsersättning att vilja och våga pröva på att studera finns särskilda regler om förlängning och utbetalning av förmånen efter det att den varit vilande. Aktivitetsersättning kan beviljas för en period om högst tre år. Beslut om vilandeförklaring får avse en period som är längre än den period som återstår enligt beslutet om aktivitetsersättning. Om ett beslut om vilandeförklaring avser en period som är längre än den period som återstår enligt beslutet om aktivitetsersättning och den försäkrade fortfarande studerar vid utgången av den period som beslutet om aktivitetsersättning omfattar, ska perioden med aktivitetsersättning förlängas i sin helhet med den tid som motsvarar den återstående tiden för vilandeförklaringen. När

31

Prop. 2025/26:1 Utgiftsområde 10

den enskilde inte längre studerar så har han eller hon rätt att under den beslutade vilandeperioden få tillbaka ersättningen i den ursprungliga omfattningen utan särskild prövning. Vid vilande aktivitetsersättning som sträcker sig utanför tiden för beslutet om aktivitetsersättning kan den enskilde få aktivitetsersättning efter en vilandeperiod i tre månader i den omfattning som ersättningen tidigare var förklarad vilande. Detsamma gäller för försäkrade som vid vilandeperiodens slut har mindre än tre månader kvar av aktivitetsersättning enligt ursprungsbeslutet. Den sammanlagda tiden med vilande ersättning och aktivitetsersättning efter en vilandeperiod får inte överstiga 24 månader. Ersättningen lämnas utan någon ny prövning av i vilken utsträckning arbetsförmågan är nedsatt.

Prövotid för studier med bibehållen aktivitetsersättning

Den som har fått hel eller partiell aktivitetsersättning utbetalad på grund av nedsatt arbetsförmåga kan få behålla aktivitetsersättningen under en prövotid för studier. Ersättningen måste ha betalats ut under minst tolv månader. Vad som gäller vid prövotid för studier med aktivitetsersättning regleras huvudsakligen i 36 kap. SFB. Studierna kan bedrivas på antingen hel- eller deltid under prövotiden. En sådan utbetalning av aktivitetsersättning begränsas till maximalt sex månader under hela den tid som en person kan få aktivitetsersättning, dvs. mellan 19 och 29 år. Om studierna avbryts under prövotiden eller beslutet avser kortare tid än sex månader, får Försäkringskassan senare fatta ett nytt beslut om aktivitetsersättning under prövotid. Ett sådant beslut får tillsammans med redan lämnad aktivitetsersättning under prövotid sammanlagt uppgå till högst sex månader. Personer som använt prövotid för studier och vill fortsätta studera kan sedan ansöka om vilande ersättning för studier. Har den försäkrade under en period om tolv månader före den första månad som vilandeförklaringen avser fått aktivitetsersättning under en prövotid, får ett beslut om vilandeförklaring tillsammans med prövotidsperioden uppgå till högst 24 månader.

3.9.3Sjuk- och aktivitetsersättning ska kunna förklaras partiellt vilande vid studier

Regeringens förslag

Vid studier ska sjukersättning och aktivitetsersättning förklaras vilande i en omfattning som motsvarar den omfattning i vilken studierna bedrivs. Prövotiden för studier med bibehållen aktivitetsersättning ska förlängas från 6 till 12 månader.

När en period med aktivitetsersättning förlängs motsvarande den återstående tiden av vilandeförklaringen ska, vid studier, förlängningen motsvara omfattningen av de studier som pågår vid periodens slut. När aktivitetsersättning lämnas för en period om tre månader till följd av att vilandeförklaringen har löpt ut eller att den har upphävts på den enskildes begäran, ska ersättning inte lämnas till en försäkrad till den del denne studerar.

Utredningens förslag

Utredningens förslag överensstämmer med regeringens.

Remissinstanserna

Inspektionen för socialförsäkringen (ISF), Landsorganisationen i Sverige (LO), Riksförbundet för Social och Mental Hälsa (RSMH) m.fl. tillstyrker förslaget. Arbetsförmedlingen, Göteborgs Universitet, Socialstyrelsen m.fl. är positiva. Centrala studiestödsnämnden (CSN) välkomnar förslaget samt konstaterar att det innebär att en försäkrad som beviljats sjukersättning, och som vill prova på att studera på 25 procent, kommer att ha möjlighet att få sin

32

Prop. 2025/26:1 Utgiftsområde 10

sjukersättning vilande på 25 procent. Den försäkrade kommer därmed, under studietiden, enbart att ha en inkomst i form av sjukersättning på 75 procent då studiemedel inte kan beviljas om studierna bedrivs på mindre än 50 procent. Den försäkrade får alltså en lägre inkomst än om denne avstår från studier. CSN bedömer att inkomstförlusten kan vara helt avgörande och därför begränsar den försäkrades incitament och faktiska möjligheter att prova på studier på 25 procent. Föreningen för de Neurosedynskadade (FfdN) tillstyrker delvis och är positiv till förslaget att kunna få partiellt vilande sjukersättning vid eftergymnasiala studier för personer med sjukersättning. När det gäller studier på grundskole- och gymnasienivå anser föreningen att personer i stället ska kunna studera heltid eller deltid med bibehållen sjukersättning eller aktivitetsersättning. Stockholms stad är positiv men vill understryka vikten av att vuxenutbildningen får finansiering för den ökning av andelen elever med behov av stödinsatser som förslaget om utökade möjligheter till studier enligt utredningen kommer att leda till. Lunds universitet önskar ett förtydligande över vilka typer av studier som förslaget innefattar.

Skälen för regeringens förslag

Som CSN konstaterar kan den som har beviljats hel sjukersättning eller aktivitetsersättning och studerar med ersättningen vilande på 25 procent inte få studiemedel. CSN bedömer att inkomstförlusten kan vara helt avgörande och därför begränsar den försäkrades incitament och faktiska möjligheter att prova på studier på 25 procent. Regeringen bedömer dock inte att det förhållandet att den enskilde inte kan få studiemedel är ett hinder för att föreslå en möjlighet att studera med sjukersättning eller aktivitetsersättning vilande på 25 procent. En konstruktion där partiellt vilande sjuk- och aktivitetsersättning på 25 procent förhindras är inte försvarlig och skulle dessutom göra regelverket omotiverat komplicerat. En försäkrad som överväger att studera med sjukersättning eller aktivitetsersättning helt eller partiellt vilande behöver under alla omständigheter ändå själv ta ställning i frågan om hur studierna ska finansieras.

Regeringen vill, med anledning av Lunds universitets önskan om förtydligande, lyfta fram att förslaget inte är avsett att innebära någon ändring avseende för vilka typer av studier som ersättningen kan förklaras vilande. Det har heller inte enligt utredningen framkommit skäl att ändra vilka typer av studier som omfattas. Även om det i allmänhet torde vara fråga om studier på lägst gymnasienivå finns det inte anledning att utesluta personer som önskar bedriva studier på grundläggande nivå (prop. 2005/06:159 s. 22). Regeringen anser att det också är värt att nämna att sjukersättning eller aktivitetsersättning ska förklaras vilande när den försäkrade förvärvsarbetar eller studerar med utnyttjande av en arbetsförmåga som han eller hon antogs sakna när beslutet om förmånen fattades (36 kap. 10 § SFB). Studierna ska enligt förarbetena vara av sådan karaktär och omfattning att de förutsätter utnyttjande av en arbetsförmåga som den försäkrade antogs sakna när beslutet om förmånen fattades (prop. 2005/06:159 s. 33). Det har enligt utredningen inte framkommit skäl att föreslå ändringar i denna ordning. Vad gäller synpunkten från Föreningen för de Neurosedynskadade (FfdN) att personer i stället ska kunna studera heltid eller deltid på grundskole- och gymnasienivå med bibehållen ersättning vill regeringen peka på den möjlighet som finns till studier utan att ersättningen ska förklaras vilande. Det gäller sådana studier som inte är av sådan karaktär och omfattning att de förutsätter utnyttjande av en arbetsförmåga som den försäkrade antogs sakna när beslutet om förmånen fattades. Vilande ersättning är aktuellt först när studierna är av en sådan karaktär och omfattning att de förutsätter en arbetsförmåga som den försäkrade antogs sakna när beslutet om förmånen fattades. Samtidigt som det är viktigt att underlätta studier för personer som har beviljats sjukersättning och aktivitetsersättning

33

Prop. 2025/26:1 Utgiftsområde 10

är det enligt regeringen av legitimitetsskäl viktigt att regelverket är återhållsamt när det gäller möjligheten att uppvisa arbetsförmåga utan att rätten till ersättning påverkas. Stockholms stad nämner konsekvenser för utbildningsanordnare. Mot bakgrund av att förslagen inte bedöms innebära någon större ökning av antalet personer som studerar med vilande sjukersättning eller aktivitetsersättning, eller väljer prövotid för studier, bedöms konsekvenserna för utbildningsanordnare vara marginella.

Enligt regeringens mening behöver försäkrade som har haft aktivitetsersättning på grund av nedsatt arbetsförmåga i minst tolv månader få längre tid för att prova sig fram till en hållbar studiesituation utan att ersättningen påverkas. Efter prövotiden kan den försäkrade ansöka om vilande ersättning för studier. Regeringen föreslår därför att prövotiden för studier med bibehållen aktivitetsersättning förlängs från 6 till 12 månader. Begränsningen till maximalt tolv månaders prövotid för studier gäller för hela den tid som en person kan få aktivitetsersättning, dvs. mellan 19 och 29 år. Den sammanlagda tiden med prövotid för studier respektive vilande aktivitetsersättning är oförändrat 24 månader.

Regeringen föreslår även två följdändringar med hänsyn till förslaget om partiellt vilande sjuk- och aktivitetsersättning vid deltidsstudier. Det gäller justeringar i vissa bestämmelser om förlängning av aktivitetsersättning under tid för vilandeförklaring och aktivitetsersättning efter tid för vilandeförklaring. Om en vilandeförklaring sträcker sig längre än den period som återstår enligt beslutet om aktivitetsersättning och den försäkrade fortfarande förvärvsarbetar eller studerar vid utgången av den period som beslutet om aktivitetsersättning omfattar, ska perioden med aktivitetsersättning enligt nuvarande bestämmelser förlängas med den tid som motsvarar den återstående tiden för vilandeförklaringen. I fråga om förvärvsarbete får förlängningen endast avse den del av arbetsförmågan som fortfarande används för förvärvsarbete. Vid studier ska enligt nuvarande bestämmelser alltid aktivitetsersättningen förlängas i sin helhet. Regeringen föreslår att aktivitetsersättningen i stället ska förlängas i en omfattning som motsvarar de studier som vid periodens slut pågår. Skälet är att när aktivitetsersättning kan vara partiellt vilande för studier behöver också en förlängning av perioden med aktivitetsersättning till följd av vilandeförklaringen kunna vara partiell. Därmed uppnås likformighet med motsvarande bestämmelse i fråga om vilande aktivitetsersättning vid förvärvsarbete. Annars skulle den som studerar med partiellt vilande aktivitetsersättning kunna bli överkompenserad.

När tiden för ett beslut om vilandeförklaring av aktivitetsersättning har löpt ut, eller beslutet har upphävts på den enskildes begäran, lämnas enligt nuvarande bestämmelser – när så är tillämpligt – aktivitetsersättning för en period om tre månader i den omfattning som ersättningen tidigare var förklarad vilande. Ersättningen lämnas utan någon ny prövning av i vilken utsträckning arbetsförmågan är nedsatt. Ersättningen lämnas inte till en försäkrad till den del hon eller han förvärvsarbetar. Ersättning lämnas inte heller till en försäkrad som studerar. Regeringen föreslår att ersättning inte ska lämnas till en försäkrad till den del hon eller han studerar när aktivitetsersättning lämnas för en period om tre månader till följd av att vilandeförklaringen har löpt ut eller att den har upphävts på den enskildes begäran. Skälet är att när aktivitetsersättning kan vara partiellt vilande för studier behöver också begränsningen av ersättning när aktivitetsersättning lämnas för en period om tre månader till följd av att vilandeförklaringen har löpt ut eller har upphävts anpassas. Därmed uppnås likformighet med motsvarande bestämmelse i fråga om vilande aktivitetsersättning vid förvärvsarbete. Annars skulle den som studerar med partiellt vilande aktivitetsersättning i denna situation inte kunna få ersättning på motsvarande sätt som den som arbetar med partiellt vilande aktivitetsersättning.

34

Prop. 2025/26:1 Utgiftsområde 10

3.9.4Ikraftträdande- och övergångsbestämmelser

Regeringens förslag

Lagändringen ska träda i kraft den 1 juni 2026. Bestämmelserna i den nya lydelsen ska tillämpas första gången för tid efter den 30 juni 2026.

Utredningens förslag

Utredningens förslag överensstämmer delvis med regeringens. Utredningen föreslår ett ikraftträdandedatum som redan har passerat.

Remissinstanserna

När det gäller förslagen om arbete, studier, uppdrag med m.m. under tid med ersättning anför Försäkringskassan att det krävs omfattande utveckling av it-system. Myndigheten bedömer att det krävs 18 månader mellan beslut om ny lagstiftning och ikraftträdande för att myndigheten ska kunna implementera de föreslagna förändringarna. I övrigt lämnar inga remissinstanser synpunkter på ikraftträdandet eller övergångsbestämmelserna i nu aktuella delar.

Skälen för regeringens förslag

Det aktuella förslaget är mycket begränsat i jämförelse med alla de övriga förslag om arbete, studier m.m. under tid med ersättning som lämnades i betänkandet. Behovet av utveckling av it-stöd är därför begränsat. Införandekostnaderna för Försäkringskassan bedöms uppgå till tre miljoner kronor. Dessa inkluderar uppdatering av styrande och stödjande dokument m.m. samt utveckling av it-stödet. Lagändringen bör träda i kraft så snart som möjligt eftersom det är angeläget att personer med sjuk- och aktivitetsersättning så snabbt som möjligt kan studera med ersättningen partiellt vilande. Det är också angeläget att den förlängda prövotiden för studier med aktivitetsersättning kan träda i kraft så snart som möjligt. Detta ligger både i de berörda individernas och i det allmännas intresse. Mot bakgrund av detta bedömer regeringen att ändringarna lämpligen bör kunna tillämpas för tid fr.o.m. den 1 juli 2026. För att Försäkringskassan ska kunna fatta beslut innan den tidpunkt som ett beslut om vilande ersättning eller prövotid gäller bör lagen dock träda i kraft den 1 juni 2026 men tillämpas för tid fr.o.m. den 1 juli 2026.

3.9.5Konsekvenser

Den enskilde

Förslagen innebär att den enskilde vid studier kan ha sin sjukersättning eller aktivitetsersättning partiellt vilande samt att den person som uppbär aktivitetsersättning kan få behålla aktivitetsersättningen under en prövotid för studier i 12 månader i stället för 6 månader. Genom förslagen underlättas situationen för personer med sjuk- eller aktivitetsersättning att studera och därmed närma sig arbete och egenförsörjning. Förslagen innebär även att det blir möjligt att ha sjukersättningen eller aktivitetsersättningen partiellt vilande för studier på motsvarande sätt som det enligt dagens regler är möjligt att ha förmånerna partiellt vilande för förvärvsarbete. Antalet försäkrade som studerar med vilande sjuk- och aktivitetsersättning bedöms preliminärt öka med ca 300 personer per år. Antalet försäkrade som använder prövotid för studier med aktivitetsersättning bedöms preliminärt också öka med ca 300 personer per år. Enligt utredningen är drygt 60 procent av dem som har vilande sjukersättning kvinnor. Omkring 60 procent av dem som har vilande aktivitetsersättning är män och ca 40 procent kvinnor. Omkring 60 procent av dem

35

Prop. 2025/26:1 Utgiftsområde 10

som har använt prövotid för studier är kvinnor och 40 procent är män. Fördelningen bedöms bli densamma bland dem som tillkommer med förslagen.

Myndigheter

Förslagen bedöms få marginella administrativa konsekvenser för Centrala studiestödsnämnden. Försäkringskassans handläggningskostnader bedöms öka med fyra miljoner kronor per år på grund av fler ansökningar om vilande sjuk- eller aktivitetsersättning och prövotid för studier med aktivitetsersättning. År 2026 bedöms handläggningskostnaderna öka med två miljoner kronor. Införandekostnaderna samma år bedöms uppgå till tre miljoner kronor. Dessa kostnader inkluderar uppdatering av styrande och stödjande dokument m.m. samt utveckling av it-stöd.

Kommuner

Mot bakgrund av att förslagen inte bedöms innebära någon större ökning av antalet personer som studerar med vilande sjukersättning eller aktivitetsersättning, eller väljer prövotid för studier, bedöms konsekvenserna för utbildningsanordnare vara marginella.

Domstolarna

Förslagen bedöms inte få några konsekvenser för domstolarna.

Konsekvenser för statsbudgeten

Vid tiden för utredningen var det 500 personer som hade prövotid för studier, 1 700 personer som hade vilande aktivitetsersättning på grund av studier och 100 personer som hade vilande sjukersättning på grund av studier.

Förslagen innebär något minskade utgifter inom sjukförsäkringen och något ökade utgifter från studiemedelssystemet. Förslaget om partiellt vilande sjukersättning och aktivitetsersättning vid studier bedöms preliminärt innebära att ytterligare 300 personer per år studerar halvtid med vilande sjukersättning eller aktivitetsersättning. Det innebär ökade utgifter för studiemedel med 15 miljoner kronor per år. Samtidigt beräknas utgifterna för sjukersättning och aktivitetsersättning minska med 22,5 miljoner kronor per år. Förlängd prövotid för studier med aktivitetsersättning bedöms inte påverka utgifterna nämnvärt för aktivitetsersättning. Antalet personer som använder prövotid för studier med aktivitetsersättning bedöms preliminärt öka med ca 300 per år.

Övriga konsekvenser

Förslaget bedöms inte ha några konsekvenser för företagen, arbetsgivare, barnens situation, de integrationspolitiska målen, Sveriges internationella åtaganden, brottsligheten eller miljön.

3.9.6Författningskommentar

Förslaget till lag om ändring i Socialförsäkringsbalken 36 kap.

9 a §

Paragrafen innehåller bestämmelser om att en försäkrad som har aktivitetsersättning under en prövotid får studera utan att ersättningen minskas. Övervägandena finns i avsnitt 3.9.3.

36

Prop. 2025/26:1 Utgiftsområde 10

Ändringen i andra stycket innebär att aktivitetsersättning under prövotid kan betalas ut under sammanlagt högst tolv månader.

Ändringen i tredje stycket innebär att om studierna avbryts eller Försäkringskassans beslut avser kortare tid än tolv månader får myndigheten senare fatta ett nytt beslut om aktivitetsersättning under prövotid. Ett sådant beslut får dock tillsammans med redan lämnad aktivitetsersättning under prövotid sammanlagt uppgå till högst tolv månader.

12 §

Paragrafen reglerar hur stor del av sjukersättningen eller aktivitetsersättningen som får förklaras vilande vid förvärvsarbete respektive studier. Övervägandena finns i avsnitt 3.9.3.

Ändringen innebär att Försäkringskassan vid vilandeförklaring vid studier ska beakta omfattningen av de studier som den försäkrade avser att bedriva. Av hänvisningen till 33 kap. 9 § följer att ersättningen kan förklaras vilande i sin helhet, till tre fjärdedelar, till hälften eller till en fjärdedel.

15 b §

Paragrafen innehåller bestämmelser om förlängning av en period med aktivitetsersättning när ersättningen förklarats vilande och den försäkrade fortfarande arbetar eller studerar vid utgången av den period som beslutet om aktivitetsersättning omfattar. Övervägandena finns i avsnitt 3.9.3.

Ändringen innebär att om vilandeförklaringen avser studier så ska perioden med aktivitetsersättning förlängas i den omfattning som motsvarar omfattningen av de studier som pågår vid utgången av den period som beslutet om aktivitetsersättning omfattar.

18 a §

Paragrafen innehåller bestämmelser om att när tiden för ett beslut om vilandeförklaring av aktivitetsersättning har löpt ut eller beslutet har upphävts på den försäkrades begäran så lämnas aktivitetsersättning för en period om tre månader i den omfattning som ersättningen tidigare var förklarad vilande. Övervägandena finns i avsnitt 3.9.3.

Ändringen innebär att ersättningen, i fråga om en försäkrad som studerar, inte lämnas till den del som han eller hon studerar.

Ikraftträdande- och övergångsbestämmelser

Övervägandena finns i avsnitt 3.9.4.

I första punkten anges att lagen träder i kraft den 1 juni 2026.

Av andra punkten följer att ändringarna tillämpas första gången för tid efter den 30 juni 2026. Det innebär att Försäkringskassan redan under juni 2026 kan fatta beslut om prövotid och vilandeförklaringen enligt bestämmelserna i deras nya lydelser för tid fr.o.m. den 1 juli 2026.

37

Prop. 2025/26:1 Utgiftsområde 10

3.10SGI-skydd för medföljande till statsanställda med flera

3.10.1Ärendet och dess beredning

Den dåvarande regeringen beslutade den 17 juli 2014 att ge en särskild utredare i uppdrag att se över försäkringsvillkoren i de svenska sociala trygghetssystemen och deras tillämpning utifrån de nya förutsättningar som globaliseringen ger i en unionsrättslig och internationell kontext (dir. 2014:109). Utredningen överlämnade i januari 2017 betänkandet Svensk social trygghet i en globaliserad värld (SOU 2017:05). I betänkandet föreslås att medföljande make eller maka till biståndsarbetare m.fl. under vissa förutsättningar ska omfattas av samma regler för efterskyddstid som biståndsarbetaren själv, vilket medför att han eller hon kan återfå en SGI efter utlandsvistelsen enligt 26 kap. 24 § SFB. För medföljande till statligt utsända arbetstagare föreslås motsvarande regler som för medföljande till biståndsarbetare m.fl. gällande efterskyddstid, SGI-skydd och särskilda villkor för föräldrapenning på sjukpenningnivå.

En sammanfattning av betänkandet finns i bilaga 2, avsnitt 1. Betänkandets lagförslag i nu relevanta delar finns i bilaga 2, avsnitt 2. Betänkandet har remissbehandlats. En förteckning över remissinstanserna finns i bilaga 2, avsnitt 3. Remissyttrandena finns tillgängliga i Socialdepartementet (S2017/00606).

Den dåvarande regeringen beslutade den 20 oktober 2021 att ge en särskild utredare i uppdrag att se över regelverket för sjukpenninggrundande inkomst (SGI) för ökad trygghet och förutsebarhet (dir. 2021:90). I uppdraget ingick att analysera behovet av att utöka skyddet av SGI:n för bl.a. utsända och för medföljande. Utredningen överlämnade i juni 2023 betänkandet Ett trygghetssystem för alla – Nytt regelverk för sjukpenninggrundande inkomst (SOU 2023:30). I betänkandet föreslås bl.a. en regel som innebär att medföljande familjemedlemmar till någon av de personkategorier som avses i 5 kap. 4–7 §§ socialförsäkringsbalken, förkortad SFB, som på samma sätt som biståndsarbetare m.fl. har ansetts bosatta i Sverige under utlandsvistelse, under vissa förutsättningar vid återkomsten till Sverige återfår sin ställning som försäkrad för arbetsbaserade förmåner. Utredningen föreslår också att samma kategori medföljande familjemedlemmar ska kunna återfå en SGI vid återkomsten till Sverige (i betänkandet benämnd återställningsinkomst).

En sammanfattning av betänkandet finns i bilaga 2, avsnitt 4. Betänkandets lagförslag i nu relevanta delar finns i bilaga 2, avsnitt 5. Betänkandet har remissbehandlats. En förteckning över remissinstanserna finns i bilaga 2, avsnitt 6. Remissyttrandena finns tillgängliga i Socialdepartementet (S2023/02066).

I denna proposition behandlas betänkandenas förslag om att medföljande till biståndsarbetare m.fl. och till statsanställda under vissa förutsättningar återfår sin sjukpenninggrundande inkomst. Förslaget om motsvarande särskilda villkor för medföljande till statsanställda i fråga om föräldrapenning på sjukpenningnivå som för biståndsarbetare m.fl. och deras medföljande i SOU 2017:05 behandlas också.

3.10.2Gällande regelverk

Att vara försäkrad för arbetsbaserade förmåner är ett villkor för att en sjukpenninggrundande inkomst ska kunna fastställas

Socialförsäkringsbalken innehåller bestämmelser som reglerar hur SGI:n ska bestämmas, behållas och beräknas i olika situationer. Som huvudregel gäller att en SGI fastställs om de grundläggande kraven i 25 kap. 2 och 3 §§ SFB är uppfyllda. För det krävs att personen är försäkrad för arbetsbaserade förmåner enligt bestämmelserna i 4

38

Prop. 2025/26:1 Utgiftsområde 10

och 6 kap. SFB och har en årlig inkomst från arbete i Sverige som kan antas vara i minst sex månader i följd eller vara årligen återkommande samt uppgå till minst 24 procent av prisbasbeloppet.

Om något av dessa krav inte länge föreligger för någon som har en SGI så ska SGI:n upphöra. En försäkrad som gör ett avbrott i sitt förvärvsarbete får dock ha kvar sin SGI i tre månader (efterskyddstid) även om avbrottet är tänkt att vara längre (26 kap. 18 § SFB).

Samordning av sociala trygghetssystem i EU/EES

Europaparlamentets och rådets förordning (EG) nr 883/2004 av den 29 april 2004 om samordning av de sociala trygghetssystemen (förordning nr 883/2004) reglerar samordning av de sociala trygghetssystemen. Reglerna tillämpas också av Schweiz och övriga länder inom det Europeiska ekonomiska samarbetsområdet (EES), dvs. Island, Liechtenstein och Norge. Huvudregeln är att personer som rör sig över gränserna inom EU eller EES omfattas av det sociala trygghetssystemet i det land där personen arbetar. Det finns dock ett antal undantag från huvudregeln, bl.a. när det gäller personer som är offentligt anställda. De ska i stället omfattas av lagstiftningen i den medlemsstat till vilken den förvaltning som sysselsätter dem hör (artikel 11.3 b förordning nr 883/2004). Det finns ingen tidsgräns för hur länge arbetet i det aktuella landet kan pågå. I Sverige räknas anställda i staten, regionerna och kommunerna som offentligt anställda.

Medföljande till den utsända personen bedöms självständigt i fråga om vilket trygghetssystem han eller hon omfattas av. Om den medföljande börjar arbeta i det andra medlemslandet är det vanligtvis huvudregeln om arbetslandets lagstiftning som är tillämplig. Om personen inte börjar arbeta i det andra medlemslandet ska personen som regel omfattas av bosättningslandets lagstiftning. En sammanvägd bedömning ska göras utifrån olika faktorer där ingen enskild omständighet är avgörande (exempelvis vistelsens varaktighet, personens familjesituation och bostadsförhållanden).

När förordningen är tillämplig ska arbete i ett annat land inom EU/EES eller i Schweiz under vissa förutsättningar jämställas med arbete i Sverige, när bestämmelserna om SGI tillämpas.

Medföljande familjemedlemmar saknar efterskydd för den arbetsbaserade försäkringen vid återkomsten till Sverige

Tillhörigheten till den arbetsbaserade försäkringen upphör som huvudregel tre månader efter den dag då arbetet har upphört av någon annan anledning än ledighet för semester, ferier eller motsvarande uppehåll. Denna s.k. efterskyddstid regleras i 6 kap. 8 § andra stycket SFB. För biståndsarbetare m.fl. som avses i 5 kap. 6 § SFB och som på grund av utlandsarbete inte omfattas av den arbetsbaserade försäkringen gäller särskilda regler vid återkomsten till Sverige. Enligt 6 kap. 12 § SFB börjar efterskyddstiden löpa först efter återkomsten till Sverige, om utlandstjänstgöringen har varat längst fem år.

Medföljande familjemedlemmar till personer som är utsända av en statlig arbetsgivare eller till sådana biståndsarbetare m.fl. som avses i 5 kap. 6 § kvarstår vid en utlandsvistelse i den arbetsbaserade försäkringen i tre månader enligt bestämmelsen om efterskyddstid i 6 kap. 12 § andra stycket SFB om de medföljande personerna inte själva är utsända eller har fortsatta inkomster av eget arbete i Sverige. Det är alltså endast biståndsarbetare m.fl. som på visst sätt har ansetts fortsatt bosatta i Sverige under utlandsvistelsen och därmed har ett efterskydd för den arbetsbaserade försäkringen vid återkomsten till Sverige.

39

Prop. 2025/26:1 Utgiftsområde 10

Biståndsarbetare m.fl. kan återfå en SGI efter utlandsvistelse, men inte deras medföljande

Det är också endast biståndsarbetare m.fl. som i praktiken kan återfå en SGI efter utlandsvistelse. För sådana personer som enligt 5 kap. 6 och 8 §§ SFB anses bosatta i Sverige även under vistelse utomlands, ska SGI:n nämligen vid återkomsten till Sverige motsvara lägst det belopp som utgjorde deras SGI omedelbart före utlandsresan (26 kap. 24 § SFB). En förutsättning för att bestämmelsen ska vara tillämplig är att personen omfattas av den arbetsbaserade försäkringen vid återkomsten till Sverige vilket biståndsarbetare enligt vad som anges ovan kan vara eftersom efterskyddstiden i den arbetsbaserade försäkringen börjar löpa vid återkomsten till landet.

Av förarbetena till 26 kap. 24 § SFB framgår att den endast omfattar biståndsarbetare m.fl. och deras medföljande men däremot inte medföljande till statsanställda eller till utlandsstuderande. År 1993 infördes i den numera upphävda lagen (1962:381) om allmän försäkring, förkortad AFL, en bestämmelse – 3 kap. 5 b § – som innebar att för en försäkrad som av Svenska kyrkan, ett svenskt trossamfund, ett organ som är knutet till ett sådant samfund eller en svensk ideell organisation som bedriver biståndsverksamhet, varit sänd till ett annat land för arbete för arbetsgivarens räkning, skulle SGI:n vid återkomsten till Sverige fastställas till lägst det belopp som utgjorde hans eller hennes SGI omedelbart före utlandsresan, om utlandsvistelsen varat högst tre år. Bestämmelsen gällde även den medföljande maken eller därmed jämförbar sambo (prop. 1992/93:178 s. 37, 38 och 56). Genom införandet av den numera upphävda socialförsäkringslagen (1999:799), förkortad SofL, delades socialförsäkringen in i en bosättningsbaserad försäkring och en arbetsbaserad försäkring. I lagen reglerades också personkretsen för de båda försäkringsgrenarna. Bland annat reglerades att utsända biståndsarbetare m.fl. skulle anses bosatta i landet (2 kap. 4 § SofL) och att motsvarande skulle gälla för medföljande familjemedlemmar (2 kap. 6 § SofL). I och med detta ändrades 3 kap. 5 b § AFL på så sätt att den personkrets som omfattades av den paragrafen skulle vara sådana personer som enligt 2 kap. 4 och 6 §§ SofL anses bosatta i Sverige under utlandsvistelsen. Av förarbetena följer att någon saklig ändring inte avsågs, utan att SGI-bestämmelsen syftade på biståndsarbetare m.fl. och deras familjemedlemmar (prop. 1998/99:119, s. 133–138 och 197). Vid införandet av socialförsäkringsbalken överfördes bestämmelsen till balken (26 kap. 24 § SFB) där det hänvisas till 5 kap. 6 och 8 §§ SFB. Dessa paragrafer motsvarar 2 kap. 4 och 6 §§ SofL. Inte heller av förarbetena till socialförsäkringsbalken framgår att paragrafen skulle utsträckas till att gälla några andra än biståndsarbetare m.fl. och deras medföljande familjemedlemmar.

I fråga om bestämmelsen om efterskyddstid för biståndsarbetare m.fl. i 6 kap. 12 § SFB noterade regeringen vid införandet av SFB att den bestämmelsen om efterskyddstid inte gäller för medföljande familjemedlemmar (prop. 2008/09:200 s. 409).

40

Prop. 2025/26:1 Utgiftsområde 10

3.10.3Medföljande till statsanställda m.fl. ska vid återkomsten kunna få motsvarande SGI som omedelbart före utresan

Regeringens förslag

Efterskyddstiden för den arbetsbaserade försäkringen ska börja löpa efter återkomsten till Sverige för medföljande familjemedlemmar till statligt anställda och till biståndsarbetare m.fl., som har ansetts bosatta i Sverige under utlandsvistelsen när den har antagits vara längre än ett år. En efterskyddstid ska börja löpa enbart om den medföljande återvänder till Sverige omedelbart efter det att utlandsvistelsen har upphört. Vid återkomsten till Sverige ska den sjukpenninggrundande inkomsten för medföljande till statligt anställda motsvara lägst det belopp som utgjorde deras sjukpenninggrundande inkomst omedelbart före utlandsresan.

Regeringens bedömning

De föreslagna bestämmelserna om efterskyddstid och om rätten att återfå den sjukpenninggrundande inkomsten efter återkomsten till Sverige bör inte gälla för medföljande familjemedlemmar till utlandsstuderande.

Utredningens förslag

Utredningens förslag (SOU 2023:30) överensstämmer delvis med regeringens. När det gäller medföljande familjemedlemmar till utlandsstuderande föreslår utredningen att efterskyddstiden för den arbetsbaserade försäkringen bör börja löpa efter återkomsten till Sverige och att den sjukpenninggrundade inkomsten efter återkomsten för dessa personer bör motsvara lägst det belopp som utgjorde deras SGI omedelbart före utresan. Utredningens förslag har en annan lagteknisk utformning.

Remissinstanserna

Majoriteten av de remissinstanser som har yttrat sig över förslaget är positiva, däribland Saco, Arbetsgivarverket och Försvarsmakten. Försvarsmakten påpekar att flera av myndighetens utsändningar är strax under ett år och anser att medföljande i dessa fall är i samma behov av efterskydd vid återkomsten till Sverige. Svenskar i Världen anser att skyddet bör omfatta svenskar som blir utsända på uppdrag av ett bolag och deras medföljande. Möjligheten att återfå en SGI bör enligt dem även gälla s.k. freemovers som väljer att arbeta utomlands under en period. Svenskt Näringsliv avstyrker förslaget och anser att det bör övervägas om det särskilda efterskyddet ska gälla alla utsända arbetstagare och deras medföljande familjemedlemmar, inte endast statsanställda och biståndsarbetare och deras familjemedlemmar, då det skulle innebära bättre förutsättningar för företagen att verka och konkurrera internationellt.

Skälen för regeringens förslag och bedömning

I och med Sveriges inträde i Nato kommer Försvarsmakten i högre grad än tidigare att bemanna befattningar vid bl.a. internationella staber. Försvarsmaktens anställda har också en internationell arbetsskyldighet. Enligt regeringens mening är det angeläget att få ett regelverk på plats, som underlättar för Försvarsmakten att bemanna de befattningar som följer av Nato-inträdet. Där är medföljandes socialförsäkringsskydd vid återkomsten till Sverige en viktig fråga.

Regeringen anser att det ligger i Sveriges intresse att konsekvenserna avseende social trygghet blir mindre kännbara än i dag för medföljande till utsända statsanställda. Som redovisats ovan lämnades redan i betänkandet Svensk social trygghet i en globaliserad

41

Prop. 2025/26:1 Utgiftsområde 10

värld (SOU 2017:05) förslag om att efterskyddstiden för medföljande familjemedlemmar till biståndsarbetare m.fl. och till utsända statsanställda skulle börja löpa efter återkomsten till Sverige och att möjligheten att återfå sin SGI vid återkomsten till Sverige även skulle utökas till att gälla för familjemedlemmar till utsända statsanställda. Enligt vad som anförs i betänkandet avbryter vid utsändning av en statligt anställd ofta den medföljande sin anställning för att följa med till stationeringsorten. Medföljande som inte arbetar för en svensk arbetsgivare under utsändningen förlorar då sin SGI efter tre månader, vilket innebär att de vid hemkomsten saknar rätt till arbetsbaserade förmåner om de inte återupptagit arbetet eller återvänt inom efterskyddstiden (SOU 2017:5 s. 571).

Regeringen föreslår därför att efterskyddstiden för arbetsbaserade förmåner ska börja löpa först vid återkomsten till Sverige för medföljande familjemedlemmar till statligt anställda och biståndsarbetare m.fl., som har ansetts bosatta i Sverige under utlandsvistelsen som har antagits pågå längre än ett år. Vid återkomsten till Sverige bör också SGI:n för medföljande till statligt anställda motsvara lägst det belopp som utgjorde deras SGI omedelbart före utresan. Med medföljande familjemedlemmar avses enligt 5 kap. 8 § SFB medföljande make samt barn som inte har fyllt 18 år. Med make likställs den som utan att vara gift med den utsände lever tillsammans med denne, om de tidigare har varit gifta eller gemensamt har eller har haft barn. Med biståndsarbetare m.fl. avses en i Sverige bosatt person som lämnar landet för arbete för arbetsgivarens räkning och är anställd av en svensk ideell organisation som bedriver biståndsverksamhet, eller ett svenskt trossamfund eller ett organ som är knutet till ett sådant samfund (5 kap. 6 § SFB).

Vad gäller Försvarsmaktens synpunkt om utsändning som varar kortare än ett år konstaterar regeringen att detta lagstiftningsärende endast gäller medföljande som uppfyller kraven i befintliga undantagsbestämmelser i fråga om försäkringstillhörighet för medföljande, i Försvarsmaktens fall medföljande till statsanställda. Ett SGI-skydd som är knutet till undantagsbestämmelser om bosättning finns redan för biståndsarbetare m.fl. Det är angeläget att så snart som möjlighet få ett regelverk på plats, som underlättar för Försvarsmakten att bemanna majoriteten av utsändningarna. Huvudregeln i fråga om efterskydd för den arbetsbaserade försäkringen är att tillhörigheten upphör tre månader efter den dag då arbetet har upphört av någon annan anledning än ledighet för semester, ferier eller motsvarande uppehåll. Ett efterskydd och SGI-skydd vid utlandsvistelse som kan antas vara längre än tre månader men upp till ett år är en komplicerad fråga som kräver ytterligare utredningsarbete för att kunna övervägas.

Medföljande till biståndsarbetare m.fl. bör enligt regeringen också omfattas av förslaget att efterskyddstiden kan börja löpa efter återkomsten. Ett viktigt skäl till detta är att gruppen redan i dag omfattas av den SGI-skyddsbestämmelse enligt vilken SGI för den som på visst sätt har ansetts bosatt i Sverige under utlandsvistelse ska motsvara lägst det belopp som utgjorde deras SGI omedelbart före utresan (26 kap.

24 § SFB).

Vad gäller remissynpunkterna från Svenskar i Världen och Svenskt Näringsliv om villkoren för andra grupper, så som arbetstagare i privata företag, konstaterar regeringen att detta lagstiftningsärende endast gäller sådana personkategorier för vilka det redan i dag finns särskilda bestämmelser om försäkringstillhörighet, dvs. i detta sammanhang medföljande till biståndsarbetare m.fl. och medföljande till statsanställda.

Det ligger i sakens natur att efterskyddstiden ska börja löpa enbart om en medföljande familjemedlem återvänder till Sverige inom eller direkt efter den tid under vilken hans eller hennes utsända familjemedlem anses vara bosatt i Sverige enligt undantagsbestämmelserna i 5 kap. 4–7 §§ SFB. Regeringen föreslår därför att en

42

Prop. 2025/26:1 Utgiftsområde 10

efterskyddstid ska börja löpa enbart om den medföljande återvänder till Sverige omedelbart efter det att utlandsvistelsen har upphört. För medföljande till biståndsarbetare m.fl. innebär förslaget att utlandsvistelsen antagits vara längst fem år. För medföljande till statsanställda finns ingen sådan bortre tidsgräns. Att den medföljande återvänder till Sverige innebär att han eller hon anses bosatt i Sverige enligt huvudregeln.

Regeringen anser att de föreslagna bestämmelserna avseende efterskyddstid respektive avseende rätten att återfå SGI:n efter återkomsten till Sverige inte bör gälla för medföljande familjemedlemmar till utlandsstuderande. Det har inte framkommit något som tyder på att efterskydd för den arbetsbaserade försäkringen och möjlighet att återfå en SGI är ett problem för medföljande till utlandsstuderande. Vidare torde endast ett fåtal personer vara berörda. Det finns i betänkandet Ett trygghetssystem för alla (SOU 2023:30) inga argument för varför ett sådant förslag skulle behövas. Det har heller inte tidigare varit lagstiftarens intention att medföljande till utlandsstuderande ska omfattas av möjligheten att återfå en SGI efter utlandsvistelsen

3.10.4Undantaget från 240-dagarsvillkoret i föräldrapenningen ska också gälla medföljande till statsanställda

Regeringens förslag

Vid fastställande av 240-dagarsvillkoret i föräldrapenningen ska det för medföljande familjemedlemmar till utsända statligt anställda bortses från tiden för utlandsvistelsen.

Utredningens förslag

Utredningens förslag (SOU 2017:5) överensstämmer med regeringens.

Remissinstanserna

Remissinstanserna lämnar inga specifika synpunkter på förslaget om undantag från 240-dagarsvillkoret.

Skälen för regeringens förslag

Det s.k. 240-dagarsvillkoret innebär att föräldern ska ha varit försäkrad för sjukpenning enligt 6 kap. 3 § SFB under minst 240 dagar i följd före barnets födelse eller den beräknade tidpunkten för födelsen, och under hela den tiden skulle ha haft rätt till sjukpenning som överstiger lägstanivån för föräldrapenning (180 kronor om dagen). Om villkoret uppfylls har föräldern rätt till föräldrapenning i enlighet med sin SGI under de första 180 dagarna som används för barnet. Om villkoret inte uppfylls kan föräldern få ersättning på grundnivå med 250 kronor om dagen. För biståndsarbetare m.fl. och deras medföljande, som anses bosatta i Sverige under utlandsvistelse enligt 5 kap. 6 och 8 §§, bortses i dag från tiden för utlandsvistelsen vid fastställande av 240-dagarsvillkoret. Som redan anförts ovan anser regeringen att det ligger i Sveriges intresse att konsekvenserna avseende social trygghet blir mindre kännbara än i dag för medföljande till utsända statsanställda. Detta gäller inte minst möjligheten att vid återkomsten kunna få en föräldrapenning på SGI-nivå. Därför föreslår regeringen att undantaget från 240-dagarsvillkoret på samma sätt som gäller medföljande familjemedlemmar till biståndsarbetare m.fl. även ska gälla för medföljande till statsanställda.

43

Prop. 2025/26:1 Utgiftsområde 10

3.10.5Ikraftträdande- och övergångsbestämmelser

Regeringens förslag

Lagändringarna ska träda i kraft den 1 januari 2026. Äldre bestämmelser ska fortfarande gälla för den som har återkommit till Sverige före ikraftträdandet.

Utredningarnas förslag

Utredningarnas förslag överensstämmer delvis med regeringens. Utredningarna föreslår ikraftträdandedatum som redan har passerat. Utredningen (2023:30) föreslår att äldre bestämmelser ska gälla för förmåner som avser tid före ikraftträdandet. Utredningen (SOU 2017:5) föreslår inga övergångsbestämmelser.

Remissinstanserna

Remissinstanserna lämnar inga synpunkter på ikraftträdande- och övergångsbestämmelserna.

Skälen för regeringens förslag

Regeringen anser att förslaget bör träda i kraft så snart som möjligt. Tidigast möjliga ikraftträdandetidpunkt bedöms vara den 1 januari 2026. För att säkerställa att lagändringarna får avsedd effekt, dvs. att dessa inte ska påverka förmåner som avser tid före ikraftträdandet, anser regeringen att en övergångsbestämmelse bör införas som anger att äldre bestämmelser fortfarande gäller för den som har återkommit till Sverige före ikraftträdandet.

3.10.6Konsekvenser

Konsekvenser för individen

Genom förslagen kan medföljande familjemedlemmar till biståndsarbetare m.fl. och medföljande familjemedlemmar till statsanställda vid återkomsten till Sverige återfå sin ställning som försäkrad för arbetsbaserade förmåner. De kan även återfå en SGI som de hade närmast före utlandsvistelsen. Det krävs att utlandsvistelsen kan antas vara längre än ett år. För medföljande till biståndsarbetare m.fl. krävs också att utlandsvistelsen kan antas vara längst fem år. Den som får tillbaka sin tidigare SGI kan skydda den genom att gå tillbaka i ett tidigare, eller nytt, arbete eller direkt anmäla sig som arbetssökande vid Arbetsförmedlingen. Det ankommer på Försäkringskassan att som tillämpande myndighet informera den enskilde om vad som krävs för att skydda en SGI som han eller hon har återfått till följd av förslaget.

Medföljande till statsanställda får större möjlighet att, på samma sätt som biståndsarbetare m.fl. och deras medföljande, uppfylla 240-dagarsvillkoret i föräldrapenningen. Det kan stärka dessa familjers ekonomiska situation.

Konsekvenser för jämställdhet

Regelverket innehåller inga skillnader mellan kvinnor och män. Det saknas uppgifter om fördelningen av män och kvinnor som är medföljande varför en närmare konsekvensanalys inte är möjlig att göra. Föräldrapenning är delad lika mellan föräldrar med gemensam vårdnad. Uttagsmönstret visar att kvinnor emellertid använder fler dagar med föräldrapenning än vad män gör. Det finns dock stora variationer och det finns inte någon statistik som visar fördelningen av män och kvinnor som är medföljande med barn.

44

Prop. 2025/26:1 Utgiftsområde 10

Konsekvenser för kommuner och regioner

Förslagen bedöms inte ha några konsekvenser för kommuner och regioner.

Konsekvenser för myndigheter

Försäkringskassan kommer genom förslaget att få handlägga ett fåtal ytterligare ansökningar om sjukpenning respektive föräldrapenning. De tillkommande utgifterna på myndighetens förvaltningsanslag bedöms vara marginella.

Domstolarna

Förslaget bedöms inte ha några konsekvenser för domstolarna.

Konsekvenser för statsbudgeten

Kostnaderna bedöms vara marginella och kan finansieras inom ram. Reformen väntas medföra att ytterligare ett trettiotal individer per år får sjukpenning eller föräldrapenning. Beräkningarna är mycket osäkra. Det saknas bl.a. uppgifter om hur många medföljande det finns som har en SGI närmast före utlandsvistelsen. Utredningen (SOU 2023:30) räknar med väsentligt högre kostnader. Ett viktigt skäl till det är att utredningen inkluderar medföljande till utlandsstuderande i sitt förslag, samtidigt som dessa medföljande antas stå för merparten av de berörda av förslaget enligt utredningens beräkningar. Som redogjorts för i avsnitt 3.10.4 bedömer regeringen att de föreslagna bestämmelserna inte ska gälla för medföljande familjemedlemmar till utlandsstuderande. Av den anledningen bedöms kostnaderna vara lägre än med utredningens förslag.

Övriga konsekvenser

Förslaget bedöms inte ha några konsekvenser för företagen, arbetsgivare, barn, de integrationspolitiska målen, Sveriges internationella åtaganden, brottsligheten eller miljön.

3.10.7Författningskommentar

Förslaget till lag om ändring i socialförsäkringsbalken 6 kap.

12 §

I paragrafen regleras att för biståndsarbetare m.fl. som arbetar i utlandet ska efterskyddstiden (se 12 kap. 8 §) inte börja räknas förrän från det att dessa har återkommit till Sverige efter utlandstjänstgöringen. Övervägandena finns i avsnitt 3.10.3.

Ändringen innebär att ett nytt andra stycke införs. I stycket anges att för sådana personer som avses i 5 kap. 8 § och som vid tillämpning av 5 kap. 4 eller 6 § anses bosatta i Sverige under utlandsvistelse, ska efterskyddstiden börja löpa först efter återkomsten till Sverige, om den sker direkt efter den tid då personen upphört att anses vara bosatt i Sverige under utlandsvistelse. För medföljande familjemedlemmar till biståndsarbetare m.fl. får utlandsvistelsen ha antagits vara längst fem år för att efterskyddstiden ska börja löpa efter återkomsten till Sverige. För medföljande till statsanställda finns dock ingen sådan bortre tidsgräns (jfr 5 kap. 4 §). Bestämmelsen innebär att för en medföljande familjemedlem till en statsanställd eller till en biståndsarbetare m.fl. ska efterskyddstiden för den arbetsbaserade försäkringen börja löpa från det att personen har återkommit till Sverige. Detta gäller dock enbart om personen återvänder till Sverige inom tiden för den utlandsposterade

45

Prop. 2025/26:1 Utgiftsområde 10

familjemedlemmens utlandstjänstgöring eller direkt efter att den tjänstgöringen har upphört, dvs. att den utsände inte längre bedöms vara bosatt i Sverige med stöd av 5 kap. 4 eller 7 § utan i stället anses bosatt i Sverige med stöd av 5 kap. 2 eller 3 §.

Bestämmelsen ska alltså inte tillämpas om den medföljande personen efter utlandstjänstgöringens slut fortsatt uppehåller sig i utlandet och först senare återkommer till Sverige. Bestämmelsen gäller inte heller vid tillfälliga besök i Sverige under utlandsboendet eftersom personen då alltjämt bedöms som bosatt i Sverige med stöd av 5 kap. 8 § (jämförd med 5 kap. 4 eller 7 §) och inte enligt 5 kap. 2 eller 3 §.

12 kap.

38 §

Paragrafen innehåller särskilda bestämmelser om 240-dagarsvillkoret (se 35 § 1) bl.a. för vissa personer som anses bosatta utomlands även under vistelse utomlands. Övervägandena finns i avsnitt 3.10.4.

Ändringarna i första stycket innebär att för en medföljande make till en utsänd statlig arbetstagare, som är förälder och anses bosatt i Sverige även under vistelse utomlands, ska det bortses från tiden utomlands vid bestämmande av om 240-dagarsvillkoret är uppfyllt.

26 kap.

24 §

I paragrafen regleras att SGI:n för utlandsposterade biståndsarbetare m.fl. och deras familjemedlemmar som anses bosatta i Sverige även under utlandsvistelse vid återkomst till Sverige ska motsvara lägst det belopp som utgjorde SGI:n före utlandsresan. Övervägandena finns i avsnitt 3.10.3.

Ändringen i första stycket innebär att hänvisningen till 5 kap. 8 § tas bort eftersom vad som gäller för medföljande familjemedlemmar till biståndsarbetare m.fl. flyttas till det nya andra stycket. Flytten innebär ingen ändring i sak. Det som vidare regleras i det andra stycket är att personkretsen för paragrafen utökas till att gälla även för medföljande familjemedlemmar till utsända statligt anställda som anses vara bosatta i Sverige även under utlandsvistelsen.

Ikraftträdande- och övergångsbestämmelser

Överväganden finns i avsnitt 3.10.5.

I första punkten anges att lagen träder i kraft den 1 januari 2026.

I andra punkten anges att äldre bestämmelse fortfarande gäller för den som har återkommit till Sverige före ikraftträdandet. Med ”har återkommit till Sverige” avses detsamma som ”återkomsten (till Sverige)” i 6 kap. 12 § och 26 kap. 24 § SFB.

46

Prop. 2025/26:1 Utgiftsområde 10

3.11Budgetförslag

3.11.11:1. Sjukpenning och rehabilitering m.m.

Tabell 3.6 Anslagsutveckling 1:1 Sjukpenning och rehabilitering m.m.

Tusental kronor

2024 Utfall 51 263 550 Anslagssparande 518 659
         
2025 Anslag 53 898 4381 Utgiftsprognos 50 737 273
2026 Förslag 51 559 6762    
2027 Beräknat 52 405 916    
         
2028 Beräknat 52 967 727    
         

1Inklusive beslut om ändringar i statens budget 2025 och förslag till ändringar i samband med denna proposition.

24 787 123 tkr avser beräknad statlig ålderspensionsavgift för 2026 sedan hänsyn tagits för regleringsbeloppet för 2023 som uppgick till 184 452 tkr.

Ändamål

Anslaget får användas för utgifter för sjukpenning, rehabiliteringspenning, närståendepenning och arbetshjälpmedel enligt socialförsäkringsbalken och lagen (2010:111) om införande av socialförsäkringsbalken. Anslaget får vidare användas för utgifter för boendetillägg och sjukpenning respektive rehabiliteringspenning i särskilda fall enligt socialförsäkringsbalken. Anslaget får dessutom användas för utgifter som kan uppkomma med anledning av vissa bestämmelser i sjuklönesystemet, nämligen den s.k. sjuklönegarantin och det särskilda högriskskyddet enligt lagen (1991:1047) om sjuklön. Anslaget får även användas för utgifter för återbetalningspliktiga studiemedel avseende studerandes sjukperioder enligt studiestödslagen (1999:1395). Därtill får anslaget användas för utgifter för ersättning för skada orsakad av deltagare i arbetslivsinriktad rehabilitering, arbetshjälpmedel m.m. Anslaget får också användas för utgifter för statliga ålderspensionsavgifter enligt lagen (1998:676) om statlig ålderspensionsavgift. Anslaget får förutom detta användas för utgifter för sjuklönekostnader enligt lagen (1991:1047) om sjuklön.

Skälen för regeringens förslag

Tabell 3.7 Förändringar av anslagsnivån 2026–2028 för 1:1 Sjukpenning och rehabilitering m.m.

Tusental kronor

  2026 2027 2028
Anvisat 20251 53 898 438 53 898 438 53 898 438
Beslutade, föreslagna och aviserade åtgärder 231 000 461 000 461 000
       
Makroekonomisk utveckling 668 000 1 332 000 2 100 000
       
Volymer -3 237 762 -3 285 522 -3 491 711
Överföring till/från andra anslag      
       
Övrigt      
       
Förslag/beräknat anslag 51 559 676 52 405 916 52 967 727

1Statens budget enligt riksdagens beslut i december 2024 (bet. 2024/25:FiU10). Beloppet är således exklusive beslut om ändringar i statens budget.

Sjukpenning

Utgiftsutvecklingen för sjukpenningen styrs dels av antalet ersatta dagar, dels av medelersättningen. Antalet dagar påverkas av ändringar i regelverk och regelverkens tillämpning och administration. Utöver detta har framför allt demografiska förändringar, utvecklingen på arbetsmarknaden samt frånvaroförändringar på

47

Prop. 2025/26:1 Utgiftsområde 10

individnivå betydelse för utvecklingen. Medelersättningen påverkas framför allt av ersättningsnivån samt löneutvecklingen.

Förändringen i sjukpenningutgift beror både av att volymen nettodagar väntas öka under perioden (ca 1,5 procent mellan 2025 och 2028) samt att medelersättningen ökar (4 procent under samma period). Den relativt konstanta volymen under prognosperioden beror av att antalet startade sjukfall antas bli stabilt över tid samtidigt som långa sjukfall ökar svagt antalsmässigt. Inga stora förändringar i sjukfallens genomsnittliga fallängder förväntas heller ske i prognosen. Antalet sjukpenningdagar beräknas uppgå till 59,4 miljoner nettodagar under 2025 och ca 59,6 miljoner nettodagar 2026. Medelersättningen per nettodag 2025 prognostiseras till 757 kronor, medelersättningen 2026 prognostiseras till 767 kronor.

För 2025 beräknas utgifterna, inklusive statlig ålderspensionsavgift, uppgå till 49 639 miljoner kronor. Utgifterna för sjukpenningen inklusive statlig ålderspensionsavgift för 2026 beräknas till 50 434 miljoner kronor. För 2027 och 2028 beräknas utgifterna till 51 249 respektive 51 777 miljoner kronor.

Rehabiliteringspenning

Försäkringskassan kan bevilja rehabiliteringspenning till en försäkrad som påbörjar arbetslivsinriktad rehabilitering. Utgiftsutvecklingen för rehabiliteringspenning styrs till stor del av samma faktorer som sjukpenningutgifterna. Utgiftsutvecklingen påverkas också av i vilken mån Försäkringskassan bedömer behovet av rehabilitering och påbörjar samordnade rehabiliteringsinsatser. Utgifterna för rehabiliteringspenning relativt sjukpenning minskade kontinuerligt 2013–2020. Sedan 2023 samordnar Försäkringskassan rehabiliteringspenning och sjukpenning på ett annat sätt än tidigare. För en försäkrad som uppfyller kraven för både rehabiliteringspenning och sjukpenning samtidigt minskas rehabiliteringspenningen vid utbetalningen med det belopp den försäkrade för samma tid har nedsatt arbetsförmåga med rätt till sjukpenning. Det innebär att andelen sjukfall som får rehabiliteringspenning har minskat i en betydande omfattning, vilket innebär mycket låga utgifter för rehabiliteringspenning jämfört med tidigare.

Antalet rehabiliteringspenningdagar beräknas uppgå till ca 11 000 nettodagar under 2025 och 10 000 nettodagar 2026. Medelersättningen per nettodag 2025 prognostiseras till 757 kronor, för 2026 är prognosen 770 kronor.

För 2025 beräknas utgifterna, inklusive statlig ålderspensionsavgift, uppgå till 12 miljoner kronor. Utgifterna för rehabiliteringspenningen inklusive statlig ålderspensionsavgift för 2026 beräknas till 8 miljoner kronor. För 2027 och 2028 beräknas utgifterna till 8 respektive 8 miljoner kronor.

Arbetshjälpmedel

Försäkringskassan har särskilda medel för köp av arbetstekniska hjälpmedel, läkarutlåtanden och läkarundersökningar samt för särskilt bidrag och för ersättning för resor till och från arbetet. Försäkringskassan har främst använt medlen för köp av arbetstekniska hjälpmedel. I övrigt har medlen använts för bl.a. utgifter för läkarutlåtanden samt för bidrag till resor.

För 2025 beräknas utgifterna uppgå till 96 miljoner kronor. Utgifterna för arbetshjälpmedel m.m. beräknas till 100 miljoner kronor för 2026. För 2027 och 2028 beräknas utgifterna till 104 respektive 108 miljoner kronor.

Sjuk- och rehabiliteringspenning i särskilda fall

Förmånerna kan lämnas till försäkrade vars rätt till aktivitetsersättning upphör till följd av att de fyller 30 år. Ersättningarna kan också lämnas till försäkrade som helt eller

48

Prop. 2025/26:1 Utgiftsområde 10

delvis har fått tidsbegränsad sjukersättning under det högsta antal månader som sådan ersättning kan betalas ut.

Sjukpenning respektive rehabiliteringspenning i särskilda fall kan lämnas till en försäkrad person som saknar sjukpenninggrundande inkomst (SGI), eller till en försäkrad som har en låg SGI. Sjukpenning i särskilda fall uppgår till högst 230 kronor per dag.

Utgifterna för 2025 beräknas uppgå till 342 miljoner kronor. Utgifterna för sjukpenning respektive rehabiliteringspenning i särskilda fall beräknas till 360 miljoner kronor för 2026. För 2027 och 2028 beräknas utgifterna till 377 respektive

394 miljoner kronor.

Boendetillägg

Boendetillägg kan lämnas till en försäkrad som har fått tidsbegränsad sjukersättning under det högsta antal månader som sådan ersättning kan lämnas, och som får sjukpenning, rehabiliteringspenning, sjukpenning i särskilda fall eller rehabiliteringspenning i särskilda fall. Boendetillägg kan också lämnas till en försäkrad som får nämnda ersättningar och vars aktivitetsersättning upphör till följd av att han eller hon fyller 30 år. Den som har rätt till bostadstillägg har inte rätt till boendetillägg.

Utgifterna för 2025 beräknas uppgå till 380 miljoner kronor. Utgifterna för boendetillägg beräknas till 393 miljoner kronor för 2026. För 2027 och 2028 beräknas utgifterna till 397 respektive 401 miljoner kronor.

Närståendepenning

Närståendepenning kan lämnas till den som avstår från förvärvsarbete för att vårda en närstående svårt sjuk person. Utgiftsutvecklingen för närståendepenning styrs av antal ersatta dagar samt medelersättningen per dag.

För 2025 beräknas utgifterna, inklusive statlig ålderspensionsavgift, uppgå till 269 miljoner kronor. Utgifterna för närståendepenningen inklusive statlig ålderspensionsavgift för 2026 beräknas till 265 miljoner kronor. För 2027 och 2028 beräknas utgifterna till 271 respektive 280 miljoner kronor.

Anslaget 1:1 Sjukpenning och rehabiliteringspenning m.m. 2026–2028

Regeringen föreslår att 51 559 676 000 kronor anvisas under anslaget 1:1 Sjukpenning och rehabilitering m.m. för 2026. För 2027 och 2028 beräknas anslaget till

52 405 916 000 kronor respektive 52 967 727 000 kronor.

3.11.21:2 Aktivitets- och sjukersättningar m.m.

Tabell 3.8 Anslagsutveckling 1:2 Aktivitets- och sjukersättningar m.m.

Tusental kronor

2024 Utfall 51 661 443 Anslagssparande -94 466
2025 Anslag 51 651 8001 Utgiftsprognos 52 782 000
2026 Förslag 53 674 7002    
2027 Beräknat 54 443 600    
         
2028 Beräknat 53 970 600    
         

1Inklusive beslut om ändringar i statens budget 2025 och förslag till ändringar i samband med denna proposition.

25 798 000 tkr avser beräknad statlig ålderspensionsavgift för 2026 sedan hänsyn tagits för regleringsbeloppet för 2023 som uppgick till 200 745 tkr.

49

Prop. 2025/26:1 Utgiftsområde 10

Ändamål

Anslaget får användas för utgifter för aktivitets- och sjukersättning och bostadstillägg till personer med aktivitets- och sjukersättning enligt socialförsäkringsbalken och lagen (2010:111) om införande av socialförsäkringsbalken. Anslaget får dessutom användas för utgifter för statlig ålderspensionsavgift enligt lagen (1998:676) om statlig ålderspensionsavgift.

Skälen för regeringens förslag

Tabell 3.9 Förändringar av anslagsnivån 2026–2028 för 1:2 Aktivitets- och sjukersättningar m.m.

Tusental kronor

  2026 2027 2028
       
Anvisat 20251 51 651 800 51 651 800 51 651 800
Beslutade, föreslagna och aviserade åtgärder 1 052 300 2 272 600 2 258 600
       
varav BP26 -11 300 -29 400 -43 400
       
– Kvalificering till välfärden   -6 900 -20 900
– Partiellt vilande sjukersättning och aktivitetsersättning -11 300 -22 500 -22 500
       
Makroekonomisk utveckling 531 984 777 984 1 951 784
       
Volymer 438 616 -258 784 -1 891 584
       
Överföring till/från andra anslag      
       
Övrigt      
       
Förslag/beräknat anslag 53 674 700 54 443 600 53 970 600

1Statens budget enligt riksdagens beslut i december 2024 (bet. 2024/25:FiU10). Beloppet är således exklusive beslut om ändringar i statens budget.

Aktivitetsersättning betalas ut till personer i åldrarna 19–29 år och sjukersättning till personer i åldrarna 19–65 år. I åldrarna 19–29 år lämnas sjukersättning endast i hel omfattning. Utgiftsutvecklingen för aktivitetsersättning och sjukersättning är framför allt beroende av utvecklingen av antalet sjukskrivningar, den demografiska utvecklingen samt utvecklingen av prisbasbeloppet.

Nuvarande utgiftsutveckling påverkas i hög grad av att många inte längre kommer att få sjukersättning på grund av att de når den högsta ålder då förmånen lämnas, i kombination med att nybeviljandet är lägre än utflödet. Utflödet från sjukersättning begränsas dock under 2026 i och med att riktåldern i ålderspensionssystemet då höjs med ett år. Riktåldershöjningen medför att sjukersättning kan ges t.o.m. månaden före man fyller 67 år. Införandet av särskilda regler för att beviljas sjukersättning för äldre i förvärvsarbetande ålder, vilka trädde i kraft den 1 september 2022, innebär ett något högre inflöde än tidigare. Det årliga inflödet till sjukersättning beräknas vara ca

13 600de kommande åren. Sammantaget medför detta att sjukersättningsbeståndet väntas minska svagt under 2026–2028. Medelantalet 2028 beräknas vara ca 6 000 lägre jämfört med 2025. Antalet personer med aktivitetsersättning väntas däremot öka med ca 3 000 personer under samma tidsperiod. Inflödet till aktivitetsersättning beräknas ligga på ca 10 400 personer årligen 2026–2028. Det totala antalet personer med sjuk- eller aktivitetsersättning väntas därmed minska marginellt under prognosperioden. År 2025 prognostiseras medelantalet vara 258 000 för att därefter minska till 255 000 år 2028. Ersättningen är värdesäkrad på så vis att förmånerna är kopplade till prisbasbeloppet. Prisbasbeloppet väntas öka med drygt 3 procent mellan 2025 och 2028 och bidrar till ökade utgifter över tid.

50

Prop. 2025/26:1 Utgiftsområde 10

Bostadstillägg till personer med aktivitets- och sjukersättning

Syftet med bostadstillägg till personer med aktivitets- eller sjukersättning är att förbättra förutsättningarna för skälig bostadsstandard för dem med låg ersättning. Utgiftsutvecklingen för bostadstillägget styrs av antalet personer med aktivitetsrespektive sjukersättning. Utöver detta styrs den av utvecklingen för prisbasbeloppet, boendekostnaderna och av ersättningsnivån.

Utgifterna för bostadstillägg 2025 beräknas uppgå till 6 613 miljoner kronor. Utgifterna beräknas till 6 827 miljoner kronor för 2026. För 2027 och 2028 beräknas utgifterna till 7 077 respektive 7 093 miljoner kronor.

Anslaget 1:2 Aktivitets- och sjukersättningar m.m. 2026–2028

Regeringen avser att föreslå krav på kvalificering till vissa av de bosättningsbaserade förmånerna i socialförsäkringen. Detta innebär minskade utgifter för aktivitets- och sjukersättningar. Anslaget beräknas minska med 6 900 000 kronor 2027, 20 900 000 kronor 2028, 35 400 000 kronor 2029, 50 300 000 kronor 2030, 65 800 000 kronor 2031 och 74 300 000 fr.o.m. 2032.

Regeringen föreslår i denna proposition att sjuk- och aktivitetsersättningen ska kunna vara partiellt vilande vid studier och att prövotiden för studier med aktivitetsersättning förlängs från 6 till 12 månader. Anslagets minskas därför med 11 300 000 kronor 2026. beräknas minska 22 000 000 kronor fr.o.m. 2027.

Regeringen föreslår att 53 674 700 000 kronor anvisas under anslaget 1:2 Aktivitets- och sjukersättningar m.m. för 2026. För 2027 och 2028 beräknas anslaget till

54 443 600 000 kronor respektive 53 970 600 000 kronor.

3.11.31:3 Merkostnadsersättning och handikappersättning

Tabell 3.10 Anslagsutveckling 1:3 Merkostnadsersättning och handikappersättning

Tusental kronor

2024 Utfall 1 445 953 Anslagssparande -47 845
2025 Anslag 1 516 0001 Utgiftsprognos 1 469 000
2026 Förslag 1 440 000    
         
2027 Beräknat 1 390 700    
         
2028 Beräknat 1 347 100    
         

1Inklusive beslut om ändringar i statens budget 2025 och förslag till ändringar i samband med denna proposition.

Ändamål

Anslaget får användas för utgifter för merkostnadsersättning och handikappersättningar enligt socialförsäkringsbalken och lagen (2010:111) om införande av socialförsäkringsbalken.

51

Prop. 2025/26:1 Utgiftsområde 10

Skälen för regeringens förslag

Tabell 3.11 Förändringar av anslagsnivån 2026–2028 för 1:3 Merkostnadsersättning och handikappersättning

Tusental kronor

  2026 2027 2028
Anvisat 20251 1 471 000 1 471 000 1 471 000
Beslutade, föreslagna och aviserade åtgärder 1 000 2 700 2 100
       
varav BP26   -300 -900
       
– Kvalificering till välfärden   -300 -900
       
Makroekonomisk utveckling 10 000 10 000 42 000
       
Volymer -42 000 -93 000 -168 000
Överföring till/från andra anslag      
       
Övrigt      
       
Förslag/beräknat anslag 1 440 000 1 390 700 1 347 100
       

1Statens budget enligt riksdagens beslut i december 2024 (bet. 2024/25:FiU10). Beloppet är således exklusive beslut om ändringar i statens budget.

Den 1 januari 2019 infördes den nya förmånen merkostnadsersättning. Anslaget omfattar med anledning av detta utgifter för merkostnadsersättning och handikappersättning (se vidare prop. 2017/18:190, bet. 2017/18:SfU23, rskr. 2017/18:388). Övergångsbestämmelserna till regleringen innebär att det kommer att ske en successiv överföring av utgifter mellan anslagsdelen Handikappersättning och anslagsdelen Merkostnadsersättning under de kommande åren. Ersättning för merkostnader inom vårdbidraget (utg. omr. 12 anslaget 1:6 Omvårdnadsbidrag och vårdbidrag) avskaffades den 1 januari 2019 och därför belastar merkostnader för barn med funktionsnedsättning anslaget 1:3 Merkostnadsersättning och handikappersättning inom utgiftsområde 10 Ekonomisk trygghet vid sjukdom och funktionsnedsättning.

Till följd av regeländringarna kommer antalet personer med handikappersättning att minska och antalet personer med merkostnadsersättning att öka. Årsgenomsnittet vad gäller antalet personer med handikappersättning väntas minska från 34 300 personer 2025 till 25 400 personer 2028.

Regeringen avser att föreslå krav på kvalificering till vissa av de bosättningsbaserade förmånerna i socialförsäkringen. Detta innebär minskade utgifter för merkostnadsersättning och handikappersättning. Anslaget beräknas minska med

300 000 kronor 2027, 900 000 kronor 2028, 1 500 000 kronor 2029, 2 100 000 kronor 2030, 2 800 000 kronor 2031 och 3 200 000 kronor fr.om. 2032.

Anslaget 1:3 Merkostnadsersättning och handikappersättning 2026–2028

Regeringen föreslår att 1 440 000 000 kronor anvisas under anslaget 1:3 Merkostnadsersättning och handikappersättning för 2026. För 2027 och 2028 beräknas anslaget till 1 390 700 000 kronor respektive 1 347 100 000 kronor.

52

Prop. 2025/26:1 Utgiftsområde 10

3.11.41:4 Arbetsskadeersättningar m.m.

Tabell 3.12 Anslagsutveckling 1:4 Arbetsskadeersättningar m.m.

Tusental kronor

2024 Utfall 2 440 434 Anslagssparande -75 633
2025 Anslag 2 526 0001 Utgiftsprognos 2 450 000
2026 Förslag 2 494 0002    
2027 Beräknat 2 548 000    
         
2028 Beräknat 2 508 000    
         

1Inklusive beslut om ändringar i statens budget 2025 och förslag till ändringar i samband med denna proposition.

2192 000 tkr avser beräknad statlig ålderspensionsavgift för 2026 sedan hänsyn tagits för regleringsbeloppet för 2023 som uppgick till -527 tkr.

Ändamål

Anslaget får användas för utgifter för arbetsskadeersättning enligt 40, 41, 87 och 88 kap. socialförsäkringsbalken samt motsvarande äldre lagstiftning. Arbetsskadeersättning kan lämnas i form av bl.a. livränta till den skadade, ersättning för tandvård samt begravningshjälp och livränta till efterlevande. Anslaget får dessutom användas för utgifter för statlig ålderspensionsavgift enligt lagen (1998:676) om statlig ålderspensionsavgift.

Skälen för regeringens förslag

Tabell 3.13 Förändringar av anslagsnivån 2026–2028 för 1:4

Arbetsskadeersättningar m.m.

Tusental kronor

  2026 2027 2028
Anvisat 20251 2 322 000 2 322 000 2 322 000
Beslutade, föreslagna och aviserade åtgärder 88 000 180 000 180 000
Makroekonomisk utveckling 41 000 74 500 127 000
       
Volymer 43 000 -28 500 -121 000
       
Överföring till/från andra anslag      
Övrigt      
       
Förslag/beräknat anslag 2 494 000 2 548 000 2 508 000
       

1Statens budget enligt riksdagens beslut i december 2024 (bet. 2024/25:FiU10). Beloppet är således exklusive beslut om ändringar i statens budget.

Under en längre period har utgifterna för arbetsskador minskat i takt med att beståndet minskat då antalet nya skador inte väger upp för bortfallet av äldre skador. Trenden bromsas bl.a. av att de övre åldersgränserna för rätten till arbetsskadelivränta höjs 2026 med hänsyn till de justerade åldersgränserna i pensionssystemet. Förutom beståndet påverkar även förmånernas indexering utgiftsutvecklingen.

Anslaget 1:4 Arbetsskadeersättningar m.m. 2026–2028

Regeringen föreslår att 2 494 000 000 kronor anvisas under anslaget 1:4 Arbetsskadeersättningar m.m. för 2026. För 2027 och 2028 beräknas anslaget till 2 548 000 000 kronor respektive 2 508 000 000 kronor.

53

Prop. 2025/26:1 Utgiftsområde 10

3.11.51:5 Ersättning inom det statliga personskadeskyddet

Tabell 3.14 Anslagsutveckling 1:5 Ersättning inom det statliga personskadeskyddet

Tusental kronor

2024 Utfall 36 790 Anslagssparande -596
2025 Anslag 36 9881 Utgiftsprognos 37 726
2026 Förslag 38 0822    
2027 Beräknat 38 189    
         
2028 Beräknat 37 953    
         

1Inklusive beslut om ändringar i statens budget 2025 och förslag till ändringar i samband med denna proposition.

21 826 tkr avser beräknad statlig ålderspensionsavgift för 2026 sedan hänsyn tagits för regleringsbeloppet för 2023 som uppgick till -102 tkr.

Ändamål

Tabell 3.15 Förändringar av anslagsnivån 2026–2028 för 1:5 Ersättning inom det statliga personskadeskyddet

Tusental kronor

  2026 2027 2028
Anvisat 20251 36 988 36 988 36 988
Beslutade, föreslagna och aviserade åtgärder      
       
Makroekonomisk utveckling     -1 000
       
Volymer 1 094 1 201 1 965
       
Överföring till/från andra anslag      
Övrigt      
       
Förslag/beräknat anslag 38 082 38 189 37 953
       

1Statens budget enligt riksdagens beslut i december 2024 (bet. 2024/25:FiU10). Beloppet är således exklusive beslut om ändringar i statens budget.

Anslaget får användas för utgifter för ersättningar inom det statliga personskadeskyddet enligt 7, 43, 87 och 88 kap. socialförsäkringsbalken samt motsvarande äldre lagstiftning. Anslaget får också användas för utgifter för krigsskadeersättning till sjömän enligt 7, 44, 87 och 88 kap. socialförsäkringsbalken samt motsvarande äldre lagstiftning. Anslaget får dessutom användas för utgifter för statlig ålderspensionsavgift enligt lagen (1998:676) om statlig ålderspensionsavgift.

Skälen för regeringens förslag

Utgifterna för ersättning inom det statliga personskadeskyddet domineras av utgifterna för äldre skador, vilka står för ca två tredjedelar av de totala utgifterna. De sammanlagda anslagsutgifterna väntas minska över tid, vilket främst drivs av att ersättningar enligt äldre regler fasas ut. Det skärpta säkerhetsläget och beslut om en utbyggnad av kriminalvården innebär en osäkerhetsfaktor för prognosen. En höjd beredskap i form av ökad försvarsförmåga och en utbyggnad av kriminalvården väntas ha en höjande effekt på anslagets utgifter, vilken dock blir marginell på kortare sikt.

Anslaget 1:5 Ersättning inom det statliga personskadeskyddet 2026–2028

Regeringen föreslår att 38 082 000 kronor anvisas under anslaget 1:5 Ersättning inom det statliga personskadeskyddet för 2026. För 2027 och 2028 beräknas anslaget till

38 189 000 kronor respektive 37 953 000 kronor.

54

Prop. 2025/26:1 Utgiftsområde 10

3.11.61:6 Bidrag för sjukskrivningsprocessen

Tabell 3.16 Anslagsutveckling 1:6 Bidrag för sjukskrivningsprocessen

Tusental kronor

2024 Utfall 1 432 447 Anslagssparande 39 252
2025 Anslag 1 436 7001 Utgiftsprognos 1 406 829
2026 Förslag 1 436 700    
         
2027 Beräknat 1 436 700    
         
2028 Beräknat 1 436 700    
         

1Inklusive beslut om ändringar i statens budget 2025 och förslag till ändringar i samband med denna proposition.

Ändamål

Anslaget får användas för utgifter för statsbidrag och bidrag till berörda aktörer i sjukskrivningsprocessen. Medlen avser bidrag till hälso- och sjukvården för arbetet med sjukskrivningsprocessen och bidrag till arbetsgivare för arbetsplatsinriktat rehabiliteringsstöd. Medlen avser även kostnader för rehabiliteringsinsatser i samarbete mellan Försäkringskassan och Arbetsförmedlingen, försäkringsmedicinska utredningar enligt lagen (2018:744) om försäkringsmedicinska utredningar, finansiell samordning genom samordningsförbund samt vissa förvaltningsutgifter. Därtill avser medlen utgifter för kunskapsutveckling för sjukskrivningsprocessen och åtgärder för en effektiv sjukskrivningsprocess.

Skälen för regeringens förslag

Tabell 3.17 Förändringar av anslagsnivån 2026–2028 för 1:6 Bidrag för sjukskrivningsprocessen

Tusental kronor

  2026 2027 2028
Anvisat 20251 1 436 700 1 436 700 1 436 700
Beslutade, föreslagna och aviserade åtgärder      
       
Överföring till/från andra anslag      
       
Övrigt      
Förslag/beräknat anslag 1 436 700 1 436 700 1 436 700
       

1Statens budget enligt riksdagens beslut i december 2024 (bet. 2024/25:FiU10). Beloppet är således exklusive beslut om ändringar i statens budget.

Rehabiliteringsinsatser i samarbete mellan Försäkringskassan och Arbetsförmedlingen

Försäkringskassan och Arbetsförmedlingen samarbetar i syfte att vidta insatser som bidrar till att den som är sjukskriven återfår arbetsförmågan och kan återgå i arbete. Insatserna ska bidra till att skapa goda förutsättningar för övergång till arbetsmarknaden och förkorta tiden i sjukförsäkringen. För 2025 avsattes 700 miljoner kronor till detta samarbete och dessa medel bedöms förbrukas i sin helhet.

Utgifterna för 2026 beräknas till 700 miljoner kronor.

Finansiell samordning genom samordningsförbund

Finansiell samordning genom samordningsförbund syftar till att ge personer som är i behov av samordnade rehabiliteringsinsatser stöd så att de uppnår eller förbättrar sin förmåga att utföra förvärvsarbete. Finansiell samordning genom samordningsförbund är en frivillig samverkan mellan Försäkringskassan, Arbetsförmedlingen, regioner samt en eller flera kommuner.

55

Prop. 2025/26:1 Utgiftsområde 10

Av resurserna till samordningsförbunden ska Försäkringskassan bidra med statens andel motsvarande hälften av medlen. Regioner och kommuner ska bidra med varsin fjärdedel. För 2025 avsattes 339 miljoner kronor i statliga medel och dessa bedöms förbrukas i sin helhet.

Utgifterna för 2026 beräknas till 339 miljoner kronor.

Försäkringsmedicinska utredningar

Enligt lagen (2018:744) om försäkringsmedicinska utredningar ska en region tillhandahålla försäkringsmedicinska utredningar på begäran av Försäkringskassan. Regionen har rätt till ersättning från staten för sina kostnader. Syftet med utredningarna är att tillgodose Försäkringskassans behov av att i rätt tid få tillgång till kvalificerade medicinska underlag för beslut i vissa mer svårbedömda ärenden. För 2025 avsattes 244 miljoner kronor och dessa medel bedöms förbrukas i sin helhet.

Utgifterna för 2026 beräknas till 244 miljoner kronor.

Arbetsplatsinriktat rehabiliteringsstöd

Arbetsgivare kan få statligt bidrag för arbetsplatsinriktade rehabiliteringsinsatser. Sådant bidrag regleras i förordningen (2014:67) om bidrag till arbetsgivare för köp av arbetsplatsinriktat rehabiliteringsstöd för återgång i arbete. Bidraget täcker halva kostnaden upp till 20 000 kronor per arbetstagare och år, men högst med 200 000 kronor per arbetsgivare och år. För 2025 avsattes 134 miljoner kronor och

114 miljoner kronor bedöms förbrukas. Utgifterna för 2026 beräknas till 134 miljoner kronor.

Bidrag till hälso- och sjukvården

Regeringen har för statens räkning ingått en överenskommelse med Sveriges Kommuner och Regioner (SKR) för åren 2023–2025 för att bibehålla och utveckla den digitala överföringen av läkarintyg mellan regionerna och Försäkringskassan i avvaktan på en långsiktig lösning för sammanhållen intygshantering i hälso- och sjukvården. För 2025 har 16 miljoner kronor avsatts och 12 miljoner kronor bedöms förbrukas.

Utvecklingen av ett nytt system för sammanhållen intygshantering bedöms ta längre tid än vad som tidigare har beräknats och systemet förväntas inte vara i drift som planerat 2026. I avvaktan på att det nya systemet driftsätts har regeringen därför bemyndigats att under 2025 ingå en överenskommelse med SKR på högst

32 miljoner kronor 2026 och 2027 för att säkerställa fortsatt digital överföring av läkarintyg från hälso- och sjukvården till Försäkringskassan (prop. 2024/25:99, bet. 2024/25:FiU21 och rskr. 2024/25:257).

Utgifterna för 2026 beräknas till 16 miljoner kronor.

Anslaget 1:6 Bidrag för sjukskrivningsprocessen 2026–2028

Regeringen föreslår att 1 436 700 000 kronor anvisas under anslaget 1:6 Bidrag för sjukskrivningsprocessen för 2026. För 2027 och 2028 beräknas anslaget till

1 436 700 000 kronor respektive 1 436 700 000 kronor.

56

Prop. 2025/26:1 Utgiftsområde 10

3.11.72:1 Försäkringskassan

Tabell 3.18 Anslagsutveckling 2:1 Försäkringskassan

Tusental kronor

2024 Utfall 9 632 757 Anslagssparande 364 496
2025 Anslag 10 804 6461 Utgiftsprognos 10 556 320
2026 Förslag 11 271 917    
         
2027 Beräknat 11 644 6172    
2028 Beräknat 11 916 1773    

1Inklusive beslut om ändringar i statens budget 2025 och förslag till ändringar i samband med denna proposition.

2Motsvarar 11 459 297 tkr i 2026 års prisnivå.

3Motsvarar 11 502 390 tkr i 2026 års prisnivå.

Ändamål

Anslaget får användas för Försäkringskassans förvaltningsutgifter. Anslaget får även användas för forskning inom socialförsäkringens område.

Skälen för regeringens förslag

Tabell 3.19 Förändringar av anslagsnivån 2026–2028 för 2:1 Försäkringskassan

Tusental kronor

  2026 2027 2028
Anvisat 20251 10 750 646 10 750 646 10 750 646
Pris- och löneomräkning2 203 089 380 233 597 138
Beslutade, föreslagna och aviserade åtgärder 318 182 513 738 568 393
       
varav BP263 268 100 527 600 558 600
– Civilplikt - justering från BP24 -2 000 -2 000 -2 000
       
– Kvalificering till välfärden   194 000 203 000
       
– Partiellt vilande sjukersättning och aktivitetsersättning 5 000 4 000 4 000
       
– Utvidgade möjligheter till vård av barn 19 100 18 600 18 600
– Månadsuppgifter i bostadsbidraget   10 000 10 000
       
– Administrativa sanktioner i socialförsäkringen 83 000 122 000 123 000
       
– Stärkt högkostnadsskydd för tandvård 51 000 64 000 85 000
       
AI-verkstad för offentlig förvaltning 100 000 100 000 100 000
       
e-Codex 12 000 10 000 10 000
       
– Fler verktyg till socialtjänsten när samtycke saknas   7 000 7 000
Överföring till/från andra anslag      
       
Övrigt      
       
Förslag/beräknat anslag 11 271 917 11 644 617 11 916 177
       

1Statens budget enligt riksdagens beslut i december 2024 (bet. 2024/25:FiU10). Beloppet är således exklusive beslut om ändringar i statens budget.

2Pris- och löneomräkningen baseras på anvisade medel 2025. Övriga förändringskomponenter redovisas i löpande priser och inkluderar därmed en pris- och löneomräkning. Pris- och löneomräkningen för 2027–2028 är preliminär.

3Exklusive pris- och löneomräkning.

Regeringen avser att föreslå krav på kvalificering till vissa av de bosättningsbaserade förmånerna i socialförsäkringen. Som en följd väntas Försäkringskassan få ökade utgifter för administration och it-utveckling. Anslaget beräknas öka med

194 000 000 kronor 2027, 203 000 000 kronor 2028, 173 000 000 kronor 2029–2031 och 120 000 000 kronor fr.o.m. 2032.

57

Prop. 2025/26:1 Utgiftsområde 10

I denna proposition lämnar regeringen förslag om partiellt vilande sjukersättning och aktivitetsersättning vid studier samt förlängd prövotid för studier med aktivitetsersättning. Försäkringskassan får ökade kostnader för administration och itutveckling. Anslaget ökas med 5 000 000 kronor 2026. Anslaget beräknas öka med 4 000 000 kronor fr.o.m. 2027.

I denna proposition lämnas förslag om att utvidga rätten till tillfällig föräldrapenning. Försäkringskassan får medel för handläggning av tillkommande ärenden samt vissa itjusteringar. Anslaget ökas därför med 19 100 000 kronor 2026. Anslaget beräknas öka med 18 600 000 kronor fr.o.m. 2027.

Regeringen avser att återkomma med förslag om att bostadsbidrag ska beräknas utifrån inkomstuppgifter på individnivå i arbetsgivardeklarationen. Försäkringskassan får ökade administrativa kostnader som en följd av förslaget. Anslaget beräknas öka med 10 000 000 kronor fr.o.m. 2027.

Regeringen avser att lämna förslag om administrativa sanktioner i socialförsäkringen. För arbetet med detta ökas anslaget med 83 000 000 kronor 2026. Anslaget beräknas öka med 122 000 000 kronor 2027, 123 000 000 kronor 2028–2029,

122 000 000 kronor 2030, 114 000 000 kronor 2031 och 101 000 000 kronor fr.o.m. 2032.

Den 1 januari 2026 införs ett förstärkt högkostnadsskydd för tandvård. Med anledning av åtgärden får Försäkringskassan ökade utgifter för handläggning och it-utveckling. Anslaget ökas med 51 000 000 kronor 2026. Anslaget beräknas öka med

64 000 000 kronor 2027, 85 000 000 kronor 2028, 61 000 000 kronor 2029–2030, 54 000 000 kronor 2031–2032 och 44 000 000 kronor fr.o.m. 2033.

Försäkringskassan tillförs medel för att tillsammans med Skatteverket etablera en AI- verkstad. Anslaget ökas med 100 000 000 kronor 2026. För 2027–2030 beräknas anslaget öka med motsvarande belopp.

Försäkringskassan föreslås få utökade uppgifter för uppdrag kring it-systemet e-Codex enligt Europaparlamentets och rådets förordning (EU) 2022/850 om ett datoriserat system för gränsöverskridande elektroniskt utbyte av uppgifter på området privat- och straffrättsligt samarbete (e-Codexförordningen). Anslaget ökas med 12 000 000 kronor för 2026. Från och med 2027 beräknas anslaget öka med 10 000 000 kronor.

Regeringen avser att stärka föräldraansvaret genom att genomföra förslag från promemorian En lag om insatser inom socialtjänsten till vårdnadshavare, barn och unga när samtycke saknas (Ds 2024:30). Försäkringskassans kostnader för handläggning av tillkommande ärenden med tillfällig föräldrapenning väntas öka. Anslaget beräknas därför öka med 7 000 000 kronor fr.o.m. 2027.

I budgetpropositionen för 2024 tillfördes medel för att finansiera administrativa kostnader till följd av aktivering av civilplikt inom kommunal räddningstjänst. Regeringen bedömer att dessa administrationskostnader ska avgiftsfinansieras. Anslaget minskas därför med 2 000 000 kronor fr.o.m. 2026.

Anslaget 2:1 Försäkringskassan 2026–2028.

Regeringen föreslår att 11 271 917 000 kronor anvisas under anslaget 2:1 Försäkringskassan för 2026. För 2028 och 2029 beräknas anslaget till 11 644 617 000 respektive 11 916 177 000 kronor.

58

Prop. 2025/26:1 Utgiftsområde 10

Bemyndigande om särskild kontokredit för vård i andra länder

Regeringens förslag

Regeringen bemyndigas att för 2026 besluta om en kredit i Riksgäldskontoret för att tillgodose Försäkringskassans behov av likviditet vid utbetalning av ersättning för vård i andra länder som inklusive tidigare utnyttjad kredit uppgår till högst

170 000 000 kronor.

Skälen för regeringens förslag

Krediten behövs för att finansiera Försäkringskassans betalning av utländska vårdfakturor. Sedan 2013 har regionerna och kommunerna kostnadsansvaret för vissa ersättningar vid vård utomlands genom lagen (2013:514) om regionernas och kommunernas kostnadsansvar för viss vård i utlandet. Försäkringskassan betalar de utländska vårdfakturorna och kräver i efterhand ersättning från berörd region, på grund av att en viss utredning bör göras innan utbetalning sker. Krediten ges med stöd av 7 kap. 6 § budgetlagen (2011:203). Den räntekostnad som uppstår ska betalas av regionerna. Regeringen bör bemyndigas att för 2026 besluta om en kredit i Riksgäldskontoret för att tillgodose Försäkringskassans behov av likviditet vid utbetalning av ersättning för vård i andra länder som uppgår till högst 170 000 000 kronor.

Tabell 3.20 Övriga kontokrediter i statens verksamhet

Miljoner kronor

    Beslutad Maximalt Beslutad Begärd
Utgifts-   kreditram nyttjande kreditram kreditram
område Ändamål 20241 2024 20251 2026
10 Försäkringskassans behov av likviditet i        
  utbetalning av ersättning för vård i andra länder 170 151 170 170
           
           
  Summa 170 151 170 170

1Av riksdagen beslutad övrig kontokredit exklusive beslut om ändringar i statens budget.

Budget för avgiftsbelagd verksamhet

I proposition Stärkt kontroll över tandvårdssektorn (prop. 2025/26:7) föreslås att Försäkringskassan från 2026 får ta ut en årlig avgift för anslutning till det elektroniska systemet för statligt tandvårdsstöd. Avgifterna disponeras inte av myndigheten. För administration av vissa resultatområden disponerar Försäkringskassan avgiftsinkomster. Dessa områden avser i huvudsak administration av familjebidrag och dagpenning till totalförsvarspliktiga, ersättning från affärsdrivande verk samt avgifter för tjänster som tillhandahålls åt Pensionsmyndigheten. Försäkringskassans uppdrag att administrera den svenska kontaktpunkten för EESSI (Electronic Exchange of Social Security Information), genom regeringsuppdragen S2009/02024 och S2011/02476, är också avgiftsfinansierat. Myndigheten har även i uppdrag att erbjuda samordnad och säker statlig it-drift (SSSID) i enlighet med förordningen (2024:1005) om samordnad och säker statlig it-drift. Verksamheten är avgiftsfinansierad. Försäkringskassan har även andra avgiftsintäkter från bl.a. administration av statlig fordran samt intäkter enligt 4 § avgiftsförordningen (1992:191) och övriga ersättningar. Försäkringskassan får, utöver vad som anges i avgiftsförordningen, utföra datorbearbetningar och tillhandahålla tjänster inom systemutveckling, statistik m.m. mot ersättning. Avgifterna disponeras av myndigheten.

59

Prop. 2025/26:1 Utgiftsområde 10

Tabell 3.21 Uppdragsverksamhet Avgiftsfinansierad verksamhet vid

Försäkringskassan

Tusental kronor            
            Ackumulerat
  Ackumulerat     Kostnader   resultat
        utgående
  resultat tom. Resultat Verksamhetens som ska Resultat
   
Verksamhet 2024 2025 intäkter 2026 täcka 2026 2026 2026
         
Verksamheter där intäkterna inte disponeras        
Offentligrättslig            
verksamhet     18 000 18 000 0 0
             
varav avgift för            
anslutning till det            
elektroniska systemet            
för statligt            
tandvårdsstöd     18 000 18 000 0 0
         
Verksamheter där intäkterna disponeras        
             
Uppdragsverksamhet 24 538 -62 946 569 900 555 300 14 600 -23 808
varav intäkter från            
Pensionsmyndigheten 30 489 -63 000 258 300 249 700 8 600 -23 911
             
varav intäkter från            
Samordnad och säker            
statlig it-drift (SSSID) -5 897 0 260 000 254 000 6 000 103
             
varav övrigt 1 -54 54 51 600 51 600 0 0
Verksamheter där intäkterna disponeras och redovisas mot anslag      
             
Uppdragsverksamhet     8 700      
             

1.Övriga intäkter från EESSI, ersättning för administration av försvarets förmåner samt intäkter från datorbearbetningar, systemutveckling statistik m.m.

3.11.82:2 Inspektionen för socialförsäkringen

Tabell 3.22 Anslagsutveckling 2:2 Inspektionen för socialförsäkringen

Tusental kronor

2024 Utfall 74 456 Anslagssparande 2 003
2025 Anslag 77 7031 Utgiftsprognos 74 282
2026 Förslag 79 121    
         
2027 Beräknat 80 4082    
2028 Beräknat 81 9793    

1Inklusive beslut om ändringar i statens budget 2025 och förslag till ändringar i samband med denna proposition.

2Motsvarar 79 121 tkr i 2026 års prisnivå.

3Motsvarar 79 121 tkr i 2026 års prisnivå.

Ändamål

Anslaget får användas för Inspektionen för socialförsäkringens förvaltningsutgifter.

60

Prop. 2025/26:1 Utgiftsområde 10

Skälen för regeringens förslag

Tabell 3.23 Förändringar av anslagsnivån 2026–2028 för 2:2 Inspektionen för socialförsäkringen

Tusental kronor

  2026 2027 2028
Anvisat 20251 77 703 77 703 77 703
Pris- och löneomräkning2 1 418 2 705 4 276
Beslutade, föreslagna och aviserade åtgärder      
       
Överföring till/från andra anslag      
       
Övrigt      
       
Förslag/beräknat anslag 79 121 80 408 81 979
       

1Statens budget enligt riksdagens beslut i december 2024 (bet. 2024/25:FiU10). Beloppet är således exklusive beslut om ändringar i statens budget.

2Pris- och löneomräkningen baseras på anvisade medel 2025. Övriga förändringskomponenter redovisas i löpande priser och inkluderar därmed en pris- och löneomräkning. Pris- och löneomräkningen för 2027–2028 är preliminär.

Inspektionen för socialförsäkringen bidrar genom sina granskningar till att värna rättssäkerhet och effektivitet inom socialförsäkringsområdet.

Anslaget 2:2 Inspektionen för socialförsäkringen 2026–2028

Regeringen föreslår att 79 121 000 kronor anvisas under anslaget 2:2 Inspektionen för socialförsäkringen för 2026. För 2027 och 2028 beräknas anslaget till 80 408 000 kronor respektive 81 979 000 kronor.

61

1

Prop. 2025/26:1 Utgiftsområde 10 Bilaga 1

1Sammanfattning av betänkandet En sjukförsäkring med prevention, rehabilitering och trygghet (SOU 2021:69) i nu relevanta delar

Utredningens analys och slutsatser

Partiellt vilande sjukersättning och aktivitetsersättning vid studier

Utredningen konstaterar att det är mycket få försäkrade som beviljats sjukersättning som använder sig av möjligheten att få förmånen vilandeförklarad för studier. Utredningen bedömer att ett hinder för försäkrade att använda möjligheten till vilande sjukersättning för studier är att det inte är möjligt att ha sin ersättning partiellt vilande vid studier, även när den enskilde avser att studera på deltid. Att hela ersättningen ska förklaras vilande, oavsett studiernas omfattning, bedöms vara ett stort hinder för att fler ska våga använda möjligheten att studera med vilande ersättning och har en återhållande effekt. Det har till utredningen exempelvis lyfts att det skulle underlätta för många försäkrade att studera just på deltid, bland annat med hänsyn till deras funktionsnedsättning. En övervägande andel av personer med sjukersättning har hel förmån. För många kan heltidsstudier uppfattas som ouppnåeligt, men under rätt förhållanden kan deltidsstudier vara möjligt.

Förlängd prövotid vid studier

Utredningen konstaterar att prövotiden för studier ger möjlighet för försäkrade att pröva att studera i önskad omfattning utan att ersättningen påverkas, men att det framförts problem med prövotidens nuvarande utformning. De problem som utredningen lyfter fram är att det för många försäkrade är otillräckligt med sex månaders prövotid, att prövotiden faktiskt kan bli kortare än sex månaders studier samt att det kan uppfattas som orättvist att prövotiden är sex månader oavsett vilken studietakt den försäkrade studerar, eftersom försäkrade som studerar heltid kan uppfattas få ut mer studietid under denna period än försäkrade som studerar på deltid.

Mot bakgrund av utredningens uppdrag att underlätta studier och utifrån de problem som framförts om prövotid för studier, gör utredningen bedömningen att sex månaders prövotid inte är tillräckligt.

Utredningens förslag och bedömning

Partiellt vilande sjukersättning och aktivitetsersättning vid studier

Utredningen föreslår att partiellt vilande sjuk- och aktivitetsersättning vid studier införs. I likhet med Försäkringskassan bedömer utredningen att fler skulle välja att studera med vilande ersättning om förslaget införs.

Förlängd prövotid vid studier

Utredningen föreslår också att prövotiden för studier med aktivitetsersättning förlängs från sex till 12 månader. Genom en generell ökning av tidsperioden till tolv månader får alla försäkrade en längre tid att bedöma sin studieförmåga, vilket utredningen

2

Prop. 2025/26:1 Utgiftsområde 10 Bilaga 1

bedömer gynna försäkrade som har en stressproblematik samt för personer med intellektuell funktionsnedsättning. Utredningen föreslår att det vara möjligt för försäkrade som haft sex månaders prövotid att beviljas ytterligare sex månaders prövotid. Den försäkrade ska dock inte kunna få längre än totalt 12 månaders prövotid, ifall hela eller delar av prövotiden förlagts innan de föreslagna reglerna börjar tillämpas.

Utredningen har övervägt om att ett förslag om förlängd prövotid skulle leda till att fler personer ansöker om aktivitetsersättning för att få sina studier finansierade. Utredningen konstaterar dock att det med gällande regelverk är svårt för en försäkrad att beviljas aktivitetsersättning endast för att kunna studera och att förslaget om förlängd prövotid inte skulle medföra att fler beviljas förmånen.

3

Prop. 2025/26:1 Utgiftsområde 10 Bilaga 1

2Betänkandets lagförslag i nu relevanta delar

Förslaget till lag om ändring i socialförsäkringsbalken

Härigenom föreskrivs i fråga om socialförsäkringsbalken dels att 27 kap. 6 och 7 §§ ska upphöra att gälla,

dels att rubriken närmast före 27 kap. 6 § ska utgå,

dels att 5 kap. 9 och 14 §§, 6 kap. 6 §, 23 kap. 2 och 3 §§, 24 kap. 3 §, 26 kap. 17 och

21 §§, 27 kap. 1, 15, 26 och 28 §§, 28 kap. 11 §, 29 kap. 1–3 §§, 30 kap. 9 §, 31 kap. 1– 3, 8, 12 och 14 §§, 31 a kap. 4 och 7 §§, 33 kap. 1, 5, 6, 10–12 §§, 36 kap. 1, 9 a, 12, 15 b, 18 a, 19 och 22 §§, 37 kap. 6 och 7 §§, 41 kap. 4§, 46 kap. 18 §, 47 kap. 17 §, 103 c kap. 4 §, 103 d kap. 6 och 8 §§, 108 kap. 1 §, 110 kap. 57 § och rubrikerna närmast före 29 kap., 31 kap. 8 och 14 §§ ska ha följande lydelse,

dels att det ska införas två nya kapitel, 31 b–31 c kap., tolv nya paragrafer, 27 kap.

55 §, 31 kap. 3 a och 15 §§, 33 kap. 6 a, 10 a och 20 a §§, 36 kap. 12 a–12 d och 24 a §§, 108 kap. 23 § och närmast före 27 kap. 55 c §, 31 kap. 15 §, 33 kap. 6, 6 a och 20 a §§ och 36 kap. 24 a § nya rubriker av följande lydelse,

dels att det närmast före 33 kap. 7 § ska införas en ny rubrik som ska lyda ”Nedsatt arbetsförmåga vid aktivitetsersättning”.

Nuvarande lydelseFöreslagen lydelse

– – – – – – – – – – – – – – – – – – – – – – – – – – – – – – – – – – – – – – – – – – – – –

36kap. 1 §1

I detta kapitel finns bestämmelser om

samordning med andra förmåner 2–8 §§,

förvärvsarbete som hinder för rätt till förmån i 9 §,

aktivitetsersättning under prövotid i 9 a §,

vilande sjukersättning eller aktivitetsersättning i 10–18 §§,

aktivitetsersättning efter tid för vilandeförklaring i 18 a–18 d §§,

omprövning vid ändrade förhållanden i 19–24 §§,

Förläggning av arbetstid vid partiell sjukersättning eller aktivitetsersättning i 24 a §

ersättning utan ansökan i vissa fall i 25–27 §§,

ändring av ersättning i 28 §, och

utbetalning av ersättning i 29 och 30 §§.

9 a §2

Försäkringskassan får efter ansökan av en försäkrad som under minst tolv månader har fått aktivitetsersättning på grund av nedsatt arbetsförmåga besluta att han eller hon får studera utan att aktivitetsersättningen minskas med hänsyn till studierna

(aktivitetsersättning under prövotid).    
Under hela den tidsperiod som Under hela den tidsperiod som
aktivitetsersättning kan lämnas enligt aktivitetsersättning kan lämnas enligt
33 kap. 18 § kan aktivitetsersättning 33 kap. 18 § kan aktivitetsersättning
under prövotid betalas ut under under prövotid betalas ut under
sammanlagt högst sex månader. sammanlagt högst tolv månader.

1Senaste lydelse 2016:1291.

2Senaste lydelse 2016:1291.

4

Prop. 2025/26:1 Utgiftsområde 10 Bilaga 1

Om studierna avbryts under prövotiden eller beslutet avser kortare tid än sex månader, får Försäkringskassan senare fatta ett nytt beslut om aktivitetsersättning under prövotid. Ett sådant beslut får tillsammans med redan

lämnad aktivitetsersättning under prövotid sammanlagt uppgå till högst sex månader.

Om studierna avbryts under prövotiden eller beslutet avser kortare tid än tolv månader, får Försäkringskassan senare fatta ett nytt beslut om aktivitetsersättning under prövotid. Ett sådant beslut får tillsammans med redan

lämnad aktivitetsersättning under prövotid sammanlagt uppgå till högst tolv månader.

12 §

Vilandeförklaring får avse hel sjukersättning eller aktivitetsersättning eller en sådan andel av ersättningen som anges i 33 kap. 9 §. När det bedöms hur stor del av förmånen som ska förklaras vilande ska Försäkringskassan beakta omfattningen av det förvärvsarbete som den försäkrade avser att utföra. Vid studier ska dock alltid den beviljade förmånen i sin helhet förklaras vilande.

Vilandeförklaring vid förvärvsarbete får

avse hel sjukersättning eller aktivitetsersättning, sådan andel som anges i 33 kap. 9 § eller en sådan andel av ersättningen som uppgår till minst 1/168 per kalendermånad. När det bedöms hur stor del av förmånen som ska förklaras vilande ska Försäkringskassan beakta omfattningen av det förvärvsarbete som den försäkrade avser att utföra.

Vilandeförklaring vid studier får avse hel sjukersättning eller aktivitetsersättning eller en sådan andel av ersättningen som anges i 33 kap. 9 §. När det bedöms hur stor andel av förmånen

som ska förklaras vilande ska Försäkringskassan beakta omfattningen av de studier som den försäkrade avser att bedriva.

12 a §

Sjukersättning eller aktivitetsersättning för en försäkrad vars ersättning har förklarats vilande för förvärvsarbete enligt 10 § ska lämnas med ett preliminärt belopp och bestämmas slutligt i efterhand på grundval av den försäkrades reduceringstid.

12 b §

Slutlig sjukersättning eller aktivitetsersättning avseende viss kalendermånad ska bestämmas vid tidpunkten för utbetalning av ersättning efterföljande månad eller, om detta inte är möjligt, vid tidpunkten för utbetalning så snart som möjligt efter detta.

12 c §

Reduceringstiden beräknas med utgångspunkt i det antal timmar den försäkrade har ansökt om att få förvärvsarbeta den aktuella kalendermånaden. Reduceringstiden beräknas till 1/168 av den försäkrades sjukersättning eller aktivitetsersättning per påbörjad arbetad timme.

12 d §

Bestäms den slutliga sjukersättningen eller aktivitetsersättningen för viss månad till lägre

5

Prop. 2025/26:1 Utgiftsområde 10 Bilaga 1

belopp än den som för samma månad har betalats ut i preliminär ersättning ska skillnaden betalas tillbaka. Bestäms den slutliga sjukersättningen eller aktivitetsersättningen till högre belopp än den som för viss månad har betalats ut i preliminär sjukersättning, ska skillnaden betalas ut.

15 b §3

Om aktivitetsersättning har förklarats vilande enligt 15 § tredje stycket och den försäkrade fortfarande förvärvsarbetar eller studerar vid utgången av den period som beslutet om aktivitetsersättning omfattar, ska perioden med aktivitetsersättning förlängas med den tid som motsvarar den återstående tiden för vilandeförklaringen.

Förlängningen av aktivitetsersättningen får   Vid studier förlängs perioden med
dock endast avse den del av arbetsförmågan som aktivitetsersättning enligt första stycket i den
fortfarande används för förvärvsarbete. Vid omfattning som motsvarar omfattningen av de
studier ska alltid aktivitetsersättningen förlängas studier som pågår vid utgången av den period som
i sin helhet.     beslutet om aktivitetsersättning omfattar.  
        Vid arbete, när den försäkrade beviljats hel
      förmån, förlängs   perioden med
      aktivitetsersättning enligt första stycket i den
      omfattning som motsvarar den del av
      arbetsförmågan som fortfarande används för
      förvärvsarbete enligt följande nivåer:  
        1. Hel aktivitetsersättning ska lämnas när
      hela arbetsförmågan används för förvärvsarbete.
        2. Tre fjärdedels aktivitetsersättning ska
      lämnas när mindre än hela men minst tre
      fjärdedelar av arbetsförmågan används för
      förvärvsarbete.      
        3. Halv aktivitetsersättning ska lämnas när
      mindre än tre fjärdedelar men minst halva
      arbetsförmågan används för förvärvsarbete.  
        4. En fjärdedels aktivitetsersättning ska
      lämnas när mindre än halva men minst någon
      del av arbetsförmågan används för
      förvärvsarbete.      
        Vid arbete, när den försäkrade beviljats
      partiell förmån, förlängs perioden med
      aktivitetsersättning enligt första stycket enligt
      bestämmelserna i tredje stycket, dock inte i en
      högre omfattning än omfattningen i beslutet om
      rätt till ersättning.      
    18 a §4          
När tiden för ett beslut om   När tiden för ett beslut om
vilandeförklaring av aktivitetsersättning vilandeförklaring av aktivitetsersättning
har löpt ut eller beslutet har upphävts har löpt ut eller beslutet har upphävts
enligt 16 § lämnas aktivitetsersättning för enligt 16 § lämnas aktivitetsersättning för
en period om tre månader i den en period om tre månader i den
omfattning som ersättningen tidigare var omfattning som anges i andra–femte
förklarad vilande. Ersättningen lämnas utan styckena. Ersättningen lämnas utan någon
någon ny prövning av i vilken mån ny prövning av i vilken mån
arbetsförmågan är nedsatt. Ersättning arbetsförmågan är ned satt.  

3Senaste lydelse 2016:1291.

4Senaste lydelse 2012:933.

6

En försäkrad som har uppvisat en arbetsförmåga som han eller hon antogs sakna när beslutet om sjukersättning fattades ska, om inte annat framkommer, antas ha en förbättrad arbetsförmåga. Om arbetsförmågan fortfarande är nedsatt i förhållande till sådana arbeten som avses i 33 kap. 10 eller 10 a §§ ska dock rätten till sjukersättning inte omprövas.
Utförande av sysslor av ideell karaktär som understiger tio timmar i veckan och som inte ger inkomst ska inte anses innebära att en försäkrad har uppvisat arbetsförmåga.

Prop. 2025/26:1 Utgiftsområde 10 Bilaga 1

lämnas inte till en försäkrad till den del denne förvärvsarbetar eller till en försäkrad som studerar.

Vid studier lämnas ersättningen enligt första stycket i den omfattning som ersättningen tidigare var förklarad vilande.

Vid arbete, när den försäkrade beviljats hel förmån, lämnas ersättningen enligt första stycket i följande omfattning:

1.Hel aktivitetsersättning ska lämnas när ersättningen tidigare var förklarad helt vilande.

2.Tre fjärdedels aktivitetsersättning ska lämnas när ersättningen tidigare var förklarad vilande i mindre grad än hel förmån men med minst tre fjärdedelar.

3.Halv aktivitetsersättning ska lämnas när ersättningen tidigare var förklarad vilande i mindre grad än tre fjärdedelar men med minst hälften.

4.En fjärdedels aktivitetsersättning ska lämnas när ersättningen tidigare var förklarad vilande i mindre grad än hälften.

Vid arbete, när den försäkrade beviljats partiell förmån, lämnas ersättningen enligt första stycket enligt bestämmelserna i tredje stycket, dock inte i större omfattning än omfattningen i beslutet om rätten till ersättning.

Ersättning lämnas inte till en

försäkrad till den del denne förvärvsarbetar eller studerar.

19 §

Om arbetsförmågan förbättras för en försäkrad som får sjukersättning, ska rätten till förmånen omprövas.

En försäkrad som har uppvisat en arbetsförmåga som han eller hon antogs sakna när beslutet om sjukersättning fattades ska, om inte annat framkommer, antas ha en förbättrad arbetsförmåga.

22 §

Om arbetsförmågan väsentligt förbättras för en försäkrad som får aktivitetsersättning, ska rätten till förmånen omprövas.

En försäkrad som regelbundet och En försäkrad som regelbundet och
under en längre tid har visat en under en längre tid har visat en
arbetsförmåga som han eller hon antogs arbetsförmåga som han eller hon antogs
sakna när beslutet om aktivitetsersättning sakna när beslutet om aktivitetsersättning
fattades ska antas ha en väsentligt fattades ska antas ha en väsentligt
förbättrad arbetsförmåga, om inte något förbättrad arbetsförmåga, om inte något
annat framkommer. annat framkommer. Om arbetsförmågan
  fortfarande är nedsatt i förhållande till sådana

7

Prop. 2025/26:1 Utgiftsområde 10 Bilaga 1

arbeten som avses i 33 kap. 10 § ska dock rätten till aktivitetsersättning inte omprövas.

Utförande av sysslor av ideell karaktär som understiger tio timmar i veckan och som inte ger inkomst ska inte anses innebära att en försäkrad har uppvisat arbetsförmåga.

Förläggning av arbetstid vid partiell sjukersättning eller aktivitetsersättning

24 a §

För en försäkrad som är beviljad partiell sjukersättning eller aktivitetsersättning ska en förläggning av arbetstiden som innebär att arbetstiden inte minskas varje dag i samma omfattning och som inte medför någon risk för försämring av den försäkrades sjukdom eller arbetsförmåga inte medföra att rätten till förmånen ska omprövas.

– – – – – – – – – – – – – – – – – – – – – – – – – – – – – – – – – – – – – – – – – – – – –

1.Denna lag träder i kraft den 1 december 2022 i fråga om 5 kap. 9 §, 6 kap. 6 §, 27 kap. 55 c §, 30 kap. 9 §, 31 kap. 1–3 a, 8, 12, 14 och 15 §§, 31 a kap. 7 §, 31 b– 31 c kap., 33 kap. 5–6 a, 10–12 och 20 a §§, 36 kap. 9 a, 12–12 d, 15 b och 18 a §§, 37 kap. 6 och 7 §§, 108 kap. 23 § och 110 kap. 57 § och i övrigt den 1 januari 2023.

2.Bestämmelserna i 5 kap. 9 §, 6 kap. 6 §, 27 kap. 55 c §, 30 kap. 9 §, 31 kap. 1–3 a, 8, 12, 14 och 15 §§, 31 a kap. 7 §, 31 b–31 c kap., 33 kap. 5–6 a, 10–12 och 20 a §§, 36 kap. 9 a, 12–12 d, 15 b och18 a §§, 37 kap. 6 och 7 §§ och 108 kap. 23 § i den nya lydelsen tillämpas dock för tid från och med den 1 januari 2023.

3.Den nya bestämmelsen i 33 kap. 20 a § ska tillämpas även i fråga om den som den 1 december 2022 hade rätt till aktivitetsersättning för nedsatt arbetsförmåga och som har rätt till förmånen även för tid fr.o.m. den 1 januari 2023. Avseende en sådan försäkrad ska Försäkringskassan i samråd med Arbetsförmedlingen snarast utreda om den försäkrade kan delta i det arbetsmarknadspolitiska programmet för unga med aktivitetsersättning. Denna utredning behöver inte göras om det är uppenbart att den försäkrade inte kan delta i programmet.

4.Äldre bestämmelser om sjukpenning samt sjukpenning i särskilda fall enligt 27 kap. 6 § respektive 28 a kap. 3 § tillämpas fortfarande i de fall Försäkringskassan senast före utgången av december 2022 har godkänt en sådan plan som avses i 6 § andra stycket.

5.De nya bestämmelserna i 27 kap. 55 c §, 30 kap. 9 §, 31 kap. 2–3 a, 8, 12 och 14 §§ och 31 a kap. 4 och 7 §§ tillämpas även på sjukperioder som har påbörjats före den 1 januari 2023. Bestämmelserna tillämpas dock första gången vid prövning av rätt till ersättning för dagar från och med den 1 januari 2023.

6.Äldre bestämmelser tillämpas fortfarande i fråga om förmåner som avser tid före den 1 januari 2023.

8

Prop. 2025/26:1 Utgiftsområde 10 Bilaga 1

3 Förteckning över remissinstanserna

Efter remiss har yttranden inkommit från Arbetsförmedlingen, Arbetsgivarverket, Arbetsmiljöverket, Barncancerfonden, Botkyrka kommun, Centrala studiestödsnämnden, Delaktighet, Handlingskraft, Rörelsefrihet (DHR), Diskrimineringsombudsmannen, Domstolsverket, Ekonomistyrningsverket, Eslöv kommun, Forskningsrådet hälsa, arbetsliv och välfärd (FORTE), Funktionsrätt Sverige, Fysioterapeuterna, Företagarna, Försäkringskassan, Förvaltningsrätten i Uppsala, Gnesta kommun, Göteborgs kommun, Göteborgs universitet, Institutet för arbetsmarknads- och utbildningspolitisk utvärdering (IFAU), Inspektionen för socialförsäkringen (ISF), Justitiekanslern, Jämställdhetsmyndigheten, Kammarrätten i Sundsvall, Karolinska institutet, Katrineholms kommun, Konjunkturinstitutet, Kronofogdemyndigheten, Kungsbacka kommun, Landsorganisationen i Sverige (LO), LO-TCO Rättsskydd, Malmö kommun, Myndigheten för arbetsmiljökunskap (Mynak), Myndigheten för delaktighet (MFD), Pensionsmyndigheten, PTK, Region Blekinge, Region Halland, Region Kronoberg, Region Norrbotten, Region Stockholm, Region Västernorrland, Riksförbundet för Social och Mental Hälsa (RSHM), Riksrevisionen, Saco, Skatteverket, Socialstyrelsen, Statskontoret, Stockholms kommun, Svenska ILO-kommittén, Svenskt Näringsliv, Sveriges Arbetsterapeuter, Sveriges Dövas Riksförbund, Sveriges Kommuner och Regioner (SKR), Sveriges Läkarförbund, Sveriges Psykologförbund, Synskadades Riksförbund, Södertälje kommun, TCO, Trollhättans kommun, Växjö kommun och Örebro universitet.

Därutöver har yttrande inkommit från Akademikerförbundet SSR, Autism- och Aspergerförbundet, Bröstcancerförbundet, Charlotta Ekman, Fackförbundet ST, Föreningen för de Neurosynskadade (FfdN), Kommunal, Lärarnas Riksförbund, Nationell Samverkan för psykisk hälsa (NSPH), Parkinsonförbundet, Riksförbundet Attention, Riksförbundet för ME-patienter (RME), Skogsstyrelsen och Umeå Universitet.

Följande remissinstanser har inte svarat eller angett att de avstår från att lämna ett yttrande: Danderyds kommun, Emmaboda kommun, Falköpings kommun, Företagarförbundet, Gävle kommun, Halmstad kommun, Jokkmokks kommun, Kumla kommun, Köpings kommun, Luleå kommun, Malå kommun, Nationella Nätverket för Samordningsförbund (NNS), Nätverket Unga För Tillgänglighet, Ragunda kommun, Reumatikerförbundet, Riksdagens ombudsmän (JO), Sollentuna kommun, Sorsele kommun, Sotenäs kommun, Svalöv kommun, Svenljunga kommun, Svenska Läkaresällskapet, Sveriges Företagshälsor, Uppsala universitet, Vårdförbundet och Örnsköldsviks kommun.

9

1

Prop. 2025/26:1 Utgiftsområde 10 Bilaga 2

Sammanfattning av betänkandet Svensk social trygghet i en globaliserad värld (SOU 2017:5) i nu relevanta delar

Utredningens analys och slutsatser

Utredningen konstaterar att ökad internationalisering på arbetsmarknaden har lett till att en växande grupp medföljande till statligt utsända delvis hamnat utanför Sveriges sociala trygghetssystem. Vid utsändning av en statligt anställd avbryter ofta den medföljande sin anställning för att följa med till stationeringsorten. Medföljande som inte arbetar för en svensk arbetsgivare under utsändningen förlorar sin sjukpenninggrundande inkomst (SGI) efter tre månader, vilket innebär att de vid hemkomst saknar rätt till arbetsbaserade förmåner om de inte återupptagit arbetet eller återvänt inom efterskyddstiden. I många länder utanför EU är det dessutom svårt eller omöjligt för medföljande att få arbetstillstånd. Utsändningen försvårar därmed möjligheten att arbeta och fullfölja en karriär, vilket i sin tur försvårar återinträde på arbetsmarknaden i Sverige. Den medföljandes situation kan påverka viljan att söka utlandstjänst negativt. Utredningen bedömer därför att åtgärder bör vidtas för att underlätta för statligt utsända och deras medföljande.

Utredningens förslag och bedömning

Mot denna bakgrund föreslår utredningen att särbestämmelser införs för medföljande make eller maka till utsända biståndsarbetare och statligt anställda, avseende efterskyddstid och vilande SGI. Därutöver föreslås särskilda villkor för föräldrapenning. För medföljande till biståndsarbetare föreslås att efterskyddstiden ska börja löpa först vid återkomst till Sverige, under förutsättning att utlandstjänstgöringen varat högst fem år och att återvändandet sker omedelbart. För medföljande till statligt anställda föreslås en motsvarande bestämmelse, dock utan tidsbegränsning. Dessa förslag syftar till att säkerställa att medföljande omfattas av arbetsbaserade förmåner vid hemkomst och ges möjlighet till vilande SGI under utlandsvistelsen.

2

Prop. 2025/26:1 Utgiftsområde 10 Bilaga 2

Betänkandets lagförslag i nu relevanta delar

Förslaget till lag om ändring i socialförsäkringsbalken

Härigenom föreskrivs i fråga om socialförsäkringsbalken

dels att 5 kap. 3 §, 6 kap. 2, 4 och 12 §§, 12 kap. 38 §, 26 kap. 24 §, 74 kap. 2 §, 101 kap. 3 § och 113 kap. 2 § ska ha följande lydelse,

dels att det ska införas fyra nya paragrafer 4 kap. 6 §, 5 kap. 3 a §, 6 kap. 12 a § och 110 kap. 34 a § av följande lydelse.

Nuvarande lydelseFöreslagen lydelse

– – – – – – – – – – – – – – – – – – – – – – – – – – – – – – – – – – – – – – – – – – – – –

6kap.

– – – – – – – – – – – – – – – – – – – – – – – – – – – – – – – – – – – – – – – – – – – –

12 §

För biståndsarbetare m.fl. enligt 5 kap. 6 § som till följd av utlandsarbete inte omfattas av den arbetsbaserade

försäkringen och som efter utlandstjänstgöringens slut återvänder till Sverige ska efterskyddstiden börja löpa

först efter återkomsten, om utlandstjänstgöringen varat längst fem år.

För biståndsarbetare m.fl. enligt 5 kap. 6 § som till följd av utlandsarbete inte omfattas av den arbetsbaserade

försäkringen och som efter utlandstjänstgöringens slut återvänder till Sverige ska efterskyddstiden börja löpa

först efter återkomsten, om utlandstjänstgöringen varat längst fem år. Detsamma ska gälla för medföljande enligt bestämmelserna i 5 kap. 6 och 8 §§.

12 a §

För medföljande enligt bestämmelserna i 5 kap. 4 och 8 §§ och som efter utlandstjänstgöringens slut återvänder till Sverige, ska efterskyddstiden börja löpa först efter återkomsten till Sverige, oavsett hur länge utlandstjänstgöringen varat.

12kap. 38 §1

För en förälder som anses bosatt i Sverige även under vistelse utomlands enligt bestämmelserna i 5 kap. 6 och 8 §§, ska det bortses från tiden för utlandsvistelsen när det bestäms om 240-dagarsvillkoret i 35 § 1 är uppfyllt.

Det som sägs i första stycket ska även gälla för en förälder som anses bosatt i Sverige under vistelse utomlands enligt bestämmelserna i 5 kap. 4 och 8 §§.

– – – – – – – – – – – – – – – – – – – – – – – – – – – – – – – – – – – – – – – – – – – – –

1Senaste lydelse 2015:758.

3

Prop. 2025/26:1 Utgiftsområde 10 Bilaga 2

Denna lag träder i kraft den 1 januari 2019. Bestämmelserna i 74 kap. 2 § andra stycket och 101 kap. 3 § andra stycket i den nya lydelsen ska dock inte tillämpas i fråga om ansökningar som kommit in före ikraftträdandet.

4

Prop. 2025/26:1 Utgiftsområde 10 Bilaga 2

Förteckning över remissinstanserna

Efter remiss har yttranden inkommit från Amnesty International, Arbetsförmedlingen, Arbetsgivarverket, Arvika kommun, Blekinge läns landsting, Borås kommun, Civil Rights Defenders, Datainspektionen, Diskrimineringsombudsmannen, Domstolsverket, Eskilstuna kommun, Falkenberg kommun, Folke Bernadotteakademin, Försäkringskassan, Förvaltningsrätten i Malmö, Greater Copenhagen & Skåne Committee, Göteborgs kommun, Göteborgs universitet, Juridiska fakulteten, Hallands läns landsting, Handikappförbunden, Inspektionen för arbetslöshetsförsäkringen, Inspektionen för socialförsäkringen, Inspektionen för vård och omsorg, Jönköping kommun, Kalmar kommun, Kalmar läns landsting, Kammarrätten i Stockholm (Migrationsöverdomstolen), Kommerskollegium, Kronofogdemyndigheten, Landsorganisationen i Sverige, Linköping kommun, Lund kommun, Malmö kommun, Migrationsverket, Myndigheten för delaktighet, Nordiska ministerrådet, Nyköping kommun, Pensionsmyndigheten, Samorganisationen för svenskföreningar i Thailand, SFS Sveriges förenade studentkårer, Sida, Simrishamn kommun, Skatteverket, Skåne läns landsting, Socialstyrelsen, Stockholms kommun, Stockholms läns landsting, Stockholms universitet, Juridiska fakulteten, Svenskar i Världen, Svenskt Näringsliv, Sveriges Akademikers Centralorganisation, Sveriges Kommuner och Landsting, Södermanlands läns landsting, Tjänstemännens Centralorganisation, Uppsala kommun, Uppsala läns landsting, Uppsala universitet, Juridiska fakulteten, Varberg kommun, Värmlands läns landsting, Västerbottens läns landsting, Västervik kommun, Västmanlands läns landsting, Västra Götalands läns landsting, Örebro läns landsting och Öresunddirekt.

Följande remissinstanser har inte svarat eller angett att de avstår från att lämna ett yttrande: Dalarnas läns landsting, Företagarna, Gotlands kommun, Grensetjänsten Norge-Sverige, Gränskommittén Östfold-Bohuslän/Dalsland, Gävleborgs läns landsting, Haparanda kommun, Jämtlands läns landsting, Jönköpings läns landsting, Karlskrona kommun, Kiruna kommun, Kronobergs läns landsting, Ljungby kommun, Luleå kommun, Mora kommun, Mörbylånga kommun, Nordkalottens Gränstjänst, Nordens Välfärdscenter, Norrbottens läns landsting, Norrtälje kommun, Stockholms länsstyrelse, Strömstads kommun, Strömsund kommun, Västernorrlands läns landsting, Västerås kommun, Örebro kommun, Örnsköldsvik kommun, Östergötlands läns landsting och Östersund kommun.

5

Prop. 2025/26:1 Utgiftsområde 10 Bilaga 2

Sammanfattning av betänkandet Ett trygghetssystem för alla (SOU 2023:30) i nu relevanta delar

Utredningens analys och slutsatser

Utredningen konstaterar att medföljande familjemedlemmar till enskilda som är utsända utomlands förlorar sin sjukpenninggrundande inkomst (SGI) och försäkringen för arbetsbaserade förmåner i Sverige. De omfattas inte av nuvarande regler för att återfå SGI efter längre förvärvsavbrott på grund av särskilda omständigheter. I dag återställs SGI för vissa grupper, exempelvis efter avslutad sjuk- eller aktivitetsersättning, samt för biståndsarbetare. SGI återställs då en viss dag, vilket förutsätter att SGI-skyddet gäller oavbrutet från nästföljande dag. Utredningen understryker att ett återställande av SGI för medföljande endast får effekt om det även finns en motsvarande bestämmelse i 6 kap. SFB som återger rätten till arbetsbaserade förmåner. En sådan bestämmelse finns i dag endast för biståndsarbetare, men inte för deras medföljande.

Utredningens förslag och bedömning

Utredningen anser att det bör vara möjligt även för medföljande familjemedlemmar att kunna återfå en förlorad SGI. Utredningen föreslår att för sådana biståndsarbetare m.fl. som avses i 5 kap.6 § SFB och för sådana medföljande familjemedlemmar som avses i 5 kap. 8 § som ansetts bosatta i Sverige under vistelse utomlands ska efterskyddstiden börja löpa först efter återkomsten till Sverige om den sker inom eller direkt efter den tid då de enligt bestämmelserna i 5 kap. ansågs bosatta i Sverige under utlandsvistelsen. Det innebär att medföljande familjemedlemmar till någon av de personkategorier som avses i 5 kap. 4–7 §§ liksom biståndsarbetare m.fl. som har ansetts bosatta under utlandsvistelse, återfår försäkringen för arbetsbaserade förmåner genom att efterskyddstiden börjar löpa vid återkomsten till Sverige. Utredningen föreslår också en bestämmelse som anger att en SGI i form av en återställningsinkomst ska beräknas för enskilda som har återvänt till Sverige efter en utlandsvistelse under vilka de har ansetts bosatta i Sverige enligt 5 kap. 6 eller 8 §.

6

Prop. 2025/26:1 Utgiftsområde 10 Bilaga 2

Betänkandets lagförslag i nu relevanta delar

Förslaget till lag om ändring i socialförsäkringsbalken

Härigenom föreskrivs i fråga om socialförsäkringsbalken

dels att 25 kap., 26 kap. och 28 kap. 16 § ska upphöra att gälla,

dels att 6 kap. 10 §, 27 kap. 10 §, 27 kap. 46 §, 28 kap. 3 §, 28 kap. 5 §, 28 kap. 6 §,

28 kap. 8 §, 28 kap. 9 §, 28 kap. 11 §, 28 kap. 12 §, 28 kap. 13 §, 28 kap. 14 §, 28 kap. 15 §, 28 kap. 17 § och 28 kap. 18 § ska ha följande lydelse,

dels att det ska införas ett nytt kapitel, 25 kap., och två nya paragrafer 35 a § i 12 kap. samt 11 a § i 28 kap. av följande lydelse.

Nuvarande lydelseFöreslagen lydelse

– – – – – – – – – – – – – – – – – – – – – – – – – – – – – – – – – – – – – – – – – – – – –

6kap. 12 §

För biståndsarbetare m.fl. enligt 5 kap. 6 § För sådana biståndsarbetare m.fl. som avses
som till följd av utlandsarbete inte omfattas av i 5 kap. 6 § och för sådana medföljande
den arbetsbaserade försäkringen och som efter familjemedlemmar som avses i 5 kap 8 §, som
utlandstjänstgöringens slut återvänder till Sverige har ansetts bosatta i Sverige under vistelse
ska efterskyddstiden börja löpa först efter utomlands, ska efterskyddstiden börja löpa först
återkomsten, om utlandstjänstgöringen varat efter återkomsten till Sverige, om den sker inom
längst fem år. eller direkt efter den tid då de enligt
  bestämmelserna i 5 kap. ansågs bosatta i Sverige
  under utlandsvistelsen.

– – – – – – – – – – – – – – – – – – – – – – – – – – – – – – – – – – – – – – – – – – – – –

25kap.

– – – – – – – – – – – – – – – – – – – – – – – – – – – – – – – – – – – – – – – – – – – –

40 §

En återställningsinkomst ska beräknas för enskilda som har återvänt till Sverige efter en utlandsvistelse under vilka de har ansetts bosatta i Sverige enligt 5 kap. 6 eller 8 §§. Den månad då den enskilde reste från Sverige räknas då som den månad från vilken förmån har beviljats och den månad då den enskilde återvände till Sverige räknas som den månad då förmånen upphörde.

– – – – – – – – – – – – – – – – – – – – – – – – – – – – – – – – – – – – – – – – – – – – –

1.Denna lag träder i kraft den 1 januari 2026.

2.De nya bestämmelserna tillämpas även på ersättningsperioder som har påbörjats före ikraftträdandet.

3.Äldre bestämmelser tillämpas fortfarande i fråga om förmåner som avser tid före den 1 januari 2026.

4.Om en enskilds sjukpenninggrundande inkomst vid ikraftträdandet skulle ha omfattats av SGI-skydd enligt äldre bestämmelser ska, om det är mer förmånligt för den enskilde, den del av den sjukpenninggrundande inkomsten som beräknats på

inkomst av anställning utgöra historisk inkomst med en tolfte del av årsinkomsten per månad för perioden januari–december 2025 som inkomst från anställning, och

– inkomst av annat förvärvsarbete utgöra historisk inkomst för kalenderåren 2023– 2025 som inkomst från näringsverksamhet.

7

Prop. 2025/26:1 Utgiftsområde 10 Bilaga 2

Förteckning över remissinstanserna

Efter remiss har yttranden inkommit från Afa Försäkring, Arbetsdomstolen, Arbetsförmedlingen, Arbetsgivarverket, Brottsförebyggande rådet, Centrala studiestödsnämnden (CSN), Domstolsverket, Egenanställningsföretagens Branschorganisation, Folke Bernadotteakademin, Företagarna, Förhandlings- och samverkansrådet PTK, Försvarsmakten, Försäkringskassan, Förvaltningsrätten i Stockholm, Göteborgs universitet, Inspektionen för arbetslöshetsförsäkringen (IAF), Inspektionen för socialförsäkringen (ISF), Institutet för arbetsmarknadspolitisk utvärdering (IFAU), Integritetsskyddsmyndigheten, Justitiekanslern, Kammarrätten i Sundsvall, Konjunkturinstitutet, Konstnärliga och Litterära Yrkesutövares Samarbetsnämnd (KLYS), Konstnärsalliansen, Konstnärsnämnden, Kronofogdemyndigheten, Landsorganisationen i Sverige (LO), Medlingsinstitutet, Migrationsverket, Myndigheten för delaktighet (MFD), Myndigheten för samhällsskydd och beredskap (MSB), Pensionsmyndigheten, Regelrådet, Riksidrottsförbundet, Skatteverket, Småföretagarnas riksförbund, Socialstyrelsen, Statens tjänstepensionsverk, Statskontoret, Stockholms universitet, Svensk försäkring, Svenska ILO-kommittén, Svenskar i Världen, Svenskt Näringsliv, Sveriges Akademikers Centralorganisation (Saco), Sveriges a-kassor, Sveriges förenade studentkårer (SFS), Styrelsen för internationellt utvecklingssamarbete (Sida), Sveriges förenade studentkårer, Sveriges Kommuner och Regioner, Sveriges Olympiska Kommitté och Tjänstemännens centralorganisation (TCO).

Följande remissinstanser har inte svarat eller angett att de avstår från att lämna ett yttrande: Business Sweden, Riksrevisionen och Saco studentråd.

8