Ds 2007:37

Sveriges företagande och konkurrenskraft

Internationell benchmarking

Näringsdepartementet

SOU och Ds kan köpas från Fritzes kundtjänst. För remissutsändningar av SOU och Ds svarar Fritzes Offentliga Publikationer på uppdrag av Regeringskansliets förvaltningsavdelning.

Beställningsadress: Fritzes kundtjänst 106 47 Stockholm Orderfax: 08-690 91 91 Ordertel: 08-690 91 90

E-post: order.fritzes@nj.se Internet: www.fritzes.se

Svara på remiss. Hur och varför. Statsrådsberedningen, 2003.

– En liten broschyr som underlättar arbetet för den som skall svara på remiss.

Broschyren är gratis och kan laddas ner eller beställas på http://www.regeringen.se/

Tryckt av Edita Sverige AB

Stockholm 2007

ISBN 978-91-38-22815-9

ISSN 0284-6012

Förord

Det övergripande målet för näringspolitiken är att stärka den svenska konkurrenskraften och skapa förutsättningar för fler jobb i fler och växande företag, för att därigenom bryta utanförskapet. Ett bra entreprenörs- och företagsklimat i hela landet är avgörande för att svensk ekonomi ska växa och vara livskraftig. Att jämföra hur Sverige står sig internationellt inom olika områden av betydelse för den ekonomiska utvecklingen och näringspolitiken är viktigt av flera skäl. Det belyser inom vilka områden Sverige behöver ytterligare utveckling och förnyelse samt inom vilka områden Sverige ligger väl till och rentav på framkant. Sverige har som land historiskt berikats av ett aktivt förhållningssätt till internationellt samarbete och öppenhet för impulser utifrån. Därför är det även framledes viktigt i förståelsen och uppbyggnaden av en lärande näringspolitik att utbytet av analyser, kunskap och erfarenheter inte stannar inom rikets gränser. Vi har mycket att lära av andra länder, att inspireras av, att utmanas av, och vi har också mycket att erbjuda andra och bidra med.

Den interna arbetsgruppen som ansvarat för rapporten har bestått av Carl Holmberg (projektledare), Sverker Härd, Henrik Robertsson, Malin Rosengård, Fredrik Åkerlind och Pär Torstensson. En tabellbilaga med dataunderlag till diagrammen i rapporten finns tillgänglig på regeringens hemsida: http://naringHTU .regeringen.se/dsUTH

Stockholm i oktober 2007

Maud Olofsson

Innehåll

SammanfattningTU

UT ..................................................................

 

 

 

 

 

 

7

MakroekonomiskTU

utveckling och konkurrenskraftUT ..........................

8

EntreprenörskapTU

UT................................................................................

 

 

 

 

 

 

 

11

Innovationer,TU

forskning och utvecklingUT ..........................................

13

UtbildningTU

och kompetensförsörjningUT............................................

15

ArbetsmarknadTU

UT..................................................................................

 

 

 

 

 

 

 

 

17

InformationsteknikTU

UT ...........................................................................

 

 

 

 

18

TransporterU

UT........................................................................................

 

 

 

 

 

 

 

 

 

 

 

20

EnergiTU

UT.................................................................................................

 

 

 

 

 

 

 

 

 

 

 

 

 

21

1TU

UT

InledningTU

UT...................................................................

 

 

 

 

 

 

 

 

 

23

2TU

UT

MakroekonomiskTU

 

utveckling och konkurrenskraftUT ...........

25

2TU

.1UT

IndikatorerTU

UT................................................................................

 

 

 

 

 

 

 

27

2TU

.2UT

MakroekonomiskTU

 

utvecklingUT...................................................

28

 

 

 

2TU

.2.1UT

 

UtvecklingTU

av BNPUT.......................................................

28

 

 

 

2TU

.2.2UT

 

OffentligaTU

finanserUT........................................................

30

 

 

 

2TU

.2.3UT

 

ArbetslöshetTU

och inflationUT ...........................................

32

 

 

 

2TU

.2.4UT

 

RäntaTU

och investeringarUT................................................

34

2TU

.3UT

InternationellTU

konkurrenskraftUT ...............................................

37

 

 

 

2TU .3.1UT Prisnivå,TU

inflation och växelkursUT..................................

39

 

 

 

2TU

.3.2UT

RelativTU

enhetsarbetskostnad och produktivitetUT ..........

42

 

 

 

 

 

 

 

 

 

 

 

 

 

 

 

 

 

 

3

Innehåll

Departementsserien, Ds 2007:37

 

 

2TU .3.3UT Utrikeshandel,TU

världsmarknadsandelar och

 

 

 

 

bytesförhållandeUT ............................................................

 

 

 

46

 

 

2TU .3.4UT UtländskaTU

direktinvesteringarUT......................................

52

 

 

2TU .3.5UT KorruptionsindexTU

UT..........................................................

 

54

 

 

2TU .3.6UT KonkurrenskraftTU

mätt som real BNI per capitaUT..........

55

 

 

2TU .3.7UT KonkurrenskraftsindexTU

UT.................................................

57

3TU UT

EntreprenörskapTU

UT

.........................................................

 

 

 

 

 

 

61

3TU

.1UT

IndikatorerTU

UT

................................................................................

 

 

 

 

 

 

 

 

 

 

 

62

 

 

3TU .1.1UT SverigesTU

position och slutsatserUT....................................

62

3TU

.2UT EntreprenörskapetsTU

betydelse för den ekonomiska

 

 

 

utvecklingenUT..............................................................................

 

 

 

 

 

 

 

 

 

 

 

66

3TU

.3UT ÅtgärderTU

för entreprenörskap och ökad sysselsättningUT .........

66

3TU

.4UT FöretagandeTU

– olika måttUT .........................................................

 

71

3TU

.5UT FöretagsdemografiTU

och tillväxt i nya företagUT..........................

76

3TU

.6UT AdministrativaTU

hinder för företagandeUT ...................................

82

3TU

.7UT

AktiebolagsbeskattningTU

UT ...........................................................

 

 

86

3TU

.8UT

AktiemarknadTU

och riskkapitalUT

.................................................

91

4TU UT

Innovationer,TU ..........................

forskning och utvecklingUT

97

4TU

.1UT

IndikatorerTU

UT................................................................................

 

 

 

 

 

 

 

 

 

 

 

 

98

 

 

4TU .1.1UT SverigesTU ....................................

position och slutsatserUT

99

4TU

.2UT SatsningarTU

på ................................forskning och utvecklingUT

100

4TU

.3UT UtgifterTU

för ..................................forskning och utvecklingUT

101

4TU

.4UT

ForskareTU

 

bland ......................................................sysselsattaUT

 

104

4TU

.5UT

PatentTU

UT ......................................................................................

 

 

 

 

 

 

 

 

 

 

 

 

 

 

 

 

105

4TU

.6UT

PubliceradeTU .................................................................

artiklar UT

 

 

 

 

 

107

4TU

.7UT

InnovationerTU ............................................................

 

i företagUT

 

 

 

 

108

4TU

.8UT ProduktionTU .......

och export av högteknologiska produkter UT

111

4

Innehåll

 

 

 

 

 

 

 

 

 

 

 

 

 

 

Departementsserien, Ds 2007:37

5TU UT

UtbildningTU

 

och kompetensförsörjningUT .........................

115

5TU

.1UT

IndikatorerTU

UT..............................................................................

 

 

 

 

 

 

 

 

 

 

 

116

 

 

5TU .1.1UT SverigesTU

position och slutsatserUT .................................

117

5TU

.2UT OffentligaTU

investeringar i utbildningUT ....................................

119

5TU

.3UT UtbudetTU

av utbildad arbetskraftUT............................................

120

5TU

.4UT

FramtidaTU

 

kompetensförsörjningUT ...........................................

125

6TU UT

ArbetsmarknadTU

UT.........................................................

 

 

 

 

 

 

 

131

6TU

.1UT

IndikatorerTU

UT..............................................................................

 

 

 

 

 

 

 

 

 

 

 

132

 

 

6TU .1.1UT SverigesTU

position och slutsatserUT .................................

133

6TU

.2UT

SysselsättningTU

UT .........................................................................

 

 

 

 

 

 

 

 

 

134

 

 

6TU .2.1UT ÅtgärderTU

för ökad sysselsättning och minskat

 

 

 

utanförskapUT .................................................................

 

 

 

 

 

136

 

 

6TU .2.2UT SysselsättningsgradTU

UT .....................................................

 

138

 

 

6TU .2.3UT ArbetadeTU

timmarUT.........................................................

 

 

140

 

 

6TU .2.4UT SysselsättningTU

bland utrikes föddaUT ............................

141

 

 

6TU .2.5UT UtträdeTU

från arbetsmarknadenUT...................................

143

6TU

.3UT

ArbetslöshetTU

UT ...........................................................................

 

 

 

 

 

 

 

 

 

 

144

 

 

6TU .3.1UT HarmoniseradTU

arbetslöshetUT ........................................

145

 

 

6TU .3.2UT LångtidsarbetslöshetTU

UT...................................................

146

 

 

6TU .3.3UT ArbetslöshetTU

bland ungdomarUT ...................................

147

6TU

.4UT

SjukfrånvaroTU

UT ...........................................................................

 

 

 

 

 

 

 

 

 

 

149

6TU

.5UT

DrivkrafterTU

för arbetsutbudUT ..................................................

151

6TU

.6UT

AnställningsskyddTU

UT..................................................................

 

 

 

 

 

156

6TU

.7UT

RörlighetTU

i arbetslivetUT ............................................................

 

 

157

7TU UT

InformationsteknikTU

UT

...................................................

 

 

 

161

7TU

.1UT

IndikatorerTU

UT..............................................................................

 

 

 

 

 

 

 

 

 

 

 

162

 

 

7TU .1.1UT SverigesTU

position och slutsatserUT .................................

163

7TU

.2UT

AnvändningTU

av informationsteknikUT ......................................

164

 

 

7TU .2.1UT PolitikTU

för ökad nytta av informationsteknikUT ...........

165

7TU

.3UT BetydelsenTU

 

av IT för ekonomisk tillväxtUT ..............................

165

5

Innehåll

Departementsserien, Ds 2007:37

7TU

.4UT UtgifterTU

för användning av informationsteknikUT...................

166

7TU

.5UT

InternetanvändningTU

UT ................................................................

 

 

 

 

 

 

 

 

 

167

7TU

.6UT

ITTU i arbetslivetUT.........................................................................

 

 

 

 

 

 

 

 

 

 

 

 

 

171

7TU

.7UT

KostnadTU

för telefoniUT ...............................................................

 

 

 

 

 

 

 

 

 

172

7TU

.8UT

MarknadsstrukturenTU

i telesektornUT.........................................

175

8TU UT

TransporterU

UT

..............................................................

 

 

 

 

 

 

 

 

 

 

 

 

 

 

177

8TU

.1UT

IndikatorerTU

UT..............................................................................

 

 

 

 

 

 

 

 

 

 

 

 

 

 

 

 

178

 

 

8TU .1.1UT SverigesTU

position och slutsatserUT..................................

179

 

 

8TU .1.2UT ÅtgärderTU

för att förbättra transportsystemetUT............

181

8TU

.2UT

TransportinvesteringarU

UT...........................................................

 

 

 

 

182

8TU

.3UT HurTU

effektivt är distributionsnätet?UT......................................

184

8TU

.4UT StockholmsTU

flygförbindelser med utlandetUT ..........................

185

8TU

.5UT

HållbarhetsperspektivTU

UT ............................................................

 

 

 

 

 

188

 

 

8TU .5.1UT GodstransporterTU

UT..........................................................

 

 

 

188

 

 

8TU .5.2UT VägtransporterTU

UT

............................................................

 

 

 

 

 

189

 

 

8TU

.5.3UT

 

EnergikonsumtionTU

i transportsektornUT.......................

190

 

 

8TU

.5.4UT

 

UtsläppTU

av koldioxidUT...................................................

 

192

9TU UT

EnergiTU

UT .....................................................................

 

 

 

 

 

 

 

 

 

 

 

 

 

 

 

 

 

 

195

9TU

.1UT

IndikatorerTU

 

 

och utfallUT

.............................................................

 

 

 

 

 

 

 

195

 

 

9TU .1.1UT SverigesTU

position och slutsatserUT..................................

196

 

 

9TU .1.2UT ÅtgärderTU

för konkurrenskraftig energiförsörjningUT ...

199

9TU

.2UT

BenchmarkingTU

av energiUT.........................................................

 

 

200

 

 

9TU .2.1UT EnergiintensitetTU

UT...........................................................

 

 

 

 

200

 

 

9TU

.2.2UT

 

FörnybaraTU

energikällorUT ...............................................

 

203

 

 

9TU .2.3UT KoldioxidutsläppTU

UT.........................................................

 

 

205

 

 

9TU

.2.4UT

 

PriserTU

på elmarknadernaUT .............................................

 

206

 

 

9TU

.2.5UT

 

KonkurrensenTU

på elmarknadenUT ..................................

209

 

 

9TU .2.6UT EnergiinfrastrukturindexTU

UT ............................................

211

ReferenserTU

UT.......................................................................

 

 

 

 

 

 

 

 

 

 

 

 

 

 

 

 

 

 

 

213

6

Sammanfattning

Denna rapport syftar till att visa Sveriges position och utveckling jämfört med andra länder inom områden som är viktiga för näringspolitiken. Genom länderjämförelser kan indikationer ges om eventuella styrkor och svagheter i Sverige jämfört med andra länder. De områden som belyses har direkt eller indirekt inverkan på Sveriges konkurrenskraft och allmänna tillväxtförutsättningar. En generell utgångspunkt för valet av indikatorer är att de inverkar på eller belyser Sveriges konkurrenskraft. Urvalet av länder i jämförelserna är i första hand de 23 rikaste OECD-länderna mätt som köpkraftsjusterad BNP per capita. Då statistikkällorna i vissa fall innehåller färre länder blir den internationella jämförelsen mer begränsad.

Rapporten omfattar jämförelser på följande områden:

Makroekonomisk utveckling och konkurrenskraft

Entreprenörskap

Innovationer, forskning och utveckling

Utbildning och kompetensförsörjning

Arbetsmarknad

Informationsteknik

Transporter

Energi

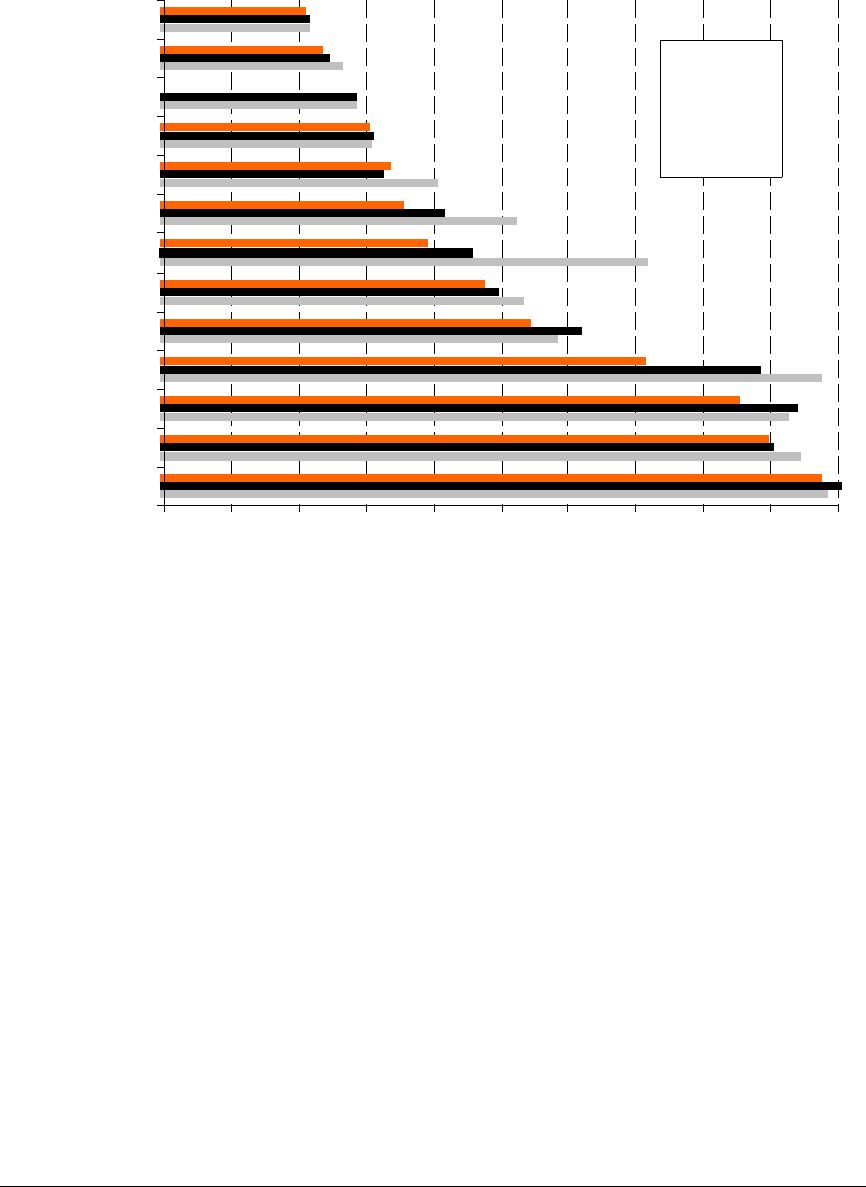
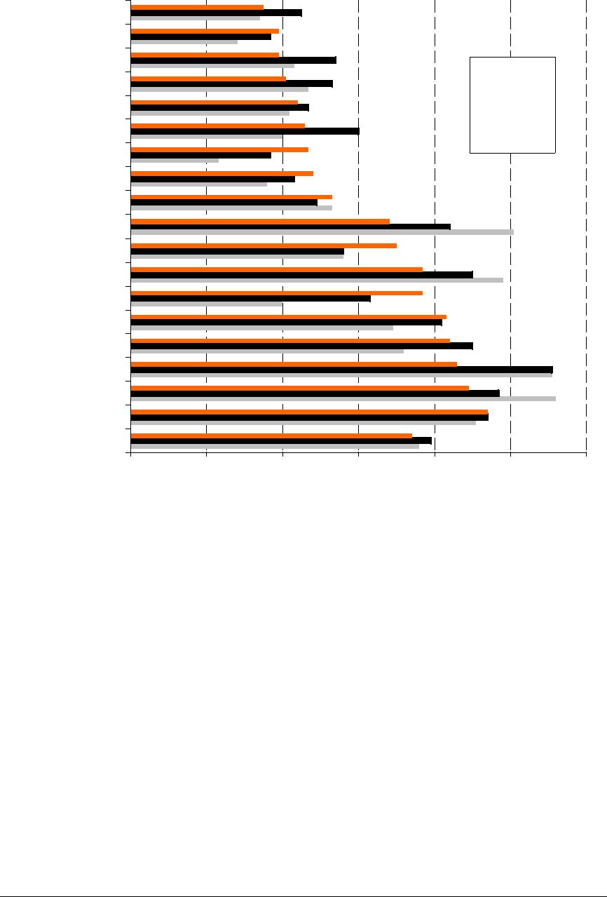
De internationella jämförelserna illustreras med ”diagram” och ”figur”. Då begreppet ”diagram” används betyder det att måttet används som en indikator för Sveriges internationella position. Begreppet ”figur” används som benämning på illustrationer för att understödja olika resonemang och sammanfattningar.

Sveriges position sammanfattas i s.k. spindeldiagram. Dessa illustrationer är konstruerade så att det sämsta landets resultat

7

Sammanfattning

Ds 2007:37

placeras i centrum och det bästa landets resultat placeras i yttersta änden av spindeldiagrammet för respektive indikator, dvs. resultaten är normaliserade. De bästa resultaten för alla indikatorer sammanbinds med den streckade yttre linjen i figuren även om det rör sig om olika länder. Utöver de bästa och sämsta resultaten indikeras även Sveriges och medianlandets resultat för respektive indikator i spindeldiagrammet. Sveriges position sammanbinds med en orange linje, medan medianvärdet för länderna sammanfogas till en ljusgrå mängd. Efter varje indikatornamn i figurerna anges Sveriges placering bland länderna samt, inom parentes, hur många länder som ingår i jämförelsen. Eftersom avståndet mellan det bästa och det sämsta resultatet bland länderna är normaliserat, får man av spindeldiagrammet även en uppfattning om avståndet mellan Sverige, topplandet, medianlandet och det sämst placerade landet för respektive indikator.

Makroekonomisk utveckling och konkurrenskraft

De senaste 10-12 åren har BNP-tillväxten i Sverige varit högre i förhållande till EU, men lägre i jämförelse med USA. Sverige har dock haft ungefär samma tillväxt per capita som USA. En starkt bidragande orsak till den goda tillväxten i Sverige är den snabba produktivitetsökningen inom tillverkningsindustrin.

Trots den goda tillväxten har sysselsättningsutvecklingen i Sverige varit svag och arbetslösheten har legat kvar på en, för svenska mått, hög nivå sedan krisen på 1990-talet. Sverige har sedan dess inte någon exceptionellt låg arbetslöshet jämfört med andra länder. Regeringen har därför genomfört åtgärder i syfte att bryta denna trend genom att stimulera både utbudet (t.ex. jobbavdrag) och efterfrågan (t.ex. nystartsjobb) på arbetsmarknaden.

Inflationstakten har varit låg och räntorna har fallit i Sverige. De offentliga finanserna har förbättrats avsevärt, bl.a. genom överskottsmålet och reformering av budgetprocessen med införande av utgiftstak. Det strukturella sparandet är positivt och relativt högt och den konsoliderade bruttoskulden har minskat och ligger idag klart under EU:s stabilitets- och tillväxtpakts norm på 60 procent av BNP.

Trots en god tillväxt och låga räntor fortsätter investeringsnivån, mätt som andel av BNP, att vara låg i Sverige. Sverige ligger näst sist bland 21 jämförbara OECD-länder. Bakom

8

Ds 2007:37

Sammanfattning

denna låga nivå ligger främst låga bostadsinvesteringar. Om dessa exkluderas är investeringsnivån inte längre påfallande låg i Sverige.

Prisnivån i Sverige är oförändrat hög men utgör inget problem i den mening att inflationstakten historiskt sett är låg. Sveriges handelsviktade växelkurs har minskat med 1,4 procent under 2000- 2005, medan den ökat för de flesta jämförda länder under perioden. Den relativa arbetskraftskostnaden per producerad enhet har minskat i Sverige, mer än i de flesta jämförbara länder. Detta beror främst på en god arbetsproduktivitetstillväxt och en försvagad växelkurs. I genomsnitt var kostnaden drygt 20 procent lägre 2002- 2006 än den var 1997.

Sedan 1990-talskrisen har Sveriges export trendmässigt ökat som andel av BNP till följd av en god efterfrågan på svenska produkter och en stark internationell konjunktur. Sett över en längre tid har Sveriges sammanlagda världsmarknadsandel minskat, från 2,1 procent 1970 till 1,34 procent 2006.TPF1FPT Detta förklaras bara till en del av de ökade handelsvolymerna i världen. De övriga orsakerna är minskad konkurrenskraft, främst genom olika kostnadskriser under 1970- och 1980-talen, samt ett försämrat bytesförhållande. Den goda ekonomiska utvecklingen sedan mitten av 1990-talet har lett till en viss stabilisering av Sveriges världsmarknadsandel. Men samtidigt har Sveriges bytesförhållande, dvs. kvoten mellan export- och importpriser, i genomsnitt minskat med 0,9 procent per år mellan 1995 och 2006.TPF2FPT Det försämrade bytesförhållandet tillsammans med de ökande handelsvolymerna i världen är huvudförklaringarna till varför den goda exportutvecklingen inte slår igenom i handelsstatistiken under denna period. Så länge som exportindustrin ökar sin produktivitet i sådan utsträckning att det kompenserar för det försämrade bytesförhållandet utgör det minskade bytesförhållandet inget problem.

Korruptionsnivån i Sverige är fortsatt mycket låg i en internationell jämförelse. De utländska direktinvesteringarna är förhållandevis stora i Sverige vilket tyder på att Sverige är intressant för utländska investerare.

Real BNI per capita i den arbetsföra befolkningen, nyligen introducerat som konkurrenskraftsmått av Institutet för tillväxtpolitiska studier (ITPS), visar hur Sveriges konkurrenskraft

1TP SverigePT har ökat sin världsmarknadsandel inom tjänstehandeln de senaste 10 åren. Handelsstatistiken är från WTO, Trade Statistics.

2TP PT Konjunkturinstitutet, Konjunkturläget augusti 2007.

9

Sammanfattning

Ds 2007:37

försvagades kraftigt mellan 1987-1993 jämfört med 11 jämförbara OECD-länder. Sedan 1994 har den svenska konkurrenskraften stärkts något i förhållande till dessa länder. World Economic Forum rankar Sverige som det tredje mest konkurrenskraftiga landet i världen år 2006, medan International Institute for Management Development (IMD) placerar Sverige på nionde plats år 2007.

10

Ds 2007:37

Sammanfattning

Entreprenörskap

Indikatorer

Överlevnadsgrad företag 2 år 2 ( 10 )

Skattekil på arbete 16

( 23 )

Tillväxt i nya företag 8 ( 16 )

Sysselsättningstillväxt i

 

Antal företag per innevånare

privat tjänstesektor 12 ( 12 )

4 ( 11 )

Nystartade företag 11

( 12 )

Andel företagare i

arbetskraften 19 ( 23 )

 

 

 

Nyföretagaraktivitet i

 

befolkningen

17(19)

 

 

 

 

Toppland

 

 

Medianland

Sverige

 

 

 

 

 

 

 

 

 

 

 

 

 

 

 

 

 

 

 

 

 

 

 

 

 

 

 

 

 

 

 

 

 

 

 

 

 

 

Effektiv bolagsbeskattning

 

 

 

 

 

 

5 ( 19 )

 

 

 

Konkursprocess, år 18 ( 23 )

 

 

 

Riskkapital i tidiga skeden

 

 

 

2 ( 17 )

 

 

 

 

 

 

 

 

 

 

 

 

 

Procedurer, företagsstart

 

 

 

Riskkapital i expansions-

4 ( 23 )

 

 

 

 

skeden 2 ( 17 )

 

 

Kostnader, starta företag

 

 

 

Marknadskapitalisering av

6 ( 23 )

 

 

 

 

aktier 7 ( 18 )

 

 

 

 

 

 

 

 

 

 

 

 

 

Toppland

 

 

 

Medianland

Sverige

 

 

 

 

 

 

 

 

 

 

 

 

 

 

 

 

 

 

 

 

 

 

 

 

 

 

 

Källa: se respektive indikator i kapitel 3.

11

Sammanfattning

Ds 2007:37

Länderjämförelsen visar en något splittrad bild av Sveriges position inom området. Sverige har en relativt låg andel företagare i arbetskraften jämfört med andra OECD-länder. Olika relationsmått rörande förekomst av nya företag visar på förhållandevis låga eller genomsnittliga värden för Sverige jämfört med andra länder. Med dessa mått på företagande är Sveriges position i stort sett oförändrad i länderjämförelsen under de studerade tidsperioderna.

Det är viktigt att nya företag etableras för förnyelsen i näringslivet. De nya företagen bidrar över tiden till stigande produktivitet på åtminstone två sätt. Dels har de företag som läggs ned i regel lägre produktivitetsnivå än de som tillkommer, dels bidrar nya företag till att upprätthålla konkurrenssituationen och förstärker på så sätt incitamentet till ökad produktivitet bland befintliga företag. Genom stigande produktivitet kan reallöner och levnadsstandard stiga. Det är därför angeläget att underlätta för företagen genom att undanröja onödiga hinder för att starta och driva företag. De åtgärder som regeringen har genomfört och planerar att genomföra ligger i linje med denna strävan.

I ett internationellt perspektiv har sysselsättningstillväxten i privat tjänstesektor varit förhållandevis svag i Sverige. De skattesänkningar på arbete som regeringen genomfört bidrar till minskade kostnader för företagen att anställa fler personer. Genom att sänka arbetsgivaravgifterna i tjänstesektorn stimuleras till sysselsättningsökning bland de små- och medelstora företagen.TPF3FPT Åtgärder för att vidga möjligheterna till att bedriva privat vård bidrar likaså till sysselsättningsökning i den privata tjänstesektorn.

Med de få mått som kan kopplas till företagens administrativa börda och som kan jämföras mellan olika länder ligger Sverige förhållandevis bra till. Däremot är tidsperioden för att genomföra en konkursprocess förhållandevis lång i Sverige. Regeringens mål om att minska den administrativa bördan i företagen med minst 25 procent till år 2010 syftar till att öka företagens möjligheter till att växa genom att mindre resurser behövs för administrativt arbete.

Enligt statistik som finns tillgänglig rörande företagstillväxt i olika länder förefaller Sverige ha ungefär lika många snabbväxande

3TP ÅrPT 2004 uppgick det genomsnittliga antalet anställda till 6,9 personer bland varuproducerande företag (exkl. jord- och skogsbruk). Bland tjänsteproducerande företag uppgick det genomsnittliga antalet anställda till 2,5 personer år 2004. Källa: ITPS.

12

Ds 2007:37

Sammanfattning

nya företag, s.k. gaseller, som i andra jämförbara länder. Bland de företag som startas i Sverige så överlever en förhållandevis hög andel jämfört med i andra länder.

Den effektiva bolagsbeskattningen i Sverige ligger något lägre än genomsnittet bland 19 jämförda europeiska länder. Sveriges position är inte lika gynnsam som tidigare eftersom andra länder har sänkt bolagsskattesatserna.

Riskkapitalbolagens investeringar i onoterade bolag är förhållandevis höga i Sverige i jämförelse med andra EU-länder. I förhållande till placeringar i noterade bolag är beloppen emellertid små i alla jämförda länder.

Innovationer, forskning och utveckling

Indikatorer

 

FoU-utgifter 1 ( 24 )

 

 

Högtekn. export 10 ( 23 )

 

Forskare 2 ( 22 )

Förädlingsvärde i högtekn.

 

Patent EPO 3 ( 24 )

industri 7 ( 22 )

 

 

 

 

Innovativ omsättning 2 ( 13 )

 

Patent USPTO 5 ( 24 )

 

Innovativa företag 7 ( 17 )

Publiceringar 2 ( 23 )

 

 

 

 

 

 

 

Toppland

 

Medianland

Sverige

 

 

 

 

 

 

 

 

 

 

 

 

 

Källa: Se respektive indikator i kapitel 4.

Sverige är det OECD-land som har de största FoU-utgifterna i förhållande till BNP. FoU-satsningarna har emellertid minskat något de senaste åren. Samtidigt visar indikatorerna för resultat av FoU i Sverige en högre nivå än de flesta andra OECD-länder även om Sverige inte ligger i topp på någon av dem.

13

Sammanfattning

Ds 2007:37

I förhållande till topplandet har Sverige klart färre patent per capita medan antalet publicerade artiklar är i paritet med topplandet. När det gäller patent i Europa sticker topplandet Schweiz ut med betydligt fler patent per capita än både Tyskland, Sverige och Finland. På den nordamerikanska marknaden är det USA och Japan som har flest patent per capita.

Det saknas entydiga mått på resultat av FoU i företagens produktion och försäljning. Ett fåtal indikatorer kan dock vara av intresse att jämföra mellan olika länder. Sverige har en relativt god totalfaktorproduktivitetstillväxt, vilket indikerar god förmåga till förnyelse och effektiviseringar. Även arbetsproduktivitetstillväxten är mycket hög i Sverige i ett internationellt perspektiv.

Andelen svenska företag med innovationsverksamhet ligger nära genomsnittet i länderjämförelsen. Omsättningen från nya produkter i dessa företag är dock mer betydande i Sverige än i de flesta andra jämförda länder. Sverige har en stor del av förädlingsvärdet förlagt till den hög- och medelteknologiska industrin, medan exporten av högteknologiska produkter ligger på medelnivå i jämförelse med andra OECD-länder.

Eftersom FoU-satsningar är av central betydelse för innovationer och konkurrenskraft har regeringen tillfört ytterligare medel till svensk universitetsforskning.

14

Ds 2007:37

Sammanfattning

Utbildning och kompetensförsörjning

Indikatorer

Offentliga utgifter 4 ( 23 )

Kompetensutveckling

Andel med minst

1 ( 18 )

gymnasieutb. 4 ( 24 )

Ekonomiska incitament,

Andel med minst 3-årig

kvinnor 9 ( 10 )

högskoleutb. 11 ( 24 )

Ekonomiska incitament,

Andel 25-34 år med minst

3-årig högskoleutb.

män 9 ( 10 )

10 ( 23 )

 

Medianålder för

Nyutexaminerade

högskolenybörjare 15 ( 16 )

tekniker/naturvetare 6 ( 19 )

15-åringars kunskaper i

15-åringars läsförståelse

matematik 11 ( 21 )

7 ( 22 )

Toppland

 

Medianland

Sverige

 

Källa: Se respektive indikator i kapitel 5.

Vid jämförelse med andra länder av offentliga investeringar och tillgång på utbildad arbetskraft är Sveriges position god. Sverige ligger högre än flertalet länder vad gäller andel av befolkningen med minst gymnasieutbildning och i mitten av länderfördelningen när man mäter andelen av befolkningen som har minst 3-årig högskoleutbildning.

Indikatorer som belyser den framtida kompetensförsörjningen i Sverige varierar i ett internationellt perspektiv. Kunskaper bland 15-åringar varierar från goda i läsförmåga till mer internationellt genomsnittliga i matematik.

De ekonomiska incitamenten till högskoleutbildning är lägre i Sverige än i andra länder. Sverige har också en högre medianålder för högskolenybörjare än de flesta andra länder. De indikatorer som belyser tillgången på utbildad arbetskraft har utvecklats positivt.

Skillnaderna mellan länderna när det gäller utgifter för utbildning, tillgång på kompetens och kvalitet i utbildningssystemen minskar. Det försprång som flera länder, däribland Sverige, har haft under en längre tid blir sålunda allt mindre. I jämförelse med andra länder är dock läget för Sverige

15

Sammanfattning

Ds 2007:37

alltjämt relativt gynnsamt. Investeringarna i utbildning är höga, utbildningsnivån i befolkningen är hög även om andelen högskoleutbildade ligger på en genomsnittlig nivå. Andelen nyutexaminerade naturvetare och tekniker är hög i jämförelse med andra länder och när det gäller kompetensutveckling förefaller Sverige ligga i topp.

Men ett flertal bekymmersamma tendenser bör också uppmärksammas. Stora resurser tillförs utbildningssystemen, men resultaten i internationella kompetensmätningar som PISA är inte alltid i nivå med investeringarna. Det kan tolkas som ett effektivitetsproblem. Nationella studier visar också en försämrad resultatutveckling över tid och denna trend bekräftas av andra internationella studier. En internationellt sett hög andel naturvetare och tekniker behöver inte innebära att det inte finns en brist på sådan kompetens på den svenska arbetsmarknaden.

Den höga genomsnittsåldern för högskolenybörjare indikerar vidare ett effektivitetsproblem i form av långa genomströmningstider i ungdomsskolan och fördröjd övergång mellan gymnasieskola och högskola. Genomsnittsåldern i vuxenutbildningen är låg och här finns sannolikt ett systemproblem – vuxenutbildningen har i ökande grad fått en funktion som en förlängning av gymnasieskolan, även om denna trend avstannat under de senaste åren. Det leder till försenad etablering på arbetsmarknaden vilket är problematiskt ur ett arbetsutbudsperspektiv. De individuella ekonomiska incitamenten för högskoleutbildning är låga, vilket kan påverka kompetensförsörjningen på längre sikt.

16

Ds 2007:37 Sammanfattning

Arbetsmarknad

Indikatorer

Sysselsättningsgrad 6 ( 24 )

Rörlighet i arbetslivet

Arbetade timmar 13 ( 18 )

12 ( 18 )

 

Anställningsskyddets

Sysselsättningsgrad, utrikes

strikthet 17 ( 22 )

födda 13 ( 19 )

Marginaleffekten vid övergång från arbetslöshet

Utträdesålder från

till arbete 17 ( 19 )

arbetsmarknaden 3 ( 18 )

Nettokompensationsnivå

Arbetslöshet 11 ( 18 )

10 ( 24 )

Skattekil på löneinkomst

Långtidsarbetslöshet 3 ( 20 ) 22 ( 24 )

Ungdomsarbetslöshet

Sjukfrånvaro 8 ( 8 )

15 ( 18 )

Toppland

 

Medianland

Sverige

 

Källa: Se respektive indikator i kapitel 6.

Sverige har förhållandevis hög sysselsättning jämfört med andra länder då man mäter antalet sysselsatta i relation till befolkningen. Däremot är antalet faktiskt arbetade timmar i befolkningen inte särskilt hög i Sverige, omkring genomsnittet för EU-länderna. I Sverige är sysselsättningsgraden bland utrikes födda betydligt lägre än i den övriga delen av befolkningen. Sedan mitten av 1990-talet och fram till 2005 har emellertid sysselsättningsgraden stigit snabbare bland utrikes födda än bland övriga i förvärvsaktiv ålder i Sverige liksom i många andra OECD-länder.

Arbetslösheten är numera högre i Sverige än i merparten av de jämförda länderna. Arbetslösheten är särskilt hög bland ungdomar. Andelen långtidsarbetslösa har emellertid minskat och i detta avseende ligger Sverige bättre till i en internationell jämförelse. Sjukfrånvaron har minskat i Sverige under de senaste åren. Sverige ligger trots det högt jämfört med andra länder.

Indikatorerna som avspeglar drivkrafter för arbetsutbud visar på att Sverige sammantaget placerar sig under genomsnittet för OECD-länderna. För att öka incitamenten till att delta på arbetsmarknaden, och på så sätt öka sysselsättningen, har regeringen infört jobbskatteavdrag och arbetslöshetsförsäkringen har förändrats. För att ett ökat arbetsutbud ska mötas av ökad

17

Sammanfattning

Ds 2007:37

efterfrågan på arbetskraft har även åtgärder för att stimulera efterfrågan på arbetskraft införts. Exempel på sådana åtgärder är borttagande av den särskilda löneskatten för personer över 65 år, halverad arbetsgivaravgift för personer i åldersgruppen 18-24 år, nystartsjobb samt skattereduktion för vissa hushållsnära tjänster.

Det enligt lag reglerade anställningsskyddet är förhållandevis strikt i Sverige. Detta kan utläsas i OECD:s indikator över ”anställningsskyddets strikthet”. Anställningsvillkor enligt anställningsavtal i olika länder återspeglas emellertid inte i detta mått.

Informationsteknik

Indikatorer

 

IT-investeringarnas bidrag till

 

 

BNP-tillväxt 3 ( 19 )

 

 

 

Marknadsandel f.d.

 

 

 

IT-utgifter 1 ( 18 )

 

monopolist 2 ( 14 )

 

 

 

 

 

 

 

 

 

Kostnad för fast telefoni

 

 

 

Internet i hemmet

12 ( 24 )

 

 

 

4 ( 17 )

 

Mobiltelefonkostnader

 

 

 

Bredband 8 ( 24 )

4 ( 24 )

 

 

 

 

 

 

 

 

 

IT-relaterad sysselsättning

 

 

4 ( 21 )

 

 

Internethandel 2 ( 17 )

 

 

 

 

 

 

 

 

 

 

 

 

 

Toppland

 

 

Medianland

Sverige

 

 

 

 

 

 

 

 

 

 

 

 

 

 

 

 

Källa: Se respektive indikator i kapitel 7.

Sverige har länge varit ett av de ledande länderna inom informationsteknik (IT). Den bilden ges även av indikatorerna för IT i denna rapport då Sverige placerar sig på den övre halvan i länderjämförelsen för samtliga indikatorer. Ekonomisk forskning visar att bidraget till BNP-tillväxten av IT-satsningar har varit betydande och Sverige ligger högt i en internationell jämförelse. Sverige är det land som, trots att de minskat under senare år, har de största utgifterna för IT i förhållande till BNP. IT-investeringarnas

18

Ds 2007:37

Sammanfattning

bidrag till BNP-tillväxten har generellt sett ökat sedan mitten av 1990-talet.

Andelen hushåll som har en internetuppkoppling och andel av befolkningen som handlar varor och tjänster över Internet är hög i Sverige. Det är få länder som har större andelar än Sverige och avståndet till det bästa landet är relativt litet. När det gäller antalet bredbandsuppkopplingar i Sverige har de visserligen ökat snabbt de senaste åren, men ökningen har varit ännu snabbare i flera andra länder.

Andelen IT-relaterad sysselsättning i Sverige ligger i paritet med övriga nordiska länder och Nederländerna. Det är endast två länder som har en högre IT-relaterade sysselsättningen än Sverige, Luxemburg och Storbritannien. En stor del av förklaringen till skillnaden beror troligtvis på skillnad i branschstruktur.

I Sverige, som är ett av de länder som tidigt avreglerade telemarknaden, har den före detta monopolisten inom fast telefoni en mindre marknadsandel än i merparten av övriga länder. De svenska företagens kostnader för fast telefoni ligger nära genomsnittet för OECD. Kostnaden för mobil telefoni i Sverige är dock bland de lägsta i OECD.

Omfattningen och användningen av IT ökar alltjämt i Sverige även om utgifterna för IT minskat lite under de senaste åren. Även i övriga jämförda länder ökar omfattningen av IT. Sverige behåller dock i stort sin goda position relativt andra länder trots att vissa länder nivåmässigt närmar sig Sverige.

19

Sammanfattning

Ds 2007:37

Transporter

Indikatorer

 

 

Transportinvesteringarnas

 

 

 

 

andel av BNP 4 ( 10 )

 

 

 

Energikonsumtion

 

 

 

Uppfattning om

per transportslag 6 ( 17 )

 

 

 

infrastrukturnätet 8 ( 24 )

Andel godstransporter

 

 

 

Vistelsetid, resor

med sjöfart och järnväg

 

 

 

 

 

 

från Sverige 9 ( 17 )

3 ( 15 )

 

 

 

 

 

 

 

 

Vägtransporternas

 

 

 

Vistelsetid, resor

andel av godstransporterna¨'

 

 

 

 

 

 

till Sverige 11 ( 17 )

1 ( 17 )

 

 

 

 

 

 

 

 

 

 

Koldioxidutsläpp från

 

 

 

 

vägtrafik 15 ( 23 )

 

 

 

 

 

 

 

 

 

 

Toppland

 

 

Medianland

Sverige

 

 

 

 

 

 

 

 

 

 

 

 

 

 

 

 

Källa: Se respektive indikator i kapitel 8.

Investeringar i transportinfrastrukturen är en förutsättning för att skapa och bibehålla en god tillgänglighet till varor, tjänster och för att öka konkurrenskraften. Resultat från forskning om infrastruktur visar att ny eller förbättrad infrastruktur leder till att transportkostnaderna minskar.

Spindeldiagrammet visar omfattning av infrastruktur- investeringar och indikatorer som speglar effektivitet och miljöbelastning i transportsystemet.

Infrastrukturinvesteringarna, mätt som andel av BNP, har varit förhållandevis låga i Sverige jämfört med andra länder under lång tid. I mitten av 1990-talet steg dock investeringarna till nivåer något över Europagenomsnittet och har sedan dess legat stabilt. Indikatorer avseende vistelsetiden för resor till och från Arlanda uppvisar en vikande trend. Ett skäl för detta kan vara att konkurrensen från lågprisbolagen, som nyttjar andra flygplatser än Arlanda, har ökat.

När det gäller indikatorerna som avser att visa graden av miljöanpassning inom transportsektorn ligger Sverige bättre till. Sverige har då det gäller godstransporter en relativt god fördelning mellan de olika transportslagen jämfört med andra länder. Detta

20

Ds 2007:37

Sammanfattning

innebär att Sverige transporterar mer via järnväg och sjöfart än flertalet av de jämförda länderna. I den internationella jämförelsen transporterar Sverige lägst andel av godstransporterna via väg. Detta återspeglas dock inte av koldioxidutsläppen för transporter, där Sverige enbart ligger runt medianen men där trenden visserligen visar att utsläppen inte ökar.

Regeringen satsar de kommande åren på att förbättra rörligheten på arbetsmarknaden för individer och företag. De flaskhalsar som finns i framförallt storstäderna ska minska genom utbyggnaden av järnvägsnätet i Stockholmsregionen. I syfte att skapa mer kostnadseffektiva finansieringslösningar för infrastruktursatsningar utreder regeringen om exempelvis s.k. Offentlig-Privat Samverkan (OPS) kan vara ett bra komplement. Denna alternativa finansieringsmöjlighet syftar till att öka effektiviteten i investeringarna och nedbringa livscykelkostnaderna.

Energi

Indikatorer

Energiintensitet 16 (24)

Energiinfrastruktur 17 (24)

Marknadskoncentration av elproducenter 8 (13)

Hushållens elpris inkl. skatter 11 (16)

Industrins elpris inkl. skatter 3 (16)

Förbättring av förädlings- värde per energi- användning 2 (15)

Andel förnybar energi i elproduktionen 7 (24)

Koldioxidutsläpp i förhållande till energitillförseln 2 (24)

Toppland

 

Medianland

Sverige

 

 

 

 

 

 

Källa: Se respektive indikator i kapitel 9.

Indikatorerna ger sammantaget en antydan om att Sverige ligger förhållandevis väl till på energiområdet. Framför allt gäller detta energieffektivisering, andel förnybar energi och koldioxidutsläpp.

21

Sammanfattning

Ds 2007:37

Industrins elpris är också relativt lågt i jämförelse med andra västeuropeiska länder. Sverige ligger sämre till när det gäller marknadskoncentration på elmarknaden, hushållens elpriser och industriledares uppfattning av infrastrukturen på energiområdet.

Sveriges energiintensiva industristruktur och kalla klimat gör att Sverige ligger under medianlandet, på 16:e plats av 24 länder, i energiintensitet. Detta är inget problem i sig men användarna kan emellertid öka sin energieffektivitet. En sådan utveckling har ägt rum för industrin i Sverige. Detta kan utläsas i att förädlingsvärdet i förhållande till energiförbrukningen ökat mer än i de flesta andra europeiska länder. I den indikator som mäter förbättringen sedan 1996 intar Sverige andra plats bland de 15 jämförda länderna, efter Luxemburg men klart över genomsnittet i EU.

Genom en stor andel vattenkraft ligger Sverige väl till vad gäller andelen förnybar energi i elproduktionen, på 7:e plats bland 24 länder. Bilden försämras något om vattenkraft exkluderas i jämförelsen. Vattenkraftsutbyggnaden återspeglas även i Sveriges placering vad gäller koldioxidutsläpp i förhållande till energitillförseln. Sverige har den näst lägsta kvoten efter Island och ligger klart under medianlandets utsläppsnivå.

Skillnaden mellan de svenska elpriserna för industri respektive hushåll är tydlig. I Sverige betalar industrin ett klart lägre elpris än hushållen, främst p.g.a. skatteskillnader. För båda typkunderna har den långsiktiga prisutvecklingen varit stigande sedan avregleringen 1996. Prisutveckling beror på en mängd faktorer, såsom stigande priser på fossila bränslen, höjda skatter, införandet av handel med utsläppsrätter samt en ökad integration med länder med högre elpriser. Sverige ligger på tredje plats vad gäller industrins elpriser och på 11:e plats vad gäller hushållens elpriser. I det senare fallet beror placeringen i hög grad på skatterna. Sverige hamnar på 6:e plats om hushållens elpriser exklusive skatt jämförs. Marknads- koncentrationen på elmarknaden kan också ha betydelse för elpriset. Sverige återfinns i mitten av länderfördelningen när det gäller den största elproducentens marknadsandel, Vattenfall med 47 procent av elproduktionen under 2005. Om man betraktar hela den integrerade nordiska elmarknaden skulle denna däremot bli topplacerad i en jämförelse av den största elproducentens marknadsandel, ca 20 procent. Trots det har koncentrationen på den nordiska marknaden idag uppnått en sådan nivå att Energimarknadsinspektionen (2006) inte längre anser att den är oproblematiskt.

22

1 Inledning

Denna rapport syftar till att visa Sveriges position och utveckling jämfört med andra länder inom områden som är viktiga för näringspolitiken. Genom länderjämförelser kan indikationer ges om eventuella styrkor och svagheter i Sverige jämfört med andra länder. De områden som belyses har direkt eller indirekt inverkan på Sveriges konkurrenskraft och allmänna tillväxtförutsättningar.

Analysen av för- och nackdelar med olika näringspolitiska arrangemang i olika länder faller utanför ramen för denna rapport. En särskild vikt läggs vid entreprenörskap som är en hörnsten för en positiv utveckling av Sveriges näringsliv. I det inledande kapitlet redovisas en översiktlig bild av Sveriges makroekonomiska utveckling i ett internationellt perspektiv. Rapporten innehåller ett stort antal indikatorer med länderjämförelser över det näringspolitiska området. En generell utgångspunkt för valet av dessa indikatorer är att de inverkar eller belyser Sveriges konkurrenskraft.

Urvalet av länder i jämförelserna är i första hand de 23 rikaste OECD-länderna mätt som köpkraftsjusterad BNP per capita samt Portugal. Portugal ingår i jämförelserna för att få med alla EU15- länder. I den mån andra länder bedöms som intressanta så tas dessa med i jämförelserna.

Statistikkällorna utgörs av sådana statistikkällor där länderjämförelser bedöms som möjliga att göra. OECD och Eurostat är därför vanligt förekommande källor i rapporten. Då statistikkällorna i vissa fall innehåller ett färre antal länder blir den internationella jämförelsen mer begränsad.

23

Inledning

Ds 2007:37

Rapporten omfattar jämförelser på följande områden:

Makroekonomisk utveckling och konkurrenskraft

Entreprenörskap

Innovationer, forskning och utveckling

Utbildning och kompetensförsörjning

Arbetsmarknad

Informationsteknik

Transporter

Energi

De internationella jämförelserna illustreras med ”diagram” och ”figur”. Då begreppet ”diagram” används betyder det att måttet används som en indikator för Sveriges internationella position. Begreppet ”figur” används som benämning på illustrationer för att understödja olika resonemang och sammanfattningar.

Sveriges position sammanfattas i s.k. spindeldiagram. Dessa illustrationer är konstruerade så att det sämsta landets resultat placeras i centrum och det bästa landets resultat placeras i yttersta änden av spindeldiagrammet för respektive indikator, dvs. resultaten är normaliserade. De bästa resultaten för alla indikatorer sammanbinds med den streckade yttre linjen i figuren även om det rör sig om olika länder. Utöver de bästa och sämsta resultaten indikeras även Sveriges och medianlandets resultat för respektive indikator i spindeldiagrammet. Sveriges position sammanbinds med en orange linje, medan medianvärdet för länderna sammanfogas till en ljusgrå mängd. Efter varje indikatornamn i figurerna anges Sveriges placering bland länderna i jämförelsen samt, inom parentes, hur många länder som ingick i jämförelsen. Eftersom avståndet mellan det bästa och det sämsta resultatet i respektive indikator är normaliserat, får man i spindeldiagrammet även en uppfattning om avståndet mellan Sverige, topplandet, medianlandet och det sämst placerade landet för respektive indikator.

24

2Makroekonomisk utveckling och konkurrenskraft

Det senaste decenniet har Sverige haft en mycket positiv makroekonomisk utveckling med hög tillväxt, goda statsfinanser och låg inflation. Mellan 1970 och 1995 var läget annorlunda. Den makroekonomiska utvecklingen var då mindre gynnsam än i USA, OECD och EU15, statsfinanserna försämrades successivt och inflationen var hög.TPF4FPT

Den djupa ekonomiska krisen i Sverige i början av 1990-talet sammanfaller med en omfattande omläggning av den ekonomiska politiken. Valuta- och kreditregleringen avvecklades under 1980- talet och ett nytt skattesystem infördes stegvis 1990-1991. Syftet med dessa reformer var bl.a. att anpassa det formella regelverket efter faktiska förhållanden i och med ekonomins internationalisering, samt att premiera sparande och införa en likformig kapitalbeskattning. 1990-talskrisen gjorde det omöjligt att försvara den fasta växelkursen och 1992 övergick Sverige till en rörlig växelkurs. DenT påföljande deprecieringen av den svenska valutan bidrog till att öka den svenska exporten. Sedan 1999 är Riksbanken självständig och har ett inflationsmål i syfte att upprätthålla ett fast och stabilt penningvärde. I början av 1990-talet avreglerades flera marknader, t.ex. telemarknaden, vilket bidrog till en framväxt av mer produktiva företag och en förbättrad konkurrens. Sveriges medlemskap i Europeiska unionen 1995 innebar ett ytterligare steg i denna riktning.T Det statsfinansiella läget gjorde att finanspolitiken successivt stramades upp under 1994-1998. Två budgetpolitiska mål infördes; utgiftstaket år 1997 och överskottsmålet år 2000. En ansvarsfull finanspolitik och en självständig riksbank har medfört en ökad ekonomisk och finansiell stabilitet. Sedan ett flertal år är både räntan och inflationen stabilt

4TP EU15PT är de medlemsländer som var med i EU år 1995.

25

Makroekonomisk utveckling och konkurrenskraft

Ds 2007:37

låga i Sverige och statsskulden har successivt minskat som andel av bruttonationalprodukten (BNP). Tillsammans med en stark internationell konjunktur har detta möjliggjort Sveriges goda makroekonomiska utveckling det senaste decenniet.

Trots den goda tillväxten har sysselsättningsutvecklingen i Sverige varit svag och arbetslösheten har legat kvar på en, för svenska mått, hög nivå sedan krisen på 1990-talet. Många ungdomar och människor med invandrarbakgrund står utanför arbetsmarknaden och sjukfrånvaron ligger på en internationellt hög nivå. Det är således främst genom produktivitetsökningar som Sverige har kunnat uppvisa en hög tillväxttakt under de senaste tio åren. Regeringen har genomfört och föreslagit flera reformer i syfte att bryta den svaga sysselsättningsutvecklingen genom att stimulera både utbudet (t.ex. jobbavdrag) och efterfrågan (t.ex. nystartjobb) på arbetsmarknaden.

Trots en god tillväxt och låga räntor fortsätter investeringsnivån, mätt som andel av BNP, att vara låg i Sverige. Sverige ligger näst sist bland 21 jämförda OECD-länder. Bakom denna låga nivå ligger främst låga bostadsinvesteringar. Om dessa exkluderas är investeringsnivån inte påfallande låg i Sverige.

Det finns flera tecken på att Sveriges konkurrensläge idag är relativt bra trots att den globala konkurrensen har tilltagit. Sedan 1990-talskrisen har Sveriges export trendmässigt ökat som andel av BNP till följd av en god efterfrågan på svenska produkter och en stark internationell konjunktur. Sett över en längre tid har dock Sveriges sammanlagda världsmarknadsandel minskat, från 2,1 procent 1970 till 1,34 procent 2006.TPF5FPT Till en del förklaras detta av de ökade handelsvolymerna i världen, men av betydelse är också ett kontinuerligt försämrat bytesförhållande. Under 1970- och 1980- talen bidrog olika kostnadskriser till försämrad konkurrenskraft under den perioden. Den goda ekonomiska utvecklingen sedan mitten av 1990-talet har lett till en viss stabilisering av Sveriges världsmarknadsandel. Men samtidigt har Sveriges bytesförhållande, dvs. kvoten mellan export- och importpriser, i genomsnitt minskat med 0,9 procent per år mellan 1995 och 2006.TPF6FPT Det försämrade bytesförhållandet är huvudförklaringen till varför den goda exportutvecklingen inte slår igenom i handelsstatistiken under denna period. Om produktivitetsutvecklingen i Sverige tappar fart

5TP SverigePT har ökat sin världsmarknadsandel inom tjänstehandeln de senaste 10 åren. Handelsstatistik från WTO, Trade Statistics.

6TP Konjunkturinstitutet,PT Konjunkturläget augusti 2007.

26

Ds 2007:37

Makroekonomisk utveckling och konkurrenskraft

kan ett fortsatt försämrat bytesförhållande utgöra ett problem eftersom Sverige måste exportera mer för att få en given mängd import. Hittills har exportindustrins produktivitet ökat i sådan utsträckning att det har kompenserat för det försämrade bytesförhållandet (se avsnitt 2.3.3).

2.1Indikatorer

Indikatorerna i detta kapitel är uppdelade i två avsnitt. Det första avsnittet tar upp Sveriges ekonomiska utveckling och position jämfört med andra länder. Det andra avsnittet berör Sveriges internationella konkurrenskraft jämfört med andra länder. Indikatorerna är:

Makroekonomisk utveckling

Utveckling av köpkraftsjusterad BNP per capita

Strukturellt sparande i offentlig sektor, andel av BNP

Konsoliderad bruttoskuld, andel av BNP

Arbetslöshet, 15-74 år

Inflation

Obligationsränta, 10-årig

Investeringsnivå, andel av BNP

Internationell konkurrenskraft

Prisnivå och inflation

Växelkursförändringar, handelsvägd

Förändringar av relativ enhetsarbetskostnad

Arbetsproduktivitet

Totalfaktorproduktivitet

Utrikeshandel, andel av BNP

Världsmarknadsandelar

Bytesförhållande

Andel ingående utländska direktinvesteringar, andel av BNP

Korruptionsindex

Utveckling av real BNI per capita

Konkurrenskraftsindex

27

Makroekonomisk utveckling och konkurrenskraft

Ds 2007:37

2.2Makroekonomisk utveckling

2.2.1Utveckling av BNP

Mellan 1970 och 1994 var BNP-tillväxten i Sverige trendmässigt svagare än i USA, OECD och Euroområdet. Skillnaden tydliggörs i figur 2.1.

Figur 2.1: BNP per capita relaterat till OECD, löpande priser och köpkraftsjusterat, 1970-2005, index OECD = 100

150

 

 

 

 

 

 

 

140

 

 

 

 

 

 

 

130

 

 

 

 

 

USA

 

 

 

 

 

 

 

SVERIGE

120

 

 

 

 

 

EU15

 

 

 

 

 

 

 

OECD 1)

110

 

 

 

 

 

 

 

100

 

 

 

 

 

 

 

90

 

 

 

 

 

 

 

1970

1975

1980

1985

1990

1995

2000

2005

Källa: OECD Factbook 2007. Egna beräkningar.

1) Exklusive Tjeckien, Ungern, Polen och Slovakien.

I figur 2.1 visas BNP-utvecklingen per capita i Sverige, USA och EU15 i relation till BNP-utvecklingen per capita i OECD.TPF7FPT Av figuren framgår att USA, EU15 och OECD följt med varandras utveckling relativt väl, medan Sverige uppvisar en vikande trend. År 1970 låg USA:s och Sveriges BNP per capita 39 procent respektive 26 procent över OECD-genomsnittet. Ett kvartssekel senare ligger USA:s BNP per capita fortfarande 39 procent över OECD-

7TP EU15PT är Österrike, Belgien, Danmark, Finland, Frankrike, Tyskland, Grekland, Irland, Italien, Luxemburg, Nederländerna, Portugal, Spanien, Sverige och Storbritannien. Med OECD avses OECD26, dvs. Tjeckien, Polen, Slovakien och Ungern är exkluderade.

28

Ds 2007:37

Makroekonomisk utveckling och konkurrenskraft

genomsnittet medan Sveriges BNP per capita bara ligger 9 procent över OECD-genomsnittet.

Det finns flera bakomliggande orsaker till den lägre tillväxten i Sverige. Den främsta orsaken är dock att perioden 1975-1995 i hög grad präglades av instabilitet och återkommande makroekonomiska kriser i Sverige. Under 1970- och 1980-talet rörde det sig främst om olika kostnadskriser som temporärt avhjälptes med devalveringar, medan krisen i början av 1990-talet var en bank- och finanskris.TPF8FPT Figur 2.1 visar att nedgångarna under mitten av 1970- talet och i början av 1990-talet var mer omfattande i Sverige än i omvärlden. Framför allt gäller detta den djupa ekonomiska krisen i början av 1990-talet, med bl. a. mycket stora underskott i de offentliga finanserna. Denna kris föregicks av en rad omfattande reformer, bl.a. avvecklades valuta- och kreditregleringen och ett nytt skattesystem infördes. Krisen föranledde också omfattande förändringar i den svenska ekonomiska politiken. För det första inleddes en budgetsanering 1994 och budgetprocessen stramades successivt upp. Det infördes två nya mål; ett flerårigt tak för de statliga utgifterna (utgiftstaket) 1997 och mål för finansiellt sparande i den offentliga sektorn (överskottsmålet) 2000. För det andra övergick Sverige till en flytande växelkurs 1992 och Riksbanken blev självständig från regering och riksdag 1999. Riksbanken har idag ett inflationsmål i syfte att upprätthålla ett fast och stabilt penningvärde. För det tredje genomfördes en pensionsreform 1994. För det fjärde blev Sverige medlem i den Europeiska unionen 1995.

Under perioden 1995-2006 har tillväxten i Sverige varit god. Denna återhämtning beror främst på att produktiviteten har ökat kraftigt under perioden. Den goda produktivitetsutvecklingen i Sverige har flera källor. Den ekonomiska krisen i början av 1990- talet orsakade en omfattande nedläggning av företag med förhållandevis låg produktivitet, vilket ökade den genomsnittliga produktiviteten i företagsstocken. Samtidigt skedde en strukturell förändring där IT-sektorn expanderande och hade en snabbt stigande produktivitet. IT-investeringar i befintliga företag höjde kapitalintensiteten i ekonomin samt möjliggjorde nya och effektivare organisations- och produktionsformer. I samverkan med en ökad öppenhet för handel under 1990-talet bidrog detta till en effektivare internationell arbetsfördelning. Även Sveriges

8TP EnPT beskrivning av orsakerna till 1990-talskrisen finns i bilaga 5 i vårpropositionen för 2001 (prop. 2000/01:100).

29

Makroekonomisk utveckling och konkurrenskraft

Ds 2007:37

medlemskap i Europeiska unionen och avregleringar bidrog till en förbättrad konkurrens och framväxt av mer produktiva företag. Den makroekonomiska stabilitet och låga inflation som varit signifikant för Sverige under 2000-talet har minskat osäkerheten och reducerat störningarna i ekonomin, vilket gjort ekonomin mer effektiv. Sammansättningsförändringar av arbetskraften har troligtvis också påverkat produktiviteten. Exempelvis hamnade i första hand den del av arbetskraften som av olika skäl hade en lägre produktivitet än övriga grupper i ett utanförskap, vilket innebar att den genomsnittliga produktiviteten blev högre. En annan sammansättningseffekt var höjningen av arbetskraftens utbildningsnivå genom utbyggnaden av högskolan.

2.2.2Offentliga finanser

Makroekonomisk stabilitet och sunda offentliga finanser är en förutsättning för både tillväxt och en långsiktig välfärdsutveckling. Sverige har två övergripande budgetpolitiska mål för de offentliga finanserna; överskottsmålet och utgiftstaket.

Överskottsmålet har inneburit att de offentliga finanserna ska uppvisa överskott om 2 procent av BNP över en konjunkturcykel. Syftet med detta mål är att minska statsskulden, dämpa konjunktursvängningar och klara av den demografiska utvecklingen i Sverige. I vårpropositionen 2007 föreslår regeringen att överskottsmålet tekniskt justeras ner till i genomsnitt 1 procent av BNP över en konjunkturcykel.TPF9FPT Bakom ändringen ligger Eurostats beslut att redovisa premiepensionssparandet i hushållssektorn och inte i den offentliga sektorn, en ändring som tekniskt minskar det redovisade offentliga sparandet med ca 1 procent av BNP.

Utgiftstaket innebär att riksdagen beslutar om en total utgiftsnivå, en ram, som sedan fördelas på de olika utgiftsområdena i budgeten. Den process som utgiftstaket innebär medför budgetdisciplin och ökar statens trovärdighet att nå överskottsmålet.

Två mått som ofta används för att belysa de offentliga finanserna är ”strukturellt sparande i offentlig sektor”, nedan kallat ”strukturellt sparande”, och ”konsoliderad bruttoskuld”. Strukturellt sparande är ett mått på det finansiella sparandet, dvs. skillnaden mellan inkomster och utgifter, i offentlig sektor efter att

9TP PropT . 2006/07:100.

30

Ds 2007:37

Makroekonomisk utveckling och konkurrenskraft

man korrigerat för konjunkturberoende variationer. Konsoliderad bruttoskuld är den offentliga sektorns skuld till nominellt värde minus de innehav av statspapper m.m. som finns inom den offentliga sektorn. För att kunna göra en meningsfull jämförelse mellan länder relateras båda måtten till landets BNP.

I figur 2.2 visas det strukturella sparandet under två perioder för ett flertal länder.

Figur 2.2: Strukturellt sparande, 1997-2006, andel av BNP, ovägt medelvärde, procent

Nya Zeeland

 

 

 

 

 

Finland

 

 

 

 

 

Danmark

 

 

 

 

 

Australien

 

 

 

 

 

Luxemburg

 

 

 

 

 

SVERIGE

 

 

 

 

 

Belgien

 

 

 

 

 

Schweiz

 

 

 

 

 

Spanien

 

 

 

 

 

Island

 

 

 

 

 

Irland

 

 

 

 

 

Kanada

 

 

 

 

 

Österrike

 

 

 

 

 

Nederländerna

 

 

 

 

 

Norge 1)

 

 

 

 

 

Tyskland

 

 

 

 

 

Franrike

 

 

 

 

 

Portugal

 

 

 

 

 

Storbritannien

 

 

 

 

 

Italien

 

2002-2006

 

USA

 

 

 

 

 

 

 

Grekland

 

1997-2001

 

Japan 2)

 

 

 

 

 

OECD

 

 

 

 

 

Euroområdet

 

 

 

 

 

-7 -6 -5 -4 -3 -2 -1 0

1

2

3

4

5

Källa: OECD, Economic outlook 81, 2007.

1)Exklusive offentliga inkomsterna av oljeverksamheten.

2)Inkluderar uppskjutna skatter på sparkonton 2000-2002.

Av figur 2.2 framgår att Nya Zeeland, Finland, Danmark, Australien, Luxemburg och Sverige har det högsta strukturella sparandet.TPF10FPT Under perioden 2002-2006 låg det strukturella sparandet i genomsnitt på ca 0,9 procent i Sverige. Under perioden

10TP OECD:sPT beräkning av strukturellt sparande i Norge innefattar inte inkomsterna av oljeverksamheten. Om dessa inkomster inräknas blir Norges strukturella sparande betydligt högre än vad som visas i figur 2.2.

31

Makroekonomisk utveckling och konkurrenskraft

Ds 2007:37

1997-2001 var det strukturella sparandet ännu högre i Sverige, 1,8 procent i genomsnitt.

I figur 2.3 visas den konsoliderade bruttoskulden i EU-länderna för åren 1996, 2001 och 2006.TPF11FPT Enligt EU:s stabilitets- och tillväxtpakt får bruttoskulden inte överstiga 60 procent av BNP. Av figuren framgår att Sverige numera har en förhållandevis låg skuldnivå sett till andra EU-länder. Sveriges konsoliderade bruttoskuld har minskat kraftigt och uppgick till 46,9 procent av BNP år 2006.

Enligt budgetpropositionen för 2008 förväntas Sveriges bruttoskuld fortsätta minska under de kommande åren och ligga under 25 procent av BNP år 2010.TPF12FPT

Figur 2.3: Konsoliderad bruttoskuld, 1996-2006, procent av BNP

Luxemburg

Irland

Danmark

Finland

Spanien

Storbritannien

SVERIGE

Nederländerna

Österrike

Frankrike

Portugal

Tyskland

Grekland

Belgien

Italien

Euroområdet

2006

2001 1996

0

20

40

60

80

100

120

140

Källa: OECD, Economic Outlook 81, 2007.

2.2.3Arbetslöshet och inflation

Arbetslösheten är en av de viktigaste indikatorerna på resursutnyttjandet i ekonomin. Den harmoniserade arbetslösheten i åldern 15-74 år visas i figur 2.4.TPF13FPT

11TP EnligtPT Maastricht-definitionen av konsoliderad bruttoskuld. 12TP PropT . 2007/08:1.

32

Ds 2007:37

Makroekonomisk utveckling och konkurrenskraft

Figur 2.4: Harmoniserad arbetslöshet 15-74 år, 2000-2006, procent

Norge

Nederländerna

Danmark

Japan

Irland

USA

Luxemburg

Österrike

Storbritannien

Italien

SVERIGE 1)

Finland

Portugal

Belgien

Tyskland

Spanien

Grekland

Frankrike

EU15

2006

2003 2000

0

2

4

6

8

10

12

Källa: Eurostat, Structural indicators 2007. 1) Tidsseriebrott mellan 2003 och 2006.

Figur 2.4 visar på en tydlig ökning av arbetslösheten i Sverige mellan 2003 och 2006. Den kraftiga ökningen förklaras delvis av en omläggning i statistiken för Sverige fr.o.m. april 2005.TPF14FPT De förändringar som omläggningen medförde syftar till att öka den internationella jämförbarheten, vilket innebär att arbetslösheten år 2006 har en god jämförbarhet med övriga länder. Av figur 2.4 framgår att Sverige hade en relativt hög arbetslöshet år 2006 och ligger nära genomsnittet i EU15. Tio av de 18 jämförda länderna har lägre arbetslöshet än Sverige.

Figur 2.5 visar den genomsnittliga inflationstakten under två femårsperioder. RiksbankenT har som mål att hålla inflationstakten i Sverige kring två procent per år, med en marginal på plus/minusT en

13TP MedPT harmoniserad arbetslöshet menas att statistiken gjorts jämförbar mellan länderna. 14TP DataPT för Sverige bygger på underlag från den svenska Arbetskraftsundersökningen (AKU). Under 2005 gjordes förändringar i undersökningen för att AKU ska harmonisera ytterligare med övriga EU-länders undersökningar.

33

Makroekonomisk utveckling och konkurrenskraft

Ds 2007:37

procentenhet. Av figuren framgår att den svenska inflationstakten i genomsnitt låg inom ramen för riksbankens mål under åren 2002- 2006, men under ramen under perioden 1997-2001. Det framgår också att de flesta länderna i OECD numera har en låg inflationstakt och att skillnaderna mellan länderna är relativt liten.TPF15FPT

Figur 2.5: Genomsnittlig inflationstakt per år, 1997-2006, procent

Japan

 

 

 

 

 

 

 

 

 

 

 

 

 

 

 

 

 

 

 

 

 

 

 

 

 

 

 

 

 

 

 

 

Schweiz

 

 

 

 

 

 

 

 

 

 

 

 

 

 

 

 

 

 

 

 

 

 

 

 

 

 

 

 

 

 

 

 

Finland

 

 

 

 

 

 

 

 

 

 

 

 

 

 

 

 

 

 

 

 

 

 

 

 

2002-2006

 

 

 

 

 

 

 

 

 

 

 

 

 

 

 

 

 

 

 

 

 

 

 

 

 

 

 

 

SVERIGE

 

 

 

 

 

 

 

 

 

 

 

 

 

 

 

 

 

 

 

 

 

 

 

 

1997-2001

 

 

 

 

 

 

 

 

 

 

 

 

 

 

 

 

 

 

 

 

 

 

 

 

 

 

 

 

Tyskland

 

 

 

 

 

 

 

 

 

 

 

 

 

 

 

 

 

 

 

 

 

 

 

 

 

 

Norge

 

 

 

 

 

 

 

 

 

 

 

 

 

 

 

 

 

 

 

 

 

 

 

 

 

 

 

 

 

 

 

 

 

 

 

 

 

 

 

 

 

 

 

 

 

 

 

 

 

 

 

 

 

 

 

 

 

 

 

 

 

 

 

 

Storbritannien 1)

 

 

 

 

 

 

 

 

 

 

 

 

 

 

 

 

 

 

 

 

 

 

 

 

 

 

 

 

 

 

 

 

 

 

 

 

 

 

 

 

 

 

 

 

 

 

 

 

 

 

 

 

 

 

 

 

 

 

 

 

 

 

 

 

Österrike

 

 

 

 

 

 

 

 

 

 

 

 

 

 

 

 

 

 

 

 

 

 

 

 

 

 

 

 

 

 

 

 

 

 

 

 

 

 

 

 

 

 

 

 

 

 

 

 

 

 

 

 

 

 

 

 

 

 

 

 

 

 

 

 

Danmark

 

 

 

 

 

 

 

 

 

 

 

 

 

 

 

 

 

 

 

 

 

 

 

 

 

 

 

 

 

 

 

 

 

 

 

 

 

 

 

 

 

 

 

 

 

 

 

 

 

 

 

 

 

 

 

 

 

 

 

 

 

 

 

 

Belgien

 

 

 

 

 

 

 

 

 

 

 

 

 

 

 

 

 

 

 

 

 

 

 

 

 

 

 

 

 

 

 

 

 

 

 

 

 

 

 

 

 

 

 

 

 

 

 

 

 

 

 

 

 

 

 

 

 

 

 

 

 

 

 

 

Frankrike

 

 

 

 

 

 

 

 

 

 

 

 

 

 

 

 

 

 

 

 

 

 

 

 

 

 

 

 

 

 

 

 

 

 

 

 

 

 

 

 

 

 

 

 

 

 

 

 

 

 

 

 

 

 

 

 

 

 

 

 

 

 

 

 

Nederländerna

 

 

 

 

 

 

 

 

 

 

 

 

 

 

 

 

 

 

 

 

 

 

 

 

 

 

 

 

 

 

 

 

 

 

 

 

 

 

 

 

 

 

 

 

 

 

 

 

 

 

 

 

 

 

 

 

 

 

 

 

 

 

 

 

Kanada

 

 

 

 

 

 

 

 

 

 

 

 

 

 

 

 

 

 

 

 

 

 

 

 

 

 

 

 

 

 

 

 

 

 

 

 

 

 

 

 

 

 

 

 

 

 

 

 

 

 

 

 

 

 

 

 

 

 

 

 

 

 

 

 

Italien

 

 

 

 

 

 

 

 

 

 

 

 

 

 

 

 

 

 

 

 

 

 

 

 

 

 

 

 

 

 

 

 

 

 

 

 

 

 

 

 

 

 

 

 

 

 

 

 

 

 

 

 

 

 

 

 

 

 

 

 

 

 

 

 

USA

 

 

 

 

 

 

 

 

 

 

 

 

 

 

 

 

 

 

 

 

 

 

 

 

 

 

 

 

 

 

 

 

 

 

 

 

 

 

 

 

 

 

 

 

 

 

 

 

 

 

 

 

 

 

 

 

 

 

 

 

 

 

 

 

Nya Zeeland

 

 

 

 

 

 

 

 

 

 

 

 

 

 

 

 

 

 

 

 

 

 

 

 

 

 

 

 

 

 

 

 

 

 

 

 

 

 

 

 

 

 

 

 

 

 

 

 

 

 

 

 

 

 

 

 

 

 

 

 

 

 

 

 

Australien

 

 

 

 

 

 

 

 

 

 

 

 

 

 

 

 

 

 

 

 

 

 

 

 

 

 

 

 

 

 

 

 

 

 

 

 

 

 

 

 

 

 

 

 

 

 

 

 

 

 

 

 

 

 

 

 

 

 

 

 

 

 

 

 

Portugal

 

 

 

 

 

 

 

 

 

 

 

 

 

 

 

 

 

 

 

 

 

 

 

 

 

 

 

 

 

 

 

 

 

 

 

 

 

 

 

 

 

 

 

 

 

 

 

 

 

 

 

 

 

 

 

 

 

 

 

 

 

 

 

 

Luxemburg

 

 

 

 

 

 

 

 

 

 

 

 

 

 

 

 

 

 

 

 

 

 

 

 

 

 

 

 

 

 

 

 

Korea

 

 

 

 

 

 

 

 

 

 

 

 

 

 

 

 

 

 

 

 

 

 

 

 

 

 

 

 

 

 

 

 

 

 

 

 

 

 

 

 

 

 

 

 

 

 

 

 

 

 

 

 

 

 

 

 

 

 

 

 

 

 

 

 

Irland

 

 

 

 

 

 

 

 

 

 

 

 

 

 

 

 

 

 

 

 

 

 

 

 

 

 

 

 

 

 

 

 

 

 

 

 

 

 

 

 

 

 

 

 

 

 

 

 

 

 

 

 

 

 

 

 

 

 

 

 

 

 

 

 

Spanien

 

 

 

 

 

 

 

 

 

 

 

 

 

 

 

 

 

 

 

 

 

 

 

 

 

 

 

 

 

 

 

 

 

 

 

 

 

 

 

 

 

 

 

 

 

 

 

 

 

 

 

 

 

 

 

 

 

 

 

 

 

 

 

 

Grekland

 

 

 

 

 

 

 

 

 

 

 

 

 

 

 

 

 

 

 

 

 

 

 

 

 

 

 

 

 

 

 

 

 

 

 

 

 

 

 

 

 

 

 

 

 

 

 

 

 

 

 

 

 

 

 

 

 

 

 

 

 

 

 

 

Island

 

 

 

 

 

 

 

 

 

 

 

 

 

 

 

 

 

 

 

 

 

 

 

 

 

 

 

 

 

 

 

 

 

 

 

 

 

 

 

 

 

 

 

 

 

 

 

 

 

 

 

 

 

 

 

 

 

 

 

 

 

 

 

 

Euroområdet 1)

 

 

 

 

 

 

 

 

 

 

 

 

 

 

 

 

 

 

 

 

 

 

 

 

 

 

 

 

 

 

 

 

 

 

 

 

 

 

 

 

 

 

 

 

 

 

 

 

 

 

 

 

 

 

 

 

 

 

 

 

 

 

 

 

 

 

 

 

 

 

 

 

 

 

 

 

 

 

 

 

 

 

 

 

 

 

 

 

-1

0

 

1

 

 

 

 

 

 

2

 

 

 

3

 

 

4

 

5

Källa: OECD, Economic Outlook 81, 2007. Beräknat från konsumentprisindex. 1) Harmoniserade index av konsumentpriser (HICP).

2.2.4Ränta och investeringar

En låg och stabil ränta inverkar positivt på investeringarna, vilka i sin tur har betydelse för tillväxten. I figur 2.6 visas den

15TP EttPT undantag är Japan som mellan 2002-2006 hade deflation, dvs. en fallande prisnivå, vilket inte är önskvärt ur en ekonomisk synvinkel. Med deflation tjänar man på att hålla pengar vilket i sin tur minskar avkastningen på investeringar och investeringsnivån faller.

34

Ds 2007:37

Makroekonomisk utveckling och konkurrenskraft

genomsnittliga 10-årsräntan för ett antal länder under tre tidsperioder mellan 1992-2006.

Figur 2.6: Genomsnittlig 10-årig obligationsränta, 1992-2006, procent

Japan

 

 

 

 

 

 

 

 

 

 

 

 

 

 

 

 

 

 

 

 

 

 

 

 

 

 

 

 

 

 

 

 

 

 

 

 

 

 

 

 

 

 

 

 

 

 

 

 

 

 

 

 

 

 

 

 

 

 

 

 

 

 

 

 

 

 

 

 

 

 

 

 

 

 

 

 

 

 

 

 

 

Schweiz

 

 

 

 

 

 

 

 

 

 

 

 

 

 

 

 

 

 

 

 

 

 

 

 

 

 

 

 

 

 

 

 

 

 

 

 

 

 

 

 

 

 

 

 

 

 

 

 

 

 

 

 

 

 

 

 

 

 

 

 

 

 

 

 

 

 

 

 

 

 

 

 

 

 

 

 

 

 

 

 

 

Luxemburg 1)

 

 

 

 

 

 

 

 

 

 

 

 

 

 

 

 

 

 

 

 

 

 

 

 

 

 

 

 

 

 

 

 

 

 

 

2002-2006

 

 

 

 

 

 

 

 

 

 

 

 

 

 

 

 

 

 

 

 

 

 

 

 

 

 

 

 

 

 

 

 

 

 

 

 

 

 

 

Tyskland

 

 

 

 

 

 

 

 

 

 

 

 

 

 

 

 

 

 

 

 

 

 

 

 

 

 

 

 

 

 

 

 

 

 

 

1997-2001

 

 

 

 

 

 

 

 

 

 

 

 

 

 

 

 

 

 

 

 

 

 

 

 

 

 

 

 

 

 

 

 

 

 

 

 

 

 

Nederländerna

 

 

 

 

 

 

 

 

 

 

 

 

 

 

 

 

 

 

 

 

 

 

 

 

 

 

 

 

 

 

 

 

 

 

 

 

 

 

 

 

 

 

 

 

 

 

 

 

 

 

 

 

 

 

 

 

 

 

 

 

 

 

 

 

 

 

 

 

 

 

 

 

 

 

 

 

 

 

 

 

 

 

 

 

 

 

 

 

 

 

 

 

 

 

 

 

 

 

 

 

 

 

 

 

 

 

 

 

 

 

 

Belgien

 

 

 

 

 

 

 

 

 

 

 

 

 

 

 

 

 

 

 

 

 

 

 

 

 

 

 

 

 

 

 

 

 

 

 

1992-1996

 

 

 

 

 

 

 

 

 

 

 

 

 

 

 

 

 

 

 

 

 

 

 

 

 

 

 

 

 

 

 

 

 

 

 

 

 

 

Irland

 

 

 

 

 

 

 

 

 

 

 

 

 

 

 

 

 

 

 

 

 

 

 

 

 

 

 

 

 

 

 

 

 

 

 

 

 

 

 

 

 

 

 

 

 

 

 

 

 

 

 

 

 

 

 

 

 

 

 

 

 

 

 

 

 

 

 

 

 

 

 

 

 

 

 

 

 

 

Frankrike

 

 

 

 

 

 

 

 

 

 

 

 

 

 

 

 

 

 

 

 

 

 

 

 

 

 

 

 

 

 

 

 

 

 

 

 

 

 

 

 

 

 

 

 

 

 

 

 

 

 

 

 

 

 

 

 

 

 

 

 

 

 

 

 

 

 

 

 

 

 

 

 

 

 

 

 

 

 

 

 

 

Finland

 

 

 

 

 

 

 

 

 

 

 

 

 

 

 

 

 

 

 

 

 

 

 

 

 

 

 

 

 

 

 

 

 

 

 

 

 

 

 

 

 

 

 

 

 

 

 

 

 

 

 

 

 

 

 

 

 

 

 

 

 

 

 

 

 

 

 

 

 

 

 

 

 

 

 

 

 

 

 

 

 

Spanien

 

 

 

 

 

 

 

 

 

 

 

 

 

 

 

 

 

 

 

 

 

 

 

 

 

 

 

 

 

 

 

 

 

 

 

 

 

 

 

 

 

 

 

 

 

 

 

 

 

 

 

 

 

 

 

 

 

 

 

 

 

 

 

 

 

 

 

 

 

 

 

 

 

 

 

 

 

 

 

 

 

Österrike

 

 

 

 

 

 

 

 

 

 

 

 

 

 

 

 

 

 

 

 

 

 

 

 

 

 

 

 

 

 

 

 

 

 

 

 

 

 

 

 

 

 

 

 

 

 

 

 

 

 

 

 

 

 

 

 

 

 

 

 

 

 

 

 

 

 

 

 

 

 

 

 

 

 

 

 

 

 

 

 

 

Portugal

 

 

 

 

 

 

 

 

 

 

 

 

 

 

 

 

 

 

 

 

 

 

 

 

 

 

 

 

 

 

 

 

 

 

 

 

 

 

 

 

 

 

 

 

 

 

 

 

 

 

 

 

 

 

 

 

 

 

 

 

 

 

 

 

 

 

 

 

 

 

 

 

 

 

 

 

 

 

 

 

 

Danmark

 

 

 

 

 

 

 

 

 

 

 

 

 

 

 

 

 

 

 

 

 

 

 

 

 

 

 

 

 

 

 

 

 

 

 

 

 

 

 

 

 

 

 

 

 

 

 

 

 

 

 

 

 

 

 

 

 

 

 

 

 

 

 

 

 

 

 

 

 

 

 

 

 

 

 

 

 

 

 

 

 

Italien

 

 

 

 

 

 

 

 

 

 

 

 

 

 

 

 

 

 

 

 

 

 

 

 

 

 

 

 

 

 

 

 

 

 

 

 

 

 

 

 

 

 

 

 

 

 

 

 

 

 

 

 

 

 

 

 

 

 

 

 

 

 

 

 

 

 

 

 

 

 

 

 

 

 

 

 

 

 

 

 

 

Grekland 2)

 

 

 

 

 

 

 

 

 

 

 

 

 

 

 

 

 

 

 

 

 

 

 

 

 

 

 

 

 

 

 

 

 

 

 

 

 

 

 

 

 

 

 

 

 

 

 

 

 

 

 

 

 

 

 

 

 

 

 

 

 

 

 

 

 

 

 

 

 

 

 

 

 

 

 

 

 

 

 

 

 

SVERIGE

 

 

 

 

 

 

 

 

 

 

 

 

 

 

 

 

 

 

 

 

 

 

 

 

 

 

 

 

 

 

 

 

 

 

 

 

 

 

 

 

 

 

 

 

 

 

 

 

 

 

 

 

 

 

 

 

 

 

 

 

 

 

 

 

 

 

 

 

 

 

 

 

 

 

 

 

 

 

 

 

 

USA

 

 

 

 

 

 

 

 

 

 

 

 

 

 

 

 

 

 

 

 

 

 

 

 

 

 

 

 

 

 

 

 

 

 

 

 

 

 

 

 

 

 

 

 

 

 

 

 

 

 

 

 

 

 

 

 

 

 

 

 

 

 

 

 

 

 

 

 

 

 

 

 

 

 

 

 

 

 

 

 

 

Kanada

 

 

 

 

 

 

 

 

 

 

 

 

 

 

 

 

 

 

 

 

 

 

 

 

 

 

 

 

 

 

 

 

 

 

 

 

 

 

 

 

 

 

 

 

 

 

 

 

 

 

 

 

 

 

 

 

 

 

 

 

 

 

 

 

 

 

 

 

 

 

 

 

 

 

 

 

 

 

 

 

 

Storbritannien

 

 

 

 

 

 

 

 

 

 

 

 

 

 

 

 

 

 

 

 

 

 

 

 

 

 

 

 

 

 

 

 

 

 

 

 

 

 

 

 

 

 

 

 

 

 

 

 

 

 

 

 

 

 

 

 

 

 

 

 

 

 

 

 

 

 

 

 

 

 

 

 

 

 

 

 

 

 

 

 

 

Norge

 

 

 

 

 

 

 

 

 

 

 

 

 

 

 

 

 

 

 

 

 

 

 

 

 

 

 

 

 

 

 

 

 

 

 

 

 

 

 

 

 

 

 

 

 

 

 

 

 

 

 

 

 

 

 

 

 

 

 

 

 

 

 

 

 

 

 

 

 

 

 

 

 

 

 

 

 

 

 

 

 

Korea

 

 

 

 

 

 

 

 

 

 

 

 

 

 

 

 

 

 

 

 

 

 

 

 

 

 

 

 

 

 

 

 

 

 

 

 

 

 

 

 

 

 

 

 

 

 

 

 

 

 

 

 

 

 

 

 

 

 

 

 

 

 

 

 

 

 

 

 

 

 

 

 

 

 

 

 

 

 

 

 

 

Australien

 

 

 

 

 

 

 

 

 

 

 

 

 

 

 

 

 

 

 

 

 

 

 

 

 

 

 

 

 

 

 

 

 

 

 

 

 

 

 

 

 

 

 

 

 

 

 

 

 

 

 

 

 

 

 

 

 

 

 

 

 

 

 

 

 

 

 

 

 

 

 

 

 

 

 

 

 

 

 

 

 

Nya Zeeland

 

 

 

 

 

 

 

 

 

 

 

 

 

 

 

 

 

 

 

 

 

 

 

 

 

 

 

 

 

 

 

 

 

 

 

 

 

 

 

 

 

 

 

 

 

 

 

 

 

 

 

 

 

 

 

 

 

 

 

 

 

 

 

 

 

 

 

 

 

 

 

 

 

 

 

 

 

 

 

 

 

Island

 

 

 

 

 

 

 

 

 

 

 

 

 

 

 

 

 

 

 

 

 

 

 

 

 

 

 

 

 

 

 

 

 

 

 

 

 

 

 

 

 

 

 

 

 

 

 

 

 

 

 

 

 

 

 

 

 

 

 

 

 

 

 

 

 

 

 

 

 

 

 

 

 

 

 

 

 

 

 

 

 

Euroområdet

 

 

 

 

 

 

 

 

 

 

 

 

 

 

 

 

 

 

 

 

 

 

 

 

 

 

 

 

 

 

 

 

 

 

 

 

 

 

 

 

 

 

 

 

 

 

 

 

 

 

 

 

 

 

 

 

 

 

 

 

 

 

 

 

 

 

 

 

 

 

 

 

 

 

 

 

 

 

 

 

 

 

0

1

2

3

4

 

 

 

 

 

5

6

7

 

8

9

10

11

12

13

14

15

16

Källa: OECD Economic Outlook 81, 2007.

1)1992-1996 avser 1994-1996.

2)Data saknas 1992-1996.

Av figur 2.6 framgår att den 10-åriga obligationsräntan låg på en något högre nivå i Sverige än i Euroområdet under samtliga tre tidsperioder. Sverige hamnar på 16:e plats i jämförelsen, men ränteskillnaderna är små. Mellan 1983-1991 låg den långa svenska räntan mellan 4 och 6 procentenheter över den långa räntan i Tyskland. Under 2000-talet är denna ränteskillnad nere på några tiondels procentenheter. Det framgår också av figur 2.6 att införandet av euron har minskat ränteskillnaderna mellan länderna inom euroområdet markant.

Att obligationsräntorna var lägre under 2002-2006 än under 1997-2001 beror enligt Konjunkturinstitutet framför allt på en hög global sparbenägenhet samt låga inflationsförväntningar till följd av

35

Makroekonomisk utveckling och konkurrenskraft

Ds 2007:37

att många länder sänkte sina styrräntor under den senare perioden.TPF16FPT Sedan 2005 har dock obligationsräntorna i världen stigit.

Figur 2.7 visar investeringarna för ett antal länder relaterat till ländernas BNP.

Figur 2.7: Totala investeringar 1992-2006, andel av BNP, procent

Korea

 

 

 

 

 

 

 

 

Spanien

 

 

 

 

 

 

 

 

Australien 1)

 

 

 

 

 

 

 

 

Irland 1)

 

 

 

 

 

2002-2006

 

 

Grekland

 

 

 

 

 

1997-2001

 

Japan 1)

 

 

 

 

 

1992-1996

 

Nya Zeeland

 

 

 

 

 

 

 

 

Island 1)

 

 

 

 

 

 

 

 

Schweiz 1)

 

 

 

 

 

 

 

 

Österrike

 

 

 

 

 

 

 

 

Italien

 

 

 

 

 

 

 

 

Luxemburg

 

 

 

 

 

 

 

 

Danmark

 

 

 

 

 

Investeringar exkl.

 

 

 

 

 

 

Kanada 1)

 

 

 

 

 

bostäder

 

 

 

 

 

 

 

 

 

 

Nederländerna

 

 

 

 

 

Investeringar i

 

 

 

 

 

 

 

 

Frankrike

 

 

 

 

 

bostäder

 

 

Finland

 

 

 

 

 

 

 

 

USA 1)

 

 

 

 

 

 

 

 

Tyskland

 

 

 

 

 

 

 

 

SVERIGE

 

 

 

 

 

 

 

 

Storbritannien

 

 

 

 

 

 

 

 

0

5

10

15

20

25

30

35

40

Källa: OECD National Accounts 2007. Egna beräkningar.

 

 

 

 

1) 2002-2006 avser 2002-2005.

 

 

 

 

 

 

 

Av figur 2.7 framgår att investeringarnas andel av BNP var relativt låg i Sverige under perioden 1992-2006. Av de jämförda länderna i figuren är det endast Storbritannien som uppvisar en lägre investeringsandel än Sverige. Den förhållandevis låga

16TP Konjunkturinstitutet,PT Konjunkturläget mars 2007.

36

Ds 2007:37

Makroekonomisk utveckling och konkurrenskraft

investeringsandelen i Sverige, 16,8 procent, beror nästan uteslutande på att bostadsinvesteringarna har varit låga i förhållande till andra länder. Investeringar exklusive bostäder uppgår till ca 14,2 procent av BNP i Sverige under perioden 2002- 2006. Sverige hamnar i denna jämförelse på 12:e plats bland de 21 länderna i figur 2.7, inte långt från genomsnittet på 15,7 procent. Jämför man bara bostadsinvesteringarna under samma period hamnar Sverige näst sist med en andel på 2,6 procent av BNP. Nationell statistik och näringslivets investeringsplaner för 2007 visar dock på en kraftig ökning av investeringarna i Sverige under både 2006 och 2007.TPF17FPT

I västvärlden har en generell minskning av investeringsnivåerna ägt rum de senaste decennierna.TPF18FPT Troligtvis hänger denna trend samman med en strukturomvandling mot ökade FoU- och humankapitalsatsningar i västvärlden samtidigt som realkapital- investeringarna ökat i låglöneländer. En expanderande och en mindre realkapitalintensiv tjänstesektor i västvärlden har troligtvis också haft betydelse. Sverige placerar sig exempelvis på första plats i en länderjämförelse både vad gäller FoU-satsningar (se kap. 4) och IT-investeringar (se kap. 7).

2.3Internationell konkurrenskraft

Indikatorerna i detta avsnitt relaterar på olika sätt till Sveriges internationella konkurrenskraft som, p.g.a. Sveriges beroende av utrikeshandel, ofta har diskuteras utan att vara ett väldefinierat begrepp. En utförlig diskussion av begreppet konkurrenskraft finns i bilaga 5 till Långtidsutredningen 1999. Med Sveriges internationella konkurrenskraft syftas i fortsättningen på förutsättningarna för produktion lokaliserad till Sverige som genererar välfärd.

Indikatorerna har valts för att de ofta används som underlag för att diskutera hur konkurrenskraften har utvecklats över tiden, vad som har orsakat denna utveckling och vad som krävs för att förbättra konkurrenskraften. Flertalet av dem utgör inget självständigt mått på internationell konkurrenskraft. Kausaliteten är inte heller alltid uppenbar och indikatorerna samverkar i hög utsträckning. Exempelvis kan en hög prisnivå i Sverige bero på att

17TP SCBPT (2007a).

18TP ITPSPT (2006a).

37

Makroekonomisk utveckling och konkurrenskraft

Ds 2007:37

företagen i Sverige har höga kostnader, vilket slår igenom i deras priser och i sin tur gör svenska varor dyra och mindre efterfrågade på världsmarknaden. Men en hög prisnivå kan också ha orsakats av stigande importpriser, antingen genom ett stigande världsmarknadspris på svenska importvaror eller genom en depreciering av den svenska kronan. På liknande sätt behöver en minskad världsmarknadsandel för Sverige inte innebära att den svenska konkurrenskraften har minskat, trots att åtminstone något land måste ha ökat sin världsmarknadsandel på Sveriges bekostnad. Den minskade andelen kan exempelvis ha orsakats av ett försämrat bytesförhållande och av att handelsvolymerna i världen har ökat. Här finns en väsentlig skillnad, fördelningen av världsmarknadsandelar utgör ett nollsummespel medan internationell handel inte gör det. En annan aspekt som är svårhanterlig är tolkning av vad som är en bra respektive en dålig utveckling. Exempelvis kan en minskad relativ enhetsarbetskostnad i Sverige vara bra i ett konkurrenskraftsperspektiv, men det är skillnad på om minskningen har skett genom minskade reallöner eller genom en ökad produktivitet. På lång sikt, då priser, arbetskraftskostnader och växelkurser har anpassats och strukturomvandlingar har skett, kommer Sverige alltid att vara konkurrenskraftigt på några områden. Det betydelsefulla är att landet kan vara konkurrenskraftigt i produktion som skapar mer välfärd än annan produktion. Institutet för tillväxtpolitiska studier (ITPS) har denna utgångspunkt i en ny rapport som preciserar konkurrenskraftsbegreppet till att innebära en jämförelse av real bruttonationalinkomst (BNI) per capita för den arbetsföra befolkningen.TPF19FPT BNI är inget nytt mått, men det fokuserar på det övergripande målet för en konkurrenskraftig ekonomi, dvs. en hög och stigande tillgång på nyttigheter (inkomst) för befolkningen. Utvecklingen av detta mått under perioden 1980-2005 visar tydligt hur Sveriges konkurrenskraft försvagades kraftigt mellan 1987- 1993, för att därefter påbörja en viss återhämtning.TPF20FPT

Till sist återges två internationella rankinglistor på länders konkurrenskraft i detta avsnitt. Dessa rankinglistor bygger på en sammanvägning av en stor mängd indikatorer i respektive land och ger framförallt en fingervisning om utvecklingen över tiden. Sverige placerar sig relativt bra i dessa två rankinglistor, på tredje respektive nionde plats, vilket är en förbättring jämfört med förra

19TP ITPSPT (2007a).

20TP UtvecklingenPT visas i figur 2.18.

38

Ds 2007:37

Makroekonomisk utveckling och konkurrenskraft

årets placeringar. Detta ligger i linje med det sammantagna intrycket som utvecklingen i indikatorerna nedan ger. Dessa har i regel utvecklats väl under de senaste 10 åren, dock från ett svagt utgångsläge efter krisen på 1990-talet.

2.3.1Prisnivå, inflation och växelkurs

Efterfrågan på svenska varor och tjänster beror delvis på deras relativpris jämfört med konkurrerande varor och tjänster tillverkade i andra länder. Således kan prisnivån och prisutvecklingen i ett land ha betydelse för landets konkurrenskraft i samverkan med växelkursen, givet att det beror på ett stigande kostnadsläge.

Figur 2.8 visar den genomsnittliga prisnivån och inflationen för ett antal europeiska länder åren 2001-2006. I figuren är EU27- genomsnittet markerat med orangefärgade linjer, dvs. i skärningspunkten är prisnivån och den årliga inflationen densamma som den genomsnittliga prisnivån och den genomsnittliga inflationen i EU27. Om ett land ligger till höger eller till vänster om det vertikala strecket i figuren beror på om dess prisnivå är högre eller lägre än genomsnittet i EU27. Om ett land ligger över eller under om det horisontella strecket i figuren beror på om dess inflation är högre eller lägre än genomsnittet i EU27.

I figur 2.8 framgår att Sverige haft en lägre genomsnittlig inflation än genomsnittet i EU27 under åren 2001-2006. Den genomsnittliga årliga inflationen var 1,5 procent i Sverige åren 2001-2006, medan den var 2,3 procent inom EU27. Det framgår också att den genomsnittliga prisnivån i Sverige var drygt 20 procent högre än genomsnittet i EU27 under samma tidsperiod.

39

Makroekonomisk utveckling och konkurrenskraft

Ds 2007:37

Figur 2.8: Genomsnittlig prisnivå och inflation 2001-2006, index och procent

 

6

 

 

 

 

 

 

 

 

 

 

Låga kostnader, stiger snabbt

 

Höga kostnader, stiger snabbt

 

5

 

 

 

 

 

 

 

 

 

 

 

 

Ungern

 

 

 

 

 

 

4

 

 

 

 

 

 

 

 

procent

 

 

 

 

 

Grekland

 

 

 

 

 

 

Estland

Spanien

Irland

 

 

 

 

 

 

 

 

 

3

EU27 inflation 2,3 %

 

 

 

 

 

 

Inflation,

 

 

Portugal

 

 

 

 

 

 

 

 

 

 

 

 

 

 

 

 

 

Italien

 

 

 

 

 

 

 

 

 

 

 

 

2

 

 

 

 

 

Nederländerna

 

 

 

 

Polen

 

 

 

 

 

 

 

 

 

 

Belgien

 

 

 

 

 

 

 

 

Danmark

 

 

 

 

 

 

 

 

 

 

 

 

Tjeckien

 

Tyskland

SVERIGE

 

 

 

 

 

 

 

 

Norge

 

 

 

 

 

 

 

 

 

 

 

 

Lituaen

 

 

 

 

 

 

 

 

 

 

 

 

 

 

1

 

 

 

 

 

 

Finland

 

 

 

Låga priser, stiger långsamt

 

Höga priser, stiger långsamt

 

0

 

 

 

 

 

 

 

 

 

0

20

40

60

80

100

120

140

160

 

 

 

 

Prisnivå, EU 27 = 100

 

 

 

Källa: Eurostat, Economic and Finance Indicators, 2007.

Svensk export har under samma tidsperiod haft draghjälp av den fallande växelkursen som gjort svenska varor och tjänster något billigare på de internationella marknaderna.TPF21FPT Figur 2.9 visar genomsnittliga förändringar av de handelsviktade växelkurserna under 2000-2005.

21TP PT Samtidigt innebär detta att den svenska importen i genomsnitt har blivit något dyrare. Se figur 2.15 om Sveriges försämrade bytesförhållande.

40

Ds 2007:37

Makroekonomisk utveckling och konkurrenskraft

Figur 2.9: Procentuell förändring i handelsviktad växelkurs, 2000-2005, procent

USA -7.1

 

 

 

 

 

 

 

 

 

 

SVERIGE

-1.4

 

 

 

 

 

 

 

 

 

 

 

 

 

 

 

 

 

 

Storbritannien

-0.6

 

 

 

 

 

 

 

 

 

 

 

 

 

 

 

 

Polen

 

 

 

 

 

3.2

 

 

 

 

 

 

 

 

 

 

 

 

 

Sydkorea

 

 

 

 

5.5

 

 

 

 

Spanien

 

 

 

 

7

 

 

 

 

Frankrike

 

 

 

 

8.5

 

 

 

 

Danmark

 

 

 

 

8.7

 

 

 

 

Italien

 

 

 

 

9.3

 

 

 

 

Tyskland

 

 

 

 

10.3

 

 

 

 

Schweiz

 

 

 

 

10.7

 

 

 

 

Ungern

 

 

 

 

11.3

 

 

 

 

Finland

 

 

 

 

11.6

 

 

 

 

Nederländerna

 

 

 

 

12.7

 

 

 

 

Irland

 

 

 

 

14.8

 

 

 

 

Nya Zeeland

 

 

 

 

 

 

 

 

35.6

 

OECD

 

 

 

 

3.1

 

 

 

 

 

 

 

 

 

 

 

 

 

 

 

 

 

 

 

 

 

-10

0

10

20

30

40

Källa: Forfás, Annual Competitiveness Report 2006.

Den handelsviktade växelkursen viktas efter fördelningen av utrikeshandeln på olika valutor. Exempelvis, om en större andel av Irlands handel, i jämförelse med Spaniens handel, sker i amerikanska dollar får eurons förbättrade växelkurs mot dollarn större genomslag i Irlands handelsviktade växelkurs än i Spaniens. Det är av denna anledning som länderna i Euroområdet skiljer sig åt i figur 2.9.TPF22FPT

I figur 2.9 framgår eurons positiva utveckling gentemot den amerikanska dollarn då euroländernas handelsviktade växelkurser har ökat medan USA:s har fallit. Sveriges handelsviktade växelkurs har minskat med 1,4 procent under perioden 2000-2005. Utvecklingen beror till stor del på att den svenska kronan under perioden har deprecierats med knappt 10 procent mot euron och apprecierats med drygt 18 procent mot dollarn.TPF23FPT Deprecieringen mot euron får en större genomslagskraft på den svenska handelsviktade växelkursen än apprecieringen mot dollarn pga. att

22TP UrPT konkurrenssynpunkt är det meningsfullt att studera handelviktade växelkurser. Om två länder knappast bedriver någon handel med varandra spelar växelkursförändringar mellan deras valutor väldigt liten roll för deras konkurrenskraft på kort sikt.

23TP ÅrsgenomsnittPT på valutakurser från riksbanken, förändring av valutakurs 2000 och 2005.

41

Makroekonomisk utveckling och konkurrenskraft

Ds 2007:37

en större andel av den svenska utrikeshandeln sker med Euroländer.

2.3.2Relativ enhetsarbetskostnad och produktivitet

Ett av de mest använda måtten för att jämföra olika länders konkurrenskraft är relativ enhetsarbetskostnad (RULC).TPF24FPT Måttet speglar den sammantagna utvecklingen av produktivitet, lönekostnader och växelkurs i förhållande till de viktigaste konkurrentländerna. I Sverige är arbetskraftskostnaden relativt hög, men samtidigt är arbetsproduktiviteten också relativt hög. För närvarande gäller exempelvis det omvända i Kina. En högre arbetsproduktivitet ger utrymme för högre löner.TPF25FPT Dessutom påverkar även växelkursförändringar och politiska beslut RULC. Detta innebär samtidigt att konkurrenskraften kan förändras på olika sätt. Exempelvis brukar produktivitetsökningar som minskar RULC anses som fördelaktigare än om minskningen har orsakats av en försvagad valuta, eftersom bytesförhållandet i detta fall, allt annat lika, inte har försämrats.

I figur 2.10 visas utvecklingen av RULC för ett antal länder under åren 1997-2006. I figuren är RULC indexerad till 100 år 1997 för vart och ett av länderna. Med andra ord jämförs inte ländernas RULC i figuren, utan den genomsnittliga förändringen av respektive lands RULC sedan 1997.

Under bägge perioderna i figur 2.10 har RULC minskat i Sverige jämfört med 1997, vilket medfört ett förbättrat konkurrensläge i förhållande till konkurrentländerna. Detta gäller också jämfört med genomsnittet i Euroområdet, vars RULC sammantaget ökat under tioårsperioden. Endast Korea och Irland uppvisar en kraftigare minskning än Sverige. Av figuren framgår att Storbritannien, Italien och Island har haft de kraftigaste ökningarna av RULC under perioden.

24TP DenPT engelska termen är Relative Unit Labour Cost, därav förkortningen ”RULC”. 25TP SambandetPT finns bl.a. redovisat i ITPS (2007b).

42

Ds 2007:37

Makroekonomisk utveckling och konkurrenskraft

Figur 2.10: Genomsnittlig relativ arbetskraftskostnad per producerad enhet i Sverige, 1997-2006, index 1997 = 100

Korea

 

 

 

 

 

 

 

 

 

 

 

 

 

 

 

 

 

 

 

 

 

 

 

 

 

 

 

 

 

 

 

 

 

 

 

 

 

 

 

 

 

 

 

 

 

 

 

 

 

 

 

 

 

 

 

 

 

 

 

 

 

 

 

 

 

 

 

 

 

Irland

 

 

 

 

 

 

 

 

 

 

 

minskat

 

 

 

 

 

 

 

 

 

SVERIGE

 

 

 

 

 

 

 

 

 

 

 

 

 

 

 

 

 

 

 

 

 

 

 

 

 

 

 

 

 

 

 

 

 

 

 

 

 

 

 

 

 

 

 

 

 

 

 

 

 

 

 

 

 

 

 

 

 

 

 

 

 

 

 

 

 

 

 

 

 

Finland

 

 

 

 

 

 

 

 

 

 

 

 

 

 

 

 

 

 

 

 

 

 

 

 

 

 

 

 

 

 

 

 

 

 

 

 

 

 

 

 

 

 

 

 

 

 

Frankrike

 

 

 

 

 

 

 

 

 

 

 

 

 

 

 

 

 

 

 

 

 

 

 

 

 

 

 

 

 

 

 

 

 

 

 

 

 

 

 

 

 

 

 

 

 

 

Österrike

 

 

 

 

 

 

 

 

 

 

 

 

 

 

 

 

 

 

 

 

 

 

 

 

 

 

 

 

 

 

 

 

 

 

 

 

 

 

 

 

 

 

 

 

 

 

Japan

 

 

 

 

 

 

 

 

 

 

 

 

 

 

 

 

 

 

 

 

 

 

 

 

 

 

 

 

 

 

 

 

 

 

 

 

 

 

 

 

 

 

 

 

 

 

USA

 

 

 

 

 

 

 

 

 

 

 

 

 

 

 

 

 

 

 

 

 

 

 

Tyskland

 

 

 

 

 

 

 

 

 

 

 

 

 

 

 

 

 

 

 

 

 

 

 

 

 

 

 

 

 

 

 

 

 

 

 

 

 

 

 

 

 

 

 

 

 

 

 

 

 

 

 

 

 

 

 

 

 

 

 

 

 

 

 

 

 

 

 

 

 

Grekland

 

 

 

 

 

 

 

 

 

 

 

 

 

 

 

 

 

 

 

 

 

 

 

 

 

 

 

 

 

 

 

 

 

 

 

 

 

 

 

 

 

 

 

 

 

 

Nya Zeeland

 

 

 

 

 

 

 

 

 

 

 

 

 

 

 

 

 

 

 

 

 

 

 

Portugal

 

 

 

 

 

 

 

 

 

 

 

 

 

 

 

 

 

ökat

 

 

 

 

 

 

 

 

 

 

 

 

 

 

 

 

 

 

 

 

 

 

 

 

 

 

 

 

 

 

 

 

 

 

 

 

 

 

 

 

 

 

 

 

Luxemburg

 

 

 

 

 

 

 

 

 

 

 

 

 

 

 

 

 

 

 

 

 

 

 

 

 

 

 

 

 

 

 

 

 

 

 

 

 

 

 

 

 

 

 

 

 

 

 

 

 

 

 

 

 

 

 

 

 

 

 

 

 

 

 

 

 

 

 

 

 

Belgien

 

 

 

 

 

 

 

 

 

 

 

 

 

 

 

 

 

 

 

 

 

 

 

 

 

 

 

 

 

 

 

 

 

 

 

 

 

 

 

 

 

 

 

 

 

 

Australien

 

 

 

 

 

 

 

 

 

 

 

 

 

 

 

 

 

 

 

 

 

 

 

 

 

 

 

 

 

 

 

 

 

 

 

 

 

 

 

 

 

 

 

 

 

 

Nederländerna

 

 

 

 

 

 

 

 

 

 

 

 

 

 

 

 

 

 

 

 

 

 

 

 

 

 

 

 

 

 

 

 

 

 

 

 

 

 

 

 

 

 

 

 

 

 

 

 

 

 

 

 

 

 

 

 

 

 

 

 

 

 

 

 

 

 

 

 

 

Danmark

 

 

 

 

 

 

 

 

 

 

 

 

 

 

 

 

 

 

 

 

 

 

 

 

 

 

 

 

 

 

 

 

 

 

 

 

 

 

 

 

 

 

 

 

 

 

Spanien

 

 

 

 

 

 

 

 

 

 

 

 

 

 

 

 

 

 

 

 

 

 

 

 

 

 

 

 

 

 

 

 

 

 

 

 

 

 

 

 

 

 

 

 

 

 

Schweiz

 

 

 

 

 

 

 

 

 

 

 

 

 

 

 

 

 

 

 

 

 

 

 

 

 

 

 

 

 

 

 

 

 

 

 

 

 

 

 

 

 

 

 

 

 

 

 

 

 

 

 

 

 

 

 

 

 

 

 

 

 

 

 

 

 

 

 

 

 

Kanada

 

 

 

 

 

 

 

 

 

 

 

 

 

 

 

 

 

 

 

 

 

 

 

 

 

 

 

 

 

 

 

 

 

 

 

 

 

 

 

 

 

 

 

 

 

 

Norge

 

 

 

 

 

 

 

 

 

 

 

 

 

 

 

 

 

 

 

 

 

 

 

 

 

 

 

 

 

 

 

 

 

 

 

 

 

 

 

 

 

 

 

 

 

 

Storbritannien

 

 

 

 

 

 

 

 

 

 

 

 

 

 

 

 

 

 

 

 

 

 

 

 

 

 

 

 

 

 

 

 

 

 

 

 

 

 

 

 

 

 

 

 

 

 

Italien

 

 

 

 

 

 

 

 

 

 

 

 

 

 

 

 

 

 

 

 

 

 

 

 

 

 

 

 

 

 

 

 

 

 

 

 

 

 

 

 

 

 

 

 

 

 

Island

 

 

 

 

 

 

 

 

 

 

 

 

 

 

 

 

 

 

 

 

 

 

 

Euroområdet

 

 

 

 

 

 

 

 

 

 

 

 

 

 

 

 

 

 

 

 

 

 

 

 

 

 

 

 

 

 

 

 

 

 

 

 

 

 

 

 

 

 

 

 

 

 

 

 

 

 

 

 

 

 

 

 

 

 

 

 

 

 

 

 

 

 

 

 

 

 

 

 

 

 

 

 

 

 

 

 

 

 

 

 

 

 

 

 

 

 

 

 

 

2002-2006

1997-2001

50

70

90

110

130

150

Källa: OECD, Economic Outlook 81, 2007.

Sveriges minskade RULC beror främst på ökad produktivitet och en försvagad växelkurs. Under 1997-2001 steg arbetskraftskostnaderna i Sverige mer än i konkurrentländerna men de uppvägdes samtidigt av en kraftigt försvagad växelkurs som med hjälp av en snabb produktivitetstillväxt minskade Sveriges RULC. Under 2002-2006 var produktivitetstillväxten fortfarande snabb samtidigt som ökningstakten i arbetskraftskostnaderna var måttligare. I kombination med en något försvagad växelkurs bidrog detta till att minska Sveriges RULC ytterligare under perioden.TPF26F PT

Framöver kommer Sveriges RULC också att påverkas av en rad förslag som regeringen har aviserat, t.ex. halveringen av arbetsgivar- och egenavgifter för personer i åldrarna 19-24. Riksbanken uppskattar att regeringens åtgärder sänker ökningen av

26TP DennaPT bedömning bygger på ett antal penningpolitiska rapporter från Riksbanken, budgetpropositioner från Finansdepartementet och konjunkturlägesrapporter från Konjunkturinstitutet mellan 1999-2007.

43

Makroekonomisk utveckling och konkurrenskraft

Ds 2007:37

enhetsarbetskostnaderna med 0,2 procentenheter både 2008 och 2009.TPF27F

Figur 2.11 visar att arbetsproduktiviteten har haft en gynnsam utveckling för Sverige under den senaste tioårsperioden. Av figuren framgår att arbetsproduktiviteten har ökat mer i Sverige än i Euroområdet och att ökningen är i paritet med utvecklingen i USA. Utvecklingen har emellertid varit ojämn mellan olika sektorer. Enligt Konjunkturrådet har industrin stått för 68 procent av produktivitetstillväxten under 1993-2005 trots att sektorn bara utgjorde 27 procent av förädlingsvärdet.TPF28FPT

Figur 2.11: Genomsnittlig arbetsproduktivitet, 1997-2006, procent

Korea SVERIGE Island Grekland USA Finland Irland Japan Österrike Norge

Storbritannien Danmark Belgien Nederländerna Frankrike Luxemburg Tyskland Australien Schweiz Canada Nya Zeeland Portugal Spanien Italien OECD Euroområdet

2002-2006

1997-2001

-1.0 -0.5

0.0

0.5

1.0

1.5

2.0

2.5

3.0

3.5

4.0

Källa: OECD, Economic Outlook 81, 2007.

27TP RiksbankenPT (2007), Penningpolitisk rapport 2007:1. Avser de av regeringen genomförda åtgärderna i och med budgetpropositionen för år 2007 (prop. 2006/07:1) .

28TP ”TillväxtPT i otakt”, Konjunkturrådets rapport 2007.

44

Ds 2007:37

Makroekonomisk utveckling och konkurrenskraft

Även bidraget från totalfaktorproduktivitet (TFP) till BNP- tillväxten har varit stark i Sverige sedan 1995.TPF29FPT Mellan 1995-2005 förklarades över 1,5 procentenheter av den årliga tillväxten med en ökning av TFP.TPF30FPT I figur 2.12 visas hur mycket TFP bidragit till tillväxten i ett antal länder.

Figur 2.12 Genomsnittligt bidrag till BNP-tillväxten från totalfaktorproduktivitet, 1990-2005, procentenheter

Irland

Grekland

USA

SVERIGE

Finland

Japan 1)

Storbritannien

Australien 2)

Nya Zeeland

Frankrike

Tyskland

Kanada

Belgien

Spanien

Nederländerna

Österrike 3)

Danmark

Portugal 3)

Italien

2000-05 1995-00

1990-95

-1.0

0.0

1.0

2.0

3.0

4.0

5.0

Källa: OECD Compendium of Productivity Indicators 2006 (OECD Productivity database, 2006-10-06).

1)2000-2005 avser 2000-2004. Värdena för 2003-2004 är estimerade.

2)2000-2005 avser 2000-2004.

3)1990-1995 saknas.

De två länder som har haft störst bidrag från TFP, Irland och Grekland, har haft en omfattande strukturomvandling till branscher med högre förädlingsvärde. Sverige ligger på en fjärde

29TP SkillnadenPT mellan totalfaktorproduktivitet (TFP) och arbetsproduktivitet är att den senare mäter hur mycket output per arbetare har ökat medan den tidigare mäter hur mycket output har ökat med samma mängd produktionsfaktorer som tidigare. Arbetsproduktiviteten kan således öka p.g.a. att kapitalintensiteten ökar medan detta inte gäller för TFP. TFP kan exempelvis öka p.g.a. förändringar i arbetskraftens sammansättning (t.ex. högre utbildning), ny teknik och nya organisationsformer för produktion.

30TP DvsPT . att vid en tillväxt på exempelvis 3,5 procent förklaras 1,5 procentenheter av ökad totalfaktorproduktivitet. Resterande 2 procentenheter kan exempelvis bero på ökad sysselsättning och/eller ökad kapitalintensitet.

45

Makroekonomisk utveckling och konkurrenskraft

Ds 2007:37

plats under 2000-2005 i jämförelsen. Under perioden 1990-1995 placerade sig Sverige på en 11:e plats. I avsnitt 2.2.1 omnämns flera tänkbara förklaringar till denna produktivitetsuppgång.TPF31FPT Exempelvis ökade den genomsnittliga produktiviteten i företagsstocken när 1990-talskrisen orsakade en omfattande nedläggning av företag med förhållandevis låg produktivitet. Samtidigt expanderade IT-sektorn med en snabbt stigande produktivitet och IT-investeringar i befintliga företag möjliggjorde nya och effektivare organisations- och produktionsformer. I samverkan med en ökad öppenhet för handel och avregleringar under 1990-talet bidrog detta till en effektivare internationell arbetsfördelning och ökad konkurrens. Sveriges makroekonomiska stabilitet och låga inflation under 2000-talet har dessutom minskat osäkerheten och reducerat störningarna i ekonomin, vilket har gjort ekonomin mer effektiv. Till sist har troligtvis förändringar av arbetskraftens sammansättning också påverkat produktiviteten.

2.3.3Utrikeshandel, världsmarknadsandelar och bytesförhållande

Sverige är, som en liten öppen ekonomi, helt beroende av utrikeshandeln för sin tillväxt och välfärd. Sedan den ekonomiska krisen i början av 1990-talet har den svenska utrikeshandeln som andel av BNP ökat kraftigt.

Under 2000-talet var andelen drygt 80 procent av BNP att jämföra med drygt 60 procent av BNP under 1980-talet. Ökningen gäller både exporten och importen, men från att ha legat på omkring samma nivå har exporten ökat kraftigare än importen sedan 1990-talskrisen. Nettoexportens överskott har legat kring 7 procent av BNP sedan 1995 och uppgick 2006 till omkring 230 miljarder kronor. Utvecklingen, som visas i figur 2.13, beror bl.a. på kronans relativt svaga utveckling, vilket har stimulerat exporten och dämpat importen.

31TP FörklaringarnaPT till produktivitetsökningarna bygger på Andersson och Ådahl (2005).

46

Ds 2007:37

Makroekonomisk utveckling och konkurrenskraft

Figur 2.13: Sveriges utrikeshandel i relation till BNP, 1970-2006, procent

100

 

 

 

 

 

 

 

90

Utrikeshandel

 

 

 

 

 

 

 

 

 

 

 

 

 

Export

 

 

 

 

 

 

80

Import

 

 

 

 

 

 

 

 

 

 

 

 

 

70

 

 

 

 

 

 

 

60

 

 

 

 

 

 

 

50

 

 

 

 

 

 

 

40

 

 

 

 

 

 

 

30

 

 

 

 

 

 

 

20

 

 

 

 

 

 

 

10

 

 

 

 

 

 

 

0

 

 

 

 

 

 

 

1970

1975

1980

1985

1990

1995

2000

2005

Källa: Nationalräkenskaperna, SCB.

 

 

 

 

 

Fortfarande består den svenska exporten mestadels av export från de stora svenska företagen. Enligt Exportrådet står 10 stora svenska företag för 40 procent av exporten.TPF32FPT Totalt sett stod de stora företagen, dvs. de med 200 eller fler anställda, för ca 70 procent av varuexportvärdet i Sverige år 2006. De små företagen, med 0-49 anställda, stod samma år för ca 17 procent av varuexportvärdet medan de medelstora företagen, med 50-199 anställda, stod för ca 13 procent av varuexportvärdet.TPF33FPT

Sverige har trendmässigt tappat världsmarknadsandelar sedan 1970. Detta beror på minskad konkurrenskraft, på kraftigt ökande handelsvolymer i världen och på ett försämrat bytesförhållande.TPF34FPT I vissa branscher, som t.ex. skogsindustrin, kan det också bero på att branschen har ett naturlig kapacitetstak.TPF35FPT

I figur 2.14 visas genomsnittliga världsmarknadsandelar för ett urval av länder under 1980-talet, 1990-talet och 2000-2006.

32TP DagensPT exportnyheter den 9 maj 2007, Exportrådets hemsida.

33TP UträknatPT från värdena i tabell 1 i Exportrådets rapport Små, medelstora och stora företags export 2002-2006 av Mauro Gozzo, 2007-06-04.

34TP DenPT försämrade konkurrenskraften under 1970- och 1980-talet berodde främst på återkommande kostnadskriser.

35TP KommerskollegiumPT (2005) påpekar att skogsindustrin inte kan avverka hur mycket skog som helst utan att hota återväxten, därav kan inte branschen växa hur mycket som helst.

47

Makroekonomisk utveckling och konkurrenskraft

Ds 2007:37

Världsmarknadsandelarna erhålls genom att dividera värdet av landets totala export med värdet av världens totala export. Detta gör att måttet även fångar upp kvalitetsförbättringar och förändringar i bytesförhållandet. Ett land som ökar förädlingsvärdet på sin export (dvs. får mer betalt) kommer att öka sin världsmarknadsandel, allt annat lika. Likaså kommer ett land som importerar stora mängder olja att få en minskad världsmarknadsandel om oljepriset stiger medan alla andra priser förblir konstanta.

48

Ds 2007:37

Makroekonomisk utveckling och konkurrenskraft

Figur 2.14: Världsmarknadsandelar av världens export 1980-

2006, värde, procent

 

 

 

 

 

 

 

 

 

 

 

 

 

Kina 1)

 

 

 

 

 

 

 

 

 

 

 

 

 

 

 

Indien

 

 

 

 

 

 

 

 

 

 

 

 

 

 

 

USA

 

 

 

 

 

 

 

 

 

 

 

 

 

 

Tyskland 2)

 

 

 

 

 

 

 

 

 

 

 

 

 

 

 

Japan

 

 

 

 

 

 

 

 

 

 

 

 

 

 

 

Frankrike

 

 

 

 

 

 

 

 

 

 

 

 

 

 

Storbritannien

 

 

 

 

 

 

 

 

 

 

 

 

 

 

 

Italien

 

 

 

 

 

 

 

 

 

 

 

 

 

 

Nederländerna

 

 

 

 

 

 

 

 

 

 

 

 

 

 

 

Kanada

 

 

 

 

 

 

 

 

 

 

 

 

 

 

Belgien 3)

 

 

 

 

 

 

 

 

 

 

 

 

 

 

 

Korea

 

 

 

 

 

 

 

 

 

 

 

 

 

 

 

Spanien

 

 

 

 

 

 

 

 

 

 

 

 

 

 

 

Schw eiz

 

 

 

 

 

 

 

 

 

 

 

 

 

 

Österrike 4)

 

 

 

2000-tal

 

 

 

 

 

 

 

 

 

 

 

SVERIGE

 

 

 

1990-tal

 

 

 

 

 

 

 

 

 

 

 

Irland

 

 

 

1980-tal

 

 

 

 

Varuexport

 

 

 

 

 

 

 

 

 

 

 

 

 

 

 

Australien

 

 

 

 

 

 

 

 

Tjänsteexport

 

 

 

Danmark

 

 

 

 

 

 

 

 

 

 

 

 

 

 

 

 

 

 

 

 

 

 

 

 

 

 

Norge

 

 

 

 

 

 

 

 

 

 

 

 

 

 

 

Finland

 

 

 

 

 

 

 

 

 

 

 

 

 

 

 

Portugal

 

 

 

 

 

 

 

 

 

 

 

 

 

 

 

Grekland

 

 

 

 

 

 

 

 

 

 

 

 

 

 

Nya Zeeland

 

 

 

 

 

 

 

 

 

 

 

 

 

 

 

Island

 

 

 

 

 

 

 

 

 

 

 

 

 

 

 

0

1

2

3

4

5

6

7

8

9

10

11

12

13

14

Källa:T

WTO, International Trade Statistics 2006, egna beräkningar.

 

 

 

 

 

1) Tjänsteexporten för 1980-talet avser 1982-1989 och 2000-talet avser 2000-2005.

 

 

2) Före 1990 avses endast Västtyskland.

 

 

 

 

 

 

 

 

 

 

3) Inkluderar även Luxemburg.

 

 

 

 

 

 

 

 

 

 

 

 

4) Tjänsteexporten för 2000-talet avser 2000-2005.

 

 

 

 

 

 

 

 

Det finns flera länder vars världsmarknadsandel stigit. I figur 2.14 kan detta utläsas för t.ex. Kina, Irland, Korea och Indien. Några länder har legat mer eller mindre konstant sedan 1990-talet, exempelvis Nederländerna och Danmark, medan andra länder har en minskande andel, exempelvis Sverige, Frankrike, Japan och Tyskland. Kinas, Indiens och Irlands tjänsteexportsandel växer relativt kraftigt under 1990-2005. Sverige hade i genomsnitt en världsmarknadsandel på 1,6 procent under 1980-talet. Under 2000-

49

Makroekonomisk utveckling och konkurrenskraft

Ds 2007:37

2006 sjönk andelen till 1,35 procent i genomsnitt, även om Sveriges andel i tjänstexport ökat något efter krisen på 1990-talet.

Tabell 2.1 visar de genomsnittliga världsmarknadsandelarna för Sverige uppdelat på varor och tjänster.

Tabell 2.1 Sveriges genomsnittliga världsmarknadsandelar, 1980- 2006, procent

 

1980-tal

1990-tal

2000-tal

Varuexportandel

1,58

1,52

1,28

Tjänsteexportandel

1,71

1,44

1,60

Totalt

1,60

1,51

1,35

Källa:T WTO, International Trade Statistics 2006, egna beräkningar.

Enligt Kommerskollegium är nedgången i den svenska varuexporten generell över exportbranscherna, med undantag för läkemedel där Sverige har tagit världsmarknadsandelar sedan 1970.TPF36FPT För att försöka få svar på varför Sverige tappar marknadsandelar i varuexporten jämfört med våra konkurrentländer och varför bytesförhållandet har försämrats har regeringen tillsatt en utredning. Ett betänkande kommer att redovisas den 1 september 2008.

I figur 2.15 återges den genomsnittliga förändringen av bytesförhållandet för ett urval av länder. Bytesförhållandet definieras som kvoten mellan exportpriser och importpriser för ett land.

36TP EnligtPT Kommerskollegium (2005) har dock den svenska andelen av läkemedelsexporten gått tillbaka något de senaste 10 åren. Enligt samma rapport har Sverige även tagit världsmarknadsandelar i oljeprodukter och livsmedel sedan 1970, om än inte lika påfallande som i läkemedel.

50

Ds 2007:37

Makroekonomisk utveckling och konkurrenskraft

Figur 2.15: Genomsnittlig förändring av bytesförhållandet 1996- 2006, procent

Norge

Australien

Kanada

Grekland

Danmark

Storbritannien

Nya Zeeland

Spanien

Nederländerna

Island

Luxemburg

Italien

Portugal

Irland

USA

Frankrike

Österrike

Belgien

Schweiz

Tyskland

SVERIGE

Finland

Japan

Sydkorea

-4

-3

-2

-1

0

1

2

3

4

5

Källa: OECD Economic Outlook 81, 2007. Egna beräkningar.

Enligt Konjunkturinstitutet har Sveriges bytesförhållande sjunkit med i genomsnitt 0,9 procent per år mellan 1995 och 2006.TPF37FPT Denna försämring av bytesförhållandet beror till stor del på ett stigande oljepris och fallande priser på teleprodukter. Det senare har orsakas av den mycket starka produktivitetsutvecklingen i världen inom teleprodukter. Eftersom teleprodukter är en viktig svensk exportbransch får detta en stor inverkan på det svenska bytesförhållandet. Av figur 2.15 framgår att Norge och Australien haft kraftigt förbättrade bytesförhållanden under perioden 1996- 2006. Detta beror troligtvis på olje- och råvaruprisutvecklingen under tidsperioden som sammanfaller med Kinas ekonomiska expansion och kraftigt ökade efterfrågan på råvaror. Längst ner i figur 2.15 återfinns Korea, Japan, Finland och Sverige med

37TP PT Konjunkturinstitutet, Konjunkturläget augusti 2007.

51

Makroekonomisk utveckling och konkurrenskraft

Ds 2007:37

försämrade bytesförhållanden. Dessa fyra länder är stora exportörer av elektronik och teleprodukter samt importörer av olja.

2.3.4Utländska direktinvesteringar

Andelen utländska direktinvesteringar i Sverige kan ses som en indikation på hur intressant det är för utländska aktörer att äga företag i Sverige. En utländsk direktinvestering är en investering där någon, vanligtvis ett utländsk företag, äger minst 10 procent av en verksamhet i ett annat land. Eftersom flödena av direktinvesteringar påverkas väldigt mycket av enskilda företagsaffärer, t.ex. företagsfusioner, visas den ackumulerade stocken av utländska direktinvesteringar i jämförelsen.

Figur 2.16 visar andelen utländska direktinvesteringar (stocken) i olika länder i relation till BNP. I figuren hamnar Sverige på femte plats, klart över genomsnittet i EU men långt efter Irland, Belgien och Luxemburg och Nederländerna. Av jämförelsen framgår att små öppna ekonomier i regel har höga andelar av utländska direktinvesteringar i förhållande till BNP, däribland Sverige. I Sverige har andelen utländska direktinvesteringar ökat markant de senaste 10 åren. Investeringsklimatet i Sverige tycks således vara gott i den mening att utländska placerare finner det attraktivt att ha stora aktieinnehav i svenska företag. Notera att Kina än så länge ligger relativt långt ner i rangordningen i figur 2.16. Kina har också en lägre andel utländska direktinvesteringar under 2001-2005 i förhållande till perioden innan. Detta ska dock ses i ljuset av Kinas väldiga tillväxt under perioden. Om Kina hade haft samma tillväxttakt som genomsnittet i Europa under 1991-2005, hade stocken av utländska direktinvesteringar som andel av BNP varit betydligt högre.

52

Ds 2007:37

Makroekonomisk utveckling och konkurrenskraft

Figur 2.16: Utländska direktinvesteringar till länder, stocken som andel av BNP, 1991-2005, procent

Irland

 

 

 

 

 

 

 

 

 

 

 

 

 

 

 

 

 

 

 

 

 

 

 

 

 

 

 

 

 

 

 

 

 

 

 

 

 

 

 

 

 

 

 

 

 

 

 

 

 

 

 

 

 

 

 

 

 

 

 

 

 

 

 

 

Belgien 1)

 

 

 

 

 

 

 

 

 

 

 

 

 

 

 

 

 

 

 

 

 

 

 

 

 

 

 

 

 

 

 

 

 

 

 

 

 

 

 

 

 

 

 

 

 

 

 

 

 

 

 

 

 

 

 

 

 

 

 

 

 

 

 

 

Nederländerna

 

 

 

 

 

 

 

 

 

 

 

 

 

 

 

 

 

 

 

 

 

 

 

 

 

 

 

 

 

 

 

 

 

 

 

 

 

 

 

 

 

 

 

 

 

 

 

 

 

 

 

 

 

 

 

 

 

 

 

 

 

 

 

 

Nya Zeeland

 

 

 

 

 

 

 

 

 

 

 

 

 

 

 

 

 

 

 

 

 

 

 

 

 

 

 

 

 

 

 

 

 

 

 

 

 

 

 

 

 

 

 

 

 

 

 

 

 

 

 

 

 

 

 

 

 

 

 

 

 

 

 

 

SVERIGE

 

 

 

 

 

 

 

 

 

 

 

 

 

 

 

 

 

 

 

 

 

 

 

 

 

 

 

 

 

 

 

 

 

 

 

 

 

 

 

 

 

 

 

 

 

 

 

 

 

 

 

 

 

 

 

 

 

 

 

 

 

 

 

 

Schweiz

 

 

 

 

 

 

 

 

 

 

 

 

 

 

 

 

 

 

 

 

 

 

 

 

 

 

 

 

 

 

 

 

 

 

 

 

 

 

 

 

 

 

 

 

 

 

 

 

 

 

 

 

 

 

 

 

 

 

 

 

 

 

 

 

Danmark

 

 

 

 

 

 

 

 

 

 

 

 

 

 

 

 

 

 

 

 

 

 

 

 

 

 

 

 

 

 

 

 

 

 

 

 

 

 

 

 

 

 

 

 

 

 

 

 

 

 

 

 

 

 

 

 

 

 

 

 

 

 

 

 

Portugal

 

 

 

 

 

 

 

 

 

 

 

 

 

 

 

 

 

 

 

 

 

 

 

 

 

 

 

 

 

 

 

 

 

 

 

 

 

 

 

 

 

 

 

 

 

 

 

 

 

 

 

 

 

 

 

 

 

 

 

 

 

 

 

 

Spanien

 

 

 

 

 

 

 

 

 

 

 

 

 

 

 

 

 

 

 

 

 

 

 

 

 

 

 

 

 

 

 

 

 

 

 

 

 

 

 

 

 

 

 

 

 

 

 

 

 

 

 

 

 

 

 

 

 

 

 

 

 

 

 

 

Australien

 

 

 

 

 

 

 

 

 

 

 

 

 

 

 

 

 

 

 

 

 

 

 

 

 

 

 

 

 

 

 

 

 

 

 

 

 

 

 

 

 

 

 

 

 

 

 

 

 

 

 

 

 

 

 

 

 

 

 

 

 

 

 

 

Storbritannien

 

 

 

 

 

 

 

 

 

 

 

 

 

 

 

 

 

 

 

 

 

 

 

 

 

 

 

 

 

 

 

 

 

 

 

 

 

 

 

 

 

 

 

 

 

 

 

 

 

 

 

 

 

 

 

 

 

 

 

 

 

 

 

 

Kanada

 

 

 

 

 

 

 

 

 

 

 

 

 

 

 

 

 

 

 

 

 

 

 

 

 

 

 

 

 

 

 

 

 

 

 

 

 

 

 

 

 

 

 

 

 

 

 

 

 

 

 

 

 

 

 

 

 

 

 

 

 

 

 

 

Frankrike

 

 

 

 

 

 

 

 

 

 

 

 

 

 

 

 

 

 

 

 

 

 

 

 

 

 

 

 

 

 

 

 

 

 

 

 

 

 

 

 

 

 

 

 

 

 

 

 

 

 

 

 

 

 

 

 

 

 

 

 

 

 

 

 

Finland

 

 

 

 

 

 

 

 

 

 

 

 

 

 

 

 

 

 

 

 

 

 

 

 

 

 

 

 

 

 

 

 

 

 

 

 

 

 

 

 

 

 

 

 

 

 

 

 

 

 

 

 

 

 

 

 

 

 

 

 

 

 

 

 

Norge

 

 

 

 

 

 

 

 

 

 

 

 

 

 

 

 

 

 

 

 

 

 

 

 

 

 

 

 

 

 

 

 

 

 

 

 

 

 

 

 

 

 

 

 

 

 

 

 

 

 

 

 

 

 

 

 

 

 

 

 

 

 

 

 

Österrike

 

 

 

 

 

 

 

 

 

 

 

 

 

 

 

 

 

 

 

 

 

 

 

 

 

 

 

 

 

 

 

 

 

 

 

 

 

 

 

 

 

 

 

 

 

 

 

 

 

 

 

 

 

 

 

 

 

 

 

 

 

 

 

 

Tyskland

 

 

 

 

 

 

 

 

 

 

 

 

 

 

 

 

 

 

 

 

 

 

 

 

 

 

 

 

 

 

 

 

 

 

 

 

 

 

 

 

 

 

 

 

 

 

 

 

 

 

 

 

 

 

 

 

 

 

 

2001-2005

 

 

Kina

 

 

 

 

 

 

 

 

 

 

 

 

 

 

 

 

 

 

 

 

 

 

 

 

 

 

 

 

 

 

 

 

 

 

 

 

 

 

 

 

 

 

 

 

 

 

 

 

 

 

 

 

 

 

 

 

 

 

Island

 

 

 

 

 

 

 

 

 

 

 

 

 

 

 

 

 

 

 

 

 

 

 

 

 

 

 

1996-2000

 

 

 

 

 

 

 

 

 

 

 

 

 

 

 

 

 

 

 

 

 

 

 

 

 

 

 

 

 

 

 

USA

 

 

 

 

 

 

 

 

 

 

 

 

 

 

 

 

 

 

 

 

 

 

 

 

 

 

 

 

 

Grekland

 

 

 

 

 

 

 

 

 

 

 

 

 

 

 

 

 

 

 

 

 

 

 

 

 

 

 

1991-1995

 

 

 

 

 

 

 

 

 

 

 

 

 

 

 

 

 

 

 

 

 

 

 

 

 

 

 

 

 

 

 

 

 

 

 

 

 

 

 

 

 

 

 

 

 

 

 

 

 

 

 

 

 

 

 

 

 

 

 

 

Italien

 

 

 

 

 

 

 

 

 

 

 

 

 

 

 

 

 

 

 

 

 

 

 

 

 

 

 

 

 

 

 

 

 

 

 

 

 

 

 

 

 

 

 

 

 

 

 

 

 

 

 

 

 

 

 

 

 

 

 

 

 

Korea

 

 

 

 

 

 

 

 

 

 

 

 

 

 

 

 

 

 

 

 

 

 

 

 

 

 

 

 

 

 

 

 

 

 

 

 

 

 

 

 

 

 

 

 

 

 

 

 

 

 

 

 

 

 

 

 

 

 

 

 

 

 

 

 

Japan

 

 

 

 

 

 

 

 

 

 

 

 

 

 

 

 

 

 

 

 

 

 

 

 

 

 

 

 

 

 

 

 

 

 

 

 

 

 

 

 

 

 

 

 

 

 

 

 

 

 

 

 

 

 

 

 

 

 

 

EU

 

 

 

 

 

 

 

 

 

 

 

 

 

 

 

 

 

 

 

 

 

 

 

 

 

 

 

 

 

 

 

 

 

 

 

 

 

 

 

 

 

 

 

 

 

 

 

 

 

 

 

 

 

 

 

 

 

 

 

 

 

 

 

 

 

 

 

 

 

 

 

 

 

 

 

 

 

 

 

 

 

 

 

 

 

 

0

 

 

 

20

 

40

 

 

 

 

 

60

80

 

 

100

 

120

140

Källa: UNCTAD, World Investment Report 2006. 1) Belgien avser Belgien och Luxemburg 1991-2002.

Om man studerar de utgående direktinvesteringar (stocken) som andel av BNP ligger lågskatteländer som, t.ex. Jungfruöarna, i toppen av listan. Andra geografiska områden som hamnar högt upp på listan är Hongkong, Singapore och Taiwan som har investerat mycket i Kina. Norge, som investerar mycket av sina oljeinkomster, ligger på 176 procent av BNP under 2001-2005. Sverige hamnar, i en jämförelse bland samma länder som i figur 2.16, på en sjätte plats med en stock av utgående direktinvesteringar på i genomsnitt ca 60 procent av BNP under 2001-2005. Det är ungefär tio procentenheter mer än de utländska direktinvesteringarnas andel av BNP i Sverige. Skillnaden mellan de ingående och utgående direktinvesteringarna i Sverige speglar det faktum att Sverige har förhållandevis många multinationella företag som har investerat och expanderat utomlands.

53

Makroekonomisk utveckling och konkurrenskraft

Ds 2007:37

2.3.5Korruptionsindex

Institutionella förhållanden såsom äganderättens ställning, ekonomisk frihet och rättssäkerhet är viktiga för ett lands tillväxt och ekonomiska välstånd. Det finns en mängd index som mäter sådana institutionella förhållanden och jämför länder, exempelvis Corruption Perception Index av Transparency International,

Worldwide Governance Indicators av Världsbanken och Index of Economic Freedom av Heritage Foundation och Wall Street Journal. I detta avsnitt redovisas av utrymmesskäl endast resultatet från det förstnämnda indexet, nedan kallat korruptionsindex. Detta innebär inte att andra institutionella förhållande helt utelämnas.

The Global Competitiveness Index av World Economic Forum och IMD:s The World Competitiveness Scoreboard som redovisas i avsnitt 2.3.7 väger in ett flertal institutionella förhållanden i bedömningen av ländernas konkurrenskraft.

Korruptionsindex relaterar till nivån av korruption som internationella affärsmän och länderanalytiker upplever finns i olika länder och baseras på intervjuer. Indexet spänner mellan 10 (väldigt lite korruption) och 0 (väldigt mycket korruption). Forskning visar på ett starkt negativt samband mellan korruption och ekonomisk tillväxt, bl.a. genom att investeringarna och inflödet av utländskt kapital minskar.TPF38FPT

Det framgår av figur 2.17 att Sverige, tillsammans med övriga nordiska länder, har en mycket låg korruptionsnivå. Korea, Italien och Grekland är de länder som enligt detta index har en relativt hög korruptionsnivå.

38TP ExempelvisPT Mauro 1995 och 1998, samt Mo 2001.

54

Ds 2007:37 Makroekonomisk utveckling och konkurrenskraft

Figur 2.17: Korruptionsindex, 1995-2006

Finland

 

 

 

 

 

 

 

 

 

 

 

 

 

 

 

 

 

 

 

 

 

 

 

 

 

 

 

 

 

 

 

 

 

Nya Zeeland

 

 

 

 

 

 

 

 

 

 

 

 

 

 

 

 

 

 

 

 

 

 

 

 

 

 

 

 

 

 

 

 

 

 

 

 

 

 

 

 

 

 

 

 

 

 

 

 

 

 

 

 

 

 

 

 

 

 

 

 

 

 

 

 

 

 

 

 

 

 

 

 

 

 

 

 

 

 

 

 

 

 

 

 

 

 

 

 

 

 

 

 

 

 

 

 

 

 

 

Island

 

 

 

 

 

 

 

 

 

 

 

 

 

 

 

 

 

 

 

 

 

 

 

 

 

 

 

 

 

 

 

 

 

 

 

 

 

 

 

 

 

 

 

 

 

 

 

 

 

 

 

 

 

 

 

 

 

 

 

 

 

 

 

 

 

 

Danmark

 

 

 

 

 

 

 

 

 

 

 

 

 

 

 

 

 

 

 

 

 

 

 

 

 

 

 

 

 

 

 

 

 

 

 

 

 

 

 

 

 

 

 

 

 

 

 

 

 

 

 

 

 

 

 

 

 

 

 

 

 

 

 

 

 

 

SVERIGE

 

 

 

 

 

 

 

 

 

 

 

 

 

 

 

 

 

 

 

 

 

 

 

 

 

 

 

 

 

 

 

 

 

 

 

 

 

 

 

 

 

 

 

 

 

 

 

 

 

 

 

 

 

 

 

 

 

 

 

 

 

 

 

 

 

 

Schweiz

 

 

 

 

 

 

 

 

 

 

 

 

 

 

 

 

 

 

 

 

 

 

 

 

 

 

 

 

 

 

 

 

 

 

 

 

 

 

 

 

 

 

 

 

 

 

 

 

 

 

 

 

 

 

 

 

 

 

 

 

 

 

 

 

 

 

Norge

 

 

 

 

 

 

 

 

 

 

 

 

 

 

 

 

 

 

 

 

 

 

 

 

 

 

 

 

 

 

 

 

 

 

 

 

 

 

 

 

 

 

 

 

 

 

 

 

 

 

 

 

 

 

 

 

 

 

 

 

 

 

 

 

 

 

Nederländerna

 

 

 

 

 

 

 

 

 

 

 

 

 

 

 

 

 

 

 

 

 

 

 

 

 

 

 

 

 

 

 

 

 

 

 

 

 

 

 

 

 

 

 

 

 

 

 

 

 

 

 

 

 

 

 

 

 

 

 

 

 

 

 

 

 

 

Australien

 

 

 

 

 

 

 

 

 

 

 

 

 

 

 

 

 

 

 

 

 

 

 

 

 

 

 

 

 

 

 

 

 

 

 

 

 

 

 

 

 

 

 

 

 

 

 

 

 

 

 

 

 

 

 

 

 

 

 

 

 

 

 

 

 

 

Luxemburg

 

 

 

 

 

 

 

 

 

 

 

 

 

 

 

 

 

 

 

 

 

 

 

 

 

 

 

 

 

 

 

 

 

 

 

 

 

 

 

 

 

 

 

 

 

 

 

 

 

 

 

 

 

 

 

 

 

 

 

 

 

 

 

 

 

 

Storbritannien

 

 

 

 

 

 

 

 

 

 

 

 

 

 

 

 

 

 

 

 

 

 

 

 

 

 

 

 

 

 

 

 

 

 

 

 

 

 

 

 

 

 

 

 

 

 

 

 

 

 

 

 

 

 

 

 

 

 

 

 

 

 

 

 

 

 

Österrike

 

 

 

 

 

 

 

 

 

 

 

 

 

 

 

 

 

 

 

 

 

 

 

 

 

 

 

 

 

 

 

 

 

 

 

 

 

 

 

 

 

 

 

 

 

 

 

 

 

 

 

 

 

 

 

 

 

 

 

 

 

 

 

 

 

 

Kanada

 

 

 

 

 

 

 

 

 

 

 

 

 

 

 

 

 

 

 

 

 

 

 

 

 

 

 

 

 

 

 

 

 

 

 

 

 

 

 

 

 

 

 

 

 

 

 

 

 

 

 

 

 

 

 

 

 

 

 

 

 

 

 

 

 

 

Tyskland

 

 

 

 

 

 

 

 

 

 

 

 

 

 

 

 

 

 

 

 

 

 

 

 

 

 

 

 

 

 

 

 

 

 

 

 

 

 

 

 

 

 

 

 

 

 

 

 

 

 

 

 

 

 

 

 

 

 

 

 

 

 

 

 

 

 

Japan

 

 

 

 

 

 

 

 

 

 

 

 

 

 

 

 

 

 

 

 

 

 

 

 

 

 

 

 

 

 

 

 

 

 

 

 

 

 

 

 

 

 

 

 

 

 

 

 

 

 

 

 

 

 

 

 

 

 

 

 

 

 

 

 

 

 

Irland

 

 

 

 

 

 

 

 

 

 

 

 

 

 

 

 

 

 

 

 

 

 

 

 

 

 

 

 

 

 

 

 

 

 

 

 

 

 

 

 

 

 

 

 

 

 

 

 

 

 

 

 

 

 

 

 

 

 

 

 

 

 

 

 

 

 

Frankrike

 

 

 

 

 

 

 

 

 

 

 

 

 

 

 

 

 

 

 

 

 

 

 

 

 

 

 

 

 

 

 

 

 

 

 

 

 

 

 

 

 

 

 

 

 

 

 

 

 

 

 

 

 

 

 

 

 

 

 

 

 

 

 

 

 

 

USA

 

 

 

 

 

 

 

 

 

 

 

 

 

 

 

 

 

 

 

 

 

 

 

 

 

 

 

 

 

 

 

 

 

 

 

 

 

 

 

 

 

 

 

 

 

 

 

 

 

 

 

 

 

 

 

 

 

 

 

 

 

 

 

 

 

 

Belgien

 

 

 

 

 

 

 

 

 

 

 

 

 

 

 

 

 

 

 

 

 

 

 

 

 

 

 

 

 

 

 

 

 

 

 

 

 

 

 

 

 

 

 

 

 

 

 

 

 

 

 

 

 

 

 

 

 

 

 

 

 

 

 

 

 

 

Spanien

 

 

 

 

 

 

 

 

 

 

 

 

 

 

 

 

 

 

 

 

 

 

 

 

2006

 

 

 

 

 

 

 

 

 

 

 

 

 

 

 

 

 

 

 

 

 

 

 

 

 

 

 

 

 

 

 

 

 

 

 

 

 

 

 

 

 

 

 

 

 

 

 

 

 

 

 

Portugal

 

 

 

 

 

 

 

 

 

 

 

 

 

 

 

 

 

 

 

 

 

 

 

 

2000

 

 

 

 

 

 

 

 

 

 

 

 

 

 

 

 

 

 

 

 

 

 

 

 

 

 

 

 

Korea

 

 

 

 

 

 

 

 

 

 

 

 

 

 

 

 

 

 

 

 

 

 

 

 

 

 

Italien

 

 

 

 

 

 

 

 

 

 

 

 

 

 

 

 

 

 

 

 

 

 

 

 

1995

 

 

 

 

 

 

 

 

 

 

 

 

 

 

 

 

 

 

 

 

 

 

 

 

 

 

 

 

Grekland

 

 

 

 

 

 

 

 

 

 

 

 

 

 

 

 

 

 

 

 

 

 

 

 

 

 

 

 

 

 

 

 

 

 

 

 

 

 

 

 

 

 

 

 

 

 

 

 

 

 

 

 

 

 

 

 

 

 

 

 

 

 

 

 

 

 

 

 

 

 

 

 

 

 

 

 

 

 

 

 

0

1

2

3

4

5

6

 

 

7

 

 

 

 

8

 

9

10

Källa: Transparency International, 2007.

Anm.: Index ligger mellan 0 och 10 där 10 är ingen korruption. År 1995 ingår Luxemburg i Belgien.

2.3.6Konkurrenskraft mätt som real BNI per capita

ITPS har nyligen presenterat ett aggregerat mått på internationell konkurrenskraft, nämligen bruttonationalinkomst (BNI) per capita i relation till 11 konkurrentländer.TPF39FPT BNI är inget nytt mått utan innovationen består av tillämpningen av måttet. ITPS menar att det fokuserar på målet för konkurrenskraften i en liten öppen ekonomi, nämligen en ökad välfärd genom en hög och växande real inkomstnivå per capita.

BNI erhålls genom att addera svenska inkomster från utlandet och subtrahera utländska inkomster i Sverige till BNP i löpande priser. Dessa inkomster utgörs exempelvis av avkastning på direktinvesteringar, aktieutdelningar, räntor mm. För det flesta OECD-länder, däribland Sverige, är skillnaden mellan BNI och BNP liten. Skillnaden är dock betydande för exempelvis Irland som

39TP ITPSPT (2007a).

55

Makroekonomisk utveckling och konkurrenskraft

Ds 2007:37

har haft en stark BNP-utveckling genom utländska företagsetableringar, men inte en lika stark BNI-utveckling då dessa företag i hög utsträckning har tagit hem sina vinster.

ITPS definierar således Sveriges konkurrenskraft som det arbetsföra kollektivets inkomster per capita i relation till motsvarande för en gruppering av OECD-länder. Detta medför att konkurrenskraften mellan länder likställs med förändringar i inkomstförmågan hos den arbetsföra befolkningen i länder med liknande produktionsförhållanden. En klar fördel med detta mått är att det väger in betydelsen av att vara konkurrenskraftig på områden som skapar mer välfärd än andra områden. I princip bör detta utgöra huvudmålet då ett land på lång sikt, då alla kostnader, priser och växelkurser har anpassat sig, alltid kommer att vara konkurrenskraftigt på några områden. En annan fördel med måttet är att det fångar upp förändringar i bytesförhållandet. Exempelvis har Sveriges försämrade bytesförhållande mellan 1995-2006 inneburit att den reala köpkraften har ökat långsammare än BNP- tillväxten, dvs. konsumtionsförmågan har inte utvecklats lika gynnsamt som BNP. En nackdel med måttet är att det är en konsekvens av konkurrenskraft och andra bestämningsfaktorer, t.ex. hur väl de inhemska marknaderna fungerar. Måttet släpar också troligtvis efter en förbättrad konkurrenskraft och är inte heller så belysande för vad en förbättrad konkurrenskraft består av.

Figur 2.18 visar utvecklingen av den svenska internationella konkurrenskraften mätt som real bruttonationalinkomst (BNI) per capita för åldersgruppen 16-64 år och relaterar detta till jämförelsegruppen OECD11.TPF40FPT

40TP OECD11PT är Australien, Belgien, Finland, Frankrike, Italien, Japan, Kanada, Nederländerna, Storbritannien, Tyskland och USA.

56

Ds 2007:37

Makroekonomisk utveckling och konkurrenskraft

Figur 2.18: Svensk konkurrenskraft, real BNI per capita (16-64), 1980-2005, index

160

 

 

 

 

 

150

OECD11

 

 

 

 

 

 

 

 

 

140

Sverige

 

 

 

 

 

 

 

 

 

130

Sverige/OECD11

 

 

 

 

 

 

 

 

120

 

 

 

 

 

110

 

 

 

 

 

100

 

 

 

 

 

90

 

 

 

 

 

80

 

 

 

 

 

1980

1985

1990

1995

2000

2005

Källa: ITPS, 2007a.

 

 

 

 

Av figur 2.18 framgår att Sveriges konkurrenskraft försämrades kraftigt mellan 1987-1993, dvs. redan innan 1990-talskrisen. Sedan 1994 har Sveriges internationella konkurrenskraft successivt stärkts jämfört med OECD11. De bakomliggande orsakerna till denna förbättring är produktivitetsökningarna inom industrin (se avsnitt 2.3.2) samt den kraftigt ökade svenska exporten.

2.3.7Konkurrenskraftsindex

Sverige rankas bland 10-toppländerna i två, ofta refererade, internationella index över konkurrenskraft. The Global Competitiveness Index 2006 av World Economic Forum rankar Sverige som det tredje konkurrenskraftigaste landet i världen år 2006. Sverige hamnar på nionde plats i IMD:s The World Competitiveness Scoreboard 2007.TPF41FPT

Tabell 2.2 visar de tio bäst rankade länderna i dessa två konkurrenskraftsindex samt visar hur de rangordnades året innan enligt samma index.

41TP IMDPT står för International Institute for Management Development.

57

Makroekonomisk utveckling och konkurrenskraft

Ds 2007:37

Tabell 2.2: Ranking av internationell konkurrenskraft 2007, 2006 och 2005, index

WEF

Ranking 2006

Score

Ranking 2005

Förändring

 

 

 

 

 

 

 

1.

Schweiz

5,81

4

 

2.

Finland

5,76

2

 

3. SVERIGE

5,74

7

 

4. Danmark

5,70

3

 

5.

Singapore

5,63

5

 

6. USA

5,61

1

 

7.

Japan

5,60

10

 

8.

Tyskland

5,58

6

 

9.

Nederländerna

5,56

11

 

10. Storbritannien

5,54

9

IMD

Ranking 2007

Score

Ranking 2006

Förändring

 

 

 

 

 

 

1. USA

100

1

 

2.

Singapore

99,1

3

 

3. Hongkong

93,5

2

 

4. Luxemburg

92,2

9

 

5. Danmark

91,9

5

 

6.

Schweiz

90,4

8

 

7.

Island

88,7

4

 

8.

Nederländerna

85,9

15

 

9. SVERIGE

84,1

14

 

10. Kanada

83,8

7

Källa: World Economic Forum, The Global Competitiveness Index 2006 och IMD, The World Competitiveness Scoreboard 2007.

Anm:T Symbolen ”” anger förbättring. Symbolen ”” anger försämring. Symbolen ”” anger ingen förändring.T

Utfallet i sådana här sammanvägda index är avhängigt vilka indikatorer man väger in i indexet och vilken vikt man tillskriver dem. World Economic Forum gör en sammanställning av över 100 indikatorer som anses ha betydelse för produktivitet och konkurrenskraft.TPF42FPT Det gäller bl.a. faktorer rörande institutionella förhållanden, infrastruktur, makroekonomi, utbildningsnivå och innovationer. IMD sammanställer sitt index på indikatorer inom fyra huvudområden; ekonomisk utveckling, statlig effektivitet, näringslivets effektivitet och infrastruktur. Både kvantitets- och

42TP WorldPT Economic Forum (2006), The Global Competitiveness report 2006.

58

Ds 2007:37

Makroekonomisk utveckling och konkurrenskraft

kvalitetsskillnaderna på indikatorerna gör att utfallet inte blir entydigt i de bägge rankinglistorna. En annan aspekt är att det ofta är väldigt liten skillnad mellan toppländerna i dessa index. Man bör därför vara försiktig när man drar slutsatser på basis av dessa index.

Det som främst är värt att notera är att Sverige förbättrat sin position, enligt World Economic Forum från sjunde plats år 2005 till tredje plats år 2006 och enligt IMD från 14:e plats år 2006 till nionde plats år 2007.

59

3 Entreprenörskap

En förutsättning för god ekonomisk tillväxt är ett företagsklimat som stimulerar till företagande. Öppna marknader där företag kan etableras bidrar till ökad konkurrens, ökad produktivitet och därigenom till ökad BNP.

Ett av EU:s mål, enligt Lissabonstrategin, är att EU år 2010 ska bli ”världens mest konkurrenskraftiga och dynamiska kunskapsbaserade ekonomi, med möjlighet till hållbar ekonomisk tillväxt med fler och bättre arbetstillfällen och en högre grad av social sammanhållning”. Lissabonstrategins mål delas upp i sju delar varav två har en direkt koppling till näringsliv och företagande:

EU ska bli världens mest konkurrenskraftiga ekonomi.

EU ska bli världens mest dynamiska ekonomi.

Regeringen har i budgetpropositionen för 2007 uttryckt ambitionen att främja entreprenörskap och konkurrenskraft. I budgetpropositionen uttalas bl.a. att ”Sverige skall bli ett av världens bästa länder att starta och driva företag i”.

I ekonomisk forskning betraktas entreprenörskap utifrån flera perspektiv. Det kan stå för en ekonomisk funktion, en bärare av osäkerhet (risktagare), en resursfördelare eller en innovatör. Entreprenörskap kan även relateras till ett särskilt beteende, vissa personliga egenskaper, skapandet av nya organisationer eller rollen som styrande ägare av ett företag. En viktig slutsats i den ekonomiska forskningen är att entreprenören, i konkurrens med andra aktörer, tar risker och söker efter vinster i befintliga eller ännu inte skapade marknader samt utvecklar innovationer inom varor, produktionsmetoder och tjänster. Vanligt förekommande statistik rörande entreprenörskap är antalet nyetablerade företag, antal företagare och företagens tillväxt. Nedan visas internationella

61

Entreprenörskap

2007:37

jämförelser av dessa indikatorer och andra indikatorer som kan relateras till begreppet entreprenörskap.

3.1Indikatorer

Det finns många olika förhållanden som är betydelsefulla för att skapa en gott klimat för entreprenörskap. Nedan visas ett antal indikatorer som visar på omfattningen av företagande, företagsdemografi och förutsättningar för företagande i olika länder. Valet av indikatorer begränsas av tillgången på internationell statistik. Indikatorerna är:

Entreprenörskap

Sysselsättningsökning i privat tjänstesektor

Skattekil på arbete

Andelen företagare i arbetskraften

Nyföretagaraktivitet i befolkningen

Nystartade företag

Tillväxt i nya företag

Överlevnadsgrad för nystartade företag

Kostnader för att starta företag

Antal procedurer för att starta företag

Konkursprocess, antal år

Effektiv genomsnittlig bolagsbeskattning

Riskkapital i tidiga skeden

Riskkapital i expansionsskeden

Marknadskapitalisering av aktier

3.1.1Sveriges position och slutsatser

Sveriges position för nämnda indikatorer sammanfattas i figur 3.1 och figur 3.2 i s.k. spindeldiagram. Dessa illustrationer är konstruerade så att det sämsta landets resultat placeras i centrum och det bästa landets resultat placeras i yttersta änden av spindeldiagrammet för respektive indikator, dvs. resultaten är

62

Ds 2007:37

Entreprenörskap

normaliserade. De bästa resultaten för alla indikatorer sammanbinds med den streckade yttre linjen i figuren även om det rör sig om olika länder. Utöver de bästa och sämsta resultaten indikeras även Sveriges och medianlandets resultat för respektive indikator i spindeldiagrammet. Sveriges position sammanbinds med en orange linje, medan medianvärdet för länderna sammanfogas till en ljusgrå mängd. Efter varje indikatornamn i figurerna anges Sveriges placering bland länderna samt, inom parentes, hur många länder som ingår i jämförelsen. Eftersom avståndet mellan det bästa och det sämsta resultatet bland länderna är normaliserat, får man av spindeldiagrammet även en uppfattning om avståndet mellan Sverige, topplandet, medianlandet och det sämst placerade landet för respektive indikator.

Länderjämförelsen visar en något splittrad bild av Sveriges position inom området. Sverige har en relativt låg andel företagare i arbetskraften jämfört med andra OECD-länder. Olika relationsmått rörande förekomst av nya företag visar på förhållandevis låga eller genomsnittliga värden för Sverige jämfört med andra länder. Med dessa mått på företagande är Sveriges position i stort sett oförändrad i länderjämförelsen under de studerade tidsperioderna.

Det är viktigt att nya företag etableras för förnyelsen i näringslivet. De nya företagen bidrar över tiden till stigande produktivitet på åtminstone två sätt. Dels har de företag som läggs ned i regel lägre produktivitetsnivå än de som tillkommer, dels bidrar nya företag till att upprätthålla konkurrenssituationen och förstärker på så sätt incitamentet till ökad produktivitet bland befintliga företag. Genom stigande produktivitet kan reallöner och levnadsstandard stiga. Det är därför angeläget att underlätta för företagen genom att undanröja onödiga hinder för att starta och driva företag. De åtgärder som regeringen har genomfört och planerar att genomföra ligger därför i linje med denna strävan.

I ett internationellt perspektiv har sysselsättningstillväxten i privat tjänstesektor varit förhållandevis svag i Sverige. De skattesänkningar på arbete som regeringen genomfört bidrar till minskade kostnader för företagen av att anställa fler personer. Genom att sänka arbetsgivaravgifterna i tjänstesektorn stimuleras till sysselsättningsökning bland de små- och medelstora

63

Entreprenörskap

Ds 2007:37

företagen.TPF43FPT Åtgärder för att vidga möjligheterna till att bedriva privat vård bidrar likaså till sysselsättningsökning i den privata tjänstesektorn.

Med de få mått som kan kopplas till företagens administrativa börda och som kan jämföras mellan olika länder ligger Sverige förhållandevis bra till. Däremot är tidsperioden för att genomföra en konkursprocess förhållandevis lång i Sverige. Regeringens mål om att minska den administrativa bördan i företagen med minst 25 procent år 2010 syftar till att öka företagens möjligheter till att växa genom att mindre resurser behövs för administrativt arbete.

Enligt statistik som finns tillgänglig rörande företagstillväxt i olika länder förefaller Sverige att ha ungefär lika många snabbväxande nya företag, s.k. gaseller, som i andra jämförbara länder. Bland de företag som startas i Sverige så överlever en förhållandevis hög andel jämfört med i andra länder.

Den effektiva bolagsbeskattningen i Sverige ligger något lägre än genomsnittet bland 19 jämförda europeiska länder. Sveriges position är inte lika gynnsam som tidigare eftersom andra länder har sänkt bolagsskattesatserna.

Riskkapitalbolagens investeringar i onoterade bolag är förhållandevis höga i Sverige i jämförelse med andra EU-länder. I förhållande till placeringar i noterade bolag är beloppen emellertid små i alla jämförda länder.

43TP ÅrPT 2004 uppgick det genomsnittliga antalet anställda till 6,9 personer bland varuproducerande företag (exkl. jord- och skogsbruk). Bland tjänsteproducerande företag uppgick det genomsnittliga antalet anställda till 2,5 personer. Källa: ITPS.

64

Ds 2007:37 Entreprenörskap

Figur 3.1: Indikatorer rörande entreprenörskap - översikt

Överlevnadsgrad företag 2 år 2 ( 10 )

Skattekil på arbete 16

( 23 )

Tillväxt i nya företag 8 ( 16 )

Sysselsättningstillväxt i

 

Antal företag per innevånare

privat tjänstesektor 12 ( 12 )

4 ( 11 )

Nystartade företag 11

( 12 )

Andel företagare i

arbetskraften 19 ( 23 )

 

 

 

Nyföretagaraktivitet i

 

befolkningen

17(19)

 

Toppland

 

Medianland

Sverige

 

 

 

 

Källa: se respektive indikator nedan.

Figur 3.2: Indikatorer rörande entreprenörskap - översikt

Effektiv bolagsbeskattning

 

5 ( 19 )

Konkursprocess, år 18 ( 23 )

Riskkapital i tidiga skeden

2 ( 17 )

 

Procedurer, företagsstart

Riskkapital i expansions-

4 ( 23 )

skeden 2 ( 17 )

Kostnader, starta företag

Marknadskapitalisering av

6 ( 23 )

aktier 7 ( 18 )

Toppland

 

Medianland

Sverige

 

Källa: se respektive indikator nedan.

65

Entreprenörskap

Ds 2007:37

3.2Entreprenörskapets betydelse för den ekonomiska utvecklingen

Ett gott företagsklimat är en förutsättning för stimulans till entreprenörskap och innovationer. Nya affärsidéer med innovativ utveckling av produkter och tjänster bidrar till högre produktivitet, högre reallöner och därför högre levnadsstandard. Entreprenörens roll är central i sammanhanget genom att utveckling av nya affärsidéer är en förutsättning för att befintliga företag ska kunna utvecklas med framgång och att nya livskraftiga företag etableras. Etablering och nedläggning av företag är en kontinuerlig process som bidrar till en mer effektiv allokering av resurserna i ekonomin. Det är sålunda viktigt att näringspolitiken inriktas på att underlätta för företagen att sköta sin affärsverksamhet och undanröja onödiga hinder för etablering av företag.

3.3Åtgärder för entreprenörskap och ökad sysselsättning

Fler företag och ökad sysselsättning

Regeringens politik syftar till att bryta utanförskapet på arbetsmarknaden. Sysselsättningen och antalet växande företag ska öka. Regeringen har därför genomfört åtgärder inom skatteområdet som dels syftar till att stimulera till ökat arbetsutbud, dels syftar till att öka efterfrågan på arbetskraft. Genom införande av jobbskatteavdrag fr.o.m. 1 januari 2007 (för anställda och för egenföretagare) ökas lönsamheten av arbete vilket bidrar till att öka utbudet av arbetskraft.TPF44FPT Av samma skäl har ersättningsnivån i arbetslöshetsförsäkringen sänkts.TPF45FPT Genom att göra det mindre kostsamt att anställa så kan efterfrågan på arbetskraft förväntas öka. Fr.o.m. 1 januari 2007 slopades den särskilda löneskatten på förvärvsinkomster och inkomster av aktiv näringsverksamhet för personer som fyllt 65 år och omfattas av det

44TP IPT budgetpropositionen för 2008 (prop. 2007/08:1) aviserar regeringen att jobbskatteavdraget ska utvidgas fr.o.m. inkomståret 2008.

45TP EfterPT 200 ersättningsdagar sänks ersättningsnivån från 80 till 70 procent. Efter 300

dagars ersättningsperiod sänks ersättningen till 65 procent för personer utan barn. För personer med barn sänks ersättningsnivån till 65 procent efter 450 dagar. Förändringarna trädde ikraft fr.o.m. 5 mars 2007.

66

Ds 2007:37

Entreprenörskap

reformerade pensionssystemet, dvs. är födda år 1938 eller senare. Fr.o.m. 1 juli 2007 sänktes även arbetsgivaravgifterna för personer som vid årets ingång fyllt 18 men inte 25 år. Regeringen har i budgetpropositionen för 2008 aviserat att den särskilda löneskatten även skall slopas för personer födda före 1938 fr.o.m. den 1 januari 2008.

Den 1 juli 2007 infördes en skattereduktion för köp av hushålls- nära tjänster. Åtgärden syftar till att minska skattekilen för hushållsrelaterade tjänster.

Regeringens målsättning är att sänka arbetskraftskostnaderna ytterligare inom vissa branscher i tjänstesektorn genom sänkning av arbetsgivaravgifterna. Regeringens ambition är att ett förslag om sänkta arbetsgivaravgifter för tjänstesektorn ska kunna träda i kraft den 1 januari 2008.

Åtgärder för företagande och fler privata tjänster

Det är viktigt att stimulera en utveckling som bidrar till att sysselsättningen i den privata tjänstesektorn expanderar i relation till den offentliga verksamheten. Det finns två viktiga skäl för detta. Det ena skälet är att en sådan utveckling underlättar finansieringen av offentliga utgifter. Det andra skälet är att en ökad omfattning av privata aktörer som konkurrerar på en öppen marknad bidrar till ökad mångfald, fler valmöjligheter och kan även förväntas ge en mer effektiv användning av resurser.

Sysselsättningsutvecklingen i den privata tjänstesektorn har varit svagare i Sverige jämfört med andra länder. I diagram 3.1 nedan visas sysselsättningsutvecklingen i ett antal länder under perioden 1992-2004. Av diagrammet framgår att sysselsättningsutvecklingen har varit svag i Sverige, den totala sysselsättningen sjönk med 0,4 procent under perioden. I EU15 steg sysselsättningen med 9,9 procent under samma tidsperiod. Sysselsättningstillväxten i privat tjänstesektor bidrog endast med 3,9 procent i Sverige vilket är lågt i ett internationellt perspektiv.TPF46FPT

46TP OavsettPT vilket startår som väljs under perioden 1992-2003 för att jämföra med sysselsättningsnivån 2004 så har sysselsättningsutvecklingen i den privata tjänstesektorn varit svagare i Sverige jämfört med EU-15. I Sverige sjönk även sysselsättningen sammantaget med 4,1 procent i branscherna offentlig administration, utbildning och hälso- och sjukvård under perioden 1992-2004.

67

Entreprenörskap

Ds 2007:37

I EU15 bidrog sysselsättningsökningen i privat tjänstesektor med 10,7 procent under ovannämnda tidsperiod.

I beräkningarna av den privata tjänstesektorns sysselsättningsutveckling ingår inte privata sjukvårds-, ut- bildnings-, och barnomsorgstjänster beroende på att det i den internationella statistiken inte finns information om fördelningen av dessa tjänster på privat- och offentlig sektor. I den svenska nationalräkenskapsstatistiken finns emellertid information om dessa privata tjänsters sysselsättningsutveckling i Sverige. Ökningen av de privata sjukvårds-, utbildnings-, och barnomsorgstjänsterna under perioden 1993-2004 motsvarar 1,9 procent i relation till den totala sysselsättningsnivån år 1993. Även med detta tillägg är utvecklingen av den privata tjänstesektorn svag i Sverige i den internationella jämförelsen.

I beräkningen av den totala sysselsättningsutvecklingen ingår samtliga tjänster inom sjukvård, utbildning och barnomsorg.

Diagram 3.1: Sysselsättningsökning 1992-2004, procent

 

 

70

 

 

 

 

 

 

 

 

 

 

 

 

 

 

 

 

 

70

60

 

 

 

 

 

 

 

Offentliga tjänster

 

 

 

60

50

 

 

 

 

 

 

 

Varuproducerande

 

 

50

 

 

 

 

 

 

 

 

 

 

 

 

 

 

 

 

 

40

 

 

 

 

 

 

 

Privata tjänsteproduktion

40

 

 

 

 

 

 

 

 

 

 

 

 

 

 

 

 

 

30

 

 

 

 

 

 

 

Total

 

 

 

 

 

 

 

 

30

 

 

 

 

 

 

 

 

 

 

 

 

 

 

 

 

 

20

 

 

 

 

 

 

 

 

 

 

 

 

 

 

 

 

 

20

10

 

 

 

 

 

 

 

 

 

 

 

 

 

 

 

 

 

10

0

 

 

 

 

 

 

 

 

 

 

 

 

 

 

 

 

 

0

-10

 

 

 

 

 

 

 

 

 

 

 

 

 

 

 

 

 

-10

-20

 

 

 

 

 

 

 

 

 

 

 

 

 

 

 

 

 

-20

land

na

A

 

U15

ike

Finland

d

Belgien

talien

 

 

ark

 

 

and

E

 

S

 

lan

 

m

 

 

G

 

r

 

U

E

 

k

 

 

 

skl

 

 

 

I

 

 

 

 

I

 

 

 

 

 

 

 

länder

 

 

rankr

 

 

 

n

 

 

 

 

 

 

 

 

 

 

 

a

 

Ö

sterrike y

SVERI

 

 

eder

 

 

 

F

 

Gre

 

 

D

 

T

 

 

 

N

 

 

 

 

 

 

 

 

 

 

 

 

 

 

 

 

 

 

Källa: EU KLEMS Database, March 2007.

Anm: Bland privata tjänster exkluderas privata sjukvårds-, utbildnings-, och barnomsorgstjänster. Sysselsättningen inom dessa sektorer ingår bland offentliga tjänster i denna beräkning.

Ett sätt att stimulera till ökad sysselsättning är att minska skattekilen på arbete. Skattekilen på arbete, dvs. summan av marginalskatt (på arbetsinkomst) och arbetsgivaravgift, är förhållandevis hög i Sverige jämfört med andra OECD-länder. Den

68

Ds 2007:37

Entreprenörskap

höga skattekilen bidrar till att öka företagens lönekostnader, ökar förekomsten av svartarbete och minskar incitamentet till deltagande på arbetsmarknaden. I diagram 3.2 visas skattekilen på arbete i de 23 rikaste OECD-länderna för låg- och medelinkomsttagare.TPF47FPT Sverige ligger här på 16:e plats bland de 23 OECD-länderna.

Diagram 3.2: Skattekil på arbete år 2006 - marginalskatt för fysiska personer samt avgifter till socialförsäkring, procent av arbetskraftskostnad.

Korea

 

 

 

 

 

 

 

 

 

 

 

 

 

 

 

 

 

 

 

 

 

 

 

 

 

 

 

 

 

 

 

 

 

 

 

 

 

 

 

 

 

 

 

 

 

 

 

 

 

 

 

 

 

 

 

 

 

 

 

 

 

 

 

 

 

 

 

 

 

 

 

 

 

 

 

 

 

 

 

 

 

 

 

 

Nya Zeeland

 

 

 

 

 

 

 

 

 

 

 

 

 

 

 

 

 

 

 

 

 

 

 

 

 

 

 

 

 

 

 

 

 

 

 

 

 

 

 

 

 

 

 

 

 

 

 

 

 

 

 

 

 

 

 

 

Japan

 

 

 

 

 

 

 

 

 

 

 

 

 

 

 

 

 

 

 

100 % av AW

 

 

 

 

 

 

 

 

 

 

 

 

 

 

 

 

 

 

 

 

 

 

 

Irland

 

 

 

 

 

 

 

 

 

 

 

 

 

 

 

 

 

 

 

67 % av AW

 

 

 

 

 

 

 

 

 

 

 

 

 

 

 

 

 

 

 

 

 

 

 

Schweiz

 

 

 

 

 

 

 

 

 

 

 

 

 

 

 

 

 

 

 

 

 

 

 

 

 

 

 

 

 

 

 

 

 

 

 

 

 

 

 

 

 

 

 

 

 

 

 

 

 

USA

 

 

 

 

 

 

 

 

 

 

 

 

 

 

 

 

 

 

 

 

 

 

 

 

 

 

 

 

 

 

 

 

 

 

 

 

 

 

 

 

 

 

 

 

 

 

 

 

 

 

 

 

 

 

 

 

 

 

 

 

 

 

 

 

 

 

 

 

 

 

 

 

 

 

 

 

 

 

 

 

 

 

 

 

Kanada

 

 

 

 

 

 

 

 

 

 

 

 

 

 

 

 

 

 

 

 

 

 

 

 

 

 

 

 

 

 

 

 

 

 

 

 

 

 

 

 

 

 

 

 

 

 

 

 

 

 

 

 

 

 

 

 

Australien

 

 

 

 

 

 

 

 

 

 

 

 

 

 

 

 

 

 

 

 

 

 

 

 

 

 

 

 

 

 

 

 

 

 

 

 

 

 

 

 

 

 

 

 

 

 

 

 

 

 

 

 

 

 

 

 

 

 

 

 

 

 

 

 

 

 

 

 

 

 

 

 

 

 

 

 

 

 

 

 

 

 

 

 

Island

 

 

 

 

 

 

 

 

 

 

 

 

 

 

 

 

 

 

 

 

 

 

 

 

 

 

 

 

Storbritannien

 

 

 

 

 

 

 

 

 

 

 

 

 

 

 

 

 

 

 

 

 

 

 

 

 

 

 

 

 

 

 

 

 

 

 

 

 

 

 

 

 

 

 

 

 

 

 

 

 

 

 

 

 

 

 

 

Danmark

 

 

 

 

 

 

 

 

 

 

 

 

 

 

 

 

 

 

 

 

 

 

 

 

 

 

 

 

 

 

 

 

 

 

 

 

 

 

 

 

 

 

 

 

 

 

 

 

 

 

 

 

 

 

 

 

Luxemburg

 

 

 

 

 

 

 

 

 

 

 

 

 

 

 

 

 

 

 

 

 

 

 

 

 

 

 

 

 

 

 

 

 

 

 

 

 

 

 

 

 

 

 

 

 

 

 

 

 

 

 

 

 

 

 

 

Norge

 

 

 

 

 

 

 

 

 

 

 

 

 

 

 

 

 

 

 

 

 

 

 

 

 

 

 

 

 

 

 

 

 

 

 

 

 

 

 

 

 

 

 

 

 

 

 

 

 

 

 

 

 

 

 

 

Grekland

 

 

 

 

 

 

 

 

 

 

 

 

 

 

 

 

 

 

 

 

 

 

 

 

 

 

 

 

 

 

 

 

 

 

 

 

 

 

 

 

 

 

 

 

 

 

 

 

 

 

 

 

 

 

 

 

Spanien

 

 

 

 

 

 

 

 

 

 

 

 

 

 

 

 

 

 

 

 

 

 

 

 

 

 

 

 

SVERIGE

 

 

 

 

 

 

 

 

 

 

 

 

 

 

 

 

 

 

 

 

 

 

 

 

 

 

 

 

 

 

 

 

 

 

 

 

 

 

 

 

 

 

 

 

 

 

 

 

 

 

 

 

 

 

 

 

Italien

 

 

 

 

 

 

 

 

 

 

 

 

 

 

 

 

 

 

 

 

 

 

 

 

 

 

 

 

 

 

 

 

 

 

 

 

 

 

 

 

 

 

 

 

 

 

 

 

 

 

 

 

 

 

 

 

Finland

 

 

 

 

 

 

 

 

 

 

 

 

 

 

 

 

 

 

 

 

 

 

 

 

 

 

 

 

 

 

 

 

 

 

 

 

 

 

 

 

 

 

 

 

 

 

 

 

 

 

 

 

 

 

 

 

Nederländerna

 

 

 

 

 

 

 

 

 

 

 

 

 

 

 

 

 

 

 

 

 

 

 

 

 

 

 

 

 

 

 

 

 

 

 

 

 

 

 

 

 

 

 

 

 

 

 

 

 

 

 

 

 

 

 

 

Österrike

 

 

 

 

 

 

 

 

 

 

 

 

 

 

 

 

 

 

 

 

 

 

 

 

 

 

 

 

 

 

 

 

 

 

 

 

 

 

 

 

 

 

 

 

 

 

 

 

 

 

 

 

 

 

 

 

Tyskland

 

 

 

 

 

 

 

 

 

 

 

 

 

 

 

 

 

 

 

 

 

 

 

 

 

 

 

 

 

 

 

 

 

 

 

 

 

 

 

 

 

 

 

 

 

 

 

 

 

 

 

 

 

 

 

 

 

 

 

 

 

 

 

 

 

 

 

 

 

 

 

 

 

 

 

 

 

 

 

 

 

 

 

 

Belgien

 

 

 

 

 

 

 

 

 

 

 

 

 

 

 

 

 

 

 

 

 

 

 

 

 

 

 

 

Frankrike

 

 

 

 

 

 

 

 

 

 

 

 

 

 

 

 

 

 

 

 

 

 

 

 

 

 

 

 

 

 

 

 

 

 

 

 

 

 

 

 

 

 

 

 

 

 

 

 

 

 

 

 

 

 

 

 

 

 

 

 

 

 

 

 

 

 

 

 

 

 

 

 

 

 

 

 

 

 

 

0

20

 

 

 

40

 

 

 

 

 

 

 

 

 

60

 

 

 

80

Källa: OECD, tax database

I syfte att öka den varaktiga sysselsättningen och bryta utanförskapet på arbetsmarknaden har regeringen genomfört skattesänkningar som minskar skattekilen. Åtgärder som jobbskatteavdrag och sänkta arbetsgivaravgifter för vissa åldersgrupper bidrar till att förbättra Sveriges internationella position i detta avseende. Regeringen avser även att föreslå sänkta

47TP LåginkomsttagarePT definieras här som fysisk person med en inkomst som motsvarar två tredjedelar av en genomsnittslön (67 procent AW).

69

Entreprenörskap

Ds 2007:37

arbetsgivaravgifter inom vissa branscher i tjänstesektorn fr.o.m. den 1 januari 2008.

Utgångspunkterna för vilka branscher som skall omfattas är att sänkningen av arbetsgivaravgiften skall medföra minskat svartarbete och minskat egenarbete i hushållet och inriktas mot branscher där produktiviteten är förhållandevis låg. Eftersom de små- och medelstora företagen ofta är tjänsteproducerande kommer sänkningen av arbetsgivaravgiften i hög grad att träffa dessa företagsstorlekar. Utbudet av tjänster kan förväntas öka i de branscher där arbetsgivaravgifterna sänks genom expansion i befintliga företag och genom stimulans till att nya företag startas. En ytterligare stimulans till expansion inom tjänstesektorn är införandet av skattereduktionen för utgifter för hushållsnära tjänster som trädde i kraft den 1 juli 2007.

I syfte att öka riskkapitaltillgången avskaffas förmögenhetsskatten fr.o.m. beskattningsåret 2007. De s.k. 3:12- reglerna kommer att ses över i en särskild utvärdering som redovisas före utgången av år 2007.TPF48FPT

Regeringens ambition är att genomföra ytterligare reformer som bidrar till att öka sysselsättningen i den privata tjänstesektorn. Det gäller i första hand inom sjukvården. Regeringen har i propositionen

Den s.k. ”stopplagen” har upphävts fr.o.m. den 1 juli 2007. Det har även möjliggjorts för landstingen att överlämna driften av regionsjukhus, regionkliniker och övriga sjukhus till andra vårdgivare.TPF49FPT På så sätt underlättas landstingens möjligheter att organisera vården efter lokala förutsättningar och privata vårdgivare kan i större utsträckning konkurrera om anbud från landstingen. Regeringens intention är att underlätta för vård- och omsorgspersonal att ta över driften av verksamhet från kommuner och landsting, s.k. avknoppning. Regeringen har därför tillsatt en arbetsgrupp med uppgift om att lägga förslag till ändringar i lagen (1993:1651) om läkarvårdsersättning och lagen (1993:1652) om ersättning för sjukgymnastik. Arbetet skall slutföras den 31 december 2007.

48TP IPT syfte att förbättra riskkapitaltillgången kommer även reglerna för förmånsrätt vid konkurs att ses över i en utredning. Inriktningen är att stärka företagsinteckningarnas förmånsrätt för att underlätta för företagen att få lån. Vidare utreds om statens fordringar rörande lönegarantiutgifter skall nedprioriteras till förmån för andra borgenärer vars riskexponering därigenom minskas. Prop. 2006/07:94.

49TP PropT . 2006/07:52.

70

Ds 2007:37

Entreprenörskap

3.4Företagande – olika mått

Det finns ett flertal olika mått för att jämföra företagande i olika länder. I entreprenörskapsforskningen är mått på antal befintliga företag, antal nystartade företag och antal företagare vanliga som indikation på företagsamhet. För normalisering relateras antalet företag ofta till befolkningsstorleken eller företagsstock. Ett annat mått är antal nystartade företag under en given tidsperiod som också kan relateras till befolkningsstorleken eller till antal befintliga företag. Förekomsten av företagare kan mätas med andelen företagare som finns i arbetskraften eller i sysselsättningen. Ytterligare ett mått är hur många personer som är involverade i att starta företag.

Vad påverkar måtten på företagande?

Några viktiga faktorer som påverkar utvecklingen av dessa mått är branschsammansättningen i näringslivet, omfattningen av offentliga tjänster, konjunkturläge, institutionella förhållanden samt skatte- och socialförsäkringssystemens utformning. Dessa förhållanden kan förklara skillnader i företagande mellan olika länder.

En stor del av variationen mellan olika länders förekomst av nya företag har att göra med rådande branschstruktur.TPF50FPT Vissa branscher, som exempelvis basindustrin, har i regel betydande stordriftsfördelar vilket medför ett starkt incitament till sammanslagning och därmed färre antal företag. Sverige och Finland tillhör de länder som har många företag i branscher där företagen traditionellt är stora, vilket bidrar till lägre andel företagare i arbetskraften.

Omfattningen av offentlig tjänsteproduktion har betydelse för förekomsten av företagare och antalet företag. Ju större den offentliga tjänsteproduktionen är desto mindre blir utrymmet för privata företag att sälja tjänster. Dessutom är offentliga tjänsteverksamhet ofta reglerad på ett sådant sätt att privata företag inte kan bedriva verksamhet i vissa marknadssegment. Eftersom Sverige har en förhållandevis stor offentlig tjänsteproduktion

50TP PT Enligt en studie av Brandt (2004) kan omkring 50 procent av variationen mellan länder för nystartade företag i förhållande till stocken företag förklaras med branschstruktur och särskilda land- och tidsspecifika omständigheter.

71

Entreprenörskap

Ds 2007:37

bidrar detta till färre företag jämfört med i andra länder där den offentliga tjänsteproduktionen är mindre omfattande.

Konjunkturläget är en annan faktor som inverkar, särskilt på antalet nystartade företag. Ett bättre ekonomiskt klimat brukar medföra att fler nya företag startas. Ett uttryck för detta är att arbetslösheten tenderar att vara negativt korrelerad med antalet nystartade företag.TPF51FPT Institutionella förhållanden kan ha stor betydelse bl.a. genom inverkan på den administrativa bördan i företagen och därmed företagens kostnadsnivå. Utformningen av skatte- och socialförsäkringssystemen kan inverka på incitamentet till att starta och bedriva företag. Ett exempel på detta är att ju högre de sociala ersättningarna för anställda är i relation till sociala ersättningar för egenföretagare desto lägre kan benägenheten förväntas vara att övergå från att vara anställd till att bli egenföretagare.

Alla dessa förhållanden har inverkan på de mått på företagande som visas här och rangordningen mellan länderna är således ett resultat av många olika faktorers inverkan. I grova drag kan sägas att Sverige ligger förhållandevis lågt eller i mitten av länderfördelningarna med de mått som vanligtvis brukar användas för att statistiskt belysa omfattningen av företagande.

Företagare i arbetskraften

Det holländska forskningsinstitutet EIM har byggt upp en databas där det bl.a. finns uppgifter om antalet företagare i förhållande till arbetskraftens storlek i OECD-länderna. I diagram 3.3 visas andelen företagare i arbetskraften under åren 1996-2004 i olika länder. I dessa data ingår företagare utan anställda.

51TP DettaPT kan observeras på bl.a. svenska data åren 1994-2004 för såväl öppen som total arbetslöshet korrelerad med antal nystartade företag.

72

Ds 2007:37 Entreprenörskap

Diagram 3.3: Andel företagare i arbetskraften, 1996-2004, procent

Grekland

 

 

 

 

 

 

 

 

 

 

 

 

 

 

 

 

 

 

 

 

 

 

 

 

 

 

 

 

 

 

 

 

 

 

Italien

 

 

 

 

 

 

 

 

 

 

 

 

 

 

 

 

 

 

 

 

 

 

 

 

 

 

 

 

 

 

 

 

 

 

 

 

 

 

 

 

 

 

 

 

 

 

 

 

 

 

 

 

 

 

 

 

 

 

 

 

 

 

 

 

 

 

 

 

Australien

 

 

 

 

 

 

 

 

 

 

 

 

 

 

 

 

 

 

 

 

 

 

 

 

 

 

 

 

 

 

 

 

 

 

 

 

 

 

 

 

 

 

 

 

 

 

 

 

 

 

 

 

 

 

 

 

 

 

 

 

 

 

 

 

 

 

 

 

Nya Zeeland

 

 

 

 

 

 

 

 

 

 

 

 

 

 

 

 

 

 

 

 

 

 

 

 

 

 

 

 

 

 

 

 

 

 

 

 

 

 

 

 

 

 

 

 

 

 

 

 

 

 

 

 

 

 

 

 

 

 

 

 

 

 

 

 

 

 

 

 

Portugal

 

 

 

 

 

 

 

 

 

 

 

 

 

 

 

 

 

 

 

 

 

 

 

 

 

 

 

 

 

 

 

 

 

 

 

 

 

 

 

 

 

 

 

 

 

 

 

 

 

 

 

 

 

 

 

 

 

 

 

 

 

 

 

 

 

 

 

 

Island

 

 

 

 

 

 

 

 

 

 

 

 

 

 

 

 

 

 

 

 

 

 

 

 

 

 

 

 

 

 

 

 

 

 

 

 

 

 

 

 

 

 

 

 

 

 

 

 

 

 

 

 

 

 

 

 

 

 

 

 

 

 

 

 

 

 

 

 

Spanien

 

 

 

 

 

 

 

 

 

 

 

 

 

 

 

 

 

 

 

 

 

 

 

 

 

 

 

 

 

 

 

 

 

 

 

 

 

 

 

 

 

 

 

 

 

 

 

 

 

 

 

 

 

 

 

 

 

 

 

 

 

 

 

 

 

 

 

 

Kanada

 

 

 

 

 

 

 

 

 

 

 

 

 

 

 

 

 

 

 

 

 

 

 

 

 

 

 

 

 

 

 

 

 

 

 

 

 

 

 

 

 

 

 

 

 

 

 

 

 

 

 

 

 

 

 

 

 

 

 

 

 

 

 

 

 

 

 

 

Irland

 

 

 

 

 

 

 

 

 

 

 

 

 

 

 

 

 

 

 

 

 

 

 

 

 

 

 

 

 

 

 

 

 

 

 

 

 

 

 

 

 

 

 

 

 

 

 

 

 

 

 

 

 

 

 

 

 

 

 

 

 

 

 

 

 

 

 

 

Nederländerna

 

 

 

 

 

 

 

 

 

 

 

 

 

 

 

 

 

 

 

 

 

 

 

 

 

 

 

 

 

 

 

 

 

 

 

 

 

 

 

 

 

 

 

 

 

 

 

 

 

 

 

 

 

 

 

 

 

 

 

 

 

 

 

 

 

 

 

 

Storbritannien

 

 

 

 

 

 

 

 

 

 

 

 

 

 

 

 

 

 

 

 

 

 

 

 

 

 

 

 

 

 

 

 

 

 

 

 

 

 

 

 

 

 

 

 

 

 

 

 

 

 

 

 

 

 

 

 

 

 

 

 

 

 

 

 

 

 

 

 

Belgien

 

 

 

 

 

 

 

 

 

 

 

 

 

 

 

 

 

 

 

 

 

 

 

 

 

 

 

 

 

 

 

 

 

 

 

 

 

 

 

 

 

 

 

 

 

 

 

 

 

 

 

 

 

 

 

 

 

 

 

 

 

 

 

 

 

 

 

 

USA

 

 

 

 

 

 

 

 

 

 

 

 

 

 

 

 

 

 

 

 

 

 

 

 

 

 

 

 

 

 

 

 

 

 

 

 

 

 

 

 

 

 

 

 

 

 

 

 

 

 

 

 

 

 

 

 

 

 

 

 

 

 

 

 

 

 

 

 

Tyskland

 

 

 

 

 

 

 

 

 

 

 

 

 

 

 

 

 

 

 

 

 

 

 

 

 

 

 

 

 

 

 

 

 

 

 

 

 

 

 

 

 

 

 

 

 

 

 

 

 

 

 

 

 

 

 

 

 

 

 

 

 

 

 

 

 

 

 

 

Japan

 

 

 

 

 

 

 

 

 

 

 

 

 

 

 

 

 

 

 

 

 

 

 

 

 

 

 

 

 

 

 

 

 

 

 

 

 

 

 

 

 

 

 

 

 

 

 

 

 

 

 

 

 

 

 

 

 

 

 

 

 

 

 

 

 

2004

 

 

Österrike

 

 

 

 

 

 

 

 

 

 

 

 

 

 

 

 

 

 

 

 

 

 

 

 

 

 

 

 

 

 

 

 

 

 

 

 

 

 

 

 

 

 

 

 

 

 

 

 

 

 

 

 

 

 

 

 

 

 

 

 

 

 

 

 

 

 

 

 

 

 

 

 

 

 

 

 

 

 

 

 

 

 

Frankrike

 

 

 

 

 

 

 

 

 

 

 

 

 

 

 

 

 

 

 

 

 

 

 

 

 

 

 

 

 

 

 

 

 

 

 

 

 

 

 

 

 

 

 

 

 

 

 

 

 

 

 

 

 

 

 

 

 

 

 

 

 

 

 

 

 

 

 

 

Finland

 

 

 

 

 

 

 

 

 

 

 

 

 

 

 

 

 

 

 

 

 

 

 

 

 

 

2000

 

 

 

 

 

 

 

 

 

 

 

 

 

 

 

 

 

 

 

 

 

 

 

 

 

 

 

 

 

 

 

 

 

 

 

 

 

 

 

 

 

 

 

 

 

 

 

 

 

 

 

 

 

 

SVERIGE

 

 

 

 

 

 

 

 

 

 

 

 

 

 

 

 

 

 

 

 

 

 

 

 

 

 

 

 

 

 

 

 

 

 

 

 

 

 

 

 

 

 

 

 

 

 

 

 

 

 

 

 

 

 

 

 

 

 

 

 

 

 

 

 

 

 

 

 

Schweiz

 

 

 

 

 

 

 

 

 

 

 

 

 

 

 

 

 

 

 

 

 

 

 

 

 

 

 

 

 

 

 

1996

 

 

 

 

 

 

 

 

 

 

 

 

 

 

 

 

 

 

 

 

 

 

 

 

 

 

 

 

 

 

 

 

 

 

 

Norge

 

 

 

 

 

 

 

 

 

 

 

 

 

 

 

 

 

 

 

 

 

 

 

 

 

 

 

 

 

 

 

 

 

 

 

 

 

 

 

 

 

 

 

 

 

 

 

 

 

 

 

 

 

 

 

 

 

 

 

 

 

 

Danmark

 

 

 

 

 

 

 

 

 

 

 

 

 

 

 

 

 

 

 

 

 

 

 

 

 

 

 

 

 

 

 

 

 

 

 

 

 

 

 

 

 

 

 

 

 

 

 

 

 

 

 

 

 

 

 

 

 

 

 

 

 

 

 

 

 

 

 

 

Luxemburg

 

 

 

 

 

 

 

 

 

 

 

 

 

 

 

 

 

 

 

 

 

 

 

 

 

 

 

 

 

 

 

 

 

 

 

 

 

 

 

 

 

 

 

 

 

 

 

 

 

 

 

 

 

 

 

 

 

 

 

 

 

 

 

 

 

 

 

 

 

 

 

 

 

 

 

 

 

 

 

 

 

 

0

5

 

10

 

 

15

20

25

Källa: EIM, databasen COMPENDIA.

Anm: Företagare i branscherna jordbruk, jakt, skogsbruk och fiske är exkluderade. I data ingår företagare utan anställda.

De nordiska länderna har en förhållandevis liten andel företagare i arbetskraften jämfört med andra länder. Bland de 23 länderna ligger Sverige på 19:e plats år 2004.TPF52FPT Den största andelen företagare återfinns i Grekland och Italien följt av Australien och Nya Zeeland. Förändringarna över tid är små i de flesta av länderna. Sveriges förhållandevis låga andel företagare i arbetskraften, drygt 8 procent, har under åren 1996-2004 varit i stort sett oförändrad.

52

TTTP DetPTT kan påpekas att om man istället relaterar antalet företagare (exkl. jordbrukare) till sysselsättningen i privat sektor så ligger Sverige i mitten av länderfördelningen år 2002 (Källa: ITPS, Tillväxtpolitisk utblick nr. 1 april 2007).TT

73

Entreprenörskap

Ds 2007:37

Nyföretagaraktivitet

Ytterligare ett sätt att mäta företagande är att studera så kallad nyföretagaraktivitet.TPF53FPT Nyföretagaraktiviteten (TEA) undersöks årligen i ett internationellt samarbetsprojekt med namnet Global Entrepreneurship Monitor (GEM). Samarbetsprojektet omfattar ett stort antal länder varav 19 länder tillhör de 23 rikaste OECD- länderna. I undersökningen definieras nyföretagaraktivitet som andelen av befolkningen som vid intervjutillfället var involverad i att starta ett företag eller som var ägare eller ledare för ett aktivt företag som var yngre än 42 månader. Resultaten från undersökningen under perioden 2000- 2006 visas i diagram 3.4.

Diagram 3.4: Nyföretagaraktivitet som andel av befolkningen 18-64 år, 2000-2006, procent

Nya Zeeland

 

 

 

 

 

 

 

 

 

 

 

 

 

 

 

 

 

 

 

 

 

 

 

 

 

 

 

 

 

 

 

 

 

 

 

 

 

 

 

 

 

 

 

 

 

 

 

 

 

 

 

 

 

 

 

 

 

 

 

 

 

 

 

 

 

 

 

 

 

 

 

 

 

 

 

 

 

 

 

 

 

 

 

 

 

 

 

 

 

 

 

 

 

Australien

 

 

 

 

 

 

 

 

 

 

 

 

 

 

 

 

 

 

 

 

 

 

 

 

 

 

 

 

 

 

 

 

 

 

 

 

 

 

 

 

 

 

 

 

 

 

 

 

 

 

 

 

 

 

 

 

 

 

 

 

 

 

Island

 

 

 

 

 

 

 

 

 

 

 

 

 

 

 

 

 

 

 

 

 

 

 

 

 

 

 

 

 

 

 

 

 

 

 

 

 

 

 

 

 

 

 

 

 

 

 

 

 

 

 

 

 

 

 

 

 

 

 

 

 

 

 

 

 

 

 

 

 

 

 

 

 

 

 

 

 

 

 

 

 

 

 

 

 

 

 

 

 

 

 

 

 

USA

 

 

 

 

 

 

 

 

 

 

 

 

 

 

 

 

 

 

 

 

 

 

 

 

 

 

 

 

 

 

 

 

 

 

 

 

 

 

 

 

 

 

 

 

 

 

 

 

 

 

 

 

 

 

 

 

 

 

 

 

 

 

Norge

 

 

 

 

 

 

 

 

 

 

 

 

 

 

 

 

 

 

 

 

 

 

 

 

 

 

 

 

 

 

 

 

 

 

 

 

 

 

 

 

 

 

 

 

 

 

 

 

 

 

 

 

 

 

 

 

 

 

 

 

 

 

Grekland

 

 

 

 

 

 

 

 

 

 

 

 

 

 

 

 

 

 

 

 

 

 

 

 

 

 

 

 

 

 

 

 

 

 

 

 

 

 

 

 

 

 

 

 

 

 

 

 

 

 

 

 

 

 

 

 

 

 

 

 

 

 

Irland

 

 

 

 

 

 

 

 

 

 

 

 

 

 

 

 

 

 

 

 

 

 

 

 

 

 

 

 

 

 

 

 

 

 

 

 

 

 

 

 

 

 

 

 

 

 

 

 

 

 

 

 

 

 

 

 

 

 

 

 

 

 

 

 

 

 

 

 

 

 

 

 

 

 

 

 

 

 

 

 

 

 

 

 

 

 

 

 

 

 

 

 

 

Spanien

 

 

 

 

 

 

 

 

 

 

 

 

 

 

 

 

 

 

 

 

 

 

 

 

 

 

 

 

 

 

 

 

 

 

 

 

 

 

 

 

 

 

 

 

 

 

 

 

 

 

 

 

 

 

 

 

 

 

 

 

 

 

Kanada

 

 

 

 

 

 

 

 

 

 

 

 

 

 

 

 

 

 

 

 

 

 

 

 

 

 

 

 

 

 

 

 

 

 

 

 

 

 

 

 

 

 

 

 

 

 

 

 

 

 

 

 

 

 

 

 

 

 

 

 

 

 

Storbritannien

 

 

 

 

 

 

 

 

 

 

 

 

 

 

 

 

 

 

 

 

 

 

 

 

 

 

 

 

 

 

 

 

 

 

 

 

 

 

 

 

 

 

 

 

 

 

 

 

 

 

 

 

 

 

 

 

 

 

 

 

 

 

Nederländerna

 

 

 

 

 

 

 

 

 

 

 

 

 

 

 

 

 

 

 

 

 

 

 

 

 

 

 

 

 

 

 

 

 

 

 

 

 

 

 

 

 

 

 

 

 

 

 

 

 

 

 

 

 

 

 

 

 

 

 

 

 

 

 

 

 

 

 

 

 

 

 

 

 

 

 

 

 

 

 

 

 

 

 

 

 

 

 

 

 

 

 

 

 

Danmark

 

 

 

 

 

 

 

 

 

 

 

 

 

 

 

 

 

 

 

 

 

 

 

 

 

 

 

 

 

 

 

 

 

 

 

 

 

 

 

 

 

 

 

 

 

 

 

 

 

 

 

 

 

 

 

 

 

 

 

 

 

 

Finland

 

 

 

 

 

 

 

 

 

 

 

 

 

 

 

 

 

 

 

 

 

 

 

 

 

 

 

 

 

 

 

 

 

 

 

 

 

 

 

 

 

 

 

 

 

 

 

 

 

 

 

 

 

 

 

 

 

2006

 

 

 

Frankrike

 

 

 

 

 

 

 

 

 

 

 

 

 

 

 

 

 

 

 

 

 

 

 

 

 

 

 

 

 

 

 

 

 

 

 

 

 

 

 

 

 

 

 

 

 

 

 

 

 

 

 

 

 

 

 

 

 

 

Tyskland

 

 

 

 

 

 

 

 

 

 

 

 

 

 

 

 

 

 

 

 

 

 

 

 

 

 

2003

 

 

 

 

 

 

 

 

 

 

 

 

 

 

 

 

 

 

 

 

 

 

 

 

 

 

 

 

 

 

 

 

Italien

 

 

 

 

 

 

 

 

 

 

 

 

 

 

 

 

 

 

 

 

 

 

 

 

 

 

 

 

 

 

 

 

 

 

 

 

 

 

 

 

 

 

 

 

 

 

 

 

 

 

 

 

 

 

 

 

 

 

 

 

 

 

 

 

 

 

 

 

 

 

 

 

 

 

 

 

 

 

 

 

 

 

 

 

 

 

 

 

 

SVERIGE

 

 

 

 

 

 

 

 

 

 

 

 

 

 

 

 

 

 

 

 

 

 

 

 

 

 

2000

 

 

 

 

 

 

 

 

 

 

 

 

 

 

 

 

 

 

 

 

 

 

 

 

 

 

 

 

 

 

 

 

Japan

 

 

 

 

 

 

 

 

 

 

 

 

 

 

 

 

 

 

 

 

 

 

 

 

 

 

 

 

 

 

 

 

 

 

 

 

 

 

 

 

 

 

 

 

 

 

 

 

 

 

 

 

 

 

 

 

 

 

 

 

Belgien

 

 

 

 

 

 

 

 

 

 

 

 

 

 

 

 

 

 

 

 

 

 

 

 

 

 

 

 

 

 

 

 

 

 

 

 

 

 

 

 

 

 

 

 

 

 

 

 

 

 

 

 

 

 

 

 

 

 

 

 

 

 

 

 

 

 

 

 

 

 

 

 

 

 

 

 

 

 

 

 

 

 

 

0

2

 

 

 

4

 

6

8

10

12

14

 

16

 

18

Källa: Global Entrepreneurship Monitor (GEM) 2007.

Anm. Nyföretagaraktivitet definieras som antalet personer som vid en given tidpunkt var involverade i att starta ett företag eller som är ägare eller ledare för ett aktivt företag som är yngre än 42 månader.

Undersökningen bygger på intervjuer som är relativt få, ca 2000 personer per land och tolkningen av vad som är ”involverad i att starta företag” kan variera mellan olika länder. Det finns därför en viss osäkerhet i länderjämförelsen. Sverige har emellertid legat på

53TP PT Det engelska begreppet är ”Total Entrepreneurial activity” (TEA).

74

Ds 2007:37

Entreprenörskap

en förhållandevis låg nivå i rankingen av länderna alltsedan undersökningen startade år 1999.TPF54FPT Mätt på detta sätt har nyföretagaraktiviteten sjunkit i Sverige och i de flesta andra undersökta länderna under perioden. Den främsta orsaken till nedgången har att göra med överhettningen inom IT-sektorn kring år 2000 där ett stort antal IT-företag senare gick i konkurs. Ländernas inbördes positioner har inte förändrats i någon större utsträckning. De länder som hade den högsta nyföretagaraktiviteten var Nya Zeeland och Island, medan den lägsta aktiviteten återfanns i Japan och i Belgien.

Ytterligare ett mått på företagande är antalet nystartade företag i relation till befolkningen. Denna relation visas för ett antal EU- länder i figur 3.3 nedan.

Figur 3.3: Antal nystartade företag i relation till befolkningen, kvot multiplicerad med 100.

Spanien

Luxemburg

Italien

Norge

Danmark

Storbritannien

SVERIGE

Finland

Nederländerna

Portugal

Schweiz

2004

2002 2000

0.0

0.1

0.2

0.3

0.4

0.5

0.6

0.7

Källa: Eurostat, Business demography in Europe.

Bland de relativt få länder där data finns tillgängliga till år 2004 framgår att Sverige ligger något lägre än i mitten av länderfördelningen med detta mått. Under perioden 2000-2004 har rangordningen bland länderna varit i stort sett oförändrad.

Antalet företag i relation till befolkningen

Antalet befintliga företag i relation till befolkningen brukar även användas som mått på entreprenörskap. Detta mått finns endast att

54TP PT Undersökningen har successivt utvidgats med fler länder genom årens lopp.

75

Entreprenörskap

Ds 2007:37

jämföra för knappt hälften av EU-länderna och Norge. Detta visas i diagram 3.5 nedan. Av diagrammet framgår att Sverige har något fler företag i förhållande till befolkningen än genomsnittet för de elva länderna i jämförelsen.

Diagram 3.5: Antal företag per 1000 invånare år 2004

Genomsnitt 11-länder

Portugal 1)

Spanien

Italien

SVERIGE

Danmark 2)

Norge 2)

Finland

Belgien 1)

Schweiz

Nederländerna

Storbritannien

-

10

20

30

40

50

60

70

80

Källa: Eurostat, Business demography in Europe.

1)Företagsstock år 2004 avser år 2000.

2)Företagsstock år 2004 avser år 2001.

Sammanfattningsvis kan sägas att Sverige med de vanligaste måtten rörande företagande ligger förhållandevis lågt eller ungefär i mitten av länderfördelningarna. Bilden av Sverige som ett land med förhållandevis få företagare förstärks av att länderjämförelsen avser rika länder där s.k. ”nödvändighetsföretagande” i regel är mindre vanligt förekommande än i länder med lägre levnadsstandard.

3.5Företagsdemografi och tillväxt i nya företag

Nya företag bidrar till högre produktivitet

Utvecklingsförloppet med nystart och nedläggning av företag, samt överlevnad och tillväxt bland befintliga företag brukar kallas för företagsdynamik. I ett flertal internationella studier har denna process analyserats i syfte att mäta bidraget till produktivitetsutvecklingen i näringslivet. Genom tillgång på

76

Ds 2007:37 Entreprenörskap

mikrodata över tid för företag kan företagsdemografins inverkan på bl.a. produktivitet och sysselsättning analyseras. Studier vid bl.a. OECD visar att processen med att nya företag tillkommer och att företag läggs ned ger ett positivt bidrag till produktivitetsutvecklingen i näringslivet.TPF55FPT Detta beror på att nya företag som överlever i regel har högre produktivitet än nedlagda företag. Genom väl fungerande marknader där företag kan etableras utan konkurrensbegränsande hinder överlever på sikt de mer produktiva företagen. Det är sålunda viktigt att undanröja hinder för företag att etableras på olika marknader. Likaså är det väsentligt att företag kan avvecklas på ett effektivt sätt. Processen medför förnyelse av näringslivet och bidrar genom produktivitetsökningen till högre reallöner, högre BNP och därmed till stigande levnadsstandard.

I studier med mikrodata används ofta statistiska metoder som innebär att man delar upp (dekomponerar) den sammantagna produktivitetsökningen som ägt rum under en given tidsperiod på bidrag från olika komponenter, bl.a. på bidrag från nya företag, befintliga företag och nedlagda företag. I denna typ av studier begränsas analysen till att visa på ekonomiska effekter av företagsdynamiken under en given tidsperiod på grund av begräsningar i datatillgången och ger därför inget generellt svar på hur stor tillväxt i produktivitet (eller sysselsättning) som genereras från nya företag, befintliga företag och nedlagda företag på lång sikt. Studierna har emellertid ett stort värde för förståelsen av företagsdynamiken.

En studie av ITPS och de tidigare studierna vid OECD visar att merparten av produktivitetstillväxten i näringslivet kan hänföras till produktivitetstillväxt i de befintliga företagen. OECD:s studie med data från olika länder visar emellertid att mellan 20-40 procent av produktivitetstillväxten kan förklaras av bidraget från att nya överlevande företag tillkommer och att mindre produktiva företag

läggs

56

Bidraget

till

produktivitetstillväxten

av

ned.TPF FPT

55TP OECDPT (2003), Audretsch m.fl. (2006), Baumol (2002), Klepper (1996), Brandt (2004), Hoffman(2006), Braunerhjelm, P. och Lundström, A. (2007), Carre, M. och Van Stel, A. (2004).

56TP IPT ITPS (2006b), Företagsdynamik och tillväxt (A 2006:016), beräknas motsvarande andel av produktivitetsutvecklingen till drygt 4,5 procent under åren 1997-2003, vilket är lågt i en internationell jämförelse. Under denna period försvann många nya företag inom IKT- branschen i Sverige vilket bidrar till svagare produktivitetstillväxt bland nya företag. OECD- studien baseras på äldre data i slutet på 1980-talet och i början på 1990-talet vilket delvis kan förklara skillnaden i resultaten. Den sammantagna produktivitetsutvecklingen under perioden 1997-2003 var 3,3 procent i genomsnitt per år i näringslivet i Sverige enligt ITPS

77

Entreprenörskap

Ds 2007:37

företagsdynamiken varierar mellan olika branscher. I studien av ITPS på data under åren 1997-2003 visas bl.a. att bidraget till produktivitetstillväxten från att nya överlevande företag tillkommer och att mindre produktiva företag läggs ned har varit starkare inom delar av tjänstesektorn såsom i inrikeshandel, hotell- och restaurang samt inom transporter och kommunikation. Motsvarande bidrag från tillverkningsindustrin var mindre under perioden.TPF57FPT

I diagram 3.6 visas antalet nystartade företag i relation till företagsstocken i tolv europeiska länder.

Diagram 3.6: Antal nystartade företag i relation till företagsstocken, utbildnings- och vårdtjänster exkluderade, procent

Storbritannien

Luxemburg

Norge

Danmark

Spanien

Nederländerna

Finland

Italien

Portugal

Belgien

SVERIGE

Schweiz

EU-15

2004 2002

2000

0

3

6

9

12

15

18

Källa: Eurostat, Business demography in Europe.

Av diagrammet framgår att spridningen i nyföretagandet mätt på detta sätt är stor mellan länderna. Detta mått visar på ett förhållandevis lågt nyföretagande i Sverige jämfört med andra

studie. Den förhållandevis snabba produktivitetstillväxten i Sverige beror till stor del på snabb produktivitetsuppgång inom industrin där tillkomsten av nya företag och antalet nedlagda företag är färre jämfört med i andra branscher. Ovannämnda omständigheter kan delvis förklara skillnaden mellan bidraget till produktivitetstillväxten från nya- och nedlagda företag i Sverige enligt ITPS studie jämfört med de äldre OECD-studierna.

57TP DenPT sammantagna produktivitetsökningen inom svensk industri har emellertid varit mycket snabb sedan mitten av 1990-talet. Under perioden 1996-2005 ökade arbetsproduktiviteten i industrin med i genomsnitt 6,5 procent per år. Bland OECD- länderna är det endast i Korea som arbetsproduktiviteten i industrin har ökat snabbare än i Sverige.

78

Ds 2007:37

Entreprenörskap

länder. Under perioden 2000-2004 har Sveriges position legat lågt bland länderna i jämförelsen.

Omfattningen av tillkomst och nedläggning av företag mellan olika länder varierar. En relativt stor del av skillnaden mellan olika länder kan som tidigare nämnts bero på olika branschstruktur.TPF58FPT Länder som domineras av industribranscher där stora skalfördelar föreligger kan förväntas ha en lägre grad av nyföretagande än t.ex. länder med högre andel tjänsterelaterad verksamhet. Även med hänsyn taget till denna effekt har Sverige ett förhållandevis lågt nyföretagande jämfört med andra länder. En indikation på detta är även att antalet nystartade företag i relation till företagsstocken inom tjänstesektorn ligger lågt i Sverige jämfört med andra länder.TPF59FPT Andelen nystartade företag bland tjänsteföretag visas i figur 3.4. Under perioden 2000-2004 har Sveriges position försämrats något bland länderna i jämförelsen.

Figur 3.4: Antal nystartade tjänsteföretag i relation till företagsstocken i tjänstesektorn, utbildnings- och vårdtjänster exkluderade, procent

Storbritannien

Luxemburg

Norge

Danmark

Spanien

Nederländerna

Finland

Italien

Belgien

Portugal 1)

SVERIGE

Schweiz

EU15

2004 2002

2000

0

3

6

9

12

15

Källa: Eurostat, Business demography in Europe. Anm: EU15 år 2002 avser år 2001.

1) Preliminära data för 2004.

58TP IPT en studie av Brandt (2004) uppskattas med en ekonometrisk modell att skillnaden i relationen mellan nystartade företag och stocken företag, s.k. ”entry rate”, mellan länder minskar med drygt 50 procent då hänsyn tas till olika branschstruktur och konjunkturella effekter.

59TP IPT länderjämförelsen ingår inte vård- och utbildningstjänster som i Sverige främst bedrivs i offentlig regi.

79

Entreprenörskap

Ds 2007:37

De flesta nya företag som startas är tjänsteföretag vilket sammanhänger med den trendmässiga expansionen av tjänsteverksamhet i moderna industriländer. Nyföretagandet i tjänstesektorn är i regel högre än det sammantagna genomsnittet. Ett viktigt skäl för detta är att det i regel krävs mindre kapital och inte krävs en lika stor marknad för att starta företag i många tjänstebranscher jämfört med en varuproducerande företagsverksamhet där skalfördelarna ofta är mycket betydelsefulla.

Tillväxt i nya företag

En annan viktig aspekt för förnyelse och tillväxt i näringslivet är hur pass snabbt nya företag växer. Ett område för studier av entreprenörskapsförhållanden är snabbväxande företag. Vid den danska myndigheten FORA, som bedriver forskning rörande entreprenörskap, har ett internationellt projekt genomförts där data rörande entreprenörskap insamlats. Sverige har genom ITPS bidragit i detta projekt. I datamaterialet visas förekomsten av snabbväxande företag (s.k. gasellföretag) i olika länder.TPF60FPT

Ett gasellföretag definieras här som ett företag vars tillväxt uppgår till minst 60 procent under tre år och minst 20 procents tillväxt under vart och ett av de tre åren.TPF61FPT Tillväxten mäts här i termer av sysselsättning. Antalet gasellföretag är förhållandevis få i alla länder i jämförelsen nedan. Under perioden 2002-2004 uppgick antalet gasellföretag till ca 1 800 företag i Sverige. I diagram 3.7 visas andelen gasellföretag bland alla nystartade företag under åren 1997-2001 med minst 15 anställda när företaget startas. Data för år 2000 avser tillväxten enligt ovannämnda kriterier under åren 2000- 2002. Data för 2001 avser företagstillväxt perioden 2001-2003 osv.

Under perioden har andelen gasellföretag generellt sett minskat bland länderna under perioden efter år 2000. Sverige ligger i mitten av rangordningen bland de 16 länder som redovisas, på 8:e plats. Rangordningen bland länderna har inte nämnvärt förändrats under tidsperioderna i länderjämförelsen. Det bör påpekas att den här typen av data kan vara känslig för vilket kriterium för tillväxt som väljs. En annan definition av gasellföretag skulle kunna innebära att

60TP DetPT förekommer olika definitioner av s.k. gasellföretag i den ekonomiska litteraturen., gemensamt är dock att det rör sig om snabbväxande företag.

61TP DefinitionPT enligt entreprenörskapstudie av bl.a. Birch (1987).

80

Ds 2007:37

Entreprenörskap

rangordningen mellan länderna förändras. Likaså kan valet av tidsperioden för undersökningen ha betydelse för rangordningen mellan länderna. Även i detta sammanhang kan branschstrukturen ha stor betydelse. I en ekonomi som t.ex. präglas av industribranscher där skalfördelarna är särskilt stora är sannolikheten mindre att det finns många gasellföretag.

Diagram 3.7: Andel snabbväxande företag bland nya företag med minst 15 anställda, procent

Korea

 

 

 

 

 

 

 

 

 

 

 

 

 

 

 

 

 

 

 

 

 

 

 

 

 

 

 

 

 

 

 

 

 

 

Storbritannien

 

 

 

 

 

 

 

 

 

 

 

 

 

 

 

 

 

 

 

 

 

 

 

 

 

 

 

 

 

 

 

 

 

 

 

 

 

 

 

 

 

 

 

 

 

 

 

 

 

 

 

 

 

 

 

 

 

 

 

 

 

 

 

 

 

 

 

 

Schweiz

 

 

 

 

 

 

 

 

 

 

 

 

 

 

 

 

 

 

 

 

 

 

 

 

 

 

 

 

 

 

 

 

 

 

 

 

 

 

 

 

 

 

 

 

 

 

 

 

 

 

 

 

 

 

 

 

 

 

 

 

 

 

 

 

 

 

 

 

Japan

 

 

 

 

 

 

 

 

 

 

 

 

 

 

 

 

 

 

 

 

 

 

 

 

 

 

 

 

 

 

 

 

 

 

 

 

 

 

 

 

 

 

 

 

 

 

 

 

 

 

 

 

 

 

 

 

 

 

 

 

 

 

 

 

 

 

 

 

USA

 

 

 

 

 

 

 

 

 

 

 

 

 

 

 

 

 

 

 

 

 

 

 

 

 

 

 

 

 

 

 

 

 

 

 

 

 

 

 

 

 

 

 

 

 

 

 

 

 

 

 

 

 

 

 

 

 

 

 

 

 

 

 

 

 

 

 

 

Spanien

 

 

 

 

 

 

 

 

 

 

 

 

 

 

 

 

 

 

 

 

 

 

 

 

 

 

 

 

 

 

 

 

 

 

 

 

 

 

 

 

 

 

 

 

 

 

 

 

 

 

 

 

 

 

 

 

 

 

 

 

 

 

 

 

 

 

 

 

Italien

 

 

 

 

 

 

 

 

 

 

 

 

 

 

 

 

 

 

 

 

 

 

 

 

 

 

 

 

 

 

 

 

 

 

 

 

 

 

 

 

 

 

 

 

 

 

 

 

 

 

 

 

 

 

 

 

 

 

 

 

 

 

 

 

 

 

 

 

SVERIGE

 

 

 

 

 

 

 

 

 

 

 

 

 

 

 

 

 

 

 

 

 

 

 

 

 

 

 

 

 

 

 

 

 

 

 

 

 

 

 

 

 

 

 

 

 

 

 

 

 

 

 

 

 

 

 

 

 

 

 

 

 

 

 

 

 

 

 

 

Finland

 

 

 

 

 

 

 

 

 

 

 

 

 

 

 

 

 

 

 

 

 

 

 

 

 

 

 

 

 

 

 

 

 

 

 

 

 

 

 

 

 

 

 

 

 

 

 

 

 

 

 

 

 

 

 

 

 

 

 

 

 

 

 

 

 

 

 

 

Danmark

 

 

 

 

 

 

 

 

 

 

 

 

 

 

 

 

 

 

 

 

 

 

 

 

 

 

 

 

 

 

 

 

 

 

 

 

 

 

 

 

 

 

 

 

 

 

 

 

 

 

 

 

 

 

 

 

 

 

 

 

 

 

 

 

 

 

 

 

Belgien

 

 

 

 

 

 

 

 

 

 

 

 

 

 

 

 

 

 

 

 

 

 

 

 

 

 

 

 

 

 

 

 

 

 

 

 

 

 

 

 

 

 

 

 

 

 

 

 

 

 

 

 

 

 

 

 

 

 

 

 

 

 

2002-2004

 

 

Frankrike

 

 

 

 

 

 

 

 

 

 

 

 

 

 

 

 

 

 

 

 

 

 

 

 

 

 

 

 

 

 

 

 

 

 

 

 

 

 

 

 

 

 

 

 

 

 

 

 

 

 

 

 

 

 

 

 

 

 

 

 

 

 

 

 

Nederländerna

 

 

 

 

 

 

 

 

 

 

 

 

 

 

 

 

 

 

 

 

 

 

 

 

 

 

 

 

2001-2003

 

 

 

 

 

 

 

 

 

 

 

 

 

 

 

 

 

 

 

 

 

 

 

 

 

 

 

 

 

 

 

 

Norge

 

 

 

 

 

 

 

 

 

 

 

 

 

 

 

 

 

 

 

 

 

 

 

 

 

 

 

 

 

 

 

 

 

 

 

 

 

 

 

 

 

 

 

 

 

 

 

 

 

 

 

 

 

 

 

 

 

 

2000-2002

 

 

 

 

 

 

 

 

 

 

 

 

 

 

 

 

 

 

 

 

 

 

 

 

 

 

 

 

 

 

 

 

Österrike

 

 

 

 

 

 

 

 

 

 

 

 

 

 

 

 

 

 

 

 

 

 

 

 

 

 

 

 

 

 

 

 

 

 

 

 

 

 

 

 

 

 

 

 

 

 

 

 

 

 

 

 

 

 

 

 

 

 

 

 

 

 

 

 

Tyskland

 

 

 

 

 

 

 

 

 

 

 

 

 

 

 

 

 

 

 

 

 

 

 

 

 

 

 

 

 

 

 

 

 

 

 

 

 

 

 

 

 

 

 

 

 

 

 

 

 

 

 

 

 

 

 

 

 

 

 

 

 

 

 

 

 

 

 

 

 

 

 

 

 

 

 

 

 

 

 

 

 

 

 

 

 

 

 

0

 

2

 

4

 

 

6

 

 

8

 

 

10

12

14

Källa: FORA och ITPS.

Ytterligare ett mått med anknytning till företagsdemografi är s.k. överlevnadsgrad. Med överlevnadsgrad menas hur stor andel av nystartade företag som finns kvar efter ett visst antal år. I diagram 3.8 visas andelen nystartade företag år 2002 som överlevt minst två år. Det finns i dagsläget inte något ekonomisk-teoretiskt ramverk som kan ge svaret på vad en optimal överlevnadsgrad är. Allmänt sett brukar emellertid en hög överlevnadsgrad uppfattas som positivt eftersom det innebär mindre kapitalförluster. En hög överlevnadsgrad kan vara förenat med att de personer som startar företag är säkra på ett lyckosamt resultat och/eller låg riskbenägenhet bland individer att starta företag. Om den höga överlevnadsgraden beror på lägre benägenhet att starta företag kan det medföra att färre innovativa produkter och tjänster utvecklas.

81

Entreprenörskap

Ds 2007:37

Diagram 3.8: Andelen företag startade 2002 som överlevt minst två år, procent av ursprungligt antal startade företag

Portugal 1)

SVERIGE

Storbritannien

Luxemburg

Spanien

Italien

Nederländerna

Norge 2)

Finland

Danmark 2)

0

10

20

30

40

50

60

70

80

90

100

Källa: Eurostat, Business demography in Europe.

1)Preliminära data.

2)Avser företag startade år 1999.

Den högsta överlevnadsgraden uppvisar Portugal och Sverige där omkring 90 procent av företagen som startade 2002 överlevde till 2004. Skillnaden är relativt stor mellan länderna. I Danmark fanns endast omkring 60 procent av de nystartade företagen kvar i verksamhet efter två år. Merparten av företagen utgörs av tjänsteföretag, så även bland företag som startas och läggs ned. Överlevnadsgraden bland tjänsteföretagen ligger i regel mycket nära den sammantagna överlevnadsgraden bland samtliga företag enligt Eurostats statistik. I Sverige uppgick överlevnadsgraden efter två år för företag som startade år 2002 till 87,8 procent. Bland samtliga nystartade tjänsteföretag var överlevnadsgraden marginellt lägre, 87,5 procent.

3.6Administrativa hinder för företagande

Administrativ belastning försvårar och ökar kostnaderna i företagen. I mindre företag utgör administration, generellt sett, en större belastning jämfört med i större företag där skalfördelar lättare kan uppnås för det administrativa arbetsuppgifterna. Regelförenkling återfinns därför högt upp på den politiska agendan i flertalet EU-länder.EU-toppmötet våren 2007 antogs ett mål

82

Ds 2007:37

Entreprenörskap

om att minska företagens administrativa kostnader med 25 procent till 2012.

I ekonomisk mening bidrar minskad administrativ belastning till ökad produktivitet genom att mindre resurser krävs för att driva verksamheten eller att mer resurser kan överföras till kärnverksamheten. De ekonomiska vinsterna av att effektivisera regelverken är stora. Enligt en uppskattning av EU-kommissionen kan ovannämnda EU-mål bidra till en BNP-ökning om 1,4 procent eller 150 miljarder euro.TPF62FPT Företagen kan sålunda sänka kostnaderna och/eller öka produktionen med oförändrade totala kostnader. I Sverige, liksom i flera andra länder, har metoder utvecklats för att mäta den administrativa bördan. Vid Nutek har en modell utvecklats där kostnadseffekter av olika regelförändringar kan beräknas. Metoderna för att mäta den administrativa bördan varierar mellan olika länder och det saknas för närvarande statistik där man kan jämföra den sammantagna administrativa bördan i företagen mellan olika länder på ett enhetligt sätt. Det finns därför bara ett fåtal indikatorer på administrativ belastning som kan jämföras mellan olika länder. Nedan visas två mått för start av aktiebolag. Det ena är kostnader vid myndigheter för att starta företag och det andra är antal procedurer som är förenade med att starta företag.

I diagram 3.9 visas företagens administrativa kostnader vid myndigheter i olika länder. I kostnaderna ingår bl.a. olika typer av officiella avgifter för tillstånd som behövs för att driva ett företag. Kostnaderna mäts per capita i relation till bruttonationalinkomsten (BNI).TPF63FPT

62TP EuropeiskaPT kommissionen (2007).

63TP KostnadernaPT mäts i relation till BNI/capita. En stor del av de administrativa kostnaderna är relaterade till den allmänna lönenivån i de olika länderna. Det kan därför vara lämpligt att relatera de administrativa kostnaderna till BNI/capita i syfte att i viss mån avlägsna den del av skillnaden i de administrativa kostnaderna mellan olika länder som är att hänföra till skillnader i den allmänna levnadsstandarden.

83

Entreprenörskap

Ds 2007:37

Diagram 3.9: Administrativa kostnader vid myndigheter för start av företag år 2006, procent av BNI per capita

OECD Danmark Nya Zeeland Irland USA

Storbritannien SVERIGE Kanada Frankrike Finland Australien Schweiz Norge Island Portugal Tyskland Österrike Belgien

Nederländerna Japan Korea Italien Spanien Grekland

0

5

10

15

20

25

Källa: World bank, Doing business.

Anm: Avser kostnader för att starta aktiebolag.

Som framgår av diagram 3.9 har Sverige mycket låga kostnader för att starta företag i ett internationellt perspektiv. Den enda kostnaden i Sverige i sammanhanget är avgiften för registrering vid Bolagsverket. Sverige ligger på 6:e plats bland de 23 OECD- länderna.

I diagram 3.10 visas antalet procedurer som krävs för att starta ett aktiebolag. Med procedurer menas här antal ansökningsförfaranden vid olika myndigheter samt bekräftelse från det nya företagets bank att medel för aktiekapital finns på konto. De nordiska länderna ligger väl till i en internationell jämförelse. I Sverige, Danmark och Finland krävs 3 procedurer för att starta ett aktiebolag.TPF64FPT Genomsnittet för de 23 rikaste länderna i OECD ligger på drygt 6 procedurer.

64TP PT I Sverige krävs 1) en bekräftelse från företagets bank om att aktiekapitalet finns deponerat på ett konto 2) anmälan till Bolagsverket samt erhållande av registreringsbevis och

3) registrering vid skattemyndigheten.

84

Ds 2007:37

Entreprenörskap

Diagram 3.10: Antal procedurer förenade med att starta företag 2006

OECD-23 Nya Zeeland Kanada Australien SVERIGE Danmark Finland Irland Norge Belgien USA Island

Storbritannien Schweiz Nederländerna Frankrike Portugal Japan Tyskland Österrike Italien Spanien Korea Grekland

0

2

4

6

8

10

12

14

16

Källa: World bank (2006), Doing business.

Anm: Avser aktiebolag.

I Grekland och Korea krävs det ett stort antal procedurer för att starta företag, 15 respektive 12 procedurer.

Nedläggning av företag är ett led i förnyelsen av näringsliv och företagsstock. De processer som är förenade med nedläggning, rekonstruktion av företag eller konkurs bör därför vara så enkla och effektiva som möjligt för att undvika onödigt höga kostnader.

I diagram 3.11 visas den genomsnittliga tidsåtgången (räknat i år) som det tar att genomföra en konkursprocess i olika länder. Av diagrammet framgår att konkursprocessen i Sverige tenderar att ta förhållandevis lång tid jämfört med andra OECD-länder.

85

Entreprenörskap

Ds 2007:37

Diagram 3.11: Tidsåtgång konkursprocess, genomsnittligt antal år.

OECD

Irland

Japan

Kanada

Norge

Finland

Belgien

Storbritannien

Spanien

Island

Australien

Österrike

Italien

Tyskland

Korea

USA

Nederländerna

Frankrike

SVERIGE

Portugal

Nya Zeeland

Grekland

Schweiz

Danmark

0

1

2

3

4

Källa: World Bank, Doing business 2006.

Anm: Avser aktiebolag med minst 201 anställda, 100 % ägt inom landet. Företaget beläget i landets mest befolkade stad.

3.7Aktiebolagsbeskattning

Bolagsbeskattningen påverkar företagens investeringar genom att bl.a. begränsa investeringsurvalet genom att driva upp förräntningskraven. Färre investeringar blir lönsamma att genomföra då beskattningen skjuter in en kil mellan investeringsprojektens avkastning före skatt och den avkastning långivarna och aktieägarna får på sin placering efter skatt. Företagets kapitalkostnad, dvs. förräntningskravet på en ny investering före skatt, är utgångspunkten i de flesta internationella jämförelser av bolagsbeskattningens effekter på investeringsklimatet. I allmänhet gäller att kapitalkostnaden bestäms både av den nominella bolagsskatten och av de regler som bestämmer skattebasen (den skattepliktiga inkomsten).

Problemet vid internationella jämförelser är sålunda att beskattningens inverkan inte enbart bestäms av de gällande

86

Ds 2007:37

Entreprenörskap

nominella skattesatserna, utan också av de många gånger komplexa regler som gäller vid beräkning av den skattepliktiga inkomsten. Vid analyser av investeringsklimatet i olika länder koncentreras frågan till hur beskattningen inverkar på företagets kapitalkostnad. Kapitalkostnaden utgör, i sin tur, den viktigaste komponenten då man bestämmer s.k. effektiva skatter. Istället för att analysera företagens kapitalkostnader kan man alltså analysera den effektiva skattebelastningen i olika länder som ett led i en jämförelse av investeringsklimatet.

I den teoretiska och empiriska forskningen på området har två olika effektiva skattemått utvecklats och använts; genomsnittlig och marginell. Effektiva genomsnittliga skatter antas främst vara av intresse för företagens beslut om i vilket land man skall lokalisera sig i. Om ett företag står inför valet att placera en ny anläggning antingen i land A eller land B finns det skäl att tro att ägaren utvärderar de två länderna bland annat utifrån hur mycket ägaren totalt sett får kvar efter det att hela bolagsskatten är betald. Av den anledningen utgör den genomsnittliga effektiva bolagsskatten det relevanta måttet. Inom befintliga anläggningar (i exempelvis land A) är det i stället den effektiva marginella skatten, dvs. den skatt som företaget betalar på den sista intjänade kronan, som främst antas vara intressant. Den marginella skatten påverkar investeringsvolymen i ett företag, och därmed investeringsvolymen i landet där företaget är verksamt.

Som framgår av diskussionen ovan är det inte tillräckligt att enbart jämföra de nominella skattesatserna vid denna typ av analys. Den nominella skattesatsen har emellertid stor vikt i beräkningen av effektiv beskattning. I figur 3.5 visas bolagsskattesatserna för de 23 rikaste OECD-länder under perioden 2001-2007. I diagrammet visas även skattesatserna för Estland, Lettland och Litauen som har förhållandevis låga skattesatser. I Estland utgår ingen vinstskatt alls för medel som inte delas ut.

I figur 3.5 kan utläsas att i över hälften av länderna har skattesatserna sänkts under perioden. Genom att många länder successivt har sänkt bolagsskattesatserna har Sverige fallit något i rangordningen bland länderna från att tidigare haft en tätposition bland OECD-länderna. Japan, USA och Tyskland har de högsta skattesatserna bland de jämförda länderna.

87

Entreprenörskap

Ds 2007:37

Figur 3.5: Bolagsskattesats, 2001-2007, procent

Estland 1)

 

 

 

 

 

 

 

 

 

 

 

 

 

 

 

 

 

 

 

 

 

 

 

 

 

 

 

 

 

 

Litauen 2)

 

 

 

 

 

 

 

 

 

 

 

 

 

 

 

 

 

 

 

 

 

 

 

2007

 

 

 

Lettland

 

 

 

 

 

 

 

 

 

 

 

 

 

 

 

 

 

 

 

 

 

 

 

 

 

 

Irland

 

 

 

 

 

 

 

 

 

 

 

 

 

 

 

 

 

 

 

 

 

 

 

2004

 

 

 

 

 

 

 

 

 

 

 

 

 

 

 

 

 

 

 

 

 

 

 

 

 

 

 

 

 

Island

 

 

 

 

 

 

 

 

 

 

 

 

 

 

 

 

 

 

 

 

 

 

 

 

 

 

 

 

 

 

 

 

 

 

 

 

 

 

 

 

 

 

 

 

 

 

 

 

 

 

 

 

 

 

 

 

Polen

 

 

 

 

 

 

 

 

 

 

 

 

 

 

 

 

 

 

 

 

 

 

 

2001

 

 

 

 

 

 

 

 

 

 

 

 

 

 

 

 

 

 

 

 

 

 

 

 

 

 

 

 

 

Schweiz

 

 

 

 

 

 

 

 

 

 

 

 

 

 

 

 

 

 

 

 

 

 

 

 

 

 

 

 

 

 

 

 

 

 

 

 

 

 

 

 

 

 

 

 

 

 

 

 

 

 

 

 

 

 

 

 

Österrike

 

 

 

 

 

 

 

 

 

 

 

 

 

 

 

 

 

 

 

 

 

 

 

 

 

 

 

 

 

 

 

 

 

 

 

 

 

 

 

 

 

 

 

 

 

 

 

 

 

 

 

 

 

 

 

 

 

 

 

 

 

 

 

 

 

 

 

 

 

 

 

 

 

 

 

 

 

 

 

 

 

 

 

 

 

 

 

 

 

 

Grekland

 

 

 

 

 

 

 

 

 

 

 

 

 

 

 

 

 

 

 

 

 

 

 

 

 

 

 

 

 

 

 

 

 

 

 

 

 

 

 

 

 

 

 

 

 

 

 

 

 

 

 

 

 

 

 

 

 

 

 

 

Nederländerna 3)

 

 

 

 

 

 

 

 

 

 

 

 

 

 

 

 

 

 

 

 

 

 

 

 

 

 

 

 

 

 

 

 

 

 

 

 

 

 

 

 

 

 

 

 

 

 

 

 

 

 

 

 

 

 

 

 

 

 

 

 

Finland

 

 

 

 

 

 

 

 

 

 

 

 

 

 

 

 

 

 

 

 

 

 

 

 

 

 

 

 

 

 

 

 

 

 

 

 

 

 

 

 

 

 

 

 

 

 

 

 

 

 

 

 

 

 

 

 

 

 

 

 

Korea

 

 

 

 

 

 

 

 

 

 

 

 

 

 

 

 

 

 

 

 

 

 

 

 

 

 

 

 

 

 

 

 

 

 

 

 

 

 

 

 

 

 

 

 

 

 

 

 

 

 

 

 

 

 

 

 

 

 

 

 

Danmark

 

 

 

 

 

 

 

 

 

 

 

 

 

 

 

 

 

 

 

 

 

 

 

 

 

 

 

 

 

 

 

 

 

 

 

 

 

 

 

 

 

 

 

 

 

 

 

 

 

 

 

 

 

 

 

 

 

 

 

 

SVERIGE

 

 

 

 

 

 

 

 

 

 

 

 

 

 

 

 

 

 

 

 

 

 

 

 

 

 

 

 

 

 

 

 

 

 

 

 

 

 

 

 

 

 

 

 

 

 

 

 

 

 

 

 

 

 

 

 

 

 

 

 

Norge

 

 

 

 

 

 

 

 

 

 

 

 

 

 

 

 

 

 

 

 

 

 

 

 

 

 

 

 

 

 

 

 

 

 

 

 

 

 

 

 

 

 

 

 

 

 

 

 

 

 

 

 

 

 

 

 

 

 

 

 

Australien

 

 

 

 

 

 

 

 

 

 

 

 

 

 

 

 

 

 

 

 

 

 

 

 

 

 

 

 

 

 

 

 

 

 

 

 

 

 

 

 

 

 

 

 

 

 

 

 

 

 

 

 

 

 

 

 

 

 

 

 

Storbritannien 4)

 

 

 

 

 

 

 

 

 

 

 

 

 

 

 

 

 

 

 

 

 

 

 

 

 

 

 

 

 

 

 

 

 

 

 

 

 

 

 

 

 

 

 

 

 

 

 

 

 

 

 

 

 

 

 

 

 

 

 

 

Spanien

 

 

 

 

 

 

 

 

 

 

 

 

 

 

 

 

 

 

 

 

 

 

 

 

 

 

 

 

 

 

 

 

 

 

 

 

 

 

 

 

 

 

 

 

 

 

 

 

 

 

 

 

 

 

 

 

 

 

 

 

Nya Zeeland

 

 

 

 

 

 

 

 

 

 

 

 

 

 

 

 

 

 

 

 

 

 

 

 

 

 

 

 

 

 

 

 

 

 

 

 

 

 

 

 

 

 

 

 

 

 

 

 

 

 

 

 

 

 

 

 

 

 

 

 

Frankrike

 

 

 

 

 

 

 

 

 

 

 

 

 

 

 

 

 

 

 

 

 

 

 

 

 

 

 

 

 

 

 

 

 

 

 

 

 

 

 

 

 

 

 

 

 

 

 

 

 

 

 

 

 

 

 

 

 

 

 

 

Belgien

 

 

 

 

 

 

 

 

 

 

 

 

 

 

 

 

 

 

 

 

 

 

 

 

 

 

 

 

 

 

 

 

 

 

 

 

 

 

 

 

 

 

 

 

 

 

 

 

 

 

 

 

 

 

 

 

 

 

 

 

Kanada

 

 

 

 

 

 

 

 

 

 

 

 

 

 

 

 

 

 

 

 

 

 

 

 

 

 

 

 

 

 

 

 

 

 

 

 

 

 

 

 

 

 

 

 

 

 

 

 

 

 

 

 

 

 

 

 

 

 

 

 

Italien

 

 

 

 

 

 

 

 

 

 

 

 

 

 

 

 

 

 

 

 

 

 

 

 

 

 

 

 

 

 

 

 

 

 

 

 

 

 

 

 

 

 

 

 

 

 

 

 

 

 

 

 

 

 

 

 

 

 

 

 

Tyskland

 

 

 

 

 

 

 

 

 

 

 

 

 

 

 

 

 

 

 

 

 

 

 

 

 

 

 

 

 

 

 

 

 

 

 

 

 

 

 

 

 

 

 

 

 

 

 

 

 

 

 

 

 

 

 

 

 

 

 

 

USA

 

 

 

 

 

 

 

 

 

 

 

 

 

 

 

 

 

 

 

 

 

 

 

 

 

 

 

 

 

 

 

 

 

 

 

 

 

 

 

 

 

 

 

 

 

 

 

 

 

 

 

 

 

 

 

 

 

 

 

 

Japan

 

 

 

 

 

 

 

 

 

 

 

 

 

 

 

 

 

 

 

 

 

 

 

 

 

 

 

 

 

 

 

 

 

 

 

 

 

 

 

 

 

 

 

 

 

 

 

 

 

 

 

 

 

 

 

 

 

 

 

 

 

 

 

 

 

 

 

 

 

 

 

 

 

 

 

 

 

 

 

 

 

0

5

10

15

 

20

25

 

 

30

 

35

 

 

 

40

 

45

Källa: KPMG's, Corporate and Indirect Tax Rate Survey 2007.

1)Ingen beskattning av ej utdelade vinstmedel. Utdelade vinstmedel beskattas år 2007 med 22 procent.

2)Skattesatsen är 13 procent år 2007 om antalet anställda inte överstiger 10 och inkomsten är högst LTL 500.000.

3)Lägre skattesats tillämpas för beskattningsbar vinst upp till en viss nivå.

Under år 2007 är skattesatsen 20 procent för taxerade inkomster upp till 25 000 euro. 4) För år 2007 gäller;

Skattesatsen är 19 procent för beskattningsbar vinst upp till GBP 300 000.

Stigande skattesats för beskattningsbar vinst mellan GBP 300 000 - GBP 1 500 000 till 30 procent. Skattesatsen är 30 procent för beskattningsbar vinst i intervallet

GBP 1 500 000 eller högre.

Olika metoder har utvecklats i syfte att utöver skattesatser ta hänsyn till de olikheter som gäller för exempelvis avdrags- och avskrivningsmöjligheter vid beräkning av skattepliktig inkomst. Den internationellt mest erkända metoden utvecklades av King och Fullerton år 1984. Metoden har senare vidareutvecklats av Devereux och Griffith (1999). Med denna metodik beräknas både genomsnittliga och marginella effektiva skatter. I diagram 3.12 visas beräkningsresultat för den genomsnittliga effektiva skattebelastningen (EATR) enligt denna metod för perioden 2001- 2005 i ett antal EU-länder.

88

Ds 2007:37

Entreprenörskap

EATR visar beskattning av de framtida vinsterna av en hypotetisk investeringsportfölj. Beräkningen av EATR görs utifrån vissa antaganden om en viss fördelning av investeringen på olika tillgångsslag (maskiner, inventarier, byggnader) och hur investeringen finansieras. Vidare görs antaganden om viss avkastning, inflation, realränta och tillgångarnas värdeminskningstakt. Dessa antaganden är desamma för alla länder vilket möjliggör en jämförelse av skattereglernas inverkan.

Utfallet av den här typen av beräkningar kan i relativt stor uträckning påverkas av gjorda antaganden. Skillnaden i EATR kan exempelvis vara avsevärd om investeringen finansieras fullt ut med ökad skuldsättning istället för som i denna beräkning med eget kapital.TPF65FPT Beräkningen gäller för aktiebolag där endast hänsyn tas till bolagsbeskattning, dvs. den personliga beskattningen av aktieutdelningar och förmögenhetsskatt ingår inte.

65TP FöretagensPT investeringar är ofta finansierade med eget kapital vilket innebär att antagandet om finansieringen i denna beräkning är relevant vid jämförelse av bolagsbeskattning i olika länder.

89

Entreprenörskap

Ds 2007:37

Diagram 3.12: Effektiv beskattning av aktiebolag (EATR), 2001-2005, procent

Irland Portugal Grekland Finland SVERIGE Österrike Storbritannien Norge Schweiz Nederländerna Frankrike Italien Spanien Australien Belgien Kanada USA Tyskland Japan

2005

2003

2001

0

5

10

15

20

25

30

35

Källa: Institute for Fiscal Studies (IFS).

Anm: I länder där olika skattesatser tillämpas för olika typer av företag används skatt för varuproducerande företag i beräkningen. Lokala skatter inkluderas om sådana finns. Andra tillkommande skatter inkluderas endast om de tillämpas generellt.

Av diagram 3.12 framgår att den effektiva genomsnittliga skattebelastningen är förhållandevis gynnsam i Sverige i en internationell jämförelse. Sverige ligger på 5:e plats bland de 19 länder för vilka beräkningarna genomförts år 2005. I Italien, som har nominellt hög skattesats, är den effektiva beskattningen inte så hög som den nominella skattesatsen antyder utan ligger på en nivå som ger en plats i mitten av länderfördelningen. Skälet för detta är inverkan av olika avdragsmöjligheter och den skattemässiga behandlingen av avskrivningar. En förnyad beräkning för år 2007 skulle förmodligen ändra rangordningen av länderna eftersom flera länder sänkt bolagsskattesatserna sedan år 2005. Av denna anledning är Sveriges internationella position i nuläget förmodligen inte fullt så gynnsam som diagram 3.12 visar eftersom bolagsskattesatsen om 28 procent i Sverige är densamma år 2007 som år 2005. Vidare är inte de baltiska staterna med i jämförelsen. Dessa länder har som visats i figur 3.5 mycket låga bolagsskattesatser.

90

Ds 2007:37

Entreprenörskap

3.8Aktiemarknad och riskkapital

En väl fungerade kapitalmarknad med en likvid aktiemarknad är mycket betydelsefull för finansieringen av företagen. En aktiemarknad präglad av god information från företagen bidrar till att öka möjligheterna till riskkapitalförsörjning.TPF66FPT Det sammantagna värdet av börsnoterade aktier i förhållande till BNP ger en bild av hur betydande aktiemarknaden är och kan även ses som en grov indikator på hur pass väl utvecklad kapitalmarknaden är. Det bör dock framhållas att det för många företag ofta är mer lämpligt att tillgodose kapitalförsörjningen på annat sätt än genom börsintroduktion. Detta kan t.ex. ske genom utökat delägarskap med emittering av fler aktier.

Aktiemarknadens betydelse för finansiering av företag varierar kraftigt mellan olika länder. Av tradition är företagsfinansiering med aktiekapital större i de anglosaxiska länderna och länder som exempelvis Schweiz och Luxemburg. Även i Finland och i viss mån Sverige spelar aktiemarknaden en betydande roll. Om aktiemarknaden har en mindre betydande roll kan det vara en indikation på att landets ekonomi är mindre utvecklad eller att kreditmarknaderna spelar en större roll för finansiering av företagen.TPF67FPT Aktiemarknadens omfattning mäts här som det sammanlagda värdet på aktier i börsnoterade inhemska bolag per den sista december varje år, s.k. marknadskapitalisering, i förhållande till BNP. Vissa marknadsinstrument exkluderas, t.ex. köprätter, konvertibler, optioner, terminer samt noterade utländska bolag.

I diagram 3.13 visas marknadskapitaliseringen som andel av BNP för tre treårsperioder under åren 1997 till 2005.

66TP RiskkapitalPT definieras som bundet eget kapital.

67TP KreditmarknadensPT mycket viktiga funktion för finansiering av företagen belyses inte i denna rapport.

91

Entreprenörskap

Ds 2007:37

Diagram 3.13: Marknadskapitalisering av aktier i förhållande till BNP, 1997-2005, medelvärden över tre år, kvot

Schweiz

Luxemburg 1)

Storbritannien

USA

Australien

Finland 2)

SVERIGE 2)

Spanien 3)

Japan

Korea

Grekland

Irland 4)

Danmark 2)

Norge

Italien

Tyskland

Nya Zeeland 1)

Österrike

2003-2005

2000-2002

1997-1999

0.0

0.5

1.0

1.5

2.0

2.5

3.0

Källa: World Federation of Exchanges och OECD.

1)Medelvärdet 1997-1999 avser för 1998-1999.

2)Medelvärdet 2003-2005 avser år 2003.

3)Medelvärdet 2000-2002 avser medelvärdet för 2000 och 2002.

4)Medelvärdet 1997-1999 avser medelvärdet för 1997-1998.

I diagram 3.13 kan utläsas att den högsta graden av marknadskapitalisering finns i Schweiz. Sverige återfinns på 7:e plats bland de 18 länderna. Genom att aktier i många bolag blev övervärderade inom IKT-sektorn i början av detta decennium för att därefter komma ned till en mer rimlig värdering har marknadskapitaliseringen sjunkit 2003-2005 jämfört med treårsperioden innan dessförinnan. Detta gäller även i Sverige.

För nya och små företag råder andra förutsättningar för kapitalförsörjningen än för större etablerade företag. I det inledande skedet då företag startas kan det vara mycket svårt för en entreprenör att lösa företagets finansieringsbehov med eget kapital och krediter. Det finns flera skäl för detta bl.a. kan risknivån bedömas som hög och informationen om företaget eller affärsidén kan bedömas som svårtillgänglig. I Sverige och i många andra länder finns därför offentliga system för kapitalförsörjning för att minska bristen på kapital. I Sverige är Industrifonden och Innovationsbron de största aktörerna för tillskott av offentligt

92

Ds 2007:37

Entreprenörskap

ägarkapital. De största aktörerna för statligt lånekapital är ALMI och Norrlandsfonden.

Nedan visas internationella jämförelser av omfattningen av riskkapitalinvesteringar. Med riskkapitalinvestering menas här investeringar av riskkapitalbolag i företag som inte är börsnoterade. Uppköp av företag och handel med noterade aktier är exkluderade. I diagram 3.14 och 3.15 visas omfattningen av dessa investeringar fördelat på två olika faser vid start av företag i olika länder. Den första fasen är tidiga kommersiella skeden som består av såddfinansiering och investeringar i uppstartsfasen.TPF68FPT Den andra fasen är expansionsskedet. Med expansionsskedet menas företag vars verksamhet redan är igång och som har för avsikt att expandera.TPF69FPT

Riskkapitalbolagens investeringar är förhållandevis små i alla jämförda länder jämfört med riskkapitalplaceringarna i börsnoterade aktier. År 2006 uppgick de till 1,3 miljarder kronor i ”tidiga kommersiella skeden” och till 2,8 miljarder kronor i ”expansionsskeden”.

Under perioden 1998-2006 ökade tillgången till riskkapital från riskkapitalbolagen sammantaget i EU-länderna. Den ökande tillgången under senare delen av 1990-talet sammanhänger bl.a. med börsernas utveckling med stark värdeökning av IT-företag. Genom börsernas starka uppgång placerades mer riskkapital även i företag i ”tidiga kommersiella skeden” och företag i ”expansionsskeden” och då i stor utsträckning i IT-företag.

Tillgången på riskkapital ökade under denna period även som följd av att institutionella placerare fick större möjligheter till spridning av innehaven och kunde därmed även investera i fonder som hade engagemang i småföretag. Detta var ett internationellt fenomen och stora utländska finansiella placeringar skedde även i Sverige.

68TP PT Såddfinansiering definieras som finansiering till att utveckla ett koncept eller produkt innan det når uppstartsfasen. Investeringar i uppstartsfasen definieras som finansiering till bl.a. produktutveckling och inledande marknadsföring. Företaget är i begrepp att startas eller har just startats utan att ännu ha sålt sin produkt kommersiellt.

69TP PT Expansionsskeden består av expansion + ersättningskapital. Expansion definieras som finansiering för tillväxt och expansion i ett företag vars verksamhet kan täcka sina kostnader eller går med vinst. Tillskottet av kapital kan användas till bl.a. att öka produktionskapaciteten eller produktutveckling. Ersättningskapital definieras som köp av existerande aktier i ett företag där säljaren är en annan privat investerare. Även tillskott av kapital för att lösa banklån ingår.

93

Entreprenörskap

Ds 2007:37

Diagram 3.14: Privat riskkapital från riskkapitalbolag 1998- 2006, tidiga kommersiella skeden, andel av BNP, procent

Storbritannien SVERIGE Danmark USA Finland Frankrike Portugal Schweiz Norge Irland Belgien Spanien Tyskland Österrike

Nederländerna Italien Grekland EU15

2004-2006

2001-2003

1998-2000

0.00

0.05

0.10

0.15

0.20

Källa: Eurostat, Structural indicators.

Av diagram 3.14 kan utläsas att riskkapitalinvesteringarna i tidiga skeden utgör en liten andel av BNP i alla jämförda länder.

Sverige hade de näst största riskkapitalinvesteringarna i tidiga skeden i förhållande till BNP bland jämförda länder 2004-2006. På första plats låg Storbritannien. Sveriges position bland länderna har förbättrats sedan perioden 1998-2000. Även Danmark och Finland har förhållandevis höga riskkapitalinvesteringar i tidiga skeden jämfört med andra länder i Europa.

94

Ds 2007:37

Entreprenörskap

Diagram 3.15: Privat riskkapital från riskkapitalbolag 1998- 2006, expansionsskeden, andel av BNP, procent

Storbritannien SVERIGE Danmark USA Nederländerna Spanien Norge Belgien Frankrike Portugal Schweiz Finland Italien Österrike Tyskland Irland Grekland EU15

2004-2006

2001-2003 1998-2000

0.00

0.10

0.20

0.30

0.40

0.50

Källa: Eurostat, Structural indicators.

Av diagram 3.15 framgår att Sverige ligger på andra plats efter Storbritannien när det gäller riskkapitalinvesteringar i expansionsskeden 2004-2006. Även här har Sveriges position bland länderna förbättrats sedan perioden 1998-2000.

Som ovan nämnts är riskkapitalbolagens investeringar i onoterade bolag förhållandevis små i alla jämförda länder. Investeringsvillkoren i mindre företag sammanhänger med en mängd olika faktorer, bl.a. beskattningen av avkastning på investeringar. Regeringen har gett i uppdrag åt en särskild utredare att utvärdera de skattemässiga regelverken för enskilda näringsidkare, för ägare till andelar i aktiebolag som är kvalificerade enligt 3:12-reglerna samt för ägare till övriga andelar. Uppdraget syftar bl.a. till att belysa den skattemässiga neutraliteten för olika finansieringsformer.

95

4Innovationer, forskning och utveckling

Innovationer, forskning och utveckling har fått en allt större betydelse för den ekonomiska tillväxten och är idag av strategisk betydelse för näringslivet. Innovationer, forskning och utveckling har även stor betydelse för en framtida hållbar utveckling.

Inom EU betraktas insatser för ökad kunskap som centrala för att EU ska kunna nå det strategiska målet att bli världens mest konkurrenskraftiga kunskapsbaserade ekonomi år 2010. Strategier för ökad kunskap delas in i tre olika delar, utbildning, innovationer och forskning.TPF70FPT Inom EU har ramprogram utarbetats både för innovationer (Ramprogram för konkurrenskraft och innovation) och för forskning (Ramprogrammet för forskning, utveckling och demonstration). En målsättning är att öka satsningarna på forskning och utveckling (FoU) i Europa. Sedan 2002 har målsättningen varit att FoU-utgifterna inom EU ska uppgå till 3 procent av BNP år 2010.

I Sverige definieras målen för innovationer och forskning också var för sig. Det finns dock tydliga kopplingar mellan de båda genom att innovationer bygger på ökad kunskap som utvecklas genom bl.a. forskning. Regeringens mål inom verksamhetsområdet innovationer och förnyelse är ökad kunskap och kompetens så att tillväxt, innovationer och företagsutveckling stimuleras. Ett mål för forskningspolitiken är att Sverige skall vara en ledande forskningsnation där forskning bedrivs med hög vetenskaplig kvalitet.

Detta kapitel belyser forskning och utveckling i ett näringslivsorienterat perspektiv och innovationer som en form av resultat av forskning och utveckling. Begreppet innovationer kan användas i många sammanhang som uttryck för förnyelse av

70TP PT Utbildning berörs i kapitel 5.

97

Innovationer, forskning och utveckling

Ds 2007:37

aktiviteter. Här används begreppet med avseende på förnyelse inom näringslivet.

4.1Indikatorer

De valda indikatorerna inom forskning och utveckling (FoU) belyser både insatser och resultat. Samtidigt bör det påpekas att sambandet mellan insatser och resultat är komplext. För det första finns en tidsförskjutning mellan insatser och resultat. Det kan ta lång tid innan insatser börjar ge resultat. För det andra är inte sambandet mellan insatser och resultat avgränsat nationellt. Ett land kan i sin produktion dra nytta av forskningsresultat som har producerats i andra länder. Alla forskningsprojekt leder inte till kommersiell framgång och många FoU-insatser ger resultat som inte är förväntade.

Som en indikation på resultat av FoU-arbetet är det vanligt att man tittar på omfattning av patent och publicerade artiklar. Forskningsresultat som på något sätt används i produktionen av varor och tjänster kan betraktas som ett uttryck för ekonomisk nytta av forskning. Därför inkluderar redovisningen även indikatorer på framtagande av nya produkter och andel högteknologisk produktion.

Inputindikatorer

FoU-utgifter som andel av BNP, uppdelat på näringsliv och offentlig sektor

Forskare bland sysselsatta

Outputindikatorer – produktion av ny kunskapTPF71FPT

Antal patentansökningar, European Patent Office (EPO)

Antal godkända patentansökningar, United States Patent and Trademark Office (USPTO)

Publicerade artiklar

Outputindikatorer – innovativa företag och export

Andel innovativa företag

Andel av företagens omsättning från nya produkter

Förädlingsvärde i högteknologisk industri

Export av högteknologiska produkter

71TP PT Dessa tre indikatorer mäts i relation till befolkningens storlek i respektive land.

98

Ds 2007:37

Innovationer, forskning och utveckling

4.1.1Sveriges position och slutsatser

Samtliga indikatorer i detta kapitel sammanfattas i figur 4.1. Figur 4.1 är konstruerad så att det sämsta landets resultat placeras i centrum och det bästa landets resultat placeras i yttersta änden av spindeldiagrammet för respektive indikator, dvs. resultaten är normaliserade. De bästa resultaten för alla indikatorer sammanbinds med den streckade yttre linjen i figuren även om det rör sig om olika länder. Utöver de bästa och sämsta resultaten indikeras även Sveriges och medianlandets resultat för respektive indikator i spindeldiagrammet. Sveriges position sammanbinds med en orange linje, medan medianvärdet för länderna sammanfogas till en ljusgrå mängd. Efter varje indikatornamn i figurerna anges Sveriges placering bland länderna samt, inom parentes, hur många länder som ingår i jämförelsen. Eftersom avståndet mellan det bästa och det sämsta resultatet bland länderna är normaliserat, får man av spindeldiagrammet även en uppfattning om avståndet mellan Sverige, topplandet, medianlandet och det sämst placerade landet för respektive indikator.

Figur 4.1: Indikatorer över FoU - översikt

 

 

FoU-utgifter 1 ( 24 )

 

Högtekn. export 10 ( 23 )

 

 

Forskare 2 ( 22 )

Förädlingsvärde i högtekn.

 

 

Patent EPO 3 ( 24 )

industri 7 ( 22 )

 

 

 

 

 

 

Innovativ omsättning 2 ( 13 )

 

 

Patent USPTO 5 ( 24 )

 

Innovativa företag 7 ( 17 )

Publiceringar 2 ( 23 )

 

 

 

 

 

 

 

Toppland

 

Medianland

Sverige

 

 

 

 

 

 

 

 

 

 

 

 

 

Källa: se respektive indikator.

Sverige är det OECD-land som har de största FoU-utgifterna i förhållande till BNP. FoU-satsningarna har emellertid minskat

99

Innovationer, forskning och utveckling

Ds 2007:37

något de senaste åren. Samtidigt visar indikatorerna för resultat av FoU i Sverige en högre nivå än de flesta andra OECD-länder även om Sverige inte ligger i topp på någon av dem.

I förhållande till topplandet har Sverige klart färre patent per capita medan antalet publicerade artiklar är i paritet med topplandet. När det gäller patent i Europa sticker topplandet Schweiz ut med betydligt fler patent per capita än både Tyskland, Sverige och Finland. På den nordamerikanska marknaden är det USA och Japan som har flest patent per capita.

När det gäller resultat av FoU i form av företagens produktion och försäljning saknas det entydiga mått. Ett fåtal indikatorer kan dock vara av intresse att jämföra mellan olika länder. Sverige har en relativt god totalfaktorproduktivitetstillväxt, vilket indikerar god förmåga till förnyelse och effektiviseringar. Även arbetsproduktivitetstillväxten är mycket hög i Sverige i ett internationellt perspektiv.

Andelen svenska företag med innovationsverksamhet ligger nära genomsnittet i länderjämförelsen. Omsättningen från nya produkter i dessa företag är dock mer betydande i Sverige än i de flesta andra jämförda länder. Sverige har en stor del av förädlingsvärdet förlagt till den hög- och medelteknologiska industrin, medan exporten av högteknologiska produkter ligger på medelnivå i jämförelse med andra OECD-länder.

Eftersom FoU-satsningar är av central betydelse för innovationer och konkurrenskraft har regeringen tillfört ytterligare medel till svensk universitetsforskning.

4.2Satsningar på forskning och utveckling

För att företagen ska behålla eller förbättra sin konkurrenskraft är det viktigt att varor och tjänster kontinuerligt utvecklas och förbättras. Det är därför av stor vikt att det avsätts resurser för sådan verksamhet. Satsningar på FoU lyfts därför ofta fram som en viktig faktor för hållbar ekonomisk utveckling. Genom ökad kunskap samt förbättrade produkter och produktionsprocesser uppkommer effektivitetsvinster. Effektivitetsvinsterna av FoU innebär ökad arbets- och totalfaktorproduktivitet. Detta stöds av

en

omfattande

ekonomisk

72

 

forskningslitteratur.TPF FPT

 

 

 

 

 

72

 

 

 

 

TP PT Congressional Budget Office (2005)

 

 

100

Ds 2007:37

Innovationer, forskning och utveckling

Totalfaktorproduktivitet visas i kapitel 2 i denna rapport, figur 2.12.

FörT att stärka den svenska forskningen har regeringen ökat resurserna till universitetsforskningen med 200 miljoner för 2007. Vidare förstärks forskningsresurserna ytterligare med sammanlagt 700 miljoner kronor under 2008 och 2009.

Vinnova har sedan 2005 drivit projektet Forska och Väx som bidrar med ekonomiskt stöd till forsknings- och utvecklingsprojekt i små och medelstora företag. De tidiga utvärderingar som genomförts har visat på positiva effekter i form av bland annat ökad sysselsättning och höjd kunskapsnivå hos de företag som mottagit projektmedel. På grund av de positiva resultaten har regeringen avsatt 100 miljoner per år till Vinnova för att fortsätta dessa satsningar.

De svenska industriforskningsinstituten arbetar med forskning och utveckling som utgår från näringslivets behov. De har också betydelse för näringslivets konkurrenskraft genom sin kompetens inom internationella samarbeten samt genom att bidra till forskarrörligheten mellan akademi och näringsliv. Regeringens uppfattning är att instituten bör spela en större roll för att stärka Sverige som kunskapsnation och bidra till att kunskap i större utsträckning nyttiggörs i Sverige. År 2008 kommer därför instituten att tillföras ytterligare 65 miljoner kronor.

4.3Utgifter för forskning och utveckling

I syfte att visa hur mycket som satsas på FoU inleds den internationella jämförelsen i detta kapitel med en jämförelse av de totala FoU-utgifterna, se diagram 4.1. De totala FoU-utgifterna mäts som andel av BNP och är uppdelade i offentliga utgifter och näringslivets utgifter.

Av diagram 4.1 framgår att de totala FoU-utgifterna som andel av BNP varit högst i Sverige bland OECD-länderna under alla studerade perioder. FoU-utgifterna i Sverige var 3,9 procent av BNP år 2005, vilket är mer än de 3 procent som anges i målet för EU. Även Finland och Japan hade FoU-utgifter 2005 som översteg EU:s mål. Från 1997 fram till 2001 steg FoU-utgifterna kraftigt i Sverige. Mellan 2001 och 2005 har FoU-utgifterna emellertid fallit tillbaka. Även OECD som helhet hade en tydlig ökning mellan 1997 och 2001 för att sedan minska marginellt fram till 2005.

101

Innovationer, forskning och utveckling

Ds 2007:37

Diagram 4.1: Näringslivets FoU-utgifter och offentliga FoU- utgifter som andel av BNP år 1997, 2001 och 2005, procent

SVERIGE

 

 

 

 

 

 

 

 

 

Finland

 

 

 

 

 

 

 

 

 

Japan

 

 

 

 

 

 

 

 

 

Korea

 

 

 

 

 

 

 

 

 

Schweiz 1) 2) 4) 5) 6) 7)

 

 

 

 

 

 

 

 

 

Island 3)

 

 

 

 

 

 

 

 

 

USA

 

 

 

 

 

 

 

 

 

Tyskland

 

 

 

 

 

 

 

 

 

Danmark

 

 

 

 

 

 

 

 

 

Österrike 8)

 

 

 

 

 

2005

 

 

 

 

 

 

 

 

 

 

 

 

Frankrike

 

 

 

 

 

2001

 

 

 

 

 

 

 

 

 

 

 

 

Kanada

 

 

 

 

 

1997

 

 

 

Belgien

 

 

 

 

 

 

 

 

 

 

 

 

 

 

 

 

 

Nederländerna 2)

 

 

 

 

 

 

 

 

 

Storbritannien

 

 

 

 

 

 

 

 

 

Australien 1) 2) 5) 7)

 

 

 

 

 

 

 

 

 

Luxemburg 4)

 

 

 

 

 

 

 

 

 

Norge

 

 

 

 

 

 

 

 

 

Irland

 

 

 

 

 

 

 

 

 

Nya Zeeland 3)

 

 

 

 

 

 

 

 

 

Spanien

 

 

 

 

Näringslivets FoU-utgifter

Italien 2)

 

 

 

 

Offentliga FoU-utgifter

 

Portugal

 

 

 

 

 

 

 

 

 

 

 

 

 

 

Grekland

 

 

 

 

 

 

 

 

 

EU15

 

 

 

 

 

 

 

 

 

OECD

 

 

 

 

 

 

 

 

 

0.0

0.5

1.0

1.5

2.0

2.5

3.0

3.5

4.0

4.5

Källa: OECD Main Science and Technology Indicators 2007-1.

Anm: Näringslivets utgifter motsvaras av Business Enterprise Expenditure on R&D. Offentliga utgifter är en sammanslagning av Higher Education Expenditure on R&D och Government Expenditure on R&D.

1)Näringslivets FoU-utgifter 2005 avser år 2004.

2)Offentliga FoU-utgifter 2005 avser år 2004.

3)2005 avser år 2003.

4)Näringslivets FoU-utgifter 2001 avser år 2000.

5)Offentliga FoU-utgifter 2001 avser år 2000.

6)Näringslivets FoU-utgifter 1997 avser år 1996.

7)Offentliga FoU-utgifter 1997 avser år 1996

8)2001 avser år 2002 och 1997 avser år 1998.

Näringslivets utgifter för FoU har minskat från 3,3 procent av BNP år 2001 till 2,9 procent 2005 i Sverige. Sveriges näringsliv har trots denna minskning de klart högsta FoU-utgifterna som andel av BNP bland de jämförda OECD-länderna. Nedgången i det svenska näringslivets FoU-utgifter kan till stor del förklaras av minskade forskningsresurser i branscherna el- tele- och

102

Ds 2007:37

Innovationer, forskning och utveckling

optikprodukter. I ungefär hälften av de jämförda länderna, däribland Sverige, har näringslivets FoU-utgifter minskat som andel av BNP mellan 2001 och 2005. Även OECD-genomsnittet har minskat marginellt.

FoU-verksamheten i Sverige är i hög grad koncentrerad till ett fåtal företag och till några få branscher. Företag med 500 anställda eller fler står för 74 procent av företagssektorns totala utgifter för FoU och de 20 mest FoU-intensiva företagen står för 62 procent av företagssektorns totala FoU-utgifter.TPF73FPT I Sverige är de små företagens andel av företagens FoU-utgifter 8 procent, vilket är nära genomsnittet bland länderna i tabell 4.1. Ställer man de små företagens FoU-utgifter i relation till BNP är de högre i Sverige än i andra europeiska länder eftersom de totala FoU-utgifterna i företagssektorn är högre, se tabell 4.1.

Tabell 4.1 Företagssektorns FoU-utgifter 2005 som andel av BNP, procent

 

Små företag

Hela företagssektorn

SVERIGE

0,24

2,88

Danmark

0,19

1,78

Finland

0,17

2,47

Norge

0,17

0,70

Belgien

0,16

1,31

Irland

0,15

0,78

Schweiz

0,15

2,16

Österrike

0,11

1,51

Nederländerna

0,08

1,01

Storbritannien

0,05

1,14

Tyskland

0,03

1,79

Källa: SCB Forskning och utveckling i Sverige – En översikt, Statistiska meddelanden, UF 16 SM 0701.

Anm: Små företag avser företag med 10-49 anställda. Irland och Schweiz avser år 2004. Belgien, Danmark, Tyskland, Nederländerna, Österrike och Storbritannien avser år 2003.

I Sverige har de offentliga FoU-utgifterna ökat något mellan 2001 och 2005. När det gäller de offentliga FoU-utgifterna placerar sig Sverige på en andraplats i länderjämförelsen efter Island.

73TP SCBPT (2007b).

103

Innovationer, forskning och utveckling

Ds 2007:37

4.4Forskare bland sysselsatta

Förekomsten av forskare bland sysselsatta är en indikator på FoU- intensiteten i sysselsättningen och, i förlängningen, i produktionen.

Diagram 4.2: Antal forskare per 1 000 i sysselsatta, år 1997, 2001 och 2005

Finland

 

 

 

 

 

 

 

 

 

 

 

 

 

 

 

 

 

 

 

 

 

 

 

 

 

 

 

 

 

 

 

 

 

 

 

 

 

 

 

 

SVERIGE

 

 

 

 

 

 

 

 

 

 

 

 

 

 

 

 

 

 

 

 

 

 

 

 

 

 

 

 

 

 

 

 

 

 

 

 

 

 

 

 

 

 

 

 

 

 

 

 

 

 

 

 

 

 

 

 

 

 

 

 

 

 

 

 

 

 

 

 

 

 

 

 

 

 

 

 

 

 

 

 

 

 

 

 

 

 

 

 

 

 

 

 

 

 

 

 

 

 

 

 

 

 

 

 

 

 

 

 

 

 

 

 

 

 

 

 

 

 

 

 

Japan

 

 

 

 

 

 

 

 

 

 

 

 

 

 

 

 

 

 

 

 

 

 

 

 

 

 

 

 

 

 

 

 

 

 

 

 

 

 

 

 

 

 

 

 

 

 

 

 

 

 

 

 

 

 

 

 

 

 

 

 

 

 

 

 

 

 

 

 

 

 

 

 

 

 

 

 

 

 

 

 

Nya Zeeland 1)

 

 

 

 

 

 

 

 

 

 

 

 

 

 

 

 

 

 

 

 

 

 

 

 

 

 

 

 

 

 

 

 

 

 

 

 

 

 

 

 

 

 

 

 

 

 

 

 

 

 

 

 

 

 

 

 

 

 

 

 

 

 

 

 

 

 

 

 

 

 

 

 

 

 

 

 

 

 

 

 

Danmark

 

 

 

 

 

 

 

 

 

 

 

 

 

 

 

 

 

 

 

 

 

 

 

 

 

 

 

 

 

 

 

 

 

 

 

 

 

 

 

 

 

 

 

 

 

 

 

 

 

 

 

 

 

 

 

 

 

 

 

 

 

 

 

 

 

 

 

 

 

 

 

 

 

 

 

 

 

 

 

 

USA

 

 

 

 

 

 

 

 

 

 

 

 

 

 

 

 

 

 

 

 

 

 

 

 

 

 

 

 

 

 

 

 

 

 

 

 

 

 

 

 

 

 

 

 

 

 

 

 

 

 

 

 

 

 

 

 

 

 

 

 

 

 

 

 

 

 

 

 

 

 

 

 

 

 

 

 

 

 

 

 

Norge

 

 

 

 

 

 

 

 

 

 

 

 

 

 

 

 

 

 

 

 

 

 

 

 

 

 

 

 

 

 

 

 

 

 

 

 

 

 

 

 

 

 

 

 

 

 

 

 

 

 

 

 

 

 

 

 

 

 

 

 

 

 

 

 

 

 

 

 

 

 

 

 

 

 

 

 

 

 

 

 

Australien 2) 3) 5)

 

 

 

 

 

 

 

 

 

 

 

 

 

 

 

 

 

 

 

 

 

 

 

 

 

 

 

 

 

 

 

 

 

 

 

 

 

 

 

 

 

 

 

 

 

 

 

 

 

 

 

 

 

 

 

 

 

 

 

 

 

 

 

 

 

 

 

 

 

 

 

 

 

 

 

 

 

 

 

 

Frankrike 2)

 

 

 

 

 

 

 

 

 

 

 

 

 

 

 

 

 

 

 

 

 

 

 

 

 

 

 

 

 

 

 

 

 

 

 

 

 

 

 

 

 

 

 

 

 

 

 

 

 

 

 

 

 

 

 

 

 

 

 

 

 

 

 

 

 

 

 

 

 

 

 

 

 

 

 

 

 

 

 

 

Korea

 

 

 

 

 

 

 

 

 

 

 

 

 

 

 

 

 

 

 

 

 

 

 

 

 

 

 

 

 

 

 

 

 

 

 

 

 

 

 

 

 

 

 

 

 

 

 

 

 

 

 

 

 

 

 

 

 

 

 

 

 

 

 

 

 

 

 

 

 

 

 

 

 

 

 

 

 

 

 

 

Kanada 2)

 

 

 

 

 

 

 

 

 

 

 

 

 

 

 

 

 

 

 

 

 

 

 

 

 

 

 

 

 

 

 

 

 

 

 

 

 

 

 

 

 

 

 

 

 

 

 

 

 

 

 

 

 

 

 

 

 

 

 

 

 

 

 

 

 

 

 

 

 

 

 

 

 

 

 

 

 

 

 

 

Belgien

 

 

 

 

 

 

 

 

 

 

 

 

 

 

 

 

 

 

 

 

 

 

 

 

 

 

 

 

 

 

 

 

 

 

 

 

 

 

 

 

 

 

 

 

 

 

 

 

 

 

 

 

 

 

 

 

 

 

 

 

 

 

 

 

 

 

 

 

 

 

 

 

 

 

 

 

 

 

 

 

Tyskland

 

 

 

 

 

 

 

 

 

 

 

 

 

 

 

 

 

 

 

 

 

 

 

 

 

 

 

 

 

 

 

 

 

 

 

 

 

 

 

 

 

 

 

 

 

 

 

 

 

 

 

 

 

 

 

 

 

 

 

 

 

 

 

 

 

 

 

 

 

 

 

 

 

 

 

 

 

 

 

 

Luxemburg 3)

 

 

 

 

 

 

 

 

 

 

 

 

 

 

 

 

 

 

 

 

 

 

 

 

 

 

 

 

 

 

 

 

 

 

 

 

 

 

 

 

 

 

 

 

 

 

 

 

 

 

 

 

 

 

 

 

 

 

 

 

 

 

 

 

 

 

 

 

 

 

 

 

 

 

 

 

 

 

 

 

Österrike 4) 6)

 

 

 

 

 

 

 

 

 

 

 

 

 

 

 

 

 

 

 

 

 

 

 

 

 

 

 

 

 

 

 

 

 

 

 

 

 

 

 

 

 

 

 

 

 

 

 

 

 

 

 

 

 

 

 

 

 

 

 

 

 

 

 

 

 

 

 

 

 

 

 

 

 

 

 

 

 

 

 

 

Schweiz 2) 3) 5)

 

 

 

 

 

 

 

 

 

 

 

 

 

 

 

 

 

 

 

 

 

 

 

 

 

 

 

 

 

 

 

 

 

 

 

 

 

 

 

 

 

 

 

 

 

 

 

 

 

 

 

 

 

 

 

 

 

 

 

 

 

 

 

 

 

 

 

 

 

 

 

 

 

 

 

2005

 

 

Irland

 

 

 

 

 

 

 

 

 

 

 

 

 

 

 

 

 

 

 

 

 

 

 

 

 

 

 

 

 

 

 

 

 

 

 

 

 

 

 

 

 

 

 

 

 

 

 

 

 

 

 

 

 

 

 

 

 

 

 

 

 

 

 

 

 

 

 

 

 

 

 

 

2001

 

 

Spanien

 

 

 

 

 

 

 

 

 

 

 

 

 

 

 

 

 

 

 

 

 

 

 

 

 

 

 

 

 

 

 

 

 

 

 

 

 

 

 

 

 

 

 

 

 

 

 

 

 

 

 

 

 

 

 

 

 

 

 

 

 

 

 

 

 

 

 

 

 

 

 

 

 

 

Nederländerna 1)

 

 

 

 

 

 

 

 

 

 

 

 

 

 

 

 

 

 

 

 

 

 

 

 

 

 

 

 

 

 

 

 

 

 

 

1997

 

 

 

 

 

 

 

 

 

 

 

 

 

 

 

 

 

 

 

 

 

 

 

 

 

 

 

 

 

 

 

 

 

 

 

 

 

 

 

 

 

 

 

 

 

 

 

 

 

 

 

 

 

 

 

 

 

 

 

 

 

 

 

 

 

 

 

 

 

 

 

 

 

 

 

 

Portugal

 

 

 

 

 

 

 

 

 

 

 

 

 

 

 

 

 

 

 

 

 

 

 

 

 

 

 

 

 

 

 

 

 

 

 

 

 

 

 

 

 

 

 

 

 

 

 

 

 

 

 

 

 

 

 

 

 

 

 

 

 

 

 

 

 

 

 

 

 

 

 

 

 

 

 

 

 

 

 

 

 

 

 

 

 

 

 

 

 

 

 

 

 

 

 

 

 

 

 

 

 

 

 

 

 

 

 

 

 

 

 

 

 

 

 

 

 

Grekland

 

 

 

 

 

 

 

 

 

 

 

 

 

 

 

 

 

 

 

 

 

 

 

 

 

 

 

 

 

 

 

 

 

 

 

 

 

 

 

 

 

 

 

 

 

 

 

 

 

 

 

 

 

 

 

 

 

 

 

 

 

 

 

 

 

 

 

 

 

 

 

 

 

 

 

 

 

 

 

 

Italien 2)

 

 

 

 

 

 

 

 

 

 

 

 

 

 

 

 

 

 

 

 

 

 

 

 

 

 

 

 

 

 

 

 

 

 

 

 

 

 

 

 

 

 

 

 

 

 

 

 

 

 

 

 

 

 

 

 

 

 

 

 

 

 

 

 

 

 

 

 

 

 

 

 

 

 

 

 

 

 

 

 

EU15 2)

 

 

 

 

 

 

 

 

 

 

 

 

 

 

 

 

 

 

 

 

 

 

 

 

 

 

 

 

 

 

 

 

 

 

 

 

 

 

 

 

 

 

 

 

 

 

 

 

 

 

 

 

 

 

 

 

 

 

 

 

 

 

 

 

 

 

 

 

 

 

 

 

 

 

 

 

 

 

 

 

OECD

 

 

 

 

 

 

 

 

 

 

 

 

 

 

 

 

 

 

 

 

 

 

 

 

 

 

 

 

 

 

 

 

 

 

 

 

 

 

 

 

 

 

 

 

 

 

 

 

 

 

 

 

 

 

 

 

 

 

 

 

 

 

 

 

 

 

 

 

 

 

 

 

 

 

 

 

 

 

 

 

 

 

 

 

 

 

 

 

 

 

 

 

 

 

 

 

 

 

0

2

4

 

 

6

8

 

10

12

14

16

 

18

Källa: Main Science and Technology Indicators 2007-1.

1)2005 avser år 2003.

2)2005 avser år 2004.

3)2001 avser år 2000.

4)2001 avser år 2002.

5)1997 avser år 1996.

6)1997 avser år 1998.

Av diagram 4.2 framgår att Sverige har många forskare bland de sysselsatta i jämförelse med andra OECD-länder.TPF74FPT År 2005 hade Sverige 12,5 forskare per tusen sysselsatta. Antalet forskare var

74TP OECDPT definierar forskare som ”professionals engaged in the conception and creation of new knowledge, products, processes, methods and systems and are directly involved in the management of projects. For those countries that compile data by qualification only, data on university graduates employed in R&D are used as a proxy”. Källa: OECD (2005a).

104

Ds 2007:37

Innovationer, forskning och utveckling

endast högre i Finland, som hade det klart högsta antalet med över 16 forskare per tusen sysselsatta.

Förekomsten av forskare bland sysselsatta har ökat i merparten av de jämförda länderna både mellan 1997 och 2001 och mellan 2001 och 2005. Ökningen var störst i Finland, Nya Zeeland, Danmark, Sverige och Korea. I dessa länder ökade antalet forskare med fler än 3 forskare per 1000 sysselsatta mellan åren 1997 och 2005.

4.5Patent

Antalet patent används ofta som ett mått på resultatet av ett lands FoU-arbete. Sambandet mellan utveckling av ny kunskap och patentansökningar är inte entydigt eftersom olika företag har olika strategier när det gäller patentering. Vissa företag kan välja att inte söka patent för att hålla viss kunskap hemlig, medan andra företag kan söka patent bara för att blockera aktiviteter hos konkurrenter.

I de två följande diagrammen visas statistik på antalet patent. I diagram 4.3 finns uppgifter på antal patentansökningar till European Patent Office (EPO), och i diagram 4.4 visas antal godkända patentansökningar till United States Patent and Trademark Office (USPTO). I båda fallen relateras antalet patentansökningar till befolkningen.

Rangordningen för vissa länder skiljer sig betydligt beroende på vilken patentkälla man använder. Det styrs till stor del av geografiska faktorer och handelsmönster. Det är framför allt rangordningen för USA, Kanada, Korea och Japan som är högre när det gäller USPTO-patent istället för EPO-patent och för de europeiska länderna råder motsatt förhållande.

I diagram 4.3 och 4.4 visas att Sverige placerar sig på tredje respektive femte plats i länderjämförelsen. Schweiz placerar sig före Sverige både när det gäller EPO-patent och USPTO-patent. När det gäller EPO-patent har även Tyskland haft fler patentansökningar per invånare och när det gäller godkända USPTO-patent har USA, Japan och Finland haft betydligt fler än Sverige.

När det gäller EPO-patent har samtliga fem toppländer, däribland Sverige, ökat antalet patentansökningar mellan 2002 och 2005.

105

Innovationer, forskning och utveckling

Ds 2007:37

Diagram 4.3: Antal patentansökningar till European Patent Office (EPO) per miljoner invånare, år 1999-2005

Schweiz

 

 

 

 

 

 

 

 

 

 

 

 

 

 

 

 

 

 

 

 

 

 

 

 

 

 

 

 

 

 

 

 

 

 

 

 

 

 

 

 

 

 

 

 

 

 

Tyskland

 

 

 

 

 

 

 

 

 

 

 

 

 

 

 

 

 

 

 

 

 

 

 

 

 

 

 

 

 

 

 

 

 

 

 

 

 

 

 

 

 

 

 

 

 

 

 

 

 

 

 

 

 

 

 

 

 

 

 

 

 

 

 

 

 

 

 

 

 

 

 

 

 

 

 

 

 

 

 

 

 

 

 

 

 

 

 

 

 

 

 

 

SVERIGE

 

 

 

 

 

 

 

 

 

 

 

 

 

 

 

 

 

 

 

 

 

 

 

 

 

 

 

 

 

 

 

 

 

 

 

 

 

 

 

 

 

 

 

 

 

 

 

 

 

 

 

 

 

 

 

 

 

 

 

 

 

 

 

 

 

 

 

 

 

 

 

 

 

 

 

 

 

 

 

 

 

 

 

 

 

 

 

 

 

 

 

 

Finland

 

 

 

 

 

 

 

 

 

 

 

 

 

 

 

 

 

 

 

 

 

 

 

 

 

 

 

 

 

 

 

 

 

 

 

 

 

 

 

 

 

 

 

 

 

 

 

 

 

 

 

 

 

 

 

 

 

 

 

 

 

 

 

 

 

 

 

 

 

 

 

 

 

 

 

 

 

 

 

 

 

 

 

 

 

 

 

 

 

 

 

 

Luxemburg

 

 

 

 

 

 

 

 

 

 

 

 

 

 

 

 

 

 

 

 

 

 

 

 

 

 

 

 

 

 

 

 

 

 

 

 

 

 

 

 

 

 

 

 

 

 

 

 

 

 

 

 

 

 

 

 

 

 

 

 

 

 

 

 

 

 

 

 

 

 

 

 

 

 

 

 

 

 

 

 

 

 

 

 

 

 

 

 

 

 

 

 

Nederländerna

 

 

 

 

 

 

 

 

 

 

 

 

 

 

 

 

 

 

 

 

 

 

 

 

 

 

 

 

 

 

 

 

 

 

 

 

 

 

 

 

 

 

 

 

 

 

 

 

 

 

 

 

 

 

 

 

 

 

 

 

 

 

 

 

 

 

 

 

 

 

 

 

 

 

 

 

 

 

 

 

 

 

 

 

 

 

 

 

 

 

 

 

Österrike

 

 

 

 

 

 

 

 

 

 

 

 

 

 

 

 

 

 

 

 

 

 

 

 

 

 

 

 

 

 

 

 

 

 

 

 

 

 

 

 

 

 

 

 

 

 

 

 

 

 

 

 

 

 

 

 

 

 

 

 

 

 

 

 

 

 

 

 

 

 

 

 

 

 

 

 

 

 

 

 

 

 

 

 

 

 

 

 

 

 

 

 

Japan

 

 

 

 

 

 

 

 

 

 

 

 

 

 

 

 

 

 

 

 

 

 

 

 

 

 

 

 

 

 

 

 

 

 

 

 

 

 

 

 

 

 

 

 

 

 

 

 

 

 

 

 

 

 

 

 

 

 

 

 

 

 

 

 

 

 

 

 

 

 

 

 

 

 

 

 

 

 

 

 

 

 

 

 

 

 

 

 

 

 

 

 

Danmark

 

 

 

 

 

 

 

 

 

 

 

 

 

 

 

 

 

 

 

 

 

 

 

 

 

 

 

 

 

 

 

 

 

 

 

 

 

 

 

 

 

 

 

 

 

 

 

 

 

 

 

 

 

 

 

 

 

 

 

 

 

 

 

 

 

 

 

 

 

 

 

 

 

 

 

 

 

 

 

 

 

 

 

 

 

 

 

 

 

 

 

 

Frankrike

 

 

 

 

 

 

 

 

 

 

 

 

 

 

 

 

 

 

 

 

 

 

 

 

 

 

 

 

 

 

 

 

 

 

 

 

 

 

 

 

 

 

 

 

 

 

Belgien

 

 

 

 

 

 

 

 

 

 

 

 

 

 

 

 

 

 

 

 

 

 

 

 

 

 

 

 

 

 

 

 

 

 

 

 

 

 

 

 

2005

 

 

 

 

 

 

 

 

 

 

 

 

 

 

 

 

 

 

 

 

 

 

 

 

 

 

 

 

 

 

 

 

 

 

 

 

 

 

 

 

 

 

 

 

 

 

 

 

 

 

 

 

 

 

 

 

 

 

 

 

 

 

 

 

 

 

 

 

 

 

 

 

 

 

 

 

 

 

 

 

 

 

 

 

 

 

USA

 

 

 

 

 

 

 

 

 

 

 

 

 

 

 

 

 

 

 

 

 

 

 

 

 

 

 

 

 

 

 

 

 

 

 

 

 

 

 

 

2002

 

 

 

 

 

 

 

 

 

 

 

 

 

 

 

 

 

 

 

 

 

 

 

 

 

 

 

 

 

 

 

 

 

 

 

 

 

 

 

 

 

 

 

 

Korea

 

 

 

 

 

 

 

 

 

 

 

 

 

 

 

 

 

 

 

 

 

 

 

 

 

 

 

 

 

 

 

 

 

 

 

 

 

 

 

 

 

 

 

 

 

 

 

 

 

 

 

 

 

 

 

 

 

 

 

 

 

 

 

 

 

 

 

 

 

 

 

 

 

 

 

 

 

 

 

 

 

 

 

 

Norge

 

 

 

 

 

 

 

 

 

 

 

 

 

 

 

 

 

 

 

 

 

 

 

 

 

 

 

 

 

 

 

 

 

 

 

 

 

 

 

 

1999

 

 

 

 

 

 

 

 

 

 

 

 

 

 

 

 

 

 

 

 

 

 

 

 

 

 

 

 

 

 

 

 

 

 

 

 

 

 

 

 

 

 

 

 

Storbritannien

 

 

 

 

 

 

 

 

 

 

 

 

 

 

 

 

 

 

 

 

 

 

 

 

 

 

 

 

 

 

 

 

 

 

 

 

 

 

 

 

 

 

 

 

 

 

 

 

 

 

 

 

 

 

 

 

 

 

 

 

 

 

 

 

 

 

 

 

 

 

 

 

 

 

 

 

 

 

 

 

 

 

 

 

 

 

 

 

Italien

 

 

 

 

 

 

 

 

 

 

 

 

 

 

 

 

 

 

 

 

 

 

 

 

 

 

 

 

 

 

 

 

 

 

 

 

 

 

 

 

 

 

 

 

 

 

 

 

 

 

 

 

 

 

 

 

 

 

 

 

 

 

 

 

 

 

 

 

 

 

 

 

 

 

 

 

 

 

 

 

 

 

 

 

 

 

 

 

 

 

 

 

Island

 

 

 

 

 

 

 

 

 

 

 

 

 

 

 

 

 

 

 

 

 

 

 

 

 

 

 

 

 

 

 

 

 

 

 

 

 

 

 

 

 

 

 

 

 

 

 

 

 

 

 

 

 

 

 

 

 

 

 

 

 

 

 

 

 

 

 

 

 

 

 

 

 

 

 

 

 

 

 

 

 

 

 

 

 

 

 

 

 

 

 

 

Irland

 

 

 

 

 

 

 

 

 

 

 

 

 

 

 

 

 

 

 

 

 

 

 

 

 

 

 

 

 

 

 

 

 

 

 

 

 

 

 

 

 

 

 

 

 

 

 

 

 

 

 

 

 

 

 

 

 

 

 

 

 

 

 

 

 

 

 

 

 

 

 

 

 

 

 

 

 

 

 

 

 

 

 

 

 

 

 

 

 

 

 

 

Kanada

 

 

 

 

 

 

 

 

 

 

 

 

 

 

 

 

 

 

 

 

 

 

 

 

 

 

 

 

 

 

 

 

 

 

 

 

 

 

 

 

 

 

 

 

 

 

 

 

 

 

 

 

 

 

 

 

 

 

 

 

 

 

 

 

 

 

 

 

 

 

 

 

 

 

 

 

 

 

 

 

 

 

 

 

 

 

 

 

 

 

 

 

Australien

 

 

 

 

 

 

 

 

 

 

 

 

 

 

 

 

 

 

 

 

 

 

 

 

 

 

 

 

 

 

 

 

 

 

 

 

 

 

 

 

 

 

 

 

 

 

 

 

 

 

 

 

 

 

 

 

 

 

 

 

 

 

 

 

 

 

 

 

 

 

 

 

 

 

 

 

 

 

 

 

 

 

 

 

 

 

 

 

 

 

 

 

Nya Zeeland

 

 

 

 

 

 

 

 

 

 

 

 

 

 

 

 

 

 

 

 

 

 

 

 

 

 

 

 

 

 

 

 

 

 

 

 

 

 

 

 

 

 

 

 

 

 

 

 

 

 

 

 

 

 

 

 

 

 

 

 

 

 

 

 

 

 

 

 

 

 

 

 

 

 

 

 

 

 

 

 

 

 

 

 

 

 

 

 

 

 

 

 

Spanien

 

 

 

 

 

 

 

 

 

 

 

 

 

 

 

 

 

 

 

 

 

 

 

 

 

 

 

 

 

 

 

 

 

 

 

 

 

 

 

 

 

 

 

 

 

 

 

 

 

 

 

 

 

 

 

 

 

 

 

 

 

 

 

 

 

 

 

 

 

 

 

 

 

 

 

 

 

 

 

 

 

 

 

 

 

 

 

 

 

 

 

 

Grekland

 

 

 

 

 

 

 

 

 

 

 

 

 

 

 

 

 

 

 

 

 

 

 

 

 

 

 

 

 

 

 

 

 

 

 

 

 

 

 

 

 

 

 

 

 

 

 

 

 

 

 

 

 

 

 

 

 

 

 

 

 

 

 

 

 

 

 

 

 

 

 

 

 

 

 

 

 

 

 

 

 

 

 

 

 

 

 

 

 

 

 

 

Portugal

 

 

 

 

 

 

 

 

 

 

 

 

 

 

 

 

 

 

 

 

 

 

 

 

 

 

 

 

 

 

 

 

 

 

 

 

 

 

 

 

 

 

 

 

 

 

 

 

 

 

 

 

 

 

 

 

 

 

 

 

 

 

 

 

 

 

 

 

 

 

 

 

 

 

 

 

 

 

 

 

 

 

 

 

 

 

 

 

 

 

 

 

EU15

 

 

 

 

 

 

 

 

 

 

 

 

 

 

 

 

 

 

 

 

 

 

 

 

 

 

 

 

 

 

 

 

 

 

 

 

 

 

 

 

 

 

 

 

 

 

 

 

 

 

 

 

 

 

 

 

 

 

 

 

 

 

 

 

 

 

 

 

 

 

 

 

 

 

 

 

 

 

 

 

 

 

 

 

 

 

 

 

 

 

 

 

OECD

 

 

 

 

 

 

 

 

 

 

 

 

 

 

 

 

 

 

 

 

 

 

 

 

 

 

 

 

 

 

 

 

 

 

 

 

 

 

 

 

 

 

 

 

 

 

 

 

 

 

 

 

 

 

 

 

 

 

 

 

 

 

 

 

 

 

 

 

 

 

 

 

 

 

 

 

 

 

 

 

 

 

 

 

 

 

 

 

 

 

 

 

 

 

 

 

 

 

 

 

 

 

 

 

 

 

 

 

 

 

 

0

50

100

 

 

150

 

 

 

200

250

300

350

 

400

Källa: OECD, Main Science and Technology Indicators 2007-1.

När det gäller godkända USPTO-patent har antalet minskat för Sverige mellan 2000 och 2003. Detta samtidigt som merparten av de andra länderna med många patent per invånare ökat antalet godkända patent under denna tidsperiod.

106

Ds 2007:37

Innovationer, forskning och utveckling

Diagram 4.4 Antal godkända patentansökningar till United States Patent and Trademark Office (USPTO) per miljon invånare, 1997- 2003

USA

 

 

 

 

 

 

 

 

 

 

Japan

 

 

 

 

 

 

 

 

 

 

Finland

 

 

 

 

 

 

 

 

 

 

Schweiz

 

 

 

 

 

 

 

 

 

 

SVERIGE

 

 

 

 

 

 

 

 

 

 

Tyskland

 

 

 

 

 

 

 

 

 

 

Kanada

 

 

 

 

 

 

 

 

 

 

Korea

 

 

 

 

 

 

 

 

 

 

Nederländerna

 

 

 

 

 

 

 

 

 

 

Island

 

 

 

 

 

 

 

 

 

 

Danmark

 

 

 

 

 

 

 

 

 

 

Belgien

 

 

 

 

 

 

 

 

 

 

Luxemburg

 

 

 

 

 

 

 

 

 

 

Storbritannien

 

 

 

 

 

 

 

 

 

 

Österrike

 

 

 

 

 

 

 

 

 

 

Australien

 

 

 

 

 

 

 

 

 

 

Frankrike

 

 

 

 

 

 

 

 

 

 

 

 

 

 

 

 

 

2003

 

 

Norge

 

 

 

 

 

 

 

 

 

Irland

 

 

 

 

 

 

 

2000

 

 

Nya Zeeland

 

 

 

 

 

 

 

 

 

 

 

 

 

 

 

 

 

 

 

Italien

 

 

 

 

 

 

 

1997

 

 

Spanien

 

 

 

 

 

 

 

 

 

 

Grekland

 

 

 

 

 

 

 

 

 

 

 

 

 

 

 

 

 

 

 

 

Portugal

 

 

 

 

 

 

 

 

 

 

EU15

 

 

 

 

 

 

 

 

 

 

OECD

 

 

 

 

 

 

 

 

 

 

 

0

100

200

300

400

500

Källa: OECD, Main Science and Technology Indicators 2007-1.

4.6Publicerade artiklar

Antalet vetenskapliga artiklar är ett annat mått som ofta används som indikator på utvecklingen av ny kunskap. Antalet vetenskapligt publicerade artiklar per miljon invånare visas i diagram 4.5.

107

Innovationer, forskning och utveckling

Ds 2007:37

Diagram 4.5: Antal vetenskapligt publicerade artiklar per miljon invånare, år 2000 och 2003

Schweiz

 

 

 

 

 

 

 

 

 

 

 

 

 

 

 

 

 

 

 

 

 

 

 

 

 

 

 

 

 

 

 

 

 

 

 

 

 

 

 

 

 

 

 

 

 

 

 

 

 

 

 

 

 

 

 

 

 

 

 

 

 

 

 

 

 

 

 

 

 

 

 

 

 

 

 

 

SVERIGE

 

 

 

 

 

 

 

 

 

 

 

 

 

 

 

 

 

 

 

 

 

 

 

 

 

 

 

 

 

 

 

 

 

 

 

 

 

 

 

 

 

 

 

 

 

 

 

 

 

 

 

 

 

 

 

 

 

 

 

 

 

 

 

 

 

 

 

 

 

 

 

 

 

 

 

 

 

 

 

 

 

 

 

 

 

 

 

 

 

 

 

 

 

 

 

 

 

 

 

 

 

 

 

 

 

 

 

 

 

 

 

 

 

 

Finland

 

 

 

 

 

 

 

 

 

 

 

 

 

 

 

 

 

 

 

 

 

 

 

 

 

 

 

 

 

 

 

 

 

 

 

 

 

 

 

 

 

 

 

 

 

 

 

 

 

 

 

 

 

 

 

 

 

 

 

 

 

 

 

 

 

 

 

 

 

 

 

 

 

 

 

 

Danmark

 

 

 

 

 

 

 

 

 

 

 

 

 

 

 

 

 

 

 

 

 

 

 

 

 

 

 

 

 

 

 

 

 

 

 

 

 

 

 

 

 

 

 

 

 

 

 

 

 

 

 

 

 

 

 

 

 

 

 

 

 

 

 

 

 

 

 

 

 

 

 

 

 

 

 

 

 

 

 

 

 

 

 

 

 

 

 

 

 

 

 

 

 

 

 

 

 

 

 

 

 

 

 

 

 

 

 

 

 

 

 

 

 

 

Nederländerna

 

 

 

 

 

 

 

 

 

 

 

 

 

 

 

 

 

 

 

 

 

 

 

 

 

 

 

 

 

 

 

 

 

 

 

 

 

 

 

 

 

 

 

 

 

 

 

 

 

 

 

 

 

 

 

 

 

 

 

 

 

 

 

 

 

 

 

 

 

 

 

 

 

 

 

 

Storbritannien

 

 

 

 

 

 

 

 

 

 

 

 

 

 

 

 

 

 

 

 

 

 

 

 

 

 

 

 

 

 

 

 

 

 

 

 

 

 

 

 

 

 

 

 

 

 

 

 

 

 

 

 

 

 

 

 

 

 

 

 

 

 

 

 

 

 

 

 

 

 

 

 

 

 

 

 

Australien

 

 

 

 

 

 

 

 

 

 

 

 

 

 

 

 

 

 

 

 

 

 

 

 

 

 

 

 

 

 

 

 

 

 

 

 

 

 

 

 

 

 

 

 

 

 

 

 

 

 

 

 

 

 

 

 

 

 

 

 

 

 

 

 

 

 

 

 

 

 

 

 

 

 

 

 

Kanada

 

 

 

 

 

 

 

 

 

 

 

 

 

 

 

 

 

 

 

 

 

 

 

 

 

 

 

 

 

 

 

 

 

 

 

 

 

 

 

 

 

 

 

 

 

 

 

 

 

 

 

 

 

 

 

 

 

 

 

 

 

 

 

 

 

 

 

 

 

 

 

 

 

 

 

 

Nya Zeeland

 

 

 

 

 

 

 

 

 

 

 

 

 

 

 

 

 

 

 

 

 

 

 

 

 

 

 

 

 

 

 

 

 

 

 

 

 

 

 

 

 

 

 

 

 

 

 

 

 

 

 

 

 

 

 

 

 

 

 

 

 

 

 

 

 

 

 

 

 

 

 

 

 

 

 

 

Norge

 

 

 

 

 

 

 

 

 

 

 

 

 

 

 

 

 

 

 

 

 

 

 

 

 

 

 

 

 

 

 

 

 

 

 

 

 

 

 

 

 

 

 

 

 

 

 

 

 

 

 

 

 

 

 

 

 

 

 

 

 

 

 

 

 

 

 

 

 

 

 

 

 

 

 

 

USA

 

 

 

 

 

 

 

 

 

 

 

 

 

 

 

 

 

 

 

 

 

 

 

 

 

 

 

 

 

 

 

 

 

 

 

 

 

 

 

 

 

 

 

 

 

 

 

 

 

 

 

 

 

 

 

 

 

 

 

 

 

 

 

 

 

 

 

 

 

 

 

 

 

 

 

 

 

 

 

 

 

 

 

 

 

 

 

 

 

 

 

 

 

 

 

 

 

 

 

 

 

 

 

 

 

 

 

 

 

 

 

 

 

 

Island

 

 

 

 

 

 

 

 

 

 

 

 

 

 

 

 

 

 

 

 

 

 

 

 

 

 

 

 

 

 

 

 

 

 

 

 

 

 

 

 

 

 

 

 

 

 

 

 

 

 

 

 

 

 

 

 

 

 

 

 

 

 

 

 

 

 

 

 

 

 

 

 

 

 

 

 

Belgien

 

 

 

 

 

 

 

 

 

 

 

 

 

 

 

 

 

 

 

 

 

 

 

 

 

 

 

 

 

 

 

 

 

 

 

 

 

 

 

 

 

 

 

 

 

 

 

 

 

 

 

 

 

 

 

 

 

 

 

 

 

 

 

 

 

 

 

 

 

 

 

 

 

 

 

 

Österrike

 

 

 

 

 

 

 

 

 

 

 

 

 

 

 

 

 

 

 

 

 

 

 

 

 

 

 

 

 

 

 

 

 

 

 

 

 

 

 

 

 

 

 

 

 

 

 

 

 

 

 

 

 

 

 

 

 

 

 

 

 

 

 

 

 

 

 

 

 

 

 

 

 

 

 

 

Tyskland

 

 

 

 

 

 

 

 

 

 

 

 

 

 

 

 

 

 

 

 

 

 

 

 

 

 

 

 

 

 

 

 

 

 

 

 

 

 

 

 

 

 

 

 

 

 

 

 

 

 

 

 

 

 

 

 

 

 

 

 

 

 

 

 

 

 

 

 

 

 

 

 

 

 

 

 

Frankrike

 

 

 

 

 

 

 

 

 

 

 

 

 

 

 

 

 

 

 

 

 

 

 

 

 

 

 

 

 

 

 

 

 

 

 

 

 

 

 

 

 

 

 

 

 

 

 

 

 

 

 

 

 

 

 

 

 

 

 

 

 

 

 

 

 

 

 

 

 

 

 

 

 

 

 

 

Japan

 

 

 

 

 

 

 

 

 

 

 

 

 

 

 

 

 

 

 

 

 

 

 

 

 

 

 

 

 

 

 

 

 

 

 

 

 

 

Irland

 

 

 

 

 

 

 

 

 

 

 

 

 

 

 

 

 

 

 

 

 

 

 

 

 

 

 

 

 

 

 

 

 

2003

 

 

 

 

 

 

 

 

 

 

 

 

 

 

 

 

 

 

 

 

 

 

 

 

 

 

 

 

 

 

 

 

 

 

 

 

 

 

Italien

 

 

 

 

 

 

 

 

 

 

 

 

 

 

 

 

 

 

 

 

 

 

 

 

 

 

 

 

 

 

 

 

 

2000

 

 

 

 

 

 

 

 

 

 

 

 

 

 

 

 

 

 

 

 

 

 

 

 

 

 

 

 

 

 

 

 

 

 

 

 

 

 

 

Spanien

 

 

 

 

 

 

 

 

 

 

 

 

 

 

 

 

 

 

 

 

 

 

 

 

 

 

 

 

 

 

 

 

 

 

 

 

 

 

 

 

 

 

 

 

 

 

 

 

 

 

 

 

 

 

 

 

 

 

 

 

 

 

 

 

 

 

 

 

 

 

 

Grekland

 

 

 

 

 

 

 

 

 

 

 

 

 

 

 

 

 

 

 

 

 

 

 

 

 

 

 

 

 

 

 

 

 

 

 

 

 

 

 

 

 

 

 

 

 

 

 

 

 

 

 

 

 

 

 

 

 

 

 

 

 

 

 

 

 

 

 

 

 

 

 

 

 

 

 

 

Korea

 

 

 

 

 

 

 

 

 

 

 

 

 

 

 

 

 

 

 

 

 

 

 

 

 

 

 

 

 

 

 

 

 

 

 

 

 

 

 

 

 

 

 

 

 

 

 

 

 

 

 

 

 

 

 

 

 

 

 

 

 

 

 

 

 

 

 

 

 

 

 

 

 

 

 

 

Portugal

 

 

 

 

 

 

 

 

 

 

 

 

 

 

 

 

 

 

 

 

 

 

 

 

 

 

 

 

 

 

 

 

 

 

 

 

 

 

 

 

 

 

 

 

 

 

 

 

 

 

 

 

 

 

 

 

 

 

 

 

 

 

 

 

 

 

 

 

 

 

 

 

 

 

 

 

EU15

 

 

 

 

 

 

 

 

 

 

 

 

 

 

 

 

 

 

 

 

 

 

 

 

 

 

 

 

 

 

 

 

 

 

 

 

 

 

 

 

 

 

 

 

 

 

 

 

 

 

 

 

 

 

 

 

 

 

 

 

 

 

 

 

 

 

 

 

 

 

 

 

 

 

 

 

 

 

 

 

 

 

 

 

 

 

 

 

 

 

 

 

 

 

 

 

 

 

 

 

 

 

 

 

 

 

 

 

 

 

 

 

 

 

OECD

 

 

 

 

 

 

 

 

 

 

 

 

 

 

 

 

 

 

 

 

 

 

 

 

 

 

 

 

 

 

 

 

 

 

 

 

 

 

 

 

 

 

 

 

 

 

 

 

 

 

 

 

0

200

400

 

600

800

1000

 

1200

1400

Källa: OECD, Science, Technology and Industry Outlook 2006.

Anm: Inkluderar artiklar från tidskrifter som täcks av Science Citation Index (SCI) och Social Sciences Citation Index (SSCI).

Av diagram 4.5 framgår att Sverige placerar sig på andra plats efter Schweiz. År 2003 publicerades i Sverige drygt 1 100 vetenskapliga artiklar per miljon invånare, vilket var något färre än i Schweiz. Schweiz och Sverige följs av Finland och Danmark. I nästan alla länder, däribland Sverige, ökade antalet publicerade artiklar mellan år 2000 och 2003.

4.7Innovationer i företag

En indikation på resultat av FoU är hur stor andel av företagen som introducerar nya produkter (både varor och tjänster) på marknaden. Företag som under en viss tidsperiod har introducerat en eller flera nya produkter sägs, enligt undersökningen

Community Innovation Survey, vara innovativt eller har

108

Ds 2007:37

Innovationer, forskning och utveckling

innovationsverksamhet.TPF75FPT I diagram 4.6 visas andelen företag med innovationsverksamhet. Resultaten bygger på en urvalsundersökning bland företag och bör därför tolkas med viss försiktighet.

Diagram 4.6: Andel företag med innovationsverksamhet, 2002- 2004, procent

Tyskland Österrike Luxemburg Island Danmark Belgien SVERIGE Finland Storbritannien Portugal Norge Italien Grekland Spanien

Nederländerna

Frankrike

Schweiz

0

10

20

30

40

50

60

70

Källa: Eurostat, CIS 4 statistics.

I diagram 4.6 visas att Tyskland är det land som har den klart största andelen företag med innovationsverksamhet. I Sverige har ungefär hälften av företagen innovationsverksamhet, vilket placerar Sverige på en sjunde plats bland de 17 jämförda länderna. Skillnaden mellan Sverige och andraplacerade Österrike är dock bara 2,5 procentenheter.

Innovationsverksamhet är avhängigt företagsstorleken. Andelen företag med innovationsverksamhet är högre bland större företag. Det gäller generellt i alla studerade länder.

Ett annat mått på betydelsen av innovationsverksamhet är att studera hur stor andel av omsättningen i de innovativa företagen som genereras av nya produkter. Det ger en bild av hur betydande

75TP PT Företag med innovationsverksamhet har antingen en ny eller påtagligt förbättrad produkt (vara eller tjänst) på marknaden eller inom företaget en helt ny eller en påtagligt förbättrad process.

109

Innovationer, forskning och utveckling

Ds 2007:37

innovationsverksamheten är för dessa företag. Andelen av de innovativa företagens omsättning som kommer från produkter som är nya på marknaden visas i diagram 4.7.

Diagram 4.7: Andel av företagens omsättning från produkter som är nya på marknaden, 2004, procent

Finland SVERIGE Luxemburg Portugal Österrike Spanien Belgien Tyskland Italien Danmark Grekland Nederländerna Norge

0

2

4

6

8

10

12

14

16

Källa: Eurostat, CIS 4 statistics.

Diagram 4.7 visar på att Sverige näst efter Finland är det land där den största andelen av de innovativa företagens omsättning kommer från nya produkter. Det är stora skillnader mellan länderna i jämförelsen. I Finland och Sverige härrör 15 respektive 13 procent av omsättningen i de innovativa företagen från nya produkter, medan motsvarande andel i Norge endast är två procent.

Lägger man samman resultaten framkommer att Sverige ligger just över medelnivå när det gäller andelen företag som är innovativa. Dessa företag har dock en större del av sin omsättning knuten till nya produkter på marknaden än i de flesta andra länder.

110

Ds 2007:37

Innovationer, forskning och utveckling

4.8Produktion och export av högteknologiska produkter

Omfattningen av högteknologisk produktion och export är en indikation på ett lands möjligheter att omsätta resultat av FoU i produktion. Med högteknologisk produktion avses här, i enlighet med OECD:s definition, hög- och medelhög teknologisk industri. Högteknologisk export bygger på samma definition men innefattar endast högteknologisk industri. Den högteknologiska industrins förädlingsvärde som andel av BNP visas i diagram 4.8.TPF76FPT I diagram 4.9 visas andelen av tillverkningsindustrins export som utgörs av högteknologiska produkter.

Den högteknologiska industrin omfattar bland annat flygplan, läkemedel, instrument, datorer, kontorsmaskiner och telekommunikationsutrustning. Till industri med hög- och medelhög teknologinivå tillkommer även övriga kemiska produkter, maskiner, motorfordon och andra transportmedel. Det bör poängteras att avgränsningen i högteknologiska verksamheter görs med avseende på företagens branschtillhörighet. Det kan därmed finnas företag som enligt branschtillhörigheten räknas som högteknologiskt men som inte har högteknologisk produktion. Det kan även finnas företag inom branscher som inte räknas som högteknologiska men som ändå kan ha högteknologisk produktion. Exempelvis är processerna för att framställa pappersmassa, papper och metaller högteknologiska utan att dessa branscher inkluderas i måtten eftersom den slutliga produkten inte klassificeras som högteknologisk.

76TP PT BNP mätt från produktionssidan (förädlingsvärde).

111

Innovationer, forskning och utveckling

Ds 2007:37

Diagram 4.8: Förädlingsvärde i industri med hög- och medelhög tekniknivå som andel av BNP, 1997-2003, procent

Irland 1)

 

 

 

 

 

 

 

 

 

 

Korea

 

 

 

 

 

 

 

 

 

 

Tyskland 1)

 

 

 

 

 

 

 

 

 

 

Schweiz 1) 2)

 

 

 

 

 

 

 

 

 

 

Finland

 

 

 

 

 

 

 

 

 

 

Japan

 

 

 

 

 

 

 

 

 

 

SVERIGE 1)

 

 

 

 

 

 

 

 

 

 

Frankrike 1)

 

 

 

 

 

 

 

 

 

 

Österrike

 

 

 

 

 

 

 

 

 

 

Belgien

 

 

 

 

 

 

 

 

 

 

Italien

 

 

 

 

 

 

 

 

 

 

Kanada 1)

 

 

 

 

 

 

 

 

 

 

USA

 

 

 

 

 

 

 

2003

 

 

 

 

 

 

 

 

 

 

 

Danmark

 

 

 

 

 

 

 

2000

 

 

Storbritannien

 

 

 

 

 

 

 

 

 

 

 

 

 

 

 

 

 

 

 

Spanien 1)

 

 

 

 

 

 

 

1997

 

 

 

 

 

 

 

 

 

 

 

Nederländerna

 

 

 

 

 

 

 

 

 

 

 

 

 

 

 

 

 

 

 

 

Portugal

 

 

 

 

 

 

 

 

 

 

Australien 3)

 

 

 

 

 

 

 

 

 

 

Island 1)

 

 

 

 

 

 

 

 

 

 

Grekland

 

 

 

 

 

 

 

 

 

 

Luxemburg

 

 

 

 

 

 

 

 

 

 

EU15

 

 

 

 

 

 

 

 

 

 

 

0

5

10

15

20

25

Källa: OECD, STAN Indicators.

Anm: Industri med hög- och medelhög tekniknivå består av följande branscher enligt ISIC rev. 3: 24, 29-35.

1)År 2003 avser 2002.

2)År 1997 avser 1998.

3)År 2003 avser 2001.

Av diagram 4.8 framgår att Sveriges förädlingsvärde i den hög- och medelhöga teknologiska industrin som andel av BNP uppgick till strax under 10 procent år 2003. Det gör att sex länder har en högre nivå än Sverige. Länderna med den högsta nivån är Irland, Korea och Tyskland. Irlands hög- och medelhögteknologiska industri stod för över 20 procent av landets totala förädlingsvärde. Irlands höga nivå förklaras av att landet har en stor industri för sammansättning av importerade högteknologiska produkter.

I flertalet länder har förädlingsvärdet i den hög- och medelhöga teknologiska industrin som andel av den totala förädlingsvärdet minskat mellan 2000 och 2003. I Sverige minskade sektorns andel med över en procentenhet och positionen försämrades från 5:e plats till 7:e plats.

112

Ds 2007:37 Innovationer, forskning och utveckling

Diagram

4.9:

 

 

 

 

Andel

 

 

 

 

 

 

högteknologiska

 

 

produkter

 

i

tillverkningsindustrins export, 1999-2003, procent

 

 

Irland

 

 

 

 

 

 

 

 

 

 

 

 

 

 

 

 

 

 

 

 

 

 

 

 

 

 

 

 

 

 

 

 

 

 

 

 

 

 

 

 

 

 

 

 

 

 

 

 

 

 

 

 

 

 

 

 

 

 

 

 

 

 

 

 

 

 

 

 

 

 

 

 

 

 

 

 

 

 

 

 

 

 

 

 

 

 

 

 

 

 

 

 

 

 

Schweiz

 

 

 

 

 

 

 

 

 

 

 

 

 

 

 

 

 

 

 

 

 

 

 

 

 

 

 

 

 

 

 

 

 

 

 

 

 

 

 

 

 

 

 

 

 

 

 

 

 

 

 

 

 

 

 

 

 

 

 

 

 

 

 

 

 

 

 

 

 

 

 

 

 

 

 

 

 

 

 

 

 

 

 

 

 

 

 

 

 

 

 

 

 

 

Korea

 

 

 

 

 

 

 

 

 

 

 

 

 

 

 

 

 

 

 

 

 

 

 

 

 

 

 

 

 

 

 

 

 

 

 

 

 

 

 

 

 

 

 

 

 

 

 

 

 

 

 

 

 

 

 

 

 

 

 

 

 

 

 

 

 

 

 

 

 

 

 

 

 

 

 

 

 

 

 

 

 

 

 

 

 

 

 

 

 

 

 

 

 

 

USA

 

 

 

 

 

 

 

 

 

 

 

 

 

 

 

 

 

 

 

 

 

 

 

 

 

 

 

 

 

 

 

 

 

 

 

 

 

 

 

 

 

 

 

 

 

 

 

 

 

 

 

 

 

 

 

 

 

 

 

 

 

 

 

 

 

 

 

 

 

 

 

 

 

 

 

 

 

 

 

 

 

 

 

 

 

 

 

 

 

 

 

 

 

 

Storbritannien

 

 

 

 

 

 

 

 

 

 

 

 

 

 

 

 

 

 

 

 

 

 

 

 

 

 

 

 

 

 

 

 

 

 

 

 

 

 

 

 

 

 

 

 

 

 

 

 

 

 

 

 

 

 

 

 

 

 

 

 

 

 

 

 

 

 

 

 

 

 

 

 

 

 

 

 

 

 

 

 

 

 

 

 

 

 

 

 

 

 

 

 

 

 

Nederländerna

 

 

 

 

 

 

 

 

 

 

 

 

 

 

 

 

 

 

 

 

 

 

 

 

 

 

 

 

 

 

 

 

 

 

 

 

 

 

 

 

 

 

 

 

 

 

 

 

 

 

 

 

 

 

 

 

 

 

 

 

 

 

 

 

 

 

 

 

 

 

 

 

 

 

 

 

 

 

 

 

 

 

 

 

 

 

 

 

 

 

 

 

 

 

Japan

 

 

 

 

 

 

 

 

 

 

 

 

 

 

 

 

 

 

 

 

 

 

 

 

 

 

 

 

 

 

 

 

 

 

 

 

 

 

 

 

 

 

 

 

 

 

 

 

 

 

 

 

 

 

 

 

 

 

 

 

 

 

 

 

 

 

 

 

 

 

 

 

 

 

 

 

 

 

 

 

 

 

 

 

 

 

 

 

 

 

 

 

 

 

Finland

 

 

 

 

 

 

 

 

 

 

 

 

 

 

 

 

 

 

 

 

 

 

 

 

 

 

 

 

 

 

 

 

 

 

 

 

 

 

 

 

 

 

 

 

 

 

 

 

 

 

 

 

 

 

 

 

 

 

 

 

 

 

 

 

 

 

 

 

 

 

 

 

 

 

 

 

 

 

 

 

 

 

 

 

 

 

 

 

 

 

 

 

 

 

Frankrike

 

 

 

 

 

 

 

 

 

 

 

 

 

 

 

 

 

 

 

 

 

 

 

 

 

 

 

 

 

 

 

 

 

 

 

 

 

 

 

 

 

 

 

 

 

 

 

 

 

 

 

 

 

 

 

 

 

 

 

 

 

 

 

 

 

 

 

 

 

 

 

 

 

 

 

 

 

 

 

 

 

 

 

 

 

 

 

 

 

 

 

 

 

 

SVERIGE

 

 

 

 

 

 

 

 

 

 

 

 

 

 

 

 

 

 

 

 

 

 

 

 

 

 

 

 

 

 

 

 

 

 

 

 

 

 

 

 

 

 

 

 

 

 

 

 

 

 

 

 

 

 

 

 

 

 

 

 

 

 

 

 

 

 

 

 

 

 

 

 

 

 

 

 

 

 

 

 

 

 

 

 

 

 

 

 

 

 

 

 

 

 

Danmark

 

 

 

 

 

 

 

 

 

 

 

 

 

 

 

 

 

 

 

 

 

 

 

 

 

 

 

 

 

 

 

 

 

 

 

 

 

 

 

 

 

 

 

 

 

 

 

 

 

 

 

 

 

 

 

 

 

 

 

 

 

 

 

 

 

 

 

 

 

 

 

 

 

 

 

 

 

 

 

 

 

 

 

 

 

 

 

 

 

 

 

 

 

 

Belgien 1)

 

 

 

 

 

 

 

 

 

 

 

 

 

 

 

 

 

 

 

 

 

 

 

 

 

 

 

 

 

 

 

 

 

 

 

 

 

 

 

 

 

 

 

 

 

 

 

 

 

 

 

 

 

 

 

 

 

 

 

 

 

 

 

 

 

 

 

 

 

 

 

 

 

 

 

 

 

 

 

 

 

 

 

 

 

 

 

 

 

 

 

 

 

 

Tyskland

 

 

 

 

 

 

 

 

 

 

 

 

 

 

 

 

 

 

 

 

 

 

 

 

 

 

 

 

 

 

 

 

 

 

 

 

 

 

 

 

 

 

 

 

 

 

 

 

 

 

 

 

 

 

 

 

 

 

 

 

 

 

 

 

 

 

 

 

 

 

 

 

 

 

 

 

 

 

 

 

 

 

 

 

 

 

 

 

 

 

 

 

 

 

Österrike

 

 

 

 

 

 

 

 

 

 

 

 

 

 

 

 

 

 

 

 

 

 

 

 

 

 

 

 

 

 

 

 

 

 

 

 

 

 

 

 

 

 

 

 

 

 

 

 

 

 

 

 

 

 

 

 

 

 

 

 

 

 

 

 

 

 

 

 

 

 

 

 

 

 

 

 

 

 

 

 

 

 

 

 

 

 

 

 

 

 

 

 

 

 

Grekland

 

 

 

 

 

 

 

 

 

 

 

 

 

 

 

 

 

 

 

 

 

 

 

 

 

 

 

 

 

 

 

 

 

 

 

 

 

 

 

 

 

 

 

 

 

 

 

 

 

 

 

 

 

 

 

 

 

 

 

 

 

 

 

 

 

 

 

 

 

 

 

 

 

 

 

 

 

 

 

 

 

 

 

 

 

 

 

 

 

 

 

 

 

 

Kanada

 

 

 

 

 

 

 

 

 

 

 

 

 

 

 

 

 

 

 

 

 

 

 

 

 

 

 

 

 

 

 

 

 

 

 

 

 

 

 

 

 

 

 

 

 

 

 

 

 

 

 

 

 

 

 

 

 

 

 

 

 

 

 

 

 

 

 

 

 

 

 

 

 

 

 

 

 

 

 

 

 

 

 

 

 

 

 

 

 

2003

 

 

 

Australien

 

 

 

 

 

 

 

 

 

 

 

 

 

 

 

 

 

 

 

 

 

 

 

 

 

 

 

 

 

 

 

 

 

 

 

 

 

 

 

 

 

 

 

 

 

 

 

 

 

 

 

 

 

 

 

 

 

 

 

 

 

 

 

 

 

 

 

 

 

 

 

 

 

 

 

 

 

 

 

 

 

 

 

 

 

 

 

Portugal

 

 

 

 

 

 

 

 

 

 

 

 

 

 

 

 

 

 

 

 

 

 

 

 

 

 

 

 

 

 

 

 

 

 

 

 

 

 

 

 

 

 

2001

 

 

 

 

 

 

 

 

 

 

 

 

 

 

 

 

 

 

 

 

 

 

 

 

 

 

 

 

 

 

 

 

 

 

 

 

 

 

 

 

 

 

 

 

 

 

 

 

Norge

 

 

 

 

 

 

 

 

 

 

 

 

 

 

 

 

 

 

 

 

 

 

 

 

 

 

 

 

 

 

 

 

 

 

 

 

 

 

 

 

 

 

 

 

 

 

 

 

 

 

 

 

 

 

 

 

 

 

 

 

 

 

 

 

 

 

 

 

 

 

 

 

 

 

 

 

 

 

 

 

 

 

 

 

 

 

 

 

 

 

 

Italien

 

 

 

 

 

 

 

 

 

 

 

 

 

 

 

 

 

 

 

 

 

 

 

 

 

 

 

 

 

 

 

 

 

 

 

 

 

 

 

 

 

 

1999

 

 

 

 

 

 

 

 

 

 

 

 

 

 

 

 

 

 

 

 

 

 

 

 

 

 

 

 

 

 

 

 

 

 

 

 

 

 

 

 

 

 

 

 

 

 

 

 

Spanien

 

 

 

 

 

 

 

 

 

 

 

 

 

 

 

 

 

 

 

 

 

 

 

 

 

 

 

 

 

 

 

 

 

 

 

 

 

 

 

 

 

 

 

 

 

 

 

 

 

 

 

 

 

 

 

 

 

 

 

 

 

 

 

 

 

 

 

 

 

 

 

 

 

 

 

 

 

 

 

 

 

 

 

 

 

 

 

 

 

 

 

 

 

 

 

 

 

 

 

 

 

 

 

 

 

 

 

 

 

 

 

 

 

 

 

 

 

 

 

 

 

 

 

 

 

 

 

 

 

 

 

 

 

 

 

 

 

 

Nya Zeeland

 

 

 

 

 

 

 

 

 

 

 

 

 

 

 

 

 

 

 

 

 

 

 

 

 

 

 

 

 

 

 

 

 

 

 

 

 

 

 

 

 

 

 

 

 

 

 

Island

 

 

 

 

 

 

 

 

 

 

 

 

 

 

 

 

 

 

 

 

 

 

 

 

 

 

 

 

 

 

 

 

 

 

 

 

 

 

 

 

 

 

 

 

 

 

 

 

 

 

 

 

 

 

 

 

 

 

 

 

 

 

 

 

 

 

 

 

 

 

 

 

 

 

 

 

 

 

 

 

 

 

 

 

 

 

 

 

 

 

 

 

 

 

EU15 2)

 

 

 

 

 

 

 

 

 

 

 

 

 

 

 

 

 

 

 

 

 

 

 

 

 

 

 

 

 

 

 

 

 

 

 

 

 

 

 

 

 

 

 

 

 

 

 

 

 

 

 

 

 

 

 

 

 

 

 

 

 

 

 

 

 

 

 

 

 

 

 

 

 

 

 

 

 

 

 

 

 

 

 

 

 

 

 

 

 

 

 

 

 

 

OECD 2) 3)

 

 

 

 

 

 

 

 

 

 

 

 

 

 

 

 

 

 

 

 

 

 

 

 

 

 

 

 

 

 

 

 

 

 

 

 

 

 

 

 

 

 

 

 

 

 

 

 

 

 

 

 

 

 

 

 

 

 

 

 

 

 

 

 

 

 

 

 

 

 

 

 

 

 

 

 

 

 

 

 

 

 

 

 

 

 

 

 

 

 

 

 

 

 

 

 

 

 

 

 

 

 

 

 

 

 

 

 

 

 

 

 

 

 

 

 

 

 

 

 

0

 

 

 

 

10

 

 

 

 

 

 

20

30

 

40

50

60

 

70

Källa: OECD , Science, Technology and Industry Scoreboard 2001, 2003 och 2005.

1)Inklusive Luxemburg 1999.

2)Exklusive Luxemburg 2003.

3)Exklusive Korea, Luxemburg, Tjeckien and Slovakien år 2001.

Irland är återigen ledande med en betydligt högre andel högteknologiska produkter i tillverkningsindustrins export jämfört med övriga länder, nästan 54 procent år 2003. Förklaringen är även i det här fallet att Irland har en stor industri för sammansättning av importerade högteknologiska produkter. På andra och tredje plats kom Schweiz och Korea med en andel på 39 respektive 36 procent. Sverige hade år 2003 en andel på 22 procent, vilket placerar Sverige i mitten av länderfördelningen.

Mellan 1999 och 2003 minskade den högteknologiska andelen av tillverkningsindustrins export i Sverige från 28 till 22 procent. Att andelen har minskat i Sverige beror inte på en minskning av exporten från dessa branscher. Det är endast telekommunikationsprodukterna som haft en viss nedgång under denna period. Det är istället andra branscher som t.ex. motorfordon, maskiner, papper, järn och stål vars export vuxit

113

Innovationer, forskning och utveckling

Ds 2007:37

snabbt under dessa år och genom det ökat sin andel av den svenska exporten. Det bör poängteras att Sverige har en positiv nettoexport av högteknologiska produkter, dvs. exporten är högre än importen.

114

5Utbildning och kompetensförsörjning

Befolkningens kompetens och utbildningssystemets kvalitet är av stor betydelse för Sveriges och svenska företags konkurrenskraft i en internationaliserad ekonomi. I takt med att kunskapskraven ökar i arbetslivet är tillgången på kvalificerad arbetskraft och möjligheter till vidareutbildning allt viktigare för en fungerade arbetsmarknad och god ekonomisk tillväxt. I den svenska utbildningspolitikens övergripande mål ingår därför att åstadkomma ekonomisk tillväxt vilket även är en del av EU:s utbildningsmål. Utbildningssystemen ska, enligt den målsättning som Europeiska rådet antagit, bidra till att Europa blir väldens mest konkurrenskraftiga och dynamiska kunskapsbaserade ekonomi. Utbildning ska också bidra till en hållbar ekonomisk tillväxt, fler och bättre arbetstillfällen och ökad social sammanhållning.

På utbildningsområdet har EU tre gemensamma strategiska mål och 13 delmål.TPF77FPT De strategiska målen är:

1)Bättre kvalitet och effektivitet i utbildningssystemen i EU.

2)Att underlätta tillträdet för alla till utbildningssystemen.

3)Att öppna utbildningssystemen mot omvärlden.

Några exempel på delmål är att öka antagningen till naturvetenskapliga och tekniska studier, att stärka kopplingen mellan arbetsliv, forskning och samhället i stort samt att öka rörlighet och utbyten mellan länder. I maj 2003 fattade EU dessutom beslut om fem europeiska riktmärken (benchmarks) för allmän och yrkesinriktad utbildning som ska ha uppnåtts år 2010.TPF78FPT

77TP PT Europeiska unionens råd (2002a, 2002b). Se också Utbildningsdepartementet (2004) för en översikt av de tre målen och 13 delmålen samt en genomgång av internationella indikatorer.

78TP PT Europeiska kommissionen (2002).

115

Utbildning och kompetensförsörjning

Ds 2007:37

Ett riktmärke är att minska obalansen mellan könen bland de utexaminerade inom matematik, naturvetenskap och teknik.

Den internationella jämförelsen som redovisas här syftar till att belysa flera perspektiv på utbildningsområdet med kopplingar till arbetsmarknaden och ekonomisk tillväxt. Några indikatorer och riktmärken som används vid internationella jämförelser inom EU ingår även i denna jämförelse.

5.1Indikatorer

Valet av indikatorer strävar efter att ge en bild av omfattningen på de resurser som tillförs utbildningssystemen, kompetensnivån i befolkningen, utbildningssystemens kvalitet samt förutsättningar för kompetensförsörjningen på sikt. Inledningsvis redovisas en indikator på offentliga investeringar i utbildning. Därefter följer ett antal indikatorer som belyser tillgången på gymnasie- och högskoleutbildad arbetskraft samt tillgången på nyckelkompetens. Kvaliteten i grundskolan och den framtida kompetensförsörjningen indikeras utifrån kunskapsmätningar som genomförs av OECD. Tillvaratagandet av kompetens på arbetsmarknaden berörs i kapitel 6, och tillgången på forskarutbildade tas upp i kapitel 4. De indikatorer som redovisas är följande:

Offentliga investeringar i utbildning

Offentliga utgifter för utbildning

Tillgången på utbildad arbetskraft

Andel av befolkningen med minst gymnasieutbildning

Andel av befolkningen med minst 3-årig högskole- utbildning

Andel av befolkningen 25-34 år med minst 3-årig högskole- utbildning

Antal nyutexaminerade med naturvetenskaplig och teknisk högskoleutbildning

Framtida kompetensförsörjning

15-åringars läsförståelse

15-åringars kunskaper i matematik

Medianålder för högskolenybörjare

Ekonomiskt incitament till utbildning, män

Ekonomiskt incitament till utbildning, kvinnor

116

Ds 2007:37

Utbildning och kompetensförsörjning

Andel av befolkningen 25-64 år som deltar i utbildning/kompetensutveckling

5.1.1Sveriges position och slutsatser

Samtliga indikatorer i detta kapitel sammanfattas i figur 5.1 som är konstruerad så att det lägst rankade landets resultat placeras i centrum och det högst rankade landets resultat placeras i yttersta änden av spindeldiagrammet för respektive indikator, dvs. resultaten är normaliserade. De bästa resultaten för alla indikatorer sammanbinds med den streckade yttre linjen i figuren även om det rör sig om olika länder. Utöver det bästa och sämsta resultaten indikeras även Sveriges och medianlandets resultat för respektive indikator i spindeldiagrammet. Sveriges resultat i indikatorerna sammanbinds med en orange linje, medan medianländernas resultat i indikatorerna sammanfogas till en ljusgrå mängd. Efter varje indikatornamn i figur 5.1 anges Sveriges placering bland länderna i jämförelsen samt, inom parentes, hur många länder som ingick i jämförelsen. Eftersom avståndet mellan det bästa och det sämsta resultatet i respektive indikator är normaliserat, får man i spindeldiagrammet även en uppfattning om avståndet mellan Sverige, topplandet, medianlandet och det sämst placerade landet i respektive indikator.

De offentliga utgifterna för utbildning i Sverige är i jämförelse med andra länder höga. Tillgången på utbildad arbetskraft är relativt god, men flera andra länder har ett mer fördelaktigt läge. Sveriges position är antingen bättre än medelnivå, som för exempelvis andel av befolkningen med minst gymnasieutbildning, eller på medelnivå, som för exempelvis andelen med minst 3-årig högskoleutbildning. Indikatorer som belyser den framtida kompetensförsörjningen i Sverige varierar i ett internationellt perspektiv. Tillgången på tekniker och naturvetare - som ofta lyfts fram som en nyckelgrupp - är god i relation till de flesta andra länder, men inte i topp. De innebär inte att det inte kan finnas en brist av naturvetare och tekniker på den svenska arbetsmarknaden. Kunskaper bland 15-åringar är relativt höga när det gäller läskunnighet men ligger bara en bit över medelvärdet vad gäller matematik. De ekonomiska incitamenten till högskoleutbildning är betydligt lägre i Sverige än i andra länder. Sverige har också en

117

Utbildning och kompetensförsörjning

Ds 2007:37

högre medianålder för högskolenybörjare än de flesta andra länder. När det gäller kompetensutveckling förefaller Sverige ligga i topp.

Figur 5.1: Indikatorer över utbildning – översikt

Offentliga utgifter 4 ( 23 )

Kompetensutveckling

Andel med minst

1 ( 18 )

gymnasieutb. 4 ( 24 )

Ekonomiska incitament,

Andel med minst 3-årig

kvinnor 9 ( 10 )

högskoleutb. 11 ( 24 )

Ekonomiska incitament,

Andel 25-34 år med minst

3-årig högskoleutb.

män 9 ( 10 )

10 ( 23 )

 

Medianålder för

Nyutexaminerade

högskolenybörjare 15 ( 16 )

tekniker/naturvetare 6 ( 19 )

15-åringars kunskaper i

15-åringars läsförståelse

matematik 11 ( 21 )

7 ( 22 )

Toppland

 

Medianland

Sverige

 

Källa: se respektive indikator.

Den övergripande bilden är att skillnaderna minskar mellan länderna när det gäller utgifter för utbildning, tillgång på kompetens och kvalitet i utbildningssystemen. Det försprång som flera länder, däribland Sverige, har haft under en längre blir allt mindre. I jämförelse med andra länder är dock läget för Sverige alltjämt relativt gynnsamt.

Men ett flertal bekymmersamma tendenser bör också uppmärksammas. Stora resurser tillförs utbildningssystemen, men resultaten i internationella kompetensmätningar som PISA är inte i nivå med investeringarna. Det kan tolkas som ett effektivitetsproblem.TPF79FPT Nationella studier visar också en försämrad resultatutveckling över tid.TPF80FPT

Den höga genomsnittsåldern för högskolenybörjare indikerar vidare ett effektivitetsproblem i form av långa genomströmningstider i ungdomsskolan och fördröjd övergång mellan gymnasieskola och högskola. Genomsnittsåldern i

79TP NoteraPT att det finns en obalans mellan indikatorerna. Utgiftsindikatorn är relativt heltäckande, dvs. den inkluderar de totala utgifterna för utbildning. På resultatsidan finns begränsad information. Det behöver alltså inte handla om ett effektivitetsproblem, en mer heltäckande resultatinformation skulle kunna ge en annan bild.

80TP PT OECD (2001a), (2004a), IEA TIMSS (se Skolverket 2005) samt Skolverket 2004.

118

Ds 2007:37

Utbildning och kompetensförsörjning

vuxenutbildningen är låg och här finns sannolikt ett systemproblem – vuxenutbildningen har i ökande grad fått en funktion som en förlängning av gymnasieskolan, även om kompletteringar i vuxenutbildningen förefaller minska de senaste åren. Det leder till en senare etablering på arbetsmarknaden vilket är problematiskt ur ett arbetsutbudsperspektiv.

5.2Offentliga investeringar i utbildning

I diagram 5.1 visas de totala offentliga utgifterna för utbildning, både direkta utbildningskostnader och indirekta kostnader i form av exempelvis studiestöd, som andel av BNP. Under perioden 2000-2004 har de offentliga utgifterna för utbildning i Sverige uppgått till omkring 7,5 procent av BNP. År 2004 utgjorde de offentliga utgifterna för utbildningen i Sverige 7,4 procent av BNP. Samtliga nordiska länder har höga utbildningsutgifter. Norge, Island och Danmark hade högre värden än Sverige 2004, vilket ur ett längre tidsperspektiv är en förändring. Utbildningsutgifterna i Sverige har tidigare varit högre än i de övriga nordiska länderna.

119

Utbildning och kompetensförsörjning

Ds 2007:37

Diagram 5.1: Totala offentliga utgifter för utbildning i förhållande till BNP, 2000-2004, procent

Danmark

 

 

 

 

 

 

 

 

 

 

 

 

 

 

 

 

 

 

 

 

 

 

 

 

 

 

 

 

 

 

 

 

 

Island

 

 

 

 

 

 

 

 

 

 

 

 

 

 

 

 

 

 

 

 

 

 

 

 

 

 

 

 

 

 

 

 

 

 

 

 

 

 

 

 

 

 

 

 

 

 

 

 

 

 

 

 

 

 

 

 

 

 

 

 

 

 

 

 

 

 

 

 

 

 

 

 

 

 

 

 

 

 

 

 

 

 

 

 

 

 

 

 

 

 

 

 

 

 

 

 

 

 

 

Norge

 

 

 

 

 

 

 

 

 

 

 

 

 

 

 

 

 

 

 

 

 

 

 

 

 

 

 

 

 

 

 

 

 

 

 

 

 

 

 

 

 

 

 

 

 

 

 

 

 

 

 

 

 

 

 

 

 

 

 

 

 

 

 

 

 

 

SVERIGE

 

 

 

 

 

 

 

 

 

 

 

 

 

 

 

 

 

 

 

 

 

 

 

 

 

 

 

 

 

 

 

 

 

 

 

 

 

 

 

 

 

 

 

 

 

 

 

 

 

 

 

 

 

 

 

 

 

 

 

 

 

 

 

 

 

 

Nya Zeeland

 

 

 

 

 

 

 

 

 

 

 

 

 

 

 

 

 

 

 

 

 

 

 

 

 

 

 

 

 

 

 

 

 

 

 

 

 

 

 

 

 

 

 

 

 

 

 

 

 

 

 

 

 

 

 

 

 

 

 

 

 

 

 

 

 

 

Finland

 

 

 

 

 

 

 

 

 

 

 

 

 

 

 

 

 

 

 

 

 

 

 

 

 

 

 

 

 

 

 

 

 

 

 

 

 

 

 

 

 

 

 

 

 

 

 

 

 

 

 

 

 

 

 

 

 

 

 

 

 

 

 

 

 

 

Belgien

 

 

 

 

 

 

 

 

 

 

 

 

 

 

 

 

 

 

 

 

 

 

 

 

 

 

 

 

 

 

 

 

 

 

 

 

 

 

 

 

 

 

 

 

 

 

 

 

 

 

 

 

 

 

 

 

 

 

 

 

 

 

 

 

 

 

Schweiz

 

 

 

 

 

 

 

 

 

 

 

 

 

 

 

 

 

 

 

 

 

 

 

 

 

 

 

 

 

 

 

 

 

 

 

 

 

 

 

 

 

 

 

 

 

 

 

 

 

 

 

 

 

 

 

 

 

 

 

 

 

 

 

 

 

 

Frankrike

 

 

 

 

 

 

 

 

 

 

 

 

 

 

 

 

 

 

 

 

 

 

 

 

 

 

 

 

 

 

 

 

 

 

 

 

 

 

 

 

 

 

 

 

 

 

 

 

 

 

 

 

 

 

 

 

 

 

 

 

 

 

 

 

 

 

USA

 

 

 

 

 

 

 

 

 

 

 

 

 

 

 

 

 

 

 

 

 

 

 

 

 

 

 

 

 

 

 

 

 

 

 

 

 

 

 

 

 

 

 

 

 

 

 

 

 

 

 

 

 

 

 

 

 

 

 

 

 

 

 

 

 

 

Österrike

 

 

 

 

 

 

 

 

 

 

 

 

 

 

 

 

 

 

 

 

 

 

 

 

 

 

 

 

 

 

 

 

 

 

 

 

 

 

 

 

 

 

 

 

 

 

 

 

 

 

 

 

 

 

 

 

 

 

 

 

 

 

 

 

 

 

Portugal

 

 

 

 

 

 

 

 

 

 

 

 

 

 

 

 

 

 

 

 

 

 

 

 

 

 

 

 

 

 

 

 

 

 

 

 

 

 

 

 

 

 

 

 

 

 

 

 

 

 

 

 

 

 

 

 

 

 

 

 

 

 

 

 

 

 

Storbritannien

 

 

 

 

 

 

 

 

 

 

 

 

 

 

 

 

 

 

 

 

 

 

 

 

 

 

 

 

 

 

 

 

 

 

 

 

 

 

 

 

 

 

 

 

 

 

 

 

 

 

 

 

 

 

 

 

 

 

 

 

 

 

 

 

 

 

Nederländerna

 

 

 

 

 

 

 

 

 

 

 

 

 

 

 

 

 

 

 

 

 

 

 

 

 

 

 

 

 

 

 

 

 

 

 

 

 

 

 

 

 

 

 

 

 

 

 

 

 

 

 

 

 

 

 

 

 

 

 

 

 

 

 

 

 

 

Kanada 1)

 

 

 

 

 

 

 

 

 

 

 

 

 

 

 

 

 

 

 

 

 

 

 

 

 

 

 

 

 

 

 

 

 

 

 

 

 

 

 

 

 

 

 

 

 

 

 

 

 

 

 

 

 

 

 

 

 

 

 

 

 

 

 

 

 

 

Australien

 

 

 

 

 

 

 

 

 

 

 

 

 

 

 

 

 

 

 

 

 

 

 

 

 

 

 

2004

 

 

Irland

 

 

 

 

 

 

 

 

 

 

 

 

 

 

 

 

 

 

 

 

 

 

 

 

 

 

 

 

 

 

 

 

 

 

 

 

 

 

 

 

 

 

 

 

 

 

 

 

 

 

 

 

 

 

 

 

2002

 

 

Italien

 

 

 

 

 

 

 

 

 

 

 

 

 

 

 

 

 

 

 

 

 

 

 

 

 

 

 

 

 

 

 

 

 

 

 

 

 

 

 

 

 

 

 

 

 

 

 

 

 

 

 

 

 

 

 

 

 

 

Tyskland

 

 

 

 

 

 

 

 

 

 

 

 

 

 

 

 

 

 

 

 

 

 

 

 

 

 

 

2000

 

 

 

 

 

 

 

 

 

 

 

 

 

 

 

 

 

 

 

 

 

 

 

 

 

 

 

 

 

 

 

 

 

 

 

 

 

 

 

 

 

 

 

 

 

 

 

 

 

 

 

 

 

 

 

 

 

 

 

 

Korea

 

 

 

 

 

 

 

 

 

 

 

 

 

 

 

 

 

 

 

 

 

 

 

 

 

 

 

 

 

Spanien

 

 

 

 

 

 

 

 

 

 

 

 

 

 

 

 

 

 

 

 

 

 

 

 

 

 

 

 

 

 

 

 

 

 

 

 

 

 

 

 

 

 

 

 

 

 

 

 

 

 

 

 

 

 

 

 

 

 

 

 

 

 

 

 

 

 

Japan

 

 

 

 

 

 

 

 

 

 

 

 

 

 

 

 

 

 

 

 

 

 

 

 

 

 

 

 

 

 

 

 

 

 

 

 

 

 

 

 

 

 

 

 

 

 

 

 

 

 

 

 

 

 

 

 

 

 

 

 

 

 

 

 

 

 

Grekland

 

 

 

 

 

 

 

 

 

 

 

 

 

 

 

 

 

 

 

 

 

 

 

 

 

 

 

 

 

 

 

 

 

 

 

 

 

 

 

 

 

 

 

 

 

 

 

 

 

 

 

 

 

 

 

 

 

 

 

 

 

 

 

 

 

 

OECD

 

 

 

 

 

 

 

 

 

 

 

 

 

 

 

 

 

 

 

 

 

 

 

 

 

 

 

 

 

 

 

 

 

 

 

 

 

 

 

 

 

 

 

 

 

 

 

 

 

 

 

 

 

 

 

 

 

 

 

 

 

 

 

 

 

 

 

 

 

 

 

 

 

 

 

 

 

 

 

 

 

 

 

 

 

 

 

 

 

0

1

2

3

 

 

4

 

5

6

 

 

 

7

 

 

8

 

 

9

Källa: OECD, Education at a Glance, 2003, 2005, 2007. 1) År 2004 avser 2003.

5.3Utbudet av utbildad arbetskraft

Jämfört med andra länder har utbildningsinvesteringarna i Sverige legat på en hög nivå under lång tid, och utbildningsnivån är relativt hög. Av diagram 5.2 framgår att 84 procent av den svenska befolkningen i åldersgruppen 25-64 år hade minst gymnasieutbildning år 2005 och utvecklingen sedan 1999 är positiv. Sverige ligger därmed avsevärt över genomsnittet för OECD- länderna som är 74 procent. Ett flertal länder har dock högre andel med minst gymnasieutbildning. I Japan, Kanada och USA är andelen med minst gymnasieutbildning över 85 procent. I de flesta av de jämförda länderna, däribland Sverige, ökade andelen med minst gymnasieutbildning under de studerade åren. Den övergripande bilden är att ökningstakten är högre i länder som utgår från en relativt liten andel med minst gymnasieutbildning. När det gäller ökningen i Sverige av andelen med minst

120

Ds 2007:37

Utbildning och kompetensförsörjning

gymnasieutbildning mellan åren kan en förklaring vara satsningen på vuxenutbildning i form av Kunskapslyftet som startade år 1997. Kunskapslyftet vände sig i första hand till vuxna arbetslösa som saknade treårig gymnasiekompetens. Projektet pågick fram till och med år 2002.

Diagram 5.2: Andel av befolkningen 25-64 år med minst gymnasieutbildning år 1999, 2002 och 2005, procent

USA

 

 

 

 

 

 

 

 

 

 

 

 

 

 

 

 

 

 

 

 

 

 

 

 

 

 

 

 

Kanada

 

 

 

 

 

 

 

 

 

 

 

 

 

 

 

 

 

 

 

 

 

 

 

 

 

 

 

 

 

 

 

 

 

 

 

 

 

 

 

 

 

 

 

 

 

 

 

 

 

 

 

 

 

 

 

 

 

 

 

 

 

 

 

 

 

 

 

 

 

 

 

 

 

 

 

 

 

 

 

 

 

 

 

 

Japan

 

 

 

 

 

 

 

 

 

 

 

 

 

 

 

 

 

 

 

 

 

 

 

 

 

 

 

 

 

 

 

 

 

 

 

 

 

 

 

 

 

 

 

 

 

 

 

 

 

 

 

 

 

 

 

 

SVERIGE

 

 

 

 

 

 

 

 

 

 

 

 

 

 

 

 

 

 

 

 

 

 

 

 

 

 

 

 

 

 

 

 

 

 

 

 

 

 

 

 

 

 

 

 

 

 

 

 

 

 

 

 

 

 

 

 

Tyskland

 

 

 

 

 

 

 

 

 

 

 

 

 

 

 

 

 

 

 

 

 

 

 

 

 

 

 

 

 

 

 

 

 

 

 

 

 

 

 

 

 

 

 

 

 

 

 

 

 

 

 

 

 

 

 

 

Schweiz

 

 

 

 

 

 

 

 

 

 

 

 

 

 

 

 

 

 

 

 

 

 

 

 

 

 

 

 

 

 

 

 

 

 

 

 

 

 

 

 

 

 

 

 

 

 

 

 

 

 

 

 

 

 

 

 

Österrike 1)

 

 

 

 

 

 

 

 

 

 

 

 

 

 

 

 

 

 

 

 

 

 

 

 

 

 

 

 

 

 

 

 

 

 

 

 

 

 

 

 

 

 

 

 

 

 

 

 

 

 

 

 

 

 

 

 

Danmark

 

 

 

 

 

 

 

 

 

 

 

 

 

 

 

 

 

 

 

 

 

 

 

 

 

 

 

 

 

 

 

 

 

 

 

 

 

 

 

 

 

 

 

 

 

 

 

 

 

 

 

 

 

 

 

 

Nya Zeeland

 

 

 

 

 

 

 

 

 

 

 

 

 

 

 

 

 

 

 

 

 

 

 

 

 

 

 

 

 

 

 

 

 

 

 

 

 

 

 

 

 

 

 

 

 

 

 

 

 

 

 

 

 

 

 

 

Finland

 

 

 

 

 

 

 

 

 

 

 

 

 

 

 

 

 

 

 

 

 

 

 

 

 

 

 

 

 

 

 

 

 

 

 

 

 

 

 

 

 

 

 

 

 

 

 

 

 

 

 

 

 

 

 

 

Norge 1) 2)

 

 

 

 

 

 

 

 

 

 

 

 

 

 

 

 

 

 

 

 

 

 

 

 

 

 

 

 

 

 

 

 

 

 

 

 

 

 

 

 

 

 

 

 

 

 

 

 

 

 

 

 

 

 

 

 

Korea

 

 

 

 

 

 

 

 

 

 

 

 

 

 

 

 

 

 

 

 

 

 

 

 

 

 

 

 

 

 

 

 

 

 

 

 

 

 

 

 

 

 

 

 

 

 

 

 

 

 

 

 

 

 

 

 

Nederländerna 1)

 

 

 

 

 

 

 

 

 

 

 

 

 

 

 

 

 

 

 

 

 

 

 

 

 

 

 

 

 

 

 

 

 

 

 

 

 

 

 

 

 

 

 

 

 

 

 

 

 

 

 

 

 

 

 

 

Storbritannien

 

 

 

 

 

 

 

 

 

 

 

 

 

 

 

 

 

 

 

 

 

 

 

 

 

 

 

 

 

 

 

 

 

 

 

 

 

 

 

 

 

 

 

 

 

 

 

 

 

 

 

 

 

 

 

 

Luxemburg

 

 

 

 

 

 

 

 

 

 

 

 

 

 

 

 

 

 

 

 

 

 

 

 

 

 

 

 

 

 

 

 

 

 

 

 

 

 

 

 

 

 

 

 

 

 

 

 

 

 

 

 

 

 

 

 

Frankrike

 

 

 

 

 

 

 

 

 

 

 

 

 

 

 

 

 

 

 

 

 

 

 

 

 

 

 

 

 

 

 

 

 

 

 

 

 

 

 

 

 

 

 

 

 

 

 

 

 

 

 

 

 

 

 

 

Belgien

 

 

 

 

 

 

 

 

 

 

 

 

 

 

 

 

 

 

 

 

 

 

 

 

 

 

 

 

 

 

 

 

 

 

 

 

 

 

 

 

 

 

 

 

 

 

 

 

 

 

2005

 

 

Irland

 

 

 

 

 

 

 

 

 

 

 

 

 

 

 

 

 

 

 

 

 

 

 

 

 

 

 

 

 

 

 

 

 

 

 

 

 

 

 

 

 

 

 

 

 

 

 

 

 

 

 

 

Australien

 

 

 

 

 

 

 

 

 

 

 

 

 

 

 

 

 

 

 

 

 

 

2002

 

 

 

 

 

 

 

 

 

 

 

 

 

 

 

 

 

 

 

 

 

 

 

 

 

 

 

 

 

 

 

 

 

 

 

 

 

 

 

 

 

 

 

 

 

 

 

Island

 

 

 

 

 

 

 

 

 

 

 

 

 

 

 

 

 

 

 

 

 

 

1999

 

 

Grekland

 

 

 

 

 

 

 

 

 

 

 

 

 

 

 

 

 

 

 

 

 

 

 

 

 

 

 

 

 

 

 

 

 

 

 

 

 

 

 

 

 

 

 

 

 

 

 

 

Italien

 

 

 

 

 

 

 

 

 

 

 

 

 

 

 

 

 

 

 

 

 

 

 

 

 

 

 

 

 

 

 

 

 

 

 

 

 

 

 

 

 

 

 

 

 

 

 

 

 

 

 

 

 

 

 

 

 

 

 

 

 

 

 

 

 

 

 

 

 

 

 

 

 

 

 

 

 

 

 

 

 

 

 

 

Spanien

 

 

 

 

 

 

 

 

 

 

 

 

 

 

 

 

 

 

 

 

 

 

 

 

 

 

 

 

 

 

 

 

 

 

 

 

 

 

 

 

 

 

 

 

 

 

 

 

 

 

 

 

 

 

 

 

Portugal

 

 

 

 

 

 

 

 

 

 

 

 

 

 

 

 

 

 

 

 

 

 

 

 

 

 

 

 

 

 

 

 

 

 

 

 

 

 

 

 

 

 

 

 

 

 

 

 

 

 

 

 

 

 

 

 

OECD

 

 

 

 

 

 

 

 

 

 

 

 

 

 

 

 

 

 

 

 

 

 

 

 

 

 

 

 

 

 

 

 

 

 

 

 

 

 

 

 

 

 

 

 

 

 

 

 

 

 

 

 

 

 

 

 

 

 

 

 

 

 

 

 

 

 

 

 

 

 

0

20

 

40

 

60

80

100

Källa: OECD, Education at a Glance , 2001, 2004, 2007.

1)År 1999 avser 1998.

2)Tidseriebrott mellan 2004 och 2005.

I Sverige och en mindre grupp länder, däribland Finland och Norge, är andelen med minst gymnasieutbildning lägre bland män än bland kvinnor. I övriga OECD-länder gäller det motsatta.TPF81FPT

Sverige har en relativt hög andel högskoleutbildade i befolk- ningen mellan 25-64 år, då både kort och lång högskoleutbildning inräknas. Sverige har däremot i jämförelse med OECD-länderna en genomsnittlig andel av befolkningen som har minst treårig högskoleutbildning. I ett längre perspektiv har andelen

81TP SePT Utbildningsdepartementet (2004).

121

Utbildning och kompetensförsörjning

Ds 2007:37

högskoleutbildade ökat kraftigt sedan högskoleexpansionen i mitten på 90-talet. Mellan 1997 och 2003 genomfördes en utbyggnad av högskolan som motsvarade närmare 100 000 utbildningsplatser. Samtidigt omvandlades många tvååriga utbildningar till treåriga. Av diagram 5.3 framgår att andelen av befolkningen mellan 25-64 år med lång högskoleutbildning ökade från knappt 13 till drygt 21 procent mellan 1999 och 2005. Det är en av de största ökningarna i OECD och har medfört att Sveriges position i förhållande till de andra OECD-länderna har förbättrats. Ett flertal länder har dock betydligt högre andel högskoleutbildade. I t.ex. USA och Norge, var andelen högskoleutbildade 30 procent.

Diagram 5.3: Andel av befolkningen 25-64 år med minst 3-årig högskoleutbildning år 1999, 2002 och 2005, procent

USA

 

 

 

 

 

 

 

 

 

 

 

Norge 1)

 

 

 

 

 

 

 

 

 

 

 

Nederländerna

 

 

 

 

 

 

 

 

 

 

 

Danmark

 

 

 

 

 

 

 

 

 

 

 

Island

 

 

 

 

 

 

 

 

 

 

 

Kanada

 

 

 

 

 

 

 

 

 

 

 

Korea

 

 

 

 

 

 

 

 

 

 

 

Australien

 

 

 

 

 

 

 

 

 

 

 

Japan

 

 

 

 

 

 

 

 

 

 

 

Storbritannien

 

 

 

 

 

 

 

 

 

 

 

SVERIGE 2)

 

 

 

 

 

 

 

 

 

 

 

Spanien

 

 

 

 

 

 

 

 

 

 

 

Nya Zeeland

 

 

 

 

 

 

 

 

 

 

 

Schweiz

 

 

 

 

 

 

 

 

 

 

 

Irland 1)

 

 

 

 

 

 

 

 

2005

 

 

 

 

 

 

 

 

 

 

 

Finland

 

 

 

 

 

 

 

 

2002

 

 

Luxemburg

 

 

 

 

 

 

 

 

 

 

 

 

 

 

 

 

 

 

 

 

 

Tyskland

 

 

 

 

 

 

 

 

1999

 

 

Frankrike

 

 

 

 

 

 

 

 

 

 

 

 

 

 

 

 

 

 

 

 

 

 

 

 

 

 

 

 

 

 

 

 

Grekland

 

 

 

 

 

 

 

 

 

 

 

Belgien

 

 

 

 

 

 

 

 

 

 

 

Portugal

 

 

 

 

 

 

 

 

 

 

 

Österrike 1)

 

 

 

 

 

 

 

 

 

 

 

OECD

 

 

 

 

 

 

 

 

 

 

 

 

0

5

10

15

20

25

30

35

Källa: OECD, Education at a Glance , 2001, 2005, 2007.

1)År 1999 avser 1998.

2)Tidsseriebrott i SCB:s utbildningsregister mellan 1999 och 2000.

I diagram 5.4 visas andelen med minst 3-årig högskoleutbildning i åldersgruppen 25-34 år. Denna indikator belyser tillskottet av personer med lång högskoleutbildning. I nästan alla länder har andelen med lång högskoleutbildning bland ungdomar ökat stadigt

122

Ds 2007:37

Utbildning och kompetensförsörjning

under perioden 1999 till 2005. I Sverige har andelen ökat från 11 procent 1999 till 28 procent 2005. Flertalet OECD-länder har en liknande utveckling, men ökningen i Sverige är betydligt större än ökningen av OECD-genomsnittet. År 2005 hade fortfarande nio länder ett högre tillskott av personer med lång högskoleutbildning jämfört med Sverige, och förhållandet var ungefär detsamma 2002. USA, Danmark, Korea, Island och Nederländerna hade andelar över 30 procent. I Norge var andelen med minst 3-årig högskoleutbildning i åldersgruppen 25-34 år 39 procent år 2005.

Diagram 5.4: Andel av befolkningen 25-34 år med minst 3-årig högskoleutbildning år 1999, 2002 och 2005, procent

Norge 1)

 

 

 

 

 

 

 

 

 

 

 

 

 

 

 

 

 

 

 

 

 

 

 

 

 

 

 

 

 

 

 

 

 

 

 

 

Nederländerna

 

 

 

 

 

 

 

 

 

 

 

 

 

 

 

 

 

 

 

 

 

 

 

 

 

 

 

 

 

 

 

 

 

 

 

 

 

 

 

 

 

 

 

 

 

 

 

 

 

 

 

 

 

 

 

 

 

 

 

 

 

 

 

 

 

 

 

 

 

 

 

 

 

 

 

 

 

 

 

 

 

 

 

 

 

 

 

 

 

 

 

 

 

 

 

 

 

 

 

 

 

 

 

 

 

 

 

 

Island

 

 

 

 

 

 

 

 

 

 

 

 

 

 

 

 

 

 

 

 

 

 

 

 

 

 

 

 

 

 

 

 

 

 

 

 

 

 

 

 

 

 

 

 

 

 

 

 

 

 

 

 

 

 

 

 

 

 

 

 

 

 

 

 

 

 

 

 

 

 

 

 

Korea

 

 

 

 

 

 

 

 

 

 

 

 

 

 

 

 

 

 

 

 

 

 

 

 

 

 

 

 

 

 

 

 

 

 

 

 

 

 

 

 

 

 

 

 

 

 

 

 

 

 

 

 

 

 

 

 

 

 

 

 

 

 

 

 

 

 

 

 

 

 

 

 

Danmark

 

 

 

 

 

 

 

 

 

 

 

 

 

 

 

 

 

 

 

 

 

 

 

 

 

 

 

 

 

 

 

 

 

 

 

 

 

 

 

 

 

 

 

 

 

 

 

 

 

 

 

 

 

 

 

 

 

 

 

 

 

 

 

 

 

 

 

 

 

 

 

 

USA

 

 

 

 

 

 

 

 

 

 

 

 

 

 

 

 

 

 

 

 

 

 

 

 

 

 

 

 

 

 

 

 

 

 

 

 

 

 

 

 

 

 

 

 

 

 

 

 

 

 

 

 

 

 

 

 

 

 

 

 

 

 

 

 

 

 

 

 

 

 

 

 

Australien

 

 

 

 

 

 

 

 

 

 

 

 

 

 

 

 

 

 

 

 

 

 

 

 

 

 

 

 

 

 

 

 

 

 

 

 

 

 

 

 

 

 

 

 

 

 

 

 

 

 

 

 

 

 

 

 

 

 

 

 

 

 

 

 

 

 

 

 

 

 

 

 

Kanada

 

 

 

 

 

 

 

 

 

 

 

 

 

 

 

 

 

 

 

 

 

 

 

 

 

 

 

 

 

 

 

 

 

 

 

 

 

 

 

 

 

 

 

 

 

 

 

 

 

 

 

 

 

 

 

 

 

 

 

 

 

 

 

 

 

 

 

 

 

 

 

 

Japan

 

 

 

 

 

 

 

 

 

 

 

 

 

 

 

 

 

 

 

 

 

 

 

 

 

 

 

 

 

 

 

 

 

 

 

 

 

 

 

 

 

 

 

 

 

 

 

 

 

 

 

 

 

 

 

 

 

 

 

 

 

 

 

 

 

 

 

 

 

 

 

 

SVERIGE 2)

 

 

 

 

 

 

 

 

 

 

 

 

 

 

 

 

 

 

 

 

 

 

 

 

 

 

 

 

 

 

 

 

 

 

 

 

 

 

 

 

 

 

 

 

 

 

 

 

 

 

 

 

 

 

 

 

 

 

 

 

 

 

 

 

 

 

 

 

 

 

 

 

Spanien

 

 

 

 

 

 

 

 

 

 

 

 

 

 

 

 

 

 

 

 

 

 

 

 

 

 

 

 

 

 

 

 

 

 

 

 

 

 

 

 

 

 

 

 

 

 

 

 

 

 

 

 

 

 

 

 

 

 

 

 

 

 

 

 

 

 

 

 

 

 

 

 

Storbritannien

 

 

 

 

 

 

 

 

 

 

 

 

 

 

 

 

 

 

 

 

 

 

 

 

 

 

 

 

 

 

 

 

 

 

 

 

 

 

 

 

 

 

 

 

 

 

 

 

 

 

 

 

 

 

 

 

 

 

 

 

 

 

 

 

 

 

 

 

 

 

 

 

Finland

 

 

 

 

 

 

 

 

 

 

 

 

 

 

 

 

 

 

 

 

 

 

 

 

 

 

 

 

 

 

 

 

 

 

 

 

 

 

 

 

 

 

 

 

 

 

 

 

 

 

 

 

 

 

 

 

 

 

 

 

 

 

 

 

 

 

 

 

 

 

 

 

Irland 1)

 

 

 

 

 

 

 

 

 

 

 

 

 

 

 

 

 

 

 

 

 

 

 

 

 

 

 

 

 

 

 

 

 

 

 

 

 

 

 

 

 

 

 

 

 

 

 

 

 

 

 

 

 

 

 

 

 

 

 

 

 

 

 

 

 

 

 

 

 

 

 

 

Nya Zeeland

 

 

 

 

 

 

 

 

 

 

 

 

 

 

 

 

 

 

 

 

 

 

 

 

 

 

 

 

 

 

 

 

 

 

 

 

 

 

 

 

 

 

 

 

 

 

 

 

 

 

 

 

 

 

 

 

 

 

 

 

 

 

 

 

 

 

 

2005

 

 

Luxemburg

 

 

 

 

 

 

 

 

 

 

 

 

 

 

 

 

 

 

 

 

 

 

 

 

 

 

 

 

 

 

 

 

 

 

 

 

 

 

 

 

 

 

 

 

 

 

 

 

 

 

 

 

 

 

 

 

 

 

 

 

 

 

 

 

 

 

Frankrike

 

 

 

 

 

 

 

 

 

 

 

 

 

 

 

 

 

 

 

 

 

 

 

 

 

 

 

 

 

 

 

2002

 

 

 

 

 

 

 

 

 

 

 

 

 

 

 

 

 

 

 

 

 

 

 

 

 

 

 

 

 

 

 

 

 

 

 

 

 

 

 

 

 

 

 

 

 

 

 

 

 

 

 

 

 

 

 

 

 

 

 

 

 

 

 

 

 

 

 

 

Schweiz

 

 

 

 

 

 

 

 

 

 

 

 

 

 

 

 

 

 

 

 

 

 

 

 

 

 

 

 

 

 

 

 

 

 

 

 

 

 

 

 

 

 

 

 

 

 

 

 

 

 

 

 

 

 

 

 

 

 

 

 

 

 

 

 

 

 

 

 

 

Belgien

 

 

 

 

 

 

 

 

 

 

 

 

 

 

 

 

 

 

 

 

 

 

 

 

 

 

 

 

 

 

 

1999

 

 

 

 

 

 

 

 

 

 

 

 

 

 

 

 

 

 

 

 

 

 

 

 

 

 

 

 

 

 

 

 

 

 

 

 

 

 

 

 

 

 

 

 

 

 

 

 

 

 

 

 

 

 

 

 

 

 

 

 

 

 

 

 

 

 

 

Portugal

 

 

 

 

 

 

 

 

 

 

 

 

 

 

 

 

 

 

 

 

 

 

 

 

 

 

 

 

 

 

 

 

 

 

 

 

 

 

 

 

 

 

 

 

 

 

 

 

 

 

 

 

 

 

 

 

 

 

 

 

 

 

 

 

 

 

 

 

 

 

 

 

Grekland

 

 

 

 

 

 

 

 

 

 

 

 

 

 

 

 

 

 

 

 

 

 

 

 

 

 

 

 

 

 

 

 

 

 

 

 

 

 

 

 

 

 

 

 

 

 

 

 

 

 

 

 

 

 

 

 

 

 

 

 

 

 

 

 

 

 

 

 

 

 

 

 

Tyskland

 

 

 

 

 

 

 

 

 

 

 

 

 

 

 

 

 

 

 

 

 

 

 

 

 

 

 

 

 

 

 

 

 

 

 

 

 

 

 

 

 

 

 

 

 

 

 

 

 

 

 

 

 

 

 

 

 

 

 

 

 

 

 

 

 

 

 

 

 

 

 

 

Österrike 1)

 

 

 

 

 

 

 

 

 

 

 

 

 

 

 

 

 

 

 

 

 

 

 

 

 

 

 

 

 

 

 

 

 

 

 

 

 

 

 

 

 

 

 

 

 

 

 

 

 

 

 

 

 

 

 

 

 

 

 

 

 

 

 

 

 

 

 

 

 

 

 

 

OECD

 

 

 

 

 

 

 

 

 

 

 

 

 

 

 

 

 

 

 

 

 

 

 

 

 

 

 

 

 

 

 

 

 

 

 

 

 

 

 

 

 

 

 

 

 

 

 

 

 

 

 

 

 

 

 

 

 

 

 

 

 

 

 

 

 

 

 

 

 

 

 

 

 

 

 

 

 

 

 

 

 

 

 

 

 

 

 

 

 

 

 

 

 

0

5

10

 

 

15

20

 

25

 

 

 

30

35

40

45

Källa: OECD, Education at a Glance, 2001, 2005, 2007.

1)År 1999 avser 1998.

2)Tidsseriebrott i SCB:s utbildningsregister mellan 1999 och 2000.

Teknisk och naturvetenskaplig kompetens har förts fram i olika sammanhang som avgörande för ett konkurrenskraftigt kunskapssamhälle, både i Sverige och internationellt. En hög kompetens inom detta område är en viktig förutsättning för bland annat innovationer och en god utveckling inom näringslivet. EU

123

Utbildning och kompetensförsörjning

Ds 2007:37

har fastställt ett gemensamt delmål vars syfte är att öka tillgången på välutbildade naturvetare och tekniker bland medlemsländerna.

I diagram 5.5 visas antalet personer som nyutexaminerats från naturvetenskapliga och tekniska högskoleutbildningar per 1000 personer i befolkningen i åldern 20-29 år. Flertalet länder visar en positiv utveckling med ökande andelar nyutexaminerade från naturvetenskapliga och tekniska utbildningar. Sverige tillhör de länder som hade en relativt stor ökning, och Sveriges position i relation till övriga OECD har förbättrats under den studerade perioden. 2005 var andelen nyutexaminerade naturvetare och tekniker i Sverige drygt 14 procent. Schweiz, Finland, Frankrike, Storbritannien och Irland hade högre värden. Men även om andelen nyutexaminerade från naturvetenskapliga och tekniska utbildningar i en internationell jämförelse är relativt hög i Sverige, innebär inte det att det inte kan finnas en bristsituation på den svenska arbetsmarknaden.

Tyskland och Norge har under perioden relativt sett mycket låga andelar och en svag ökningstakt. Också i USA är andelen nyutexaminerade från naturvetenskapliga och tekniska högskoleutbildningar lägre än genomsnittet för EU, och ökningstakten är mycket svag.

124

Ds 2007:37

Utbildning och kompetensförsörjning

Diagram 5.5: Antalet nyutexaminerade från naturvetenskapliga och tekniska högskoleutbildningar per 1000 invånare i befolkningen i åldern 20-29 år, 1999, 2002 och 2005

Irland

 

 

 

 

 

 

 

 

 

 

Frankrike

 

 

 

 

 

 

 

 

 

 

Storbritannien

 

 

 

 

 

 

 

 

 

 

Finland

 

 

 

 

 

 

 

 

 

 

Schweiz 1)

 

 

 

 

 

 

 

 

 

 

SVERIGE 2)

 

 

 

 

 

 

 

 

 

 

Danmark

 

 

 

 

 

 

 

 

 

 

Japan

 

 

 

 

 

 

 

 

 

 

Portugal 2)

 

 

 

 

 

 

 

 

 

 

Spanien

 

 

 

 

 

 

 

 

 

 

Belgien 3)

 

 

 

 

 

 

 

 

 

 

USA

 

 

 

 

 

 

 

2005

 

 

 

 

 

 

 

 

 

 

Island

 

 

 

 

 

 

 

2002

 

 

Österrike

 

 

 

 

 

 

 

 

 

 

 

 

 

 

 

 

 

 

 

Italien

 

 

 

 

 

 

 

1999

 

 

 

 

 

 

 

 

 

 

 

Tyskland

 

 

 

 

 

 

 

 

 

 

 

 

 

 

 

 

 

 

 

 

Norge

 

 

 

 

 

 

 

 

 

 

Nederländerna

 

 

 

 

 

 

 

 

 

 

EU15

 

 

 

 

 

 

 

 

 

 

 

 

 

 

 

 

 

 

 

 

 

 

0

5

10

15

20

25

30

Källa: Eurostat, Structural Indicators.

1)År 2005 avser 2004.

2)Tidsseriebrott 2003-2004.

3)År 1999 avser 2000.

I samtliga länder där det finns könsuppdelad statistik är antalet nyutexaminerade naturvetare och tekniker lägre bland kvinnor än bland män.

5.4Framtida kompetensförsörjning

De kunskaper som elever har idag är avgörande för hur väl förberedda de är för vidare utbildning och arbetsliv och är en indikation på kvaliteten i ungdomsutbildningssystemen. Nedan redovisas två indikatorer som visar kunskaperna i läsförståelse och matematik hos 15-åringar i Sverige och andra OECD-länder. Indikatorerna visar nationella medelvärden i de test som 15-åringar genomförde år 2000 och 2003 inom ramen för OECD:s Program for International Student Assessment (PISA). Förutom läsförståelse och matematik ingick även naturvetenskap. Eftersom

125

Utbildning och kompetensförsörjning

Ds 2007:37

de nationella medelvärdena baseras på en urvalsundersökning är inte alla skillnader mellan länder statistiskt säkerställda.

Diagram 5.6: Nationella medelvärden i PISA:s undersökning om 15-åringars läsförståelse 2000 och kunskaper i matematik 2003 (rangordnat efter kunskaper i matematik)

OECD

 

 

 

 

 

 

 

 

Finland

 

 

 

 

 

 

 

 

Japan

 

 

 

 

 

 

 

 

Kanada

 

 

 

 

 

 

 

 

Belgien

 

 

 

 

 

 

 

 

Schweiz

 

 

 

 

 

 

 

 

Nya Zeeland

 

 

 

 

 

 

 

 

Australien

 

 

 

 

 

 

 

 

Island

 

 

 

 

 

 

 

 

Danmark

 

 

 

 

 

 

 

 

Frankrike

 

 

 

 

 

 

 

 

SVERIGE

 

 

 

 

 

 

 

 

Österrike

 

 

 

 

 

 

 

 

Irland

 

 

 

 

 

 

 

 

Tyskland

 

 

 

 

 

 

 

 

Norge

 

 

 

 

 

 

 

 

Luxemburg

 

 

 

 

 

 

 

 

Spanien

 

 

 

 

 

 

 

 

USA

 

 

 

 

 

 

 

 

Italien

 

 

 

 

 

Läsförståelse, 2000

Portugal

 

 

 

 

 

 

 

 

 

 

Matematik, 2003

 

Grekland

 

 

 

 

 

 

 

 

 

 

 

 

 

 

Storbritannien

 

 

 

 

 

 

 

 

400

420

440

460

480

500

520

540

560

Källa: OECD, Education at a Glance 2003, 2006.

Av diagram 5.6 framgår att läsförståelsen bland 15-åringar i Sverige är relativt hög. Detta är positivt, inte endast med tanke på att hög läsförståelse är central i arbetslivet, utan också för att läsförståelse har starka samband med ett flertal andra relevanta kompetenser. Sverige ligger på en 8:e plats bland de 22 länderna, men av de länder som har högre värden är det endast skillnaderna jämfört med Finland, Kanada och Nya Zeeland som är statistiskt säkerställda. I tio länder, däribland Frankrike, Danmark och Tyskland, är de nationella medelvärdena lägre och statistiskt säkerställda.

Vid rangordning efter kunskaper i matematik ligger Sverige på 11:e plats, och strax över det internationella genomsnittet, bland de 21 länderna enligt PISA. Av de nordiska länderna var det endast Norge som hade ett sämre resultat. Sveriges position i matematik

126

Ds 2007:37

Utbildning och kompetensförsörjning

är därmed sämre än i läsförståelse. Det högsta resultatet hade Finland, med ett nationellt medelvärde på 544 poäng.

Andra internationella studier styrker att matematikkunskaperna i Sverige är i nivå med genomsnittsvärdet eller lägre. TIMSS 2003 mäter kunskaper i matematik och naturorientering i grundskolans år 8. Jämförelser görs på i huvudsak två sätt. Dels med andra länder i undersökningen, dels med TIMSS-undersökningen 1995. År 2003 är det svenska resultatet sämre än medelvärdet i undersökningsgruppen med 20 länder, endast sex länder har ett lägre genomsnittsvärde än Sverige. Resultatet är också lägre än i TIMSS 1995. Minskningen uppgår till 41 skalpoäng vilket är den största försämring som uppmätts inom den grupp av länder (16 stycken) som genomfört studien vid båda tillfällena.TPF82FPT

PISA redovisar också skillnader i resultat mellan pojkar och flickor. I alla undersökta länder är pojkars resultat i läsförståelse sämre än flickors. I Sverige är skillnaden ganska stor jämfört med i många andra länder. Flickor presterar däremot sämre i matematik. I mer än hälften av länderna, däribland Sverige, är dock skillnaden i matematik mellan flickor och pojkar inte statistiskt säkerställd, och nationella undersökningar visar att flickor också i de naturvetenskapliga ämnena har bättre resultat än pojkarTPF83FPT. I naturvetenskap finns det i PISA-studien nästan inga skillnader mellan flickor och pojkar som är statistiskt säkerställda.

PISA-indikatorerna redovisar endast medelvärden för kärnkompetenserna matematikkunskaper och läsförståelse. Men för ekonomisk omvandling och tillväxt så har det stor betydelse att kompetensen inte är alltför ojämnt fördelad i befolkningen. Sverige hör till den grupp länder i PISA-undersökningen som kombinerar relativt höga genomsnittsresultat med låga spridningsvärden. Kompetensen är jämnare fördelad i Sverige än i flertalet andra länder i undersökningen.TPF84FPT

Den framtida kompetensförsörjningen är beroende av hur attraktiv och ekonomiskt lönsam en högskoleutbildning är för individen. OECD har beräknat ekonomiska incitament för gymnasieutbildade att utbilda sig på högskolenivå. Detta har gjorts enligt en vanligt förekommande metod som innebär att man beräknar det ekonomiska utbytet av en högskoleutbildning jämfört med att inte utbilda sig vid högskola. Metoden innebär att s.k.

82TP PT Skolverket (2004a) och Skolverket (2005).

83TP PT Utbildningsdepartementet (2004), Könsskillnader i utbildningsresultat.

84TP PT OECD (2001a) och OECD (2004a).

127

Utbildning och kompetensförsörjning

Ds 2007:37

internräntor beräknas. Internräntorna beräknas genom att man beräknar en avkastning på nedlagda resurser för utbildning. Avkastningen utgörs främst av högre lön och lägre risk för arbetslöshet. Kostnaderna utgörs av studieskulder, uteblivna löneinkomster och terminsavgifter under studieperioden.

OECD:s beräkningar visar att den ekonomiska avkastningen för både män och kvinnor av att genomgå en högskoleutbildning i Sverige är lägre än genomsnittet för andra OECD-länder. I Sverige bidrar dock studiestöd och avgiftsfri högskoleutbildning i högre utsträckning till den totala avkastningen jämfört med andra länder. Till stor del förklaras den låga internräntan av den låga lönespridningen i Sverige. Relativt sett höga nivåer på marginalskatten sänker de individuella ekonomiska incitamenten för högre utbildning.

Diagram 5.7: Ekonomisk lönsamhet av högskoleutbildning jämfört med gymnasieutbildning (privata internräntor), 2003, procent

Storbritannien

 

 

 

 

 

 

 

 

 

 

 

 

 

 

 

 

 

 

 

 

 

 

 

 

 

 

 

 

 

 

 

 

 

 

 

 

 

 

 

 

 

 

 

 

 

 

 

 

 

 

 

 

 

 

 

 

 

Finland

 

 

 

 

 

 

 

 

 

 

 

 

 

 

 

 

 

 

 

 

 

 

 

 

 

 

 

 

 

 

 

 

 

 

 

 

 

 

 

 

 

 

 

 

 

 

 

 

 

 

 

 

 

 

 

 

 

Norge

 

 

 

 

 

 

 

 

 

 

 

 

 

 

 

 

 

 

 

 

 

 

 

 

 

 

 

 

 

 

 

 

 

 

 

 

 

 

 

 

 

 

 

 

 

 

 

 

 

 

 

 

 

 

 

 

 

Belgien

 

 

 

 

 

 

 

 

 

 

 

 

 

 

 

 

 

 

 

 

 

 

 

 

 

 

 

 

 

 

 

 

 

 

 

 

 

 

 

 

 

 

 

 

 

 

 

 

 

 

 

 

 

 

 

 

 

Korea

 

 

 

 

 

 

 

 

 

 

 

 

 

 

 

 

 

 

 

 

 

 

 

 

 

 

 

 

 

 

 

 

 

 

 

 

 

 

 

 

 

 

 

 

 

 

 

 

 

 

 

 

 

 

 

 

 

USA

 

 

 

 

 

 

 

 

 

 

 

 

 

 

 

 

 

 

 

 

 

 

 

 

 

 

 

 

 

 

 

 

 

 

 

 

 

 

 

 

 

 

 

 

 

 

 

 

 

 

 

 

 

 

 

 

 

Nya Zeeland

 

 

 

 

 

 

 

 

 

 

 

 

 

 

 

 

 

 

 

 

 

 

 

 

 

 

 

 

 

 

 

 

 

 

Kvinnor

 

 

Schweiz

 

 

 

 

 

 

 

 

 

 

 

 

 

 

 

 

 

 

 

 

 

 

 

 

 

 

 

 

 

 

 

 

Män

 

 

 

 

 

 

 

 

 

 

 

 

 

 

 

 

 

 

 

SVERIGE

 

 

 

 

 

 

 

 

 

 

 

 

 

 

 

 

 

 

 

 

 

 

 

 

 

 

 

 

 

 

 

 

 

 

 

 

 

 

 

 

 

 

 

 

 

 

 

 

 

 

 

 

 

 

 

 

 

 

 

 

 

 

 

 

 

 

 

 

 

 

 

 

 

 

Danmark

 

 

 

 

 

 

 

 

 

 

 

 

 

 

 

 

 

 

 

 

 

 

 

 

 

 

 

 

 

 

 

 

 

 

 

 

 

 

 

 

 

 

 

 

 

 

 

 

 

 

 

 

 

 

 

 

 

 

 

 

 

 

 

 

 

 

 

 

 

 

 

 

0

5

10

 

 

 

15

 

20

25

Källa: OECD, Education at a Glance 2006, 2007.

Ur ett samhällsekonomiskt perspektiv är det önskvärt att de högskoleutbildade etableras på arbetsmarknaden vid så låg ålder som möjligt. Effektivitetsbrister och systemfel kan leda till försämrad genomströmning i utbildningssystemen, försenad högskolestart och hög etableringsålder för högutbildade på arbetsmarknaden. Detta är ofördelaktigt såväl för individernas livsinkomst som för samhället.

Internationellt sett har övergångsfrekvensen till högskolestudier i Sverige varit hög bland äldre medan den har varit låg bland

128

Ds 2007:37

Utbildning och kompetensförsörjning

ungdomsgrupperna. Av diagram 5.8 framgår att medianåldern för studenter som för första gången påbörjade en högskoleutbildning år 1999 var 22,6 år i Sverige. Det betyder att hälften av nybörjarna år 1999 var äldre än 22 år. Medianåldern var endast högre i Danmark och Island. Inom EU var medianåldern i flera länder drygt 21 år. 2002 har medianåldern i Sverige ökat något till 22,7 men sjunkit till 22,5 år 2005. Endast Danmark och Island hade en högre medianålder 2005.

Diagram 5.8: Medianålder för högskolenybörjare som påbörjar högskoleutbildning för första gången, 1999-2005

Island Danmark SVERIGE Schweiz Norge 1) Tyskland Finland Nya Zeeland Australien Österrike 2)

Nederländerna USA Storbritannien Belgien 3) Spanien Irland 2) Frankrike

2005

2002

1999

0

5

10

15

20

25

30

Källa: OECD, Education at a Glance , 2001, 2004, 2007.

1)År 2002 avser 2001.

2)År 1999 avser 1998.

3)Belgien Fl.

I en senare fas i livscykeln är vuxenutbildning, lärande i arbetet och arbetsplatsorienterad utbildning väsentliga för fortsatt lärande och kompetensförsörjning. Flera nationella och internationella studier indikerar att omfattningen av vidareutbildning och kompetensutveckling är stor i Sverige jämfört med andra länder. Deltagandet i formella och icke-formella utbildningar är betydligt högre i Sverige än i övriga EU-länder. En övergripande bild av kompetensutvecklingen eller det livslånga lärandet i Sverige jämfört med andra länder ges i diagram 5.9 som visar andel av befolkningen 25-64 år som deltar i utbildning/kompetensutveckling.

129

Utbildning och kompetensförsörjning

Ds 2007:37

Diagram 5.9: Andel av befolkningen 25-64 år som deltar i utbildning/kompetensutveckling 2000-2006, procent

SVERIGE 1)

Danmark

Schweiz 1)

Storbritannien

Island 1)

Finland

Norge 2)

Nederländerna

Österrike

Spanien

Luxemburg

Belgien

Tyskland

Irland

Frankrike

Italien

Portugal

Grekland

EU15

2006 2003

2000

0

5

10

15

20

25

30

35

40

Källa: Eurostat Structural Indicators

1)År 2006 avser 2005.

2)År 2000 avser 2001.

Anm. Merparten av länderna har tidsseriebrott mellan 2002 och 2004.

I Sverige deltog 2005 mer än 32 procent i utbildning och kompetensutveckling (inom en 4-veckorsperiod innan undersökningstillfället). Inget av de jämförda länderna hade ett högre värde. Genomsnittet för EU15 var 11,8 procent. Variationerna mellan länderna och över tid är dock stora, vilket indikerar att data ska tolkas med försiktighet.

130

6 Arbetsmarknad

Arbetsmarknadens funktionssätt har mycket stor betydelse för ekonomins utveckling och ett lands konkurrenskraft. För konkurrenskraften är det betydelsefullt att matchningen på arbetsmarknaden fungerar väl så att företagens efterfrågan på arbetskraft snabbt kan tillgodoses. För finansiering av välfärdssystemen är det av stor vikt att så många som möjligt i förvärvsaktiv ålder arbetar, särskilt med tanke på den demografiska utvecklingen i Sverige och i andra OECD-länder där allt fler lever allt längre.

EU-nivå finns olika typer av målsättningar för arbetsmarknaden som direkt eller indirekt innebär ökad sysselsättning. Dessa målsättningar uttrycks i Lissabonprogrammet

– En agenda för tillväxt och sysselsättning. Ett övergripande mål inom EU är att 70 procent av befolkningen i åldersgruppen 15-64 år ska vara sysselsatta år 2010. För kvinnor är målet 60 procent år 2010. För att uppnå dessa mer övergripande mål finns ett flertal andra mål, bl.a. ökad tillgång till barnomsorg och höjd genomsnittsålder för utträde från arbetsmarknaden.

Regeringens övergripande mål är att skapa förutsättningar för fler jobb i fler och växande företag och att därigenom bryta utanförskapet i Sverige. Reformer inom skatte- och socialförsäkringssystemen som leder till att det blir mer lönsamt att arbeta, särskilt för låg- och medelinkomsttagare, har därför genomförts. Reformer har även genomförts för att göra det enklare och mindre kostsamt att anställa samt för att förbättra matchningen.

131

Arbetsmarknad

Ds 2007:37

6.1Indikatorer

De flesta indikatorerna i detta avsnitt visar utvecklingen sedan åren runt millennieskiftet och fram till år 2005 eller 2006. Indikatorerna inom arbetsmarknadsområdet har i första hand valts för att belysa de av regeringen prioriterade områdena sysselsättning och utanförskap. Indikatorerna visar bl.a. på hur mycket befolkningen i olika länder arbetar. Här finns även indikatorer på arbetsmarknadens funktionssätt samt på arbetskraftsutbudets drivkrafter. Indikatorerna är:

Sysselsättning

Sysselsättningsgrad

Arbetade timmar i befolkningen

Sysselsättningsgrad för utrikes födda

Ålder vid utträde från arbetsmarknaden

Arbetslöshet

Harmoniserad arbetslöshet

Långtidsarbetslöshet

Ungdomsarbetslöshet

Sjukfrånvaro

Sjukfrånvaro bland anställda

Drivkrafter för arbetsutbud

Skattekil på löneinkomst

Nettokompensationsnivå

Marginaleffekten vid övergång från arbetslöshet till arbete

Anställningsskydd

Anställningsskyddets strikthet

Rörlighet i arbetslivet

Antal år med samma arbetsgivare

132

Ds 2007:37

Arbetsmarknad

6.1.1Sveriges position och slutsatser

Samtliga indikatorer i detta kapitel sammanfattas i figur 6.1. Figur 6.1 är konstruerad så att det sämsta landets resultat placeras i centrum och det bästa landets resultat placeras i yttersta änden av spindeldiagrammet för respektive indikator, dvs. resultaten är normaliserade. De bästa resultaten för alla indikatorer sammanbinds med den streckade yttre linjen i figuren även om det rör sig om olika länder. Utöver de bästa och sämsta resultaten indikeras även Sveriges och medianlandets resultat för respektive indikator i spindeldiagrammet. Sveriges position sammanbinds med en orange linje, medan medianvärdet för länderna sammanfogas till en ljusgrå mängd. Efter varje indikatornamn i figurerna anges Sveriges placering bland länderna samt, inom parentes, hur många länder som ingår i jämförelsen. Eftersom avståndet mellan det bästa och det sämsta resultatet bland länderna är normaliserat, får man av spindeldiagrammet även en uppfattning om avståndet mellan Sverige, topplandet, medianlandet och det sämst placerade landet för respektive indikator.

Figur 6.1: Indikatorer rörande arbetsmarknad - översikt

Sysselsättningsgrad 6 ( 24 )

Rörlighet i arbetslivet

Arbetade timmar 13 ( 18 )

12 ( 18 )

 

Anställningsskyddets

Sysselsättningsgrad, utrikes

strikthet 17 ( 22 )

födda 13 ( 19 )

Marginaleffekten vid övergång från arbetslöshet

Utträdesålder från

till arbete 17 ( 19 )

arbetsmarknaden 3 ( 18 )

Nettokompensationsnivå

Arbetslöshet 11 ( 18 )

10 ( 24 )

Skattekil på löneinkomst

Långtidsarbetslöshet 3 ( 20 ) 22 ( 24 )

Ungdomsarbetslöshet

Sjukfrånvaro 8 ( 8 )

15 ( 18 )

Toppland

 

Medianland

Sverige

 

Källa: se respektive indikator.

Sverige har förhållandevis hög sysselsättning mätt som antal personer i relation till befolkningen jämfört med andra länder. Däremot är antalet faktiskt arbetade timmar i befolkningen inte

133

Arbetsmarknad

Ds 2007:37

särskilt hög i Sverige, omkring genomsnittet för EU-länderna. I Sverige är sysselsättningsgraden bland utrikes födda betydligt lägre än i den övriga delen av befolkningen. Sedan mitten av 1990-talet och fram till 2005 har emellertid sysselsättningsgraden stigit snabbare bland utrikes födda än bland övriga i förvärvsaktiv ålder i Sverige liksom i många andra OECD-länder.

Arbetslösheten är numera högre i Sverige än i merparten av de jämförda länderna. Arbetslösheten är särskilt hög bland ungdomar. Andelen långtidsarbetslösa har emellertid minskat och i detta avseende ligger Sverige bättre till i en internationell jämförelse. Sjukfrånvaron har minskat i Sverige under de senaste åren. Sverige ligger trots det högt jämfört med andra länder.

Indikatorerna som avspeglar drivkrafter för arbetsutbud visar på att Sverige sammantaget ligger under genomsnittet för OECD- länderna. För att öka incitamenten till att delta på arbetsmarknaden, och på så sätt öka sysselsättningen, har regeringen infört jobbskatteavdrag och arbetslöshetsförsäkringen har förändrats. För att ett ökat arbetsutbud ska mötas av ökad efterfrågan på arbetskraft har även åtgärder för att stimulera efterfrågan på arbetskraft införts. Exempel på sådana åtgärder är borttagande av den särskilda löneskatten för personer över 65 år, halverad arbetsgivaravgift för personer i åldersgruppen 18-24 år, nystartsjobb samt skattereduktion för vissa hushållsnära tjänster.

Det enligt lag reglerade anställningsskyddet är förhållandevis strikt i Sverige. Detta kan utläsas i OECD:s indikator över ”anställningsskyddets strikthet”. Anställningsvillkor enligt anställningsavtal i olika länder återspeglas emellertid inte i detta mått.

6.2Sysselsättning

En ökad sysselsättning med ett ökat antal arbetade timmar bidrar starkt till att BNP och levnadsstandarden kan öka. En ökad sysselsättning i privat sektor är även mycket viktig för att kunna finansiera välfärdssystem av dagens omfattning vad gäller volym och kvalitet. I figur 6.2 visas sysselsättningsgraden i Sverige och OECD sedan år 1980. Sysselsättningsgraden definieras här som andelen sysselsatta av befolkningen i förvärvsaktiv ålder. Sverige har en klart högre nivå på sysselsättningsgraden jämfört med OECD-genomsnittet. Detta förklaras främst av att

134

Ds 2007:37

Arbetsmarknad

sysselsättningen bland kvinnor och bland äldre är mycket högre i Sverige jämfört med OECD-genomsnittet.

Figur 6.2 visar att andelen sysselsatta var ungefär 80 procent i Sverige på 1980-talet. I slutet av 1980-talet rådde överhettning på den svenska arbetsmarknaden och sysselsättningsgraden steg till 83 procent under 1990.TPF85FPT Från 1990 och tre år framåt minskar sedan sysselsättningsgraden med över 10 procentenheter. Även om sysselsättningsgraden i Sverige ökat något sedan mitten av 1990- talet ligger den fortfarande på en betydligt lägre nivå än under 1980-talet. I OECD-området har sysselsättningsgraden generellt sett ökat svagt under de senaste 25 åren.

Figur 6.2: Sysselsättningsgrad 15-64 år, 1980-2006, procent

85

 

SVERIGE

 

 

80

 

OECD

75

 

 

70

 

 

65

 

 

60

 

 

55

 

 

50

 

 

1980 1982 1984 1986

1988 1990 1992 1994 1996 1998

2000 2002 2004 2006

Källa: OECD, Economic Outlook 81, 2007, database.

I samband med den kraftiga sysselsättningsnedgången i Sverige under de första åren på 1990-talet ökade antalet arbetslösa snabbt. Denna utveckling medförde att antalet personer som försörjdes av sociala ersättningar och bidrag steg kraftigt under dessa år. Sociala ersättningar och bidrag mätt i så kallade helårsekvivalenter steg då i absoluta tal till över en miljon.TPF86FPT Antalet helårsekvivalenter i relation till befolkningen i åldern 20-64 år visas i figur 6.3.

85TP ArbetslöshetenPT var historiskt mycket låg (ca 1,5 procent) och den årliga löneökningstakten var ungefär 10 procent.

86TP PT Med helårsekvivalenter avses det antal individer som skulle kunna försörjas under ett helt år med full ersättning givet den faktiska ersättningsvolymen. Exempelvis blir två personer som varit heltidsarbetslösa ett halvår var, tillsammans en helårsekvivalent. De sociala ersättningar och bidrag som ingår i detta mått är: sjukpenning, sjuk- och aktivitetsersättning, öppen arbetslöshet, arbetsmarknadsåtgärder samt ekonomiskt bistånd.

135

Arbetsmarknad

Ds 2007:37

Figur 6.3: Sociala ersättningar och bidrag, helårsekvivalenter som andel av befolkningen i åldrarna 20–64 år, 1990–2006, procent

25

 

 

 

 

 

 

 

 

20

 

Ekonomiskt bistånd

 

 

 

 

 

 

 

 

 

 

 

 

 

 

 

Arbetsmarknadsåtgärder

 

 

 

 

 

15

 

 

 

 

 

 

 

 

 

 

Arbetslöshet

 

 

 

 

 

10

 

 

 

 

 

 

 

 

 

 

 

Sjuk- och aktivitetsersättning

 

 

5

 

 

 

 

 

 

 

 

 

 

 

 

Sjukpenning

 

 

 

0

 

 

 

 

 

 

 

 

1990

1992

1994

1996

1998

2000

2002

2004

2006

Källa: SCB.

Sedan i mitten av 1990-talet har en relativt kraftig omfördelning av bidragsvolymen ägt rum. Antalet öppet arbetslösa och antalet personer i arbetsmarknadsåtgärder har minskat och volymerna inom sjukpenning och sjuk- och aktivitetsersättning har ökat. Denna förändring av sammansättningen medför att fler personer försörjs av ersättningar och bidrag där man traditionellt står längre från arbetsmarknaden. Sammantaget har antalet (helårsekvivalenter) som försörjs genom sociala ersättningar och bidrag minskat något, men volymen ligger på en betydligt högre nivå jämfört med i början av 1990-talet. Antalet helårsekvivalenter har sedan 1993 varje år överstigit en miljon.

6.2.1Åtgärder för ökad sysselsättning och minskat utanförskap

I syfte att minska utanförskapet har regeringen genomfört olika åtgärder inom skatteområdet och inom socialförsäkringssystemet. Åtgärderna syftar att öka både utbud- och efterfrågan på arbetskraft.

För att göra det mer lönsamt att arbeta och därigenom öka arbetsutbudet, har ett särskilt jobbskatteavdrag införts fr.o.m. 1

136

Ds 2007:37

Arbetsmarknad

januari 2007.TPF87FPT För att ytterligare öka incitamenten att arbeta har ersättningsnivån i arbetslöshetsförsäkringen sänkts fr.o.m. 5 mars 2007.TPF88FPT Regeringen avser även att begränsa möjligheten att uppbära arbetslöshetsersättning vid deltidsarbetslöshet från den 1 januari 2008.TPF89FPT Regeringen föreslår också en rad åtgärder för fler vägar tillbaka från sjukfrånvaro till jobb.TPF90FPT

För att öka företagens efterfrågan på arbetskraft har sedan den 1 januari 2007 den särskilda löneskatten på arbetsinkomster och inkomster av aktiv näringsverksamhet för personer som fyllt 65 år och är födda 1938 eller senare slopats. Regeringen har i 2007 års ekonomiska vårproposition aviserat att den särskilda löneskatten fr.o.m. den 1 januari 2008 skall slopas även för personer födda före 1938. Av samma skäl och i syfte att minska ungdomsarbetslösheten sänktes arbetsgivaravgiften (exklusive ålderspensionsavgift) för personer som vid årets ingång fyllt 18 men inte 25 år fr.o.m. den 1 juli 2007.

För att underlätta för personer som varit borta från arbetsmarknaden under en längre period infördes 1 januari 2007 s.k. nystartsjobb. Nystartsjobben innebär en subvention till arbetsgivaren av ett belopp motsvarande full arbetsgivaravgift för de personer som kvalificerar sig till ett nystartsjobb.TPF91FPT

Som visas i diagram 3.1 har sysselsättningen i den privata tjänstesektorn i Sverige vuxit långsammare än i andra länder. Skillnaden i sysselsättningstillväxt mellan Sverige och EU15 återfinns inom de flesta tjänstebranscher, se tabell 6.1. Det enda undantaget är inom branschen för IT-tjänster där sysselsättningen vuxit lite snabbare i Sverige än i EU15.

87TP IPT budgetpropositionen för 2008 (prop. 2007/08:1) aviserar regeringen att jobbskatteavdraget ska utvidgas fr.o.m. inkomståret 2008.

88TP PT Efter 200 dagars ersättningsperiod sänks ersättningsnivån från 80 till 70 procent. Efter 300 dagars ersättningsperiod sänks ersättningsnivån till 65 procent för personer utan barn. För personer med barn sänks ersättningsnivån till 65 procent efter 450 dagar.

89TP PT Antalet ersättningsdagar som kan användas vid deltidsarbetslöshet begränsas till 75 dagar (prop. 2007/08:1, utgiftsområde 13). Idag kan hela ersättningsperioden om 300 ersättningsdagar användas vid deltidsutfyllnad.

90TP PT Prop. 2007/08:1, Finansplan, sid. 20.

91TP PT Berättigade till nystartsjobb är personer som under mer än ett år (ungdomar 6 månader) har varit arbetslösa, deltagit i arbetsmarknadspolitiska program, haft skyddat arbete på Samhall, haft sjukpenning eller haft sjuk- och aktivitetsersättning. Det gäller också vissa nyanlända invandrare. Subventionen lämnas under lika lång tid som vederbörande varit arbetslös, deltagit i arbetsmarknadspolitiska program, haft skyddat arbete alternativt fått sin försörjning från sjukpenning eller sjuk- och aktivitetsersättning, dock högst fem år.

137

Arbetsmarknad

Ds 2007:37

Tabell 6.1 Sysselsättningsökning i privat tjänstesektor 1992- 2004, procent av total sysselsättning 1992

 

Sverige

EU15

Handel

0,0

1,6

Hotell och restaurang

0,4

1,3

Kommunikationer och finansiell verksamhet

-0,4

0,4

Företagstjänster inkl. fastighetsverksamhet

2,4

4,5

IT-tjänster

1,1

0,9

Övriga privata tjänster

0,4

2,0

Summa privat tjänstesektor

3,9

10,7

Källa: EU KLEMS Database, March 2007.

Trots den svaga sysselsättningsutvecklingen i privat tjänstesektor har tillväxten i förädlingsvärdet varit minst lika god i Sverige som i EU15 genom att produktivitetstillväxten i de flesta privata tjänstebranscher varit snabbare i Sverige.

Regeringen avser att stimulera till ökad sysselsättning i sådana branscher i tjänstesektorn där den enskilde individen kan välja att utföra tjänsten själv, där förekomst av svartarbete är stor och i branscher som domineras av arbetskraft med låga utbildningskrav. Regeringen avser därför att föreslå att arbetsgivaravgifterna ska sänkas i vissa branscher i tjänstesektorn fr.o.m. 1 januari 2008.

Stimulansen åstadkoms genom en riktad sänkning av arbetsgivaravgifterna. Ytterligare en åtgärd för att stimulera efterfrågan på tjänster och omvandla svart arbete till vitt är införandet av en skattereduktion vid köp av vissa hushållstjänster. Denna skattelättnad syftar även till att öka arbetsutbudet genom att mer tid kan frigöras för avlönat arbete. Åtgärden infördes från och med 1 juli 2007.

6.2.2Sysselsättningsgrad

I diagram 6.1 visas sysselsättningsgraden för olika länder i åldersgruppen 15-64 år. Av diagrammet framgår att sysselsättningsgraden i Sverige är hög i ett internationellt perspektiv. Sverige ligger på sjätte plats bland de jämförda länderna. Sverige har sedan år 2003 tappat en placering genom att Nya Zeeland passerat Sverige. I Sverige uppgick sysselsättningsgraden till 74,5 procent år 2006. Den i särklass högsta sysselsättningsnivån har Island, 85,3 procent år 2006.

138

Ds 2007:37

Arbetsmarknad

Sysselsättningsgraden har ökat något i Sverige under tidsperioden i denna länderjämförelse. År 2006 var sysselsättningsgraden 0,3 procentenheter högre än under år 2000. Under samma tidsperiod har sysselsättningsgraden bland EU- länderna ökat med nästan 2,5 procentenheter.

Sveriges höga sysselsättningsgrad beror till stor del på en högre sysselsättningsgrad bland äldre och bland kvinnor. Sverige har den fjärde högsta sysselsättningsgraden för kvinnor, men placerar sig bara på en femtonde plats för sysselsättningsgraden bland män. Sysselsättningsgraden är dock högre för män än för kvinnor i Sverige, vilket den även är i samtliga andra länder. Skillnaden mellan sysselsättningsgraden för män och kvinnor är minst i Finland och Sverige.

Diagram 6.1: Sysselsättningsgrad 15-64 år, 2000-2006, procent

Island

 

 

 

 

 

 

 

 

 

 

 

 

 

 

 

 

 

 

 

 

 

 

 

 

 

Schweiz

 

 

 

 

 

 

 

 

 

 

 

 

 

 

 

 

 

 

 

 

 

 

 

 

 

 

 

 

 

 

 

 

 

 

 

 

 

 

 

 

 

 

 

 

 

 

 

 

 

 

Danmark

 

 

 

 

 

 

 

 

 

 

 

 

 

 

 

 

 

 

 

 

 

 

 

 

 

 

 

 

 

 

 

 

 

 

 

 

 

 

 

 

 

 

 

 

 

 

 

 

 

 

Norge

 

 

 

 

 

 

 

 

 

 

 

 

 

 

 

 

 

 

 

 

 

 

 

 

 

 

 

 

 

 

 

 

 

 

 

 

 

 

 

 

 

 

 

 

 

 

 

 

 

 

Nya Zeeland

 

 

 

 

 

 

 

 

 

 

 

 

 

 

 

 

 

 

 

 

 

 

 

 

 

 

 

 

 

 

 

 

 

 

 

 

 

 

 

 

 

 

 

 

 

 

 

 

 

 

SVERIGE

 

 

 

 

 

 

 

 

 

 

 

 

 

 

 

 

 

 

 

 

 

 

 

 

 

 

 

 

 

 

 

 

 

 

 

 

 

 

 

 

 

 

 

 

 

 

 

 

 

 

Kanada

 

 

 

 

 

 

 

 

 

 

 

 

 

 

 

 

 

 

 

 

 

 

 

 

 

 

 

 

 

 

 

 

 

 

 

 

 

 

 

 

 

 

 

 

 

 

 

 

 

 

Storbritannien

 

 

 

 

 

 

 

 

 

 

 

 

 

 

 

 

 

 

 

 

 

 

 

 

 

 

 

 

 

 

 

 

 

 

 

 

 

 

 

 

 

 

 

 

 

 

 

 

 

 

Nederländerna

 

 

 

 

 

 

 

 

 

 

 

 

 

 

 

 

 

 

 

 

 

 

 

 

 

 

 

 

 

 

 

 

 

 

 

 

 

 

 

 

 

 

 

 

 

 

 

 

 

 

Australien

 

 

 

 

 

 

 

 

 

 

 

 

 

 

 

 

 

 

 

 

 

 

 

 

 

 

 

 

 

 

 

 

 

 

 

 

 

 

 

 

 

 

 

 

 

 

 

 

 

 

USA

 

 

 

 

 

 

 

 

 

 

 

 

 

 

 

 

 

 

 

 

 

 

 

 

 

 

 

 

 

 

 

 

 

 

 

 

 

 

 

 

 

 

 

 

 

 

 

 

 

 

Österrike

 

 

 

 

 

 

 

 

 

 

 

 

 

 

 

 

 

 

 

 

 

 

 

 

 

 

 

 

 

 

 

 

 

 

 

 

 

 

 

 

 

 

 

 

 

 

 

 

 

 

Japan

 

 

 

 

 

 

 

 

 

 

 

 

 

 

 

 

 

 

 

 

 

 

 

 

 

 

 

 

 

 

 

 

 

 

 

 

 

 

 

 

 

 

 

 

 

 

 

 

 

 

Finland

 

 

 

 

 

 

 

 

 

 

 

 

 

 

 

 

 

 

 

 

 

 

 

 

 

 

 

 

 

 

 

 

 

 

 

 

 

 

 

 

 

 

 

 

 

 

 

 

 

 

Irland

 

 

 

 

 

 

 

 

 

 

 

 

 

 

 

 

 

 

 

 

 

 

 

 

 

 

 

 

 

 

 

 

 

 

 

 

 

 

 

 

 

 

 

 

 

 

 

 

 

 

Portugal

 

 

 

 

 

 

 

 

 

 

 

 

 

 

 

 

 

 

 

 

 

 

 

 

 

 

 

 

 

 

 

 

 

 

 

 

 

 

 

 

 

 

 

 

 

 

 

 

 

 

Tyskland

 

 

 

 

 

 

 

 

 

 

 

 

 

 

 

 

 

 

 

 

 

 

 

 

 

 

 

 

 

 

 

 

 

 

 

 

 

 

 

 

 

 

 

 

 

 

 

 

 

 

Spanien

 

 

 

 

 

 

 

 

 

 

 

 

 

 

 

 

 

 

 

 

 

 

 

 

 

 

 

 

 

 

 

 

 

 

 

 

 

 

 

 

 

 

 

 

 

 

 

 

 

 

Korea

 

 

 

 

 

 

 

 

 

 

 

 

 

 

 

 

 

 

 

 

 

 

2006

 

Luxemburg 1)

 

 

 

 

 

 

 

 

 

 

 

 

 

 

 

 

 

 

 

 

 

 

 

 

 

Frankrike

 

 

 

 

 

 

 

 

 

 

 

 

 

 

 

 

 

 

 

 

 

 

2003

 

 

 

 

 

 

 

 

 

 

 

 

 

 

 

 

 

 

 

 

 

 

 

 

Grekland

 

 

 

 

 

 

 

 

 

 

 

 

 

 

 

 

 

 

 

 

 

 

 

 

 

Belgien

 

 

 

 

 

 

 

 

 

 

 

 

 

 

 

 

 

 

 

 

 

 

2000

 

 

 

 

 

 

 

 

 

 

 

 

 

 

 

 

 

 

 

 

 

 

 

 

Italien

 

 

 

 

 

 

 

 

 

 

 

 

 

 

 

 

 

 

 

 

 

 

 

EU15

 

 

 

 

 

 

 

 

 

 

 

 

 

 

 

 

 

 

 

 

 

 

 

 

 

 

 

 

 

 

 

 

 

 

 

 

 

 

 

 

 

 

 

 

 

 

 

 

 

 

OECD

 

 

 

 

 

 

 

 

 

 

 

 

 

 

 

 

 

 

 

 

 

 

 

 

 

 

 

 

 

 

 

 

 

 

 

 

 

 

 

 

 

 

 

 

 

 

 

 

 

 

 

 

 

 

 

 

 

 

 

 

 

 

 

 

0

20

40

60

 

 

 

80

 

100

OECD Employment Outlook 2007. 1) År 2006 avser 2005.

I sysselsättningsstatistiken ingår även t.ex. sjukfrånvarande dvs. personer som är frånvarande från arbetet p.g.a. sjukdom. Ett bättre

139

Arbetsmarknad

Ds 2007:37

mått på sysselsättning i ekonomin är därför antalet arbetade timmar.

6.2.3Arbetade timmar

Antalet arbetade timmar beskriver den tid som läggs ned på avlönat arbete. Detta redovisas i den svenska arbetskraftsundersökningen (AKU). Dessa mätningar görs även i andra länder. I diagram 6.2 visas antalet arbetade timmar i genomsnitt per person och vecka i befolkningen 15-64 år.

Diagram 6.2: Antal arbetade timmar per vecka i befolkningen, 15-64 år, 2000-2006

Island 1)

 

 

 

 

 

 

 

 

 

 

 

 

 

 

 

 

 

 

 

 

 

 

 

 

 

Schweiz

 

 

 

 

 

 

 

 

 

 

 

 

 

 

 

 

 

 

 

 

 

 

 

 

 

 

 

 

 

 

 

 

 

 

 

 

 

 

 

 

 

 

 

 

 

 

 

 

 

 

 

 

 

 

 

 

 

 

 

 

 

 

 

 

 

 

 

 

 

 

 

 

 

 

 

Portugal

 

 

 

 

 

 

 

 

 

 

 

 

 

 

 

 

 

 

 

 

 

 

 

 

 

 

 

 

 

 

 

 

 

 

 

 

 

 

 

 

 

 

 

 

 

 

 

 

 

 

Grekland

 

 

 

 

 

 

 

 

 

 

 

 

 

 

 

 

 

 

 

 

 

 

 

 

 

 

 

 

 

 

 

 

 

 

 

 

 

 

 

 

 

 

 

 

 

 

 

 

 

 

Österrike

 

 

 

 

 

 

 

 

 

 

 

 

 

 

 

 

 

 

 

 

 

 

 

 

 

 

 

 

 

 

 

 

 

 

 

 

 

 

 

 

 

 

 

 

 

 

 

 

 

 

Irland

 

 

 

 

 

 

 

 

 

 

 

 

 

 

 

 

 

 

 

 

 

 

 

 

 

 

 

 

 

 

 

 

 

 

 

 

 

 

 

 

 

 

 

 

 

 

 

 

 

 

Danmark

 

 

 

 

 

 

 

 

 

 

 

 

 

 

 

 

 

 

 

 

 

 

 

 

 

 

 

 

 

 

 

 

 

 

 

 

 

 

 

 

 

 

 

 

 

 

 

 

 

 

Storbritannien

 

 

 

 

 

 

 

 

 

 

 

 

 

 

 

 

 

 

 

 

 

 

 

 

 

 

 

 

 

 

 

 

 

 

 

 

 

 

 

 

 

 

 

 

 

 

 

 

 

 

Tyskland

 

 

 

 

 

 

 

 

 

 

 

 

 

 

 

 

 

 

 

 

 

 

 

 

 

 

 

 

 

 

 

 

 

 

 

 

 

 

 

 

 

 

 

 

 

 

 

 

 

 

Spanien

 

 

 

 

 

 

 

 

 

 

 

 

 

 

 

 

 

 

 

 

 

 

 

 

 

 

 

 

 

 

 

 

 

 

 

 

 

 

 

 

 

 

 

 

 

 

2006

 

 

Norge

 

 

 

 

 

 

 

 

 

 

 

 

 

 

 

 

 

 

 

 

 

 

 

 

 

 

 

 

 

 

 

 

 

 

 

 

 

 

 

 

 

 

 

 

 

 

 

 

Finland

 

 

 

 

 

 

 

 

 

 

 

 

 

 

 

 

 

 

 

 

 

2003

 

 

 

 

 

 

 

 

 

 

 

 

 

 

 

 

 

 

 

 

 

 

 

 

 

SVERIGE

 

 

 

 

 

 

 

 

 

 

 

 

 

 

 

 

 

 

 

 

 

 

 

 

 

 

 

 

 

 

 

 

 

 

 

 

 

 

 

 

 

 

 

 

2000

 

 

 

 

 

 

 

 

 

 

 

 

 

 

 

 

 

 

 

 

 

 

 

 

 

Nederländerna

 

 

 

 

 

 

 

 

 

 

 

 

 

 

 

 

 

 

 

 

 

 

 

 

 

 

 

 

 

 

 

 

 

 

 

 

 

 

 

 

 

 

 

 

 

 

 

 

 

 

 

 

 

 

 

 

 

 

 

 

 

 

 

 

 

 

 

 

 

 

 

 

 

 

 

 

 

 

 

 

 

 

 

 

 

 

 

 

 

 

Luxemburg

 

 

 

 

 

 

 

 

 

 

 

 

 

 

 

 

 

 

 

 

 

 

 

 

 

 

 

 

 

 

 

 

 

 

 

 

 

 

 

 

 

 

 

 

 

 

 

 

 

 

Italien

 

 

 

 

 

 

 

 

 

 

 

 

 

 

 

 

 

 

 

 

 

 

 

 

 

 

 

 

 

 

 

 

 

 

 

 

 

 

 

 

 

 

 

 

 

 

 

 

 

 

Frankrike

 

 

 

 

 

 

 

 

 

 

 

 

 

 

 

 

 

 

 

 

 

 

 

 

 

 

 

 

 

 

 

 

 

 

 

 

 

 

 

 

 

 

 

 

 

 

 

 

 

 

Belgien

 

 

 

 

 

 

 

 

 

 

 

 

 

 

 

 

 

 

 

 

 

 

 

 

 

 

 

 

 

 

 

 

 

 

 

 

 

 

 

 

 

 

 

 

 

 

 

 

 

 

EU15

 

 

 

 

 

 

 

 

 

 

 

 

 

 

 

 

 

 

 

 

 

 

 

 

 

 

 

 

 

 

 

 

 

 

 

 

 

 

 

 

 

 

 

 

 

 

 

 

 

 

 

 

 

 

 

 

 

 

 

 

 

 

 

 

 

 

 

0

5

10

15

20

 

 

25

 

30

35

40

Källa: SCB och Eurostat. 1) År 2006 avser 2005.

I en ranking bland 18 europeiska länder ligger Sverige på 13:e plats. År 2006 ligger genomsnittet i Sverige på 21,8 timmar per vecka, vilket är lika mycket som i EU15. Liksom för sysselsättningen i allmänhet är den höga förvärvsfrekvensen bland kvinnor och bland äldre personer faktorer som bidrar till ett högre genomsnittligt antal arbetade timmar i befolkningen i Sverige. Att Sverige trots dessa förhållanden inte kommer högre i en

140

Ds 2007:37

Arbetsmarknad

internationell ranking har att göra med den omfattande försörjningen med sociala ersättningar och bidrag där sjuk- och aktivitetsersättningen har stor inverkan.

I alla EU-länder som visas här är antalet arbetade timmar mindre bland kvinnor än bland män. År 2006 arbetade män i åldern 15-64 i Sverige i genomsnitt 25,0 timmar per vecka och kvinnor 18,6 timmar per vecka. Den relativa skillnaden mellan könen är betydligt mindre i Sverige än för genomsnittet i EU-länderna där män i samma åldersgrupp i genomsnitt arbetar 27,2 timmar och kvinnor 16,4 timmar.TPF92FPT

6.2.4Sysselsättning bland utrikes födda

En del av problematiken med utanförskap på arbetsmarknaden har att göra med bristande integration av personer med utländsk bakgrund. OECD har i en rapport publicerat statistik över olika OECD-länders sysselsättningsgrad bland utrikes födda. Detta visas i diagram 6.3. Av diagrammet framgår att i Sverige har utrikes födda en förhållandevis låg sysselsättningsgrad jämfört med andra OECD-länder. I Sverige, som har en generellt sett hög sysselsättningsgrad, är skillnaden i åldersgruppen 15-64 år mellan svenskfödda och utrikes födda hög jämfört med andra OECD- länder, 14 procentenheter år 2005. Skillnaden i sysselsättningsgrad har generellt sett minskat i OECD-länderna under perioden 1995- 2005 och så även i Sverige.TP F93FPT

Det finns olika skäl till varför sysselsättningsgraden för utrikes födda kan skilja sig åt mellan olika länder. För det första är reglerna om vem som kan få uppehållstillstånd och/eller medborgarskap olika. För det andra skiljer sig invandringens sammansättning åt beroende på olika länders skilda historiska traditioner samt geografisk och/eller språklig närhet. Hur stor arbetskraftsinvandringen respektive flyktinginvandringen är kan ha stor betydelse för sysselsättningen eftersom arbetskraftsinvandring syftar till att förse en nationell arbetsmarknad med just den kompetens som för tillfället efterfrågas medan flyktinginvandring baseras på humanitära skäl. Ett mönster är därför att i länder med hög arbetskraftsinvandring är skillnaden i sysselsättningsgrad

92TP AvserPT genomsnitt bland 15 EU-länder (EU15). 93TP OECDPT (2007a) och OECD (2005b).

141

Arbetsmarknad

Ds 2007:37

mellan inrikes- och utrikes födda betydligt mindre jämfört med länder där flyktinginvandringen dominerar.TPF94FPT

Länder som Sverige, Danmark och Nederländerna har en förhållandevis låg sysselsättningsgrad bland utrikes födda. Dessa länder har även haft en liknande utveckling av flyktinginvandringen som bidragit till en större andel flyktingar i befolkningen jämfört med genomsnittet i EU15.

Diagram 6.3: Sysselsättningsgrad för utrikes födda, 15-64 år, 1995-2005, procent

Portugal

Schweiz

Spanien USA Luxemburg Irland Australien Grekland Storbritannien Italien Norge Österrike SVERIGE

Nederländerna Danmark Finland Tyskland Frankrike Belgien

2005

2000

1995

0

20

40

60

80

100

Källa: OECD , International Migration Outlook, 2007.

94TP FinansdepartementetPT (2007).

142

Ds 2007:37

Arbetsmarknad

6.2.5Utträde från arbetsmarknaden

Den genomsnittliga åldern då personer lämnar arbetslivet för pension har stor betydelse för sysselsättningsnivån. Vid sidan om ålderspensionering är sjuk- och aktivitetsersättning ett vanligt skäl till att äldre personer lämnar arbetsmarknaden. Genomsnittsåldern för utträde från arbetsmarkanden är ofta väsentligt lägre än den ”formella” ålder enligt vilken ålderspension utgår. I diagram 6.4 visas genomsnittsåldern för utträde från arbetsmarknaden i 18 europeiska länder.

Bland de 18 länder som redovisas i diagram 6.4 ligger Sverige år 2005 på tredje plats. I Sverige har, liksom merparten av de jämförda länderna, genomsnittsåldern för utträde från arbetsmarknaden ökat mellan år 2001 och 2005. Sveriges position har därför förbättrats och trenden sedan 1960-talet och fram till 1990-talet att kvinnor och män i Sverige lämnar arbetsmarknaden vid allt yngre ålder har brutits.TPF95FPT Genomsnittsåldern under enskilda år påverkas av konjunkturen då personer ofta väljer att stanna kvar i arbetslivet längre då arbetsmarknadsläget är gott.

I Europa lämnar kvinnor arbetsmarknaden i genomsnitt ett halvt år tidigare än vad männen gör. Även i Sverige är genomsnittsåldern för utträde från arbetsmarknaden lite högre för män än för kvinnor. Skillnaden mellan könen har ökat i Sverige mellan 2001 och 2005 medan den har minskat för EU15. Rörelserna är dock små och observationer för enskilda år bör tolkas med stor försiktighet.

95TP OECDPT (2005c).

143

Arbetsmarknad

Ds 2007:37

Diagram

6.4:

 

Genomsnittsåldern

 

 

för

utträde

från

arbetsmarknaden, 2001 och 2005

 

 

 

 

 

 

 

 

 

 

 

 

 

 

 

 

 

 

 

 

 

 

 

 

 

 

Island

 

 

 

 

 

 

 

 

 

 

 

 

 

 

 

 

 

 

 

 

 

 

 

 

 

 

 

 

 

 

 

 

 

 

 

 

 

 

 

 

 

 

 

 

 

 

 

 

 

 

 

 

 

 

 

 

 

 

 

 

 

 

 

 

 

 

 

 

 

 

 

 

 

 

 

 

 

 

 

 

 

 

 

 

 

 

 

 

 

 

 

 

 

 

 

 

 

 

 

Irland

 

 

 

 

 

 

 

 

 

 

 

 

 

 

 

 

 

 

 

 

 

 

 

 

 

 

 

 

 

 

 

 

 

 

 

 

 

 

 

 

 

 

 

 

 

 

 

 

 

 

 

 

 

 

 

 

 

 

 

 

 

 

 

 

 

 

SVERIGE

 

 

 

 

 

 

 

 

 

 

 

 

 

 

 

 

 

 

 

 

 

 

 

 

 

 

 

 

 

 

 

 

 

 

 

 

 

 

 

 

 

 

 

 

 

 

 

 

 

 

 

 

 

 

 

 

 

 

 

 

 

 

 

 

 

 

Norge

 

 

 

 

 

 

 

 

 

 

 

 

 

 

 

 

 

 

 

 

 

 

 

 

 

 

 

 

 

 

 

 

 

 

 

 

 

 

 

 

 

 

 

 

 

 

 

 

 

 

 

 

 

 

 

 

 

 

 

 

 

 

 

 

 

 

Portugal

 

 

 

 

 

 

 

 

 

 

 

 

 

 

 

 

 

 

 

 

 

 

 

 

 

 

 

 

 

 

 

 

 

 

 

 

 

 

 

 

 

 

 

 

 

 

 

 

 

 

 

 

 

 

 

 

 

 

 

 

 

 

 

 

 

 

 

 

 

 

 

 

 

 

 

 

 

 

 

 

 

 

 

 

 

 

 

 

 

 

 

 

 

 

 

 

 

 

 

Storbritannien

 

 

 

 

 

 

 

 

 

 

 

 

 

 

 

 

 

 

 

 

 

 

 

 

 

 

 

 

 

 

 

 

 

 

 

 

 

 

 

 

 

 

 

 

 

 

 

 

 

 

 

 

 

 

 

 

 

 

 

 

 

 

 

 

 

 

 

 

 

 

 

 

 

 

 

 

 

 

 

 

 

 

 

 

 

 

 

 

 

 

 

 

 

 

 

 

 

 

 

Schweiz

 

 

 

 

 

 

 

 

 

 

 

 

 

 

 

 

 

 

 

 

 

 

 

 

 

 

 

 

 

 

 

 

 

 

 

 

 

 

 

 

 

 

 

 

 

 

 

 

 

 

 

 

 

 

 

 

 

 

 

 

 

 

 

 

 

 

 

 

 

 

 

 

 

 

 

 

 

 

 

 

 

 

 

 

 

 

 

 

 

 

 

 

 

 

 

 

 

 

 

Spanien

 

 

 

 

 

 

 

 

 

 

 

 

 

 

 

 

 

 

 

 

 

 

 

 

 

 

 

 

 

 

 

 

 

 

 

 

 

 

 

 

 

 

 

 

 

 

 

 

 

 

 

 

 

 

 

 

 

 

 

 

 

 

 

 

 

 

 

 

 

 

 

 

 

 

 

 

 

 

 

 

 

 

 

 

 

 

 

 

 

 

 

 

 

 

 

 

 

 

 

Finland

 

 

 

 

 

 

 

 

 

 

 

 

 

 

 

 

 

 

 

 

 

 

 

 

 

 

 

 

 

 

 

 

 

 

 

 

 

 

 

 

 

 

 

 

 

 

 

 

 

 

 

 

 

 

 

 

 

 

 

 

 

 

 

 

 

 

 

 

 

 

 

 

 

 

 

 

 

 

 

 

 

 

 

 

 

 

 

 

 

 

 

 

 

 

 

 

 

 

 

Grekland 1)

 

 

 

 

 

 

 

 

 

 

 

 

 

 

 

 

 

 

 

 

 

 

 

 

 

 

 

 

 

 

 

 

 

 

 

 

 

 

 

 

 

 

 

 

 

 

 

 

 

 

 

 

 

 

 

 

 

 

 

 

 

 

 

 

 

 

Nederländerna

 

 

 

 

 

 

 

 

 

 

 

 

 

 

 

 

 

 

 

 

 

 

 

 

 

 

 

 

 

 

 

 

 

 

 

 

 

 

 

 

 

 

 

 

 

 

 

 

 

 

 

 

 

 

 

 

 

 

 

 

 

 

2005

 

Tyskland 2)

 

 

 

 

 

 

 

 

 

 

 

 

 

 

 

 

 

 

 

 

 

 

 

 

 

 

 

 

 

 

 

 

 

 

 

 

 

 

 

 

 

 

 

 

 

 

 

 

 

 

 

 

 

 

 

 

 

 

 

 

 

 

 

Danmark

 

 

 

 

 

 

 

 

 

 

 

 

 

 

 

 

 

 

 

 

 

 

 

 

 

 

 

 

 

2001

 

Belgien

 

 

 

 

 

 

 

 

 

 

 

 

 

 

 

 

 

 

 

 

 

 

 

 

 

 

 

 

 

 

 

 

 

 

 

 

 

 

 

 

 

 

 

 

 

 

 

 

 

 

 

 

 

 

 

 

 

 

 

 

 

 

 

 

 

 

 

 

 

 

 

 

 

 

 

 

 

 

 

 

 

 

 

 

 

 

 

 

 

 

 

 

 

 

 

 

Österrike

 

 

 

 

 

 

 

 

 

 

 

 

 

 

 

 

 

 

 

 

 

 

 

 

 

 

 

 

 

 

 

 

 

 

 

 

 

 

 

 

 

 

 

 

 

 

 

 

 

 

 

 

 

 

 

 

 

 

 

 

 

 

 

 

 

 

 

 

 

 

 

 

 

 

 

 

 

 

 

 

 

 

 

 

 

 

 

 

 

 

 

 

 

 

 

 

 

 

 

Italien

 

 

 

 

 

 

 

 

 

 

 

 

 

 

 

 

 

 

 

 

 

 

 

 

 

 

 

 

 

 

 

 

 

 

 

 

 

 

 

 

 

 

 

 

 

 

 

 

 

 

 

 

 

 

 

 

 

 

 

 

 

 

 

 

 

 

 

 

 

 

 

 

 

 

 

 

 

 

 

 

 

 

 

 

 

 

 

 

 

 

 

 

 

 

 

 

 

 

 

Luxemburg

 

 

 

 

 

 

 

 

 

 

 

 

 

 

 

 

 

 

 

 

 

 

 

 

 

 

 

 

 

 

 

 

 

 

 

 

 

 

 

 

 

 

 

 

 

 

 

 

 

 

 

 

 

 

 

 

 

 

 

 

 

 

 

 

 

 

Frankrike

 

 

 

 

 

 

 

 

 

 

 

 

 

 

 

 

 

 

 

 

 

 

 

 

 

 

 

 

 

 

 

 

 

 

 

 

 

 

 

 

 

 

 

 

 

 

 

 

 

 

 

 

 

 

 

 

 

 

 

 

 

 

 

 

 

 

EU15

 

 

 

 

 

 

 

 

 

 

 

 

 

 

 

 

 

 

 

 

 

 

 

 

 

 

 

 

 

 

 

 

 

 

 

 

 

 

 

 

 

 

 

 

 

 

 

 

 

 

 

 

 

 

 

 

 

 

 

 

 

 

 

 

 

 

 

 

 

 

 

 

 

 

 

 

 

 

 

 

 

 

 

 

 

 

 

 

 

 

50

52

54

56

 

58

 

 

 

60

62

 

 

 

64

66

68

Källa: Eurostat, Structural indicators.

Anm: Beräkningarna har utförts av Eurostat och bygger på data från EU Labour Force Survey.

1)2001 avser år 2002.

2)2005 avser år 2004.

6.3Arbetslöshet

I en väl fungerande ekonomi omallokeras arbetskraft över tid. Vissa sektorer minskar samtidigt som andra växer. Företag tillkommer eller försvinner och befintliga företag ökar och minskar sin arbetsstyrka. I denna omvandling kan personer bli arbetslösa under vissa perioder. Det kan bero på att efterfrågan på arbetskraft inte är lika stor som utbudet av arbetskraft. Det kan också bero på att den arbetskraft som finns att tillgå inte har den kompetens som efterfrågas samtidigt som det kan råda brist på arbetskraft med annan kompetens.

144

Ds 2007:37

Arbetsmarknad

6.3.1Harmoniserad arbetslöshet

Arbetslöshetsnivån i åldern 15-74 år visas i diagram 6.5.TPF96FPT

Diagram 6.5: Harmoniserad arbetslöshet 15-74 år, 2000-2006, procent

Norge

 

 

 

 

 

 

 

 

 

 

 

 

 

 

 

 

 

 

 

 

 

 

 

 

 

 

 

 

 

 

 

 

 

 

 

 

 

Nederländerna

 

 

 

 

 

 

 

 

 

 

 

 

 

 

 

 

 

 

 

 

 

 

 

 

 

 

 

 

 

 

 

 

 

 

 

 

 

 

 

 

 

 

 

 

 

 

 

 

 

 

 

 

 

 

 

 

 

 

 

 

 

 

 

 

 

 

 

 

 

 

 

 

 

 

 

 

 

 

 

 

 

 

 

 

 

 

 

 

 

 

 

 

 

 

 

 

 

 

 

 

 

 

 

 

 

 

 

 

 

 

 

Danmark

 

 

 

 

 

 

 

 

 

 

 

 

 

 

 

 

 

 

 

 

 

 

 

 

 

 

 

 

 

 

 

 

 

 

 

 

 

 

 

 

 

 

 

 

 

 

 

 

 

 

 

 

 

 

 

 

 

 

 

 

 

 

 

 

 

 

 

 

 

 

 

 

 

 

Japan

 

 

 

 

 

 

 

 

 

 

 

 

 

 

 

 

 

 

 

 

 

 

 

 

 

 

 

 

 

 

 

 

 

 

 

 

 

 

 

 

 

 

 

 

 

 

 

 

 

 

 

 

 

 

 

 

 

 

 

 

 

 

 

 

 

 

 

 

 

 

 

2006

 

Irland

 

 

 

 

 

 

 

 

 

 

 

 

 

 

 

 

 

 

 

 

 

 

 

 

 

 

 

 

 

 

 

 

 

 

 

 

 

 

 

 

 

 

 

 

 

 

 

 

 

 

 

 

 

 

 

 

 

 

 

 

 

 

 

 

 

 

 

 

 

2003

 

USA

 

 

 

 

 

 

 

 

 

 

 

 

 

 

 

 

 

 

 

 

 

 

 

 

 

 

 

 

 

 

 

 

 

 

 

 

 

 

 

 

 

 

 

 

 

 

 

 

 

 

 

 

 

 

 

 

 

 

 

 

 

 

 

 

 

 

 

 

 

Luxemburg

 

 

 

 

 

 

 

 

 

 

 

 

 

 

 

 

 

 

 

 

 

 

 

 

 

 

 

 

 

 

 

 

 

 

2000

 

 

 

 

 

 

 

 

 

 

 

 

 

 

 

 

 

 

 

 

 

 

 

 

 

 

 

 

 

 

 

 

 

 

 

 

Österrike

 

 

 

 

 

 

 

 

 

 

 

 

 

 

 

 

 

 

 

 

 

 

 

 

 

 

 

 

 

 

 

 

 

 

 

 

 

 

 

 

 

 

 

 

 

 

 

 

 

 

 

 

 

 

 

 

 

 

 

 

 

 

 

 

 

 

 

 

 

 

 

 

Storbritannien

 

 

 

 

 

 

 

 

 

 

 

 

 

 

 

 

 

 

 

 

 

 

 

 

 

 

 

 

 

 

 

 

 

 

 

 

 

 

 

 

 

 

 

 

 

 

 

 

 

 

 

 

 

 

 

 

 

 

 

 

 

 

 

 

 

 

 

 

 

 

 

 

 

 

 

 

 

 

 

 

 

 

 

 

 

 

 

 

 

 

 

 

 

 

 

 

 

 

 

 

 

 

 

 

 

 

 

 

 

 

 

Italien

 

 

 

 

 

 

 

 

 

 

 

 

 

 

 

 

 

 

 

 

 

 

 

 

 

 

 

 

 

 

 

 

 

 

 

 

 

 

 

 

 

 

 

 

 

 

 

 

 

 

 

 

 

 

 

 

 

 

 

 

 

 

 

 

 

 

 

 

 

 

 

 

 

 

SVERIGE 1)

 

 

 

 

 

 

 

 

 

 

 

 

 

 

 

 

 

 

 

 

 

 

 

 

 

 

 

 

 

 

 

 

 

 

 

 

 

 

 

 

 

 

 

 

 

 

 

 

 

 

 

 

 

 

 

 

 

 

 

 

 

 

 

 

 

 

 

 

 

 

 

 

 

 

Finland

 

 

 

 

 

 

 

 

 

 

 

 

 

 

 

 

 

 

 

 

 

 

 

 

 

 

 

 

 

 

 

 

 

 

 

 

 

 

 

 

 

 

 

 

 

 

 

 

 

 

 

 

 

 

 

 

 

 

 

 

 

 

 

 

 

 

 

 

 

 

 

 

 

 

Portugal

 

 

 

 

 

 

 

 

 

 

 

 

 

 

 

 

 

 

 

 

 

 

 

 

 

 

 

 

 

 

 

 

 

 

 

 

 

 

 

 

 

 

 

 

 

 

 

 

 

 

 

 

 

 

 

 

 

 

 

 

 

 

 

 

 

 

 

 

 

 

 

 

 

 

Belgien

 

 

 

 

 

 

 

 

 

 

 

 

 

 

 

 

 

 

 

 

 

 

 

 

 

 

 

 

 

 

 

 

 

 

 

 

 

 

 

 

 

 

 

 

 

 

 

 

 

 

 

 

 

 

 

 

 

 

 

 

 

 

 

 

 

 

 

 

 

 

 

 

 

 

Tyskland

 

 

 

 

 

 

 

 

 

 

 

 

 

 

 

 

 

 

 

 

 

 

 

 

 

 

 

 

 

 

 

 

 

 

 

 

 

 

 

 

 

 

 

 

 

 

 

 

 

 

 

 

 

 

 

 

 

 

 

 

 

 

 

 

 

 

 

 

 

 

 

 

 

 

Spanien

 

 

 

 

 

 

 

 

 

 

 

 

 

 

 

 

 

 

 

 

 

 

 

 

 

 

 

 

 

 

 

 

 

 

 

 

 

 

 

 

 

 

 

 

 

 

 

 

 

 

 

 

 

 

 

 

 

 

 

 

 

 

 

 

 

 

 

 

 

 

 

 

 

 

Grekland

 

 

 

 

 

 

 

 

 

 

 

 

 

 

 

 

 

 

 

 

 

 

 

 

 

 

 

 

 

 

 

 

 

 

 

 

 

 

 

 

 

 

 

 

 

 

 

 

 

 

 

 

 

 

 

 

 

 

 

 

 

 

 

 

 

 

 

 

 

 

 

 

 

 

Frankrike

 

 

 

 

 

 

 

 

 

 

 

 

 

 

 

 

 

 

 

 

 

 

 

 

 

 

 

 

 

 

 

 

 

 

 

 

 

 

 

 

 

 

 

 

 

 

 

 

 

 

 

 

 

 

 

 

 

 

 

 

 

 

 

 

 

 

 

 

 

 

 

 

 

 

EU15

 

 

 

 

 

 

 

 

 

 

 

 

 

 

 

 

 

 

 

 

 

 

 

 

 

 

 

 

 

 

 

 

 

 

 

 

 

 

 

 

 

 

 

 

 

 

 

 

 

 

 

 

 

 

 

 

 

 

 

 

 

 

 

 

 

 

 

 

 

 

 

 

 

 

 

 

 

 

 

 

 

 

 

 

 

 

 

 

 

 

 

 

 

 

 

 

 

 

 

 

 

 

 

 

 

 

0

2

 

 

 

4

 

 

 

 

 

 

 

 

6

 

 

 

 

 

8

 

 

 

 

 

10

12

Källa: Eurostat.

1) Tidsseriebrott mellan 2003 och 2006.

I diagram 6.5 visas på en tydlig ökning i arbetslösheten i Sverige mellan 2003 och 2006. Den kraftiga ökningen förklaras till en del av en omläggning i statistiken för Sverige fr.o.m. 2005.TPF97FPT De förändringar som omläggningen medfört syftar till att öka den internationella jämförbarheten, det innebär att värdet för år 2006 har en god jämförbarhet med övriga länder. Sverige hade år 2006 hög arbetslöshet jämfört med många andra länder och ligger på elfte plats bland de 18 jämförda länderna. Detta är en försämring jämfört med år 2003.

Skillnaden i arbetslöshet mellan kvinnor och män är liten i Sverige. Arbetslösheten bland svenska kvinnor var 0,2

96TP ArbetslöshetenPT mäts i termer av harmoniserad arbetslöshet, vilket innebär att statistiken justeras för att bli jämförbar mellan länder.

97TP DataPT för Sverige bygger på underlag från den svenska Arbetskraftsundersökningen (AKU). Under 2005 gjordes förändringar i undersökningen för att AKU ska harmonisera med övriga EU-länder.

145

Arbetsmarknad

Ds 2007:37

procentenheter högre än bland männen år 2006. I framförallt de sydeuropeiska länderna har männen betydligt lägre arbetslöshet jämfört med kvinnorna. Största skillnaderna finns i Grekland och Spanien där kvinnornas arbetslöshet är 8 respektive 5 procentenheter högre än den är bland männen.

6.3.2Långtidsarbetslöshet

Långtidsarbetslöshet medför både ekonomiska och sociala problem. Risken för permanent utslagning från arbetsmarknaden ökar ju längre tid en person befinner sig i arbetslöshet. Anställningsbarheten försämras över tid p.g.a. att humankapitalet deprecieras av bristande kontakt med arbetsmarknaden. Det är därför väsentligt att långtidsarbetslösheten hålls på en låg nivå. I diagram 6.6 visas andelen långtidsarbetslösa (definierad som minst tolv månaders arbetslöshet) bland alla arbetslösa. Detta mått fångar enbart längden på den innevarande arbetslöshetsperioden. Det medför att personer som varit arbetslösa under en längre period men under det senaste året haft en kortare tids anställning eller studieperiod inte räknas som långtidsarbetslösa.

Som framgår av diagram 6.6 är andelen långtidsarbetslösa låg i Sverige. Långtidsarbetslösheten är endast lägre i USA och på Island. Långtidsarbetslösheten har minskat markant i Sverige sedan 2000. År 2000 hade 25 procent av de arbetslösa i Sverige varit det i minst 12 månader. Andelen långtidsarbetslösa har sedan sjunkit och år 2003 var andelen 18 procent och 2006 var den 15 procent.

Skillnader i långtidsarbetslöshet mellan kvinnor och män varierar kraftigt mellan de 20 länderna i jämförelsen. I drygt hälften av länderna, däribland Sverige, är andelen långtidsarbetslösa högre bland män än bland kvinnor. I Sverige var andelen långtidsarbetslösa 13 procent för kvinnor och 17 procent för män. Sveriges placering i länderjämförelsen är dock densamma för både kvinnor och män, en tredjeplats.

146

Ds 2007:37

Arbetsmarknad

Diagram 6.6: Långtidsarbetslöshet, 12 månader eller längre, andel av arbetslösa, 2000-2006, procent

USA

 

 

 

 

 

 

 

 

 

 

 

 

 

 

 

 

 

 

 

 

 

 

 

 

 

 

 

 

 

 

 

 

 

 

 

 

 

 

 

 

Island 1)

 

 

 

 

 

 

 

 

 

 

 

 

 

 

 

 

 

 

 

 

 

 

 

 

 

 

 

 

 

 

 

 

 

 

 

 

 

 

 

 

 

 

 

 

 

 

 

 

 

 

 

 

 

 

 

 

 

 

 

 

 

 

 

 

 

 

 

 

 

 

 

 

 

 

 

 

 

 

 

 

 

 

 

 

 

 

 

 

 

 

 

 

 

 

 

 

 

 

 

 

 

 

 

 

 

 

 

 

 

 

 

 

 

 

 

 

 

 

 

 

SVERIGE

 

 

 

 

 

 

 

 

 

 

 

 

 

 

 

 

 

 

 

 

 

 

 

 

 

 

 

 

 

 

 

 

 

 

 

 

 

 

 

 

 

 

 

 

 

 

 

 

 

 

 

 

 

 

 

 

 

 

 

 

 

 

 

 

 

 

 

 

 

 

 

 

 

 

 

 

2006

 

 

Danmark

 

 

 

 

 

 

 

 

 

 

 

 

 

 

 

 

 

 

 

 

 

 

 

 

 

 

 

 

 

 

 

 

 

 

 

 

 

 

 

 

 

 

 

 

 

 

 

 

 

 

 

 

 

 

 

 

 

 

 

 

 

 

 

 

 

 

 

 

 

 

 

 

 

 

 

 

 

 

Spanien

 

 

 

 

 

 

 

 

 

 

 

 

 

 

 

 

 

 

 

 

 

 

 

 

 

 

 

 

 

 

 

 

 

 

 

 

2003

 

 

 

 

 

 

 

 

 

 

 

 

 

 

 

 

 

 

 

 

 

 

 

 

 

 

 

 

 

 

 

 

 

 

 

 

 

 

 

 

 

 

 

 

 

 

 

 

 

 

 

 

 

 

 

 

 

 

 

 

 

 

 

 

 

 

 

 

 

 

 

 

 

 

 

 

Storbritannien

 

 

 

 

 

 

 

 

 

 

 

 

 

 

 

 

 

 

 

 

 

 

 

 

 

 

 

 

 

 

 

 

 

 

 

 

2000

 

 

 

 

 

 

 

 

 

 

 

 

 

 

 

 

 

 

 

 

 

 

 

 

 

 

 

 

 

 

 

 

 

 

 

 

 

 

 

 

Norge

 

 

 

 

 

 

 

 

 

 

 

 

 

 

 

 

 

 

 

 

 

 

 

 

 

 

 

 

 

 

 

 

 

 

 

 

 

 

 

 

 

 

 

 

 

 

 

 

 

 

 

 

 

 

 

 

 

 

 

 

 

 

 

 

 

 

 

 

 

 

 

 

 

 

 

 

 

 

 

 

 

 

 

 

 

 

 

 

 

 

 

 

 

 

 

 

 

 

 

 

 

 

 

 

 

 

 

 

 

 

 

Finland

 

 

 

 

 

 

 

 

 

 

 

 

 

 

 

 

 

 

 

 

 

 

 

 

 

 

 

 

 

 

 

 

 

 

 

 

 

 

 

 

 

 

 

 

 

 

 

 

 

 

 

 

 

 

 

 

 

 

 

 

 

 

 

 

 

 

 

 

 

 

 

 

 

 

 

 

 

 

 

 

Österrike

 

 

 

 

 

 

 

 

 

 

 

 

 

 

 

 

 

 

 

 

 

 

 

 

 

 

 

 

 

 

 

 

 

 

 

 

 

 

 

 

 

 

 

 

 

 

 

 

 

 

 

 

 

 

 

 

 

 

 

 

 

 

 

 

 

 

 

 

 

 

 

 

 

 

 

 

 

 

 

 

Luxemburg

 

 

 

 

 

 

 

 

 

 

 

 

 

 

 

 

 

 

 

 

 

 

 

 

 

 

 

 

 

 

 

 

 

 

 

 

 

 

 

 

 

 

 

 

 

 

 

 

 

 

 

 

 

 

 

 

 

 

 

 

 

 

 

 

 

 

 

 

 

 

 

 

 

 

 

 

 

 

 

 

Irland

 

 

 

 

 

 

 

 

 

 

 

 

 

 

 

 

 

 

 

 

 

 

 

 

 

 

 

 

 

 

 

 

 

 

 

 

 

 

 

 

 

 

 

 

 

 

 

 

 

 

 

 

 

 

 

 

 

 

 

 

 

 

 

 

 

 

 

 

 

 

 

 

 

 

 

 

 

 

 

 

Japan

 

 

 

 

 

 

 

 

 

 

 

 

 

 

 

 

 

 

 

 

 

 

 

 

 

 

 

 

 

 

 

 

 

 

 

 

 

 

 

 

 

 

 

 

 

 

 

 

 

 

 

 

 

 

 

 

 

 

 

 

 

 

 

 

 

 

 

 

 

 

 

 

 

 

 

 

 

 

 

 

Schweiz

 

 

 

 

 

 

 

 

 

 

 

 

 

 

 

 

 

 

 

 

 

 

 

 

 

 

 

 

 

 

 

 

 

 

 

 

 

 

 

 

 

 

 

 

 

 

 

 

 

 

 

 

 

 

 

 

 

 

 

 

 

 

 

 

 

 

 

 

 

 

 

 

 

 

 

 

 

 

 

 

Frankrike

 

 

 

 

 

 

 

 

 

 

 

 

 

 

 

 

 

 

 

 

 

 

 

 

 

 

 

 

 

 

 

 

 

 

 

 

 

 

 

 

 

 

 

 

 

 

 

 

 

 

 

 

 

 

 

 

 

 

 

 

 

 

 

 

 

 

 

 

 

 

 

 

 

 

 

 

 

 

 

 

Nederländerna

 

 

 

 

 

 

 

 

 

 

 

 

 

 

 

 

 

 

 

 

 

 

 

 

 

 

 

 

 

 

 

 

 

 

 

 

 

 

 

 

 

 

 

 

 

 

 

 

 

 

 

 

 

 

 

 

 

 

 

 

 

 

 

 

 

 

 

 

 

 

 

 

 

 

 

 

 

 

 

 

Italien

 

 

 

 

 

 

 

 

 

 

 

 

 

 

 

 

 

 

 

 

 

 

 

 

 

 

 

 

 

 

 

 

 

 

 

 

 

 

 

 

 

 

 

 

 

 

 

 

 

 

 

 

 

 

 

 

 

 

 

 

 

 

 

 

 

 

 

 

 

 

 

 

 

 

 

 

 

 

 

 

Portugal

 

 

 

 

 

 

 

 

 

 

 

 

 

 

 

 

 

 

 

 

 

 

 

 

 

 

 

 

 

 

 

 

 

 

 

 

 

 

 

 

 

 

 

 

 

 

 

 

 

 

 

 

 

 

 

 

 

 

 

 

 

 

 

 

 

 

 

 

 

 

 

 

 

 

 

 

 

 

 

 

Belgien

 

 

 

 

 

 

 

 

 

 

 

 

 

 

 

 

 

 

 

 

 

 

 

 

 

 

 

 

 

 

 

 

 

 

 

 

 

 

 

 

 

 

 

 

 

 

 

 

 

 

 

 

 

 

 

 

 

 

 

 

 

 

 

 

 

 

 

 

 

 

 

 

 

 

 

 

 

 

 

 

Grekland

 

 

 

 

 

 

 

 

 

 

 

 

 

 

 

 

 

 

 

 

 

 

 

 

 

 

 

 

 

 

 

 

 

 

 

 

 

 

 

 

 

 

 

 

 

 

 

 

 

 

 

 

 

 

 

 

 

 

 

 

 

 

 

 

 

 

 

 

 

 

 

 

 

 

 

 

 

 

 

 

Tyskland

 

 

 

 

 

 

 

 

 

 

 

 

 

 

 

 

 

 

 

 

 

 

 

 

 

 

 

 

 

 

 

 

 

 

 

 

 

 

 

 

 

 

 

 

 

 

 

 

 

 

 

 

 

 

 

 

 

 

 

 

 

 

 

 

 

 

 

 

 

 

 

 

 

 

 

 

 

 

 

 

EU15

 

 

 

 

 

 

 

 

 

 

 

 

 

 

 

 

 

 

 

 

 

 

 

 

 

 

 

 

 

 

 

 

 

 

 

 

 

 

 

 

 

 

 

 

 

 

 

 

 

 

 

 

 

 

 

 

 

 

 

 

 

 

 

 

 

 

 

 

 

 

 

 

 

 

 

 

 

 

 

 

 

 

 

 

 

 

 

 

 

 

 

 

 

 

 

 

 

 

 

 

 

 

 

 

 

 

 

 

0

10

 

20

 

 

 

 

 

 

30

 

 

 

 

 

40

 

 

50

60

 

70

Källa: Eurostat.

1) 2006 avser år 2005.

6.3.3Arbetslöshet bland ungdomar

En grupp som oftast har en betydligt högre arbetslöshet än arbetskraften som helhet är ungdomar. Ungdomar har oftare tidsbegränsade anställningar och pendlar i större utsträckning mellan arbete och arbetslöshet. Arbetslösheten bland ungdomar bör dock inte bli så hög att många fastnar i arbetslöshet och på så sätt inte bygger upp värdefull kompetens. I diagram 6.7 visas arbetslösheten bland ungdomar i åldern 15-24 år.

147

Arbetsmarknad

Ds 2007:37

Diagram 6.7: Arbetslöshet bland ungdomar, 15-24 år, 2000-2006, procent

Nederländerna Danmark Japan Norge Österrike Irland USA

Storbritannien Tyskland Portugal Luxemburg Spanien Finland Belgien SVERIGE 1) Italien Frankrike Grekland EU15

2006

2003

2000

0

5

10

15

20

25

30

35

Källa: Eurostat.

1) Tidsseriebrott mellan 2003 och 2006.

Diagram 6.7 visar på att arbetslösheten bland ungdomar i Sverige är hög i ett internationellt perspektiv. Sverige ligger år 2006 på femtonde plats bland 18 jämförda länder med en arbetslöshet bland ungdomar på 20,8 procent. Endast i Grekland, Frankrike och Italien är arbetslösheten bland ungdomar högre än i Sverige. Den lägsta ungdomsarbetslösheten finns i Nederländerna och Danmark.

Ungdomsarbetslösheten i Sverige har ökat kraftigt mellan år 2003 och 2006. Liksom för den totala arbetslösheten förklaras delar av den kraftiga uppgången med den omläggning av statistiken som gjordes under 2005. Även åren innan omläggningen (mellan år 2003 och 2004) ökade arbetslösheten bland ungdomar i Sverige. Merparten av den förändring som framgår av diagram 6.7 skedde dock mellan åren 2004 och 2005 då omläggningen ägde rum.

I Sverige är ungdomsarbetslösheten 0,4 procentenheter högre bland kvinnor än bland män. De största skillnaderna mellan kvinnor och män återfinns i några av de sydeuropeiska länderna där kvinnornas arbetslöshet bland ungdomar är betydligt högre än männens.

148

Ds 2007:37

Arbetsmarknad

6.4Sjukfrånvaro

Andelen sjukfrånvarande bland anställda är hög i Sverige jämfört med andra länder. I Sverige steg sjukfrånvaron kraftigt under perioden 1998-2003. En kraftig ökning kan även observeras i Norge under samma tidsperiod. Sedan år 2003 har emellertid sjukfrånvaron sjunkit något i Sverige men ligger alltjämt på en hög nivå.

Under de senaste åren har sjuk- och aktivitetsersättningarna ökat till följd av den tidigare ökningen av de långvariga sjukfallen. En del av nedgången i sjukfrånvaron kan sålunda förklaras med att individer övergår från ersättning med sjukpenning till ersättning med sjuk- och aktivitetsersättning. Denna utveckling har bidragit till att öka den sammantagna omfattningen av sociala ersättningar och bidrag som visats i figur 6.3. I figur 6.4 visas sjukfrånvaron i Sverige och i sju andra länder åren 1987-2005. I Sverige har sjukfrånvaron fortsatt att sjunka sedan 2005.

Figur 6.4: Sjukfrånvaro bland anställda i åldern 20-64 år,

1987-2005, procent

 

 

 

 

6

 

 

 

 

 

 

 

 

 

 

 

 

Sverige

5

 

 

 

 

 

Norge

 

 

 

 

 

 

4

 

 

 

 

 

Frankrike

 

 

 

 

 

 

 

 

 

 

 

 

Finland

3

 

 

 

 

 

Nederländerna

 

 

 

 

 

 

Storbritannien

2

 

 

 

 

 

 

 

 

 

 

 

 

EU-12

1

 

 

 

 

 

Tyskland

 

 

 

 

 

 

Danmark

0

 

 

 

 

 

 

1987

1990

1993

1996

1999

2002

2005

Källa: Försäkringskassan och Eurostat.

Sjukfrånvaron i Sverige, Norge och Nederländerna har historiskt haft ett starkt samband med konjunktursvängningarna och med arbetslösheten. Det finns åtminstone två förklaringar till ett samband mellan sjukfrånvaro och arbetslöshet, dels kan en högre arbetslöshet ha en avskräckande effekt på de anställda såtillvida att man blir mer rädd om sin anställning och därför

149

Arbetsmarknad

Ds 2007:37

mindre benägen till sjukskrivning, dels kan en allmän nedgång i sysselsättningen medföra att personer med svagare hälsa försvinner från arbetsmarknaden i högre utsträckning än andra personer. Sedan 2006 sjunker emellertid både sjukfrånvaron och arbetslösheten samtidigt i Sverige.

I diagram 6.8 visas sjukfrånvaron för åren 1999 till 2005 för de åtta länder som ingår i jämförelsen. Av diagrammet framgår att Sverige och Norge har högre sjukfrånvaro bland anställda än övriga länder. I dessa länder har sjukfrånvaron legat över 3 procent under samtliga år. Lägst sjukfrånvaro hade Danmark år 2005 och Tyskland år 2002. Utvecklingen mellan 1999 och 2005 har varierat i de olika länderna. Den stigande trenden i Sverige bröts 2002 då andelen sjukfrånvarande sjönk något.

Diagram 6.8 Sjukfrånvaro bland anställda i åldern 20-64 år, 1999-2005, procent

Danmark

 

 

 

 

 

 

 

 

 

 

 

 

 

 

 

 

 

 

 

 

 

 

 

 

 

 

 

 

 

 

 

 

 

 

 

 

 

 

 

2005

 

 

 

 

 

 

 

 

 

 

 

 

 

 

 

 

 

 

 

Tyskland 1)

 

 

 

 

 

 

 

 

 

 

 

 

 

 

 

 

 

 

2002

 

 

 

 

 

 

 

 

 

 

 

 

 

 

 

 

 

 

 

 

Storbritannien

 

 

 

 

 

 

 

 

 

 

 

 

 

 

 

 

 

 

1999

 

 

 

 

 

 

 

 

 

 

 

 

 

 

 

 

 

 

 

 

 

 

 

 

 

 

 

 

 

 

 

 

 

 

 

 

 

 

 

 

 

 

 

 

 

 

 

 

 

 

 

 

 

 

 

 

 

 

 

 

Nederländerna

 

 

 

 

 

 

 

 

 

 

 

 

 

 

 

 

 

 

 

 

 

 

 

 

 

 

 

 

 

 

 

 

 

 

 

 

 

 

 

 

 

 

 

 

 

 

 

 

 

 

 

 

 

 

 

 

 

 

 

 

 

 

 

 

 

 

 

 

 

 

 

 

 

 

 

 

 

 

 

 

 

 

 

 

Finland

 

 

 

 

 

 

 

 

 

 

 

 

 

 

 

 

 

 

 

 

 

 

 

 

 

 

 

 

 

 

 

 

 

 

 

 

 

 

 

 

 

 

 

 

 

 

 

 

 

 

 

 

 

 

 

 

 

 

 

 

 

 

 

 

 

 

 

 

 

 

 

 

 

 

 

 

 

 

 

 

 

 

 

 

Frankrike

 

 

 

 

 

 

 

 

 

 

 

 

 

 

 

 

 

 

 

 

 

 

 

 

 

 

 

 

 

 

 

 

 

 

 

 

 

 

 

 

 

 

 

 

 

 

 

 

 

 

 

 

 

 

 

 

 

 

 

 

 

 

 

 

 

 

 

 

 

 

 

 

 

 

 

 

 

 

 

 

 

 

 

 

Norge

 

 

 

 

 

 

 

 

 

 

 

 

 

 

 

 

 

 

 

 

 

 

 

 

 

 

 

 

 

 

 

 

 

 

 

 

 

 

 

 

 

 

 

 

 

 

 

 

 

 

 

 

 

 

 

 

 

 

 

 

 

 

 

 

 

 

 

 

 

 

 

 

 

 

 

 

 

 

 

 

 

 

 

 

SVERIGE

 

 

 

 

 

 

 

 

 

 

 

 

 

 

 

 

 

 

 

 

 

 

 

 

 

 

 

 

 

 

 

 

 

 

 

 

 

 

 

 

 

 

 

 

 

 

 

 

 

 

 

 

 

 

 

 

 

 

 

 

 

 

 

 

 

 

 

 

 

 

 

 

 

 

 

 

 

 

 

 

 

 

 

 

EU-12

 

 

 

 

 

 

 

 

 

 

 

 

 

 

 

 

 

 

 

 

 

 

 

 

 

 

 

 

 

 

 

 

 

 

 

 

 

 

 

 

 

 

 

 

 

 

 

 

 

 

 

 

 

 

 

 

 

 

 

 

 

 

 

 

 

 

 

 

 

 

 

 

 

 

 

 

 

 

 

 

 

 

 

 

 

 

 

 

 

 

 

 

 

 

 

 

 

 

 

 

 

 

 

 

 

 

 

 

 

 

 

 

 

 

 

 

 

 

 

 

 

 

 

 

 

0

1

 

 

 

 

2

 

 

3

 

 

4

 

5

Källa: Försäkringskassan och Eurostat. 1) Avser västra Tyskland.

En kraftig minskning av sjukfrånvaron kan noteras i Nederländerna där sjukfrånvaron halverats sedan år 1999. År 1996 reformerades sjukförsäkringen i Nederländerna vilket kan ha bidragit till att sjukfrånvaron har minskat. Reformen innebar bl.a. att arbetsgivaren betalar sjuklön under de 52 första veckorna av ett sjukfall.

150

Ds 2007:37

Arbetsmarknad

Det finns ett samband mellan olika socialförsäkringsförmåner på så sätt att förmånerna interagerar. Ett exempel på detta är att sjukfrånvaron kan vara låg om antalet förtidspensionärer är många, beroende på att antalet personer med behov av sjukskrivning minskar. Liknande samband finns mellan andra ersättningssystem än de som direkt avser ohälsa. En mer djupgående analys av skillnader mellan olika länders sjukfrånvaro behöver därför innefatta andra sociala ersättningar och bidrag. I dagsläget saknas jämförbara data för olika länder på detta område.

6.5Drivkrafter för arbetsutbud

På grund av den demografiska utvecklingen framöver med tendens till minskat arbetsutbud samt förekomst av höga nettokompensationsnivåer (och s.k. fattigdomsfällor) har medlemsstaterna inom EU i tilltagande grad uppmärksammat frågorna kring incitament till arbete.

Enligt ekonomisk teori och empiriska studier har lönsamhet av arbete inverkan på utbudet av arbetad tid. På längre sikt bestämmer arbetsutbudet sysselsättningen, ett högre arbetsutbud medför en högre sysselsättningsnivå. Utformningen av inkomstskatter och bidragssystemen har därför betydelse för sysselsättningen. Därigenom påverkas även förutsättningarna för ekonomisk tillväxt av hur dessa system är utformade. I syfte att stimulera till ökat arbetsutbud och ökad sysselsättning har det s.k. jobbavdraget införts i Sverige från och med den 1 januari 2007. Regeringen har i budgetpropositionen för 2008 aviserat att jobbavdraget ska utökas med ett andra steg som föreslås träda i kraft den 1 januari 2008. I syfte att öka arbetsutbudet har ersättningsnivån i arbetslöshetsförsäkringen har sänkts fr.o.m. 5 mars 2007.TPF98FPT

Nedan visas tre olika mått relaterade till incitamentet att delta på arbetsmarknaden. Dessa mått är skattekil på arbete, nettokompensationsnivå vid långtidsarbetslöshet och marginaleffekt vid övergång från arbetslöshet till arbete. De internationella data som presenteras avser åren 2004-2006. De åtgärder som därefter genomförts inom bidrags- och skattesystemen i olika länder återspeglas sålunda inte. Den internationella jämförelsen torde

98TP EfterPT 200 dagars ersättningsperiod sänks ersättningsnivån från 80 till 70 procent. Efter 300 dagars ersättningsperiod sänks ersättningsnivån till 65 procent för personer utan barn. För personer med barn sänks ersättningsnivån till 65 procent efter 450 dagar.

151

Arbetsmarknad

Ds 2007:37

emellertid i stora drag stå sig även om ländernas relativa positioner kan ha förändrats något. För Sveriges del kan positionen år 2007 ha förbättrats genom bl.a. införande av jobbavdrag och sänkt ersättningsnivå i arbetslöshetsersättningen.

Skattekil på arbete definieras här som den andelen av arbetskraftskostnaden som utgörs av skatter dvs. summan av individens inkomstskatt och löneskatter som arbetsgivare betalar.TPF99FPT

Nettokompensationsnivå vid långtidsarbetslöshet visar hur stor den disponibla inkomsten vid långtidsarbetslöshet är i förhållande till den disponibla inkomsten vid arbete, dvs. avspeglar effekten på disponibel inkomst av att övergå från arbete till arbetslöshet.TPF100FPT

Beräkningarna av marginaleffekt vid övergång från arbetslöshet till arbete (ibland kallat ”arbetslöshetsfälla” vid höga marginaleffekter) visar hur stor andel av bruttoinkomstökningen som försvinner i skatt och reducerade kontantersättningar (t.ex. socialbidrag) när en person övergår från arbetslöshet till arbete.TPF101FPT Perspektivet är här det omvända jämfört med nettokompensationsnivån, dvs. en avspegling av effekten på disponibel inkomst av att övergå från arbetslöshet till arbete.

I beräkningarna av nettokompensationsnivån vid långtidsarbetslöshet och marginaleffekt vid övergång från arbetslöshet till arbete ingår förutom effekten av marginalskatt enligt inkomstskatteskalan även marginaleffekten av att vissa inkomstrelaterade kontantersättningar såsom social- och bostadsbidrag, i förekommande fall, reduceras vid övergång från arbetslöshet till arbete då bruttoinkomsten ökar.

I diagram 6.9 visas skattekilen för löneinkomster vid 67 procent av genomsnittslönen i näringslivet i de olika länderna.TPF102FPT Lönenivån om 67 procent av en genomsnittlig lön är en vanligt förekommande lönenivå för representation av en låg löneinkomst i bl.a. OECD:s

99TP PT I skattekilen inkluderas även effekten av inkomstrelaterade bidrag till hushåll, t.ex. socialbidrag och inkomstrelaterade bostadsbidrag.

100TP PT Som exempel kan nämnas att om nettokompensationsnivån är 75 procent så betyder det, i detta fall, att den långtidsarbetslöse har 75 procent av den disponibla inkomsten vid arbete att leva på vid långtidsarbetslöshet.

101TP PT Om marginaleffekten är 75 procent så betyder det att individens bortfall från bruttoinkomstökningen är 75 procent dvs. den disponibla inkomsten ökar med 25 procent av bruttoinkomstökningen. Detta brukar även kallas för tröskeleffekt. En hög tröskeleffekt innebär att förändringen i disponibel inkomst i relation till ökningen av löneinkomsten är liten vid övergång från arbetslöshet till arbete .

102TP PT Innefattar kommunal- och statlig inkomstskatt samt egenavgifter.

152

Ds 2007:37

Arbetsmarknad

beräkningar. I diagrammet benämns inkomsten 67 procent av

AW.TPF103FPT

Diagram 6.9: Skattekil för löneinkomster 2001-2006, 67 % AW, procent av total arbetskraftskostnad

Korea

 

 

 

 

 

 

 

 

 

 

 

 

 

 

 

 

 

 

 

 

 

 

 

 

 

 

 

 

 

 

 

 

 

 

 

 

 

 

 

 

 

 

 

 

 

 

 

 

 

 

 

 

 

 

 

 

 

 

 

 

 

 

 

 

 

Irland

 

 

 

 

 

 

 

 

 

 

 

 

 

 

 

 

 

 

 

 

 

 

 

 

 

 

 

 

 

 

 

 

 

Nya Zeeland

 

 

 

 

 

 

 

 

 

 

 

 

 

 

 

 

 

 

 

 

 

 

 

 

 

 

 

 

 

 

 

2006

 

 

 

 

 

 

 

 

 

 

 

 

 

 

 

 

 

 

 

 

 

 

 

 

 

 

 

 

 

 

 

 

 

Island

 

 

 

 

 

 

 

 

 

 

 

 

 

 

 

 

 

 

 

 

 

 

 

 

 

 

 

 

 

 

 

2001

 

 

 

 

 

 

 

 

 

 

 

 

 

 

 

 

 

 

 

 

 

 

 

 

 

 

 

 

 

 

 

 

Australien

 

 

 

 

 

 

 

 

 

 

 

 

 

 

 

 

 

 

 

 

 

 

 

 

 

 

 

 

 

 

 

 

 

 

 

 

 

 

 

 

 

 

 

 

 

 

 

 

 

 

 

 

 

 

 

 

 

 

 

 

 

 

 

 

USA

 

 

 

 

 

 

 

 

 

 

 

 

 

 

 

 

 

 

 

 

 

 

 

 

 

 

 

 

 

 

 

 

 

 

 

 

 

 

 

 

 

 

 

 

 

 

 

 

 

 

 

 

 

 

 

 

 

 

 

 

 

 

 

 

 

 

Schweiz

 

 

 

 

 

 

 

 

 

 

 

 

 

 

 

 

 

 

 

 

 

 

 

 

 

 

 

 

 

 

 

 

 

Japan

 

 

 

 

 

 

 

 

 

 

 

 

 

 

 

 

 

 

 

 

 

 

 

 

 

 

 

 

 

 

 

 

 

 

 

 

 

 

 

 

 

 

 

 

 

 

 

 

 

 

 

 

 

 

 

 

 

 

 

 

 

 

 

 

 

Kanada

 

 

 

 

 

 

 

 

 

 

 

 

 

 

 

 

 

 

 

 

 

 

 

 

 

 

 

 

 

 

 

 

 

 

 

 

 

 

 

 

 

 

 

 

 

 

 

 

 

 

 

 

 

 

 

 

 

 

 

 

 

 

 

 

 

Storbritannien

 

 

 

 

 

 

 

 

 

 

 

 

 

 

 

 

 

 

 

 

 

 

 

 

 

 

 

 

 

 

 

 

 

 

 

 

 

 

 

 

 

 

 

 

 

 

 

 

 

 

 

 

 

 

 

 

 

 

 

 

 

 

 

 

 

Luxemburg

 

 

 

 

 

 

 

 

 

 

 

 

 

 

 

 

 

 

 

 

 

 

 

 

 

 

 

 

 

 

 

 

 

Portugal

 

 

 

 

 

 

 

 

 

 

 

 

 

 

 

 

 

 

 

 

 

 

 

 

 

 

 

 

 

 

 

 

 

 

 

 

 

 

 

 

 

 

 

 

 

 

 

 

 

 

 

 

 

 

 

 

 

 

 

 

 

 

 

 

 

Norge

 

 

 

 

 

 

 

 

 

 

 

 

 

 

 

 

 

 

 

 

 

 

 

 

 

 

 

 

 

 

 

 

 

 

 

 

 

 

 

 

 

 

 

 

 

 

 

 

 

 

 

 

 

 

 

 

 

 

 

 

 

 

 

 

 

Grekland

 

 

 

 

 

 

 

 

 

 

 

 

 

 

 

 

 

 

 

 

 

 

 

 

 

 

 

 

 

 

 

 

 

 

 

 

 

 

 

 

 

 

 

 

 

 

 

 

 

 

 

 

 

 

 

 

 

 

 

 

 

 

 

 

 

Spanien

 

 

 

 

 

 

 

 

 

 

 

 

 

 

 

 

 

 

 

 

 

 

 

 

 

 

 

 

 

 

 

 

 

Finland

 

 

 

 

 

 

 

 

 

 

 

 

 

 

 

 

 

 

 

 

 

 

 

 

 

 

 

 

 

 

 

 

 

 

 

 

 

 

 

 

 

 

 

 

 

 

 

 

 

 

 

 

 

 

 

 

 

 

 

 

 

 

 

 

 

Danmark

 

 

 

 

 

 

 

 

 

 

 

 

 

 

 

 

 

 

 

 

 

 

 

 

 

 

 

 

 

 

 

 

 

 

 

 

 

 

 

 

 

 

 

 

 

 

 

 

 

 

 

 

 

 

 

 

 

 

 

 

 

 

 

 

 

Nederländerna

 

 

 

 

 

 

 

 

 

 

 

 

 

 

 

 

 

 

 

 

 

 

 

 

 

 

 

 

 

 

 

 

 

 

 

 

 

 

 

 

 

 

 

 

 

 

 

 

 

 

 

 

 

 

 

 

 

 

 

 

 

 

 

 

 

Italien

 

 

 

 

 

 

 

 

 

 

 

 

 

 

 

 

 

 

 

 

 

 

 

 

 

 

 

 

 

 

 

 

 

Österrike

 

 

 

 

 

 

 

 

 

 

 

 

 

 

 

 

 

 

 

 

 

 

 

 

 

 

 

 

 

 

 

 

 

Frankrike

 

 

 

 

 

 

 

 

 

 

 

 

 

 

 

 

 

 

 

 

 

 

 

 

 

 

 

 

 

 

 

 

 

 

 

 

 

 

 

 

 

 

 

 

 

 

 

 

 

 

 

 

 

 

 

 

 

 

 

 

 

 

 

 

 

SVERIGE

 

 

 

 

 

 

 

 

 

 

 

 

 

 

 

 

 

 

 

 

 

 

 

 

 

 

 

 

 

 

 

 

 

 

 

 

 

 

 

 

 

 

 

 

 

 

 

 

 

 

 

 

 

 

 

 

 

 

 

 

 

 

 

 

 

Tyskland

 

 

 

 

 

 

 

 

 

 

 

 

 

 

 

 

 

 

 

 

 

 

 

 

 

 

 

 

 

 

 

 

 

 

 

 

 

 

 

 

 

 

 

 

 

 

 

 

 

 

 

 

 

 

 

 

 

 

 

 

 

 

 

 

 

Belgien

 

 

 

 

 

 

 

 

 

 

 

 

 

 

 

 

 

 

 

 

 

 

 

 

 

 

 

 

 

 

 

 

 

 

 

 

 

 

 

 

 

 

 

 

 

 

 

 

 

 

 

 

 

 

 

 

 

 

 

 

 

0

10

 

 

 

20

 

 

 

 

 

30

 

 

 

 

40

 

 

 

 

 

50

60

Källa: OECD, Tax database.

Sverige har jämfört med de 23 andra OECD-länderna relativt höga inkomstskatter och hamnar därmed lågt i jämförelsen när det gäller skattekil för arbetsinkomster. Sverige ligger på 22:a plats bland de 24 OECD-länderna. Av diagrammet framgår att skattekilen i Sverige har sjunkit något under perioden 2001-2006. Den skattesänkning för arbetsinkomster som genomförs 2007- 2008 kommer att bidra till att minska skattekilen ytterligare i Sverige.

I diagram 6.10 och 6.11 visas beräkningar av nettokompensationsnivå vid långtidsarbetslöshet och av marginaleffekt vid övergång från arbetslöshet till arbete där den

103TP PT AW är en förkortning av ”Average Wage”, dvs. genomsnittlig lön. I Sverige uppgick den genomsnittliga årslönen i näringslivet till 327 800 kronor år 2006.

153

Arbetsmarknad

Ds 2007:37

sammantagna marginaleffekten av inkomstskatt, inkomstrelaterade bidrag och inkomstrelaterade avgifter ingår.TPF104FPT

Diagram 6.10: Nettokompensationsnivå vid långtidsarbets- löshet, 67 procent av APW, ensamstående med två barn, procentTPF105FPT

Italien

 

 

 

 

 

 

 

 

 

 

 

 

 

 

 

 

 

 

 

 

 

 

 

 

 

2004

 

Grekland

 

 

 

 

 

 

 

 

 

 

 

 

 

 

 

 

 

 

 

 

 

 

 

 

USA

 

 

 

 

 

 

 

 

 

 

 

 

 

 

 

 

 

 

 

 

 

 

 

 

 

 

 

 

 

 

 

 

 

 

 

 

 

 

 

 

 

 

 

 

 

 

 

 

 

 

 

 

 

 

 

 

 

 

 

 

 

 

Korea

 

 

 

 

 

 

 

 

 

 

 

 

 

 

 

 

 

 

 

 

 

 

 

2001

 

 

 

 

 

 

 

 

 

 

 

 

 

 

 

 

 

 

 

 

 

 

 

 

 

Spanien

 

 

 

 

 

 

 

 

 

 

 

 

 

 

 

 

 

 

 

 

 

 

 

 

 

 

 

 

 

 

 

 

 

 

 

 

 

 

 

 

 

 

 

 

 

 

 

 

 

 

 

 

 

 

 

 

 

 

 

 

 

 

Kanada

 

 

 

 

 

 

 

 

 

 

 

 

 

 

 

 

 

 

 

 

 

 

 

 

 

 

 

 

 

 

 

 

 

 

 

 

 

 

 

 

 

 

 

 

 

 

 

 

 

 

 

 

 

 

 

 

 

 

 

 

 

 

Australien

 

 

 

 

 

 

 

 

 

 

 

 

 

 

 

 

 

 

 

 

 

 

 

 

 

 

 

 

 

 

 

Norge

 

 

 

 

 

 

 

 

 

 

 

 

 

 

 

 

 

 

 

 

 

 

 

 

 

 

 

 

 

 

 

 

 

 

 

 

 

 

 

 

 

 

 

 

 

 

 

 

 

 

 

 

 

 

 

 

 

 

 

 

 

 

Irland

 

 

 

 

 

 

 

 

 

 

 

 

 

 

 

 

 

 

 

 

 

 

 

 

 

 

 

 

 

 

 

 

 

 

 

 

 

 

 

 

 

 

 

 

 

 

 

 

 

 

 

 

 

 

 

 

 

 

 

 

 

 

SVERIGE

 

 

 

 

 

 

 

 

 

 

 

 

 

 

 

 

 

 

 

 

 

 

 

 

 

 

 

 

 

 

 

Storbritannien

 

 

 

 

 

 

 

 

 

 

 

 

 

 

 

 

 

 

 

 

 

 

 

 

 

 

 

 

 

 

 

 

 

 

 

 

 

 

 

 

 

 

 

 

 

 

 

 

 

 

 

 

 

 

 

 

 

 

 

 

 

 

Finland

 

 

 

 

 

 

 

 

 

 

 

 

 

 

 

 

 

 

 

 

 

 

 

 

 

 

 

 

 

 

 

 

 

 

 

 

 

 

 

 

 

 

 

 

 

 

 

 

 

 

 

 

 

 

 

 

 

 

 

 

 

 

Nya Zeeland

 

 

 

 

 

 

 

 

 

 

 

 

 

 

 

 

 

 

 

 

 

 

 

 

 

 

 

 

 

 

 

 

 

 

 

 

 

 

 

 

 

 

 

 

 

 

 

 

 

 

 

 

 

 

 

 

 

 

 

 

 

 

 

 

 

 

 

 

 

 

 

 

 

 

 

 

 

 

 

 

 

 

 

 

 

 

 

 

 

 

 

 

 

Nederländerna

 

 

 

 

 

 

 

 

 

 

 

 

 

 

 

 

 

 

 

 

 

 

 

 

 

 

 

 

 

 

 

 

 

 

 

 

 

 

 

 

 

 

 

 

 

 

 

 

 

 

 

 

 

 

 

 

 

 

 

 

 

 

Belgien

 

 

 

 

 

 

 

 

 

 

 

 

 

 

 

 

 

 

 

 

 

 

 

 

 

 

 

 

 

 

 

Frankrike

 

 

 

 

 

 

 

 

 

 

 

 

 

 

 

 

 

 

 

 

 

 

 

 

 

 

 

 

 

 

 

 

 

 

 

 

 

 

 

 

 

 

 

 

 

 

 

 

 

 

 

 

 

 

 

 

 

 

 

 

 

 

Japan

 

 

 

 

 

 

 

 

 

 

 

 

 

 

 

 

 

 

 

 

 

 

 

 

 

 

 

 

 

 

 

 

 

 

 

 

 

 

 

 

 

 

 

 

 

 

 

 

 

 

 

 

 

 

 

 

 

 

 

 

 

 

Island

 

 

 

 

 

 

 

 

 

 

 

 

 

 

 

 

 

 

 

 

 

 

 

 

 

 

 

 

 

 

 

 

 

 

 

 

 

 

 

 

 

 

 

 

 

 

 

 

 

 

 

 

 

 

 

 

 

 

 

 

 

 

Österrrike

 

 

 

 

 

 

 

 

 

 

 

 

 

 

 

 

 

 

 

 

 

 

 

 

 

 

 

 

 

 

 

 

 

 

 

 

 

 

 

 

 

 

 

 

 

 

 

 

 

 

 

 

 

 

 

 

 

 

 

 

 

 

Portugal

 

 

 

 

 

 

 

 

 

 

 

 

 

 

 

 

 

 

 

 

 

 

 

 

 

 

 

 

 

 

 

Danmark

 

 

 

 

 

 

 

 

 

 

 

 

 

 

 

 

 

 

 

 

 

 

 

 

 

 

 

 

 

 

 

 

 

 

 

 

 

 

 

 

 

 

 

 

 

 

 

 

 

 

 

 

 

 

 

 

 

 

 

 

 

 

Luxemburg

 

 

 

 

 

 

 

 

 

 

 

 

 

 

 

 

 

 

 

 

 

 

 

 

 

 

 

 

 

 

 

 

 

 

 

 

 

 

 

 

 

 

 

 

 

 

 

 

 

 

 

 

 

 

 

 

 

 

 

 

 

 

Tyskland

 

 

 

 

 

 

 

 

 

 

 

 

 

 

 

 

 

 

 

 

 

 

 

 

 

 

 

 

 

 

 

Schweiz

 

 

 

 

 

 

 

 

 

 

 

 

 

 

 

 

 

 

 

 

 

 

 

 

 

 

 

 

 

 

 

 

 

 

 

 

 

 

 

 

 

 

 

 

 

 

 

 

 

 

 

 

 

 

 

 

 

 

 

 

 

 

 

 

 

 

 

 

 

 

 

 

 

 

 

 

 

 

 

 

 

 

0

20

40

 

 

 

 

60

 

 

 

 

80

 

100

Källa: OECD, Tax-Benefit Models.

I diagram 6.10 visas nettokompensationsnivån vid långtidsarbetslöshet i 24 OECD-länder. Av diagrammet framgår att Sverige ligger på tionde plats, ungefär i mitten av länderfördelningen år 2004 med en nettokompensationsnivå om 68 procent, nära Norge och Finland. I Sverige har därmed en långtidsarbetslös en disponibel inkomst som motsvarar 68 procent av den inkomst personen skulle ha haft om den hade ett lågavlönat arbete. I Tyskland och Schweiz är nettokompensationen vid långtidsarbetslöshet mer än 90 procent och högst bland länderna. I

104TP IPT beräkningarna av marginaleffekter vid övergång från arbetslöshet till arbete antas att den arbetslöse har en arbetslöshetsersättning baserad på 67 procent av AW och tar ett arbete med en lön som uppgår till 67 procent av AW.

105TP PT APW är en förkortning av ”wage of an Average Production Worker”, dvs. genomsnittlig industriarbetarlön.

154

Ds 2007:37

Arbetsmarknad

Italien utgår ingen arbetslöshetsersättning efter en längre tids arbetslöshet och det finns heller inget obligatoriskt socialbidrag annat än för personer äldre än 65 år. Därför är nettokompensationsnivån 0 procent i dessa beräkningar. I diagram 6.11 visas marginaleffekten vid övergång från arbetslöshet till arbete givet en låg löneinkomst, en inkomst om två tredjedelar av en genomsnittlig lön.

Diagram 6.11: Marginaleffekten vid övergång från arbetslöshet till arbete, 67 procent av AW, ensamstående utan barn, procent

Japan

 

 

 

 

 

 

 

 

 

 

 

 

 

 

 

 

 

 

 

 

 

 

 

 

 

 

 

 

 

 

 

 

 

 

 

 

 

 

 

 

Grekland

 

 

 

 

 

 

 

 

 

 

 

 

 

 

2005

 

 

 

 

 

 

 

 

 

 

 

 

 

 

 

 

 

 

Österrrike

 

 

 

 

 

 

 

 

 

 

 

 

 

 

 

 

 

 

 

 

 

 

 

 

 

 

 

 

 

 

 

 

 

 

 

 

 

 

 

 

 

 

 

 

 

 

 

 

 

 

 

 

 

 

 

 

Storbritannien

 

 

 

 

 

 

 

 

 

 

 

 

 

 

2001

 

 

 

 

 

 

 

 

 

 

 

 

 

 

 

 

 

 

 

 

 

 

 

 

 

 

 

 

 

 

 

 

 

 

USA

 

 

 

 

 

 

 

 

 

 

 

 

 

 

 

 

 

 

 

 

 

 

 

 

 

 

 

 

 

 

 

 

 

 

 

 

 

 

 

 

 

 

 

 

 

 

 

 

 

 

 

 

 

 

 

 

Italien

 

 

 

 

 

 

 

 

 

 

 

 

 

 

 

 

 

 

 

 

 

 

 

 

 

 

 

 

 

 

 

 

 

 

 

 

 

 

 

 

 

 

 

 

 

 

 

 

 

 

 

 

 

 

 

 

 

 

 

 

 

 

 

 

 

 

 

 

 

 

 

 

 

 

 

 

 

 

 

 

Island

 

 

 

 

 

 

 

 

 

 

 

 

 

 

 

 

 

 

 

 

 

 

 

 

 

 

 

 

 

 

 

 

 

 

 

 

 

 

 

 

Irland

 

 

 

 

 

 

 

 

 

 

 

 

 

 

 

 

 

 

 

 

 

 

 

 

 

 

 

 

 

 

 

 

 

 

 

 

 

 

 

 

 

 

 

 

 

 

 

 

 

 

 

 

 

 

 

 

 

 

 

 

Norge

 

 

 

 

 

 

 

 

 

 

 

 

 

 

 

 

 

 

 

 

 

 

 

 

 

 

 

 

 

 

 

 

 

 

 

 

 

 

 

 

 

 

 

 

 

 

 

 

 

 

 

 

 

 

 

 

 

 

 

 

Tyskland

 

 

 

 

 

 

 

 

 

 

 

 

 

 

 

 

 

 

 

 

 

 

 

 

 

 

 

 

 

 

 

 

 

 

 

 

 

 

 

 

 

 

 

 

 

 

 

 

 

 

 

 

 

 

 

 

 

 

 

 

Finland

 

 

 

 

 

 

 

 

 

 

 

 

 

 

 

 

 

 

 

 

 

 

 

 

 

 

 

 

 

 

 

 

 

 

 

 

 

 

 

 

Spanien

 

 

 

 

 

 

 

 

 

 

 

 

 

 

 

 

 

 

 

 

 

 

 

 

 

 

 

 

 

 

 

 

 

 

 

 

 

 

 

 

 

 

 

 

 

 

 

 

 

 

 

 

 

 

 

 

 

 

 

 

Portugal

 

 

 

 

 

 

 

 

 

 

 

 

 

 

 

 

 

 

 

 

 

 

 

 

 

 

 

 

 

 

 

 

 

 

 

 

 

 

 

 

 

 

 

 

 

 

 

 

 

 

 

 

 

 

 

 

 

 

 

 

Frankrike

 

 

 

 

 

 

 

 

 

 

 

 

 

 

 

 

 

 

 

 

 

 

 

 

 

 

 

 

 

 

 

 

 

 

 

 

 

 

 

 

 

 

 

 

 

 

 

 

 

 

 

 

 

 

 

 

 

 

 

 

Nederländerna

 

 

 

 

 

 

 

 

 

 

 

 

 

 

 

 

 

 

 

 

 

 

 

 

 

 

 

 

 

 

 

 

 

 

 

 

 

 

 

 

 

 

 

 

 

 

 

 

 

 

 

 

 

 

 

 

 

 

 

 

Belgien

 

 

 

 

 

 

 

 

 

 

 

 

 

 

 

 

 

 

 

 

 

 

 

 

 

 

 

 

 

 

 

 

 

 

 

 

 

 

 

 

SVERIGE

 

 

 

 

 

 

 

 

 

 

 

 

 

 

 

 

 

 

 

 

 

 

 

 

 

 

 

 

 

 

 

 

 

 

 

 

 

 

 

 

 

 

 

 

 

 

 

 

 

 

 

 

 

 

 

 

 

 

 

 

Luxemburg

 

 

 

 

 

 

 

 

 

 

 

 

 

 

 

 

 

 

 

 

 

 

 

 

 

 

 

 

 

 

 

 

 

 

 

 

 

 

 

 

 

 

 

 

 

 

 

 

 

 

 

 

 

 

 

 

 

 

 

 

Danmark

 

 

 

 

 

 

 

 

 

 

 

 

 

 

 

 

 

 

 

 

 

 

 

 

 

 

 

 

 

 

 

 

 

 

 

 

 

 

 

 

 

 

 

 

 

 

 

 

 

 

 

 

 

 

 

 

 

 

 

 

EU15

 

 

 

 

 

 

 

 

 

 

 

 

 

 

 

 

 

 

 

 

 

 

 

 

 

 

 

 

 

 

 

 

 

 

 

 

 

 

 

 

 

 

 

 

 

 

 

 

 

 

 

 

 

 

 

 

0

20

40

60

 

 

 

 

80

 

 

100

Källa: Eurostat, Structural indicators.

Av diagram 6.11 framgår att marginaleffekterna i en arbetslöshetssituation i kombination med låg löneinkomst är förhållandevis höga i många av de jämförda länderna. Sverige tillhör ett av de länder med de högsta marginaleffekterna. I Sverige uppgår marginaleffekten till 87 procent. Endast i Luxemburg och i Danmark är marginaleffekten högre än i Sverige vid 67 procent av AW. Japan, Grekland och Österrike tillhör länderna med de lägsta marginaleffekterna.

Avslutningsvis bör det påpekas att motsvarande beräkningar för år 2007 och 2008 förmodligen skulle ge Sverige en mer gynnsam position i en internationell jämförelse genom införandet av det s.k.

155

Arbetsmarknad

Ds 2007:37

jobbavdraget och den reducerade ersättningsnivån i arbetslöshetsförsäkringen.

6.6Anställningsskydd

Företagens efterfrågan på arbetskraft skiftar hela tiden, vilket ställer krav på en väl fungerande arbetsmarknad som kan anpassas till förändrad efterfrågan. Orsakerna till förändrad efterfrågan av arbetskraft kan både vara av konjunkturell och strukturell karaktär. Enskilda företag eller hela branscher kan behöva expandera eller minska sin arbetsstyrka för att t.ex. klara rådande konkurrenssituation eller förändrat konjunkturläge. Det är därför av stor vikt att matchningen på arbetsmarknaden fungerar. Ett hinder i detta sammanhang kan vara ett alltför strikt anställningsskydd som gör att utbudet på arbetskraft inte kan svara mot en förändrad efterfrågan. Det bör i detta sammanhang påpekas att ekonomisk forskning inte ger entydiga belägg för hur sysselsättning och arbetslöshet påverkas.

För att kunna jämföra olika länders anställningsskydd används ofta index som avspeglar hur strikt anställningsskyddet är. Ett sådant tillvägagångssätt är dock behäftat med en rad problem som man bör vara medveten om för att på ett rättvist sätt kunna värdera resultaten. När man konstruerar index för att jämföra anställningsskydd i olika länder måste man dels relatera olika länders lagstiftning till varandra och dels värdera olika komponenter av lagstiftningen relativt varandra. Sådant som möjligheten till avvikelser från lagstiftningen genom kollektivavtal, vilket i hög utsträckning förekommer i Sverige, måste också beaktas.

OECD:s sammanfattande index rörande anställningsskyddets strikthet är en sammanvägning av 18 olika delindikatorer inom de tre huvudområdena: uppsägning av fast anställd personal, reglering av tidsbegränsat anställda samt kollektiva uppsägningar. I många länder påverkas anställningsskyddet även av anställningsavtal. I sådana avtal kan skyddet både förstärkas och försvagas. Detta tar OECD:s index inte hänsyn till. OECD:s index, uppdelat på de tre huvudområdena, visas i diagram 6.12.

156

Ds 2007:37 Arbetsmarknad

Diagram

6.12:

 

 

Sammanfattande

index

rörande

anställningsskyddets strikthet, 2003, skala 0-6

 

 

 

 

 

 

 

 

USA

 

 

 

 

 

 

 

 

 

 

 

 

 

 

 

 

 

 

 

 

 

 

 

 

 

 

 

 

 

 

 

 

 

 

 

 

 

 

 

 

 

 

 

 

 

 

 

Fast anställda

 

 

 

 

Storbritannien

 

 

 

 

 

 

 

 

 

 

 

 

 

 

 

 

 

 

 

 

 

 

 

 

 

 

 

 

 

 

 

 

 

 

 

 

 

 

Tidsbegränsat anställda

 

 

Kanada

 

 

 

 

 

 

 

 

 

 

 

 

 

 

 

 

 

 

 

 

 

 

 

 

 

 

 

 

 

 

 

 

 

 

 

 

 

 

 

 

 

 

 

 

 

 

 

 

 

Nya Zeeland

 

 

 

 

 

 

 

 

 

 

 

 

 

 

 

 

 

Kollektiva uppsägningar

 

 

Irland

 

 

 

 

 

 

 

 

 

 

 

 

 

 

 

 

 

 

 

 

 

 

 

 

 

 

 

 

 

 

 

 

 

 

 

 

 

 

 

 

 

 

 

 

 

 

 

 

 

 

 

 

 

 

 

 

 

 

 

 

 

 

 

 

 

 

 

 

 

 

 

 

 

 

 

 

 

 

Australien

 

 

 

 

 

 

 

 

 

 

 

 

 

 

 

 

 

 

 

 

 

 

 

 

 

 

 

 

 

 

 

 

 

 

 

 

 

 

 

 

 

 

 

 

 

 

 

 

 

 

 

 

 

 

 

 

 

 

 

 

Schweiz

 

 

 

 

 

 

 

 

 

 

 

 

 

 

 

 

 

 

 

 

 

 

 

 

 

 

 

 

 

 

 

 

 

 

 

 

 

 

 

 

 

 

 

 

 

 

 

 

 

 

 

 

 

 

 

 

 

 

 

 

Japan

 

 

 

 

 

 

 

 

 

 

 

 

 

 

 

 

 

 

 

 

 

 

 

 

 

 

 

 

 

 

 

 

 

 

 

 

 

 

 

 

 

 

 

 

 

 

 

 

 

 

 

 

 

 

 

 

 

 

 

 

 

 

 

 

 

 

 

 

 

 

 

 

 

 

 

 

 

 

 

 

 

 

 

 

 

 

 

 

 

 

Danmark

 

 

 

 

 

 

 

 

 

 

 

 

 

 

 

 

 

 

 

 

 

 

 

 

 

 

 

 

 

 

 

 

 

 

 

 

 

 

 

 

 

 

 

 

 

 

 

 

 

 

 

 

 

 

 

 

 

 

 

 

 

 

 

 

 

 

 

 

 

 

 

 

 

 

 

 

 

 

 

 

 

 

 

 

 

 

 

 

 

 

Korea

 

 

 

 

 

 

 

 

 

 

 

 

 

 

 

 

 

 

 

 

 

 

 

 

 

 

 

 

 

 

 

 

 

 

 

 

 

 

 

 

 

 

 

 

 

 

 

 

 

 

 

 

 

 

 

 

 

 

 

 

Finland

 

 

 

 

 

 

 

 

 

 

 

 

 

 

 

 

 

 

 

 

 

 

 

 

 

 

 

 

 

 

 

 

 

 

 

 

 

 

 

 

 

 

 

 

 

 

 

 

 

 

 

 

 

 

 

 

 

 

 

 

Österrike

 

 

 

 

 

 

 

 

 

 

 

 

 

 

 

 

 

 

 

 

 

 

 

 

 

 

 

 

 

 

 

 

 

 

 

 

 

 

 

 

 

 

 

 

 

 

 

 

 

 

 

 

 

 

 

 

 

 

 

 

 

 

 

 

 

 

 

 

 

 

 

 

 

 

 

 

 

 

 

 

 

 

 

 

 

 

 

 

 

 

Nederländerna

 

 

 

 

 

 

 

 

 

 

 

 

 

 

 

 

 

 

 

 

 

 

 

 

 

 

 

 

 

 

 

 

 

 

 

 

 

 

 

 

 

 

 

 

 

 

 

 

 

 

 

 

 

 

 

 

 

 

 

 

Italien

 

 

 

 

 

 

 

 

 

 

 

 

 

 

 

 

 

 

 

 

 

 

 

 

 

 

 

 

 

 

 

 

 

 

 

 

 

 

 

 

 

 

 

 

 

 

 

 

 

 

 

 

 

 

 

 

 

 

 

 

Belgien

 

 

 

 

 

 

 

 

 

 

 

 

 

 

 

 

 

 

 

 

 

 

 

 

 

 

 

 

 

 

 

 

 

 

 

 

 

 

 

 

 

 

 

 

 

 

 

 

 

 

 

 

 

 

 

 

 

 

 

 

Tyskland

 

 

 

 

 

 

 

 

 

 

 

 

 

 

 

 

 

 

 

 

 

 

 

 

 

 

 

 

 

 

 

 

 

 

 

 

 

 

 

 

 

 

 

 

 

 

 

 

 

 

 

 

 

 

 

 

 

 

 

 

 

 

 

 

 

 

 

 

 

 

 

 

 

 

 

 

 

 

 

 

 

 

 

 

 

 

 

 

 

 

SVERIGE

 

 

 

 

 

 

 

 

 

 

 

 

 

 

 

 

 

 

 

 

 

 

 

 

 

 

 

 

 

 

 

 

 

 

 

 

 

 

 

 

 

 

 

 

 

 

 

 

 

 

 

 

 

 

 

 

 

 

 

 

Norge

 

 

 

 

 

 

 

 

 

 

 

 

 

 

 

 

 

 

 

 

 

 

 

 

 

 

 

 

 

 

 

 

 

 

 

 

 

 

 

 

 

 

 

 

 

 

 

 

 

 

 

 

 

 

 

 

 

 

 

 

Frankrike

 

 

 

 

 

 

 

 

 

 

 

 

 

 

 

 

 

 

 

 

 

 

 

 

 

 

 

 

 

 

 

 

 

 

 

 

 

 

 

 

 

 

 

 

 

 

 

 

 

 

 

 

 

 

 

 

 

 

 

 

 

 

 

 

 

 

 

 

 

 

 

 

 

 

 

 

 

 

 

 

 

 

 

 

 

 

 

 

 

 

Grekland

 

 

 

 

 

 

 

 

 

 

 

 

 

 

 

 

 

 

 

 

 

 

 

 

 

 

 

 

 

 

 

 

 

 

 

 

 

 

 

 

 

 

 

 

 

 

 

 

 

 

 

 

 

 

 

 

 

 

 

 

 

 

 

 

 

 

 

 

 

 

 

 

 

 

 

 

 

 

 

 

 

 

 

 

 

 

 

 

 

 

Spanien

 

 

 

 

 

 

 

 

 

 

 

 

 

 

 

 

 

 

 

 

 

 

 

 

 

 

 

 

 

 

 

 

 

 

 

 

 

 

 

 

 

 

 

 

 

 

 

 

 

 

 

 

 

 

 

 

 

 

 

 

Portugal

 

 

 

 

 

 

 

 

 

 

 

 

 

 

 

 

 

 

 

 

 

 

 

 

 

 

 

 

 

 

 

 

 

 

 

 

 

 

 

 

 

 

 

 

 

 

 

 

 

 

 

 

 

 

 

 

 

 

 

 

 

 

 

 

 

 

 

 

 

 

 

 

 

 

 

 

 

 

 

 

 

 

 

 

 

 

 

0

 

 

 

1

 

 

 

 

 

 

2

 

 

 

 

 

 

3

 

4

Källa: OECD ,Employment Outlook 2004.

Diagram 6.12 visar att, enligt OECD:s sätt att mäta, det minst strikta anställningsskyddet finns i USA. Sverige har, relativt övriga jämförda länder, ett strikt anställningsskydd. Sverige ligger på 17:e plats bland de 22 jämförda länderna. I Sverige är anställningsskyddet mer strikt än i merparten av övriga länder när det gäller uppsägning av fast anställd personal (20 av 22 länder) och kollektiva uppsägningar (21 av 22 länder). Sverige ligger däremot i mitten bland OECD-länderna när det gäller striktheten för tidsbegränsade anställningar.

6.7Rörlighet i arbetslivet

Byte av arbetsuppgifter eller arbetsplats är oftast utvecklande för den enskilde individen samtidigt som det innebär att erfarenheter och kunskaper sprids mellan arbetsgivare. En hög rörlighet mellan arbetsgivare underlättar också vid strukturomvandling. Det finns

157

Arbetsmarknad

Ds 2007:37

naturligtvis en nivå på rörligheten när effektiviteten avtar genom att arbetsgivarens ”investering” i personal går förlorad. Personalomsättning är förenat med kostnader, t.ex. inlärningsperioder. I diagram 6.13 visas den genomsnittliga tiden som en person stannar vid en och samma arbetsplats i olika länder.

Diagram 6.13: Genomsnittligt antal år med samma arbetsgivare, 1998-2004

Island 1)

 

 

 

 

 

 

 

 

 

 

 

 

 

 

 

 

 

 

 

 

 

 

 

 

 

 

 

 

 

 

 

 

Storbritannien

 

 

 

 

 

 

 

 

 

 

 

 

 

 

 

 

 

 

 

 

 

 

 

 

2004

 

 

 

 

 

 

 

 

 

 

 

 

 

 

 

 

 

 

 

 

 

 

 

 

 

 

 

 

 

 

 

 

 

 

 

 

 

 

 

 

 

 

 

 

 

 

 

 

 

 

 

 

 

Danmark

 

 

 

 

 

 

 

 

 

 

 

 

 

 

 

 

 

 

 

 

 

 

 

 

 

 

 

 

 

 

 

 

 

 

 

 

 

 

 

 

 

 

 

 

 

 

 

 

 

 

 

 

 

 

 

 

 

 

 

 

 

 

 

 

Irland

 

 

 

 

 

 

 

 

 

 

 

 

 

 

 

 

 

 

 

 

 

 

 

 

2001

 

 

 

 

 

 

 

 

 

 

 

 

 

 

 

 

 

 

 

 

 

 

 

 

 

 

 

 

Norge

 

 

 

 

 

 

 

 

 

 

 

 

 

 

 

 

 

 

 

 

 

 

 

 

 

 

 

 

 

 

 

 

 

 

 

 

 

 

 

 

 

 

 

 

 

 

 

 

 

 

 

 

 

 

 

 

 

 

 

 

 

 

 

 

Schweiz

 

 

 

 

 

 

 

 

 

 

 

 

 

 

 

 

 

 

 

 

 

 

 

 

1998

 

 

 

 

 

 

 

 

 

 

 

 

 

 

 

 

 

 

 

 

 

 

 

 

 

 

 

 

Spanien

 

 

 

 

 

 

 

 

 

 

 

 

 

 

 

 

 

 

 

 

 

 

 

 

 

 

 

 

 

 

 

 

 

 

 

 

 

 

 

 

 

 

 

 

 

 

 

 

 

 

 

 

 

 

 

 

 

 

 

 

 

 

 

 

Österrike 2)

 

 

 

 

 

 

 

 

 

 

 

 

 

 

 

 

 

 

 

 

 

 

 

 

 

 

 

 

 

 

 

 

 

 

 

 

 

 

 

 

 

 

 

 

 

 

 

 

 

 

 

 

 

 

 

 

 

 

 

 

 

 

 

 

Finland

 

 

 

 

 

 

 

 

 

 

 

 

 

 

 

 

 

 

 

 

 

 

 

 

 

 

 

 

 

 

 

 

 

 

 

 

 

 

 

 

 

 

 

 

 

 

 

 

 

 

 

 

 

 

 

 

 

 

 

 

 

 

 

 

Nederländerna

 

 

 

 

 

 

 

 

 

 

 

 

 

 

 

 

 

 

 

 

 

 

 

 

 

 

 

 

 

 

 

 

 

 

 

 

 

 

 

 

 

 

 

 

 

 

 

 

 

 

 

 

 

 

 

 

 

 

 

 

 

 

 

 

Tyskland

 

 

 

 

 

 

 

 

 

 

 

 

 

 

 

 

 

 

 

 

 

 

 

 

 

 

 

 

 

 

 

 

 

 

 

 

 

 

 

 

 

 

 

 

 

 

 

 

 

 

 

 

 

 

 

 

 

 

 

 

 

 

 

 

SVERIGE

 

 

 

 

 

 

 

 

 

 

 

 

 

 

 

 

 

 

 

 

 

 

 

 

 

 

 

 

 

 

 

 

 

 

 

 

 

 

 

 

 

 

 

 

 

 

 

 

 

 

 

 

 

 

 

 

 

 

 

 

 

 

 

 

Portugal

 

 

 

 

 

 

 

 

 

 

 

 

 

 

 

 

 

 

 

 

 

 

 

 

 

 

 

 

 

 

 

 

 

 

 

 

 

 

 

 

 

 

 

 

 

 

 

 

 

 

 

 

 

 

 

 

 

 

 

 

 

 

 

 

Frankrike

 

 

 

 

 

 

 

 

 

 

 

 

 

 

 

 

 

 

 

 

 

 

 

 

 

 

 

 

 

 

 

 

 

 

 

 

 

 

 

 

 

 

 

 

 

 

 

 

 

 

 

 

 

 

 

 

 

 

 

 

 

 

 

 

Luxemburg

 

 

 

 

 

 

 

 

 

 

 

 

 

 

 

 

 

 

 

 

 

 

 

 

 

 

 

 

 

 

 

 

 

 

 

 

 

 

 

 

 

 

 

 

 

 

 

 

 

 

 

 

 

 

 

 

 

 

 

 

 

 

 

 

Belgien

 

 

 

 

 

 

 

 

 

 

 

 

 

 

 

 

 

 

 

 

 

 

 

 

 

 

 

 

 

 

 

 

 

 

 

 

 

 

 

 

 

 

 

 

 

 

 

 

 

 

 

 

 

 

 

 

 

 

 

 

 

 

 

 

Italien

 

 

 

 

 

 

 

 

 

 

 

 

 

 

 

 

 

 

 

 

 

 

 

 

 

 

 

 

 

 

 

 

 

 

 

 

 

 

 

 

 

 

 

 

 

 

 

 

 

 

 

 

 

 

 

 

 

 

 

 

 

 

 

 

Grekland

 

 

 

 

 

 

 

 

 

 

 

 

 

 

 

 

 

 

 

 

 

 

 

 

 

 

 

 

 

 

 

 

 

 

 

 

 

 

 

 

 

 

 

 

 

 

 

 

 

 

 

 

 

 

 

 

 

 

 

 

 

 

 

 

 

 

 

 

 

 

 

 

 

 

 

 

 

 

 

 

 

 

 

 

 

 

 

 

 

 

0

2

4

6

8

 

 

 

 

 

 

 

10

 

 

 

 

 

 

 

12

 

 

14

Källa: OECD, Employment and Labour Market Statistics.

1)2004 avser år 2002.

2)1998 avser år 1996.

Av diagram 6.13 framgår att i Island är den genomsnittliga tiden vid en arbetsplats lägst bland länderna med knappt 8 år. I Grekland är den högst med över 12 år. I Sverige är den genomsnittliga tiden vid en arbetsplats ungefär 11 år, vilket gör att Sverige ligger på tolfte plats bland de 18 jämförda länderna. Resultaten i diagram 6.13 är också positivt korrelerade med de i diagram 6.12, dvs. de länder som har ett mer strikt anställningsskydd har även högre genomsnittligt antal år med samma arbetsgivare. Det bör dock påpekas att resultaten i diagram 6.13 sannolikt är behäftade med viss osäkerhet. Exempelvis är många arbetsplatser stora i Sverige, varför anställda kan byta både befattning och bransch och ändå tillhöra samma arbetsgivare. Det är även många andra faktorer som

158

Ds 2007:37

Arbetsmarknad

har betydelse för hur lång den genomsnittliga anställningstiden på en arbetsplats är. Några av dessa är ålderssammansättningen i befolkningen, näringslivsstruktur, tillgång till bostäder och de sociala ersättningssystemens funktionssätt.

I de flesta länder är antalet år med samma arbetsgivare större bland män än bland kvinnor. Sverige och Portugal skiljer sig här från övriga länder genom att kvinnor i genomsnitt har något längre tid med samma arbetsgivare. Skillnaderna är dock små mellan kvinnor och män i Sverige. År 2004 var den genomsnittliga antalet år med samma arbetsgivare 11,2 för kvinnor och 10,9 för män.

159

7 Informationsteknik

Informationsteknik (IT) används i allt fler sammanhang och är en viktig faktor bakom effektiviseringar inom stora delar av ekonomin.TPF106FPT Den alltmer utbredda användningen av IT har möjliggjort nya former av kommunikation och organisation av produktion, vilket medfört produktivitetstillväxt. Informationstekniken har även medfört produktivitetsökningar genom de effektivitetsvinster som uppkommit i samband med en ökande mängd IT-kapital. Dessa båda faktorer tillsammans har haft ett betydande bidrag till hela ekonomins produktivitetstillväxt.TPF107FPT Informationsteknikens betydelse för ekonomins utveckling återspeglas även i form av mål och strategier för ökat IT- användande både nationellt och på EU-nivå.

Handlingsplaner för att främja IT-användandet har varit en del i Lissabonstrategin ända sedan starten år 2000. Samma år presenterades handlingsplanen eEurope 2002, vilken sedan följdes av eEurope 2005. När nystarten för Lissabonstrategin lanserades 2005 lanserades även en ny strategi för informationsteknik, ”i2010

– Det europeiska informationssamhället för tillväxt och sysselsättning”. i2010 syftar till att öka effektiviteten i ekonomin genom ökad användning av IT.

På nationell nivå är målet för IT-politiken att Sverige skall vara ett hållbart informationssamhälle för alla.TPF108FPT

Detta huvudmål bryts sedan ner i tre delmål:

IT skall bidra till en förbättrad livskvalitet och till att förbättra och förenkla vardagen för människor och företag.

106TP NationalencyklopedinPT beskriver begreppet informationsteknik (IT) som ”samlingsbegrepp för de tekniska möjligheter som skapats genom framsteg inom datateknik och telekommunikation”. I denna rapport används begreppet informationsteknik (IT) enligt Nationalencyklopedins definition, vilket innebär att där inget annat anges så innefattas även telekommunikation.

107TP PT Inklaar, O’Mahoney och Timmer(2003) och Lindström (2003). 108TP PT Proposition 2007/2008:1.

161

Informationsteknik

Ds 2007:37

IT skall användas för att främja hållbar tillväxt.

En effektiv och säker fysisk IT-infrastruktur med hög överföringskapacitet skall finnas tillgänglig i alla delar av landet, bl.a. för att ge människor tillgång till interaktiva offentliga e-tjänster.

7.1Indikatorer

Genom IT-utvecklingen ökar produktiviteten i hela ekonomin genom snabbare informationsinhämtning och genom förnyade produktionssystem.

Indikatorerna i detta avsnitt har valts för att så brett som möjligt beskriva utbredning, användning och nytta av IT. De flesta av de indikatorer som valts i detta kapitel beskriver omfattningen av och tillgängligheten till informationstekniken. De beskriver hur mycket ekonomiska medel som satsas på IT, i vilken utsträckning IT används samt hur stora kostnaderna är för IT-användning. Inledningsvis finns en indikator som visar vad investeringarna i informationsteknik har medfört i form av ökad BNP-tillväxt. Indikatorerna är:

Informationsteknikens betydelse för ekonomisk tillväxt

IT-investeringarnas bidrag till BNP-tillväxten

Omfattningen av informationsteknik

Utgifter för IT

Tillgång till Internet i hemmet

Hushållens tillgång till bredband

Befolkningens köp eller beställningar över Internet

Sysselsättning inom IT-relaterade arbeten

Tillgängligheten till informationsteknik

Kostnad för mobiltelefoni

Kostnad för fast telefoni för företag

Marknadsandel för den före detta monopolisten

162

Ds 2007:37

Informationsteknik

7.1.1Sveriges position och slutsatser

Samtliga indikatorer i detta kapitel sammanfattas i figur 7.1. Figur 7.1 är konstruerad så att det sämsta landets resultat placeras i centrum och det bästa landets resultat placeras i yttersta änden av spindeldiagrammet för respektive indikator, dvs. resultaten är normaliserade. De bästa resultaten för alla indikatorer sammanbinds med den streckade yttre linjen i figuren även om det rör sig om olika länder. Utöver de bästa och sämsta resultaten indikeras även Sveriges och medianlandets resultat för respektive indikator i spindeldiagrammet. Sveriges position sammanbinds med en orange linje, medan medianvärdet för länderna sammanfogas till en ljusgrå mängd. Efter varje indikatornamn i figurerna anges Sveriges placering bland länderna samt, inom parentes, hur många länder som ingår i jämförelsen. Eftersom avståndet mellan det bästa och det sämsta resultatet bland länderna är normaliserat, får man av spindeldiagrammet även en uppfattning om avståndet mellan Sverige, topplandet, medianlandet och det sämst placerade landet för respektive indikator.

Figur 7.1: Indikatorer över IT - översikt

 

IT-investeringarnas bidrag till

 

 

BNP-tillväxt 3 ( 19 )

 

 

 

Marknadsandel f.d.

 

 

 

IT-utgifter 1 ( 18 )

 

monopolist 2 ( 14 )

 

 

 

 

 

 

 

 

 

Kostnad för fast telefoni

 

 

 

Internet i hemmet

12 ( 24 )

 

 

 

4 ( 17 )

 

Mobiltelefonkostnader

 

 

 

Bredband 8 ( 24 )

4 ( 24 )

 

 

 

 

 

 

 

 

 

IT-relaterad sysselsättning

 

 

4 ( 21 )

 

 

Internethandel 2 ( 17 )

 

 

 

 

 

 

 

 

 

 

 

 

 

Toppland

 

 

Medianland

Sverige

 

 

 

 

 

 

 

 

 

 

 

 

 

 

 

 

Källa: se respektive indikator.

Anm: Marknadsandel för f.d. monopolisten baseras på 2003 års värden.

Sverige har länge varit ett av de ledande länderna inom informationsteknik (IT). Den bilden ges även av indikatorerna för

163

Informationsteknik

Ds 2007:37

IT i denna rapport då Sverige placerar sig på den övre halvan i länderjämförelsen för samtliga indikatorer. Ekonomisk forskning visar att bidraget till BNP-tillväxten av IT-satsningar har varit betydande och Sverige ligger högt i en internationell jämförelse. Sverige är det land som, trots att de minskat under senare år, har de största utgifterna för IT i förhållande till BNP. IT-investeringarnas bidrag till BNP-tillväxten har generellt sett ökat sedan mitten på 1990-talet.

Andelen hushåll som har en internetuppkoppling och andel av befolkningen som handlar varor och tjänster över Internet är hög i Sverige. Det är få länder som har större andelar än Sverige och avståndet till det bästa landet är relativt litet. När det gäller antalet bredbandsuppkopplingar i Sverige har de visserligen ökat snabbt de senaste åren, men ökningen har varit ännu snabbare i flera andra länder.

Andelen IT-relaterad sysselsättning i Sverige ligger i paritet med övriga nordiska länder och Nederländerna. Det är endast två länder där den IT-relaterade sysselsättningen är högre än i Sverige och det är i Luxemburg och Storbritannien. En stor del av förklaringen till skillnaden beror troligtvis på skillnad i branschstruktur.

I Sverige, som är ett av de länder som tidigt avreglerade telemarknaden, har den före detta monopolisten inom fast telefoni en mindre marknadsandel än i merparten av övriga länder. De svenska företagens kostnader för fast telefoni ligger nära genomsnittet för OECD. Kostnaden för mobil telefoni i Sverige är dock bland de lägsta i OECD.

Omfattningen och användningen av IT ökar alltjämt i Sverige även om utgifterna för IT minskat lite under de senaste åren. Även i övriga jämförda länder ökar omfattningen av IT. Sverige behåller dock i stort en god position relativt andra länder trots att vissa länder nivåmässigt närmar sig Sverige.

7.2Användning av informationsteknik

Det finns starka indikationer på att IT har haft en betydande påverkan på den ekonomiska utvecklingen under senare år. Investeringar i IT-kapital har medfört effektiviseringar i alla sektorer av ekonomin på samma sätt som investeringar i annat kapital gör. En studie visar på att över en fjärdedel av BNP-

164

Ds 2007:37

Informationsteknik

tillväxten i Sverige härrör från investeringar i IT-kapital.TPF109FPT Även den ökande användningen av IT har medfört effektiviseringar genom de nya möjligheter att organisera arbete som uppkommit till följd av IT-utvecklingen.

7.2.1Politik för ökad nytta av informationsteknik

Som nämns i inledningen till detta kapitel är målsättningen med IT- politiken att Sverige skall vara ett hållbart informationssamhälle för alla. Den politik som bedrivs för att uppnå detta utgörs till stor del av utformning av reglerverk som främjar konkurrens utan snedvridningar och begränsningar samt att främja internationell harmonisering.

7.3Betydelsen av IT för ekonomisk tillväxt

Den första indikatorn i detta kapitel om IT avspeglar resultat av investeringar i informationsteknik. Genom så kallad tillväxtbokföring går det att beräkna olika komponenters bidrag till BNP-tillväxten. BNP-tillväxten delas upp i bidrag från ökad arbetsinsats, ökade kapitalinvesteringar och ökad effektivitet (totalfaktorproduktivitet).TPF110FPT Bidraget från kapitalinvesteringarna delas upp i IT-kapital och övrigt kapital. IT-investeringarnas bidrag till BNP-tillväxten visas i diagram 7.1.

Australien är det land där bidraget från IT-investeringar till BNP-tillväxten har varit störst sedan 1995. Därefter följer USA och Sverige. I Sverige kan IT-investeringarnas bidrag till BNP- tillväxten uppskattas till ungefär 0,7 procentenheter per år under perioden 1995-2003. Det kan ställas i relation till att BNP- tillväxten under denna period som i genomsnitt uppgick till mellan 2,5 och 3 procent per år i Sverige. Omkring en fjärdedel av den ekonomiska tillväxten kan således sägas bero på investeringar i IT.

IT-investeringarnas bidrag till BNP-tillväxten har varit större under perioden efter 1995 jämfört med början av 1990-talet i samtliga jämförda länder. I merparten av länderna, däribland Sverige, var bidraget till BNP-tillväxten från IT-investeringar som

109TP PT Timmer, M., Ypma, G. och van Ark, B. (2003). 110TP PT OECD (2006a).

165

Informationsteknik

Ds 2007:37

störst under slutet av 1990-talet för att sedan minska lite i början på 2000-talet.

Diagram 7.1: IT-investeringars bidrag till BNP-tillväxt, 1990- 2003, genomsnitt per år, procent

Australien 1)

 

 

 

 

 

 

 

 

 

 

 

 

 

 

 

 

 

 

 

 

 

 

 

 

 

 

 

 

 

 

 

 

 

 

 

 

 

 

 

 

 

 

 

 

 

 

 

 

 

 

 

 

 

 

 

 

 

 

 

 

 

 

 

 

 

 

 

 

 

USA

 

 

 

 

 

 

 

 

 

 

 

 

 

 

 

 

 

 

 

 

 

 

 

 

 

 

 

 

 

 

 

 

 

 

 

 

 

 

 

 

 

 

 

 

 

 

 

 

 

 

 

 

 

 

 

 

 

 

 

 

 

 

 

 

 

 

 

 

 

SVERIGE

 

 

 

 

 

 

 

 

 

 

 

 

 

 

 

 

 

 

 

 

 

 

 

 

 

 

 

 

 

 

 

 

 

 

 

Danmark

 

 

 

 

 

 

 

 

 

 

 

 

 

 

 

 

 

 

 

 

 

 

 

 

 

 

 

 

 

 

 

 

 

 

 

 

 

 

 

 

 

 

 

 

 

 

 

 

 

 

 

 

 

 

 

 

 

 

 

 

 

 

 

 

 

 

 

 

 

Storbritannien

 

 

 

 

 

 

 

 

 

 

 

 

 

 

 

 

 

 

 

 

 

 

 

 

 

 

 

 

 

 

 

 

 

 

 

 

 

 

 

 

 

 

 

 

 

 

 

 

 

 

 

 

 

 

 

 

 

 

 

 

 

 

 

 

 

 

 

 

 

Belgien

 

 

 

 

 

 

 

 

 

 

 

 

 

 

 

 

 

 

 

 

 

 

 

 

 

 

 

 

 

 

 

 

 

 

 

Kanada

 

 

 

 

 

 

 

 

 

 

 

 

 

 

 

 

 

 

 

 

 

 

 

 

 

 

 

 

 

 

 

 

 

 

 

Japan 1)

 

 

 

 

 

 

 

 

 

 

 

 

 

 

 

 

 

 

 

 

 

 

 

 

 

 

 

 

 

 

 

 

 

 

 

 

 

 

 

 

 

 

 

 

 

 

 

 

 

 

 

 

 

 

 

 

 

 

 

 

 

 

 

 

 

 

 

 

 

Nya Zeeland 1)

 

 

 

 

 

 

 

 

 

 

 

 

 

 

 

 

 

 

 

 

 

 

 

 

 

 

 

 

 

 

 

 

 

 

 

 

 

 

 

 

 

 

 

 

 

 

 

 

 

 

 

 

 

 

 

 

 

 

 

 

 

 

 

 

 

 

 

 

 

Spanien 1)

 

 

 

 

 

 

 

 

 

 

 

 

 

 

 

 

 

 

 

 

 

 

 

 

 

 

 

 

 

 

 

 

 

 

 

 

 

 

 

 

 

 

 

 

 

 

 

 

 

 

 

 

 

 

 

 

 

 

 

 

 

 

 

 

 

 

 

 

 

Nederländerna

 

 

 

 

 

 

 

 

 

 

 

 

 

 

 

 

 

 

 

 

 

 

 

 

 

 

 

 

 

 

 

 

 

 

 

 

 

 

 

 

 

 

 

 

 

 

 

 

 

 

 

 

 

 

 

 

 

 

 

 

 

 

 

 

 

 

 

 

 

Portugal

 

 

 

 

 

 

 

 

 

 

 

 

 

 

 

 

 

 

 

 

 

 

 

 

 

 

 

 

 

 

 

 

 

 

 

 

 

 

 

 

 

 

 

 

 

 

 

 

 

 

 

 

 

 

 

 

 

 

 

 

 

 

 

 

 

 

 

 

 

Finland

 

 

 

 

 

 

 

 

 

 

 

 

 

 

 

 

 

 

 

 

 

 

 

 

 

 

 

 

 

 

1995-2003

 

 

Irland

 

 

 

 

 

 

 

 

 

 

 

 

 

 

 

 

 

 

 

 

 

 

 

 

 

 

 

 

 

 

 

 

 

 

 

 

 

 

 

 

 

 

 

 

 

 

 

 

 

 

 

 

 

 

 

 

 

 

 

 

 

 

 

 

 

 

Grekland

 

 

 

 

 

 

 

 

 

 

 

 

 

 

 

 

 

 

 

 

 

 

 

 

 

 

 

 

 

 

1990-1995

 

 

 

 

 

 

 

 

 

 

 

 

 

 

 

 

 

 

 

 

 

 

 

 

 

 

 

 

 

 

 

 

 

 

 

 

 

 

 

 

 

 

 

 

 

 

 

 

 

 

 

 

 

 

 

 

 

 

 

 

Italien

 

 

 

 

 

 

 

 

 

 

 

 

 

 

 

 

 

 

 

 

 

 

 

 

 

 

 

 

 

 

 

 

 

 

 

 

 

 

 

 

 

 

 

 

 

 

 

 

 

 

 

 

 

 

 

 

 

 

 

 

 

 

 

 

 

 

 

 

 

Tyskland

 

 

 

 

 

 

 

 

 

 

 

 

 

 

 

 

 

 

 

 

 

 

 

 

 

 

 

 

 

 

 

 

 

 

 

Frankrike 1)

 

 

 

 

 

 

 

 

 

 

 

 

 

 

 

 

 

 

 

 

 

 

 

 

 

 

 

 

 

 

 

 

 

 

 

Österrike

 

 

 

 

 

 

 

 

 

 

 

 

 

 

 

 

 

 

 

 

 

 

 

 

 

 

 

 

 

 

 

 

 

 

 

 

 

 

 

 

 

 

 

 

 

 

 

 

 

 

 

 

 

 

 

 

 

 

 

 

 

 

 

 

 

 

 

 

 

 

 

 

 

 

 

 

 

 

 

 

 

 

 

 

 

 

0

0.2

 

0.4

 

 

 

0.6

0.8

 

1

Källa: OECD, Key ICT indicators. 1) 1995-2003 avser 1995-2002.

De effektiviseringsvinster i t.ex. arbetsorganisation som har möjliggjorts till följd av IT-utvecklingen fångas inte upp i indikatorn IT-investeringarnas bidrag till BNP-tillväxten. Den produktivitetstillväxt som dessa faktorer för med sig fångas däremot upp i totalfaktorproduktiviteten (figur 2.12). Hur mycket IT-användningen påverkar totalfaktorproduktiviteten är svårt att mäta, men det finns anledning att tro att det har en viss inverkan. Det sammantagna bidraget till BNP-tillväxten kan sålunda förväntas vara ännu större än vad som visas i diagram 7.1.

7.4Utgifter för användning av informationsteknik

Ett grovt mått på omfattningen av användning av IT är de totala utgifterna som läggs ned på IT. I diagram 7.2 visas utgifter för IT under åren 2003-2005 i förhållande till BNP. Uppgifterna

166

Ds 2007:37

Informationsteknik

innefattar utgifter för IT, inklusive telekommunikationer och avser inköp som gjorts av hushåll, företag och offentlig sektor. De omfattar sålunda all IT i hela ekonomin, både konsumtions- och investeringsutgifter för hårdvaror, mjukvaror och tjänster.

Diagram 7.2: Utgifter för IT som andel av BNP, 2003-2005, procent

SVERIGE

 

 

 

 

 

 

 

 

 

 

 

 

 

 

 

 

 

 

 

 

 

 

 

 

Storbritannien

 

 

 

 

 

 

 

 

 

 

 

 

 

 

 

 

 

 

 

 

 

 

 

 

 

 

 

 

 

 

 

 

 

 

 

 

 

 

 

 

 

 

 

 

 

 

 

 

 

 

 

 

 

 

 

 

 

 

 

 

 

 

 

 

 

 

 

 

 

 

 

 

Schweiz

 

 

 

 

 

 

 

 

 

 

 

 

 

 

 

 

 

 

 

 

 

 

 

 

 

 

 

 

 

 

 

 

 

 

 

 

 

 

 

 

 

 

 

 

 

 

 

 

Japan

 

 

 

 

 

 

 

 

 

 

 

 

 

 

 

 

 

 

 

 

 

 

 

 

 

 

 

 

 

 

 

 

 

 

 

 

 

 

 

 

 

 

 

 

 

 

 

 

Nederländerna

 

 

 

 

 

 

 

 

 

 

 

 

 

 

 

 

 

 

 

 

 

 

 

 

 

 

 

 

 

 

 

 

 

 

 

 

 

 

 

 

 

 

 

 

 

 

 

 

Portugal

 

 

 

 

 

 

 

 

 

 

 

 

 

 

 

 

 

 

 

 

 

 

 

 

 

 

 

 

 

 

 

 

 

 

 

 

 

 

 

 

 

 

 

 

 

 

 

 

Finland

 

 

 

 

 

 

 

 

 

 

 

 

 

 

 

 

 

 

 

 

 

 

 

 

 

 

 

 

 

 

 

 

 

 

 

 

 

 

 

 

 

 

 

 

 

 

 

 

USA

 

 

 

 

 

 

 

 

 

 

 

 

 

 

 

 

 

 

 

 

 

 

 

 

 

 

 

 

 

 

 

 

 

 

 

 

 

 

 

 

 

 

 

 

 

 

 

 

Danmark

 

 

 

 

 

 

 

 

 

 

 

 

 

 

 

 

 

 

 

 

 

 

 

 

 

 

 

 

 

 

 

 

 

 

 

 

 

 

 

 

 

 

 

 

 

 

 

 

Österrike

 

 

 

 

 

 

 

 

 

 

 

 

 

 

 

 

 

 

 

 

 

 

 

 

 

 

 

 

 

 

 

 

 

 

 

 

 

 

 

 

 

 

 

 

 

 

 

 

Belgien

 

 

 

 

 

 

 

 

 

 

 

 

 

 

 

 

 

 

 

 

 

 

 

 

 

 

 

 

 

 

 

 

 

 

 

 

 

 

 

 

 

 

 

 

 

 

 

 

Tyskland

 

 

 

 

 

 

 

 

 

 

 

 

 

 

 

 

 

 

 

 

 

 

 

 

 

 

 

 

 

 

 

 

 

 

 

 

 

 

 

 

 

 

 

2005

 

 

Frankrike

 

 

 

 

 

 

 

 

 

 

 

 

 

 

 

 

 

 

 

 

 

 

 

 

 

 

 

 

 

 

 

 

 

 

 

 

 

 

 

 

 

 

Spanien

 

 

 

 

 

 

 

 

 

 

 

 

 

 

 

 

 

 

 

2004

 

 

 

 

 

 

 

 

 

 

 

 

 

 

 

 

 

 

 

 

 

 

 

Italien

 

 

 

 

 

 

 

 

 

 

 

 

 

 

 

 

 

 

 

 

 

 

 

 

 

 

 

 

 

 

 

 

 

 

 

 

 

 

 

 

 

 

 

 

 

Norge

 

 

 

 

 

 

 

 

 

 

 

 

 

 

 

 

 

 

 

2003

 

 

 

 

 

 

 

 

 

 

 

 

 

 

 

 

 

 

 

 

 

 

 

Irland

 

 

 

 

 

 

 

 

 

 

 

 

 

 

 

 

 

 

 

 

 

 

 

 

 

 

 

 

 

 

 

 

 

 

 

 

 

 

 

 

 

 

 

 

 

 

 

 

 

 

 

 

 

 

 

 

 

 

 

 

 

 

 

 

 

 

 

 

 

Grekland

 

 

 

 

 

 

 

 

 

 

 

 

 

 

 

 

 

 

 

 

 

 

 

 

 

 

 

 

 

 

 

 

 

 

 

 

 

 

 

 

 

 

 

 

 

 

 

 

EU15

 

 

 

 

 

 

 

 

 

 

 

 

 

 

 

 

 

 

 

 

 

 

 

 

 

 

 

 

 

 

 

 

 

 

 

 

 

 

 

 

 

 

 

 

 

 

 

 

 

 

 

 

 

 

 

 

 

 

 

 

 

 

0

2

4

 

 

6

 

8

10

Källa: Eurostat, Structural Indicators.

Av diagram 7.2 framgår att de svenska IT-utgifterna som andel av BNP är störst bland de jämförda länderna. IT-utgifternas andel av BNP har minskat marginellt i Sverige mellan 2003 och 2005. Även åren 2001 och 2002 innebar en stegvis minskning av IT- utgifterna som andel av BNP jämfört med toppåret 2000.TPF111FPT

7.5Internetanvändning

En central del av IT-användningen är utnyttjandet av Internet. Användningen av Internet är nu så spridd att nästan samtliga företag inom EU och övriga västvärlden har tillgång till Internet. Även andelen företag med bredbandsuppkoppling är numera

111TP PT European Information Technology Observatory 2003.

167

Informationsteknik

Ds 2007:37

mycket hög. Bland företagen i EU-länderna har nästan alla större företag (fler än 250 anställda) uppkoppling till Internet via bredband och i de mindre företagen (10-49 anställda) har tre fjärdedelar bredbandsuppkoppling.TPF112FPT Det gör att det idag inte är särskilt intressant att mäta detta vid jämförelse av högt industrialiserade länder. De flesta företag har bredbandsuppkoppling och i många branscher är det en förutsättning för att kunna verka.

Förutsättningarna för företag att interagera med andra företag med hjälp av Internet är således goda. Många företag är dock beroende av att kunna interagera även med hushållen, vilket gör att hushållens internettillgång är av betydelse. Hushållens internettillgång är fortfarande inte lika väl utbredd som företagens i de europeiska länderna, vilket visas i diagram 7.3.

Diagram 7.3: Andel av hushåll med tillgång till Internet i hemmet, 2002-2006, procent

Island

 

 

 

 

 

 

 

 

 

 

 

 

 

 

 

 

 

 

 

 

 

 

 

 

 

 

 

 

 

 

 

 

 

 

 

 

 

 

 

 

 

 

 

 

 

 

 

 

 

 

 

 

 

 

 

 

 

 

 

 

 

 

 

 

 

 

 

 

 

 

Nederländerna 1)

 

 

 

 

 

 

 

 

 

 

 

 

 

 

 

 

 

 

 

 

 

 

 

 

 

 

 

 

 

 

 

 

 

 

 

 

 

 

 

 

 

 

 

 

 

 

 

 

 

 

 

 

 

 

 

 

 

 

 

 

 

 

 

 

 

 

 

 

 

 

Danmark

 

 

 

 

 

 

 

 

 

 

 

 

 

 

 

 

 

 

 

 

 

 

 

 

 

 

 

 

 

 

 

 

 

 

 

 

 

 

 

 

 

 

 

 

 

 

 

 

 

 

 

 

 

 

 

 

 

 

 

 

 

 

 

 

 

 

 

 

 

 

SVERIGE 1)

 

 

 

 

 

 

 

 

 

 

 

 

 

 

 

 

 

 

 

 

 

 

 

 

 

 

 

 

 

 

 

 

 

 

 

 

 

 

 

 

 

 

 

 

 

 

 

 

 

 

 

 

 

 

 

 

 

 

 

 

 

 

 

 

 

 

 

 

 

 

Luxemburg

 

 

 

 

 

 

 

 

 

 

 

 

 

 

 

 

 

 

 

 

 

 

 

 

 

 

 

 

 

 

 

 

 

 

 

 

 

 

 

 

 

 

 

 

 

 

 

 

 

 

 

 

 

 

 

 

 

 

 

 

 

 

 

 

 

 

 

 

 

 

Norge

 

 

 

 

 

 

 

 

 

 

 

 

 

 

 

 

 

 

 

 

 

 

 

 

 

 

 

 

 

 

 

 

 

 

 

 

 

 

 

 

 

 

 

 

 

 

 

 

 

 

 

 

 

 

 

 

 

 

 

 

 

 

 

 

 

 

 

 

 

 

Tyskland

 

 

 

 

 

 

 

 

 

 

 

 

 

 

 

 

 

 

 

 

 

 

 

 

 

 

 

 

 

 

 

 

 

 

 

 

 

 

 

 

 

 

 

 

 

 

 

 

 

 

 

 

 

 

 

 

 

 

 

 

 

 

 

 

 

 

 

 

 

 

Finland

 

 

 

 

 

 

 

 

 

 

 

 

 

 

 

 

 

 

 

 

 

 

 

 

 

 

 

 

 

 

 

 

 

 

 

 

 

 

 

 

 

 

 

 

 

 

 

 

 

 

 

 

 

 

 

 

 

 

 

 

 

 

 

 

 

 

 

 

 

 

Storbritannien

 

 

 

 

 

 

 

 

 

 

 

 

 

 

 

 

 

 

 

 

 

 

 

 

 

 

 

 

 

 

 

 

 

 

 

 

 

 

 

 

 

 

 

 

 

 

 

 

 

 

 

 

 

 

 

 

 

 

 

 

 

 

 

 

 

 

 

 

 

 

Belgien 1)

 

 

 

 

 

 

 

 

 

 

 

 

 

 

 

 

 

 

 

 

 

 

 

 

 

 

 

 

 

 

 

 

 

 

 

 

 

 

 

 

 

 

 

 

 

 

 

 

 

 

 

 

 

 

 

 

 

 

 

 

 

 

 

 

 

 

 

 

 

 

Österrike

 

 

 

 

 

 

 

 

 

 

 

 

 

 

 

 

 

 

 

 

 

 

 

 

 

 

 

 

 

 

 

 

 

 

 

 

 

 

 

 

 

 

 

 

 

 

 

 

 

 

 

 

 

 

 

 

 

 

 

 

 

 

 

 

 

 

 

 

 

 

Irland

 

 

 

 

 

 

 

 

 

 

 

 

 

 

 

 

 

 

 

 

 

 

 

 

 

 

 

 

 

 

 

 

 

 

 

 

 

 

 

 

 

 

 

 

 

 

 

 

 

 

 

 

 

 

 

 

 

 

 

 

 

 

 

 

 

 

 

 

 

 

 

 

 

 

 

 

 

 

 

 

 

 

 

 

 

 

 

 

 

 

 

 

 

 

 

 

2006

 

 

Frankrike

 

 

 

 

 

 

 

 

 

 

 

 

 

 

 

 

 

 

 

 

 

 

 

 

 

 

 

 

 

 

 

 

 

 

 

 

 

 

 

 

 

 

 

 

 

 

 

 

 

 

 

 

 

 

 

 

Italien

 

 

 

 

 

 

 

 

 

 

 

 

 

 

 

 

 

 

 

 

 

 

 

 

 

 

2004

 

 

 

 

 

 

 

 

 

 

 

 

 

 

 

 

 

 

 

 

 

 

 

 

 

 

 

 

 

 

Spanien

 

 

 

 

 

 

 

 

 

 

 

 

 

 

 

 

 

 

 

 

 

 

 

 

 

 

 

 

 

 

 

 

 

 

 

 

 

 

 

 

 

 

 

 

 

 

 

 

 

 

 

 

 

 

2002

 

 

Portugal

 

 

 

 

 

 

 

 

 

 

 

 

 

 

 

 

 

 

 

 

 

 

 

 

 

 

 

 

 

 

 

 

 

 

 

 

 

 

 

 

 

 

 

 

 

 

 

 

 

 

 

 

 

 

 

 

Grekland

 

 

 

 

 

 

 

 

 

 

 

 

 

 

 

 

 

 

 

 

 

 

 

 

 

 

 

 

 

 

 

 

 

 

 

 

 

 

 

 

 

 

 

 

 

 

 

 

 

 

 

 

 

 

 

 

 

 

 

 

 

 

 

 

 

 

 

 

 

 

EU15

 

 

 

 

 

 

 

 

 

 

 

 

 

 

 

 

 

 

 

 

 

 

 

 

 

 

 

 

 

 

 

 

 

 

 

 

 

 

 

 

 

 

 

 

 

 

 

 

 

 

 

 

 

 

 

 

 

 

 

 

 

 

 

 

 

 

 

 

 

 

 

 

 

 

 

 

 

 

 

 

 

 

 

 

 

 

 

 

0

10

20

30

40

50

 

 

60

70

80

 

90

Källa: Eurostat.

1) 2004 avser år 2005.

Internettillgången ökar över tiden i samtliga länder. Andelen hushåll med tillgång till Internet i hemmet skiljer sig betydligt mellan länderna. I Island, Nederländerna, Danmark och Sverige har

112TP PT Eurostat: Information Society Policy Indicators.

168

Ds 2007:37

Informationsteknik

över 75 procent av hushållen tillgång till Internet, medan andelen som har tillgång till Internet i Medelhavsländerna är betydligt lägre. Minsta andelen finns i Grekland där endast 23 procent av hushållen har tillgång till Internet.

I takt med den ökande internetanvändningen har allt fler internetbaserade tjänster tillkommit, t.ex. köp av musik för direkt nedladdning via Internet, möjlighet att se på ”webb-TV” och IP- telefoni. Många sådana tjänster underlättas av eller kräver en hög överföringshastighet.

I diagram 7.4 visas antalet bredbandsuppkopplingar per 100-tal invånare. Eftersom det är antalet uppkopplingar per 100-tal invånare som mäts är andelen av befolkningen som har tillgång till Internet via bredband större genom att det ofta är flera personer som använder samma uppkoppling i ett hushåll. Ytterligare aspekter som detta mått inte tar hänsyn till är att överföringshastigheten och priserna skiljer sig mycket åt mellan de jämförda länderna.

Diagram 7.4: Bredbandsuppkopplingar per 100-tal invånare, 2000-2006 i december respektive år

T

Danmark

 

 

 

 

 

 

 

 

 

 

 

 

 

 

 

 

 

 

 

 

 

 

 

 

 

 

 

 

 

 

 

 

 

 

 

 

 

 

 

 

 

 

 

 

 

 

Nederländerna

 

 

 

 

 

 

 

 

 

 

 

 

 

 

 

 

 

 

 

 

 

 

 

 

 

 

 

 

 

 

 

 

 

 

 

 

 

 

 

 

 

 

 

 

 

 

 

 

 

 

 

 

 

 

 

 

 

 

 

 

 

 

 

 

 

 

 

 

 

 

 

 

 

 

 

 

 

 

 

 

 

 

 

 

 

 

 

 

 

 

 

 

Island

 

 

 

 

 

 

 

 

 

 

 

 

 

 

 

 

 

 

 

 

 

 

 

 

 

 

 

 

 

 

 

 

 

 

 

 

 

 

 

 

 

 

 

 

 

 

 

 

 

 

 

 

 

 

 

 

 

 

 

 

 

 

 

 

 

 

 

 

 

 

 

 

 

 

 

 

 

 

 

 

 

 

 

 

 

 

 

 

 

 

 

 

Korea

 

 

 

 

 

 

 

 

 

 

 

 

 

 

 

 

 

 

 

 

 

 

 

 

 

 

 

 

 

 

 

 

 

 

 

 

 

 

 

 

 

 

 

 

 

 

 

 

 

 

 

 

 

 

 

 

 

 

 

 

 

 

 

 

 

 

 

 

 

 

 

 

 

 

 

 

 

 

 

 

 

 

 

 

 

 

 

 

 

 

 

 

Schweiz

 

 

 

 

 

 

 

 

 

 

 

 

 

 

 

 

 

 

 

 

 

 

 

 

 

 

 

 

 

 

 

 

 

 

 

 

 

 

 

 

 

 

 

 

 

 

 

 

 

 

 

 

 

 

 

 

 

 

 

 

 

 

 

 

 

 

 

 

 

 

 

 

 

 

 

 

 

 

 

 

 

 

 

 

 

 

 

 

 

 

 

 

Norge

 

 

 

 

 

 

 

 

 

 

 

 

 

 

 

 

 

 

 

 

 

 

 

 

 

 

 

 

 

 

 

 

 

 

 

 

 

 

 

 

 

 

 

 

 

 

 

 

 

 

 

 

 

 

 

 

 

 

 

 

 

 

 

 

 

 

 

 

 

 

 

 

 

 

 

 

 

 

 

 

 

 

 

 

 

 

 

 

 

 

 

 

Finland

 

 

 

 

 

 

 

 

 

 

 

 

 

 

 

 

 

 

 

 

 

 

 

 

 

 

 

 

 

 

 

 

 

 

 

 

 

 

 

 

 

 

 

 

 

 

 

 

 

 

 

 

 

 

 

 

 

 

 

 

 

 

 

 

 

 

 

 

 

 

 

 

 

 

 

 

 

 

 

 

 

 

 

 

 

 

 

 

 

 

 

 

SVERIGE

 

 

 

 

 

 

 

 

 

 

 

 

 

 

 

 

 

 

 

 

 

 

 

 

 

 

 

 

 

 

 

 

 

 

 

 

 

 

 

 

 

 

 

 

 

 

 

 

 

 

 

 

 

 

 

 

 

 

 

 

 

 

 

 

 

 

 

 

 

 

 

 

 

 

 

 

 

 

 

 

 

 

 

 

 

 

 

 

 

 

 

 

Kanada

 

 

 

 

 

 

 

 

 

 

 

 

 

 

 

 

 

 

 

 

 

 

 

 

 

 

 

 

 

 

 

 

 

 

 

 

 

 

 

 

 

 

 

 

 

 

 

 

 

 

 

 

 

 

 

 

 

 

 

 

 

 

 

 

 

 

 

 

 

 

 

 

 

 

 

 

 

 

 

 

 

 

 

 

 

 

 

 

 

 

 

 

Belgien

 

 

 

 

 

 

 

 

 

 

 

 

 

 

 

 

 

 

 

 

 

 

 

 

 

 

 

 

 

 

 

 

 

 

 

 

 

 

 

 

 

 

 

 

 

 

 

 

 

 

 

 

 

 

 

 

 

 

 

 

 

 

 

 

 

 

 

 

 

 

 

 

 

 

 

 

 

 

 

 

 

 

 

 

 

 

 

 

 

 

 

 

Storbritannien

 

 

 

 

 

 

 

 

 

 

 

 

 

 

 

 

 

 

 

 

 

 

 

 

 

 

 

 

 

 

 

 

 

 

 

 

 

 

 

 

 

 

 

 

 

 

 

 

 

 

 

 

 

 

 

 

 

 

 

 

 

 

 

 

 

 

 

 

 

 

 

 

 

 

 

 

 

 

 

 

 

 

 

 

 

 

 

 

 

 

 

 

Luxemburg

 

 

 

 

 

 

 

 

 

 

 

 

 

 

 

 

 

 

 

 

 

 

 

 

 

 

 

 

 

 

 

 

 

 

 

 

 

 

 

 

 

 

 

 

 

 

 

 

 

 

 

 

 

 

 

 

 

 

 

 

 

 

 

 

 

 

 

 

 

 

 

 

 

 

 

 

 

 

 

 

 

 

 

 

 

 

 

 

 

 

 

 

Frankrike

 

 

 

 

 

 

 

 

 

 

 

 

 

 

 

 

 

 

 

 

 

 

 

 

 

 

 

 

 

 

 

 

 

 

 

 

 

 

 

 

 

 

 

 

 

 

 

 

 

 

 

 

 

 

 

 

 

 

 

 

 

 

 

 

 

 

 

 

 

 

 

 

 

 

 

 

 

 

 

 

 

 

 

 

 

 

 

 

 

 

 

 

Japan

 

 

 

 

 

 

 

 

 

 

 

 

 

 

 

 

 

 

 

 

 

 

 

 

 

 

 

 

 

 

 

 

 

 

 

 

 

 

 

 

 

 

 

 

 

 

 

 

 

 

 

 

 

 

 

 

 

 

 

 

 

 

 

 

 

 

 

 

 

 

 

 

 

 

 

 

 

 

 

 

 

 

 

 

 

 

 

 

 

 

 

 

USA

 

 

 

 

 

 

 

 

 

 

 

 

 

 

 

 

 

 

 

 

 

 

 

 

 

 

 

 

 

 

 

 

 

 

 

 

 

 

 

 

 

 

 

 

 

 

 

 

 

 

 

 

 

 

 

 

 

 

 

 

 

 

 

 

 

 

 

 

 

 

 

 

 

 

 

 

 

 

 

 

 

 

 

 

 

 

 

 

 

 

 

 

Australien

 

 

 

 

 

 

 

 

 

 

 

 

 

 

 

 

 

 

 

 

 

 

 

 

 

 

 

 

 

 

 

 

 

 

 

 

 

 

 

 

 

 

 

 

 

 

 

 

 

 

 

 

 

 

 

 

 

 

 

 

 

 

 

 

 

 

 

 

 

 

 

 

 

 

 

 

 

 

 

 

 

 

 

 

 

 

 

 

 

 

 

 

Österrike

 

 

 

 

 

 

 

 

 

 

 

 

 

 

 

 

 

 

 

 

 

 

 

 

 

 

 

 

 

 

 

 

 

 

 

 

 

 

 

 

 

 

 

 

 

 

 

 

 

 

 

 

 

 

 

 

 

 

 

 

 

 

 

 

 

 

 

 

 

 

 

 

 

 

 

 

 

 

 

 

 

 

 

 

 

 

 

 

 

 

 

 

Tyskland

 

 

 

 

 

 

 

 

 

 

 

 

 

 

 

 

 

 

 

 

 

 

 

 

 

 

 

 

 

 

 

 

 

 

 

 

 

 

 

 

 

 

 

 

 

 

 

 

 

 

 

 

 

 

 

 

 

 

 

 

 

 

 

 

 

 

 

 

 

 

 

 

 

 

 

 

 

 

 

 

 

 

 

 

 

 

 

 

 

 

 

 

 

 

 

 

 

 

 

 

 

 

 

 

 

 

 

 

 

 

 

 

 

 

 

 

 

 

 

 

 

 

 

 

 

 

 

 

 

 

 

 

 

 

 

 

 

 

Spanien

 

 

 

 

 

 

 

 

 

 

 

 

 

 

 

 

 

 

 

 

 

 

 

 

 

 

 

 

 

 

 

 

 

 

 

 

 

 

 

2006

 

 

 

 

 

 

 

 

 

 

 

 

 

 

 

 

 

 

 

 

 

 

 

 

 

 

 

 

 

 

 

 

 

 

 

 

 

 

 

 

 

 

Italien

 

 

 

 

 

 

 

 

 

 

 

 

 

 

 

 

 

 

 

 

 

 

 

 

 

 

 

 

 

 

 

 

 

 

 

 

 

 

 

 

 

 

 

 

 

 

 

 

 

 

 

 

 

 

 

 

 

 

 

 

 

 

 

 

 

 

 

 

 

 

 

 

 

 

 

 

 

 

 

 

 

 

 

 

 

 

 

 

 

 

 

 

Nya Zeeland

 

 

 

 

 

 

 

 

 

 

 

 

 

 

 

 

 

 

 

 

 

 

 

 

 

 

 

 

 

 

 

 

 

 

 

 

2003

 

 

 

 

 

 

 

 

 

 

 

 

 

 

 

 

 

 

 

 

 

 

 

 

 

 

 

 

 

 

 

 

 

 

 

 

 

 

 

 

 

Portugal

 

 

 

 

 

 

 

 

 

 

 

 

 

 

 

 

 

 

 

 

 

 

 

 

 

 

 

 

 

 

 

 

 

 

 

 

 

 

 

 

 

 

 

 

 

 

 

 

 

 

 

 

 

 

 

 

 

 

 

 

 

 

 

 

 

 

 

 

 

 

 

 

 

 

 

 

 

 

 

 

 

 

 

 

 

 

 

 

 

 

 

 

Irland

 

 

 

 

 

 

 

 

 

 

 

 

 

 

 

 

 

 

 

 

 

 

 

 

 

 

 

 

 

 

 

 

 

 

 

 

2000

 

 

 

 

 

 

 

 

 

 

 

 

 

 

 

 

 

 

 

 

 

 

 

 

 

 

 

 

 

 

 

 

 

 

 

 

 

 

 

 

 

Grekland

 

 

 

 

 

 

 

 

 

 

 

 

 

 

 

 

 

 

 

 

 

 

 

 

 

 

 

 

 

 

 

 

 

 

 

 

 

 

 

 

 

 

 

 

 

 

 

 

 

 

 

 

 

 

 

 

 

 

 

 

 

 

 

 

 

 

 

 

 

 

 

 

 

 

 

 

 

 

 

 

 

 

 

 

 

 

 

 

 

 

 

 

OECD

 

 

 

 

 

 

 

 

 

 

 

 

 

 

 

 

 

 

 

 

 

 

 

 

 

 

 

 

 

 

 

 

 

 

 

 

 

 

 

 

 

 

 

 

 

 

 

 

 

 

 

 

 

 

 

 

 

 

 

 

 

 

 

 

 

 

 

 

 

 

 

 

 

 

 

 

 

 

 

 

 

 

 

 

 

 

 

 

 

 

 

 

 

 

 

 

 

 

 

 

 

 

 

 

 

 

 

 

 

 

 

 

0

5

 

 

10

 

15

20

 

 

 

25

30

 

35

Källa: OECD, Communications Outlook 2003 och OECD ICT Key Indicators.

169

Informationsteknik

Ds 2007:37

Av diagram 7.4 framgår att Danmark har högst frekvens av bredbandsuppkopplingar med nära 32 uppkopplingar per 100-tal invånare. Danmark följs av Nederländerna, Island och Korea. Sverige återfinns på åttonde plats av de jämförda länderna med nära 26 uppkopplingar per 100-tal invånare. Utvecklingen har gått snabbt de senaste åren. I Sverige har antalet bredbandsuppkopplingar ökat från 1,2 till nära 26 per 100-tal invånare under perioden 2000-2006. En liknande utveckling återfinns även i övriga jämförda länderna. Länderna med det minsta antalet bredbandsuppkopplingar per invånare är Grekland och Irland.

De vanligaste orsakerna till att hushåll i Sverige inte har bredbandsuppkoppling är att de inte ser behov av det eller att kostnaden är för hög.TPF113FPT Den tredje vanligaste orsaken är att bredband inte erbjuds i området. Enligt Post & Telestyrelsen är det ungefär 5 procent av hushållen med fast telefoni som inte är anslutna till en telestation som kan erbjuda DSL.TPF114FPT Tekniska problem gör även att alla de 95 procent av hushållen som är anslutna till en telestation som erbjuder DSL inte kan få bredband i dagsläget.

Ett annat mått för att belysa användningen av Internet är att se i vilken utsträckning handel sker via Internet. I diagram 7.5 visas andelen av befolkningen som köpt eller beställt varor eller tjänster över Internet under de senaste tre månaderna. Denna indikator ger företagen en indikation på förutsättningar till handel över Internet genom att se på befolkningens möjlighet, kompetens och vilja att handla över Internet. Eurostat tar även fram statistik på hur stor andel av företagen som tar emot beställningar via Internet. I länderjämförelser finns en tydlig positiv korrelation mellan andelen av befolkningen som handlar över Internet och andelen företag som tar emot beställningar via Internet.

Diagram 7.5 visar att den största andelen av befolkningen som köpt eller beställt produkter över Internet återfinns i Norge och Sverige. Andelen har ökat i samtliga länder mellan år 2004 och 2006, i Sverige från 30 till 39 procent. De lägsta andelarna återfinns i Grekland, Italien och Portugal. Resultatet i diagram 7.5

113TP PT Post & Telestyrelsen (2007).

114TP PT DSL står för Digital Subscriber Line och är en metod för höghastighetsanslutning till Internet via det befintliga telefonnätet.

170

Ds 2007:37

Informationsteknik

överensstämmer väl med andelen av hushåll som har tillgång till Internet.

Diagram 7.5. Andel av befolkningen (16-74 år) som köpt eller beställt varor eller tjänster över Internet de senaste tre månaderna, 2002-2006, procent

Norge

 

 

 

 

 

 

 

 

 

 

 

 

 

 

 

 

 

 

 

 

 

 

 

 

 

 

 

 

 

 

 

 

 

 

 

 

 

 

 

 

 

 

 

 

 

 

 

 

 

 

 

 

 

 

 

 

 

 

 

 

 

 

 

 

 

 

SVERIGE

 

 

 

 

 

 

 

 

 

 

 

 

 

 

 

 

 

 

 

 

 

 

 

 

 

 

 

 

 

 

 

 

 

 

 

 

 

 

 

 

 

 

 

 

 

 

 

 

 

 

 

 

 

 

 

 

 

 

 

 

 

 

 

 

 

 

Tyskland

 

 

 

 

 

 

 

 

 

 

 

 

 

 

 

 

 

 

 

 

 

 

 

 

 

 

 

 

 

 

 

 

 

 

 

 

 

 

 

 

 

 

 

 

 

 

 

 

 

 

 

 

 

 

 

 

 

 

 

 

 

 

 

 

 

 

Storbritannien

 

 

 

 

 

 

 

 

 

 

 

 

 

 

 

 

 

 

 

 

 

 

 

 

 

 

 

 

 

 

 

 

 

 

 

 

 

 

 

 

 

 

 

 

 

 

 

 

 

 

 

 

 

 

 

 

 

 

 

 

 

 

 

 

 

 

Nederländerna 1)

 

 

 

 

 

 

 

 

 

 

 

 

 

 

 

 

 

 

 

 

 

 

 

 

 

 

 

 

 

 

 

 

 

 

 

 

 

 

 

 

 

 

 

 

 

 

 

 

 

 

 

 

 

 

 

 

 

 

 

 

 

 

 

 

 

 

Luxemburg

 

 

 

 

 

 

 

 

 

 

 

 

 

 

 

 

 

 

 

 

 

 

 

 

 

 

 

 

 

 

 

 

 

 

 

 

 

 

 

 

 

 

 

 

 

 

 

 

 

 

 

 

 

 

 

 

 

 

 

 

 

 

 

 

 

 

Island

 

 

 

 

 

 

 

 

 

 

 

 

 

 

 

 

 

 

 

 

 

 

 

 

 

 

 

 

 

 

 

 

 

 

 

 

 

 

 

 

 

 

 

 

 

 

 

 

 

 

 

 

 

 

 

 

 

 

 

 

 

 

 

 

 

 

Danmark

 

 

 

 

 

 

 

 

 

 

 

 

 

 

 

 

 

 

 

 

 

 

 

 

 

 

 

 

 

 

 

 

 

 

 

 

 

 

 

 

 

 

 

 

 

 

 

 

 

 

 

 

 

 

 

 

 

 

 

 

 

 

 

 

 

 

Finland

 

 

 

 

 

 

 

 

 

 

 

 

 

 

 

 

 

 

 

 

 

 

 

 

 

 

 

 

 

 

 

 

 

 

 

 

 

 

 

 

 

 

 

 

 

 

 

 

 

 

 

 

 

 

 

 

 

 

 

 

 

 

 

 

 

 

Österrike

 

 

 

 

 

 

 

 

 

 

 

 

 

 

 

 

 

 

 

 

 

 

 

 

 

 

 

 

 

 

 

 

 

 

 

 

 

 

 

 

 

 

 

 

 

 

 

 

 

 

 

 

 

 

 

 

 

 

 

 

 

 

 

 

 

 

Irland

 

 

 

 

 

 

 

 

 

 

 

 

 

 

 

 

 

 

 

 

 

 

 

 

 

 

 

 

 

 

 

 

 

 

 

 

 

 

 

 

 

 

 

 

 

 

 

 

 

 

 

 

 

 

 

 

 

 

 

 

 

 

 

 

 

 

Frankrike

 

 

 

 

 

 

 

 

 

 

 

 

 

 

 

 

 

 

 

 

 

 

 

 

 

 

 

 

 

 

 

 

 

 

 

 

 

 

 

 

 

 

 

 

 

 

 

 

 

 

 

 

 

 

 

 

 

 

 

 

 

 

2006

 

 

 

Belgien 2)

 

 

 

 

 

 

 

 

 

 

 

 

 

 

 

 

 

 

 

 

 

 

 

 

 

 

 

 

 

 

 

 

 

 

 

 

 

 

 

 

 

 

 

 

 

 

 

 

 

 

 

 

 

 

 

 

 

 

 

2004

 

 

 

Spanien

 

 

 

 

 

 

 

 

 

 

 

 

 

 

 

 

 

 

 

 

 

 

 

 

 

 

 

 

 

 

 

 

 

 

 

 

 

 

 

 

 

 

 

 

 

 

 

 

 

 

 

 

 

 

 

 

 

 

 

Portugal

 

 

 

 

 

 

 

 

 

 

 

 

 

 

 

 

 

 

 

 

 

 

 

 

 

 

 

 

 

2002

 

 

 

 

 

 

 

 

 

 

 

 

 

 

 

 

 

 

 

 

 

 

 

 

 

 

 

 

 

 

 

 

 

 

 

Italien 1)

 

 

 

 

 

 

 

 

 

 

 

 

 

 

 

 

 

 

 

 

 

 

 

 

 

 

 

 

 

 

 

 

 

Grekland

 

 

 

 

 

 

 

 

 

 

 

 

 

 

 

 

 

 

 

 

 

 

 

 

 

 

 

 

 

 

 

 

 

 

 

 

 

 

 

 

 

 

 

 

 

 

 

 

 

 

 

 

 

 

 

 

 

 

 

 

 

 

 

 

 

 

EU15

 

 

 

 

 

 

 

 

 

 

 

 

 

 

 

 

 

 

 

 

 

 

 

 

 

 

 

 

 

 

 

 

 

 

 

 

 

 

 

 

 

 

 

 

 

 

 

 

 

 

 

 

 

 

 

 

 

 

 

 

 

 

 

 

 

 

 

 

 

 

 

 

 

 

 

 

 

 

 

 

 

 

 

0

10

20

 

 

 

30

 

40

50

Källa: Eurostat.

1)2004 avser år 2003.

2)2004 avser år 2005.

7.6IT i arbetslivet

Ett mått på hur omfattande IT-användningen är i arbetslivet är andelen sysselsatta som arbetar direkt med IT-utveckling eller har IT-verktyg som centrala delar i sitt arbete. I diagram 7.6 visas andelen sysselsatta som har IT-relaterade arbeten.TPF115FPT

Andelen sysselsatta inom IT-relaterade arbeten var år 2004 högst i Luxemburg och Storbritannien, följt av Nederländerna och Sverige. I Sverige arbetade över 24 procent av de sysselsatta inom

115TP PT I den definition av IT-relaterade arbeten som används här återfinns tre grupper 1) IT- specialister: vars arbetsuppgifter består av att utveckla, driva och underhålla IT-system 2) avancerade IT-användare: kompetenta användare av avancerade och ofta sektorspecifika IT- verktyg 3) IT-användare: kompetenta och frekventa användare av IT-verktyg som t.ex. Officepaketet.

171

Informationsteknik

Ds 2007:37

IT-relaterade arbeten. Sverige är ett av de länder där denna andel ökat mest sedan mitten på 1990-talet. Andelen sysselsatta inom IT- relaterade arbeten har ökat med över 4 procentenheter från mitten på 1990-talet till år 2004. Merparten av de jämförda länderna har haft en ökande andel sysselsatta inom IT-relaterade arbeten de senaste tio åren, men det finns även ett fåtal länder där andelen minskat. Den minsta andelen återfinns i Grekland och Portugal med runt 15 procent.

Diagram 7.6: Andel sysselsatta med IT-relaterade arbeten, 1995 och 2004, procent

Luxemburg

 

 

 

 

 

 

 

 

 

 

 

 

 

 

 

 

 

 

 

 

 

 

 

 

 

 

 

 

 

 

 

 

 

 

 

 

 

 

 

 

 

 

 

 

 

 

 

 

 

 

 

 

 

 

 

 

 

 

 

 

 

 

 

 

 

 

 

 

 

 

 

 

 

 

 

 

Storbritannien

 

 

 

 

 

 

 

 

 

 

 

 

 

 

 

 

 

 

 

 

 

 

 

 

 

 

 

 

 

 

 

 

 

 

 

 

 

 

 

 

 

 

 

 

 

 

 

 

 

 

 

Nederländerna

 

 

 

 

 

 

 

 

 

 

 

 

 

 

 

 

 

 

 

 

 

 

 

 

 

 

 

 

 

 

 

 

 

 

 

 

 

 

 

 

 

 

 

 

 

 

 

 

 

 

 

 

 

 

 

 

 

 

 

 

 

 

 

 

 

 

 

 

 

 

 

 

 

 

 

 

SVERIGE 1)

 

 

 

 

 

 

 

 

 

 

 

 

 

 

 

 

 

 

 

 

 

 

 

 

 

 

 

 

 

 

 

 

 

 

 

 

 

 

 

 

 

 

 

 

 

 

 

 

 

 

 

 

 

 

 

 

 

 

 

 

 

 

 

 

 

 

 

 

 

 

 

 

 

 

 

 

Danmark

 

 

 

 

 

 

 

 

 

 

 

 

 

 

 

 

 

 

 

 

 

 

 

 

 

 

 

 

 

 

 

 

 

 

 

 

 

 

 

 

 

 

 

 

 

 

 

 

 

 

 

 

 

 

 

 

 

 

 

 

 

 

 

 

 

 

 

 

 

 

 

 

 

 

 

 

Norge

 

 

 

 

 

 

 

 

 

 

 

 

 

 

 

 

 

 

 

 

 

 

 

 

 

 

 

 

 

 

 

 

 

 

 

 

 

 

 

 

 

 

 

 

 

 

 

 

 

 

 

Finland 1)

 

 

 

 

 

 

 

 

 

 

 

 

 

 

 

 

 

 

 

 

 

 

 

 

 

 

 

 

 

 

 

 

 

 

 

 

 

 

 

 

 

 

 

 

 

 

 

 

 

 

 

Schweiz

 

 

 

 

 

 

 

 

 

 

 

 

 

 

 

 

 

 

 

 

 

 

 

 

 

 

 

 

 

 

 

 

 

 

 

 

 

 

 

 

 

 

 

 

 

 

 

 

 

 

 

 

 

 

 

 

 

 

 

 

 

 

 

 

 

 

 

 

 

 

 

 

 

 

 

 

Irland 2)

 

 

 

 

 

 

 

 

 

 

 

 

 

 

 

 

 

 

 

 

 

 

 

 

 

 

 

 

 

 

 

 

 

 

 

 

 

 

 

 

 

 

 

 

 

 

 

 

 

 

 

 

 

 

 

 

 

 

 

 

 

 

 

 

 

 

 

 

 

 

 

 

 

 

 

 

Tyskland

 

 

 

 

 

 

 

 

 

 

 

 

 

 

 

 

 

 

 

 

 

 

 

 

 

 

 

 

 

 

 

 

 

 

 

 

 

 

 

 

 

 

 

 

 

 

 

 

 

 

 

Island

 

 

 

 

 

 

 

 

 

 

 

 

 

 

 

 

 

 

 

 

 

 

 

 

 

 

 

 

 

 

 

 

 

 

 

 

 

 

 

 

 

 

 

 

 

 

 

 

 

 

 

 

 

 

 

 

 

 

 

 

 

 

 

 

 

 

 

 

 

 

 

 

 

 

 

 

Belgien

 

 

 

 

 

 

 

 

 

 

 

 

 

 

 

 

 

 

 

 

 

 

 

 

 

 

 

 

 

 

 

 

 

 

 

 

 

 

 

 

 

 

 

 

 

 

 

 

 

 

 

 

 

 

 

 

 

 

 

 

 

 

 

 

 

 

 

 

 

 

 

 

 

 

 

 

Italien

 

 

 

 

 

 

 

 

 

 

 

 

 

 

 

 

 

 

 

 

 

 

 

 

 

 

 

 

 

 

 

 

 

 

 

 

 

 

 

 

 

 

 

 

 

 

 

 

 

 

 

 

 

 

 

 

 

 

 

 

 

 

 

 

 

 

 

 

 

 

 

 

 

 

 

 

USA

 

 

 

 

 

 

 

 

 

 

 

 

 

 

 

 

 

 

 

 

 

 

 

 

 

 

 

 

 

 

 

 

 

 

 

 

 

 

 

 

 

 

 

 

 

 

 

 

 

 

 

Australien 1)

 

 

 

 

 

 

 

 

 

 

 

 

 

 

 

 

 

 

 

 

 

 

 

 

 

 

 

 

 

 

 

 

 

 

 

 

 

 

 

 

 

 

 

 

 

 

 

 

 

 

 

 

 

 

 

 

 

 

 

 

 

 

 

 

 

 

 

 

 

 

 

 

 

 

 

 

Kanada 3)

 

 

 

 

 

 

 

 

 

 

 

 

 

 

 

 

 

 

 

 

 

 

 

 

 

 

 

 

 

 

 

 

 

 

 

 

 

 

 

 

 

 

 

 

 

 

 

 

 

 

 

 

 

 

 

 

 

 

 

 

 

 

 

 

 

 

 

 

 

 

 

 

 

 

 

 

Frankrike

 

 

 

 

 

 

 

 

 

 

 

 

 

 

 

 

 

 

 

 

 

 

 

 

 

 

 

 

 

 

 

 

 

 

 

 

 

 

 

 

 

 

 

 

 

 

 

 

 

 

 

Spanien

 

 

 

 

 

 

 

 

 

 

 

 

 

 

 

 

 

 

 

 

 

 

2004

 

 

 

 

 

 

 

 

 

 

 

 

 

 

 

 

 

 

 

 

 

 

 

 

 

Österrike 3)

 

 

 

 

 

 

 

 

 

 

 

 

 

 

 

 

 

 

 

 

 

 

 

 

 

 

 

 

 

 

 

 

 

 

 

 

 

 

 

 

 

 

 

 

 

 

 

 

 

 

 

 

 

 

 

 

 

 

 

 

 

 

 

 

 

 

 

 

 

 

 

 

 

 

 

 

Portugal 4)

 

 

 

 

 

 

 

 

 

 

 

 

 

 

 

 

 

 

 

 

 

 

 

1995

 

 

 

 

 

 

 

 

 

 

 

 

 

 

 

 

 

 

 

 

 

 

 

 

 

 

 

Grekland

 

 

 

 

 

 

 

 

 

 

 

 

 

 

 

 

 

 

 

 

 

 

 

 

 

 

 

 

 

 

 

 

 

 

 

 

 

 

 

 

 

 

 

 

 

 

 

 

 

 

EU15

 

 

 

 

 

 

 

 

 

 

 

 

 

 

 

 

 

 

 

 

 

 

 

 

 

 

 

 

 

 

 

 

 

 

 

 

 

 

 

 

 

 

 

 

 

 

 

 

 

 

 

 

 

 

 

 

 

 

 

 

 

 

 

 

 

0

5

10

15

20

25

 

30

35

Källa: OECD Key ICT indicators.

Anm: Data för länderna inom EU15 och data från övriga länder är inte helt harmoniserad.

1)1995 avser år 1997.

2)1995 avser år 1999.

3)2004 avser år 2003.

4)1995 avser år 1998.

7.7Kostnad för telefoni

Att kommunicera säkert och billigt med omvärlden är en viktig förutsättning för företag. Telekommunikationerna är numera så väl

172

Ds 2007:37

Informationsteknik

utbyggda i de länder som jämförs i denna rapport att det inte är av intresse att jämföra dessa. Däremot kan kostnader för telekommunikationer skilja sig åt mellan de olika länderna.

Det är svårt att direkt jämföra kostnader för telekommunikationer då olika operatörer har olika taxesystem med fasta och rörliga avgifter. Ett sätt att jämföra telefonkostnader är att beräkna kostnaden för en given användning, en s.k. varukorg för mobiltelefoni respektive fast telefoni. OECD har definierat några varukorgar för olika former av telefonkostnader som kan sägas vara representativa för OECD-länderna.

I den sammansättning (varukorg) av telefonsamtal som definierats för mobil telefoni mäts kostnaden för samtal till mobiltelefoner med samma operatör, mobiltelefoner med annan operatör, samtal till det fasta nätet samt skickande av meddelande i form av SMS och MMS. Den definierade varukorgen appliceras sedan på olika operatörer och olika former av abonnemang i varje land. Det billigaste abonnemanget i respektive land väljs sedan för att göra jämförelser mellan länder. Jämförelsen mellan länderna visas i diagram 7.7.

173

Informationsteknik

Ds 2007:37

Diagram 7.7: Kostnader för mobil telefoni för en normalanvändare, augusti år 2006, SEK

Danmark Nederländerna Finland SVERIGE Luxemburg Korea Norge Portugal Nya Zeeland Grekland Österrike Australien

Storbritannien Frankrike Tyskland Island Belgien Spanien Kanada Schweiz Irland Italien USA Japan OECD

0

1000

2000

3000

4000

5000

6000

Källa: OECD, Communications Outlook 2007.

De lägsta mobiltelefonkostnaderna återfinns i Danmark följt av Nederländerna. Sverige placerar sig på fjärde plats när det gäller mobiltelefonkostnader. Dyrast att ringa mobilsamtal är det i Japan USA och Italien.

För att belysa hur de fasta telefonkostnaderna skiljer sig mellan olika länder har OECD beräknat en varukorg som mäter företags kostnader för fast telefoni. I kalkylerna ingår inrikessamtal, utlandssamtal samt samtal till mobiltelefon. I diagram 7.8 visas telefonkostnaderna för företag.

174

Ds 2007:37

Informationsteknik

Diagram 7.8: Kostnader för fast telefoni för företag, augusti år 2006, SEK

USA Spanien Grekland Norge Luxemburg Tyskland Danmark Korea Kanada Nederländerna Island SVERIGE Österrike Nya Zeeland Irland Portugal Frankrike Schweiz Belgien Storbritannien Italien Finland Japan Australien OECD

0

50 000

100 000

150 000

200 000

250 000

300 000

Källa: OECD, Communications Outlook 2007.

Anm: Avser kostnaden för ett typföretag med 30 anställda under ett år.

Av diagram 7.8 framgår det att kostnaderna för fast telefoni i Sverige ligger på en medelnivå bland OECD-länderna. De lägsta kostnaderna återfinns i USA, Spanien och Grekland.

7.8Marknadsstrukturen i telesektorn

Ökad konkurrens ger konsumenten större valfrihet genom ökat utbud och lägre priser. Telekommunikationssektorn är en sektor där länderna inom OECD tidigare har haft en aktör i monopolställning inom den fasta telefonin. I syfte att konkurrensutsätta denna marknad har avregleringar genomförts i ett stort antal OECD-länder, däribland Sverige. Genom avregleringarna får fler aktörer tillgång till det existerande fasta nätet. Ett sätt att illustrera hur långt konkurrensutsättningen har kommit är att mäta hur stor marknadsandel den före detta monopolisten har. I diagram 7.9 visas marknadsandelen i segmentet

175

Informationsteknik

Ds 2007:37

”internationella telefonsamtal med fast telefoni” för den före detta monopolisten i ett antal europeiska länder under åren 2001-2005.

Diagram 7.9: Marknadsandel för den före detta monopolisten, fast telefoni, internationella samtal år 2001-2005, procent

Tyskland

 

 

 

 

 

 

 

 

 

 

 

 

 

 

 

 

 

 

 

 

 

 

 

 

 

 

 

 

 

 

 

 

 

 

 

 

 

 

 

 

 

 

 

 

 

 

 

 

 

 

SVERIGE 1) 2)

 

 

 

 

 

 

 

 

 

 

 

 

 

 

 

 

 

 

 

 

 

 

 

 

 

 

 

 

 

 

 

 

 

 

 

 

 

 

 

 

 

 

 

 

 

 

 

2005

 

 

Finland 1) 3)

 

 

 

 

 

 

 

 

 

 

 

 

 

 

 

 

 

 

 

 

 

 

 

 

 

 

 

 

 

 

 

 

 

 

 

 

 

 

 

 

 

 

 

 

 

 

2003

 

 

 

 

 

 

 

 

 

 

 

 

 

 

 

 

 

 

 

 

 

 

 

 

 

 

Nederländerna 1)

 

 

 

 

 

 

 

 

 

 

 

 

 

 

 

 

 

 

 

 

 

 

 

 

 

 

 

 

 

 

 

 

 

 

 

 

 

 

 

 

 

 

 

 

 

 

 

 

 

Italien 1)

 

 

 

 

 

 

 

 

 

 

 

 

 

 

 

 

 

 

 

 

 

 

2001

 

 

 

 

 

 

 

 

 

 

 

 

 

 

 

 

 

 

 

 

 

 

 

 

 

 

Österrike 1)

 

 

 

 

 

 

 

 

 

 

 

 

 

 

 

 

 

 

 

 

 

 

 

 

 

 

 

 

 

 

 

 

 

 

 

 

 

 

 

 

 

 

 

 

 

 

 

 

 

 

 

 

 

 

 

 

 

 

 

 

 

 

 

 

 

 

 

 

 

 

 

 

 

 

 

Storbritannien

 

 

 

 

 

 

 

 

 

 

 

 

 

 

 

 

 

 

 

 

 

 

 

 

 

 

 

 

 

 

 

 

 

 

 

 

 

 

 

 

 

 

 

 

 

 

 

 

 

 

Belgien

 

 

 

 

 

 

 

 

 

 

 

 

 

 

 

 

 

 

 

 

 

 

 

 

 

 

 

 

 

 

 

 

 

 

 

 

 

 

 

 

 

 

 

 

 

 

 

 

 

 

Norge

 

 

 

 

 

 

 

 

 

 

 

 

 

 

 

 

 

 

 

 

 

 

 

 

 

 

 

 

 

 

 

 

 

 

 

 

 

 

 

 

 

 

 

 

 

 

 

 

 

 

Spanien

 

 

 

 

 

 

 

 

 

 

 

 

 

 

 

 

 

 

 

 

 

 

 

 

 

 

 

 

 

 

 

 

 

 

 

 

 

 

 

 

 

 

 

 

 

 

 

 

 

 

Irland

 

 

 

 

 

 

 

 

 

 

 

 

 

 

 

 

 

 

 

 

 

 

 

 

 

 

 

 

 

 

 

 

 

 

 

 

 

 

 

 

 

 

 

 

 

 

 

 

 

 

Frankrike 1)

 

 

 

 

 

 

 

 

 

 

 

 

 

 

 

 

 

 

 

 

 

 

 

 

 

 

 

 

 

 

 

 

 

 

 

 

 

 

 

 

 

 

 

 

 

 

 

 

 

 

Grekland

 

 

 

 

 

 

 

 

 

 

 

 

 

 

 

 

 

 

 

 

 

 

 

 

 

 

 

 

 

 

 

 

 

 

 

 

 

 

 

 

 

 

 

 

 

 

 

 

 

 

Portugal

 

 

 

 

 

 

 

 

 

 

 

 

 

 

 

 

 

 

 

 

 

 

 

 

 

 

 

 

 

 

 

 

 

 

 

 

 

 

 

 

 

 

 

 

 

 

 

 

 

 

EU15 1)

 

 

 

 

 

 

 

 

 

 

 

 

 

 

 

 

 

 

 

 

 

 

 

 

 

 

 

 

 

 

 

 

 

 

 

 

 

 

 

 

 

 

 

 

 

 

 

 

 

 

 

 

 

 

 

 

 

 

 

 

 

 

 

 

 

 

0

20

40

 

 

 

 

 

 

60

80

100

Källa: Eurostat, Structural Indicators.

1)År 2001 avser 2002.

2)Konfidentiella data för år 2005.

3)År 2005 avser 2004.

Av diagram 7.9 kan utläsas att den före detta monopolisten i Sverige har en förhållandevis liten marknadsandel jämfört med andra länder. Sverige ligger på andra plats i rangordningen bland länderna.TPF116FPT I Portugal återfinns den största marknadsandelen för den före detta monopolisten, 80 procent. Storleken på den före detta monopolistens marknadsandel beror i stor utsträckning på hur länge marknaden varit konkurrensutsatt.TPF117FPT

116TP PT Data för år 2005 avseende Sverige finns inte tillgänglig i Eurostats databas. Nationella data över marknadsandelar för fast telefoni indikerar dock inga stora förändringar för den före detta monopolistens marknadsandel mellan 2003 och 2005, Post & Telestyrelsen (2006).

117TP NäringsdepartementetPT (2003), s. 172-173.

176

8 Transporter

Tillgång till en väl fungerande infrastruktur som medför säkra, snabba och kostnadseffektiva transporter är en viktig faktor som bidrar till ett lands eller en regions sammantagna attraktivitet och konkurrenskraft. Förbättringar i infrastruktur och transport- möjligheter bidrar till en högre produktivitetsnivå och därmed till en högre BNP.TPF118FPT Graden av tillgänglighet påverkar var ekonomisk aktivitet kan ske och vilka sektorer som kan utvecklas över tiden i en ekonomi. Goda transportmöjligheter främjar handel då det möjliggör för företag att leverera sina produkter på ett säkert och kostnadseffektivt sätt. Väl utbyggda transportsystem ger också möjlighet till pendling som bidrar till en bättre rörlighet för arbetskraften. I glest befolkade länder som Sverige, med många små lokala arbetsmarknadsregioner, innebär en ökad pendling att regionerna förstoras och att dessa därmed bättre knyts ihop. Regionförstoring är i sin tur en process som möjliggör ökad specialisering av näringsliv och utbildning, differentierad arbetsmarknad och ökad valfrihet i boendet.

Gränsöverskridande transporter är en självklar del av EU:s gemensamma marknad och en förutsättning för att den ska fungera. Samarbete inom unionen handlar bland annat om att skapa gemensamma regler för transportfordonens utformning, konkurrensfrågor och om att skapa transportnät av bättre kvalité. Transporternas inverkan på miljön är en annan fråga som ökat i betydelse. Vid Europeiska rådets möte i juni 2006 fastslogs att en av sju huvudutmaningar i EU:s strategi för hållbar utveckling är att skapa hållbara transporter ur miljösynpunkt. Arbetet innefattar bland annat att transportsektorn skall bidra till att minska utsläppen av växthusgaser med 8 procent till år 2012 jämfört med 1990 års nivåer i enlighet med Kyotoprotokollet. Arbetet innefattar att ta fram miljövänligare drivmedel och att främja de transportsätt

118TP SverigesPT Byggindustrier (2003).

177

Transporter

Ds 2007:37

som sliter minst på miljön. En målsättning är därför att en ökad andel av den sammantagna transportvolymen inom EU ska genomföras med järnväg eller sjöfart istället för med vägtransporter. Detta kräver att järnvägsnäten blir bättre och att det blir enklare att samordna transporter mellan olika transportnät, så kallade kombinerade transporter.

I Sverige är det övergripande målet för transportpolitiken att säkerställa en samhällsekonomiskt effektiv och långsiktigt hållbar transportförsörjning för medborgarna och näringslivet i hela landet.TPF119FPT Regeringen meddelade i budgetpropositionen för 2007 att den avser att se över de transportpolitiska målen.TPF120FPT Utgångspunkterna kommer att vara förbättrade förutsättningar för tillväxt och företagande samt att trafikens negativa miljöpåverkan minimeras.

8.1Indikatorer

Teoretiskt sett finns olika metoder att studera transportsektorn i ett konkurrensperspektiv. En metod är att på mikronivå studera företagen som verkar inom transportsektorn och analysera deras utveckling samt branschspecifika eller regionala skillnader. I denna rapport har vi valt att tillämpa ett makroperspektiv i ett försök att visa hur infrastrukturen i olika länder bidrar till ett lands sammantagna konkurrenskraft.

Ett flertal internationella organisationer forskar, utvecklar och sammanställer statistik över de olika transportslagen, väg, flyg sjöfart och järnväg. För att jämföra den svenska konkurrenssituationen med andra länder antar vi att företagens konkurrenskraft gynnas av att rörligheten på arbetsmarkanden är god. Det vill säga att individer skall kunna välja att pendla till och från arbetet och att det är möjligt att göra det inom en rimlig tid. En annan utgångspunkt är att företagen gynnas av att de kan få ut sina produkter på marknaden utan att hindras av en eftersatt infrastruktur. Dessa två faktorer måste dock ske inom ramen för de miljökrav som finns. Det innebär att företagens konkurrens- situation förbättras om de har tillgång till en god infrastruktur samtidigt som de har möjlighet att välja, för företagen, kostnadseffektiva och miljövänligare transportalternativ. Utifrån

119TP PropT .2005/06:160, bet.2005/06:TU5, rskr.2005/06:308.

120TP PropT .2006/07:1, Utgiftsområde 22.

178

Ds 2007:37

Transporter

dessa antaganden har vi valt att belysa transportsektorn med hjälp av åtta indikatorer, indelat i två områden. Inom området ”rörlighet” används indikatorer som kan förväntas ge upphov till ökad tillgänglighet, exempelvis investeringar i infrastruktur och indikatorer som är ett resultat av tidigare investeringar. När det gäller ”hållbarhet” syftar indikatorerna till att belysa hur pass miljövänliga transportsystemet är.

Rörlighet

Transportinvesteringar som andel av BNP

Uppfattning om effektiviteten i distributionsnätet

Genomsnittlig vistelsetid på destinationsorten vid flygresor frånU U respektive stad

Genomsnittlig vistelsetid på destinationsorten vid flygresor tillU U respektive stad

Hållbarhet

Andel gods transporterad på vägnätet

Koldioxidutsläpp per capita från vägtrafiken

Andel godstransporter med sjöfart och järnväg

Energikonsumtion som andel av energikonsumtionen för de olika transportslagen, flyg, väg och järnväg

8.1.1Sveriges position och slutsatser

Investeringar i transportinfrastrukturen är en förutsättning för att skapa och bibehålla en god tillgänglighet till varor, tjänster och för att öka konkurrenskraften. Resultat från forskning om infrastruktur visar att ny eller förbättrad infrastruktur leder till att transportkostnaderna minskar.TPF121FPT

I figur 8.1 sammanfattas Sveriges position i ett s.k. spindeldiagram. Dessa illustrationer är konstruerade så att det sämsta landets resultat placeras i centrum och det bästa landets resultat placeras i yttersta änden av spindeldiagrammet för respektive indikator, dvs. resultaten är normaliserade. De bästa resultaten för alla indikatorer sammanbinds med den streckade yttre linjen i figuren även om det rör sig om olika länder. Utöver de bästa och sämsta resultaten indikeras även Sveriges och

medianlandets

resultat

för

respektive

indikator

i

 

 

 

 

 

 

 

 

121

ITPSPT

(2007b).

 

 

 

 

 

TP

 

 

 

 

 

179

Transporter

Ds 2007:37

spindeldiagrammet. Sveriges position sammanbinds med en orange linje, medan medianvärdet för länderna sammanfogas till en ljusgrå mängd. Efter varje indikatornamn i figurerna anges Sveriges placering bland länderna samt, inom parentes, hur många länder som ingår i jämförelsen. Eftersom avståndet mellan det bästa och det sämsta resultatet bland länderna är normaliserat, får man av spindeldiagrammet även en uppfattning om avståndet mellan Sverige, topplandet, medianlandet och det sämst placerade landet för respektive indikator.

Spindeldiagrammet visar omfattning av infrastruktur- investeringar och indikatorer som speglar effektivitet och miljöbelastning i transportsystemet.

Infrastrukturinvesteringarna, mätt som andel av BNP, har varit förhållandevis låga i Sverige jämfört med andra länder under lång tid. I mitten av 1990-talet steg dock investeringarna till nivåer något över Europagenomsnittet och har sedan dess legat stabilt. Indikatorer avseende vistelsetiden för resor till och från Arlanda uppvisar en vikande trend. Ett skäl för detta kan vara att konkurrensen från lågprisbolagen, som nyttjar andra flygplatser än Arlanda, har ökat.

När det gäller indikatorerna som avser att visa graden av miljöanpassning inom transportsektorn ligger Sverige bättre till. Sverige har då det gäller godstransporter en relativt god fördelning mellan de olika transportslagen jämfört med andra länder. Detta innebär att Sverige transporterar mer via järnväg och sjöfart än flertalet av de jämförda länderna. I den internationella jämförelsen transporterar Sverige lägst andel av godstransporterna via väg. Detta återspeglas dock inte av koldioxidutsläppen för transporter, där Sverige enbart ligger runt medianen men där trenden visserligen visar att utsläppen inte ökar.

Regeringen satsar de kommande åren på att förbättra rörligheten på arbetsmarknaden för individer och företag. De flaskhalsar som finns i framförallt storstäderna ska minska genom utbyggnaden av järnvägsnätet i Stockholmsregionen. I syfte att skapa mer kostnadseffektiva finansieringslösningar för infrastruktursatsningar utreder regeringen om exempelvis s.k. Offentlig-Privat Samverkan (OPS) kan vara ett bra komplement. Denna alternativa finansieringsmöjlighet syftar till att öka effektiviteten i investeringarna och nedbringa livscykelkostnaderna.

180

Ds 2007:37 Transporter

Figur 8.1: Indikatorer inom transportområdet - översikt

 

 

Transportinvesteringarnas

 

 

 

 

andel av BNP 4 ( 10 )

 

 

 

Energikonsumtion

 

 

 

Uppfattning om

per transportslag 6 ( 17 )

 

 

 

infrastrukturnätet 8 ( 24 )

Andel godstransporter

 

 

 

Vistelsetid, resor

med sjöfart och järnväg

 

 

 

 

 

 

från Sverige 9 ( 17 )

3 ( 15 )

 

 

 

 

 

 

 

 

Vägtransporternas

 

 

 

Vistelsetid, resor

andel av godstransporterna¨'

 

 

 

 

 

 

till Sverige 11 ( 17 )

1 ( 17 )

 

 

 

 

 

 

 

 

 

 

Koldioxidutsläpp från

 

 

 

 

vägtrafik 15 ( 23 )

 

 

 

 

 

 

 

 

 

 

Toppland

 

 

Medianland

Sverige

 

 

 

 

 

 

 

 

 

 

 

 

 

 

 

 

Källa: se respektive indikator nedan.

8.1.2Åtgärder för att förbättra transportsystemet

IT samband med 2008 års budgetproposition föreslår regeringen på tilläggsbudget för 2007 riktade amorteringar av järnvägslån om 3,0 miljarder kronor och amorteringar av väglån om 7,0 miljarder kronor i syfte att på kort och lång sikt frigöra medel för att förbättra väg- och järnvägsnäten. Sammantaget kan man genom amorteringarna överföra 1,2 miljarder kronor till väg- och banhållningen. Regeringen föreslår att underhåll av befintliga anläggningar ska prioriteras i första hand, och föreslår därför att ytterligare 815 miljoner kronor används till detta. Utöver detta föreslår regeringen även ytterligare investeringar i väginfrastrukturen motsvarande 385 miljoner kronor extra.

Utöver detta har Banverket under 2007 tillförts ytterligare 125 miljoner som ska användas för förbättring av järnvägsnätet i Stockholmsregionen.

Regeringen ser möjligheter att genom utvecklade upphandlings- och kontraktsformer skapa samhällsekonomiska och driftsekonomiska effektivitetsvinster och överväger därför såväl alternativa former för upphandling som nya metoder att organisera finansieringslösningar för infrastruktur, däribland s.k. offentlig

181

Transporter

Ds 2007:37

privat samverkan (OPS). Sådana alternativa former kan inkludera nya verktyg för att möjliggöra medfinansiering och ökad delaktighet från offentliga och privata intressenter, såsom t.ex. kommuner, regioner och näringsliv, i form av exempelvis brukaravgifter och investeringsmedel.

8.2Transportinvesteringar

Flera internationella och nationella forskningsstudier visar att investeringar i transportinfrastrukturen är positivt för produktiviteten och därmed tillväxten i ekonomin.TPF122FPT Investeringar i transportinfrastrukturen bidrar till att konkurrensen stärks på flera sätt. Investeringar kan bland annat leda till en geografisk ökning av marknadsstorleken vilket innebär att både företag och arbetskraft kan konkurrera inom ett större område till lägre kostnader. För företagen innebär detta minskade transaktionskostnader genom förbättrad logistik och minskade transporttider. En väl utbyggd transportinfrastruktur innebär också att företagen har större möjligheter att välja lokalisering, antingen i syfte att komma närmare sina råvaror eller att sänka sina lokalkostnader.

För att utveckla och bibehålla en hög kvalitet på transportsystemet i form av vägar, järnvägar och hamnar krävs fortgående investeringar, både nyinvesteringar och reinvesteringar samt utgifter för drift och underhåll. Indikatorn transportinvesteringar som andel av BNP möjliggör jämförelser och visar även hur trenderna ser ut för olika länder. I diagram 8.1 visas transportinvesteringarna som andel av BNP uppdelat i tre- och fyraårsperioder åren 1995-2004. Bland de jämförda länderna ligger Sverige något över mitten i länderfördelningen. Under perioden 1995-1998 hade Sverige högst investeringsnivå bland de jämförbara länderna. Äldre statistik från OECD visar att investeringarna var väldigt låga under 1980-talet i Sverige.TPF123FPT Sedan början av 2000-talet har Sveriges infrastrukturinvesteringar ökat som andel av BNP.

122TP ITPSPT (2007c).

123TP FrånPT och med 1995 redovisas statistiken över infrastrukturinvesteringarna från OECD på ett nytt sätt vilket medför ett tidsseriebrott. Äldre statistik från OECD visar emellertid att infrastrukturinvesteringarna steg kraftigt mellan 1992 och 1993 i Sverige efter att tidigare ha legat på betydligt lägre nivåer under flera decennier.

182

Ds 2007:37

Transporter

Diagram 8.1: Transportinvesteringar som andel av BNP, uppdelat som ett genomsnitt i 3-4 års perioder, 1995-2004, procent

Spanien

Irland

Italien

SVERIGE

Frankrike

Tyskland

Österrike

Storbritannien

Finland

Danmark

2002-2004 1999-2001

1995-1998

0.0

0.2

0.4

0.6

0.8

1.0

1.2

1.4

Källa: OECD, ECMT.

Investeringar i infrastruktur är långsiktiga processer, dels beroende på byggtid, dels beroende på stora offentliga utgifter som det innebär att bygga exempelvis några mil motorväg. Regeringen analyserar för närvarande olika alternativa finansieringslösningar däribland OPS, offentlig-privat samverkan. OPS kan innebära att staten ger privata intressenter i uppdrag att satsa på projekt som är samhällsekonomiskt lönsamma. Ersättningen kan ske på olika sätt, antingen via så kallad bompeng, dvs vägtullar eller att staten betalar via antalet passerade fordon alternativt en ersättning baserad på tillgänglighet och kvalitet. Denna form av finansiering väntas ge snabbare färdigställande i förhållande till annan finansiering samt ger en jämnare fördelning av eventuella utgifter på statsbudgeten. Kostnaderna för projekt som bedrivs genom OPS kan teoretiskt bli lägre då de entreprenörer som får ansvaret för hela livscykeln har incitament att göra olika avvägningar som kan resultera i lägre totalkostnader. De nackdelar som nämns i sammanhanget är bl. a högre kapitalkostnader, högre transaktionskostnader, risk att budgetrestriktioner kringgås, att blandade finansieringsformer ger en svåröverskådlig bild och att denna finansieringsform innebär att vissa utgifter inte årligen ställs mot andra angelägna utgifter.

183

Transporter

Ds 2007:37

Slutligen brukar även införande av vägtullar, som är ett av finansieringsalternativen, nämnas som en nackdel då det anses hämma rörligheten för vissa grupper, exempelvis olika branscher som därmed kan få ökade kostnader.

8.3Hur effektivt är distributionsnätet?

EnT annan metod för att skapa en uppfattning om hur väl infrastrukturen fungerar i ett land är att fråga personer om hur de upplever situationen i de länder de besöker eller verkar i. Metoden är något osäker men kan ändå ge en indikation om skillnaden mellan länder, särskilt om undersökningen upprepas över tid. IMD (Institute for Management Development) vänder sig till företagsledare i stora och medelstora företag med både internationell och nationell anknytning.TTPF124FPTT Syftet är att deltagarna ska utvärdera nuvarande och framtida konkurrenssituation inom de områden de verkar. Ett väl fungerande distributionsnät är en viktig förutsättning för att företagen ska kunna bedriva sin verksamhet kostnadseffektivt. Ett väl fungerande distributionsnät har därför betydelse för investeringsbeslut och beslut om lokaliseringar.

I distributionsnätet ingår olika komponenter såsom ett fungerande vägnät där företagen snabbt och effektiv kan leverera sina produkter, fungerande logistikkedjor, utvecklat och välanpassatT regelverk och en fungerandeT administration. Även då vissa delar av IMD:s rapport, ur ett statistiskt perspektiv, är något bristfällig så ger resultaten ändå en indikation på hur företagsledare ser på bland annat Sverige som investeringsland. Diagram 8.2 visar hur företagsledarna bedömer effektiviteten i distributionsnätet i olika länder. Enligt denna undersökning ligger Sverige på en åttonde plats av de 24 jämförda OECD-länderna. Resultaten visar också att Sveriges position har förbättrats avsevärt sedan 2005, från plats 13 till plats 8.

124TP IMD,PT World Competitiveness Yearbook 2007.

184

Ds 2007:37

Transporter

Diagram 8.2: Effektiviteten i distributionsnätet, 2005-2007, skala 0-10

Danmark

 

 

 

 

 

 

 

 

 

 

 

 

 

 

 

 

 

 

 

 

 

 

 

 

 

 

Österrike

 

 

 

 

 

 

 

 

 

 

 

 

 

 

 

 

 

 

 

 

 

 

 

 

 

 

 

 

 

 

 

 

 

 

 

 

 

 

 

 

 

 

 

 

 

 

 

 

 

 

 

 

Schweiz

 

 

 

 

 

 

 

 

 

 

 

 

 

 

 

 

 

 

 

 

 

 

 

 

 

 

 

 

 

 

 

 

 

 

 

 

 

 

 

 

 

 

 

 

 

 

 

 

 

 

 

 

Tyskland

 

 

 

 

 

 

 

 

 

 

 

 

 

 

 

 

 

 

 

 

 

 

 

 

 

 

 

 

 

 

 

 

 

 

 

 

 

 

 

 

 

 

 

 

 

 

 

 

 

 

 

 

Island

 

 

 

 

 

 

 

 

 

 

 

 

 

 

 

 

 

 

 

 

 

 

 

 

 

 

 

 

 

 

 

 

 

 

 

 

 

 

 

 

 

 

 

 

 

 

 

 

 

 

 

 

USA

 

 

 

 

 

 

 

 

 

 

 

 

 

 

 

 

 

 

 

 

 

 

 

 

 

 

 

 

 

 

 

 

 

 

 

 

 

 

 

 

 

 

 

 

 

 

 

 

 

 

 

 

Finland

 

 

 

 

 

 

 

 

 

 

 

 

 

 

 

 

 

 

 

 

 

 

 

 

 

 

 

 

 

 

 

 

 

 

 

 

 

 

 

 

 

 

 

 

 

 

 

 

 

 

 

 

SVERIGE

 

 

 

 

 

 

 

 

 

 

 

 

 

 

 

 

 

 

 

 

 

 

 

 

 

 

 

 

 

 

 

 

 

 

 

 

 

 

 

 

 

 

 

 

 

 

 

 

 

 

 

 

Frankrike

 

 

 

 

 

 

 

 

 

 

 

 

 

 

 

 

 

 

 

 

 

 

 

 

 

 

 

 

 

 

 

 

 

 

 

 

 

 

 

 

 

 

 

 

 

 

 

 

 

 

 

 

Belgien

 

 

 

 

 

 

 

 

 

 

 

 

 

 

 

 

 

 

 

 

 

 

 

 

 

 

 

 

 

 

 

 

 

 

 

 

 

 

 

 

 

 

 

 

 

 

 

 

 

 

 

 

Luxemburg

 

 

 

 

 

 

 

 

 

 

 

 

 

 

 

 

 

 

 

 

 

 

 

 

 

 

 

 

 

 

 

 

 

 

 

 

 

 

 

 

 

 

 

 

 

 

 

 

 

 

 

 

Australien

 

 

 

 

 

 

 

 

 

 

 

 

 

 

 

 

 

 

 

 

 

 

 

 

 

 

 

 

 

 

 

 

 

 

 

 

 

 

 

 

 

 

 

 

 

 

 

 

 

 

 

 

Japan

 

 

 

 

 

 

 

 

 

 

 

 

 

 

 

 

 

 

 

 

 

 

 

 

 

 

 

 

 

 

 

 

 

 

 

 

 

 

 

 

 

 

 

 

 

 

 

 

 

 

 

 

Kanada

 

 

 

 

 

 

 

 

 

 

 

 

 

 

 

 

 

 

 

 

 

 

 

 

 

 

 

 

 

 

 

 

 

 

 

 

 

 

 

 

 

 

 

 

 

 

 

 

 

 

 

 

Nederländerna

 

 

 

 

 

 

 

 

 

 

 

 

 

 

 

 

 

 

 

 

 

 

 

 

 

 

 

 

 

 

 

 

 

 

 

 

 

 

 

 

 

 

 

 

 

 

 

 

 

 

 

 

Nya Zeeland

 

 

 

 

 

 

 

 

 

 

 

 

 

 

 

 

 

 

 

 

 

 

 

 

 

 

 

 

 

 

 

 

 

 

 

 

 

 

 

 

 

 

 

 

 

 

 

 

 

 

 

 

Storbritannien

 

 

 

 

 

 

 

 

 

 

 

 

 

 

 

 

 

 

 

 

 

 

 

 

 

 

 

 

 

 

 

 

 

 

 

 

 

 

 

 

 

 

 

 

 

 

 

 

 

 

 

 

Norge

 

 

 

 

 

 

 

 

 

 

 

 

 

 

 

 

 

 

2007

 

 

 

 

 

 

 

 

 

 

 

 

 

 

 

 

 

 

 

 

 

 

 

 

 

 

 

 

 

 

 

 

 

 

 

 

 

 

 

 

Spanien

 

 

 

 

 

 

 

 

 

 

 

 

 

 

 

 

 

 

2006

 

 

Grekland

 

 

 

 

 

 

 

 

 

 

 

 

 

 

 

 

 

 

 

 

 

 

 

 

 

 

 

 

 

 

 

 

 

 

 

 

 

 

 

 

Portugal

 

 

 

 

 

 

 

 

 

 

 

 

 

 

 

 

 

 

2005

 

 

 

 

 

 

 

 

 

 

 

 

 

 

 

 

 

 

 

 

 

 

Korea

 

 

 

 

 

 

 

 

 

 

 

 

 

 

 

 

 

 

 

 

Irland

 

 

 

 

 

 

 

 

 

 

 

 

 

 

 

 

 

 

 

 

 

 

 

 

 

 

 

 

 

 

 

 

 

 

 

 

 

 

 

 

 

 

 

 

 

 

 

 

 

 

 

 

 

 

 

 

 

 

 

 

 

 

 

 

 

 

 

 

 

 

 

 

 

 

 

 

 

 

Italien

 

 

 

 

 

 

 

 

 

 

 

 

 

 

 

 

 

 

 

 

 

 

 

 

 

 

 

 

 

 

 

 

 

 

 

 

 

 

 

 

 

 

 

 

 

 

 

 

 

 

 

 

 

 

 

 

 

 

 

 

 

 

 

 

0

2

 

4

6

8

 

 

10

Källa: IMD, World Competitiveness Yearbook.

8.4Stockholms flygförbindelser med utlandet

En god tillgänglighet med flyg är ett mått som speglar effektiviteten i ett lands infrastruktur. Ett sätt att mäta tillgängligheten till och från ett land är genom turtätheten mellan länder. Sedan några år tillbaka finns statistik över storstäders tillgänglighet baserad på flygförbindelser. Luftfartsstyrelsen tar med hjälp av tidtabeller fram mått på flygtillgängligheten i olika storstäder i Europa.TPF125FPT Måttet, uttryckt i timmar, visar hur lång tid det är möjligt att vistas i olika städer i Europa under ett dagsbesök. Det visar det genomsnittliga antal timmar man kan vara borta från en viss stad under en och samma dag givet att man reser från startorten med det första flyget på morgonen och kommer tillbaka med det sista flyget på kvällen. Tiden beräknas från det att planet landar på destinationsorten till avgångstiden för hemresan.

125TP LuftfartsstyrelsenPT (2007).

185

Transporter

Ds 2007:37

För sjutton storstäder i Europa har sådana ”vistelsetider” beräknats för resor frånU U respektive stad till de övriga sexton städerna. För varje stad har sedan beräknats ett genomsnitt av de sexton vistelsetiderna. Dessa värden visas i diagram 8.3.

Diagram 8.3: Genomsnittlig vistelsetid på destinationsorten vid flygresor frånU U respektive stad, 1999-2006, antal timmar

London

 

 

 

 

 

 

 

 

 

 

 

 

 

 

 

 

 

 

 

 

 

 

 

 

 

 

 

 

 

 

 

 

 

 

 

 

 

 

 

 

 

 

 

 

 

 

 

 

 

 

 

 

 

 

 

 

 

 

 

 

 

 

 

 

 

 

 

 

Paris

 

 

 

 

 

 

 

 

 

 

 

 

 

 

 

 

 

 

 

 

 

 

 

 

 

 

 

 

 

 

 

 

 

 

 

 

 

 

 

 

 

 

 

 

 

 

 

 

 

 

 

 

 

 

 

 

 

 

 

 

 

 

 

 

 

 

 

 

Frankfurt

 

 

 

 

 

 

 

 

 

 

 

 

 

 

 

 

 

 

 

 

 

 

 

 

 

 

 

 

 

 

 

 

 

 

 

 

 

 

 

 

 

 

 

 

 

 

 

 

 

 

 

 

 

 

 

 

 

 

 

 

 

 

 

 

 

 

 

 

Amsterdam

 

 

 

 

 

 

 

 

 

 

 

 

 

 

 

 

 

 

 

 

 

 

 

 

 

 

 

 

 

 

 

 

 

 

 

 

 

 

 

 

 

 

 

 

 

 

 

 

 

 

 

 

 

 

 

 

 

 

 

 

 

 

 

 

 

 

 

 

Bryssel

 

 

 

 

 

 

 

 

 

 

 

 

 

 

 

 

 

 

 

 

 

 

 

 

 

 

 

 

 

 

 

 

 

 

 

 

 

 

 

 

 

 

 

 

 

 

 

 

 

 

 

 

 

 

 

 

 

 

 

 

 

 

 

 

 

 

 

 

Köpenhamn

 

 

 

 

 

 

 

 

 

 

 

 

 

 

 

 

 

 

 

 

 

 

 

 

 

 

 

 

 

 

 

 

 

 

 

 

 

 

 

 

 

 

 

 

 

 

 

 

 

 

 

 

 

 

 

 

 

 

 

 

 

 

 

 

 

 

 

 

Zürich

 

 

 

 

 

 

 

 

 

 

 

 

 

 

 

 

 

 

 

 

 

 

 

 

 

 

 

 

 

 

 

 

 

 

 

 

 

 

 

 

 

 

 

 

 

 

 

 

 

 

 

 

 

 

 

 

 

 

 

 

 

 

 

 

 

 

 

 

Wien

 

 

 

 

 

 

 

 

 

 

 

 

 

 

 

 

 

 

 

 

 

 

 

 

 

 

 

 

 

 

 

 

 

 

 

 

 

 

 

 

 

 

 

 

 

 

 

 

 

 

 

 

 

 

 

 

 

 

 

 

 

 

 

 

 

 

 

 

STOCKHOLM

 

 

 

 

 

 

 

 

 

 

 

 

 

 

 

 

 

 

 

 

 

 

 

 

 

 

 

 

 

 

 

 

 

 

 

 

 

 

 

 

 

 

 

 

 

 

 

 

 

 

 

 

 

 

 

 

 

 

 

 

 

 

 

 

 

 

 

 

Madrid

 

 

 

 

 

 

 

 

 

 

 

 

 

 

 

 

 

 

 

 

 

 

 

 

 

 

 

 

 

 

 

 

 

 

 

 

 

 

 

 

 

 

 

 

 

 

 

 

 

 

 

 

 

 

 

 

 

 

 

 

 

 

 

 

 

 

 

 

Oslo

 

 

 

 

 

 

 

 

 

 

 

 

 

 

 

 

 

 

 

 

 

 

 

 

 

 

 

 

 

 

 

 

 

 

 

 

 

 

 

 

 

 

 

 

 

 

 

 

 

 

 

 

 

 

 

 

 

 

 

 

 

 

 

 

 

 

 

 

Helsingfors

 

 

 

 

 

 

 

 

 

 

 

 

 

 

 

 

 

 

 

 

 

 

 

 

 

 

 

 

 

 

 

 

 

 

 

 

 

 

 

 

 

 

 

 

 

 

 

 

 

 

 

 

 

 

 

 

 

 

 

 

 

 

 

 

 

 

 

 

Rom

 

 

 

 

 

 

 

 

 

 

 

 

 

 

 

 

 

 

 

 

 

 

 

 

 

 

 

 

 

 

 

 

 

 

 

 

 

 

 

 

 

 

 

 

 

 

 

 

 

 

 

 

 

 

 

 

 

 

 

 

nov-06

 

 

Luxemburg

 

 

 

 

 

 

 

 

 

 

 

 

 

 

 

 

 

 

 

 

 

 

 

 

 

 

 

 

 

 

 

 

 

 

 

 

 

 

 

 

 

 

 

 

 

 

 

 

 

 

 

 

 

 

nov-02

 

 

Lissabon

 

 

 

 

 

 

 

 

 

 

 

 

 

 

 

 

 

 

 

 

 

 

 

 

 

 

 

 

 

 

 

 

 

 

 

 

 

 

 

 

 

 

 

 

 

 

 

 

 

 

 

 

 

 

dec-99

 

 

Aten

 

 

 

 

 

 

 

 

 

 

 

 

 

 

 

 

 

 

 

 

 

 

 

 

 

 

 

 

Dublin

 

 

 

 

 

 

 

 

 

 

 

 

 

 

 

 

 

 

 

 

 

 

 

 

 

 

 

 

 

 

 

 

 

 

 

 

 

 

 

 

 

 

 

 

 

 

 

 

 

 

 

 

 

 

 

 

 

 

 

 

 

 

 

 

 

 

 

 

 

 

 

 

 

 

 

 

 

 

 

 

 

 

 

 

 

 

 

 

 

 

 

 

 

 

 

 

 

 

 

 

 

 

 

 

 

 

 

 

 

 

 

 

 

 

 

 

 

 

 

 

 

 

 

 

 

 

 

 

 

 

 

 

 

 

 

 

 

 

 

 

 

 

 

 

 

 

 

 

 

 

 

 

 

 

 

 

 

0

2

 

4

6

 

 

8

 

 

 

 

 

 

10

 

 

 

12

Källa: Luftfartsverket.

Sammantaget har de genomsnittliga vistelsetiderna ökat i 12 av städerna mellan åren 2002 och 2006 och i 10 av städerna sedan 1999. För städerna Madrid, London, Wien och Rom har den genomsnittliga vistelsetiden ökat med mellan 1 till 1½ timme under perioden. För Stockholm har tillgängligheten försämrats under perioden. Anmärkningsvärt är att försämringen har skett efter 2002, det vill säga efter att de ökade säkerhetskraven vid flygplatserna borde ha varit som störst som en följd av terrorattackerna i USA och på andra håll. I London har tillgängligheten förbättrats trots att risken för nya terrordåd sannolikt bedöms vara högre där än i Sverige. På grund av den försämrade vistelsetiden har Stockholms rangordning försämrats, från att ha legat på en femteplats i november 2002 till en delad nionde plats i november 2006.

186

Ds 2007:37

Transporter

På motsvarande sätt visas vistelsetiderna vid resor tillU U en viss stad. Den genomsnittliga vistelsetiden vid resor till de 17 städerna framgår av diagram 8.4.

Diagram 8.4: Genomsnittlig vistelsetid på destinationsorten vid flygresor tillU U respektive stad, 1999-2006, antal timmar

Frankfurt

 

 

 

 

 

 

 

 

 

 

 

 

 

 

 

 

 

 

 

 

 

 

 

 

 

 

 

 

 

 

 

 

 

 

 

 

 

 

 

 

 

 

 

 

 

 

 

 

 

 

 

 

 

 

 

 

 

 

 

 

 

 

 

 

 

 

 

 

 

 

 

 

Amsterdam

 

 

 

 

 

 

 

 

 

 

 

 

 

 

 

 

 

 

 

 

 

 

 

 

 

 

 

 

 

 

 

 

 

 

 

 

 

 

 

 

 

 

 

 

 

 

 

 

 

 

 

 

 

 

 

 

 

 

 

 

 

 

 

 

 

 

 

 

 

 

 

 

London

 

 

 

 

 

 

 

 

 

 

 

 

 

 

 

 

 

 

 

 

 

 

 

 

 

 

 

 

 

 

 

 

 

 

 

 

 

 

 

 

 

 

 

 

 

 

 

 

 

 

 

 

 

 

 

 

 

 

 

 

 

 

 

 

 

 

 

 

 

 

 

 

Paris

 

 

 

 

 

 

 

 

 

 

 

 

 

 

 

 

 

 

 

 

 

 

 

 

 

 

 

 

 

 

 

 

 

 

 

 

 

 

 

 

 

 

 

 

 

 

 

 

 

 

 

 

 

 

 

 

 

 

 

 

 

 

 

 

 

 

 

 

 

 

 

 

Brussel

 

 

 

 

 

 

 

 

 

 

 

 

 

 

 

 

 

 

 

 

 

 

 

 

 

 

 

 

 

 

 

 

 

 

 

 

 

 

 

 

 

 

 

 

 

 

 

 

 

 

 

 

 

 

 

 

 

 

 

 

 

 

 

 

 

 

 

 

 

 

 

 

Zurich

 

 

 

 

 

 

 

 

 

 

 

 

 

 

 

 

 

 

 

 

 

 

 

 

 

 

 

 

 

 

 

 

 

 

 

 

 

 

 

 

 

 

 

 

 

 

 

 

 

 

 

 

 

 

 

 

 

 

 

 

 

 

 

 

 

 

 

 

 

 

 

 

Wien

 

 

 

 

 

 

 

 

 

 

 

 

 

 

 

 

 

 

 

 

 

 

 

 

 

 

 

 

 

 

 

 

 

 

 

 

 

 

 

 

 

 

 

 

 

 

 

 

 

 

 

 

 

 

 

 

 

 

 

 

 

 

 

 

 

 

 

 

 

 

 

 

Köpenhamn

 

 

 

 

 

 

 

 

 

 

 

 

 

 

 

 

 

 

 

 

 

 

 

 

 

 

 

 

 

 

 

 

 

 

 

 

 

 

 

 

 

 

 

 

 

 

 

 

 

 

 

 

 

 

 

 

 

 

 

 

 

 

 

 

 

 

 

 

 

 

 

 

Rom

 

 

 

 

 

 

 

 

 

 

 

 

 

 

 

 

 

 

 

 

 

 

 

 

 

 

 

 

 

 

 

 

 

 

 

 

 

 

 

 

 

 

 

 

 

 

 

 

 

 

 

 

 

 

 

 

 

 

 

 

 

 

 

 

 

 

 

 

 

 

 

 

Madrid

 

 

 

 

 

 

 

 

 

 

 

 

 

 

 

 

 

 

 

 

 

 

 

 

 

 

 

 

 

 

 

 

 

 

 

 

 

 

 

 

 

 

 

 

 

 

 

 

 

 

 

 

 

 

 

 

 

 

 

 

 

 

 

 

 

 

 

 

 

 

 

 

STOCKHOLM

 

 

 

 

 

 

 

 

 

 

 

 

 

 

 

 

 

 

 

 

 

 

 

 

 

 

 

 

 

 

 

 

 

 

 

 

 

 

 

 

 

 

 

 

 

 

 

 

 

 

 

 

 

 

 

 

 

 

 

 

 

 

 

 

 

 

 

 

 

 

 

 

Oslo

 

 

 

 

 

 

 

 

 

 

 

 

 

 

 

 

 

 

 

 

 

 

 

 

 

 

 

 

 

 

 

 

 

 

 

 

 

 

 

 

 

 

 

 

 

 

 

 

 

 

 

 

 

 

 

 

 

 

 

 

 

 

 

 

 

 

 

 

 

 

 

 

Lissabon

 

 

 

 

 

 

 

 

 

 

 

 

 

 

 

 

 

 

 

 

 

 

 

 

 

 

 

 

 

 

 

 

 

 

 

 

 

 

 

 

 

 

 

 

 

 

 

 

 

 

 

 

 

 

 

 

 

 

 

 

 

 

 

 

 

 

 

 

 

 

 

 

Luxemburg

 

 

 

 

 

 

 

 

 

 

 

 

 

 

 

 

 

 

 

 

 

 

 

 

 

 

 

 

 

 

nov-06

 

 

 

 

 

 

 

 

 

 

 

 

 

 

 

 

 

 

 

 

 

 

 

 

 

 

 

 

 

 

 

 

 

 

Helsingfors

 

 

 

 

 

 

 

 

 

 

 

 

 

 

 

 

 

 

 

 

 

 

 

 

 

 

 

 

 

 

nov-02

 

 

 

 

 

 

 

 

 

 

 

 

 

 

 

 

 

 

 

 

 

 

 

 

 

 

 

 

 

 

 

 

 

 

 

 

 

 

 

 

 

 

 

 

 

 

 

 

 

 

 

 

 

 

 

 

 

 

 

 

 

 

 

 

 

 

Dublin

 

 

 

 

 

 

 

 

 

 

 

 

 

 

 

 

 

 

 

 

 

 

 

 

 

 

 

 

 

 

dec-99

 

 

 

 

 

 

 

 

 

 

 

 

 

 

 

 

 

 

 

 

 

 

 

 

 

 

 

 

 

 

 

 

 

 

Aten

 

 

 

 

 

 

 

 

 

 

 

 

 

 

 

 

 

 

 

 

 

 

 

 

 

 

 

 

 

 

 

 

 

 

 

 

 

 

 

 

 

 

 

 

 

 

 

 

 

 

 

 

 

 

 

 

 

 

 

 

 

 

 

 

 

 

 

 

 

 

 

 

 

 

 

 

 

 

 

 

 

 

 

 

 

 

 

 

 

 

 

 

 

 

 

 

 

 

 

 

 

 

 

 

 

 

 

 

 

 

 

 

 

 

 

 

 

 

 

 

 

 

 

 

 

 

0

2

 

 

4

 

 

 

6

 

 

 

8

 

 

 

 

10

12

 

14

Källa: Luftfartsverket.

IT 11 av de 17 städerna har den genomsnittliga vistelsetiden ökat 2006 jämfört med 1999. Detsamma gäller vid en jämförelse mellan åren 2002 och 2006. Den största nedgången har Zürich där vistelsetiden mellan 2002 och 2006 minskade med nästan 75 minuter i genomsnitt. Även i Stockholm har den genomsnittliga vistelsetiden sjunkit trendmässigt under perioden vilket medfört att Stockholms tappat ett steg, från en tiondeplacering till en elfteplats i rangordningen bland de sjutton städerna. Förklaringarna kan delvis bero på ökade säkerhetskrav men också, vilket kan vara motsägelsefullt, på grund av den ökade konkurrensen från lågprisbolag. Detta kan ha inneburit färre avgångar från Arlanda. Statistiken visar endast avgångar från de största flygplatserna i huvudstäderna och därmed vet vi inte om det totala antalet resor till och från olika länder har förändrats. Lågprisbolagen använder sig emellertid ofta av mindre flygplatser och har både mycket tidiga

187

Transporter

Ds 2007:37

och mycket sena avgångar. Detta kan i själva verket ha bidragit till att förbättra tillgängligheten för flera länder. Ytterligare en förklaring kan vara att efterfrågan på resor helt enkelt har minskat vilket har bidragit till minskat antal avgångar. T

8.5Hållbarhetsperspektiv

EU:s mål är att förmå företagen att i större utsträckning lägga om sina transporter mot mer miljövänliga alternativ. Transporter med järnväg och sjöfart är i detta avseende oftast att föredra framför väg- och flygtransporter.

8.5.1Godstransporter

I diagram 8.5 visas de olika transportslagens andel av de totala godstransporterna, mätt i ton. Dessvärre medger statistiken endast internationella jämförelser för år 2005. Diagrammet visar att Sverige har den fjärde högsta andelen i sjötransport och den tredje högsta i järnvägstransport. Detta tyder på att Sverige ligger långt fram i sin omställning mot ett miljövänligare transportsystem. Nederländerna och Belgien gynnas också av att större andelar av alternativa transporter som tar andelar från vägtransporterna. Länder som Luxemburg och Österrike har en väl utbyggd järnvägsinfrastruktur men av naturliga skäl inga möjligheter att fördela till sjötransporter. Även på Irland sker fortfarande en stor andel av transporterna via vägar trots att Irland har få motorvägar.

188

Ds 2007:37

Transporter

Diagram 8.5: Andel av godstransporterna för respektive transportslag, 2005, procent

Nederländerna

 

 

 

 

 

 

 

 

 

 

 

 

 

 

 

 

 

 

 

 

 

 

 

 

 

 

 

 

 

 

 

 

 

 

 

 

Belgien 1)

 

 

 

 

 

 

 

 

 

 

 

 

 

 

 

 

 

 

 

 

 

 

 

 

 

 

 

 

 

 

 

 

 

 

 

 

SVERIGE

 

 

 

 

 

 

 

 

 

 

 

 

 

 

 

 

 

 

 

 

 

 

 

 

 

 

 

 

 

 

 

 

 

 

 

 

Danmark

 

 

 

 

 

 

 

 

 

 

 

 

 

 

 

 

 

 

 

 

 

 

 

 

 

 

 

 

 

 

 

 

 

 

 

 

Spanien

 

 

 

 

 

 

 

 

 

 

 

 

 

 

 

 

 

 

 

 

 

 

 

 

 

 

 

 

 

 

 

 

 

 

 

 

Italien

 

 

 

 

 

 

 

 

 

 

 

 

 

 

 

 

 

 

 

 

 

 

 

 

 

 

 

 

 

 

 

 

 

 

 

 

Storbritannien

 

 

 

 

 

 

 

 

 

 

 

 

 

 

 

 

 

 

 

 

 

 

 

 

 

 

 

 

 

 

 

 

 

 

 

 

Österrike

 

 

 

 

 

 

 

 

 

 

 

 

 

 

 

 

 

 

 

 

 

 

 

 

 

 

 

 

 

 

 

 

 

 

 

 

Finland

 

 

 

 

 

 

 

 

 

 

 

 

 

 

 

 

 

 

 

 

 

 

 

 

 

 

 

 

 

 

 

 

 

 

 

 

Frankrike

 

 

 

 

 

 

 

 

 

 

 

 

 

 

 

 

 

 

 

 

 

 

 

 

 

 

 

 

 

 

 

 

Järnväg

 

 

 

Portugal

 

 

 

 

 

 

 

 

 

 

 

 

 

 

 

 

 

 

 

 

 

 

 

 

 

 

 

 

 

 

 

 

 

 

 

Tyskland

 

 

 

 

 

 

 

 

 

 

 

 

 

 

Sjöfart

 

 

 

 

 

 

 

 

 

 

 

 

 

 

 

 

 

 

 

 

 

 

 

 

 

 

 

 

 

 

 

 

 

 

Luxemburg

 

 

 

 

 

 

 

 

 

 

 

 

 

 

Väg

 

 

 

 

 

 

 

 

 

 

 

 

 

 

 

 

 

 

 

 

Grekland

 

 

 

 

 

 

 

 

 

 

 

 

 

 

 

 

 

 

 

 

 

 

 

 

 

 

 

 

 

 

 

 

 

 

 

Irland

 

 

 

 

 

 

 

 

 

 

 

 

 

 

 

 

 

 

 

 

 

 

 

 

 

 

 

 

 

 

 

 

 

 

 

 

 

 

 

 

 

 

 

 

 

 

 

 

 

 

 

 

 

 

 

 

 

 

 

 

 

 

 

 

 

 

 

 

 

 

 

 

 

0

 

 

 

 

 

20

40

60

80

100

Källa: Eurostat.

Anm: Flyget är inräknat men andelen är nära noll för samtliga länder och utgör den del av stapeln som inte fyller ut till 100 % i diagrammet.

1) Avser år 2003.

8.5.2Vägtransporter

Under perioden 1999-2005 ökade vägtransporternas andel av inrikes godstransporter generellt i EU-länderna. Jämfört med år 1999 har andelen ökat i tio länder och är oförändrade i två av de 17 länderna.

Andelen vägtransporter i Sverige uppgick år 2005 till 64 procent vilket är en minskning med 1,6 procentenheter jämfört med 2002. Som framgår av diagram 8.6 har Sverige jämfört med EU-länderna som helhet en mindre andel vägtransporter. Även Österrike, Nederländerna och Tyskland har under 70 procent som andel av de totala transporterna medan Spanien, Grekland, Irland och Island använder vägarna i över 95 procent av sina inrikes transporter av varor. En förklaring kan vara att vägtransporter och järnvägstransporter kompletterar varandra, det vill säga respektive transportslag används för det ändamål som är mest lämplig för landets näringslivsstruktur. Det innebär att andelen godstransporter varierar med näringslivsstrukturen. VTI (Statens väg- och transportforskningsinstitut) har fått i uppdrag av

189

Transporter

Ds 2007:37

regeringen att utreda vilka produkter som transporteras inom respektive transportslag. VTI ska även utreda vilka de samhällsekonomiska effekterna blir om man använder 25,25 meters lastbilar, som är vanligt i Sverige och Finland, istället för 18,75 meters lastbilar som är standarden för internationella körningar inom EU. Denna indikator, vägtrafikens andel av godstransporterna, är förhållandevis trögrörlig vilket innebär att det endast är små förändringar i de flesta länderna. Sveriges andel har, som nämnts tidigare, sjunkit mellan 2002 och 2005 vilket inneburit att nivån är tillbaka på 1999-års nivå.

Diagram 8.6: Inrikes godstransport på väg som andel av de totala godstransporterna, procent

SVERIGE 1) Österrike 2)

Nederländerna

Tyskland

Belgien

Finland

Frankrike

Norge 1) 3)

Storbritannien

Italien 3)

Danmark

Luxemburg

Portugal

Spanien

Grekland 2)

Irland

Island

2005 2002

1999

0

20

40

60

80

100

Källa: Eurostat, 2006.

Anm: Estimerade värden för: 1) 2005, 2) 1999, 3) 2002 .

8.5.3Energikonsumtion i transportsektorn

FN sammanställer årligen ett mått som mäter energikonsumtionen, (toe = tonne of oil equivalent) av de olika transportslagens

190

Ds 2007:37

Transporter

bränsleförbrukning.TPF126FPT Andelen av energikonsumtionen som respektive transportslag står för jämförs sedan mellan olika länder. Diagram 8.7, som är sorterad efter transportslag och illustreras med summan av flyg- och vägtransporternas andel av de totala transporterna, visar att Norge ligger klart lägre än övriga länder i jämförelsen. Anledningen är att sjöfarten står för en relativt stor andel av den norska energikonsumtionen inom transportnäringen (ca 20 procent). Sverige ligger på en sjätte plats bland de 17 jämförda länderna. Det är en placering bättre jämfört med 2002. Sverige är, trots en liten andel, det land som använder tågtransporter i störst utsträckning. Järnvägens andel av den totala energikonsumtionen uppgår dock endast till 3,3 procent. EU:s mål är att utöka järnvägstransporterna, men trenden tyder dock snarare på att utvecklingen går åt motsatt håll. Generellt verkar det som att de flesta jämförda länderna har en minskande trend av energikonsumtionen för flygtransporter.

Diagram 8.7: Andelen av energikonsumtionen för de olika transportslagen, väg, flyg och järnväg, procent (exkl övr)

Norge Grekland Österrike Spanien

Finland

SVERIGE

Danmark

2003

Belgien

Storbritannien 2002

Frankrike

Tyskland 2001

Nederländerna

Italien Flyg

Island Väg

Portugal

Irland Järnväg

Luxemburg

 

 

 

 

 

 

 

 

 

 

 

 

 

 

0

20

40

60

80

100

Källa: UNECE, Transport Statistics.

 

 

 

 

 

 

 

 

 

 

 

 

 

126

 

är definierad till Toe = tonne of oil equivalent där 1 TWh =

0,086

TP PT EnergikonsumtionenT

MToe.T

191

Transporter

Ds 2007:37

8.5.4Utsläpp av koldioxid

EU har inom ramen för Kyotoprotokollet åtagit sig att minska koldioxidutsläppen med åtta procent till perioden 2008-2012, jämfört med 1990 års nivå.

Utsläppsvolymen per capita från vägtrafiken har överlag ökat marginellt inom OECD-området under perioden 1997-2004. Till viss del är detta en återspegling av ökad ekonomisk aktivitet genom ökad handel och ökade transportvolymer. Bland merparten av länderna är utsläppsvolymen ungefär lika stor. USA, Kanada och framförallt Luxemburg, avviker från de övriga länderna med betydligt högre utsläpp per capita. Luxemburg har dessutom ökat sina utsläpp med över 40 procent sedan år 2000.

Sverige ligger tillsammans med Belgien och Irland något över mitten i länderfördelningen, på femtonde plats bland de 23 länderna år 2004. Befolkningstätheten kan förklara en del av skillnaderna mellan länderna. Sverige, Norge och Finland är glest befolkade länder vilket bidrar till högre utsläpp per capita. Detsamma gäller Australien och Kanada och i viss mån USA.

Transportsektorn, som står för tolv procent av de totala koldioxidutsläppen i EU, tillhör den grupp som måste och kan lägga om sin verksamhet och på så sätt bidra till minskningen av utsläppen. Vägtrafiken står för majoriteten av transportsektorns utsläpp i Sverige, cirka 90 procent år 2004. Diagram 8.8 visar att Sveriges utsläpp i en internationell jämförelse ligger på en nivå i nivå med medianlandet, vilket motsvarar cirka 2,3 ton per capita och år. Sverige har legat still på denna nivå sedan 1997 och måste, tillsammans med den andra länderna, minska sina utsläpp de kommande åren för att klara de överenskomna målen.

I syfte att minska utsläppen av koldioxid från vägtrafiken stödjer regeringen utvecklingen och användningen av förnybara drivmedel samt energieffektivare fordon och transportlösningar.

192

Ds 2007:37

Transporter

Diagram 8.8: Utsläpp av koldioxid per capita från vägtrafiken, 1997-2004, ton

Grekland

 

 

 

 

 

 

 

 

 

 

 

 

 

 

 

 

 

 

 

 

 

 

 

 

 

 

 

 

 

 

 

 

 

 

 

 

 

 

 

 

 

 

 

 

 

 

 

 

 

 

 

 

Japan

 

 

 

 

 

 

 

 

 

 

 

 

 

 

 

 

 

 

 

 

 

 

 

 

 

 

Portugal

 

 

 

 

 

 

 

 

 

 

 

 

 

 

 

 

 

 

 

 

 

 

2004

 

 

 

 

 

 

 

 

 

 

 

 

 

 

 

 

 

 

 

 

 

 

 

 

 

 

 

 

Tyskland

 

 

 

 

 

 

 

 

 

 

 

 

 

 

 

 

 

 

 

 

 

 

2000

 

 

 

 

 

 

 

 

 

 

 

 

 

 

 

 

 

 

 

 

 

 

 

 

 

 

Storbritannien

 

 

 

 

 

 

 

 

 

 

 

 

 

 

 

 

 

 

 

 

 

 

 

 

Italien

 

 

 

 

 

 

 

 

 

 

 

 

 

 

 

 

 

 

 

 

 

 

1997

 

 

 

 

 

 

 

 

 

 

 

 

 

 

 

 

 

 

 

 

 

 

 

 

 

 

 

 

 

 

 

 

 

 

 

 

 

 

 

 

 

 

 

 

 

 

 

 

 

 

Nederländerna

 

 

 

 

 

 

 

 

 

 

 

 

 

 

 

 

 

 

 

 

 

 

 

 

 

 

 

 

 

 

 

 

 

 

 

 

 

 

 

 

 

 

 

 

 

 

 

 

 

 

Frankrike

 

 

 

 

 

 

 

 

 

 

 

 

 

 

 

 

 

 

 

 

 

 

 

 

 

 

 

 

 

 

 

 

 

 

 

 

 

 

 

 

 

 

 

 

 

 

 

 

 

 

 

 

Schweiz

 

 

 

 

 

 

 

 

 

 

 

 

 

 

 

 

 

 

 

 

 

 

 

 

 

 

 

 

 

 

 

 

 

 

 

 

 

 

 

 

 

 

 

 

 

 

 

 

 

 

 

 

Norge

 

 

 

 

 

 

 

 

 

 

 

 

 

 

 

 

 

 

 

 

 

 

 

 

 

 

 

 

 

 

 

 

 

 

 

 

 

 

 

 

 

 

 

 

 

 

 

 

 

 

 

 

Island

 

 

 

 

 

 

 

 

 

 

 

 

 

 

 

 

 

 

 

 

 

 

 

 

 

 

 

 

 

 

 

 

 

 

 

 

 

 

 

 

 

 

 

 

 

 

 

 

 

 

 

 

Spanien

 

 

 

 

 

 

 

 

 

 

 

 

 

 

 

 

 

 

 

 

 

 

 

 

 

 

 

 

 

 

 

 

 

 

 

 

 

 

 

 

 

 

 

 

 

 

 

 

 

 

 

 

Danmark

 

 

 

 

 

 

 

 

 

 

 

 

 

 

 

 

 

 

 

 

 

 

 

 

 

 

 

 

 

 

 

 

 

 

 

 

 

 

 

 

 

 

 

 

 

 

 

 

 

 

 

 

Finland

 

 

 

 

 

 

 

 

 

 

 

 

 

 

 

 

 

 

 

 

 

 

 

 

 

 

 

 

 

 

 

 

 

 

 

 

 

 

 

 

 

 

 

 

 

 

 

 

 

 

 

 

SVERIGE

 

 

 

 

 

 

 

 

 

 

 

 

 

 

 

 

 

 

 

 

 

 

 

 

 

 

 

 

 

 

 

 

 

 

 

 

 

 

 

 

 

 

 

 

 

 

 

 

 

 

 

 

Belgien

 

 

 

 

 

 

 

 

 

 

 

 

 

 

 

 

 

 

 

 

 

 

 

 

 

 

 

 

 

 

 

 

 

 

 

 

 

 

 

 

 

 

 

 

 

 

 

 

 

 

 

 

Österrike

 

 

 

 

 

 

 

 

 

 

 

 

 

 

 

 

 

 

 

 

 

 

 

 

 

 

 

 

 

 

 

 

 

 

 

 

 

 

 

 

 

 

 

 

 

 

 

 

 

 

 

 

Irland

 

 

 

 

 

 

 

 

 

 

 

 

 

 

 

 

 

 

 

 

 

 

 

 

 

 

 

 

 

 

 

 

 

 

 

 

 

 

 

 

 

 

 

 

 

 

 

 

 

 

 

 

Nya Zeeland

 

 

 

 

 

 

 

 

 

 

 

 

 

 

 

 

 

 

 

 

 

 

 

 

 

 

 

 

 

 

 

 

 

 

 

 

 

 

 

 

 

 

 

 

 

 

 

 

 

 

 

 

Australien

 

 

 

 

 

 

 

 

 

 

 

 

 

 

 

 

 

 

 

 

 

 

 

 

 

 

 

 

 

 

 

 

 

 

 

 

 

 

 

 

 

 

 

 

 

 

 

 

 

 

 

 

Kanada

 

 

 

 

 

 

 

 

 

 

 

 

 

 

 

 

 

 

 

 

 

 

 

 

 

 

 

 

 

 

 

 

 

 

 

 

 

 

 

 

 

 

 

 

 

 

 

 

 

 

 

 

USA

 

 

 

 

 

 

 

 

 

 

 

 

 

 

 

 

 

 

 

 

 

 

 

 

 

 

 

 

 

 

 

 

 

 

 

 

 

 

 

 

 

 

 

 

 

 

 

 

 

 

 

 

Luxemburg

 

 

 

 

 

 

 

 

 

 

 

 

 

 

 

 

 

 

 

 

 

 

 

 

 

 

 

 

 

 

 

 

 

 

 

 

 

 

 

 

 

 

 

 

 

 

 

 

 

 

 

 

EU15

 

 

 

 

 

 

 

 

 

 

 

 

 

 

 

 

 

 

 

 

 

 

 

 

 

 

 

 

 

 

 

 

 

 

 

 

 

 

 

 

 

 

 

 

 

 

 

 

 

 

OECD

 

 

 

 

 

 

 

 

 

 

 

 

 

 

 

 

 

 

 

 

 

 

 

 

 

 

 

 

 

 

 

 

 

 

 

 

 

 

 

 

 

 

 

 

 

 

 

 

 

 

 

 

 

 

 

 

 

 

 

 

 

 

 

 

 

 

 

 

 

 

0

 

2

 

 

4

6

8

10

12

14

 

16

Källa: OECD/IEA, CO2 emissions from fuel combustion.

193

9 Energi

Världens energiproduktion har nästan fördubblats sedan 1970 och de sammantagna kostnaderna för el, uppvärmning, drivmedel och övriga energiinsatser är mycket stora i de flesta länder.TPF127FPT En effektiv och miljövänlig energiproduktion är en förutsättning för att upprätthålla väsentliga samhällsfunktioner och för att säkerställa en god ekonomisk utveckling. Detta kräver i sin tur stabila regler som möjliggör långsiktiga investeringar och förhindrar störningar på energimarknaden. Det ställer också krav på en effektivare energianvändning och en omställning till förnybar energi som svarar mot högt ställda krav på skydd av hälsa, miljö och klimat.

På senare år har klimatfrågans betydelse ökat på den internationella agendan. Klimatförändringar kan få betydande konsekvenser för samhället, inte minst ekonomiska. Det är en stor utmaning att säkerställa en god tillgång till energi till internationellt gångbara priser och samtidigt främja en hållbar utveckling.

Den svenska energipolitikens mål är att på kort och lång sikt trygga tillgången på el och annan energi till konkurrenskraftiga villkor. Energimarknaderna skall ge en säker tillgång på energi till rimliga priser och politiken utformas för att stimulera konkurrens, högre effektivitet och en omställning till ett långsiktigt hållbart energisystem i Sverige.

9.1Indikatorer och utfall

Nedan presenteras ett antal indikatorer som belyser Sveriges position i förhållande till andra länder inom energiområdet. Indikatorerna speglar dels ekonomisk effektivitet och miljöhänsyn och dels konkurrenskraft, sett både till marknadseffektivitet och till internationell konkurrenskraft.

127TP OECDPT (2006b).

195

Energi

Ds 2007:37

Indikatorerna är följande:

Effektivitet och miljöhänsyn

Energiintensitet, energitillförsel i förhållande till BNP

Energianvändning per förädlingsvärde i industrin

Andel förnybar energi i elproduktionen

Koldioxidutsläpp i förhållande till energitillförseln

Konkurrenskraft på elmarknaden

Elpriser för industri inklusive skatter

Elpriser för hushåll inklusive skatter

Marknadsandel för den största elproducenten

Energiinfrastrukturindex

9.1.1Sveriges position och slutsatser

Sveriges position sammanfattas i ett s.k. spindeldiagram i figur 9.1. Spindeldiagrammet är konstruerat så att det sämsta landets resultat placeras i centrum och det bästa landets resultat placeras i yttersta änden av spindeldiagrammet för respektive indikator, dvs. resultaten är normaliserade. De bästa resultaten för alla indikatorer sammanbinds med den streckade yttre linjen i figuren även om det rör sig om olika länder. Utöver de bästa och sämsta resultaten indikeras även Sveriges och medianlandets resultat för respektive indikator i spindeldiagrammet. Sveriges position sammanbinds med en orange linje, medan medianvärdet för länderna sammanfogas till en ljusgrå mängd. Efter varje indikatornamn i figurerna anges Sveriges placering bland länderna samt, inom parentes, hur många länder som ingår i jämförelsen. Eftersom avståndet mellan det bästa och det sämsta resultatet bland länderna är normaliserat, får man av spindeldiagrammet även en uppfattning om avståndet mellan Sverige, topplandet, medianlandet och det sämst placerade landet för respektive indikator. För samtliga indikatorer i figur 9.1 används den senast tillgängliga observationen i avsnitt 9.2.

Figur 9.1 ger en tudelad bild av Sveriges position på energiområdet. Den högra sidan ger intrycket av att Sverige ligger relativt bra till på energiområdet, medan den vänstra sidan ger ett motsatt intryck. Fördelningen på indikatorerna är jämn. Sverige placerar sig bättre än medianlandet i fyra indikatorer och median eller sämre än median i fyra indikatorer. Skillnaden mellan Sveriges resultat och medianen är dock större för de indikatorer där Sverige

196

Ds 2007:37

Energi

är bättre än medianen än för de indikatorer där Sverige är sämre än medianen. Sammantaget tycks Sverige ligga väl till på miljösidan och något sämre till på industristruktur-, marknadsstruktur- och infrastruktursidan.TPF128FPT Denna bild är dock alldeles för grov och behöver nyanseras innan några slutsatser kan dras.

Figur 9.1: Översikt av indikatorerna på energi

Energiintensitet 16 (24)

Energiinfrastruktur 17 (24)

Marknadskoncentration av elproducenter 8 (13)

Hushållens elpris inkl. skatter 11 (16)

Industrins elpris inkl. skatter 3 (16)

Förbättring av förädlings- värde per energi- användning 2 (15)

Andel förnybar energi i elproduktionen 7 (24)

Koldioxidutsläpp i förhållande till energitillförseln 2 (24)

Toppland

 

Medianland

Sverige

 

 

 

 

 

 

Källa: se respektive indikator nedan.

Att Sverige ligger under medianlandet, på 16:e plats av 24 länder, i energiintensitet förklaras till största delen av det relativt kalla klimatet och industristrukturen i Sverige. Det kan inte ses som en nackdel att Sverige har komparativa fördelar i elintensiva branscher, såsom stål-, pappers- och massaindustri. Det är inte heller möjligt att förbättra klimatet i Sverige. Däremot kan industrin och hushållen öka sin energieffektivitet.

Av figur 9.1 framgår att svensk industri förbättrat sitt förädlingsvärde per energianvändning mer än andra europeiska länder. I den indikator som mäter förbättringen sedan 1996 intar Sverige en 2:a plats bland de 15 jämförda länderna, efter Luxemburg och klart över genomsnittet i EU.

Genom den utbyggda vattenkraften ligger Sverige väl till vad gäller andelen förnybar energi i elproduktionen, på 7:e plats av 24 länder. Sveriges placering försämras något om vattenkraft exkluderas i jämförelsen. I en sådan jämförelse placerar sig

128TP IndustristrukturenPT i Sverige är relativt energiintensiv i jämförelse med OECD.

197

Energi

Ds 2007:37

Danmark och Finland klart före Sverige, som hamnar på en 8:e plats.

Vattenkraftsutbyggnaden återspeglas även i Sveriges placering vad gäller koldioxidutsläpp i förhållande till energitillförsel. Sverige har den näst lägsta kvoten efter Island och ligger klart under medianlandets utsläppsnivå. I figur 9.1 hamnar Sverige nära topplandet Islands låga koldioxidutsläpp per energitillförsel.

Skillnaden mellan de svenska elpriserna för industri respektive hushåll är tydlig i figur 9.1. Sverige ligger på tredje plats för industrin bland länderna i jämförelsen, men nära genomsnittet på 11:e plats vad gäller hushållens elpriser. I Sverige betalar industrin ett klart lägre elpris än hushållen, främst pga. skatteskillnader. Om skatterna exkluderades från elpriserna hamnar Sverige på en 3:e plats vad gäller industrins elpriser och på en sjätte plats vad gäller hushållens elpriser i jämförelserna. För industrin minskade elpriserna initialt efter avregleringen 1996 men under 2000-talet har elpriserna successivt stigit. Även för hushållen har prisutvecklingen varit stigande under 2000-talet. Prisutveckling beror på en mängd faktorer, såsom stigande priser på fossila bränslen, höjda skatter och införandet av handel med utsläppsrätter. Utöver detta varierar elpriserna från år till år beroende på vattentillrinning, driftstörningar, konjunkturläge och om vintern är sträng eller mild.

Marknadskoncentrationen på elmarknaden kan också ha betydelse för elpriset. En dominant ställning kan missbrukas genom att upprätthålla höga elpriser, t.ex. via prissamarbete eller kontroll av utbudet. Sverige återfinns strax under medianlandet när det gäller den största elproducentens marknadsandel. Vattenfalls dominans, med 47 procent av elproduktionen under 2005, placerar Sverige på åttonde plats av 13 europeiska länder. Att den största elproducenten står för nästan hälften av den inhemska produktionen behöver inte innebära att producenten ifråga har för stor marknadsmakt och därigenom kan hålla en hög prisnivå. Genom avregleringar och fler överföringsförbindelser med andra länder agerar de stora elproducenterna på en alltmer internationell marknad. Den nordiska elmarknaden blir topplacerad i en jämförelse av den största elproducentens marknadsandel. Samtidigt har koncentrationen på den nordiska marknaden ökat genom fusioner och uppköp och uppnått en sådan nivå att Energimarknadsinspektionen betraktar det som problematiskt i en rapport från 2006.

198

Ds 2007:37

Energi

Den sista indikatorn i figur 9.1 visar att Sverige placerar sig sämre än medianen i IMD:s energiinfrastrukturindex.TPF129FPT Detta index väger samman företagsledares förtroende för energiinfrastrukturen i ett land. Sverige hamnar på en 17:e plats av de 24 jämförda länderna, vilket är en liten försämring jämfört med 2006. Resultatet får dock tolkas försiktigt eftersom validiteten är något oklar, exempelvis finns alltid risken att även elpriser och energipolitik bedöms i svaren.

Sammantaget ger resultaten i de olika indikatorerna en antydan av att Sverige ligger förhållandevis väl till på energiområdet. Framför allt gäller detta energieffektivisering, andel förnybar energi och koldioxidutsläpp. Industrins elpris är också relativt lågt i jämförelse med andra västeuropeiska länder. Sverige placerar sig sämre när det gäller marknadskoncentration på elmarknaden, hushållens elpriser och industriledares uppfattning av infrastrukturen på energiområdet.

9.1.2Åtgärder för konkurrenskraftig energiförsörjning

En stor del av politiken för ett uthålligt energisystem utgörs av de åtgärder som riksdagen godkände i juni 2002 för omställning och utveckling av energisystemet, införandet av elcertifikatsystemet i maj 2003 och de program om bl.a. energieffektivisering som därefter genomfördes. Arbetet med att utveckla effektiva styrmedel, både inom och utanför ramen för skattepolitiken, fortsätter.

För att stärka samverkan och fördjupa analysen i frågor som rör hållbar utveckling inrättar regeringen en rådgivande kommission för hållbar utveckling. Kommissionen får en bred sammansättning och skall vara ett forum för diskussion, analys och genom ett öppet arbetssätt också stimulera till en bredare dialog i samhället. Kommissionens uppdrag gäller till och med Sveriges ordförandeskap i EU hösten 2009 och kan senare förlängas.

I vårpropositionen 2007 avsätts 140 miljoner kronor per år under perioden 2008-2010 för energieffektivisering. En viktig uppgift blir att skapa synergier mellan näringspolitik och miljöpolitik då miljöanpassad teknik kommer utgöra en framtida ekonomisk hävstång. Av den orsaken avsätts 530 miljoner kronor framtill 2010 inom miljöteknikområdet, bl.a. ingår här medel till utformningen av en miljöteknikstrategi.

129TP IMDPT står för International Institute for Management Development.

199

Energi

Ds 2007:37

I budgetpropositionen för 2008 föreslår regeringen skattehöjningar inom energiområdet med syfte att bl.a. begränsa utsläppen av koldioxid. Det särskilda villkoret, ”tullvillkoret”, som gäller för att etanol som låginblandas i bensin ska vara skattebefriad, bör slopas så snart som möjligt, dock senast den 1 januari 2009. I budgetpropositionen för 2008 föreslår regeringen satsningar inom klimatområdet om ytterligare 1 miljard kronor för perioden 2008 t.o.m. 2010. De nya insatserna omfattar denna period klimatforskning, energieffektivisering, stöd till andra generationens biodrivmedel och till internationellt forskningssamarbete, nationellt närverk för vindbruk, hållbart uttag av biomassa i jord och skogsbruk, klimatinvesteringar i andra länder sam ett program för hållbara städer.

9.2Benchmarking av energi

9.2.1Energiintensitet

Historiskt sett har Sveriges komparativa fördelar härstammat från skogen, malmen och vattenkraften, dvs. Sverige har traditionellt haft komparativa fördelar i energiintensiv produktion som utnyttjat de råvaror landet har relativt gott om. Länder med stor andel energiintensiv industri har av naturliga skäl en högre energiintensitet än länder med en annan industristruktur. Det samma gäller för länder med ett kallt klimat eftersom det ökar energiåtgången för uppvärmning av fastigheter.

I diagram 9.1 visas energitillförseln i förhållande till köpkraftskorrigerad BNP för 24 OECD-länder.TPF130FPT Indikatorn i diagrammet kan sägas spegla hur mycket produktion som uppnås för en given energiinsats, men den kan även utgöra ett mått på graden av energiberoende. Av diagram 9.1 framgår att energiintensiteten minskat mellan 2000 och 2005 i Sverige. Mellan 1995 och 2000 minskade energiintensiteten ännu mer i Sverige. Det framgår också att Sverige har en högre energiintensitet än genomsnitten för EU och OECD-länderna. Utfallet beror främst på Sveriges industristruktur, kalla klimat och långa transportavstånd.

130TP EnergiintensitetenPT beräknas som antal ton av ”oljeekvivalenter” i förhållande till köpkraftskorrigerad BNP i per tusen USD (för år 2000).

200

Ds 2007:37

Energi

Diagram 9.1: Energiintensitet, energitillförsel i förhållande till köpkraftskorrigerad BNP, 1995-2005, kvot

Irland Schweiz Danmark Italien Storbritannien Grekland Österrike Spanien Portugal Japan Tyskland Frankrike Norge Nederländerna Nya Zeeland SVERIGE Luxemburg Belgien Australien USA Korea Finland Kanada Island EU25 1) OECD

2005 2000

1995

0.00

0.05

0.10

0.15

0.20

0.25

0.30

0.35

0.40

Källa: OECD Factbook 2006: Economic, Environmental and Social Statistics. 1) År 2005 avser 2004.

Sveriges position har förbättrats något sett över hela perioden, från 20:e plats bland länderna år 1995 till 16:e plats år 2000 och år 2005. Sett över en längre tid följer Sverige trenden med en något minskad energiintensitet. Island är det land som uppvisar den högsta energiintensiteten bland de redovisade länderna, vilket speglar både landets klimatförhållanden och goda tillgång till energi. Energiintensiteten är som lägst i Irland, Schweiz och Italien.

I diagram 9.2 visas förbättringen av energiintensiteten i industrin uppmätt som den mängd energi som krävs för att producera ett visst monetärt värde.TPF131FPT

131TP PT Index på kvoten av industrins energianvändning och förädlingsvärdet i 1995-års euro.

201

Energi

Ds 2007:37

Diagram 9.2: Energianvändning per förädlingsvärde för industrin (i 1995-års euro), 1997-2003, index 1996=100

Luxemburg

SVERIGE

Grekland

Danmark

Finland

Tyskland 1)

Storbritannien Norge Belgien Österrike Nederländerna Italien Spanien 1) Portugal Island EU15 1) EU25 1)

2003 2000

1997

50

60

70

80

90

100

110

120

130

140

Källa: Eurostat, Sustainable Development Indicators, 2007. 1) 2000 och 2003 är estimerade värden.

En minskad energiintensitet innebär med denna indikator att industrin behöver mindre energi för att producera en viss nivå av förädlingsvärde. Länderna relateras till sin egen energiintensitet år 1996, vilken indexeras till 100. Ett lägre värde än 100 vid någon senare tidpunkt innebär att landets industri minskat sin energiintensitet jämfört med 1996-års nivå. Ett högre värde än 100 vid någon senare tidpunkt innebär att landets industri ökat sin energiintensitet jämfört med 1996-års nivå. Till skillnad från jämförelsen i diagram 9.1 är denna jämförelse mer neutral för olika industristrukturer.

Av diagram 9.2 framgår att svensk industri trendmässigt blivit mindre energiintensivt sedan 1996. Bland länderna i jämförelsen är det bara Luxemburg som uppvisar en större förbättring. Svensk industri har således förbättrat sig mer än många konkurrentländer vad gäller att få ut mer förädlingsvärde per energimängd sedan 1996. Denna utveckling beror till stor del på att förädlingsvärdet i industrin har ökat medan energianvändningen legat kvar på ungefär samma nivå.

202

Ds 2007:37

Energi

9.2.2Förnybara energikällor

Det finns starka skäl för att utnyttja förnybara energikällor som kan återskapas i samma takt som de utnyttjas. Målsättningen är att det energiuttag som försörjer dagens befolkning i så liten utsträckning som möjligt skall påverka klimatet och framtida generationers möjligheter till energiproduktion. För närvarande kommer ungefär en fjärdedel av den svenska energiförsörjningen från förnybar energi. Sett över de senaste 20 åren har trenden varit en långsam ökning.

I diagram 9.3 visas andelen av elproduktionen som kommer från förnybara energikällor för åren 2000-2005. Av diagrammet framgår att andelen minskat i Sverige, samtidigt som den har legat relativt konstant i OECD-länderna under perioden. Att andelen minskat i Sverige beror på en lägre vattentillrinning under dessa år. Andelen förnybar el kan variera kraftigt från år till år i länder med stor vattenkraftsproduktion eftersom stora variationer i nederbörd förekommer.

Sverige har en relativt hög andel förnybara energikällor i elproduktionen, 51,3 procent år 2005 varav 46 procentenheter utgörs av vattenkraft. Denna nivå placerar Sverige på sjunde plats bland de 24 OECD-länderna i jämförelsen, vilket är oförändrat jämfört med 2002 men en försämring sedan 2000. Som redan nämnts ovan beror försämringen till stor del på vattentillrinningen under dessa år. När vattenkraftsanläggningarna räknas bort har Danmark, Island och Finland den högsta andelen förnybara energikällor. Hit räknas bl.a. sol- och vindkraft, biomassa och geotermisk energi. I Danmark har andelen förnybara energikällor exklusive vattenkraft ökat relativt kraftigt under perioden, från 16,2 procent år 2000 till 28,1 procent år 2005. Under samma tidsperiod har motsvarande andel i Sverige ökat från 3,1 till 5,3 procent år 2005. Det är en ökning med drygt 2 procentenheter sedan år 2000 och placerar Sverige på en 10:e plats i länderfördelningen.

203

Energi

Ds 2007:37

Diagram 9.3: Andel elproduktion från förnybara energikällor,

2000, 2002 och 2005, procent

 

 

 

 

 

 

 

Island

 

 

 

 

 

 

 

 

 

 

Norge

 

 

 

 

 

 

 

 

 

 

Nya Zeeland

 

 

 

 

 

 

 

 

 

 

Österrike

 

 

 

 

 

 

 

 

 

 

Kanada

 

 

 

 

 

 

 

 

 

 

Schw eiz

 

 

 

 

 

 

 

 

 

 

SVERIGE

 

 

 

 

 

 

 

 

 

 

Finland

 

 

 

 

 

 

 

 

 

 

Danmark

 

 

 

 

 

 

 

 

 

 

Portugal

 

 

 

 

 

 

 

 

 

 

Italien

 

 

 

 

 

 

 

 

 

 

Spanien

 

 

 

 

 

 

 

 

 

 

Grekland

 

2005

 

 

Andel exkl. vattenkraft

 

Tyskland

 

2002

 

 

 

 

 

 

 

 

 

 

 

Andel vattenkraft

 

 

Frankrike

 

 

 

 

 

 

 

 

2000

 

 

 

 

 

 

 

Japan

 

 

 

 

 

 

 

 

 

 

 

 

 

 

 

 

 

 

USA

 

 

 

 

 

 

 

 

 

 

Australien

 

 

 

 

 

 

 

 

 

 

Nederländerna

 

 

 

 

 

 

 

 

 

 

Irland

 

 

 

 

 

 

 

 

 

 

Luxemburg

 

 

 

 

 

 

 

 

 

 

Storbritannien

 

 

 

 

 

 

 

 

 

 

Belgien

 

 

 

 

 

 

 

 

 

 

Korea

 

 

 

 

 

 

 

 

 

 

OECD

 

 

 

 

 

 

 

 

 

 

EU15 1)

 

 

 

 

 

 

 

 

 

 

0

10

20

30

40

50

60

70

80

90

100

Källa: IEA/OECD , Renewables Information 2007.

 

 

 

 

 

 

Anm.: I Luxemburg har ny kapacitet (ej förnybar) för elproduktion tillkommit efter 2000.

1) Data för år 2005 avser år 2004.

 

 

 

 

 

 

 

 

Det finns skäl att tro att andelen förnybar energi kommer att öka i Sverige, bl.a. genom införandet av elcertifikatsystemet år 2003. Energimyndigheten gör bedömningen att Sverige kommer att ha en vindkraftproduktion på 7 TWh år 2015, vilket ligger i linje med målsättningen med elcertifikatsystemet som syftar till att öka den årliga elproduktionen från förnybar energi med 17 TWh år 2016 jämfört med nivån år 2002.TPF132FPT

132TP EnergimyndighetenPT (2007) och prop. 2005/06:154.

204

Ds 2007:37

Energi

9.2.3Koldioxidutsläpp

Energiförsörjningen har i regel en negativ miljöpåverkan i form av olika utsläpp eller påverkan på landskapsbild eller biologisk mångfald. Sverige är ett av de länder som lyckats bryta sambandet mellan ekonomisk tillväxt och ökade utsläpp av växthusgaser. Sveriges utsläppsnivå har i genomsnitt legat 3,7 procent under 1990-års nivå de senaste sex åren samtidigt som BNP ökat med cirka 25 procent under perioden.TPF133FPT

Mest uppmärksamhet brukar riktas mot koldioxidutsläppen, vilka främst kommer från förbränning av olika fossila bränslen som t.ex. olja och kol.

Diagram 9.4: Koldioxidutsläpp i förhållande till energitillförsel, 2001-2005, kvot

Island

 

 

 

 

 

 

 

 

 

 

 

 

 

 

 

 

 

 

 

 

 

 

 

 

 

 

 

 

 

 

 

 

 

 

 

 

 

 

SVERIGE

 

 

 

 

 

 

 

 

 

 

 

 

 

 

 

 

 

 

 

 

 

 

 

 

 

 

 

 

 

 

 

 

 

 

 

 

 

 

 

 

 

 

 

 

 

 

 

 

 

 

 

 

 

 

 

 

 

 

 

 

 

 

 

 

 

 

 

 

 

 

 

 

 

 

 

 

Norge

 

 

 

 

 

 

 

 

 

 

 

 

 

 

 

 

 

 

 

 

 

 

 

 

 

 

 

 

 

 

 

 

 

 

 

 

 

 

Nya Zeeland

 

 

 

 

 

 

 

 

 

 

 

 

 

 

 

 

 

 

 

 

 

 

 

 

 

 

 

 

 

 

 

 

2005

 

 

 

 

 

 

 

 

 

 

 

 

 

 

 

 

 

 

 

 

 

 

 

 

 

 

 

 

 

 

 

 

 

 

 

 

 

 

 

 

 

 

 

 

 

 

 

 

 

 

 

 

 

 

 

 

 

 

 

 

 

 

 

 

 

 

 

 

 

 

Frankrike

 

 

 

 

 

 

 

 

 

 

 

 

 

 

 

 

 

 

 

 

 

 

 

 

 

 

 

 

 

 

 

 

2003

 

 

 

 

 

 

 

 

 

 

 

 

 

 

 

 

 

 

 

 

 

 

 

 

 

 

 

 

 

 

 

 

 

 

 

 

Finland

 

 

 

 

 

 

 

 

 

 

 

 

 

 

 

 

 

 

 

 

 

 

 

 

 

 

 

 

 

 

 

 

 

 

Schweiz

 

 

 

 

 

 

 

 

 

 

 

 

 

 

 

 

 

 

 

 

 

 

 

 

 

 

 

 

 

 

 

 

2001

 

 

 

 

 

 

 

 

 

 

 

 

 

 

 

 

 

 

 

 

 

 

 

 

 

 

 

 

 

 

 

 

 

 

 

 

Belgien

 

 

 

 

 

 

 

 

 

 

 

 

 

 

 

 

 

 

 

 

 

 

 

 

 

 

 

 

 

 

 

 

 

 

 

 

 

 

 

 

 

 

 

 

 

 

 

 

 

 

 

 

 

 

 

 

 

 

 

 

 

 

 

 

 

 

 

 

 

 

 

 

Kanada

 

 

 

 

 

 

 

 

 

 

 

 

 

 

 

 

 

 

 

 

 

 

 

 

 

 

 

 

 

 

 

 

 

 

 

 

 

 

 

 

 

 

 

 

 

 

 

 

 

 

 

 

 

 

 

 

 

 

 

 

 

 

 

 

 

 

 

 

 

 

 

 

 

 

 

 

Nederländerna

 

 

 

 

 

 

 

 

 

 

 

 

 

 

 

 

 

 

 

 

 

 

 

 

 

 

 

 

 

 

 

 

 

 

 

 

 

 

 

 

 

 

 

 

 

 

 

 

 

 

 

 

 

 

 

 

 

 

 

 

 

 

 

 

 

 

 

 

 

 

 

 

 

 

 

 

Korea

 

 

 

 

 

 

 

 

 

 

 

 

 

 

 

 

 

 

 

 

 

 

 

 

 

 

 

 

 

 

 

 

 

 

 

 

 

 

 

 

 

 

 

 

 

 

 

 

 

 

 

 

 

 

 

 

 

 

 

 

 

 

 

 

 

 

 

 

 

 

 

 

 

 

 

 

Österrike

 

 

 

 

 

 

 

 

 

 

 

 

 

 

 

 

 

 

 

 

 

 

 

 

 

 

 

 

 

 

 

 

 

 

 

 

 

 

 

 

 

 

 

 

 

 

 

 

 

 

 

 

 

 

 

 

 

 

 

 

 

 

 

 

 

 

 

 

 

 

 

 

 

 

 

 

Storbritannien

 

 

 

 

 

 

 

 

 

 

 

 

 

 

 

 

 

 

 

 

 

 

 

 

 

 

 

 

 

 

 

 

 

 

 

 

 

 

 

 

 

 

 

 

 

 

 

 

 

 

 

 

 

 

 

 

 

 

 

 

 

 

 

 

 

 

 

 

 

 

 

 

 

 

 

 

Japan

 

 

 

 

 

 

 

 

 

 

 

 

 

 

 

 

 

 

 

 

 

 

 

 

 

 

 

 

 

 

 

 

 

 

 

 

 

 

 

 

 

 

 

 

 

 

 

 

 

 

 

 

 

 

 

 

 

 

 

 

 

 

 

 

 

 

 

 

 

 

 

 

 

 

 

 

Portugal

 

 

 

 

 

 

 

 

 

 

 

 

 

 

 

 

 

 

 

 

 

 

 

 

 

 

 

 

 

 

 

 

 

 

 

 

 

 

 

 

 

 

 

 

 

 

 

 

 

 

 

 

 

 

 

 

 

 

 

 

 

 

 

 

 

 

 

 

 

 

 

 

 

 

 

 

Spanien

 

 

 

 

 

 

 

 

 

 

 

 

 

 

 

 

 

 

 

 

 

 

 

 

 

 

 

 

 

 

 

 

 

 

 

 

 

 

 

 

 

 

 

 

 

 

 

 

 

 

 

 

 

 

 

 

 

 

 

 

 

 

 

 

 

 

 

 

 

 

 

 

 

 

 

 

Tyskland

 

 

 

 

 

 

 

 

 

 

 

 

 

 

 

 

 

 

 

 

 

 

 

 

 

 

 

 

 

 

 

 

 

 

 

 

 

 

 

 

 

 

 

 

 

 

 

 

 

 

 

 

 

 

 

 

 

 

 

 

 

 

 

 

 

 

 

 

 

 

 

 

 

 

 

 

Luxemburg

 

 

 

 

 

 

 

 

 

 

 

 

 

 

 

 

 

 

 

 

 

 

 

 

 

 

 

 

 

 

 

 

 

 

 

 

 

 

 

 

 

 

 

 

 

 

 

 

 

 

 

 

 

 

 

 

 

 

 

 

 

 

 

 

 

 

 

 

 

 

 

 

 

 

 

 

Danmark

 

 

 

 

 

 

 

 

 

 

 

 

 

 

 

 

 

 

 

 

 

 

 

 

 

 

 

 

 

 

 

 

 

 

 

 

 

 

 

 

 

 

 

 

 

 

 

 

 

 

 

 

 

 

 

 

 

 

 

 

 

 

 

 

 

 

 

 

 

 

 

 

 

 

 

 

Italien

 

 

 

 

 

 

 

 

 

 

 

 

 

 

 

 

 

 

 

 

 

 

 

 

 

 

 

 

 

 

 

 

 

 

 

 

 

 

 

 

 

 

 

 

 

 

 

 

 

 

 

 

 

 

 

 

 

 

 

 

 

 

 

 

 

 

 

 

 

 

 

 

 

 

 

 

USA

 

 

 

 

 

 

 

 

 

 

 

 

 

 

 

 

 

 

 

 

 

 

 

 

 

 

 

 

 

 

 

 

 

 

 

 

 

 

 

 

 

 

 

 

 

 

 

 

 

 

 

 

 

 

 

 

 

 

 

 

 

 

 

 

 

 

 

 

 

 

 

 

 

 

 

 

Irland

 

 

 

 

 

 

 

 

 

 

 

 

 

 

 

 

 

 

 

 

 

 

 

 

 

 

 

 

 

 

 

 

 

 

 

 

 

 

 

 

 

 

 

 

 

 

 

 

 

 

 

 

 

 

 

 

 

 

 

 

 

 

 

 

 

 

 

 

 

 

 

 

 

 

 

 

Grekland

 

 

 

 

 

 

 

 

 

 

 

 

 

 

 

 

 

 

 

 

 

 

 

 

 

 

 

 

 

 

 

 

 

 

 

 

 

 

 

 

 

 

 

 

 

 

 

 

 

 

 

 

 

 

 

 

 

 

 

 

 

 

 

 

 

 

 

 

 

 

 

 

 

 

 

 

Australien

 

 

 

 

 

 

 

 

 

 

 

 

 

 

 

 

 

 

 

 

 

 

 

 

 

 

 

 

 

 

 

 

 

 

 

 

 

 

 

 

 

 

 

 

 

 

 

 

 

 

 

 

 

 

 

 

 

 

 

 

 

 

 

 

 

 

 

 

 

 

 

 

 

 

 

 

OECD

 

 

 

 

 

 

 

 

 

 

 

 

 

 

 

 

 

 

 

 

 

 

 

 

 

 

 

 

 

 

 

 

 

 

 

 

 

 

 

 

 

 

 

 

 

 

 

 

 

 

 

 

 

 

 

 

 

 

 

 

 

 

 

 

 

 

 

 

 

 

 

 

 

 

 

 

 

 

 

 

 

 

 

 

 

 

 

 

 

 

 

 

 

 

 

 

 

 

 

 

 

 

 

 

0.0

0.5

 

1.0

 

 

1.5

 

 

 

2.0

 

 

 

 

 

2.5

 

 

3.0

 

 

 

3.5

Källa: OECD/IEA ,Key world energy statistics 2003, 2005 och 2007.

Ett vanligt förekommande mått är koldioxidutsläpp i förhållande till energitillförsel. Eftersom koldioxidutsläppen korrelerar med energitillförseln speglar måttet framför allt fördelning på olika energibärare i energitillförseln för de olika länderna. Vissa energibärare, t.ex. kärnbränsle, vattenkraft och

133TP EnligtPT budgetpropositionen för 2007 (prop. 2006/07:1).

205

Energi

Ds 2007:37

vindkraft, har låga eller inga koldioxidutsläpp. Omvänt gäller för energibärare såsom oljeprodukter, kol och biobränslen. I diagram 9.4 visas denna kvot för 24 OECD-länder.

Av diagram 9.4 framgår att Sverige har den näst lägsta kvoten efter Island och att denna placering är oförändrad under 2001-2005. Australien och Grekland har den högsta nivån, men även stora länder som USA och Tyskland har en hög utsläppsnivå i förhållande till energitillförsel och ligger över genomsnittet för OECD-länderna.TPF134FPT Av diagrammet framgår att kvoten har minskat i de flesta av OECD-länderna under perioden.

9.2.4Priser på elmarknaderna

Den svenska elmarknaden avreglerades år 1996 och produktion och handel med el konkurrensutsattes. Syftet var bl.a. att införa valfrihet för konsumenterna och skapa förutsättningar för en ökad pris- och kostnadspress inom elförsörjningen. Däremot förblev elnätverksamheten, som är ett naturligt monopol, fortsatt reglerat och övervakat. Avregleringen innebär att elpriset bestäms av utbud och efterfrågan på den nordiska elbörsen, Nord Pool. Utbudet och efterfrågan på el påverkas av en mängd faktorer, t.ex. om det är s.k. torrår eller våtår, mild eller sträng vinter, låg- eller högkonjunktur, driftstörningar och av politiska beslut.

Diagram 9.5 visas elpriset inklusive skatter för en typkund inom industrin för ett antal europeiska länder under perioden 2003-2007. Industrins elpris avser typkunden ”liten industri”.TPF135FPT Eftersom Sverige har en relativt stor andel elintensiv industri är priset på el av särskild betydelse för konkurrenskraften. Av diagrammet framgår att elpriset ökat för industrin under 2005-2007 i Sverige. Den viktigaste förklaringen till prisökningen är nederbörden och därmed vattenkraftens produktionsförmåga samt införandet av handel med utsläppsrätter för växthusgaser. År 2003 var ett s.k. torrår med låg tillrinning i vattenmagasinen medan 2005 var ett s.k. våtår. Sverige låg i länderjämförelsen på sjätte plats år 2003, på första plats år 2005 och på tredje plats år 2007.

134TP USAPT har den högsta sammantagna utsläppsnivån av koldioxid bland de 24 länderna. 135TP FörPT industrin beräknas elpriset vid en genomsnittlig konsumtion om 2 000 MWh per år med en maximal efterfrågan om 500 kilowatt. Den elintensiva industrin har särskilda elpriser genom förhandlingar med elleverantörerna. Det finns ingen särskild statistik där dessa elpriser redovisas. Eurostat har vissa data från 2004 för ett fåtal länder. Sverige har lägst elpriser inkl. skatter även i denna statistik.

206

Ds 2007:37

Energi

Diagram 9.5: Elpris inkl. skatter (ej moms) för industrin, 2003- 2007, cent per KWh

Finland

 

 

 

 

 

 

 

2007

 

 

 

 

 

Frankrike

 

 

 

 

 

 

 

2005

 

 

 

 

 

SVERIGE

 

 

 

 

 

 

 

2003

 

 

 

 

 

 

 

 

 

 

 

 

 

 

 

 

 

 

 

Grekland

 

 

 

 

 

 

 

 

 

Elpris exkl. skatt

Danmark

 

 

 

 

 

 

 

 

 

Skatt

 

 

 

 

 

 

 

 

 

 

 

 

 

 

 

 

Norge

 

 

 

 

 

 

 

 

 

 

 

 

 

 

Spanien

 

 

 

 

 

 

 

 

 

 

 

 

 

 

Portugal

 

 

 

 

 

 

 

 

 

 

 

 

 

 

Österrike 1)

 

 

 

 

 

 

 

 

 

 

 

 

 

 

Belgien

 

 

 

 

 

 

 

 

 

 

 

 

 

 

Storbritannien

 

 

 

 

 

 

 

 

 

 

 

 

 

 

Luxemburg

 

 

 

 

 

 

 

 

 

 

 

 

 

 

Nederländerna 1)

 

 

 

 

 

 

 

 

 

 

 

 

 

 

Tyskland

 

 

 

 

 

 

 

 

 

 

 

 

 

 

Irland

 

 

 

 

 

 

 

 

 

 

 

 

 

 

Italien

 

 

 

 

 

 

 

 

 

 

 

 

 

 

EU15

 

 

 

 

 

 

 

 

 

 

 

 

 

 

0

1

2

3

4

5

6

7

8

9

10

11

12

13

14

Källa: Eurostat, Gas and Electricity Prices for Structural indicators - prices on 1st January. Anm.: Före den 1 juli 2004 hade inte Sverige någon elskatt för industrin. Efter den 1 juli 2004 uppgår elskatten för industrin till 0,5 öre per kWh. Det finns dock ett program för energieffektivisering sedan 2005 där företag, genom att delta i programmet, kan få en fullständig nedsättning av den energiskatt på el som infördes 2004. Omkring 130 företag har beviljats deltagande vilket omfattar en total användning på 30 TWh per år och innebär en minskad skatteintäkt på 150 Mkr per år (Källa: Energimyndigheten 2006).

1)Data saknas för år 2003.

Diagram 9.6 visar elpriserna för ett typhushåll.TPF136FPT Av diagrammet framgår att Sverige har relativt höga skatter på el för hushållen, vilket är den orangefärgade delen av staplarna. Sverige placerar sig på elfte plats, efter Storbritannien, Portugal, Belgien, och Irland trots att Sveriges elpris är lägre än elpriserna i dessa länder före skatt. Om jämförelsen istället görs för elpriser exklusive skatter så ligger Sverige på sjätte plats istället för på elfte plats år 2007. År 2003 låg Sverige på plats nio i jämförelsen.

136TP PT För hushåll beräknas elpriset för en genomsnittlig konsumtion av 3 500 kWh per år varav 1 300 kWh per år vid nattetid.

207

Energi

Ds 2007:37

Diagram 9.6: Elpris inkl. skatter för hushåll, 2003-2007, cent per KWh

Grekland

 

 

 

 

 

 

 

 

 

 

 

 

 

Finland

 

 

 

 

 

 

 

 

Elpris exkl. skatt

 

 

 

 

 

 

 

 

 

 

 

 

 

Frankrike

 

 

 

 

 

 

 

 

Skatt

 

 

 

Spanien

 

 

 

 

 

 

 

 

 

 

 

 

 

Storbritannien

 

 

 

 

 

 

 

 

 

2007

 

 

 

Portugal

 

 

 

 

 

 

 

 

 

2005

 

 

 

Österrike

 

 

 

 

 

 

 

 

 

2003

 

 

 

Belgien

 

 

 

 

 

 

 

 

 

 

 

 

 

Irland

 

 

 

 

 

 

 

 

 

 

 

 

 

Luxemburg

 

 

 

 

 

 

 

 

 

 

 

 

 

SVERIGE

 

 

 

 

 

 

 

 

 

 

 

 

 

Norge

 

 

 

 

 

 

 

 

 

 

 

 

 

Tyskland

 

 

 

 

 

 

 

 

 

 

 

 

 

Nederländerna

 

 

 

 

 

 

 

 

 

 

 

 

 

Italien

 

 

 

 

 

 

 

 

 

 

 

 

 

Danmark

 

 

 

 

 

 

 

 

 

 

 

 

 

EU15

 

 

 

 

 

 

 

 

 

 

 

 

 

0

2

4

6

8

10

12

14

16

18

20

22

24

26

Källa: Eurostat, Gas and Electricity Prices for Structural indicators - prices on 1st January.

Både diagram 9.5 och 9.6 visar en trend av ökade elpriser i Sverige under 2000-talet. De ökade elpriserna har i den offentliga debatten emellanåt skyllts på avregleringen av elmarknaden 1996. Men avregleringen av elmarknaden har endast haft en indirekt betydelse för prisutvecklingen. För industrin minskade faktiskt elpriserna initialt efter avregleringen. Efter avregleringen följde en ökad integrering av de nordiska elmarknaderna, vilket bl.a. innefattade bildandet av den nordiska elbörsen. Denna process innebar en övergång från en prissättning efter genomsnittskostnad till en prissättning efter marginalkostnad. Den senare prissättningen innebär att elpriset sätts efter den rörliga produktionskostnaden för det sist inkopplade kraftverket. Vid hög efterfrågan är detta i regel ett kraftverk som använder fossila bränslen till höga rörliga kostnader. Dessutom tillkommer priset för utsläppsrätter på de rörliga kostnaderna för denna typ av elproduktion. Elpriset blir då relativt högt på marknaden vilket ger

208

Ds 2007:37

Energi

stora vinster för de kraftbolag som har låga marginalkostnader, t.ex. från vattenkraft, vindkraft och kärnkraft. De fossilbaserade kraftverk som svarar för den marginella elproduktionen under stora delar av året återfinns oftast utanför Sverige. De kraftigt ökade världsmarknadspriserna på fossila bränslen, införandet av handel med utsläppsrätter och en ökad integrering av de nordeuropeiska elmarknaderna har således indirekt medfört högre elpriser även i Sverige. En annan och mer direkt orsak till de höjda energipriserna i Sverige är de höjda energiskatterna. En annan aspekt som påverkar elpriset är hur väl konkurrensen och prissättningen på elmarknaden fungerar.

9.2.5Konkurrensen på elmarknaden

Elmarknaden är, precis som alla andra marknader, inte perfekt. Stora samhällsintressen och stora fasta kostnader har medfört att marknaderna, trots varierande grad av avregleringar, fortfarande domineras av en handfull aktörer i de flesta länder. I Sverige dominerar tre kraftbolag elproduktionen; Vattenfall, E.ON samt Fortum. Tillsammans svarar dessa tre bolag för cirka 90 procent av landets kraftproduktion. Trots det fungerar konkurrensen och prissättningen förhållandevis väl i Sverige enligt El- och gasmarknadsutredningens slutbetänkande 2004.TPF137FPT Utredningen påpekade dock att det fanns vissa koncentrationstendenser på marknaden som utgjorde ett orosmoment för marknadens framtida utveckling och funktion. Liknande farhågor uttrycktes av Energimarknadsinspektionen år 2006.TPF138FPT Konkurrensverket kom nyligen fram till att det finns risker med gemensamägda kärnkraftsföretag och att dessa, om möjligt, helt bör fördelas mellan ägarföretagen (dvs. Vattenfall, Fortum och E.ON) för att minska riskerna för otillbörligt informationsutbyte, som kan begränsa konkurrensen och minska förtroendet för marknadsfunktionen.TPF139FPT

Ofta mäts marknadsdominans genom att studera den största aktörens marknadsandel. I diagram 9.7 nedan visas denna andel i olika EU-länder mellan 1999 och 2005. I Grekland, Frankrike och Belgien överstiger den största elproducentens marknadsandel 80 procent. I Sverige uppgick motsvarande andel till knappt 47

137TP SOUPT 2004:129.

138TP PT Energimarknadsinspektionen (2006).

139TP PT Konkurrensverket (2007).

209

Energi

Ds 2007:37

procent år 2005, en minskning med två procentenheter sedan år 2002.TPF140FPT Denna andel placerar Sverige på en åttonde plats bland de 13 jämförda länderna. I Storbritannien och Finland har den största elproducenten den lägsta marknadsandelen med omkring 20-23 procent bland de jämförda länderna.

Diagram 9.7: Den största elproducentens marknadsandel 1999- 2005, procent

Storbritannien

Finland

Tyskland

Norge

Danmark

Spanien

Italien

SVERIGE

Portugal

Irland

Belgien

Frankrike

Grekland

2005 2002

1999

0

10

20

30

40

50

60

70

80

90

100

Källa: Eurostat, Structural Indicators 2007.

Eftersom den nordiska elmarknaden utgör en integrerad marknad borde Norden jämföras med de övriga länderna i diagram 9.7. I sådant fall blir den största elproducentens andel av den nordiska elmarknaden betydligt lägre; Vattenfall med omkring 20 procent. Den integrerade nordiska elmarknaden skulle placera sig i toppskiktet av länderna i diagram 9.7. En slutsats blir således att en stor inhemsk marknadsandel inte behöver innebära att företaget är skyddat från konkurrens och därigenom kan hålla en hög prisnivå. De stora elproducenterna agerar på en allt mer internationell marknad och konkurrerar med elpriset. I och med avregleringen kan privatpersoner, företag, offentliga myndigheter och andra elkonsumenter byta elleverantör. De nordiska kraftbolagens strategier för att växa och stärka sin konkurrenskraft måste också ses i ljuset av EU:s uttalade målsättning att konkurrensutsätta energimarknader inom den s.k. inre marknaden. På kontinenten

140TP VattenfallPT (2006).

210

Ds 2007:37

Energi

finns stora kraftbolag vilka kommer att få en stor marknadsmakt när elmarknaderna sammanbinds med fler överföringsförbindelser. För Sverige och Europa är det på lång sikt en fördel om de nordiska kraftbolagen kan vara med att öka konkurrensen på den inre marknaden. Detta kan på kort sikt innebära en ökad marknadskoncentration på den nordiska marknaden som måste övervakas och mildras, exempelvis genom fler överföringsförbindelser.

9.2.6Energiinfrastrukturindex

Ett sätt att belysa hur väl olika länders energiförsörjning fungerar är att fråga nyckelpersoner om deras uppfattning. IMD World competitiveness center presenterar i ”World Competitiveness Yearbook” ett index över företagsledares uppfattning av energiinfrastrukturen i ett flertal länder. Undersökningen baseras på intervjuer där företagsledare får ange på en skala 0-10 hur väl de anser att energiinfrastrukturen i ett land är tillräcklig och effektiv. Siffran 10 indikerar att energiinfrastrukturen är mycket tillfredsställande på dessa punkter. Siffran 0 indikerar således motsatsen.

Diagram 9.8 visar utfallet från detta energiinfrastrukturindex under 2003, 2005 och 2007. Sverige placerar sig på 17:e plats av de 24 OECD-länderna år 2007. Det är samma position som år 2005, men en plats bättre än år 2003. Mellan 2002-2007 har Sverige pendlat mellan 13:e och 18:e plats i länderjämförelsen.

I diagrammet framgår det att index för Sverige, liksom för en del andra länder, minskade kraftigt mellan år 2003 och 2005. Det är svårt att exakt peka ut vad det beror på. En förklaring är troligtvis att elpriset för många länder ökade kraftigt under 2000-talet. För Sveriges del kan även stormen Gudrun år 2005 haft betydelse för nedgången.

Överlag skall man tolka resultatet från detta index med en viss försiktighet. Visserligen är det inte oviktigt hur företagsledare uppfattar energiinfrastrukturen i ett land, men resultatets validitet är avhängigt svarsfrekvensen och vad som vägs in i de subjektiva bedömningarna. Det finns alltid en risk att det även är energipolitiken och prisutvecklingen som bedöms när svaren ges. Dessutom finns det utrymme för strategiskt handlande i svarsomdömena.

211

Energi

Ds 2007:37

Diagram 9.8: Energiinfrastrukturindex, 2003-2007, index 0-10

Island

 

 

 

 

 

 

 

 

 

 

 

 

 

 

 

 

 

 

 

 

 

 

 

 

 

 

 

 

 

 

 

 

 

 

 

 

 

 

 

 

Österrike

 

 

 

 

 

 

 

 

 

 

 

 

 

 

 

 

 

 

 

 

 

 

 

 

 

 

 

 

 

 

 

 

 

 

 

 

 

 

 

 

 

 

 

 

 

 

 

 

 

 

 

 

 

 

 

 

 

 

 

 

 

 

 

 

 

 

 

 

 

 

 

 

 

 

 

 

 

 

 

 

 

 

 

 

 

 

 

 

 

 

 

 

 

 

 

 

 

 

 

 

 

 

 

 

 

 

 

 

 

 

 

 

 

 

 

 

 

 

 

 

Schweiz

 

 

 

 

 

 

 

 

 

 

 

 

 

 

 

 

 

 

 

 

 

 

 

 

 

 

 

 

 

 

 

 

 

 

 

 

 

 

 

 

 

 

 

 

 

 

 

 

 

 

 

 

 

 

 

 

 

 

 

 

 

 

 

 

 

 

 

 

 

 

 

 

 

 

 

 

 

 

 

 

Danmark

 

 

 

 

 

 

 

 

 

 

 

 

 

 

 

 

 

 

 

 

 

 

 

 

 

 

 

 

 

 

 

 

 

 

 

 

 

 

 

 

 

 

 

 

 

 

 

 

 

 

 

 

 

 

 

 

 

 

 

 

 

 

 

 

 

 

 

 

 

 

 

 

 

 

 

 

 

 

 

 

Frankrike

 

 

 

 

 

 

 

 

 

 

 

 

 

 

 

 

 

 

 

 

 

 

 

 

 

 

 

 

 

 

 

 

 

 

 

 

 

 

 

 

 

 

 

 

 

 

 

 

 

 

 

 

 

 

 

 

 

 

 

 

 

 

 

 

 

 

 

 

 

 

 

 

 

 

 

 

 

 

 

 

Tyskland

 

 

 

 

 

 

 

 

 

 

 

 

 

 

 

 

 

 

 

 

 

 

 

 

 

 

 

 

 

 

 

 

 

 

 

 

 

 

 

 

 

 

 

 

 

 

 

 

 

 

 

 

 

 

 

 

 

 

 

 

 

 

 

 

 

 

 

 

 

 

 

 

 

 

 

 

 

 

 

 

Nederländerna

 

 

 

 

 

 

 

 

 

 

 

 

 

 

 

 

 

 

 

 

 

 

 

 

 

 

 

 

 

 

 

 

 

 

 

 

 

 

 

 

 

 

 

 

 

 

 

 

 

 

 

 

 

 

 

 

 

 

 

 

 

 

 

 

 

 

 

 

 

 

 

 

 

 

 

 

 

 

 

 

Japan

 

 

 

 

 

 

 

 

 

 

 

 

 

 

 

 

 

 

 

 

 

 

 

 

 

 

 

 

 

 

 

 

 

 

 

 

 

 

 

 

 

 

 

 

 

 

 

 

 

 

 

 

 

 

 

 

 

 

 

 

 

 

 

 

 

 

 

 

 

 

 

 

 

 

 

 

 

 

 

 

Korea

 

 

 

 

 

 

 

 

 

 

 

 

 

 

 

 

 

 

 

 

 

 

 

 

 

 

 

 

 

 

 

 

 

 

 

 

 

 

 

 

 

 

 

 

 

 

 

 

 

 

 

 

 

 

 

 

 

 

 

 

 

 

 

 

 

 

 

 

 

 

 

 

 

 

 

 

 

 

 

 

Finland

 

 

 

 

 

 

 

 

 

 

 

 

 

 

 

 

 

 

 

 

 

 

 

 

 

 

 

 

 

 

 

 

 

 

 

 

 

 

 

 

 

 

 

 

 

 

 

 

 

 

 

 

 

 

 

 

 

 

 

 

 

 

 

 

 

 

 

 

 

 

 

 

 

 

 

 

 

 

 

 

Kanada

 

 

 

 

 

 

 

 

 

 

 

 

 

 

 

 

 

 

 

 

 

 

 

 

 

 

 

 

 

 

 

 

 

 

 

 

 

 

 

 

 

 

 

 

 

 

 

 

 

 

 

 

 

 

 

 

 

 

 

 

 

 

 

 

 

 

 

 

 

 

 

 

 

 

 

 

 

 

 

 

Luxemburg

 

 

 

 

 

 

 

 

 

 

 

 

 

 

 

 

 

 

 

 

 

 

 

 

 

 

 

 

 

 

 

 

 

 

 

 

 

 

 

 

 

 

 

 

 

 

 

 

 

 

 

 

 

 

 

 

 

 

 

 

 

 

 

 

 

 

 

 

 

 

 

 

 

 

 

 

 

 

 

 

Norge

 

 

 

 

 

 

 

 

 

 

 

 

 

 

 

 

 

 

 

 

 

 

 

 

 

 

 

 

 

 

 

 

 

 

 

 

 

 

 

 

 

 

 

 

 

 

 

 

 

 

 

 

 

 

 

 

 

 

 

 

 

 

 

 

 

 

 

 

 

 

 

 

 

 

 

 

 

 

 

 

Portugal

 

 

 

 

 

 

 

 

 

 

 

 

 

 

 

 

 

 

 

 

 

 

 

 

 

 

 

 

 

 

 

 

 

 

 

 

 

 

 

 

 

 

 

 

 

 

 

 

 

 

 

 

 

 

 

 

 

 

 

 

 

 

 

 

 

 

 

 

 

 

 

 

 

 

 

 

 

 

 

 

Belgien

 

 

 

 

 

 

 

 

 

 

 

 

 

 

 

 

 

 

 

 

 

 

 

 

 

 

 

 

 

 

 

 

 

 

 

 

 

 

 

 

 

 

 

 

 

 

 

 

 

 

 

 

 

 

 

 

 

 

 

 

 

 

 

 

 

 

 

 

 

 

 

 

 

 

 

 

 

 

 

 

USA

 

 

 

 

 

 

 

 

 

 

 

 

 

 

 

 

 

 

 

 

 

 

 

 

 

 

 

 

 

 

 

 

 

 

 

 

 

 

 

 

 

 

 

 

 

 

 

 

 

 

 

 

 

 

 

 

 

 

 

 

 

 

 

 

 

 

 

 

 

 

 

 

 

 

 

 

 

 

 

 

SVERIGE

 

 

 

 

 

 

 

 

 

 

 

 

 

 

 

 

 

 

 

 

 

 

 

 

 

 

 

 

 

 

 

 

 

 

 

 

 

 

 

 

 

 

 

 

 

 

 

 

 

 

 

 

 

 

 

 

 

 

 

 

 

 

 

 

 

 

 

 

 

 

 

 

 

 

 

 

 

 

 

 

Australien

 

 

 

 

 

 

 

 

 

 

 

 

 

 

 

 

 

 

 

 

 

 

 

 

 

 

 

 

 

 

 

 

 

 

 

 

 

 

 

 

 

 

 

 

 

 

 

 

 

 

 

 

 

 

 

 

 

 

 

 

 

 

 

 

 

 

 

 

 

 

 

 

 

 

 

 

 

 

 

 

Grekland

 

 

 

 

 

 

 

 

 

 

 

 

 

 

 

 

 

 

 

 

 

 

 

 

 

 

 

 

 

 

 

2007

 

 

 

 

 

 

 

 

 

 

 

 

 

 

 

 

 

 

 

 

 

 

 

 

 

 

 

 

 

 

 

 

 

 

 

 

 

 

 

 

 

 

 

 

 

 

 

 

 

 

 

 

 

 

 

 

 

 

 

 

 

 

 

 

 

 

 

Storbritannien

 

 

 

 

 

 

 

 

 

 

 

 

 

 

 

 

 

 

 

 

 

 

 

 

 

 

 

 

 

 

 

2005

 

 

 

 

 

 

 

 

 

 

 

 

 

 

 

 

 

 

 

 

 

 

 

 

 

 

 

 

 

 

 

 

 

 

 

Spanien

 

 

 

 

 

 

 

 

 

 

 

 

 

 

 

 

 

 

 

 

 

 

 

 

 

 

 

 

 

 

 

 

 

 

 

 

 

 

 

 

 

 

 

 

 

 

 

 

 

 

 

 

 

 

 

 

 

 

 

 

 

 

 

 

 

 

Nya Zeeland

 

 

 

 

 

 

 

 

 

 

 

 

 

 

 

 

 

 

 

 

 

 

 

 

 

 

 

 

 

 

 

2003

 

 

 

 

 

 

 

 

 

 

 

 

 

 

 

 

 

 

 

 

 

 

 

 

 

 

 

 

 

 

 

 

 

 

 

Irland

 

 

 

 

 

 

 

 

 

 

 

 

 

 

 

 

 

 

 

 

 

 

 

 

 

 

 

 

 

 

 

 

 

 

 

 

 

 

 

 

 

 

 

 

 

 

 

 

 

 

 

 

 

 

 

 

 

 

 

 

 

 

 

 

 

 

 

 

 

 

 

 

 

Italien

 

 

 

 

 

 

 

 

 

 

 

 

 

 

 

 

 

 

 

 

 

 

 

 

 

 

 

 

 

 

 

 

 

 

 

 

 

 

 

 

 

 

 

 

 

 

 

 

 

 

 

 

 

 

 

 

 

 

 

 

 

 

 

 

 

 

 

 

 

 

 

 

 

 

 

 

 

 

 

 

 

 

 

 

 

 

 

 

 

 

 

 

 

 

 

 

 

 

 

 

 

 

 

 

 

 

 

 

 

 

 

0

1

2

3

4

 

 

 

5

 

 

 

 

6

 

 

 

 

 

7

 

8

 

 

9

 

 

10

Källa: IMD Competitiveness Yearbook 2004-2007, Energy Infrastructure Index.

Anm.: Index på företagsledares uppfattning av tillräckligheten och effektiviteten i landets energiinfrastruktur. Index ligger mellan 0-10 där 10 är bäst.

212

Referenser

Andersson, B. och Ådahl, M. (2005), Den ”nya ekonomin” och svensk produktivitet på 2000-talet, Penning- och valutapolitik 1/2005, Sveriges riksbank.

Audretsch, D., Keilbach, M. och Lehmann, E. (2006),

Entrepreneurship and econmic growth, Oxford university press, New York.

Baumol, W. (2002), The Free-market innovation Machine – Analyzing the growth miracle of capitalism of Last year, Princeton university press, Princeton.

Brandt, N. (2004), Business Dynamics, Regulation and Performance,

STI Working Paper, OECD, Paris.

Braunerhjelm, P. och Lundström, A. (2007), En besynnerlig rapport: ITPS om nyföretagandet, Ekonomisk debatt nr. 4.

Carre, M. och Van Stel, A. (2004), Business Ownership and Sectoral Growth An Empirical Analysis of 21 OECD countries,

International Small Business Journal, Vol. 22, No. 4, 389-419.

Congressional Budget Office (2005), The Congress of the United States, R&D and Productivity Growth: A Background Paper, juni 2005.

Energimyndigheten (2006), Energiindikatorer 2006 (ET 2006:31), Energimyndighetens förlag, Eskilstuna.

Energimyndigheten (2007), Långsiktsprognos 2006 – enligt det nationella systemet för klimatrapportering (ER 2007:02).

213

Referenser

Ds 2007:37

Energimarknadsinspektionen (2006), Prisbildning och konkurrens på elmarknaden (ER 2006:13), Energimyndighetens förlag, Eskilstuna.

European Information Technology Observatory (2003).

Eurostat (2005), Gas and electricity market statistics 2005.

Eurostat (2007), Environment and energy 2007.

Eurostat (2007), Structural indicators 2007.

Eurostat (2007), Sustainable development indicators..

Exportrådet (2007), Dagens exportnyheter den 9 maj 2007, Exportrådets hemsida.

Exportrådet (2007), Små, medelstora och stora företags export 2002- 2006, rapport av Mauro Gozzo 2007-06-04.

Europeiska kommissionen (2002), Europeiska riktmärken inom allmän och yrkesorienterad utbildning: uppföljning av Europeiska rådets möte i Lissabon, meddelande från kommissionen, KOM (23002) 629.

Europeiska kommissionen (2007), Action Programme for Reducing Adminstrative Burdens in the European Union, COM(2007) final.

Europeiska unionens råd (2002a), Detaljerat arbetsprogram för uppföljning av målen för utbildningssystemen i Europa, 6365/02, EDUC 27 DG I.

Europeiska unionens råd (2002b), Rapport från rådet (utbildning) till Europeiska rådet, ”Konkreta framtidsmål för utbildningssystemen”, 5980/01, EDUC 23 DG J.

Finansdepartementet (2007), Arbetsutbud och sysselsättning bland personer med utländsk bakgrund – En kunskapsöversikt (Ds 2007:4).

214

Ds 2007:37

Referenser

Hoffman, A. (2006), Sweden´s Entrepreneurship Challenge and Possible Policy Responses, papers presented at the Saltsjöbaden conference October 2006.

IEA/OECD (2006), Renewables information 2006.

IEA (2000), Key world energy statistics 2000, International Energy Agency.

IEA (2004), Key world energy statistics 2004, International Energy Agency.

IEA (2006), Key world energy statistics 2006, International Energy Agency.

IEA (2007), Key world energy statistics 2007, International Energy Agency.

IMD (2007), World Competitiveness Yearbook 2007, IMD World

Competitiveness Center.

Inklaar, R., O’Mahoney, M. och Timmer, M. (2003), ICT and Europe’s Performance – Industry-level Growth Account Comparisons with the United States, Research Memorandum GD-68, GGDC, University of Groningen.

ITPS (2006a), Investeringar, FoU och tillväxt (A2006:003).

ITPS (2006b), Företagsdynamik och tillväxt – en kartläggning och analys av företagsdynamik och arbetsproduktivitetstillväxt i Sverige

(A2006:016).

ITPS (2007a), Sveriges konkurrenskraft, A2007:002, Östersund.

ITPS (2007b), Svenskt näringsliv I en globaliserad värld, A2007:004, Östersund.

ITPS (2007c), Samband mellan infrastruktur och produktivitet, R2007:002, Östersund.

215

Referenser

Ds 2007:37

Klepper, S. (1996), Entry, Exit, Growth and Innovation over the product life cycle, American economic review, vol. 86, s 562-583.

Kommerskollegium (2005), Handelspolitisk lägesrapport 2005:1, Ny vår för svensk export?, Stockholm.

Konjunkturinstitutet (2007), Konjunkturläget augusti 2007, Stockholm.

Konjunkturinstitutet (2007), Konjunkturläget mars 2007, Stockholm.

Konjunkturrådets rapport 2007, Tillväxt i otakt, SNS Förlag, Stockholm.

Konkurrensverket (2007), Konkurrensförhållandena på elmarknaden (Dnr 408/2006).

Lindström, T (2003), The role of high-tech capital formation for Swedish productivity growth, Konjunkturinstitutet, Working paper No. 83 maj 2003.

Luftfartsstyrelsen (2007), Specialbeställd av statistik.

Mauro, P. (1995), Corruption and growth, Quarterly Journal of Economics 110, augusti, s 681-712.

Mauro, P. (1998), Corruption and the Composition of Government Expenditure, Journal of Public Economics 69, nr 2, s 263-279.

Mo, Pak Hung. (2001), Corruption and Economic Growth, Journal of Comparative Economics 29, nr 1, 66-79.

Näringsdepartementet (2003), Benchmarking av näringspolitiken 2003 – Sverige i ett internationellt perspektiv (Ds 2003:62).

OECD (2001), Productivity and firm dynamics: evidence from micro data, Economic outlook no 69, juni 2001.

OECD (2001a), Education at a Glance, OECD, Paris.

216

Ds 2007:37

Referenser

OECD (2001), Knowledge and Skills for Life – First Results from PISA 2000, OECD, Paris.

OECD (2003), Education at a Glance, OECD, Paris.

OECD (2003), The Sources of Economic Growth in OECD Countries, Paris.

OECD (2004), Education at a Glance, OECD, Paris.

OECD (2004a), Learning for Tomorrow’s World – First Results from PISA 2003, OECD, Paris.

OECD (2005), Education at a Glance, OECD, Paris.

OECD (2005a), Science, Technology and Industry Scoreboard 2005.

OECD (2005b), Counting Immigrants and Expatriates in OECD Countries: A new Perspective, Jean-Christophe Dumont and George Lematître, OECD Social, Employment and migration working papers.

OECD (2005c), Society at a Glance 2005.

OECD (2006a), Compendium of Productivity Indicators 2006.

OECD (2006b), Economic, Environmental and Social Statistics 2006.

OECD (2007a), International Migration Outlook.

OECD (2007), Economic Outlook no. 81.

OECD (2007) Education at a Glance, OECD, Paris.

Post & Telestyrelsen (2006), Konkurrenssituationen på olika delmarknader inom området för elektronisk kommunikation 2005/2006 – Delrapport.

Post & Telestyrelsen (2007), Hinder för utbyggnad av Bredband.

217

Referenser

Ds 2007:37

Proposition 2000/01:100 Bilaga 5, Finans- och penningpolitiskt bokslut för 1990-talet.

Proposition 2005/06:154, Förnybar el med gröna certifikat

Proposition 2005/06:160, bet.2005/06:TU5, rskr.2005/06:308. Proposition 2006/07:1, Budgetpropositionen för 2007.

Proposition 2006/07:100, 2007 års ekonomiska vårproposition.

Proposition 2007/08:1, Budgetpropositionen för 2008.

Riksbanken (2007), Penningpolitisk rapport, 2007:1.

SCB, Arbetskraftsundersökningen.

SCB (2007a), Toppår för industrins investeringar, Näringslivets investeringar enligt majenkäteten 2007, Pressmeddelande från SCB, nr 2007:161.

SCB (2007b), Forskning och utveckling i Sverige – En översikt, Statistiska meddelanden, UF 16 SM 0701.

Skolverket (2004a), Internationella studier under 40 år, Skolverkets aktuella analyser, Stockholm.

Skolverket (2004b), Nationella utvärderingen av grundskolan 2003, Stockholm.

Skolverket (2005), En sammanfattning av TIMSS 2003, Stockholm.

SOU 2000:7, Sveriges internationella konkurrenskraft, Långtidsutredningen 1999/2000 Bilaga 5, Finansdepartementet.

SOU 2004:129, El- och naturgasmarknaderna - Energimarknader i utveckling.

Sveriges Byggindustrier (2004). Infrastruktur och ekonomisk tillväxt.

218

Ds 2007:37

Referenser

Timmer, M., Ypma, G. och van Ark, B. (2003), IT in the European Union: Driving Productivity Divergence?, Research Memorandum GD-67, GGDC, University of Groningen

UNCTAD, World Investment Report 2006.

Utbildningsdepartementet (2004), Utbildningen i Europa – en rapport om utbildningen i Sverige och de gemensamma europeiska målen.

Utbildningsdepartementet (2004), Könsskillnader i utbildningsresultat, Rapport nr 7 i Utbildningsdepartementets skriftserie.

Vattenfall (2006), Vattenfall satsar kraftfullt på förnyelsebar elproduktion, Pressmeddelande 2006-05-18.

World Economic Forum (2006), The Global Competitiveness

Report 2006.

WTO, International Trade Statistics 2006.

219

Departementsserien 2007

Kronologisk förteckning

1.Preskription vid allvarliga brott. Ju.

2.Frågan om fortsatt giltighet av 1952 års tvångsmedelslag och lagen om hemlig kameraövervakning. Ju.

3.Annonstid i radio och TV. Ku.

4.Arbetsutbud och sysselsättning bland personer med utländsk bakgrund. En kunskapsöversikt. Fi.

5.Påföljder för psykiskt störda lagöverträdare. Ju.

6.Internationell insolvens

– en diskussionspromemoria. Ju.

7.Vissa frågor i stiftelselagen, m.m. Ju.

8.Skydd mot fel och obestånd inom bostads- byggandet. M.

9.Ett uppföljningssystem för barnpolitiken. Slutrapport från arbetsgruppen med uppgift att utveckla indikatorer för barnpolitiken. S.

10.Skadeståndsfrågor vid kränkning. Ju.

11.En mer öppen domarutbildning. Ju.

12.Bostadsrättsregister – några modeller för registrering av bostadsrätter. Ju.

13.Vuxnas kontakter med barn i sexuella syften. Ju.

14.Kriminalisering av privat olovlig hantering av avkodningsutrustning. Ku.

15.En lag om ekodesign. N.

16.Sammanläggning av Statens strålskydds- institut och Statens kärnkraftinspektion. M.

17.Utvidgat system med prövningstillstånd i Arbetsdomstolen. A.

18.Verkställighet inom Europeiska unionen av bötesstraff och beslut om förverkande. Ju.

19.Civilrättsliga sanktioner på immaterial- rättens område – genomförande av direktiv 2004/48/EG. Ju.

20.Pantbrevssystemet och elektroniska företags- inteckningsbrev. Ju.

21.Äldres arbetsutbud och möjligheter till sysselsättning. En kunskapsöversikt. Fi.

22.Ersättningsetablering m.m. för vissa privata vårdgivare. S.

23.Tillåtna tillgångar i värdepappersfonder m.m. F.

24.Tillträdesförbud m.m. inom kriminalvården. Ju.

25.Riktlinjer för handläggningen av ärenden om internationella överenskommelser. UD.

26.Sekretess för uppgifter på tsunamibanden. Ju.

27.Ett effektivt och flexibelt system för arbets- kraftsinvandring. Ju.

28.Koncentration av länsstyrelseverksamhet. Fi.

29.Musik och film på Internet – hot eller möjlighet? Ju.

30.Swedens’s fourth national report under the Convention on Nuclear Safety. Swedish implementation of the obligations of the Convention. M.

31.Skärpt straff för vållande till annans död. Ju.

32.Ny instansordning för arbetsmiljöärenden.A.

33.Djurskyddskontroll m.m. i statlig regi. Jo.

34.Tydligare ledarskap i skolan och förskolan

– förslag till en ny rektorsutbildning. U.

35.Skärpta fusionsregler. Ju.

36.Ny luftfartslag – supplement. N.

37.Sveriges företagande och konkurenskraft. Internationell benchmarking. N.

Departementsserien 2007

Systematisk förteckning

Justitiedepartementet

Preskription vid allvarliga brott. [1]

Frågan om fortsatt giltighet av 1952 års tvångsmedelslag och lagen om hemlig kameraövervakning. [2]

Påföljder för psykiskt störda lagöverträdare. [5]

Internationell insolvens

– en diskussionspromemoria. [6]

Vissa frågor i stiftelselagen, m.m. [7] Skadeståndsfrågor vid kränkning. [10] En mer öppen domarutbildning. [11]

Bostadsrättsregister – några modeller för registrering av bostadsrätter. [12]

Vuxnas kontakter med barn i sexuella syften. [13]

Verkställighet inom Europeiska unionen av bötesstraff och beslut om förverkande. [18]

Civilrättsliga sanktioner på immaterialrättens område – genomförande av direktiv 2004/48/EG. [19]

Pantbrevssystemet och elektroniska företags- inteckningsbrev. [20]

Tillträdesförbud m.m. inom kriminalvården. [24] Sekretess för uppgifter på tsunamibanden. [26]

Ett effektivt och flexibelt system för arbets- kraftsinvandring. [27]

Musik och film på Internet – hot eller möjlighet? [29]

Skärpt straff för vållande till annans död. [31] Skärpta fusionsregler. [35]

Utrikesdepartementet

Riktlinjer för handläggningen av ärenden om internationella överenskommelser. [25]

Socialdepartementet

Ett uppföljningssystem för barnpolitiken. Slutrapport från arbetsgruppen med uppgift att utveckla indikatorer för barnpolitiken. [9]

Ersättningsetablering m.m. för vissa privata vårdgivare. [22]

Finansdepartementet

Arbetsutbud och sysselsättning bland personer med utländsk bakgrund.

En kunskapsöversikt. [4]

Äldres arbetsutbud och möjligheter till sysselsätt- ning. En kunskapsöversikt. [21]

Tillåtna tillgångar i värdepappersfonder m.m. [23] Koncentration av länsstyrelseverksamhet. [28]

Utbildningsdepartementet

Tydligare ledarskap i skolan och förskolan

– förslag till en ny rektorsutbildning. [34]

Jordbruksdepartementet

Djurskyddskontroll m.m. i statlig regi. [33]

Miljödepartementet

Skydd mot fel och obestånd inom bostads- byggandet. [8]

Sammanläggning av Statens strålskyddsinstitut och Statens kärnkraftinspektion. [16]

Swedens’s fourth national report under the Convention on Nuclear Safety.

Swedish implementation of the obligations of the Convention. [30]

Näringsdepartementet

En lag om ekodesign. [15]

Ny luftfartslag – supplement. [36]

Sveriges företagande och konkurrenskraft. Internationell benchmarking. [37]

Kulturdepartementet

Annonstid i radio och TV. [3]

Kriminalisering av privat olovlig hantering av avkodningsutrustning. [14]

Arbetsmarknadsdepartementet

Utvidgat system med prövningstillstånd i Arbets- domstolen. [17]

Ny instansordning för arbetsmiljöärenden. [32]