Regeringen överlämnar denna proposition till riksdagen.
Stockholm den 15 mars 2001
Lena Hjelm-Wallén
Lars Engqvist
(Socialdepartementet)
Prop.
2000/01:97
I propositionen föreslås vissa ändringar i alkohollagen (1994:1738).
Reglerna för försäljning av öl skärps i syfte att komma till rätta med vissa
konstaterade problem. Den som säljer eller serverar öl åläggs bl.a. en
skyldighet att utöva särskild tillsyn över denna verksamhet och kom-
munerna får möjlighet att ta ut avgifter för tillsynen av dem som bedriver
servering av eller detaljhandel med öl. Näringsidkaren skall också
anmäla verksamheten hos den kommun där försäljningen eller serve-
ringen sker. Den tid som kommunen kan meddela förbud mot att sälja öl
för den som inte följer reglerna utökas från sex månader till tolv måna-
der. Rätten till ölservering i samband med ambulerande korv- och glass-
försäljning eller liknande avskaffas. Den straffbestämmelse som gäller
innehav av spritdrycker, vin och starköl i uppenbart syfte att olovligen
sälja dem utökas till att även omfatta öl.
Förutsättningarna för serveringstillstånd föreslås bli förändrade i vissa
avseenden. Innehavare av tillstånd för tillfällig servering i slutet sällskap
får i fortsättningen endast göra sina inköp hos Systembolaget AB. För
vissa privata arrangemang tas kravet på serveringstillstånd bort helt.
Beträffande tillstånd för servering till allmänheten föreslås att väg-
ledande för tillståndsmyndighetens prövning vid bestämmandet av ser-
veringstid skall vara risken för alkoholpolitiska olägenheter. Bestämmel-
serna om tid för servering av öl tas bort.
För att förhindra kringgående av förbudet mot att överlämna alkohol-
drycker till ungdomar föreslås att förbudet även omfattar när någon bju-
der på alkoholdryck för förtäring på stället om detta med hänsyn till den
bjudnes ålder och omständigheterna i övrigt är uppenbart oförsvarligt.
Vidare föreslås att vid bedömning av om vissa brott är att anse som grova
särskilt skall beaktas om verksamheten varit inriktad mot ungdomar.
1 Riksdagen 2000/01. 1 saml. Nr 97
Systembolaget AB föreslås få rätt att anordna auktioner på spritdrycker,
vin och starköl för annans räkning samt att anordna provning av sprit-
drycker, vin och starköl för allmänheten. Systembolaget AB föreslås
också få ha öppet i sina butiker på lördagar längst till klockan 15.00 i
hela landet.
Ett nytt krav på att registrera alla transaktioner i kassaregister införs för
alla innehavare av serveringstillstånd utom för dem som endast har till-
stånd för tillfällig servering i slutet sällskap. I fråga om tillsyn och regis-
ter föreslås olika regelförändringar i syfte att underlätta för kommunerna
att själva ta in de uppgifter som behövs för tillståndsprövning och tillsyn.
De nya reglerna föreslås träda i kraft den 1 juli 2001. Detta gäller dock
inte bestämmelserna om kassaregister. Dessa bestämmelser föreslås träda
i kraft den 1 juli 2003.
Prop. 2000/01:97
Prop. 2000/01:97
1 Förslag till riksdagsbeslut.................................................................5
2 Lagtext..............................................................................................6
2.1 Förslag till lag om ändring i alkohollagen (1994:1738) 6
2.2 Förslag till lag om ändring i skatteregisterlagen
(1980:343)........................................................................ 19
3 Ärendet och dess beredning............................................................20
4 Vissa bestämmelser i alkohollagen.................................................21
4.1 Nuvarande ordning...........................................................21
4.1.1 Gällande bestämmelser i alkohollagen...........22
4.2 Vissa försäljningsregler för Systembolaget AB m.m.......26
4.2.1 Åuktioner, provningar och returförsäljning
av alkoholdrycker m.m...................................26
4.2.2 Lördagsöppet..................................................28
4.3 Verkställighet av beslut enligt alkohollagen....................29
4.4 Rätt att överklaga beslut...................................................31
5 Serveringsbestämmelser..................................................................33
5.1 Serveringstider..................................................................33
5.2 Allsidig matlagning..........................................................38
5.3 Tillfälliga tillstånd............................................................40
5.4 Lämplighetskravet m.m....................................................45
5.5 Anställd personal..............................................................48
5.6 Gemensam serveringslokal...............................................51
5.7 Alkoholpolitiska olägenheter............................................52
5.8 Serveringstillstånd efter konkurs......................................54
5.9 Representationsrätt för tillståndshavare...........................56
5.10 Restaurangrapporten.........................................................57
5.11 Tillsynsavgifter för servering av spritdrycker, vin och
starköl...............................................................................58
5.12 Kassaregister.....................................................................60
6 Tillsyn över folkölsförsäljningen....................................................62
7 Vissa sanktioner och straffbestämmelser........................................71
7.1 Olovligt innehav av alkoholdrycker.................................71
7.2 Grovt brott........................................................................72
7.3 Att bjuda underårig på alkoholdryck................................72
7.4 Aktivt kol m.m..................................................................73
8 Register m.m...................................................................................75
9 Ekonomiska och andra konsekvenser.............................................81
10 Ikraftträdande m.m..........................................................................83
10.1 Serveringsbestämmelser...................................................83
10.2 Partihandel med alkoholdrycker.......................................83
11 Författningskommentar...................................................................84
11.1 Förslaget till lag om ändring i alkohollagen (1994:1738) 84
11.2 Förslaget till lag om ändring i skatteregisterlagen
(1980:343)........................................................................91
Bilaga 1 Sammanfattning av betänkandet (SOU 2000:59)
Bestämmelser om alkoholdrycker.........................................92
Bilaga 2 Alkoholutredningens lagförslag............................................95
Bilaga 3 Effekter av lördagsöppna systembolagsbutikcr. Uppföljning
av dc första tio månaderna..................................................120
Bilaga 4 Attityder till lördagsöppet 1999 och 2000..........................156
Bilaga 5 Lagrådsremisscns lagförslag...............................................163
Bilaga 6 Lagrådets yttrande...............................................................177
Utdrag ur protokoll vid regeringssammanträde den 15 mars 2001....... 179
Rättsdatablad.........................................................................................180
Prop. 2000/01:97
Regeringen föreslår att riksdagen
dels antar regeringens förslag till
1. lag om ändring i alkohollagen (1994:1738),
2. lag om ändring i skatteregisterlagen (1980:343),
dels godkänner vad regeringen föreslår om detaljhandelsbolagets
öppettider på lördagar (avsnitt 4.2.2.).
Prop. 2000/01:97
Prop. 2000/01:97
Regeringen har följande förslag till lagtext.
Härigenom föreskrivs i fråga om alkohollagen (1994:1738)’
dels att 12 kap. 4 och 8-10 §§ skall upphöra att gälla,
dels att i 2 kap. 1, 3 och 5 §§, 7 kap. 3, 4, 18 och 22 §§ och 8 kap. 1
och 5 §§ ordet ”Alkoholinspektionen” skall bytas ut mot ”Statens folk-
hälsoinstitut”,
dels att den nuvarande 12 kap. 7 § skall betecknas 12 kap. 4 §,
dels att 3 kap. 9 §, 4 kap. 1, 5 och 6 §§, 5 kap. 1, 3 och 6 §§, 6 kap. 1
och 3-5 §§, 7 kap. 5, 8, 13, 19 och 21 §§, 8 kap. 2 §, 9 kap. 2 §, 10 kap. 3
och 5-7 §§ och 12 kap. 1-3, 5 och 6 §§ samt punkt 2 i ikraftträdande-
och övergångsbestämmelserna till lagen (1999:1001) om ändring i
nämnda lag skall ha följande lydelse,
dels att det i lagen skall införas två nya paragrafer, 6 kap. 1 a § och
8 kap. 5 a §, av följande lydelse.
Nuvarande lydelse
Föreslagen lydelse
3 kap.
9§
Det är förbjudet att som ombud eller på därmed jämförligt sätt anskaffa
alkoholdrycker till den som enligt 8 § inte har rätt att få sådan vara
utlämnad till sig. Det är också förbjudet att i större omfattning tillhanda-
gå annan med att anskaffa alkoholdrycker.
Spritdrycker, vin eller starköl får
inte överlämnas som gåva eller lån
till den som inte har fyllt 20 år. Öl
får inte överlämnas som gåva eller
lån till den som inte har fyllt 18 år.
Vad nu sagts gäller inte när någon
bjuder av en alkoholdryck för för-
Spritdrycker, vin eller starköl får
inte överlämnas som gåva eller lån
till den som inte har fyllt 20 år. öl
får inte överlämnas som gåva eller
lån till den som inte har fyllt 18 år.
täring på stället.
Andra stycket gäller inte när
någon bjuder på en alkoholdryck
för förtäring på stället. Sprit-
drycker, vin eller starköl får dock
inte bjudas den som inte fyllt 20 år,
om del med hänsyn till den bjudnes
ålder och omständigheterna i
1 Senaste lydelse av
2 kap. 1 § 1996:940
7 kap. 3 § 1999:1001
7 kap. 18 § 1999:1001
7 kap. 22 § 1999:1001
8 kap. 1 § 1999:1001
8 kap. 5 § 1999:1002
12 kap. 8 § 2000:484
12 kap. 8 a § 2000:483.
övrigt är uppenbart oförsvarligt. Prop. 2000/01:97
Detsamma gäller i fråga om öl be-
träffande den som inte fyllt 18 år.
1§5
Partihandel med spritdrycker, vin eller starköl får bedrivas endast av
den som har godkänts som upplagshavare eller registrerats som varu-
mottagare för sådana varor enligt 9 eller 12 § lagen (1994:1564) om
alkoholskatt. Av detta följer att rätten till partihandel endast avser den
dryck som omfattas av godkännandet som upplagshavare eller registre-
ringen som varumottagare enligt bestämmelserna i lagen om alkohol-
skatt.
Utöver vad som anges i första stycket får partihandel med spritdrycker,
vin och starköl bedrivas av detaljhandelsbolaget i enlighet med vad som
anges i 5 kap. 1 § tredje stycket.
Den som är berättigad att be-
driva partihandel får sälja varorna
till detaljhandelsbolaget, till annan
som är berättigad att bedriva
partihandel med motsvarande
varor och till den som har medde-
lats serveringstillstånd för sådana
varor. Den som är berättigad att
bedriva partihandel får också
exportera varorna eller sälja dem
till den som fått sådant särskilt
tillstånd till inköp av varorna som
avses i 4 §. Försäljning får även
ske till den som har tillstånd enligt
lagen (1999:446) om proviantering
av fartyg och luftfartyg.
Endast den som är berättigad att
bedriva partihandel får omför-
packa eller buteljera varorna.
Trots bestämmelserna i första
stycket får innehavare av serve-
ringstillstånd sälja enstaka varor
som omfattas av tillståndet till
någon som har rätt att bedriva
partihandel med sådana varor.
5§3
Den som har rätt att bedriva
partihandel får sälja varorna till
detaljhandelsbolaget, till annan
som har rätt att bedriva partihan-
del med motsvarande varor och till
den som har meddelats serve-
ringstillstånd för sådana varor.
Detta gäller dock inte i fråga om
sådant serveringstillstånd som
endast avser servering i slutet
sällskap vid ett enstaka tillfälle
eller under en enstaka tidsperiod.
Den som har rätt att bedriva parti-
handel får också exportera varorna
eller sälja dem till den som fått
sådant särskilt tillstånd till inköp
av varorna som avses i 4 §. För-
säljning får även ske till den som
har tillstånd enligt lagen
(1999:446) om proviantering av
fartyg och luftfartyg.
Endast den som har rätt att be-
driva partihandel får förpacka om
eller buteljera varorna.
2 Senaste lydelse 1999:1001.
3 Senaste lydelse 1999:1001.
överlåts rörelse vari ingår verk-
samhet som är tillståndspliktig
enligt denna lag eller för vilken det
krävs godkännande eller registre-
ring som anges i 1 § första stycket,
får överlåtaren sälja sitt lager av
spritdrycker, vin eller starköl till
sin efterträdare, om denne har be-
viljats tillstånd som gäller för
verksamheten eller, i fråga om
partihandel, är berättigad att be-
driva verksamheten.
Konkursbo eller dödsbo får utan
hinder av bestämmelserna i denna
lag sälja spritdrycker, vin eller
starköl till den som är berättigad
att bedriva partihandel med sådana
drycker eller till detaljhandels-
bolaget. Motsvarande gäller då en
verksamhet måste avvecklas till
följd av att tillståndet eller god-
kännande eller registrering som
avses i 1 § första stycket återkal-
lats eller att det finns andra tving-
ande skäl.
Bestämmelserna i första och ar
även i fråga om öl.
överlåts en rörelse där det ingår
verksamhet som är tillståndspliktig
enligt denna lag eller för vilken det
krävs godkännande eller registre-
ring som anges i 1 § första stycket,
får överlåtaren sälja sitt lager av
spritdrycker, vin eller starköl till sin
efterträdare, om denne har beviljats
tillstånd som gäller för verksam-
heten eller, i fråga om partihandel,
har rätt att bedriva verksamheten.
Ett konkursbo eller dödsbo eller,
i fråga om utmätt egendom, en
kronofogdemyndighet får utan hin-
der av bestämmelserna i denna lag
sälja spritdrycker, vin eller starköl
till den som har rätt att bedriva
partihandel med sådana drycker
eller till detalj handelsbolaget. Mot-
svarande gäller då en verksamhet
måste avvecklas till följd av att till-
ståndet eller godkännande eller
registrering som avses i 1 § första
stycket återkallats eller att det finns
andra tvingande skäl.
Ira styckena gäller i tillämpliga delar
Prop. 2000/01:97
1§?
För detaljhandel med spritdrycker, vin och starköl skall det finnas ett
särskilt för ändamålet bildat aktiebolag (detaljhandelsbolaget), som sta-
ten äger.
Detaljhandelsbolaget får inte exportera eller tillverka drycker som
anges i första stycket. Detaljhandelsbolagct får importera sådana drycker
endast för att kunna fullgöra den skyldighet som anges i 5 §.
Detaljhandelsbolagct får inte Detaljhandelsbolaget får inte
bedriva annan partihandel än för-
säljning till dem som har serve-
ringstillstånd.
bedriva annan partihandel än för-
säljning till dem som har serve-
ringstillstånd. Vad nu sagts gäller
inte försäljning av enstaka partier
av varor till någon som har rätt att
bedriva partihandel.
4 Senaste lydelse 1999:1001.
5 Senaste lydelse 1999:1001.
Bestämmelser om detaljhandelsbolagets verksamhet och drift samt om Prop. 2000/01:97
särskild kontroll från statens sida skall tas in i ett avtal som upprättas
mellan staten och bolaget.
Försäljning får ske antingen som
försäljning till avhämtning eller
genom försändning på rekvisition.
Detaljhandel med öl är, med de
inskränkningar som föreskrivs i
denna lag, tillåten under villkor att
verksamheten bedrivs i en lokal
som är godkänd som livsmedels-
lokal enligt bestämmelser vilka
meddelats med stöd av 22 § tredje
stycket livsmedelslagen (1971:511)
samt att försäljning av matvaror
bedrivs i lokalen. Utan hinder av
vad nu sagts får detaljhandel med
öl bedrivas av detaljhandelsbola-
get samt av tillverkare av öl eller
lätt drycker.
3§
Försäljning får ske antingen som
försäljning till avhämtning eller
genom försändning på rekvisition.
Försäljning får även ske vid auk-
tion av spritdrycker, vin och
starköl för annans räkning enligt
riktlinjer i avtalet mellan staten
och detaljhandelsbolaget.
Detaljhandelsbolaget får utan
hinder av 6 kap. 1 § första stycket
bedriva provning av alkohol-
drycker för allmänheten enligt
riktlinjer i avtalet mellan staten
och bolaget.
6§
Detaljhandel med öl är, med de
inskränkningar som föreskrivs i
denna lag, tillåten under villkor att
verksamheten bedrivs i en lokal
som är godkänd som livsmedels-
lokal enligt bestämmelser vilka
meddelats med stöd av 22 § tredje
stycket livsmedelslagen (1971:511)
samt att försäljning av matvaror
bedrivs i lokalen. Utan hinder av
vad nu sagts får detaljhandel med
öl bedrivas av detaljhandelsbola-
get samt av tillverkare av öl.
Den som bedriver detaljhandel
med öl skall anmäla verksamheten
hos den kommun där försäljningen
sker. Anmälan skall göras senast
när verksamheten påbörjas.
Den som bedriver detaljhandel
med öl skall utöva särskild tillsyn
(egentillsyn) över försäljningen.
För tillsynen skall det finnas ett
för verksamheten lämpligt pro-
gram.
1 §6
Servering av spritdrycker, vin och starköl får ske endast om tillstånd
Prop. 2000/01:97
har meddelats (serveringstillstånd).
Servering av öl är, med de in-
skränkningar som föreskrivs i
denna lag, tillåten under villkor att
verksamheten bedrivs i en lokal
som är godkänd som livsmedels-
lokal enligt bestämmelser vilka
meddelats med stöd av 22 § tredje
stycket livsmedelslagen
(1971:511) samt att servering av
mat samtidigt bedrivs i lokalen.
Utan hinder av vad som före-
skrivs i andra stycket får öl serve-
ras av den som enligt 23 § nämnda
lag har meddelats särskilt tillstånd
att yrkesmässigt hantera livsmedel
samt av den som har meddelats
serveringstillstånd.
Serveringstillstånd krävs dock
inte för servering som ordnas
1. utan vinstintresse,
2. i andra lokaler än där det be-
drivs yrkesmässig försäljning av
alkoholdrycker eller lättdrycker,
3. vid ett enstaka tillfälle för
vissa i förväg bestämda personer,
och
4. utan annan kostnad för del-
tagarna än kostnaden för inköp av
dryckerna.
la§
Servering av öl är, med de in-
skränkningar som föreskrivs i denna
lag, tillåten om verksamheten bedrivs i
en lokal som är godkänd som livs-
medelslokal enligt bestämmelser som
meddelats med stöd av 22 § tredje
stycket livsmedelslagen (1971:511)
och där mat samtidigt serveras.
Utan hinder av första stycket får öl
serveras i sådana fall som anges i 1 §
andra stycket samt av den som har
serveringstillstånd.
Den som bedriver servering av öl
skall anmäla verksamheten hos den
kommun där försäljningen sker. An-
mälan skall göras senast när verk-
samheten påbörjas. Vad nu sagts
gäller inte i fall som avses i 1 § andra
stycket eller den som har serverings-
tillstånd.
Den som är anmälningsskyldig en-
ligt tredje stycket skall utöva särskild
tillsyn (egentillsyn) över serveringen.
För tillsynen skall det finnas ett för
verksamheten lämpligt program.
6 Ändringen innebär bl.a. att tredje stycket upphävs.
10
3§
På serveringsställe där serveringstillstånd gäller skall tillståndshavaren
eller av honom utsedd serveringsansvarig person utöva tillsyn över ser-
veringen och vara närvarande under hela serveringstiden.
Den som är serveringsansvarig skall med hänsyn till sina egenskaper
och övriga omständigheter vara lämplig för uppgiften.
Tillståndshavaren skall till tillståndsmyndigheten anmäla den eller de
personer som har utsetts att ansvara för alkoholserveringen.
Prop. 2000/01:97
För servering av spritdrycker,
vin eller starköl får endast anlitas
personal som är anställd av till-
ståndshavaren. Restaurangskolor
med serveringstillstånd får dock i
utbildningssyfte anlita restaurang-
skolans elever.
Om inte tillståndsmyndigheten
beslutar annat får servering av öl
påbörjas tidigast klockan 07.00
och servering av andra alkohol-
drycker tidigast klockan 11.00.
Om inte tillståndsmyndigheten
beslutar annat skall servering av
alkoholdrycker avslutas senast
klockan 01.00. Vad nu sagts gäller
inte för hotellrum med minibar.
Serveringsställe skall vara utrymt
tidens utgång.
För servering av spritdrycker,
vin och starköl får endast sådan
personal anlitas som är anställd av
tillståndshavaren eller som är in-
hyrd från ett bemanningsföretag.
Restaurangskolor med serverings-
tillstånd får dock i utbildningssyfte
anlita restaurangskolans elever.
§
Om inte tillståndsmyndigheten
beslutar annat får servering av
spritdrycker, vin och starköl på-
börjas tidigast klockan 11.00 och
avslutas senast klockan 01.00. Vid
prövningen skall risken för alko-
holpolitiska olägenheter särskilt
beaktas.
senast 30 minuter efter serverings-
Bestämmelsema i första stycket
gäller inte hotellrum med minibar.
Den som har serveringstillstånd
får köpa spritdrycker, vin och
starköl som behövs för rörelsen
endast av någon som är berättigad
att bedriva partihandel med varan
eller av detaljhandelsbolaget.
5§7
Den som har serveringstillstånd
får köpa spritdrycker, vin och
starköl som behövs för rörelsen
endast av den som har rätt att be-
driva partihandel med varan eller
av detaljhandelsbolaget. Den som
har tillstånd för servering i slutet
sällskap vid ett enstaka tillfälle
eller under en enstaka tidsperiod
får dock göra motsvarande inköp
endast hos detaljhandelsbolaget.
5§
Serveringstillstånd kan medde- Serveringstillstånd kan medde-
7 Senaste lydelse 1999:1001.
11
las för servering till allmänheten
eller i förening, företag eller annat
slutet sällskap. Tillstånd kan avse
servering året runt, årligen under
en viss tidsperiod, under en en-
staka tidsperiod eller vid ett en-
staka tillfälle.
Tillstånd, som avser servering
året runt eller årligen under en
viss tidsperiod gäller tills vidare.
Tillståndsmyndigheten får dock
om det finns särskilda skäl be-
gränsa tillståndets giltighet till viss
tid.
I samband med beslut om serveringstillstånd eller senare får till-
ståndsmyndigheten meddela de villkor som behövs.
las för servering till allmänheten
eller i förening, företag eller annat
slutet sällskap. Tillstånd kan avse
servering året runt eller årligen
under en viss tidsperiod (stadig-
varande tillstånd). Tillstånd kan
även avse en enstaka tidsperiod
eller ett enstaka tillfälle.
Stadigvarande tillstånd gäller
tills vidare. Tillståndsmyndigheten
får dock om det finns särskilda
skäl begränsa tillståndets giltighet
till viss tid.
Prop. 2000/01:97
Tillstånd för servering till all-
mänheten året runt eller årligen
under viss tidsperiod får meddelas
endast om serveringsstället har ett
kök för allsidig matlagning och
tillhandahåller lagad mat. Serve-
ringsstället skall ha ett med hänsyn
till omständigheterna tillräckligt
antal sittplatser för gäster.
8§
Tillstånd för servering till all-
mänheten året runt eller årligen
under viss tidsperiod får meddelas
endast om serveringsstället har ett
kök för allsidig matlagning och
tillhandahåller lagad mat. Serve-
ringsstället skall ha ett med hänsyn
till omständigheterna tillräckligt
antal sittplatser för gäster. Serve-
ringsstället skall även vara lämp-
ligt för sitt ändamål ur brand-
säke rh etssynpunkt.
Tillstånd för servering till allmänheten under en enstaka tidsperiod
eller vid ett enstaka tillfälle får meddelas om serveringsstället tillhanda-
håller lagad mat. Detsamma gäller beträffande tillstånd för servering i
slutet sällskap.
Om det finns en drinkbar skall den vara en mindre väsentlig del av ser-
veringsstället, inrättad i nära anslutning till matsal.
Utan hinder av första och andra styckena får tillstånd meddelas för ser-
vering av vin och starköl i foajé till teater eller konsertlokal. Servering
får dock endast ske under pauser i föreställningen.
Servering av alkoholdrycker
från minibar på hotellrum får ske
på hotell med serveringstillstånd.
Regeringen eller, efter regeringens
bemyndigande, Alkoholinspektio-
nen får meddela närmare bestäm-
melser om serveringen.
Servering av alkoholdrycker
från minibar på hotellrum får ske
på hotell med serveringstillstånd.
Regeringen eller, efter regeringens
bemyndigande, Statens folkhälso-
institut får meddela närmare be-
stämmelser om serveringen.
12
13 §
Ansökan om serveringstillstånd görs skriftligen hos kommunen.
Kommunen får ta ut avgift för prövningen enligt grunder som beslutas
av kommunfullmäktige.
Kommunen får även ta ut avgift Kommunen får även ta ut avgift
för tillsyn enligt 8 kap. av den som för tillsyn enligt 8 kap. av den som
har serveringstillstånd. har serveringtillstånd och av den
som bedriver anmälningspliktig
servering av eller detaljhandel
med öl.
Prop. 2000/01:97
19 §
Kommunen skall återkalla serveringstillstånd om
1. det inte endast tillfälligt upp-
kommer sådana olägenheter som
avses i 6 kap. 2 §,
2. tillståndshavaren inte följer de
för servering eller serveringstill-
stånd gällande bestämmelserna i
denna lag eller föreskrifter eller
villkor meddelade med stöd av
denna lag, eller
3. de förutsättningar som gäller
för meddelande av tillstånd enligt
7 och 8 §§ inte längre föreligger
1. tillståndet inte längre utnytt-
jas,
2. det inte endast tillfälligt upp-
kommer sådana olägenheter som
avses i 6 kap. 2 §,
3. tillståndshavaren inte följer de
för servering eller serveringstill-
stånd gällande bestämmelserna i
denna lag eller föreskrifter eller
villkor meddelade med stöd av
denna lag,
4. de förutsättningar som gäller
för meddelande av tillstånd enligt
7 och 8 §§ inte längre föreligger,
eller
5. tillståndshavaren tillåter
brottslig verksamhet på serve-
ringsstället.
21 §
Föranleder detaljhandel med eller servering av öl olägenheter i fråga
om ordning och nykterhet eller följs inte bestämmelserna i denna lag, får
kommunen förbjuda den som bedriver försäljningen att fortsätta verk-
samheten eller, om förbud får anses vara en alltför ingripande åtgärd,
meddela honom varning.
Ett förbud enligt första stycket
kan inskränkas till att gälla för
vissa närmare angivna tider eller
under vissa närmare angivna om-
ständigheter. Förbud gäller i sex
månader, räknat från det att den
som bedriver försäljningen fått del
av beslutet.
Ett förbud enligt första stycket
kan inskränkas till att gälla för
vissa närmare angivna tider eller
under vissa närmare angivna om-
ständigheter. Förbud meddelas för
en tid av sex månader eller, vid
upprepad eller allvarlig försum-
melse, tolv månader räknat från
det att den som bedriver försälj-
13
ningen fått del av beslutet.
Den kommun där försäljningsstället är beläget beslutar om ingripande
enligt denna paragraf. Saknas fast försäljningsställe beslutar den kom-
mun som avses i 12 § andra stycket.
Prop. 2000/01:97
På begäran av någon annan till-
synsmyndighet skall kommunen
lämna de uppgifter som myndig-
heten behöver för sin tillsyn.
§
På begäran av någon annan till-
synsmyndighet skall kommunen
lämna de uppgifter som myndig-
heten behöver för sin tillsyn.
Kommunen skall även på begäran
av skattemyndighet eller Tullver-
ket lämna de uppgifter som behövs
för beskattning eller påförande av
tull.
Polismyndigheten skall underrätta andra tillsynsmyndigheter om för-
hållanden som är av betydelse för dessa myndigheters tillsyn.
Kronofogdemyndigheten skall underrätta vederbörande tillståndsmyn-
dighet om en tillståndshavare brister i sina skyldigheter att erlägga skat-
ter eller socialavgifter. På begäran av länsstyrelsen skall sådan under-
rättelse ges till denna.
På begäran av tillståndsmyndig-
het eller länsstyrelse skall skatte-
myndigheter och andra myndig-
heter som uppbär eller driver in
skatter eller avgifter lämna upp-
gifter som tillståndsmyndigheten
eller länsstyrelsen behöver för sin
tillståndsprövning eller tillsyn.
På begäran av en tillsynsmyn-
dighet skall polismyndigheter samt
skattemyndigheter och andra
myndigheter som uppbär eller dri-
ver in skatter eller avgifter lämna
uppgifter som tillsynsmyndigheten
behöver för sin tillståndsprövning
eller tillsyn.
5a§
Den som har tillstånd för ser-
vering av spritdrycker, vin eller
starköl till allmänheten eller sta-
digvarande tillstånd för servering i
slutet sällskap är skyldig att regi-
strera all försäljning i kassaregis-
ter och att vid varje försäljning ta
fram och erbjuda kunden ett av
registret framställt kvitto. Till-
ståndsmyndigheten får medge un-
dantag för servering inom ideella
föreningar eller liknande slutna
sällskap.
Kassaregister skall på ett till-
förlitligt sätt visa alla transaktio-
ner som gjorts. Regeringen eller
den myndighet regeringen be-
stämmer får meddela föreskrifter
om kassaregister.
14
Alkoholinspektionens och kom-
munens beslut får överklagas till
allmän förvaltningsdomstol. Det
överklagade beslutet får inte änd-
ras utan att den beslutande myn-
digheten har lämnats tillfälle att
yttra sig.
Alkoholinspektionen respektive
kommunen får överklaga domsto-
lens beslut.
Prövningstillstånd krävs vid överklagande till kammarrätten.
Bestämmelser om överklagande
av beskattningsmyndighetens beslut
finns i 35 § lagen (1994:1564) om
alkoholskatt.
9 kap.
2 §8
Prop. 2000/01:97
Statens folkhälsoinstituts eller
en kommuns beslut enligt denna
lag eller enligt föreskrifter som
meddelats med stöd av lagen får
överklagas hos allmän förvalt-
ningsdomstol. Detsamma gäller
beslut om rättelse enligt 28 § per-
sonuppgiftslagen (1998:204) och
om information som skall lämnas
enligt 26 § samma lag.
Är brott som anges i 1 eller 2 §
grovt, döms till fängelse i högst
fyra år. Vid bedömande av om
brottet är grovt skall särskilt be-
aktas om gärningen har utgjort led
i en verksamhet som bedrivits
yrkesmässigt eller i större omfatt-
ning.
Den som innehar spritdrycker,
vin eller starköl i uppenbart syfte
att olovligen sälja dem döms för
olovligt innehav av alkoholdrycker
till böter eller fängelse i högst ett
år.
3§ ..
Är brott som anges i 1 eller 2 §
grovt, döms till fängelse i högst
fyra år. Vid bedömande av om
brottet är grovt skall särskilt be-
aktas om gärningen har utgjort led
i en verksamhet som bedrivits
yrkesmässigt eller i större omfatt-
ning eller har varit inriktad mot
ungdomar.
5§
Den som innehar alkoholdrycker
i uppenbart syfte att olovligen
sälja dem döms för olovligt inne-
hav av alkoholdrycker till böter
eller fängelse i högst ett år.
Den som uppsåtligen eller av
oaktsamhet anskaffar alkohol-
drycker åt annan i strid med 3 kap.
9 § döms för olovligt anskaffande
av alkoholdrycker till böter eller
fängelse i högst två år eller, om
brottet är grovt, till fängelse i
högst fyra år.
Den som uppsåtligen eller av
oaktsamhet anskaffar, överlämnar
eller bjuder på alkoholdrycker i
strid med 3 kap. 9 § döms för
olovligt anskaffande av alkohol-
drycker till böter eller fängelse i
högst två år eller, om brottet är
grovt, till fängelse i högst fyra år.
Senaste lydelse 1999:1001. Ändringen innebär bl.a. att andra och fjärde styckena upphävs.
15
Den som uppsåtligen eller av
oaktsamhet säljer eller utlämnar
alkoholdrycker i strid med 3 kap.
8 § till någon som inte har uppnått
föreskriven ålder eller som är
märkbart påverkad av alkohol eller
annat berusningsmedel, eller vid
partihandel underlåter att på sätt
som föreskrivs i 4 kap. 7 § första
stycket förvissa sig om att köparen
har rätt att återförsälja eller inköpa
varan, döms för olovlig drvckes-
hanterine till böter eller fängelse i
högst sex månader.
Den som uppsåtligen eller av
oaktsamhet säljer eller utlämnar
alkoholdrycker i strid med 3 kap.
8 § till någon som inte har uppnått
föreskriven ålder eller som är
märkbart påverkad av alkohol eller
annat berusningsmedel, eller vid
partihandel underlåter att på sätt
som föreskrivs i 4 kap. 7 § förvissa
sig om att köparen har rätt att åter-
försälja eller inköpa varan, döms
för olovlig drvckeshanterine till
böter eller fängelse i högst sex
månader.
Prop. 2000/01:97
För olovlig dryckeshantering döms också den som försäljer öl i strid
med förbud som meddelats enligt 7 kap. 21 § eller tillåter alkoholförtä-
ring i strid med 6 kap. 9 §.
Alkoholinspektionen skall för de
ändamål som anges i 2 § föra ett
register med hjälp av automatisk
databehandling.
Registret får användas för
1. handläggning av ärenden om
tillstånd,
2. tillsyn över tillståndshavares
verksamhet samt
3. uppföljning och utvärdering
av lagens tillämpning samt fram-
ställning av statistik.
Registret får innehålla uppgifter
om
1. den som har tillstånd,
2. den som har haft tillstånd,
3. den vars ansökan om tillstånd
är föremål för prövning och
4. den som tidigare har ansökt
om tillstånd men vars ansökan har
avslagits, avvisats eller avskrivits.
Regeringen får meddela före-
skrifter om registrering av upp-
gifter i fråga om olika företrädare
för en verksamhet.
1 §
Statens folkhälsoinstitut skall för
de ändamål som anges i 2 § föra
ett centralt register med hjälp av
automatiserad behandling.
2§
Registret får användas för tiZZ-
syn, uppföljning och utvärdering
av lagens tillämpning samt fram-
ställning av statistik.
3§
Registret får innehålla uppgifter
om dem som har tillstånd enligt
denna lag samt om dem som har
rätt att bedriva partihandel enligt
4 kap. 1 § första stycket.
I registret får behandlas upp-
gifter om
1. namn eller firma, person-,
samordnings-, registrerings- eller
organisationsnummer, adress och
telefonnummer och
2. den verksamhet som tillstån-
det avser och om villkor som har
meddelats för denna.
16
I registret får vidare anges till-
ståndsmyndighetens och domstols
beslut i ärenden enligt lagen och
de bestämmelser som har tilläm-
pats.
Registret får också innehålla
uppgift om tidpunkt för förhållan-
den som har registrerats och tek-
niska och administrativa uppgifter,
om uppgifterna behövs för att till-
godose ändamålet med registret.
Registeruppgift som inte behövs
för handläggning av ett ärende
eller för tillsyn enligt lagen skall
gallras under femte kalenderåret
efter det att uppgiften registrerats.
Om tillstånd återkallas eller om
sökt tillstånd vägras skall så snart
beslutet vunnit laga kraft alla
uppgifter utom sådana som avses i
4 § första stycket 1 och 6 samt 5 §
gallras ur registret.
Regeringen eller den myndighet
som regeringen bestämmer får
meddela föreskrifter om undantag
från gallring för att bevara ett
urval av material för forskningens
behov. Sådant material skall läm-
nas över till en arkivmyndighet.
§’
Riksskatteverket och skattemyn-
dighet som anges i 8 kap. 1 a §
andra stycket får för sin tillsyn
enligt denna lag ha direktåtkomst
till uppgifter om serveringstill-
stånd i registret.
Prop. 2000/01:97
§10
Bestämmelserna i personupp-
giftslagen (1998:204) om rättelse
och skadestånd gäller även vid
behandling av personuppgifter
enligt denna lag.
2. Partihandelstillstånd, som
före ikraftträdandet har meddelats
annan än den som avses i 4 kap.
1 § första stycket i dess nya ly-
delse, skall efter ikraftträdandet
fortfarande gälla, dock längst till
utgången av år 2001. Härvid gäller
7 kap. 1 § tredje stycket och 4 §
samt 8 kap. 1 § i paragrafens ly-
delse före ikraftträdandet. Tull-
verket får ha terminalåtkomst till
uppgifter om sådana tillstånd i
Alkoholinspektionens register.
2. Partihandelstillstånd, som
före ikraftträdandet har meddelats
annan än den som avses i 4 kap.
1 § första stycket i dess nya ly-
delse, skall efter ikraftträdandet
fortfarande gälla, dock längst till
utgången av år 2003. Härvid gäller
7 kap. 1 § tredje stycket och 4 §
samt 8 kap. 1 § i paragrafens ly-
delse före ikraftträdandet. Tull-
verket får ha direktåtkomst till
uppgifter om sådana tillstånd i
Alkoholinspektionens register.
5 Ändringen innebär bl.a. att andra stycket upphävs.
10 Ändringen innebär bl.a. att andra och tredje styckena upphävs.
17
Prop. 2000/01:97
1. Denna lag träder i kraft den 1 juli 2003 i fråga om 8 kap. 5 a § och i
övrigt den 1 juli 2001.
2. I fråga om uppgifter som fram till och med den 30 juni 2001 tillförts
det register som avses i 12 kap. 1 § gäller äldre bestämmelser. Härvid
skall vad som sägs om Alkoholinspektionen i stället avse Statens
folkhälsoinstitut.
3. Den som den 1 juli 2001 redan bedriver servering av eller detaljhan-
del med öl, skall senast den 1 januari 2002 göra sådan anmälan som
avses i 5 kap. 6 § andra stycket eller 6 kap. 1 a § tredje stycket.
18
Härigenom föreskrivs att i 7 § skatteregisterlagen (1980:343)’ ordet
”Alkoholinspektionen” skall bytas ut mot ”Statens folkhälsoinstitut”.
Prop. 2000/01:97
Denna lag träder i kraft den 1 juli 2001.
1 Lagen omtryckt 1983:143.
Senaste lydelse av 7 § 2000:1381.
19
Regeringen beslutade den 12 mars 1998 att tillkalla en särskild utredare
med uppdrag att se över vissa bestämmelser i alkohollagen (1994:1738)
och i lagen (1961:181) om försäljning av teknisk sprit m.m. samt att
utarbeta förslag till ny lagstiftning för handeln med teknisk sprit och
alkoholhaltiga preparat. Utredningen har arbetat under namnet Alkohol-
utredningen och har tidigare avlämnat delbetänkandei Alkoholpolitikens
medel - Införsel av och partihandel med spritdrycker, vin och starköl
(SOU 1998:156). Detta betänkande har behandlats i propositionen Vissa
alkoholfrågor, m.m. (prop. 1998/99:134).
1 maj 2000 har Alkoholutredningen överlämnat betänkandena
Bestämmelser om alkoholdrycker (SOU 2000:59) och Bestämmelser om
teknisk sprit m.m. (SOU 2000:60). Utredningen har därigenom slutfört
sitt uppdrag.
I propositionen behandlar regeringen, med ett undantag, de förslag som
har lämnats i betänkandet Bestämmelser om alkoholdrycker. Utredning-
ens förslag i betänkandet om ändrade definitioner för olika alkohol-
drycker kräver enligt regeringen ytterligare överväganden. Med hänsyn
härtill väljer regeringen att återkomma till denna fråga vid ett senare till-
fälle. Motsvarande gäller de förslag som Alkoholulredningcn har pre-
senterat i betänkandet Bestämmelser om teknisk sprit m.m.
En sammanfattning av förslagen i betänkandet Bestämmelser om alko-
holdrycker finns i bilaga 1. De lagförslag som lades fram i betänkandet
finns i bilaga 2. Betänkandet har rcmissbehandlats och en sammanställ-
ning av inkomna remissyttranden finns tillgänglig i Socialdepartementet
(dnr S/2000/4224/FH).
Riksdagen beslöt den 19 november 1999 (prop. 1998/99:134 Vissa
alkoholfrågor m.m., bet. 1999/2000:SoU4, rskr. 1999/2000:42) att
Systembolaget AB på försök får ha öppet på lördagar längst till kl. 15.00
i vissa områden i landet. Försöket med lördagsöppet skulle följas löpande
och utvärderas vetenskapligt efter ett år. Resultatet av utvärderingen
skulle därefter redovisas för riksdagen som underlag för ett slutligt ställ-
ningstagande i frågan om lördagsöppet. En delrapport från forskarna
Thor Norström och Ole-Jörgen Skog som redovisar effekterna av lör-
dagsöppna systembolagsbutiker under försökets första tio månader finns
i bilaga 3.
Inom ramen för utvärderingen av försöket med lördagsöppna
systembolagsbutiker har forskarna även genomfört två opinionsunder-
sökningar. Denna rapport redovisas i bilaga 4.
Lagrådet
Regeringen beslutade den 15 februari 2001 att inhämta Lagrådets ytt-
rande över de förslag som finns i bilaga 5. Lagrådet har i allt väsentligt
godtagit förslagen men har förordat vissa ändringar av huvudsakligen
lagteknisk natur. Lagrådets yttrande finns i bilaga 6.
Regeringen har i propositionen följt Lagrådets förslag. Därutöver har
vissa ändringar jämfört med lagrådsremissen gjorts. Bl.a. har förslaget
Prop. 2000/01:97
20
om en yttersta tidsram inom vilken serveringstiderna skall ligga ändrats. I
författningskommentaren till de lagrum som ändrats med anledning av
Lagrådets synpunkter har detta angetts.
Prop. 2000/01:97
Den 1 januari 1995 ersattes lagen (1977:293) om handel med drycker
(LHD) samt lagen (1977:292) om tillverkning av drycker, m.m. (LTD)
med alkohollagen (1994:1738). Alkohollagen kompletterades med alko-
holförordningen (1994:2046) och förordningen (1994:2047) med
instruktion för Alkoholinspektionen. Samtidigt trädde ett nytt avtal mel-
lan staten och Systembolaget AB i kraft (tillkännagivet i SFS 2000:383).
De största förändringarna som denna reform medförde var att de dit-
tillsvarande monopolen för import, export, tillverkning och partihandel
med spritdrycker, vin och starköl ersattes med ett tillståndssystem och att
Alkoholinspektionen inrättades för tillståndsgivning och tillsyn. Vidare
överfördes länsstyrelsernas hantering av serveringstillstånd till kommu-
nerna och det kommunala vetot avskaffades. En annan förändring var att
tillståndskravet för försäljning av folköl ersattes med bestämmelser om
att servering av och detaljhandel med öl fick bedrivas under förutsättning
att vissa villkor var uppfyllda.
Ytterligare förändringar på det alkoholpolitiska området kom genom
propositionen 1998/99:134 Vissa alkoholfrågor, m.m. Däri föreslogs att
de särskilda partihandelstillstånden skulle avskaffas och rätten till parti-
handel och import i stället knytas till vissa förutsättningar i lagen
(1994:1564) om alkoholskatt. Gåvoförsändelser med alkoholdrycker
föreslogs bli tillåtna under förutsättning att det handlar om enstaka för-
sändelser från en enskild person i ett annat land till en enskild person i
Sverige som fyllt 20 år. Köp och innehav av olovligt tillverkad sprit
skulle kriminaliseras. Gällande regler i lagen (1978:763) med vissa
bestämmelser om marknadsföring av alkoholdrycker skulle arbetas in i
alkohollagen och en särskild bestämmelse skulle införas om att alko-
holreklamen inte får rikta sig särskilt till eller skildra barn och ungdomar.
Riksdagen beslutade i enlighet med propositionen och de nya reglerna
trädde i kraft 1 januari 2000 (bet. 1999/2000:SoU4, rskr. 1999/2000:42).
Riksdagen beslutade också i detta sammanhang att Systembolaget AB
skulle få rätt att direktimportera spritdrycker, vin och starköl i samband
med beställningar från privatkunder. För att ytterligare stärka System-
bolaget AB:s service beslöts även att bolagets butiker från och med den
1 januari 2000 får hålla öppet till klockan 20.00 måndag till fredag och
inför storhelger på lördagar. Vidare skulle en försöksverksamhet inledas
med lördagsöppna systembutiker i vissa delar av landet samt antalet
butiker utökas med en ny form av mindre butiker med begränsat sorti-
ment.
I den ovannämnda propositionen anförde regeringen också att det
fanns anledning att begränsa antalet centrala myndigheter inom det drog-
politiska området. En organisationskommitté tillsattes med uppgift att
21
ombilda Folkhälsoinstitutet till en ny myndighet med tydligare uppgifter
av stabsmyndighetskaraktär på folkhälsoområdet (dir. 1999:56). Alko-
holinspektionen skall i samband med detta upphöra som egen myndighet
och ingå i ett ombildat Folkhälsoinstitut. Kommittén överlämnade den
1 juni 2000 betänkandet Statens folkhälsoinstitut - roll och uppgifter
(SOU 2000:57). 1 betänkandet föreslår kommittén att det ombildadc
Folkhälsoinstitutet bl.a. skall ta över Alkoholinspektionens kvarvarande
uppgifter och vara central tillsyns- och uppföljningsmyndighet när det
gäller bestämmelserna i alkohollagen. Folkhälsoinstitutet skall ansvara
för föreskrifter, allmänna råd m.m. i syfte att se till att lagtillämpningcn
blir så riklig och enhetlig som möjligt enligt lagstiftarens intentioner. Det
ombildade Folkhälsoinstitutet skall fungera fullt ut från den 1 juli år
2001.
Prop. 2000/01:97
Alkohollagen är indelad i kapitel. Nedan följer en kort beskrivning av de
grundläggande bestämmelserna.
1 kap. Inledande bestämmelser
I detta kapitel finns definitioner som gäller de produkter och benäm-
ningar m.m. som regleras i lagen. Det anges att sprit är en vätska som
innehåller över 2,25 volymprocent alkohol och att alkoholdryck är en
dryck med samma alkoholhalt. Spritdryck är en alkoholdryck som inne-
håller sprit. Med alkohol avses etylalkohol. Alkoholdrycker indelas i
spritdrycker, vin, starköl och öl.
Vin är en alkoholdryck som har framställts genom jäsning av druvor,
druvmust, bär, frukt eller andra växtdelar samt vissa andra alkohol-
drycker med högst 22 volymprocent alkohol. Öl är en jäst, odestillerad
dryck där torkad eller rostad malt är den huvudsakliga råvaran och vars
alkoholhalt överstiger 2,25 men inte 3,5 volymprocent. Starköl definieras
på samma sätt som öl med den skillnaden att alkoholhalten är högre än
3,5 volymprocent. Med lättdryck avses en dryck som antingen är helt
alkoholfri eller innehåller högst 2,25 volymprocent alkohol.
Tillverkare kallas den som yrkesmässigt tillverkar sprit eller alkohol-
drycker. Med tillverkning av sprit förstås varje förfarande varigenom
alkohol i en koncentration av mer än 2,25 volymprocent framställs eller
utvinns och som inte är vin, starköl eller öl. Med mäsk avses en jäsande
vätska som blir sprit om den får fortsätta att jäsa.
Med begreppet försäljning enligt alkohollagen menas all form av till-
handahållande av dryck mot ersättning. Försäljning till konsument
benämns detaljhandel och försäljning för förtäring på stället kallas ser-
vering. Annan försäljning benämns partihandel, varmed avses försälj-
ning av alkoholdrycker till Systembolaget, annan partihandlare eller
innehavare av serveringstillstånd.
22
2 kap. Tillverkning m.m.
För att bedriva tillverkning av sprit eller alkoholdrycker krävs tillverk-
ningstillstånd, om det inte gäller tillverkning av vin, starköl eller öl i
hemmet för eget behov.
3 kap. Allmänna bestämmelser för försäljning
Här finns framför allt bestämmelserna om åldersgränser för detaljhandel
med och servering av alkoholdrycker. Vid detaljhandel med spritdrycker,
vin och starköl får varor inte säljas eller lämnas ut till den som inte har
fyllt 20 år. Motsvarande gäller vid detaljhandel med folköl och servering
av alkoholdrycker i fråga om den som inte har fyllt 18 år. Den som läm-
nar ut alkoholdrycken skall förvissa sig om att mottagaren har uppnått
föreskriven ålder. Alkoholdrycker får inte heller lämnas ut till den som är
märkbart påverkad av alkohol eller annat berusningsmedel. Det är också
förbjudet att anskaffa alkoholdrycker till den som inte har rätt att köpa
varan själv. Spritdrycker, vin eller starköl får överlämnas som gåva
endast till den som har fyllt 20 år eller om gåvan gäller öl 18 år.
Enligt 3 kap. 4 § skall den som tar befattning med försäljning av alko-
holdrycker se till att ordning och nykterhet råder på försäljningsstället.
4 kap. Partihandel m.m.
Partihandel med spritdrycker, vin eller starköl får bedrivas endast av den
som har godkänts som upplagshavare eller registrerats som varumot-
tagare för sådana varor enligt bestämmelser i lagen om alkoholskatt.
Bestämmelser om alkoholreklam m.m. har förts in under rubriken Sär-
skilda bestämmelser för marknadsföring. Liksom tidigare gäller prin-
cipiellt förbud mot reklam för spritdrycker, vin och starköl med undantag
för facktidskrifter och annonsering på försäljningsställe. Marknadsföring
av alkoholdrycker får inte rikta sig särskilt till eller skildra barn och ung-
domar. Det s.k. gåvoförbudet återfinns numera i 4 kap. 9 §. Förbudet
innebär att det inte är tillåtet att lämna en alkoholdryck som gåva i sam-
band med försäljning av andra varor än alkoholdrycker eller vid mark-
nadsföring av tjänster. Den som tillverkar, säljer eller förmedlar försälj-
ning av alkoholdrycker får i sin rörelse lämna sådan dryck som gåva
endast i form av varuprov.
5 kap. Detaljhandel
I kapitlet anges detaljhandelsbolagets olika försäljningsformer. Närmare
bestämmelser om bolagets verksamhet regleras även i avtal mellan staten
och Systembolaget AB.
Detaljhandel med folköl får bedrivas i lokal som är godkänd som livs-
medelslokal om försäljning av matvaror bedrivs i lokalen.
Prop. 2000/01:97
23
6 kap. Servering
Servering av spritdrycker, vin och starköl får ske endast om serverings-
tillstånd har meddelats. För servering av öl gäller att verksamheten får
bedrivas i en lokal som är godkänd som livsmedelslokal om servering av
mat samtidigt bedrivs i lokalen. För all servering av alkoholdrycker
gäller att den skall ske med återhållsamhet och inte får föranleda olägen-
heter i fråga om ordning och nykterhet.
På serveringsställe med serveringstillstånd skall tillståndshavaren eller
av honom utsedd serveringsansvarig person utöva tillsyn över serve-
ringen och vara närvarande under hela serveringstiden. För servering av
spritdrycker, vin och starköl gäller att all personal måste vara anställd av
tillståndshavaren. Spritdrycker, vin eller starköl får inte medföras till (för
förtäring) eller från en restaurang med serveringstillstånd. På serverings-
ställe utan serveringstillstånd får spritdrycker, vin och starköl inte heller
förvaras eller förtäras. Den som har serveringstillstånd får köpa sprit-
drycker, vin eller starköl som behövs för rörelsen endast av någon som är
berättigad att bedriva partihandel med varan eller av Systembolaget.
Enligt 6 kap. 4 § får, om inte tillståndsmyndigheten beslutar annat,
servering av spritdrycker, vin eller starköl påbörjas tidigast klockan
11.00 och avslutas senast klockan 01.00. Serveringstiderna regleras alltså
av tillståndsmyndigheten, dvs. kommunen.
7 kap. Tillstånd m.m.
Tillverkningstillstånd och inköpslillstånd meddelas av Alkoholinspektio-
nen. Serveringstillstånd meddelas av den kommun där serveringsstället
är beläget och kan gälla för servering av spritdrycker, vin eller starköl till
allmänheten eller till förening, företag eller annat slutet sällskap. Till-
ståndet kan avse tillfällig eller stadigvarande servering. För tillstånd
krävs att sökanden visar att han är lämplig att utöva verksamheten. För
stadigvarande servering till allmänheten krävs dessutom att lokalen har
ett kök för allsidig matlagning och tillhandahåller lagad mat. En ansökan
om serveringstillstånd kan avslås om serveringen befaras medföra
olägenheter från alkoholpolitisk synpunkt. Kommunen har rätt att ta ut
avgift för tillståndsprövning och tillsyn.
Tillståndsmyndigheten skall återkalla tillståndet bl.a. om tillstånds-
havaren inte följer de för tillståndet gällande bestämmelserna.
Kommunen kan förbjuda den som bedriver detaljhandel med eller ser-
vering av öl att fortsätta denna verksamhet bl.a. om bestämmelserna i
alkohollagen inte följs. Ett sådant Jorsciljningsförbud gäller i sex måna-
der.
8 kap. Tillsyn m.m.
I detta kapitel regleras huvuddragen i tillsynen enligt alkohollagen. Det
är f.n. Alkoholinspektionen som utövar central tillsyn över efterlevnaden
av bestämmelserna i alkohollagen och som också meddelar allmänna råd
och föreskrifter. Den regionala tillsynen utövas av länsstyrelserna. I detta
ligger också tillsyn över kommunernas tillämpning av lagen. Den lokala
tillsynen över efterlevnaden av bestämmelserna om servering av alkohol-
Prop. 2000/01:97
24
drycker och detaljhandel med folköl ankommer på kommunen och polis-
myndigheten. I dessa sammanhang är det kommunen som har huvud-
ansvaret för den fortlöpande tillsynen.
Tillstånds- och tillsynsmyndigheter, dvs. Alkoholinspektionen, kom-
munen, länsstyrelsen och polismyndigheten, har en underrättelseskyldig-
het, dvs. de skall informera varandra. Vidare har kronofogde- och
skattemyndigheter viss skyldighet att lämna uppgifter som behövs för
tillståndsprövning och tillsyn.
En tillståndshavare är skyldig att lämna tillträde till lokalen m.m., och
bokföring i rörelse som är tillståndspliktig skall vara så utformad att
kontroll av verksamheten är möjlig. Tillståndshavaren är dessutom skyl-
dig att lämna statistiska uppgifter om försäljningen av spritdrycker, vin
och starköl. Motsvarande gäller den som är berättigad att bedriva parti-
handel med spritdrycker, vin och starköl. Tillsynsmyndighet kan begära
upplysningar och handlingar och göra inspektioner även hos den som
bedriver detaljhandel med eller servering av folköl. Polismyndigheten
skall lämna det biträde som behövs för tillsynen.
9 kap. Överklagande
Beslut enligt lagen gäller omedelbart, om inte något annat anges i beslu-
tet. Både Alkoholinspektionens och kommunens beslut får överklagas till
förvaltningsdomstol, dvs. länsrätt. Prövningstillstånd krävs vid överklag-
ande till kammarrätten.
10 kap. Ansvar m.m.
I detta kapitel finns straffbestämmelserna i alkohollagen, vilka huvud-
sakligen tar sikte på olovlig tillverkning och olovlig försäljning av alko-
holdrycker. Även förvärv och innehav av olovligt tillverkad sprit liksom
innehav av spritdrycker, vin eller starköl i uppenbart syfte att olovligen
sälja dem är straffbart.
Den som säljer eller lämnar ut alkoholdryck till någon som inte har
uppnått föreskriven ålder eller som är märkbart påverkad av alkohol eller
annat berusningsmedel kan dömas för olovlig dryckeshantering. Det-
samma gäller bl.a. den som säljer öl i strid med av kommunen meddelat
försäljningsförbud. Att uppsåtligen eller av oaktsamhet anskaffa alkohol-
drycker till någon som inte har rätt att själv införskaffa drycken (s.k.
langning) är straffbart som olovligt anskaffande av alkoholdrycker. I
detta fall kan, om brottet är grovt, dömas till fängelse i högst fyra år.
11 kap. Förverkande
Sprit, alkoholdrycker, mäsk, destillationsapparater, filtreringsmedel m.m.
som varit föremål för brott enligt bestämmelserna i 10 kap. skall förkla-
ras förverkade. De kan därmed också tas i beslag enligt rättegångsbalken.
Prop. 2000/01:97
25
12 kap. Register
Ett centralt register skall finnas hos Alkoholinspektionen med uppgifter
rörande tillverknings- och serveringstillstånd. I kapitlet regleras bl.a.
vilka uppgifter om fysiska och juridiska personer som registret får inne-
hålla.
Prop. 2000/01:97
Regeringens förslag: Systembolaget AB ges rätt att sälja sprit-
drycker, vin och starköl vid auktion för annans räkning. Närmare rikt-
linjer ges i avtalet mellan staten och bolaget. Systembolaget AB ges
också rätt att ordna provningar av alkoholdrycker för allmänheten
enligt riktlinjer i avtalet mellan staten och bolaget. Vidare skall retur-
försäljning av enstaka partier av varor få ske till någon som har rätt att
bedriva partihandel med sådana varor. Även innehavare av serve-
ringstillstånd ges rätt till sådan återförsäljning. Kronofogdemyndig-
heten ges rätt att sälja utmätta alkoholvaror.
Alkoholutredningens förslag: Överensstämmer med regeringens.
Remissinstanserna: Riksskatteverket påpekar att det bör klargöras om
returförsäljning från Systembolaget är avdragsgill för upplagshavama
enligt 32 § a eller c i alkoholskattelagen. Eftersom det finns utrymme för
försäljning till annan än den ursprunglige säljaren är det svårt att använda
begreppet återgång av köp i de fallen. Avdragsrätt torde dock alltid före-
ligga enligt c. Riksskatteverket påpekar vidare att egendom som säljs på
exekutiv auktion inte alltid är utmätt och att bestämmelsen bör omarbetas
till att omfatta samtliga fall. Sprit & Vinleverantörsföreningen avvisar
förslaget till Systembolagets returförsäljningsrätt av enstaka partier på
grund av att lager som inte sålts är ett internt problem som Systembola-
get kan lösa på annat sätt och att det finns risk för att partiet realiseras till
en annan partihandlare.
Skälen för regeringens förslag: Grundprincipen för den svenska
alkoholpolitiken är att motverka alkoholens skadeverkningar. Samtidigt
är alkoholdrycker ett naturligt inslag i många människors liv och flertalet
svenskar använder alkohol utan att konsumtionen medför skaderisker.
Restriktionerna i alkoholhanteringen bör därför begränsas till sådana som
av en bred allmänhet uppfattas som meningsfulla. Under förutsättning att
vinauktioner förbehålls syftet att endast omfatta värdefulla samlarobjekt,
vilka dessutom ofta inte ens konsumeras, är det svårt att se några alko-
holpolitiska olägenheter i samband med att sådana varor skulle få säljas
på särskilda auktioner. De produkter som dylika auktioner skulle omfatta
kan svårligen uppfattas som uppmuntrande till missbruk.
Enligt alkohollagen (1994:1738) är det endast Systembolaget AB som
får bedriva detaljhandel med spritdrycker, vin och starköl. Auktion är
också en form av detaljhandel. Ätt öppna nya försäljningskanaler utanför
Systembolaget skulle kunna innebära att detaljhandelsmonopolet urhol-
kas. Skall auktioner av alkoholdrycker tillåtas måste sådan försäljning i
26
så fall ske genom Systembolagets försorg. En sådan möjlighet bör i prin-
cip begränsas till att omfatta endast varor med ett visst samlarvärde. Med
hänsyn till att bolagets monopolställning även medför vissa skyldigheter
är det också nödvändigt att slå fast att bolaget, i dessa fall, inte är skyl-
digt att ta emot alla produkter som erbjuds för auktion. Dessa begräns-
ningar bör göras för att undvika att auktioner används för andra syften,
t.ex. för att marknadsföra nya spritdrycker, alkoläsk m.m.
Utöver ett tillägg i alkohollagen, vilket gör det möjligt för detaljhan-
delsmonopolet att kunna ta emot spritdrycker, vin eller starköl för auk-
tionsändamål, förutsätter en rätt att bedriva auktionsverksamhet vissa
tillägg i Systembolagets avtal med staten. Dessa bör innebära bl.a. att
bolaget för privatpersoners räkning får disponera alkoholvaror för auk-
tionering och att bolaget har rätt att ta ut en avgift för att täcka kostna-
derna i samband med detta. Auktionsvaroma måste uppfylla vissa kvali-
tetsnormer, vilka får fastställas i särskild ordning.
Många olika aktörer - både kommersiella och icke kommersiella -
anordnar provningar av alkoholdrycker. Det finns emellertid i dag ingen
möjlighet för Systembolaget att anordna sådana provningar i butikerna.
Det torde ligga i linje med bolagets strävan att förmedla en god dryckes-
kultur att ordna provningar ledda av Systembolagets personal. Provning-
arna kan syfta till att öka kunskaperna om t.ex. smaktyper, vinområden,
vinodling, produktion, druvsorter samt om mat och dryck. När det bl.a.
gäller kvalitetsviner i de övre prisklasserna finns också ett starkt önske-
mål från olika vinföreningar, bl.a. vinföreningen Munskänkarna som har
över 14 000 medlemmar i lokalavdelningar över hela landet, att mot
betalning kunna delta i av Systembolaget arrangerade vinprovningar.
Det är svårt att se några alkoholpolitiska olägenheter med att detalj-
handelsmonopolet erbjuder sina kunder sådana möjligheter. Inte heller
medför det risker för kringgående av kraven för serveringstillstånd. I sak
anser regeringen det dessutom rimligt att det tillskapas en möjlighet för
bolaget att genom provningar förmedla kunskaper om en god dryckes-
kultur. Regeringen föreslår därför att det i alkohollagen öppnas en
möjlighet för Systembolaget att bedriva provning av spritdrycker, vin
och starköl för allmänheten enligt närmare riktlinjer i avtalet mellan
staten och bolaget.
När det gäller Systembolagets partihandelsrätt så får bolaget inte
bedriva annan partihandel än försäljning till dem som har serveringstill-
stånd. Begränsningen har tillkommit för att undvika sammanblandning
av monopoliserad detaljhandel och konkurrensutsatt partihandel och för
att bolaget inte skall kunna bedriva konkurrerande verksamhet med andra
partihandlare. Detta gäller fortfarande, men frågan är om inte den nu-
varande regeln träffar mer än vad som är motiverat. Enligt regeringens
uppfattning faller returförsäljning av enstaka partier av varor till en parti-
handlare något vid sidan av partihandel i vanlig mening och bör inte
kunna komma i konflikt med de önskemål som föranlett den nuvarande
regeln. Några problem från konkurrenssynpunkt borde inte uppkomma
om återförsäljning tillåts. Från alkoholpolitisk synpunkt är detta betydel-
selöst. Enligt regeringens mening saknas därför skäl att motsätta sig att
Systembolaget får sälja tillbaka enstaka partier av varor till partihandlare.
Prop. 2000/01:97
27
Regeringen föreslår att från begränsningen av detaljhandelsmonopolets
partihandelsrätt undantas sådan returförsäljning, genom ett tillägg i
5 kap. 1 § tredje stycket alkohollagen.
Detta väcker också frågan om de liknande behov som kan uppstå för
en innehavare av serveringstillstånd. Regeringen menar att motsvarande
rätt till återförsäljning bör införas för dem med serveringstillstånd genom
ett tillägg i 4 kap. 1 § alkohollagen.
Det förekommer vidare att kronofogdemyndigheter utmäter sprit-
drycker, vin och starköl efter beslut om indrivning av obetalda skulder.
Med dagens regler kan kronofogdemyndigheten inte avyttra dessa
drycker. Enligt regeringens mening bör denna myndighet ges rätt till att
sälja sådana varor till någon som är berättigad att bedriva partihandel
eller till Systembolaget. Detta kan lämpligen ske genom ett tillägg i
4 kap. 6 § alkohollagen.
Prop. 2000/01:97
Regeringens förslag: Systembolaget AB får ha öppet på lördagar
längst till klockan 15.00 i hela landet. Konsekvenserna av lördags-
öppet i systembolagsbutikema skall följas löpande.
Skälen för regeringens förslag: I enlighet med riksdagens beslut den
19 november 1999 (prop. 1998/99:134, bet. 1999/2000:SoU4, rskr.
1999/2000:42) startade Systembolaget AB i februari 2000 en försöks-
verksamhet med lördagsöppna butiker i Norrbottens län, Västerbottens
län, Jämtlands län, Västemorrlands län, Stockholms län och Skåne län.
Försöket skall enligt riksdagsbeslutet följas löpande och utvärderas
vetenskapligt efter ett år. Professor Thor Norström vid Institutet för
social forskning, Stockholms Universitet och professor Olc-Jörgen Skog
vid Senter för höyere studier, Det norske videnskapsakademi har på
regeringens och Systembolaget AB:s uppdrag påbörjat en utvärdering av
Systembolagets försöksverksamhet med lördagsöppna systembutiker i
nämnda län. Forskarna har den 31 januari 2001 presenterat en delrapport
som baseras på erfarenheterna från de första tio månaderna av försöket.
Delrapporten redovisas i sin helhet i bilaga 3. En slutrapport som omfat-
tar 12 månaders försöksverksamhet presenteras före sommaren 2001.
Inom ramen för utvärderingen av försöksverksamheten har även två
opinionsundersökningar genomförts. Den första utfördes före försöks-
perioden (december 1999) och den andra efter 10 månaders försöksverk-
samhet (december 2000). Antalet genomförda intervjuer var vid båda
tillfällena cirka 3000. Undersökningarna visar på en klar majoritet som
tycker att Systembolaget skall ha öppet på lördagar. Andelen ökade
också något mellan mättillfällena, från 68 procent till 76 procent.
Rapporten redovisas i sin helhet i bilaga 4.
Utvärderingen av försöket med lördagsöppet bygger på en utvärde-
ringsplan med tre experimentområden bestående av Nordsverige (Norr-
bottens län, Västerbottens län, Jämtlands län, Västemorrlands län),
Stockholms län samt Skåne län och ett kontrollområde bestående av
Värmlands län, Örebro län, Västmanlands län, Östergötlands län, Kalmar
län, Jönköpings län och Västra Götalands län. I delrapporten har effekten
28
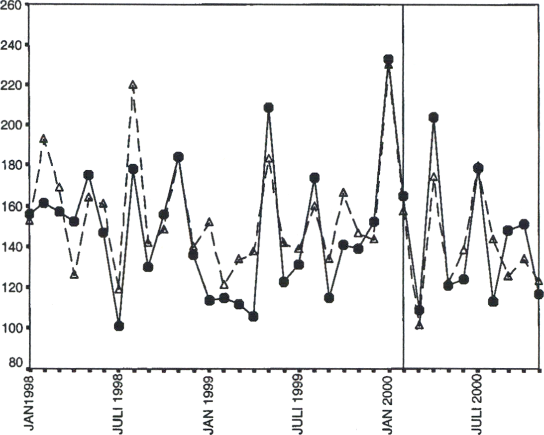
av lördagsöppet skattats på dels alkoholförsäljningen, dels olika skade-
indikatorer som misshandel mot kvinnor inomhus där offer och gär-
ningsman är bekanta, misshandel utomhus, misshandel totalt samt ratt-
fylleri. Effekten av lördagsöppet har skattats genom statistiska analyser
av hur försäljning och skador utvecklats i experimentområdet jämfört
med kontrollområdet. På detta sätt minskas risken för att andra faktorer
än lördagsöppet skall snedvrida resultaten, men som alltid vid statistiska
undersökningar finns det vissa felmarginaler. För att kunna se om en
eventuell avvikelse under perioden för lördagsöppet faller utanför de
normala fluktuationerna, baseras analyserna på data för varje månad
under de senaste 5-6 åren.
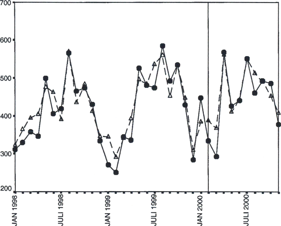
Av forskarnas delrapport framgår att sedan lördagsöppet infördes den
5 februari 2000 har alkoholförsäljningen ökat mer i experimentområdet
än i kontrollområdet. Starkölsförsäljningen har ökat netto med
7,4 procent, vinförsäljningen med 1,8 procent och försäljningen av sprit-
drycker med 3,0 procent. För alkoholförsäljningen totalt uppgår netto-
ökningen till 3 procent. Alla förändringarna är statistiskt säkerställda och
skillnaderna mellan de tre enskilda experimentområdena är små.
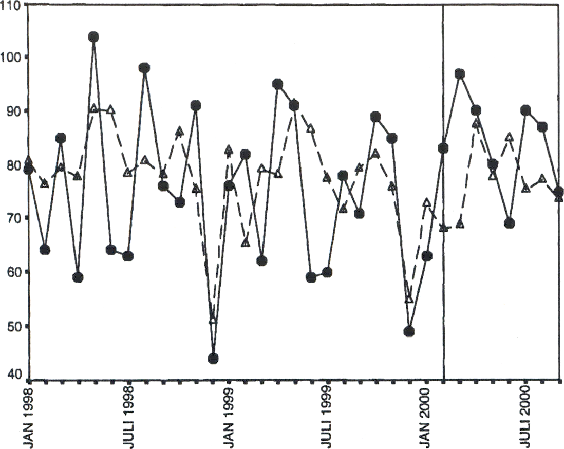
När det gäller de olika skadeindikatorema som analyserats är det
utvecklingen under lördag-söndag som fokuserats, eftersom eventuella
effekter borde kunna antas vara koncentrerade till dessa dagar. Enligt
undersökningsresultaten visar ingen av indikatorerna på misshandel
någon klar ökning vid jämförelser mellan experiment- och kontrollområ-
den. Alla förändringar när det gäller misshandel ligger inom slump-
marginalen. Antalet rattfylleribrott ökade dock mera i experimentom-
rådet än i kontrollområdet, speciellt då i Stockholms län. Analyserna
tyder dock på att denna ökning kan bero på polisens riktade kontroller
mot områden nära lördagsöppna systembutiker. Om tidsintervallet för
jämförelsen i stället görs från lördag kl. 14.00 till söndag kl. 14.00 är
uppgången i antalet rattfylleribrott inte längre lika markant och ligger då
inom den statistiska felmarginalen.
Forskarnas rapport visar enligt regeringens uppfattning att de farhågor
många hade om ökat våld i samhället om systembolagsbutikema tilläts
ha lördagsöppet inte har infriats. Det har inte blivit några större föränd-
ringar när det gäller misshandel, rattfylleri eller andra alkoholrelaterade
brott sedan försöksperioden startades för ett år sedan. Alla förändringar
när det gäller skadeindikatorema som forskarna har undersökt ligger
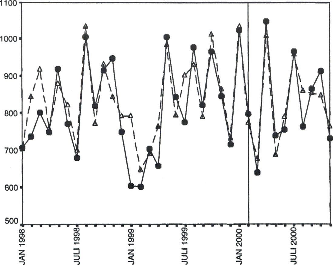
inom felmarginalen. Regeringen föreslår därför att Systembolaget AB
från den 1 juli 2001 får ha öppet på lördagar längst till klockan 15.00 i
hela landet. Konsekvenserna av lördagsöppet i systembolagsbutikema
skall dock följas löpande av Statens folkhälsoinstitut inom ramen för
dess uppföljnings- och utvärderingsansvar och omfatta såväl effekter på
folkhälsan som effekter på misshandels- och brottsutveckling.
Regeringens bedömning: Ingen ändring bör göras när det gäller
verkställighet av beslut enligt alkohollagen (1994:1738).
Prop. 2000/01:97
Alkoholutredningens bedömning: Överensstämmer med regeringens.
29
Remissinstanserna: Justitieombudsmannen anser att en ordning där
möjligheten att verkställa ett beslut beror på om beslutet vunnit laga kraft
bör övervägas. Domstolarna har möjlighet att förordna rörande saken,
och kommunen kan ges behörighet att förordna om omedelbar verkstäl-
lighet.
Skälen för regeringens bedömning: Beslut enligt alkohollagen
(1994:1738) gäller omedelbart. Svenska Restauratörförbundet (SRF) har
begärt att alkohollagen ändras så att huvudregeln är att beslut enligt lagen
verkställs när det vunnit laga kraft och att endast när det finns synnerliga
skäl bör beslutet gälla omedelbart.
I de allra flesta fall återkallas ett serveringstillstånd på grund av eko-
nomiska oegentligheter, allmän oordning/onykterhet eller alkoholser-
vering till underåriga. Den allmänt rådande inställningen hos tillstånds-
myndighetema är att det inte går att vänta med verkställighet av återkal-
lelser i sådana fall. Ett skäl till detta är att tillståndshavare som vet att
serveringstillståndet skall återkallas tenderar att ta ut så mycket som
möjligt ur företaget den sista tiden. Detta kan innebära att tillståndshava-
ren åsidosätter ännu fler regler i alkohollagen. Det finns enligt Alkohol-
utredningen många exempel på detta under årens lopp. Arbetet med
Operation Krogsanering i Stockholms län har bl.a. givit erfarenheten att
när det gäller restaurangrörelser som är ekonomiskt misskötsamma gäller
det att verkställa återkallelscr snarast möjligt, annars är risken stor att
företagaren “dränerar” restaurangföretaget på alla tillgångar den sista
tiden.
Alkoholutredningen har beskrivit förutsättningarna för en ändring av
9 kap. 1 § alkohollagen av innebörd att ett beslut enligt alkohollagen
verkställs först när det vunnit laga kraft. Detta skulle innebära ett slags
omvänd presumtion, varigenom kommunen tvingas ta ställning till
beslutets verkställighet. En sådan ordning riskerar dock att medföra att
det kan dröja flera år innan en återkallelse verkställs. Det kan enligt
regeringens uppfattning te sig stötande om de förhållanden som föranlett
återkallelsen tillåts fortsätta under lång tid utan några konsekvenser. Det
normala är också att förvaltningsbeslut av denna typ gäller omedelbart.
Regeringen finner därför liksom Alkoholutredningen att det inte finns
tillräckliga skäl att föreslå någon annan ordning när det gäller alkohol-
lagen.
Regeringen vill dock erinra om de möjligheter som finns att begära
inhibition enligt förvaltningsprocesslagen (1971:291). Kommunen bör
också i varje enskilt ärende överväga om verkställigheten av beslutet kan
eller bör skjutas upp till dess det vunnit laga kraft. Det är angeläget att
kommunerna är medvetna om att verkställighetsfrågan ibland kan vara
tveksam och att de vid behov utnyttjar den undantagsmöjlighet som
finns. Enligt regeringens mening bör emellertid uppskov med verkstäl-
lighet av en återkallelse normalt inte komma i fråga vid ordningsstör-
ningar eller servering till underåriga.
Prop. 2000/01:97
30
Prop. 2000/01:97
Regeringens bedömning: Det bör inte införas någon möjlighet för en
annan myndighet att överklaga kommunala beslut om tillstånd enligt
alkohollagen (1994:1738).
Alkoholutredningens bedömning: Överensstämmer med regeringens.
Remissinstanserna: Alkoholinspektionen, Arboga kommun och Före-
ningen länsstyrelsernas alkoholhandläggare framför att det vore värde-
fullt att i vissa fall kunna föra kommunala beslut om att meddela serve-
ringstillstånd till överprövning för att kunna verka för en så riktig och
enhetlig rättstillämpning som möjligt. Blåbandsrörelsen anser att närbo-
ende och andra direkt berörda samt grannkommuner skall ha klagorätt.
IOGT-NTO och Sveriges landsråd för alkohol- och narkotikafrågor anser
att berörda myndigheter, som räddningsnämnder, Lotteriinspektionen
och länsstyrelserna, och kommunens invånare bör ges klagorätt. Länssty-
relsen i Kronobergs län anser att Statens folkhälsoinstitut bör få rätt att
överklaga, om särskilda skäl finns. Länsstyrelsen i Stockholms län anser
att länsstyrelserna eller annan statlig myndighet bör ges överklaganderätt
för att komma tillrätta med kommunernas direkt felaktiga rättstillämp-
ning. Alternativt kan kommunerna meddelas förelägganden. Länsrätten i
Skåne län ifrågasätter om det genom vitesförelägganden går att komma
åt kommuner som låter näringspolitiska hänsyn överväga eftersom ett
sådant föreläggande torde behöva avse det enskilda ärende i vilket kom-
munen redan fattat beslut. Länsrätten ifrågasätter också om det går att
komma åt fall där kommunen underlåter att fatta beslut eller drar ut på
handläggningen. Ett alternativ vore att låta länsstyrelsen bli tillsyns- och
tillståndsmyndighet med en generell delegationsrätt till kommunen.
Möjligheten bör utredas.
Skälen för regeringens bedömning: Branschsaneringsutredningen
föreslog att Alkoholinspektionen skulle få överklaga kommunernas
beslut i ärenden om serveringstillstånd och att kommunen skulle ge läns-
styrelsen möjlighet att yttra sig i tillståndsärenden. Se betänkandet
Branschsanering - och andra metoder mot ekobrott (SOU 1997:111).
Regeringen överlämnade dessa frågor till Alkoholutredningen för ytter-
ligare överväganden.
Det har nu gått över fyra år sedan kommunerna blev tillståndsmyndig-
heter enligt alkohollagen (1994:1738). Under denna tid har kommuner-
nas ekonomiska och juridiska kompetens klart förbättrats. Alkohol-
inspektionens utvärdering av kommunaliseringen av serveringsärenden
visar att kommunerna i huvudsak har klarat uppgiften bra. Kommunernas
kompetens ifrågasätts inte längre på samma sätt som i Branschsanerings-
utredningens betänkande.
Däremot förekommer det att kommunernas politiska nämnder ibland
tar andra hänsyn än rent alkoholpolitiska vid beslut om serveringstill-
stånd. Om en möjlighet till överprövning av kommunala beslut enligt
alkohollagen skall införas handlar det alltså inte i första hand om att
komma till rätta med bristande ekonomisk och juridisk kompetens utan
snarare om åtgärder mot politiskt lagtrots.
Regeringen har övervägt om beslut som står i strid med alkohollagen
bör kunna överprövas eller om felaktiga beslut kan rättas till på annat
31
sätt. Inom andra områden med kommunalt ansvar förekommer också
beslut som inte alltid står i överensstämmelse med lagstiftningens inten-
tioner. Det normala förfaringssättet i dylika fall är då att länsstyrelsen,
Socialstyrelsen eller annan tillsynsmyndighet påtalar detta för kommu-
nen. Däremot kan man normalt inte tvinga kommunen att ändra sitt
beslut. Ytterst kan de politiskt valda förtroendemännen ställas till ansvar
och dömas till böter eller fängelse om man medvetet tar beslut i strid med
gällande lag. Dessa frågor utreds närmare av Justitiedepartementet (se
promemorian Kommunalt domstolstrots Ds 2000:53). I detta samman-
hang kan nämnas att några förslag om att införa möjlighet till överpröv-
ning av kommunens beslut inte har framförts av de utredningar som tidi-
gare funderat över problemet med kommunalt domstols- och lagtrots.
Den väg som oftast anvisas är vitesföreläggande, antingen mot kommu-
nen som sådan eller mot de förtroendevalda. Enligt regeringens mening
ter sig detta som en mera lämplig väg än en möjlighet till överprövning
av kommunernas beslut när det gäller att komma till rätta med felaktiga
kommunala beslut även på alkoholområdet.
Enligt 7 a § förvaltningsprocesslagen (1971:291) skall, om den
enskilde överklagar en förvaltningsmyndighets beslut, den myndighet
som först beslutade i saken vara den enskildes motpart i domstol. Denna
bestämmelse har införts i samband med genomförandet av den s.k. obli-
gatoriska tvåpartsprocessen i förvaltningsdomstol. Normalt är det alltså
den enskilde sökande samt kommunen som är parter i ett mål om ser-
veringstillstånd. Enligt regeringens mening bör det allmänna intresset i
mål av här aktuellt slag inte tillvaratas av mer än en myndighet. Då
beslutanderätten i tillståndsärenden ligger hos kommunen blir också detta
en uppgift för kommunen. Ett alternativ är självfallet att återgå från en
kommunal till en statlig tillståndsgivning. Detta ter sig dock som ett väl
drastiskt steg för att komma till rätta med de aktuella problemen. Som
Alkoholutredningen har anfört förefaller det vara en mera lämplig väg att
öka befogenheterna för vederbörande tillsynsmyndighet, främst läns-
styrelsen, att t.ex. genom föreläggande försöka förmå kommunen att
själv ändra ett felaktigt beslut. I denna del anser regeringen emellertid att
Justitiedepartementets allmänna översyn beträffande kommunalt dom-
stolstrots måste avvaktas. Sammanfattningsvis anser därför regeringen
inte att någon statlig myndighet bör ges rätt att överklaga beslut om ser-
veringstillstånd. Frågan om eventuella andra åtgärdsmöjligheter bör tas
upp inom ramen för den allmänna diskussionen om sanktioner mot
kommunalt domstolstrots.
Remisstvånget till länsstyrelsen har under övergångsåren inneburit ett
omfattande dubbelarbete hos kommuner och länsstyrelser. Branschsane-
ringsutredningen föreslår att detta förfarande skall återinföras. Länssty-
relserna skall emellertid också utöva tillsyn över kommunernas hand-
läggning, och har därigenom redan i dag rätt att kräva in kommunens
handlingar för en närmare granskning i det enskilda fallet. Detta får anses
tillgodose syftet med det tidigare remissförfarandet. Någon formell ytt-
randerätt för länsstyrelserna bör därför enligt regeringens uppfattning
inte återinföras.
Frågan om kommunen kan vara jävig vid beslut om serveringstillstånd
har påtalats från restaurangbranschens organisationer. Jävssituationer
uppträder dock även inom andra kommunala områden. Enligt kommu-
Prop. 2000/01:97
32
nallagens (1991:900) bestämmelser får därför inte en kommunal nämnd
utöva i lag eller annan författning föreskriven tillsyn över sådan verk-
samhet som man själv bedriver. Dessa funktioner måste vara uppdelade
på olika nämnder. I övrigt skall kommunens beslut inom olika områden
bevakas av tillsynsmyndigheterna; vanligen i första hand länsstyrelserna.
Regeringen, som också hänvisar till vad som anförts om sanktion mot
kommunalt domstolstrots, anser inte att det finns skäl att överväga några
särregler för alkoholområdet.
Prop. 2000/01:97
Regeringens förslag: Vägledande för tillståndsmyndighetens pröv-
ning vid bestämmandet av serveringstid skall vara risken för alkohol-
politiska olägenheter. Bestämmelsen om tider för servering av öl slo-
pas och eventuella olägenheter i samband med ölservering får mötas
med förbud i enskilda fall.
Regeringens bedömning: Statens folkhälsoinstitut bör få i uppdrag
att i samarbete med företrädare för restaurangnäringen, de fackliga
organisationerna, polismyndigheten och kommunerna utarbeta ett
gemensamt åtgärdsprogram. Programmet bör syfta till att åstadkomma
en ansvarsfull hantering av alkoholdrycker, tidigareläggning av restau-
rangvanor, rökfrihet på serveringsställen och till att motverka före-
komsten av narkotika på serveringsställen.
Alkoholutredningens förslag: Servering av spritdrycker, vin och
starköl till allmänheten skall avslutas senast klockan 03.00 i hela landet.
Tillståndsmyndigheten beslutar dock om stängningstid.
Remissinstanserna: Följande remissinstanser avstyrker förslaget att
avskaffa normaltiden för servering. Alkoholinspektionen, Arboga kom-
mun, Blåbandsrörelsen, Borlänge kommun, Brottsförebyggande rådet,
Folkhälsoinstitutet, Föreningen Länsstyrelsernas Alkoholhandläggare,
IOGT-NTO, Kommunala alkoholhandläggares förening, Länsrätten i
Stockholms län, Länsstyrelsen i Gävleborgs län, Länsstyrelsen i Krono-
bergs län, Länsstyrelsen i Stockholms län, Länsstyrelsen i Västra Göta-
lands län, Malmö kommun, Munkfors kommun, Sotenäs kommun,
Sveriges Landsråd för alkohol- och narkotikafrågor, Södertälje kommun,
Tanums kommun, Ungdomens nykterhetsförbund, Årjängs kommun,
Örebro kommun och Östersunds kommun. De anser att den nuvarande
normaltiden långt ifrån spelat ut sin roll. Tvärtom är den norm i ett stort
antal kommuner och det kan befaras att den föreslagna sluttiden för ser-
vering i stället kommer att uppfattas som normaltid. En förändring skulle
leda till att serveringstiderna förlängs i de flesta fall, och det har inte varit
avsikten med förslaget. Farhågor för att brottsligheten skall öka har också
framförts.
Följande remissinstanser har riktat kritik mot förslaget att inskränka
serveringstiden till kl. 03.00. Föreningen Länsstyrelsernas Alkohol-
handläggare, Göteborgs kommun, Helsingborgs kommun, Huddinge
33
2 Riksdagen 2000/01. 1 saml. Nr 97
kommun, Kalmar kommun, Länsstyrelsen i Västra Götalands län, Malmö
kommun, Polismyndigheten i Skåne län, Riksrevisionsverket, ett antal
skånska restauranger och nattklubbar inklusive drygt 8 000 namnunder-
skrifter från kroggäster, Sotenäs kommun, Stockholms kommun, Svenska
Kommunförbundet, Tanums kommun och Uppsala kommun. Skälen för
deras kritik är främst att kommunerna anses ha kännedom om förhållan-
dena på orten och därmed också vilken serveringstid som fungerar bäst i
det enskilda fallet. Serveringstid till kl. 05.00 har fungerat bra på olika
orter i Skåne och där utgör också närheten till danska serveringsställen
att restaurangägarna utsätts för konkurrens. Antalet svartklubbar befaras
öka om serveringstiderna minskas. Risken för ordningsstömingar ökar
också om alla krogar stänger kl. 03.00 då alla kroggäster skall ta sig hem
vid denna tidpunkt. Konsekvenserna av en kortare serveringstid har inte
analyserats tillräckligt ingående. En ändring kan medföra ökad alkohol-
förtäring utanför samhällets kontroll och ökad organiserad kriminalitet.
Arboga kommun och Polismyndigheten i Halland anser att den maximala
serveringstiden bör begränsas till kl. 02.00. Polismyndigheten i
Stockholms län anser att den maximala serveringstiden skulle kunna be-
gränsas mer, exempelvis till kl. 01.00. Föreningen Länsstyrelsernas
Alkoholhandläggare anser att kommunerna bör ges rätt att besluta om
serveringstid före kl. 11.00. Rikspolisstyrelsen anser att det är tveksamt
om en lagbestämmelse om tidsram för serveringstillstånd verkligen
behövs. Alkoholpolitik och utskänkningstillstånd har stor betydelse för
polisens resursåtgång - och polisen är underdimensionerad. Vad som är
lämplig sluttid varierar avsevärt, bl.a. på grund av lokala förhållanden.
Det finns en risk för att lagförslaget uppfattas så att servering normalt
skall få fortgå till kl. 03.00, även på platser där det vore lämpligare med
01.00 eller ännu tidigare som normaltid. Ett lokalt ansvar, där betydande
hänsyn tas även till brottsförebyggande aspekter, kan leda till bättre för-
hållanden. Länsstyrelsen i Stockholms län ser inga hinder för att låta ser-
veringen börja redan före kl. 11.00. Svenska bryggareföreningen anser
att tidsgränserna för servering borde slopas helt och att serveringstiderna
borde överlåtas helt åt kommunerna att bestämma.
Följande remissinstanser avstyrker att den s.k. utrymningstiden avskaf-
fas och att kommunen i stället ges rätt att besluta om stängningstid. Alko-
holinspektionen, Borlänge kommun, Föreningen länsstyrelsernas alko-
holhandläggare, Kalmar kommun, Kommunala alkoholhandläggares
förening, Länsgruppen i Kalmar län, Länsstyrelsen i Gävleborgs län,
Länsstyrelsen i Stockholms län, Länsstyrelsen i Västra Götalands län,
Malmö kommun, Polismyndigheten i Stockholms län, Årjängs kommun,
Örebro kommun och Östersunds kommun. Skälen för deras avstyrkande
är främst att kontrollen försvåras. Det kan befaras att gästerna gör stora
beställningar omedelbart före serveringstidens slut, och det går inte vid
en inspektion att klargöra när alkoholdrycken försålts. Det öppnar för
oseriösa tillståndshavare att servera även efter serveringstidens utgång.
Även seriösa tillståndshavare kan få problem med upprörda gäster som
ifrågasätter att de inte blir serverade. Eftersom den personal som behövs
nattetid medför en stor kostnad är det också tveksamt om en seriös till-
ståndshavare har ekonomisk möjlighet att ha sitt ställe öppet som
“värmestuga” utan servering. Någon remissinstans har också framfört att
det kan befaras öka narkotikaförsäljningen i krogmiljön och att risken för
Prop. 2000/01:97
34
störningar av de närboende ökar. Karlstads kommun anser att kommu-
nerna bör få bestämma lite senare stängningstid än dagens 30 minuter
efter serveringstidens slut. Länsstyrelsen i Kronobergs län anser att
nuvarande ordning bör finnas kvar, men att tillsynsmyndigheten skall ges
rätt att meddela förlängd stängningstid om särskilda skäl finns. Alkohol-
inspektionen, Borlänge kommun, Blåbandsrörelsen, IOGT-NTO, Kom-
munala alkoholhandläggare förening och Örebro kommun anser att tids-
begränsningarna kring folkölsförsäljning inte skall slopas utan följa övrig
servering. Kalmar kommun anser att tiden för servering och detaljhandel
med folköl bör vara begränsad till kl. 07.00-01.00.
Skälen för regeringens förslag och bedömning: Frågan om restau-
rangernas öppethållande har betydelse dels för boende i serveringsställets
närhet, eftersom det finns en påtaglig stömingsrisk från restauranger med
serveringstillstånd, dels för polisens arbete med att upprätthålla ordning
och säkerhet. Frågan har vidare en rent alkoholpolitisk betydelse efter-
som ökad tillgång på alkoholdrycker ofta leder till ökad alkoholkonsum-
tion och därmed ökade skadeverkningar.
Den nuvarande bestämmelsen om serveringstider i 6 kap. 4 § alkohol-
lagen (1994:1738) kan kritiseras från den synpunkten att den i realiteten
är tämligen innehållslös. Om tillståndsmyndigheten finner att andra tider
än de som anges i lagtexten bör gälla, är den fri att besluta om detta.
Lagtexten innehåller inga begränsningar härvidlag. Inte heller anges
några kriterier för när de angivna tiderna kan få frångås av tillstånds-
myndigheten.
Allt fler kommuner beslutar om andra serveringstider, främst senare
sluttider, än de som anges i lagstiftningen. Denna utveckling förstärks av
att restaurangföretag som inte medgetts den senare sluttiden genom över-
klagande ändå kan lyckas genomdriva detta. Om denna utveckling skall
accepteras förefaller det mest ändamålsenligt att helt ta bort tidsangivel-
sen ur själva lagtexten. Frågan om när servering tidigast får påbörjas och
när den senast skall avslutas skulle därmed helt bli en fråga för till-
ståndsmyndigheten. Detta skulle dock kunna öppna för en utveckling
som i förlängningen kan medföra att alkoholservering får pågå dygnet
runt.
De uppgifter som Alkoholutredningen inhämtat om erfarenheterna av
de sena stängningstiderna tyder på ett samband med ordningsstömingar
sent på natten i de aktuella områdena. Detta har bl.a. framhållits från
polismyndigheten i Stockholm. Det finns dock skäl att framhålla att
restauranger med utsträckt serveringstid ofta ligger i centrala områden
där mycket folk passerar. Den tillgängliga utredningen tillåter inte slut-
satsen att de sena öppettiderna i sig leder till större antal våldsbrott eller
ordningsstömingar. Man kan däremot skönja en viss förskjutning av
sådana störningar mot senare tid på natten. Inte heller detta behöver dock
nödvändigtvis knytas direkt till de utsträckta serveringstiderna. Det har
på senare år skett en allmän förskjutning mot allt senare tid på dygnet av
nöjeslivet i städerna. Detta påverkar självfallet krogama att vilja hålla
öppet längre än tidigare. Allmänt sett kan sägas att en förskjutning mot
allt senare serveringstider är en tydlig trend i hela riket.
Inom sjukvården tycker man sig vidare ha iakttagit ett ökat antal yngre
personer vilka varit påverkade av alkohol och som tagits in för vård allt
Prop. 2000/01:97
35
senare pä natten. Även detta har framförts som ett skäl mot utsträckta
serveringstider. Sambandet är dock inte helt klarlagt.
Alkoholutredningen konstaterar sammanfattningsvis att det inte går att
uttala sig med absolut bestämdhet när det gäller effekterna av de
utsträckta serveringstiderna. Det finns utrymme för olika uppfattningar
och tolkningar. Detta innebär också att det inte finns något entydigt svar
på frågan hur en lagbestämmelse om serveringstider bäst bör utformas.
Det blir ytterst fråga om en politisk bedömning av lämpligheten av olika
lösningar.
Regeringen finner för sin del rimligt att ta som utgångspunkt nuva-
rande bestämmelse i 6 kap. 4 § alkohollagen som innebär en huvudregel
om viss senaste sluttid, klockan 01.00, även om tillståndsmyndigheten
kan avvika från denna. När denna möjlighet öppnades för tillståndsmyn-
digheten förutsågs knappast att de serveringstider som skulle beslutas av
kommunerna skulle avvika i mera betydande grad från de tider som
anges i lagtexten. Den faktiska utvecklingen har emellertid gått i en rikt-
ning som riskerar att göra lagens huvudregel till ett undantag. Regeringen
anser därför att bestämmelsen bör skärpas på så sätt att lagtexten anger
kriterier för prövningen av när serveringen av spritdrycker, vin och
starköl får påbörjas och avslutas. Vägledande för tillståndsmyndighetens
prövning vid bestämmandet av serveringstid skall vara risken för alko-
holpolitiska olägenheter. Detta skall, bl.a. för att motverka obefogade
överklaganden, framgå av själva lagtexten.
Det skulle enligt regeringens uppfattning vara önskvärt om tillstånds-
myndigheten, dvs. kommunen, med rättsligt bindande verkan hade befo-
genhet att ange det antal serveringsställen som maximalt kunde tillåtas
med sena serveringstider i kommunen. Konstruktionen av en sådan lag-
stiftning behöver dock utredas vidare innan regeringen är beredd att ta
ställning till denna fråga .
När det gäller serveringstidens början kan regeringen konstatera att det
inte finns några allmänna önskemål om ytterligare tidigareläggning av
serveringens början (f.n. klockan 11.00). Det har emellertid uppstått en
viss osäkerhet om vilka serveringstider som bör meddelas inrikes trafik-
servering. Samtidigt med alkohollagens ikraftträdande avskaffades sär-
regleringen för inrikes trafikservering, i vilken tidigare fanns möjlighet
att servera alkoholdrycker dygnet runt. I alkohollagen gäller att trafikser-
vering skall bedömas efter samma regler som övrig alkoholservering. En
av anledningarna till denna förändring var att de olika serveringsfor-
mema ibland kan vara svåra att skilja åt. Regeringen finner inte skäl att
återgå till tidigare regler för serveringstider i inrikes trafik, utan samma
tidsreglering som gäller för annan servering av spritdrycker, vin och
starköl bör gälla även för trafikserveringen. Regeringen anser även att
klockan 11.00 fortfarande får anses som en väl avvägd tidpunkt för alko-
holserveringens början avseende tillstånd för servering till allmänheten.
När det gäller vinprovningar i utbildningssyfte eller som ett inslag i
utbildningen vid restaurangskolor, vilka avses äga rum före klockan
11.00 kan särskilt tillstånd för servering i slutet sällskap sökas hos kom-
munen, om den tidigare tidpunkten bedöms som angelägen.
Restaurangkulturen är viktig för allmänhetens attityder och hållning till
alkohol. Den svenska restaurangnäringen har därför en viktig roll att
spela när det gäller att skapa förståelse för ett ansvarsfullt och måttligt
Prop. 2000/01:97
36
bruk av alkoholdrycker samt motverka missbruk och de sociala eller
medicinska problem som följer i dess spår.
Inom den svenska restaurangnäringen pågår ett seriöst arbete för att
etablera goda restaurangvanor och en ansvarsfull hantering av alkohol-
drycker på serveringsställen. På många platser sker också ett viktigt
arbete från restaurangnäringens sida för att tillsammans med polismyn-
digheter och sociala myndigheter förebygga också andra problem som är
kopplade till delar av restaurang- och nöjeslivet. Det gäller till exempel
förekomsten av narkotika, diskriminering, bråk i restaurangköer och
störning av ordningen kring nattöppna restauranger.
Ytterligare en fråga som rör restaurangmiljön och som har aktualiserats
av bl.a. Folkhälsokommittén i betänkandet Hälsa på lika villkor - natio-
nella mål för folkhälsan (SOU 2000:91) gäller tobaksrökningen på ser-
veringsställen. Kommittén har i betänkandet föreslagit ett förbud mot
rökning på serveringsställen.
För att åstadkomma en bättre restaurangmiljö och restaurangkultur bör
Statens folkhälsoinstitut få i uppdrag att tillsammans med representanter
för restaurangnäringen, de fackliga organisationerna, polismyndigheten
och kommunerna utarbeta ett gemensamt åtgärdsprogram. Programmet
bör syfta till att på serveringsställen åstadkomma en ansvarsfull hantering
av alkoholdrycker, en effektivare bekämpning av förekomsten av narko-
tika på restauranger samt rökfria serveringsställen. Programmet skall
också visa på åtgärder som kan bryta den trend som blir alltmer tydlig
inom restauranglivet, nämligen att alkohol dricks allt senare och under
fler timmar på dygnet. Programmet skall således ange vilka åtgärder som
behövs för att
- tidigarelägga restaurangvanoma och därmed minska behovet av sena
serveringstider,
- minska riskerna för bråk och våld genom att exempelvis komma ifrån
provocerande kösystem,
- skapa ett effektivare samarbete mellan restaurangföretagare och poli-
sen i kampen mot förekomsten av narkotika på restauranger,
- förbereda övergången till rökfria serveringsställen.
Statens folkhälsoinstitut bör fortlöpande redovisa uppdraget till rege-
ringen och senast den 1 december 2002 avge en rapport.
Regeringen anser vidare att servering av öl inte bör omfattas av regler
om serveringstider. För servering av öl erfordras inte serveringstillstånd
utan endast att vissa i lagen särskilt angivna krav är uppfyllda. Rege-
ringen anser liksom Alkoholutredningen att eventuella olägenheter som
skulle kunna uppkomma på grund av ölservering vid olämpliga tider kan
mötas med förbud under viss tid att servera öl enligt 7 kap. 21 § alko-
hollagen. Som framgår av avsnitt 6 föreslår regeringen att den tid under
vilken ett sådant förbud kan gälla utökas från sex till tolv månader. Det
finns inte något behov av att utöver detta reglera de allmänna serverings-
tiderna för öl.
Prop. 2000/01:97
37
Prop. 2000/01:97
Regeringens bedömning: Alkohollagens (1994:1738) krav på att ser-
veringsställct skall ha ett kök för allsidig matlagning och tillhanda-
håller lagad mat bör inte ändras.
Alkoholutredningens förslag: För tillstånd till servering av sprit-
drycker, vin och starköl till allmänheten skall endast krävas att serve-
ringsstället är godkänt som livsmcdelslokal och tillhandahåller ett brett
utbud av lagad mat.
Remissinstanserna: Följande remissinstanser har riktat kritik mot för-
slaget. Alkoholinspektionen, Arboga kommun, Borlänge kommun, Folk-
hälsoinstitutet, Huddinge kommun, IOGT-NTO, Kalmar kommun, Kam-
marrätten i Stockholm, Karlstads kommun, Kommunala alkoholhandläg-
gares förening, Kristinehamns kommun, Krokoms kommun, Kungälvs
kommun, Livsmedelshandlareförbundet, Länsrätten i Stockholms län,
Länsstyrelsen i Gävleborgs län, Länsstyrelsen i Kronobergs län, Läns-
styrelsen i Stockholms län, Länsstyrelsen i Västra Götalands län, Malmö
kommun, Polismyndigheten i Stockholms län, Sundsvalls kommun,
Sveriges Landsråd för alkohol- och narkotikafrågor, Systembolaget AB,
Trelleborgs kommun, Verdandi i Hultsfred, Årjängs kommun, Örebro
kommun, och Östersunds kommun. Kritiken gäller främst att begreppen
“allsidig matlagning”, “fast organisation och beredning” och “brett utbud
av lagad mat” är vaga och opreciserade och att den föreslagna bestäm-
melsen av den anledningen skulle leda till tillämpningssvårigheter samti-
digt som många gatukök uppfyller de krav som ställs. Många gatukök
klarar också att bereda eller laga till maten på olika sätt. Kritik riktas
också mot att det i motiven framförs ett krav på exempelvis tillhanda-
hållande av desserter, vilket utesluter restauranger med inriktning på en
annan matkultur än den som fastställts i de traditionella stadshotellen.
Kritik riktas också mot att cateringbeställning av mat enligt förslaget är
tillräckligt. Det finns inget krav på att maten skall ha beretts på stället.
Den som vill servera alkohol kan låna en närliggande restaurangs mat-
sedel och skicka över någon att hämta mat om en gäst skulle beställa
sådan. Tillsynsmyndighetens tillsyn över matutbudet skulle i realiteten
vara verkningslös med det lagda förslaget. Antalet serveringstillstånd
skulle öka och alkoholförtäringen med dem, liksom behovet av tillsyn
och därmed kommunens kostnader. Att bevisa en överträdelse av en till-
ståndshavare som normalt inte har intresse av att servera mat blir svårt.
Några framhåller dock att det vore önskvärt att ändra de nuvarande
bestämmelserna på sådant sätt att de inte hindrar ny teknik. Andra påpe-
kar att de höga kostnader som är förbundna med ett komplett restaurang-
kök i viss mån garanterar att den blivande tillståndshavaren har för avsikt
att vara seriös. Systembolaget AB påpekar också att om serveringstill-
stånd ges till försäljare av enbart snacks eller mat för avhämtning före-
ligger risk för att det utvecklas till en illegal detaljhandelskanal.
Södertälje kommun tillstyrker förslaget, då det öppnar möjlighet för nya
aktörer med tillfredsställande matutbud att få serveringstillstånd och det
inte finns alkoholpolitiska skäl att hindra en sådan utveckling.
Skälen för regeringens bedömning: Sambandet mellan utskänkning
och matservering är en av de äldsta och principiellt viktigaste reglerna i
38
den svenska alkohollagstiftningen. Huvudskälen till att bestämmelsen in-
fördes var att berusningen av alkoholförtäring blev mindre om drycken
förtärdes tillsammans med lagad mat och att sambandet med matserve-
ring hade en allmänt återhållande effekt på alkoholdrickandet.
Kopplingen mellan mat- och alkoholservering har sett olika ut genom
åren. En erfarenhet som tillämpande myndigheter har gjort på detta
område är att oavsett var man drar gränsen för lagens matkrav så kom-
mer denna gräns ständigt att ifrågasättas. En återgång till måltidstvång,
matandelar eller till vad som är en “egentlig” restaurang medför att vi i
stället får tillbaka de gamla problem som ledde till dessa reglers avskaf-
fande. En fördel med dagens lagstiftning är att det är restauranglokalens
beskaffenhet som är avgörande i detta sammanhang samt att detta går att
uttrycka i begripliga termer.
I 7 kap. 8 § alkohollagen (1994:1738) anges att tillstånd för alkohol-
servering till allmänheten får meddelas om serveringsstället har ett kök
för allsidig matlagning och tillhandahåller lagad mat. Exakt vad dessa
begrepp innebär är inte angivet i lagtexten. Ett resonemang om begrep-
pen förs emellertid i förarbetena. Alkoholinspektionen och rättspraxis har
därefter ytterligare förtydligat innebörden. Vägledande för utvecklingen
av kravet på restaurangkök är Alkoholpolitiska kommissionens uttalande
i sina allmänna överväganden (SOU 1993:50 s. 115) om att “höga krav
skall fortfarande ställas på restaurangernas kapacitet för matlagning” och
att “köksutrustningen skall vara av sådan beskaffenhet att lagad mat i till-
räcklig omfattning kan tillredas av råvaror” samt att “vanliga lägcnhets-
spisar och mikrovågsugnar för uppvärmning av prefabricerade maträtter
kan exempelvis inte anses tillräckliga”. Dessa kommentarer återkommer
i propositionen Förslag till alkohollag (prop. 1994/95:89), i Alkohol-
inspektionens allmänna råd och i domstolarnas beslutsmotiveringar. Efter
Regeringsrättens vägledande domar har det ytterligare klarlagts var grän-
sen går för begreppet allsidig matlagning. Matregeln har dock ofta getts
en så restriktiv tolkning att t.ex. stekbord har blivit ett oundgängligt krav,
trots att det inte finns något krav i lagstiftning och förarbeten om att
restaurangerna måste servera stekta maträtter.
Alkoholutredningen ifrågasätter om dessa begränsningar bör gälla även
framöver. Det gäller särskilt uttalandet om råvaror, vilket i princip ute-
stänger alla lokaler som inte är godkända som “fullständigt restaurang-
kök” enligt vedertagen praxis. Ny köksutrustning utvecklas hela tiden
som mycket väl uppfyller kraven för att kunna producera ett brett och
varierat matutbud. Det finns t.ex. numera s.k. konvektionsugnar som kla-
rar mycket högt ställda krav på “allsidig matlagning”. Utredningen före-
slår därför att kravet på kök skall slopas och vill istället att tonvikten mer
skall läggas vid själva matserveringen än vid köksutrustningen. Serve-
ringsstället skall istället tillhandahålla ett brett utbud av lagad mat.
Med utgångspunkt i att det även i fortsättningen skall finnas ett sam-
band mellan mat och alkoholservering finns enligt regeringens uppfatt-
ning anledning att framhålla fördelarna med att knyta förutsättningarna
till själva serveringsstället. Sådana krav är lätta att kontrollera om de är
uppfyllda, och tillståndsmyndighetens bedömning kan lätt förutses, vilket
är en fördel ur rättssäkerhetssynpunkt.
Enligt regeringens mening måste en lokal för att kunna godtas för ser-
vering av spritdrycker, vin och starköl till allmänheten, precis som anges
Prop. 2000/01:97
39
i författningskommentaren i propositionen till alkohollagen, vara god-
känd som livsmedelslokal enligt 22 § tredje stycket livsmedelslagen.
Därmed finns allmänna förutsättningar för en god livsmcdelshygien. Det
är också enligt regeringens uppfattning rimligt att serveringsstället för att
kunna erbjuda sina gäster lagad mat har ett kök som möjliggör allsidig
matlagning. I övrigt bör restauranglokalen ha en sådan utformning att
servering av måltider kan ske. Det skall till exempel finnas en särskild
matsal eller avdelning i lokalen som är inredd och utrustad för matser-
vering med ett med hänsyn till omständigheterna tillräckligt antal sitt-
platser för gäster. Serveringstillstånd skall inte heller i fortsättningen ges
till gatukök och liknande miljöer.
En majoritet av remissinstanserna har också avstyrkt utredningens för-
slag att inte ha några särskilda krav på köksutrustning för att få ett ser-
veringstillstånd. Alkoholinspektionen menar att utredningens ambition
att lägga tonvikten mer på matserveringen än vid köksutrustningen är
god men att följden kan bli att det blir möjligt att öppna serveringsställen
som i praktiken endast tillhandahåller drycker. Göteborgs kommun
menar att kopplingen mellan mat och servering försvagas så att den i
praktiken inte längre kvarstår. Flera kommuner och länsstyrelser ser
också med oro cn framtid där antalet serveringsställen med serveringstill-
stånd skulle komma att öka kraftigt om utredningens förslag förverkliga-
des. Regeringen instämmer i dessa farhågor och vill därför inte nu föreslå
någon ändring av nuvarande bestämmelse. Statens folkhälsoinstitut bör
dock få i uppdrag att närmare följa utvecklingen när det gäller sambandet
mellan mat- och alkoholservering men även försöka beskriva de alkohol-
politiska konsekvenserna av att t.ex. slopa nuvarande krav på att serve-
ringsstället har ett kök för allsidig matlagning.
Regeringens förslag: Innehavare av tillstånd för tillfällig servering i
slutet sällskap får i fortsättningen köpa spritdrycker, vin och starköl
endast hos Systembolaget AB. Kravet på serveringstillstånd tas bort i
fråga om servering som ordnas utan vinstintresse, vid ett enstaka till-
fälle för vissa i förväg bestämda personer, inte medför andra kostnader
för deltagarna än kostnaden för inköp av dryckerna och ordnas i andra
lokaler än sådana där det bedrivs yrkesmässig försäljning av alkohol-
drycker eller lättdrycker.
Regeringens bedömning: Tillfälligt tillstånd för servering till all-
mänheten bör inte förbehållas endast innehavare av stadigvarande ser-
veringstillstånd.
Alkoholutredningens förslag: Överensstämmer i stort sett med
regeringens. Utredningen föreslog dock också att tillfälliga tillstånd för
servering till allmänheten endast skall kunna meddelas innehavare av
stadigvarande serveringstillstånd till allmänheten.
Remissinstanserna: Kammarrätten i Jönköping avstyrker förslaget att
endast den som har stadigvarande serveringstillstånd skall kunna få till-
fälligt tillstånd. Vad utredningen anfört till stöd för begränsningen, bl.a.
om snedvridning av konkurrens, övertygar inte om att kravet är sakligt
Prop. 2000/01:97
40
motiverat. Malmö kommun och Svenska Kommunförbundet anför att för-
slaget inte får inkräkta på föreningars (exempelvis idrottsklubbars) möj-
ligheter att få tillfälliga tillstånd för servering till allmänheten. Sprit &
Vinleverantörsföreningen motsätter sig förslaget som kan vara förödande
för t.ex. vinklubbar. Det är bättre att ha en tillståndsplikt där mindre
seriösa slutna sällskap vägras tillstånd. Stockholms kommun anser att det
bör vara upp till kommunerna själva att avgöra när de vill meddela till-
fälliga tillstånd. Svenska bryggareföreningen anför att det vid exempelvis
Stockholm Beer Festival är tillverkarna som har serveringstillstånd och
att det enligt förslaget blir omöjligt.
När det gäller förslaget att inköp till tillfällig servering till slutet säll-
skap endast får ske på Systembolaget anför Sprit & Vinleverantörsföre-
ningen att förslaget är ett ingrepp i konurrensen.
När det gäller förslaget att kravet på serveringstillstånd tas bort avstyr-
ker Blåbandsrörelsen, Folkhälsoinstitutet, 1OGT-NTO, Kalmar kommun,
Kungälvs kommun, Länsstyrelsen i Kronobergs län, Länsstyrelsen i
Västra Götalands län, Polismyndigheten i Hallands län, Polismyndig-
heten i Stockholms län, Sundsvalls kommun och Örebro kommun. Främst
anförs att undantagen kommer att utnyttjas av föreningar och sällskap
som inte kan få tillstånd och att det av ordnings- och missbruksskäl är
viktigt att kommunen har kontroll över dem. Förslaget medför gräns-
dragningsproblem och det riskerar att skapas restaurangklubbar. Kravet
att vinstintresse inte får föreligga är lätt att kringgå och svårt att kontrol-
lera. Polismyndigheten i Hallands län efterlyser ett klargörande av
begreppen “enstaka tillfälle” och “i förväg bestämda personer” och påpe-
kar att företeelsen med att festfixare går runt i skolorna och säljer biljet-
ter vari ingår inträde, mat och dryck kan befaras öka. Alkoholinspektio-
nen ansluter sig till tanken på viss privat servering utan tillstånd. Risken
är dock att den missbrukas för svart servering. Bestämmelsen bör därför
kompletteras med att förfarandet inte får förekomma på serveringsställe.
Skälen för regeringens förslag och bedömning: Vid tillfälliga till-
stånd för servering till allmänheten är i regel såväl gästantalet som alko-
holserveringen mycket omfattande. Serveringen sker ofta i tältserver-
ingar under restaurangliknande förhållanden. En tillfällig alkoholserve-
ring behöver dock inte investera några större summor i restauranglokaler
och den ekonomiska kontrollen vid tillfälliga tillstånd är inte lika omfat-
tande som vid stadigvarande servering. Olika s.k. festivaler kan locka
nya gäster till den etablerade restaurangnäringen på orten, men festival-
erna medför oftast att restaurangerna får vidkännas ett betydande publik-
bortfall med ekonomiska svackor som följd. Det finns fog för att påstå att
konkurrensen med den etablerade restaurangnäringen inte förs på lika
villkor.
Många av landets kommuner beviljar tillstånd för tillfällig servering
till allmänheten endast till tillståndshavare med stadigvarande serve-
ringstillstånd. En del av dessa kommuner håller denna tillståndskategori
öppen endast för restauranger på den egna orten. De övervägande skälen
till dessa begränsningar är att man vill hålla “lycksökare” borta och slå
vakt om de “egna” etablerade restaurangerna. Det har ofta framförts i
debatten att man vill ha lagstöd för denna tillämpning. Anledningen här-
till är att ett par avslagsbeslut enbart på den grunden att sökanden inte
innehar serveringstillstånd har upphävts av domstol vid överklagande.
Prop. 2000/01:97
41
Regeringen anser dock att utredningen inte tillräckligt har belyst kon- Prop. 2000/01:97
sekvenserna av förslaget som innebär att föreningslivets möjligheter att
få tillfälliga tillstånd för servering till allmänheten i samband med olika
traditionella evenemang kommer att försvinna. Frågan måste därför
ytterligare utredas och konsekvenserna för framför allt föreningslivet
belysas innan regeringen är beredd att gå vidare med utredningens för-
slag.
Servering i slutna sällskap
Den ursprungliga avsikten med att tillåta alkoholservering i slutna säll-
skap var att t.ex. föreningar och arbetsplatser skulle kunna anordna fester
under billigare och enklare former än att gå till en restaurang. Detta har
gjorts möjligt genom att kraven för tillstånd är betydligt lägre vid ser-
vering i slutna sällskap än till allmänheten. Den stora skillnaden är i regel
att lokalen inte är godkänd för allsidig matlagning. För att uppnå detta
godkännande krävs att det finns ett välutrustat restaurangkök, vilket för
många är ett stort hinder - ekonomiskt och byggnadstekniskt. Vid tillfäl-
liga serveringstillstånd är kraven dessutom ännu lägre än vid stadig-
varande tillstånd. Detta kan locka personer som av olika anledningar inte
kan få tillstånd för servering till allmänheten att ansöka om serverings-
tillstånd för slutna sällskap i stället och driva verksamheten kommersi-
ellt. Därmed uppstår en konkurrenssituation med den etablerade restau-
rangnäringen.
En företeelse som har blivit vanligare på senare år är s.k. restaurang-
klubbar med hundratals medlemmar som inte har någon annan samhörig-
het än att de träffas i olika festlokaler med dans och alkoholservering.
Klubbarna förekommer såväl med stadigvarande som med tillfälliga till-
stånd för servering i slutet sällskap. Som bevis på behörighet utdelas
“medlemskort”, som berättigar till inträde i lokalen. Dessa arrangemang
sker ofta under mycket restaurangliknande förhållanden, dock utan de
krav och den kontroll som gäller för restauranger med tillstånd för ser-
vering till allmänheten. Det var inte denna form av “slutet” sällskap lag-
stiftaren hade i åtanke när “sluten utskänkning” och tillfälliga tillstånd
infördes i lagstiftningen. Det är därför viktigt att tillståndsmyndighetema
kontrollerar att det slutna sällskapet inte är fingerat enbart för att kringgå
lagstiftningen. Det kan dessutom ifrågasättas om alla former av “slutna
sällskap” skall godkännas för tillstånd till alkoholservering.
Regeringen har övervägt hur tillämpningen av bestämmelserna om
slutet sällskap skall kunna göras mer enhetlig och om detta i så fall krä-
ver lagändringar. En möjlig begränsning är enligt regeringens uppfatt-
ning att alla deltagare i en tillställning för tillfällig alkoholservering i
slutet sällskap på begäran skall kunna identifieras i förväg, t.ex. genom
en namnlista. Restaurangklubbar och liknande med hundratals medlem-
mar, där man inte vet vilka som kommer till olika evenemang, anses då
som allmänhet. För tillstånd till alkoholservering gäller då betydligt
högre krav och konkurrensen med den etablerade restaurangbranschen
förs på lika villkor. Regeringen anser det lämpligt att tillståndsmyndig-
hetema i tveksamma fall kräver in identitetsuppgifter innan tillstånd
beviljas. Detta bör kunna ske inom ramen för tillståndsprövningen enligt
nuvarande bestämmelser. 42
Inköp från partihandlare
Detaljhandel med spritdrycker, vin och starköl får endast bedrivas av
Systembolaget. Försäljning direkt till konsument får i övrigt endast
bedrivas i form av servering av innehavare av serveringstillstånd. Redan
tidigare fanns emellertid konstruktioner som möjliggjorde inköp av
starköl direkt från bryggerierna. Alkoholpolitiska kommissionen anförde
i delbetänkandet om serveringsbestämmelser, SOU 1993:50:
“I LHD anges att bryggerier får sälja starköl direkt till innehavare av
serveringstillstånd. Inköp från bryggerierna kan ibland medföra
väsentliga rabatter samt möjlighet att få disponera en s.k. ölpump.
Flera länsstyrelser uppskattar att över hälften av alla ansökningar om
tillfälliga tillstånd för slutna sällskap har inlämnats enbart i syfte att få
köpa starköl från bryggeri. Sammanlagt handlar det om flera tusen
sådana ansökningar per år. Ofta kommer ansökningar från slutna säll-
skap där servenngsverksamheten är tänkt att bedrivas utan vinst-
intresse. Dessa sällskap skulle kunna servera alkohol utan serverings-
tillstånd med hänvisning till de regler som gäller för samköp och
ombudsmannaförfarande. Vid påpekanden om detta från länsstyrel-
serna framhärdar man dock om att få ett serveringstillstånd, eftersom
annars får man inte köpa starköl från bryggerierna.
När möjligheten för bryggerier att sälja starköl direkt till restauranger
infördes 1977 var det inte lagstiftarens avsikt att detta skulle innebära
att bryggerierna även kunde sälja direkt till konsumenterna. Det är
emellertid vad som sker genom att flera har upptäckt att det finns ett
“kryphål” i lagstiftningen, nämligen att konstruera ett tillfälligt eller
stadigvarande slutet sällskap och ansöka om serveringstillstånd.
Alkoholpolitiska kommissionen föreslog att försäljning av starköl från
bryggeri till tillståndshavare endast skulle få ske till innehavare av sta-
digvarande tillstånd. Av alla förslag till ändringar i alkohollagstiftningen
lades detta dock inte fram i förarbetena till alkohollagen.
Sedan år 1995 är det inte enbart bryggerierna som får sälja alkohol-
drycker till innehavare av serveringstillstånd. Skaran har utökats med alla
som har rätt till tillverkning eller partihandel med alkoholdrycker och
varorna omfattar nu inte bara starköl utan även vin och spritdrycker.
Trycket från partihandlarna att få avsättning för sina varor ligger bakom
ett mycket stort antal ansökningar om tillfälliga serveringstillstånd. En
slags “uppsökande” verksamhet bedrivs av flera partihandlare och bryg-
gerier, som uppmanar presumtiva kunder att ansöka om tillfälliga ser-
veringstillstånd hos kommunen. Härigenom skapas kanaler för försälj-
ning från tillverkare och partihandlare direkt till konsumenter via kon-
struerade slutna sällskap. Denna verksamhet undergräver det alkohol-
politiska motivet till att vi i Sverige har ett detalj handelsmonopol för för-
säljning av alkoholdrycker.
Regeringen anser att rätten till inköp från tillverkare och partihandlare
bör tas bort för de tillfälliga tillstånden till slutna sällskap. Innehavare av
sådana tillstånd blir därigenom hänvisade till Systembolaget för inköp av
spritdrycker, vin och starköl. De ansökningar som har tillkommit enbart
för att möjliggöra inköp från bryggerier m.m. kommer därmed att upp-
höra.
Prop. 2000/01:97
43
Samköpsbegreppet
1 6 kap. 1 § alkohollagen (1994:1738) stadgas att “servering av sprit-
drycker, vin och starköl får ske endast om tillstånd har meddelats”. Ser-
vering enligt alkohollagens mening inträffar när någon tillhandahåller
dessa alkoholdrycker mot ersättning (1 kap. 8 §). Ersättningens storlek
har ingen betydelse. Även om alkoholdrycken säljs till självkostnadspris
eller t.o.m. med förlust är det servering. Ingår spritdryck, vin eller starköl
som del av en middag, flygresa eller annat som sedan faktureras kunden
har också tillståndspliktig servering inträffat.
Det är däremot med vissa undantag tillåtet att bjuda på alkoholdryck
(se 4 kap. 9 §). Serveringstillstånd krävs inte heller vid samköp eller
ombudsmannaförfarande. Med dessa begrepp menas att en eller ett par av
deltagarna i ett sällskap på uppdrag av de övriga anskaffar dryckerna.
Det skall vara fråga om ett enstaka tillfälle, en begränsad krets och
antingen en lika fördelning av kostnaderna eller efter vars och ens för-
beställda mängd. Begreppet “efter vars och ens förbrukning” förekom-
mer också (NJA 1941 s. 47), vilket vid praktisk tillämpning inte längre
godkänns. Problemet är att försäljning till självkostnadspris som nämnts
ovan är tillståndspliktig och det kan vara svårt att dra en gräns mellan
dessa två företeelser.
Alkoholservering sker ofta i olika sammanhang utan att det finns något
vinstsyfte med serveringen. Det kan vara fråga om servering till själv-
kostnadspris vid firmafester och föreningars årsmöten m.m. En annan
vanlig företeelse är att personer som bjuder på bröllopsmiddag, 5O-års-
fest eller liknande bjuder på en välkomstdrink, vin till maten och något
till kaffet, men att gästerna sedan får betala eventuella övriga alkohol-
drycker till självkostnadspris. En del av dessa arrangörer ansöker om
serveringstillstånd därför att man inte vill göra sig skyldig till något
olagligt. Hur många som serverar till självkostnadspris utan att känna till
tillståndskravet eller utan att bry sig om att ansöka om tillstånd finns det
givetvis inga uppgifter om. Det är dock inte någon särskilt djärv gissning
att påstå att det antagligen är vanligt. Gemene man har svårt att förstå det
alkoholpolitiska motivet bakom denna tillståndsplikt, när serveringen
sker utan vinstintresse till en begränsad krets av vänner och bekanta eller
arbetskamrater på ett företag.
Enligt regeringens mening bör kravet på serveringstillstånd kunna
avskaffas när det gäller enstaka arrangemang som anordnas för vissa
bestämda personer och där dessa inte betalar mer för dryckerna än själv-
kostnadspris. Härmed avses inköpspriset för dryckerna. Något kommer-
siellt intresse får inte finnas. Den får heller inte äga rum på serverings-
ställe där det bedrivs yrkesmässig försäljning av alkoholdrycker eller
lättdryckcr. Att upprätthålla krav på tillstånd i fråga om dessa tillställ-
ningar synes närmast motverka allmänhetens förståelse för det alkohol-
politiska regelsystemet. Tillsammans med förslaget ovan om inskränk-
ningar av möjligheterna till inköp hos partihandlare bör denna förändring
i betydande grad kunna nedbringa antalet ansökningar om tillfälligt ser-
veringstillstånd för slutna sällskap.
Prop. 2000/01:97
44
Prop. 2000/01:97
Regeringens förslag: Åsidosättande av brandskyddsföreskrifter samt
tillåtande av brottslig verksamhet på serveringsstället skall vara själv-
ständiga grunder för återkallelse av serveringstillstånd enligt alkohol-
lagen (1994:1738).
Regeringens bedömning: Det nuvarande kravet i alkohollagen på
personlig lämplighet när det gäller såväl personliga som ekonomiska
förhållanden och omständigheterna i övrigt bör kvarstå oförändrat.
Alkoholutredningens förslag: Kraven på kunskaper när det gäller
bokföring, redovisning och skattelagstiftning skärps. Åsidosättande av
brandskyddsföreskrifter och brott mot lotterilagen föreslog dock utred-
ningen inte skulle utgöra en självständig grund för återkallelse av ser-
veringstillstånd enligt alkohollagen.
Remissinstanserna: Alkoholinspektionen anför att krav på bok-
föringskunskaper m.m. inte har nämnvärd alkoholpolitisk betydelse och
inte torde höra hemma i alkohollagstiftningen. Inspektionen anför också
att en förutsättning för att beviljas serveringstillstånd borde vara att man
kan visa upp ett egentill synsprogram liknande en folkölsförsäljares. Eko-
brottsmyndigheten framhåller att krav på bl.a. bokföringskunskap har
både brottsförebyggande och brottsutredande effekter. Föreningen läns-
styrelsernas alkoholhandläggare, Kommunala alkoholhandläggares
förening och Länsrätten i Skåne anför att kravet måste förtydligas. Det
behövs bestämmelser, riktlinjer eller kriterier för att klargöra vilka som
är godkända som utbildare eller examinatorer och vilken kunskapsnivå
som krävs hos tillståndshavama. Göteborgs kommun anför att det måste
klargöras om det krävs att samme person besitter både det nu föreslagna
kunnandet och kunskap om alkoholreglema. Kalmar kommun anför att
lämplighetsprövningen av sökanden endast bör omfatta kunskaper i
alkohollagstiftningen. Kommunerna har varken kunskap eller andra
instrument för att pröva sökandena när det gäller kunskaper i bokföring
etc. Många tillståndshavare utnyttjar också bokföringsfirmor eller revi-
sionsbyråer för sådant arbete. Krokoms kommun påpekar att många anli-
tar experthjälp avseende bokföring, redovisning och skattelagstiftning.
Kungälvs kommun efterlyser ett klargörande av vad som är lämplig
utbildning och vem som är lämplig utbildare. Länsstyrelsen i Kronobergs
län, Länsstyrelsen i Stockholms län och Östersunds kommun anför att
kunskapskravet bör konkretiseras. Detta för att undvika tolkningspro-
blem och få en enhetlig tillämpning. Malmö kommun och Trelleborgs
kommun anför att det bör övervägas att införa en för alla lika kunskaps-
kontroll. Ett s.k. näringsbrev enligt dansk modell kan vara en lösning.
Riksskatteverket anför att kunskaper i skattelagstiftning bör införas som
krav också på tillståndshavare enligt lagen (1994:1564) om alkoholskatt,
lagen (19941563) om tobaksskatt och lagen (1994:1776) om skatt på
energi. Göteborgs kommun anför att brandsäkerhetsanmärkningar borde
kunna ligga till grund för bedömning av serveringsställets lämplighet och
att tillsynen kan skötas av kommunens restauranginspektörer. IOGT-
NTO anför att alkohollagens tillämpning försvåras om man måste vänta
på lagakraftvunnet beslut ifråga om brott mot andra bestämmelser för att
kunna ingripa mot servering. Det gäller bl.a. brandskydd och lotteri.
45
Krokoms kommun anser att brandmyndigheten bör få utökade befogen-
heter att stänga olämpliga serveringslokaler, t.ex. om ulrymningsvägar
har blockerats. Länsstyrelsen i Stockholms län och Länsstyrelsen i Västra
Götalands län anför att åsidosättande av räddningstjänstlagens bestäm-
melser bör kunna leda till ingripande med stöd av alkohollagen. Polis-
myndigheten i Stockholms län anser att bedömningen ifråga om åsido-
sättande av brandskyddsföreskriftema inte är tillräckligt analyserad och
övervägd och måste utredas ytterligare. Räddningsverket anför att det bör
finnas en direkt koppling mellan brandsäkerhetsfrågor och serveringstill-
stånd. Alkoholintag medför utrymningsproblem vid bränder i restau-
ranglokaler. Räddningstjänstlagen tar inte hänsyn till om alkoholserve-
ring skall bedrivas i en lokal eller inte. Bestämmelserna tar inte heller
alltid sikte på den som driver verksamheten utan kan riktas till fastighets-
ägaren. Ett åsidosättande av brandskyddsbestämmelserna kan leda till en
rättsprocess som drar ut på tiden och under den tiden sker inget med
verksamheten. Det är av särskild vikt att lokaler med utskänkningstill-
stånd har ett väl fungerande brandskydd eftersom människor som intagit
alkohol ofta beter sig irrationellt och har en sämre varseblivning.
Sotenäs, Tanums och Trelleborgs kommuner anför att brandskydds-
bestämmelser och livsmedelslagens och miljöbalkens bestämmelser
borde vara lika viktiga som att fullgöra sina skyldigheter mot det all-
männa och att brott mot dem borde kunna få samma konsekvenser.
Sundsvalls kommun anser att det i propositionen bör betonas att det är
särskilt allvarligt att inte följa brandskyddsföreskriftema. Lotteriinspek-
tionen anför att det kan finnas anledning att återkalla ett tillstånd för
servering i en lokal där illegalt spel bedrivits, även om det inte är inneha-
varen av serveringstillståndet som dömts för brottet, överskottet av
spelverksamhcten delas ofta lika mellan spelanordnaren och den som
upplåter lokalen. Mot bakgrund av de höga krav som ställs på den som
ansöker om serveringstillstånd avseende såväl personliga som ekono-
miska förhållanden, anser lotteriinspektionen att det kan ifrågasättas om
inte illegalt spel på serveringsstället skulle kunna vara en grund för åter-
kallelse av serveringstillstånd eller i vart fall ingå som en faktor vid den
helhetsbedömning som måste göras. Sveriges landsråd för alkohol- och
narkotikafrågor anför att man inte är lämplig att inneha serveringstill-
stånd om man tillåter illegalt spel i sin serveringslokal
Skälen för regeringens förslag och bedömning: Prövningen av
sökandens lämplighet att bedriva servering av spritdrycker, vin och
starköl, såväl vid ansökningstillfället som vid fortlöpande kontroll, har
kommit att ta alltmer av tillståndsmyndighetens tid i anspråk. Alltsedan
lämplighetskravet i lagen om handel med drycker (LHD) år 1986 utvid-
gades till att omfatta även allmän ekonomisk skötsamhet har förarbeten,
föreskrifter och allmänna råd utvecklats och metoderna att utöva kontroll
förfinats. I vissa avseenden innebar alkohollagen (1994:1738) ytterligare
skärpningar, framför allt genom att sökanden ålagts att visa sin lämplig-
het och genom en starkare betoning av den ekonomiska skötsamheten,
t.ex. beträffande konkurser. Lagtexter och författningskommentarer m.m.
kan emellertid inte täcka in alla tänkbara situationer. Tillståndsmyndig-
heten måste därför alltid göra en bedömning i det enskilda fallet med
vägledning bl.a. av den rättspraxis som har utvecklats på området. Inte
Prop. 2000/01:97
46
inom något annat område av alkohollagstiftningen finns det så många
domar som när det gäller tillståndshavarens personliga lämplighet.
När det gäller kunskapskravet har det hänt en hel del på senare tid. På
bara några år har nya “krögarutbildningar” vuxit upp. En uppfattning hos
tillståndsmyndigheter och branschens egna organisationer är att dessa har
bidragit till att väsentligt höja kunskapsnivån hos restaurangpersonal av
olika kategorier. Här pågår också en intensiv vidareutveckling och kva-
litetshöjning. Olika utbildningar för restaurangpersonal ligger just nu i
tiden. En av flera bidragande orsaker till det stora intresset hos restau-
rangföretag och anställda är att det har blivit en merit att ha genomgått en
restauratörsutbildning. Hos vissa restauranger är det dessutom ett krav
för att kunna utses som serveringsansvarig. Genom att det inte finns så
många andra adekvata utbildningar för restaurangpersonalens vidare-
utveckling finns här ett gemensamt intresse för branschen och berörda
myndigheter att göra dessa kurser så bra som möjligt.
Tillståndsstatistik och rättspraxis ger vid handen att de allra flesta åter-
kallelser av serveringstillstånd beror på ekonomisk misskötsamhet av
olika slag. Ofta har orsaken till misskötsamheten varit slarv och okun-
skap om det svenska regelsystemet. För att kunna följa alkohollagens
bestämmelser är det i praktiken nödvändigt att ha vissa grundläggande
kunskaper när det gäller bokföring, redovisning och skattelagstiftning.
Detta får anses ingå i kravet enligt alkohollagen på att “endast den som
visar att han med hänsyn till sina personliga och ekonomiska förhållan-
den och omständigheterna i övrigt är lämplig att utöva verksamheten”.
Särskild hänsyn skall också “tas till om sökanden är laglydig och benä-
gen att fullgöra sina skyldigheter mot det allmänna” (7 kap. 7 §). Av
författningskommentaren till nämnda paragraf framgår att förutsättning-
arna hos tillståndshavaren att kunna hålla en ordnad bokföring måste ges
samma tyngd i prövningen som bl.a. hans branschkunnande. En riktig
bokföring och redovisning är således ett krav för att en rörelse skall
kunna skötas på ett seriöst sätt. En bristfällig bokföring eller avsaknad av
bokföring kan leda till att en tillståndshavare bedöms som olämplig att
fortsätta den tillståndspliktiga verksamheten. I 8 kap. 5 § anges också att
bokföring i rörelse som är tillståndspliktig skall vara så utformad att
kontroll av verksamheten är möjlig. Detta krav är grundläggande för
möjligheterna till kontroll av den ekonomiska skötsamheten och måste
därför noga upprätthållas. Regeringen anser att redan gällande lagstift-
ning ställer krav på vissa kunskaper i bokföring, redovisning och skatte-
lagstiftning och att Alkoholutredningens förslag till tillägg i 7 kap. 7 §
därför är obehövligt.
När det gäller åsidosättande av brandskyddsbestämmelser anser rege-
ringen till skillnad från Alkoholutredningen att det bör finnas en direkt
koppling mellan brandsäkerhetsfrågor och serveringstillstånd. Som
Räddningsverket anför i sitt remissvar tar räddningstjänstlagen
(1986:1102) inte hänsyn till om det skall bedrivas alkoholservering i en
lokal eller inte. Bestämmelserna tar heller inte sikte på den som driver
verksamheten utan riktas mer mot fastighetsägaren. Ett åsidosättande av
brandskyddsbestämmelsema kan leda till en långvarig rättsprocess och
under tiden sker kanske ingen förändring av verksamheten. Det är enligt
regeringens uppfattning också av särskild vikt att lokaler med serve-
ringstillstånd alltid har ett väl fungerande brandskydd. Detta eftersom
Prop. 2000/01:97
47
människor som har förtärt alkohol kan bete sig irrationellt och ha svårare
att uppfatta eventuell brandfara. Tillståndsmyndigheten bör enligt rege-
ringens uppfattning kunna ifrågasätta en sökandes eller tillståndshavarcs
lämplighet att inneha serveringstillstånd om denne inte förmår uppfylla
grundläggande brandskyddsbestämmelser. En tillståndshavare, som
dömts för brott mot brandskyddsbestämmelser eller meddelats upprepade
förelägganden eller förbud enligt 56 § räddningstjänstlagen, riskerar
därmed också att få sitt tillstånd återkallat. Räddningstjänsten i kommu-
nen bör därför regelmässigt informera tillståndsmyndigheten om grund-
läggande brandskyddsbestämmelser åsidosätts av en serveringsrörelse.
När det gäller brott mot lotterilagen kan det enligt regeringens uppfatt-
ning finnas anledning att kunna återkalla ett tillstånd för servering i en
lokal där illegalt spel bedrivits även om det inte är tillståndshavaren som
dömts för brottet. Att illegalt spel bedrivs i serveringslokalen kan nästan
aldrig vara obekant för tillståndshavaren och ofta är det så att överskottet
från spelverksamheten delas mellan spelanordnaren och den som upp-
låter lokalen. Mot bakgrund av de höga krav som ställs på den som ansö-
ker om serveringstillstånd avseende såväl personliga som ekonomiska
förhållanden anser regeringen att illegalt spel på serveringsstället skall
kunna vara en grund för återkallelse av serveringstillståndet. Motsva-
rande gäller om tillståndshavaren på serveringsstället tillåter annan
brottslig verksamhet, t.ex. narkotikabrott, häleri, koppleri m.m.
En stor andel av de polisanmälningar som görs när det gäller brottet
olaga diskriminering hänför sig till restaurangbranschen. Det är också en
form av diskriminering som har fått stor uppmärksamhet i massmedia
och i den allmänna debatten. Att vägra en person inträde på en restaurang
eller annan nöjeslokal på grund av ras, hudfärg, nationellt eller etniskt
ursprung, trosbekännelse eller homosexuell läggning kan vara straffbart
enligt bestämmelserna om olaga diskriminering. Enligt alkohollagen får
serveringstillstånd meddelas endast den som visar att han med hänsyn till
sina personliga och ekonomiska förhållanden och omständigheter i övrigt
är lämplig att utöva verksamheten. Vid tillståndsprövningen skall sär-
skild hänsyn tas till om sökanden är laglydig och benägen att fullgöra
sina skyldigheter mot det allmänna. Om en tillståndshavare i sin restau-
rangverksamhet, eller anställda i denna verksamhet, fälls till ansvar för
olaga diskriminering bör det därför redan i dag kunna innebära att ser-
veringstillståndet ifrågasätts. Detta är ett brott som har anknytning till
restaurangrörelsen och måste bedömas som allvarligt.
Prop. 2000/01:97
Regeringens förslag: Innehavare av serveringstillstånd ges möjlighet
att hyra in personal från bemanningsföretag.
Alkoholutredningens förslag: Utredningen föreslog att nuvarande
bestämmelse slopas. Istället föreslogs kommunen få möjlighet att i det
enskilda fallet kräva att tillståndshavare under en tid av längst sex måna-
der fortlöpande skall anmäla all personal till tillståndsmyndigheten.
Remissinstanserna: Flera remissinstanser är kritiska till alkoholutred-
ningens förslag. Skälen för detta är främst att tillsynen över verksam-
48
heten försvåras och att det ökar möjligheterna att använda svart arbets-
kraft. Följande remissinstanser varnar för detta: Blåbandsrörelsen,
Borlänge kommun, Kalmar kommun och Karlstads kommun. De anser att
det bör föreligga en skyldighet för tillståndshavaren att fortlöpande, inför
varje dag, förteckna vilka som skall arbeta under dagen och att denna
förteckning skall finnas lätt tillgänglig på serveringsstället. Några
remissinstanser anför också att personal skall vara anställd och uppbära
en rimlig och skattepliktig ersättning från någon som innehar F-skatt-
sedel. Alkoholinspektionen anför att tillståndshavaren skall ha ett odelat
ansvar över verksamhetens bedrivande och kunna utöva kontroll över
den. Om andra tillåts ha inflytande kan tvister kring ansvarsfördelningen
uppstå. För att göra det möjligt att använda exempelvis personalpooler
bör ett tillägg om detta göras i 6 kap. 3 §. Förslaget om anmälningsplikt
saknar alkoholpolitiskt värde och avstyrks. Arboga kommun anser att
personal skall vara anställd eller egna företagare med F-skattsedel. Möj-
ligheten för kommunen att kräva redovisning av personalen under
6 månader leder till ytterligare tryck på tillsynsområdet och ökade
kostnader för kommunen. Det finns därför risk att möjligheten sällan
kommer att utnyttjas. Föreningen länsstyrelsernas alkoholhandläggare
avstyrker förslaget att ta bort kravet att personal skall vara anställd.
Utnyttjande av bemanningspersonal kan regleras genom ett tillägg i
lagtexten. Hovrätten för Västra Sverige anser att det är olämpligt att ha
betungande föreskrifter med inbyggd tidsbegränsning som
anmälningsplikten utgör. Ytterligare överväganden måste göras innan
förslaget läggs till grund för lagstiftning. IOGT-NTO anser att tillstånds-
havaren skall ansvara för att den inhyrda personalen är kompetent och
uppfyller kraven. Han skall ha tillräckligt inflytande och kontroll över
den. Det skall föras en förteckning över inhyrd personal som skall vara
tillgänglig för tillsynsmyndigheten minst ett år efter anlitandet.
Justitieombudsmannen anför att förslaget att ta bort kravet på anställd
personal synes ha goda skäl för sig, men genomförs inte ändringarna bör
ändå lydelsen av 6:3 ändras i enlighet med vad Alkoholinspektionen
begärt (s. 223 i betänkandet). Även om Regeringsrätten tolkat lagrummet
bör gemene man kunna utläsa vad som gäller. Länsrätten i Stockholms
län är tveksam till att en icke generell anmälningsplikt av personalen
kommer att ha avsedd effekt. Länsstyrelsen i Gävleborgs län,
Länsstyrelsen i Kronobergs län och Länsstyrelsen i Västra Götalands län
anser att en huvudregel om att personal skall vara anställd skall finnas
kvar, men att undantag kan göras för vissa kategorier av personal. Läns-
styrelsen i Stockholms län anser att tillståndshavare månatligen skall ge
in specifikationer över vilka personer arbetsgivaravgifter och skatte-
avdrag avser, för att man skall kunna komma tillrätta med utnyttjandet av
svart arbetskraft. Länsstyrelsen varnar också för att tillståndshavare och
bemanningsföretag i samråd kan undandra sig sina skyldigheter. I 7 kap.
7 § bör det införas en bestämmelse om att även sådan misskötsamhet är
diskvalificerande. Munkfors kommun anser att vilken personal som skall
arbeta skall antecknas inför vaije arbetsskift på sådant sätt att möjlighet
till efterhandskonstruktion inte finns. Polismyndigheten i Stockholms län
anför att tillståndshavaren vid en inspektion skall kunna visa att de som
arbetar i restaurangen är arbets- eller uppdragstagare och att de har
arbetstillstånd. Det bör också slås fast en minimiålder för de arbetande.
Prop. 2000/01:97
49
Riksrevisionsverket anför att de uppgifter som anmäls kan vara av stort
intresse för skattemyndigheterna, men utredningen för inga diskussioner
om under vilka legala förutsättningar information kan föras över från
kommun till skattemyndighet. Under den period anmälningsplikten gäller
bör kommunen få möjlighet att göra identitetskontroll hos tillståndshava-
ren. Riksskatteverket avstyrker att kravet på anställd personal tas bort och
ersätts med ett anmälningsförfarande. Nuvarande krav kan förses med
undantag och förenas med anmälningsförfarande. Det bör inte ställas upp
några sekretesshinder för skattemyndigheten att ta del av uppgifterna.
Sundsvalls kommun och Östersunds kommun anser att de som arbetar hos
en tillståndshavare skall vara anställda av honom och att förslaget ger
tillståndshavaren för stora möjligheter till efterhandskonstruktioner som
försvårar tillsynsarbetet. Årjängs och Kungälvs kommuner anser att
endast anställd personal skall få anlitas. Örebro kommun anför att det i
Örebro fungerat bra att kräva anställningslistor enligt 7 kap. 5 § och att
en ändring tycks vara onödig. Ett borttagande av kravet att personal skall
vara anställd öppnar för illojal konkurrens och bulvanförhållanden. Per-
sonal skall vara anställd av någon som innehar F-skattsedel och uppbära
en rimlig och skattepliktig ersättning.
Skälen för regeringens förslag: Nuvarande bestämmelse i alkohol-
lagen (1994:1738) om att endast personal som är anställd av tillstånds-
havaren får användas för serveringsverksamheten tillkom för att “till-
ståndshavaren effektivt skall kunna ingripa då olägenheter i fråga om
ordning, nykterhet och trevnad uppstår på serveringsstället”. Emellertid
omfattade inte anställningskravet ens från början all personal. Entrévär-
dar och dörrvakter liksom garderobiärer och casinopersonal undantogs
eftersom dessa ofta anlitades av särskilda bevaknings- eller spelföretag.
Ordalydelsen av 6 kap. 3 § ändrades därför vid tillkomsten av alkohol-
lagen till “för servering av spritdrycker, vin eller starköl får endast anlitas
personal som är anställd av tillståndshavaren”.
Efter ett tillägg i lagen om handel med drycker (LHD) år 1982 blev det
möjligt att tillgripa en administrativ sanktion mot ekonomiskt missköt-
samma tillståndshavare. Bestämmelsen om anställd personal fick då
större betydelse, framför allt om tillståndshavaren drog sig undan skatter
och arbetsgivaravgifter genom att anlita “svart” arbetskraft. Tillstånds-
havare som är ekonomiskt misskötsamma och t.ex. anlitar “svart” arbets-
kraft kan få sitt serveringstillstånd indraget. Forskare och andra som har
studerat restaurangbranschen menar att jämte bygg- och städbranschen
finns det troligen inte något annat område där det är så vanligt med helt
eller delvis obeskattade löner som just på restaurangerna. Tidigare kunde
brott mot bestämmelsen i 6 kap. 3 § fjärde stycket räcka som argument
för återkallelse av serveringstillståndet, även om tidigare rättspraxis
uppvisade en viss osäkerhet på området. Efter Regeringsrättens dom den
2 februari 2000 i mål nr 2516-1998 (RÅ 2000 ref. 12) får det emellertid
anses klarlagt att det formella anställningsförhållandet inte är helt avgör-
ande. Om inte skatter och arbetsgivaravgifter har betalats när det borde
ha skett kan dock tillståndet återkallas på grund av ekonomisk missköt-
samhet. Detta betyder att tillsynsmyndigheterna inte kan nöja sig med att
kontrollera anställningsförhållandena, utan även måste kontrollera skatte-
och avgiftsinbelalningar.
Prop. 2000/01:97
50
Arbetsmarknaden är i dag mer komplex än tidigare och större krav
ställs på flexibilitet inom arbetslivet. Personalförmedling i olika former
är ett exempel på detta och uthyrning av arbetskraft är nu en etablerad
företagsform inom nästan varje yrkesbransch. Det är därför naturligt att
en krögare som drabbas av att t.ex. kökspersonal insjuknat vänder sig till
en s.k. personalpool för att få hjälp. Bestämmelsen i 6 kap. 3 § alkohol-
lagen är då ett besvärligt hinder i hans verksamhet. Även för mycket
korta vikariat är han tvungen att anställa personalen, medan andra
näringsidkare på ett enklare sätt kan hyra in tillfällig personal utan att
bryta mot några bestämmelser.
Enligt regeringens mening är det önskvärt att förändra kravet i 6 kap.
3 § alkohollagen så att regleringen blir mera anpassad till dagens förhål-
landen och till behoven i den seriösa delen av branschen. För att göra det
möjligt att använda exempelvis personal från bemanningsföretag eller
s.k. personalpooler bör ett tillägg till nuvarande lydelse av 6 kap. 3 §
göras som gör det möjligt att hyra in personal från personaluhymings-
företag. Därmed bör kravet på flexibilitet kunna tillgodoses utan att kra-
vet på kontrollmöjligheter när det gäller misstankar om anlitande av
“svart” arbetskraft eftersätts.
Att som Alkoholutredningen föreslår helt avskaffa kravet på att restau-
rangföretagaren för serveringen endast får anlita anställd personal är
enligt regeringens uppfattning alltför långtgående. Att ge tillståndsmyn-
digheten befogenhet att i enskilda fall ålägga en tillståndshavare att under
en viss tid anmäla all personal som utför arbete i verksamheten skulle
enligt regeringens mening bli alltför byråkratiskt och sakna alkoholpoli-
tiskt värde. Det skulle medföra en stor belastning för konferensanlägg-
ningar, trafikserveringar och större restaurangföretag med hög personal-
omsättning att fortlöpande anmäla all personal till tillståndsmyndigheten.
Även hos tillståndsmyndigheten skulle mycket tid och resurser behöva
tas i anspråk för att sortera och granska all denna information. Rege-
ringen anser därför att en lämplig avvägning är att bibehålla nuvarande
reglering men dessutom möjliggöra för tillståndshavaren att anlita perso-
nal från bemanningsföretag.
Regeringens bedömning: Det bör även fortsättningsvis vara möjligt
för två eller flera tillståndshavare att dela på en gemensam serverings-
yta. Några ytterligare klarlägganden behövs inte.
Prop. 2000/01:97
Alkoholutredningens förslag: Utredningen föreslår att tillstånds-
havamas gemensamma ansvar för ordning och nykterhet klargörs. Om
olägenheter konstateras skall tillståndsmyndigheten kunna ifrågasätta
serveringstillståndet för alla de tillståndshavare som bedriver servering i
lokalen.
Remissinstanserna: Följande remissinstanser riktar kritik mot utred-
ningens förslag. Alkoholinspektionen, Blåbandsrörelsen, Borlänge kom-
mun, Föreningen länsstyrelsernas alkoholhandläggare, Göteborgs kom-
mun, Huddinge kommun, IOGT-NTO, Kalmar kommun, Karlstads kom-
mun, Kommunala alkoholhandläggares förening, Kristinehamns kom-
51
mun, Kungälvs kommun, Länsstyrelsen i Gävleborgs län, Länsstyrelsen i
Kronobergs län, Länsstyrelsen i Stockholms län, Länsstyrelsen i Västra
Götalands län, Polismyndigheten i Stockholms län, Sundsvalls kommun,
Sveriges landsråd för alkohol- och narkotikafrågor, Uppsala kommun,
Årjängs kommun, Örebro kommun och Östersunds kommun. Anled-
ningen till kritiken är främst att tillsynen försvåras. Det blir svårt att klar-
göra vilken tillståndshavare som brutit mot serveringsbestämmelsema
och det anses inte förenligt med svensk rättstradition att kollektivt
bestraffa alla som haft tillstånd att servera på ytan. Att lägga bevisbördan
på en enskild som måste visa att han varit utan skuld anses också tvek-
samt. Det påpekas också att förslaget endast tar upp störningar i ord-
ningen och nykterheten och inte tar upp överträdelser som servering till
underåriga och brott mot regler om förvaring och förtäring. Gemensam
scrveringslokal får inte avse servering under samma tid. Det påpekas
också att sanktionerna är av två slag, dels administrativt i form av indra-
get tillstånd, dels straffrättsligt. Malmö kommun avstyrker gemensam
serveringsyta utom i samband med tillfälliga tillstånd vid mässor och
festivaler då det skall vara möjligt för kommunen att medge undantag.
Skälen för regeringens bedömning: Det finns med nuvarande regler
inget hinder i alkohollagen (1994:1738) eller dess förarbeten för att flera
serveringsställen kan ha samma serveringslokal. Det har dock varit en
allmän uppfattning hos vissa myndigheter och branschföreträdare att en
serveringslokal endast kan ha en tillståndshavare.
Alkoholutredningen har övervägt om uppfattningen om att en serve-
ringslokal endast får användas av en tillståndshavare bör få ett uttryckligt
stöd i lagen. Utredningen föreslår att tillståndsmyndigheten skall kunna
ifrågasätta serveringstillståndet för alla de tillståndshavare som bedriver
servering i lokalen om olägenheter konstateras.
Åtskilliga remissinstanser har ifrågasatt utredningens förslag och
menat att en kollektiv bestraffning är främmande för svenskt rättstänk-
ande och därför inte är godtagbar.
Regeringen instämmer i remissinstansernas kritik av utredningens för-
slag. Regeringen finner också att det inte har framkommit tillräckliga
skäl för att föreslå en lagändring i frågan. Om olägenheter skulle upp-
komma när två eller flera tillståndshavare använder samma serverings-
ytor kan tillståndsmyndigheten meddela de villkor som behövs för att
avhjälpa dessa.
Regeringens bedömning: Ingen ändring bör göras i alkohollagens
(1994:1738) regler om att tillstånd kan vägras om ett sådant skulle
kunna medföra risk för alkoholpolitiska olägenheter. Inte heller
behövs nya regler om kommunernas alkoholpolitiska program.
Alkoholutredningens bedömning: Överensstämmer med regeringens.
Remissinstanserna: Blåbandsrörelsen, Göteborgs kommun, IOGT-
NTO, Sveriges landsråd för alkohol- och narkotikafrågor och Sundsvalls
kommun anför att det är en brist att kommunernas alkoholpolitiska pro-
gram har låg dignitet i domstolarnas bedömning. 1OGT-NTO anser också
Prop. 2000/01:97
52
att begreppet “alkoholpolitiska olägenheter” bör bytas ut mot alkohol-
relaterade olägenheter” och att man bör överväga att införa mera hand-
fasta regler i alkohollagen för att ge kommunerna stöd för att företa
åtgärder som förhindrar eller begränsar lokala alkoholrelaterade problem,
t.ex. genom att begränsa antalet restauranger i vissa områden eller i rela-
tion till antalet invånare eller avståndet till skolor. Justitieombudsmannen
anser att utformningen av 7 kap. 14 § kan ifrågasättas. Polismyndighe-
tens yttrande bör inte bara i praktiken utan även i lagtexten beakta de
alkoholpolitiska olägenheterna om det är vad som åsyftats. Utredningen
har tagit alltför lätt på kritiken mot begreppet alkoholpolitiska olägen-
heter. Det är ett påfallande allmänt hållet begrepp, en olycklig nybild-
ning. I alkohollagen skall begreppet politik, i motsats till annan lagstift-
ning, användas vid direkt rättstillämpning i myndighetsutövning mot
enskilda. Bestämmelsen i 7 kap. 9 § skulle kunna utformas enligt föl-
jande. “Om serveringen kan befaras medföra olägenheter i fråga om ord-
ning och nykterhet eller av särskild anledning innebär en risk för menlig
inverkan på människors hälsa, får serveringstillstånd inte meddelas”. I
förslaget till serveringstider borde en hänvisning kunna göras från 6 kap.
4 §. “Vid prövningen skall beaktas sådana risker som avses i 7 kap. 9 §”.
Kommunala alkoholhandläggares förening anför att kommunernas alko-
holpolitiska program bör ges större tyngd avseende serveringstiderna.
Skälen för regeringens bedömning: Kommunernas alkoholpolitiska
program inom serveringsområdet innehåller huvudsakligen riktlinjer för
bedömning av ansökningar om serveringstillstånd, avgifter för ansök-
ningar och tillsyn, de alkoholpolitiska olägenheterna. Programmen är en
precisering av vad kommunen anser utgöra hinder för att få serverings-
tillstånd samt hur tillsynen över serveringsställena är organiserad. Pro-
grammen täcker således ett betydligt vidare område än de alkoholpoli-
tiska olägenheterna. I programmen kan en presumtiv sökande av serve-
ringstillstånd vanligen läsa sig till hur man ansöker om tillstånd, vad det
kostar, hur lång tid det tar och i fall det finns några särskilt uttalade hin-
der. I Alkoholinspektionens kommunenkät år 1998 ansågs det alkohol-
politiska programmet ha haft störst betydelse vid ärendehanteringen och i
beslutsprocessen och mindre betydelse vid domstolsbehandlingen av
överklagade avslagsbeslut.
I förarbetena till 7 kap. 9 § alkohollagen (1994:1738) (prop.
1994/95:89, s. 105 f.) nämns att den tidigare s.k. behovsprövningen har
ersatts med att kommunen i stället skall bedöma riskerna för eventuella
alkoholpolitiska olägenheter. Det framhålls att polismyndighetens och
miljöförvaltningens yttranden skall tillmätas stor vikt vid tillståndspröv-
ningen. Angående programmen anges att kommunerna i t.ex. alkohol-
politiska program kan precisera vilka allmänna kriterier kommunen avser
att tillämpa vid bedömningen av om en servering kan orsaka alkohol-
politiska olägenheter. En individuell prövning måste dock alltid ske med
hänsyn till omständigheterna i det enskilda fallet.
Av förarbetena framgår tydligt att det aldrig har varit meningen att de
alkoholpolitiska programmen eller kommunens allmänna bedömning av
när alkoholservering kan leda till alkoholpolitisk olägenhet skall vara
bindande vid t.ex. en överprövning i domstol. Tanken var snarare att
programmen skulle vara vägledande och delvis tjäna som upplysning för
eventuella sökande. Det kommunala vetot och behovsprövningen skall
Prop. 2000/01:97
53
således inte kunna återinföras bakvägen genom de alkoholpolitiska pro-
grammen. Emellertid har uppenbarligen vissa skrivningar i propositionen
och uttalanden i samband med riksdagsbehandlingen invaggat vissa
kommuner i den föreställningen att det alkoholpolitiska programmet inte
får ifrågasättas.
Det har visat sig att de alkoholpolitiska programmen inte har fått den
ställning vid domstolsbehandling av överklagade avslagsbeslut som
många hade hoppats. Genom att följa utvecklingen av rättspraxis kan
man dock dra slutsatser om de alkoholpolitiska programmens betydelse
vid domstolsprövningar och om hur kommunen bör hantera beslut med
hänvisning till begreppet alkoholpolitiska olägenheter enligt 7 kap. 9 §
alkohollagen.
Allmänt kan således sägas att det inte räcker att enbart hänvisa till det
alkoholpolitiska programmet. Genom en analys av det enskilda fallet mot
bakgrund av kommunens alkoholpolitiska program ökar utsikterna att
beslutet håller vid en överprövning. När det gäller frågor om ordning och
säkerhet, brottsbelastat område eller risk för överetablering är det vidare
av största betydelse att ha stöd av polismyndighetens yttrande. Vid befa-
rad risk för störning i samband med en restaurangetablering är miljöför-
valtningens yttrande viktigt. Beslutet bör vidare motiveras utförligt, med
angivande av de konkreta omständigheter som talar mot ett bifall till
ansökningen.
Regeringen har övervägt om kommunernas alkoholpolitiska program
eventuellt behöver ges ett starkare lagstöd för att bättre hålla vid dom-
stolsprövning av överklagade beslut. Regeringen menar dock att rätts-
praxis visar att kommunerna har goda möjligheter att stoppa oönskade
etableringar. Emellertid måste man i sådana ärenden argumentera såväl
utifrån del alkoholpolitiska programmet som avseende förutsättningarna i
det enskilda fallet. Det är också viktigt att samordna synen på reglerna
för alkoholservering med framför allt polismyndigheten på orten men
även med miljöförvaltningen, samt ha i minnet att en av alkohollagens
grundpelare är skyddet för ungdomen. Regeringen anser att skrivning-
arna i förarbetena till alkohollagen är tillräckligt starka och fortfarande
äger giltighet. Dessutom fortsätter rättspraxis att utvecklas och det finns
mycket vägledning att hämta därifrån.
En annan fråga gäller uttrycket alkoholpolitisk olägenhet, som av
många kommuner anses som alltför diffust och svårtolkat. Detta kan vara
en av förklaringarna till att förhållandevis få avslagsbeslut med hänvis-
ning till 7 kap. 9 § alkohollagen har fattats av kommunerna. Den fortsatta
rättsutvecklingen kommer att ge ytterligare underlag för dessa bedöm-
ningar.
Sammanfattningsvis finner Regeringen inte skäl att föreslå några änd-
ringar av alkohollagens regler angående alkoholpolitiska olägenheter.
Regeringens bedömning: Bestämmelsen om att ett konkursbos ansö-
kan om fortsatt serveringstillstånd skall behandlas med förtur bör inte
ändras.
Prop. 2000/01:97
54
Alkoholutredningens bedömning: överensstämmer med regeringens.
Remissinstanserna: Kalmar kommun anser att förtursregeln vid kon-
kursbos ansökan bör utgå eftersom särregleringen innebär en summarisk
prövning och dessutom är obehövlig eftersom den saknar betydelse vid
kreditgivning till krognäringen. Kommunala alkoholhandläggares före-
ning anser att ansökan från konkursbo om serveringstillstånd inte skall
behandlas med förtur. Kungälvs kommun anför att det är bra med tids-
begränsade tillstånd vid konkurs men att tillståndsprövningen blir sum-
marisk vid en alltför kort handläggningstid. En något längre handlägg-
ningstid än den gamla rekommendationen om en vecka vore därför önsk-
värd. Länsstyrelsen i Stockholms län anser att det i alkohollagen bör infö-
ras förbud mot att konkursförvaltaren utser någon i ägarkretsen kring
bolaget som driftsansvarig.
Skälen för regeringens bedömning: När en tillståndshavare försätts i
konkurs kan ett nytt serveringstillstånd beviljas för konkursförvaltaren.
Tillståndsmyndigheten skall behandla en sådan ansökan med förtur. I
förarbetena anges att en rimlig handläggningstid är längst en vecka.
Dagens regler innebär att tillståndsmyndigheten får en omedelbar kun-
skap och insyn i konkursen. Det är en väsentlig skärpning gentemot tidi-
gare regler i lagen om handel med drycker (LHD) om att konkursför-
valtare utan att ens behöva meddela tillståndsmyndigheten förrän efter
två månader kunde driva rörelsen vidare som om ingenting hänt. Med
den korta handläggningstid som har angivits i förarbetena till alkohol-
lagen kan kommunen dock inte göra mer än en ytterst summarisk till-
ståndsprövning. Tiden medger knappast ens att tillståndsmyndigheten tar
kontakt med skatte-, polis- och kronofogdemyndigheter samt miljö-
förvaltning. Enligt regeringens mening bör åtminstone en sådan grund-
läggande kontroll alltid göras, även om det innebär att handlägg-
ningstiden kan förlängas något.
Vidare är en konkursförvaltare visserligen prövad av tingsrätten angå-
ende sin personliga lämplighet, men i den prövningen ingår inte hans
förmåga att bedriva alkoholservering med iakttagande av alkohollagens
regler. Det finns därför alltid anledning för tillståndsmyndigheten att ta
kontakt med konkursförvaltaren för att bilda sig en uppfattning om hur
alkohol serveringen kommer att bedrivas fortsättningsvis. Om den egent-
liga driften skall skötas av någon annan bör dennes personliga lämplighet
undersökas.
Enligt reglerna i konkurslagen får en konkursförvaltare fortsätta att
driva verksamheten mer än ett år endast om särskilda skäl föreligger.
Regeringen anser att detta kan motivera att tillståndsmyndigheten endast
utfärdar tidsbegränsade serveringstillstånd till konkursbo. Detta är också
det vanliga i praktiken. En tidsrymd om längst sex månader kan ofta vara
ett lämpligt riktmärke. Kommunen kan då göra en avstämning av hur
verksamheten dittills har bedrivits. En bättre kontakt mellan konkursför-
valtare och tillståndsmyndighet kan därmed åstadkommas. I samman-
hanget bör också poängteras att även en konkursförvaltare måste iaktta
alkohollagens bestämmelser och bör omfattas av sedvanlig tillsyn. Det
finns ingen anledning för kommunen att undanta restauranger i konkurs
från tillsynsverksamheten.
Med ovan angivna åtgärder för att förbättra prövningen av ansökningar
om serveringstillstånd från konkursbon bör enligt regeringens mening i
Prop. 2000/01:97
55
stor utsträckning kunna undvikas att oseriösa företagare som försatts i
konkurs tillskansar sig obehöriga fördelar. Regeringen, som erinrar om
att konkursförfarandet syftar till att skydda borgenärerna och inte kon-
kursgäldenären, är inte beredd att föreslå en ändring av regeln om förtur
vid behandling av ansökan från konkursbo. En sådan ändring skulle i
första hand drabba borgenärerna och skulle i förlängningen kunna med-
föra svårigheter för seriösa restaurangföretag att få behövliga krediter.
Prop. 2000/01:97
Regeringens bedömning: Alkohollagens (1994:1738) bestämmelse
om att tillståndshavare och andra personer eller företag som tillverkar,
säljer eller förmedlar alkoholdrycker får lämna alkoholdrycker som
gåva endast i form av varuprov bör inte ändras.
Alkoholutredningens bedömning: Överensstämmer med regeringens.
Remissinstanserna: Blåbandsrörelsen vill understryka behovet av
bättre tillsyn och övervakning. 1 dag förekommer att hotellkedjor lovar
bjuda på middag och vin om gästerna tar in även på annat hotell i kedjan.
Sprit & Vinleverantörsföreningen anser att partihandlare skall omfattas
av samma representationsrcgler som näringslivet i övrigt och att repre-
sentationsrätten för tillståndshavama bör ges en tydligare innebörd än i
dag. Svensk Handel anser att representationsreglema, reglerna kring
varuprover, skall lättas upp. Örebro kommun anser att partihandlares
representationsrätt bör begränsas till en mindre mängd varuprov. Med
nuvarande regler har förekommit att de överlämnat en pall starköl.
Skälen för regeringens bedömning: Det finns ett alkoholpolitiskt
syfte bakom reglerna i alkohollagen (1994:1738) angående alkohol-
reklam och representation med alkoholdrycker, nämligen att hålla nere
konsumtionen av alkoholdrycker.
Reglerna innebär allmänt att man inte får bjuda på alkoholdrycker vid
marknadsföring av tjänster eller vid försäljning av andra varor än alko-
holdrycker om det inte är representation i den mening begreppet fått i
praxis. Riksskatteverkets handledning för beskattning i samband med
representation har ingen betydelse för bedömningen av om en åtgärd är
tillåten enligt alkohollagen eller inte. En butiksägare t.ex. får inte bjuda
på ett glas vin i samband med försäljning av hårvårdsprodukter. Alko-
holdrycken får inte användas som lockbete. Däremot får en tillverkare av
hårvårdsprodukter bjuda på vin till butiksägare, som säljer sådana varor,
vid en informationsträff där han presenterar sina nya produkter. Det
senare är att betrakta som allmänt godtagen representation i affärslivet.
För tillverkare, partihandlare eller restaurangägare med serveringstill-
stånd gäller ännu strängare regler. Alkoholdryck får lämnas endast som
varuprov. Tillverkare och partihandlare kan lämna sådana varuprover
såväl till varandra som till innehavare av serveringstillstånd. En restau-
rangägare får däremot inte lämna några varuprover till vanliga restau-
rangkunder. En vanlig restauranggäst anses inte omfattas av begreppet
godtagen representation i affärslivet. Exempel på när en restaurang får
bjuda på alkoholdryck är informationsmöte för företag i området, där
tillståndshavaren vill presentera sin nya festvåning eller sin ombyggda
56
restaurang eller i samband med att en större beställning diskuteras med
en kund.
En skillnad mellan restauranger och andra företag är att en restaurang
inte får bjuda på alkoholdryck i samband med t.ex. ett 10-årsjubileum,
medan detta däremot är möjligt för en innehavare av en möbelaffär om
det inte sker i samband med försäljning av några varor eller tjänster.
Regeringen har övervägt om de regler som finns på skatteområdet om
krav på “omedelbart samband” skulle kunna överföras till alkohollagens
område och ersätta det nuvarande s.k. gåvoförbudet. Regeringen kan i
och för sig se skäl för en något uppmjukad regel, som skulle medge t.ex.
att restauranggäster som får vänta länge på ett bord bjuds på ett glas vin.
Det är emellertid svårt att utforma en regel som inte samtidigt öppnar för
avarter av olika slag. Regeringen har därför stannat för att det inte är
lämpligt att mjuka upp det nuvarande gåvoförbudet.
Regeringens bedömning: Statistiska uppgifter om försäljningen av
spritdrycker, vin och starköl bör lämnas en gång om året i stället för
två.
Prop. 2000/01:97
Alkoholutredningens bedömning: Överensstämmer med regeringens.
Remissinstanserna: Några remissinstanser, IOGT-NTO, Länsstyrelsen
i Stockholms län och Krokoms kommun, påpekar vikten av att inte helt
avskaffa restaurangrapporten. Alkoholinspektionen påpekar att restau-
rangrapporten tillsammans med detaljhandelsstatistiken är den enda käl-
lan till lokal och regional statistik över all försäljning av alkoholdrycker.
Att ta in uppgifter via leverantörer är inte genomförbart eftersom dessa
inte kan lämna uppgifter om restaurangernas omsättning eller priser.
Centralförbundet för alkohol- och narkotikaupplysning anför att restau-
rangrapportema är viktiga för att analysera utvecklingen. Det är tveksamt
om det räcker med en rapport per år. En förändring måste följas mycket
noggrant och en återgång ske till två gånger per år om det medför bety-
dande försämringar. Folkhälsoinstitutet anför att restaurangrapporten är
den enda källan till regionalstatistik över restaurangförsäljningen och en
kontroll av den partihandelsbaserade statistiken och att den även fort-
sättningsvis bör lämnas två gånger per år. Föreningen Länsstyrelsernas
Alkoholhandläggare samt Länsstyrelserna i Västra Götalands och
Kronobergs län anför att restaurangrapport bör lämnas två gånger per år.
Bortfallet på grund av ägarbyten, säsongstillstånd, konkurser m.m. blir
för stort med en gång per år och man riskerar att förlora viktiga uppgifter
i statistiken. Huddinge kommun påpekar att restaurangrapportema ligger
till grund för kommunens tillsynsavgift och att det därför är tveksamt att
förenkla dem. Sprit & Vinleverantörsföreningen anser att möjligheten att
använda restaurangrapporten i kampen mot ekonomisk brottslighet bör
betonas. Örebro och Östersunds kommuner anser att restaurangrapporten
bör kunna förenklas men bör lämnas två gånger per år.
Skälen för regeringens bedömning: Restaurangrapporten där restau-
rangerna redovisar alkoholförsäljningen har på senare tid nämnts som
exempel på onödig svensk byråkrati. Klagomålen mot blanketten har
57
framför allt inriktat sig på att restaurangerna numera måste redovisa
inköpta volymer. Omsättningssiffroma (i kronor) är och har varit lättare
att ta fram via restaurangens egen bokföring. Leverantörerna har tidigare
inte försett inköparna med uppgifter om volymer fördelade på olika
dryckesslag, och tillståndshavama har ofta fått räkna ut detta manuellt.
Detta har tagit mycken tid i anspråk och har uppfattats som en onödig
administrativ börda. Tillsammans med åligganden från t.ex. skattemyn-
digheten har detta upplevts som ett krångel som försvårar verksamheten
för framför allt de små och medelstora restaurangföretagen. Restaurang-
rapporten har blivit något av en symbolfråga i detta sammanhang.
Restaurangrapporten kallades tidigare för kvartalsrapporten, eftersom
den skulle lämnas in fyra gånger om året. Den bytte sedan namn till
tcrtialrapporten då man minskade frekvensen till tre gånger om året.
Sedan ett par decennier skall rapporten lämnas in två gånger årligen, och
många vill nu minska detta till en gång per år. Krav på förenklingar i
blanketten och att helt slopa den framförs också.
Vid omläggningen av blankettens utformning fanns inga rutiner för
volymberäkningar. Företag, festvåningar och andra som bedriver serve-
ring till slutna sällskap hade inte hört talas om att man måste lämna sta-
tistiska uppgifter om alkoholförsäljningen. Klagomålen blev minst sagt
omfattande och många restaurangföretag fick i praktiken dispens under
det första året med olika uppgifter på den nya blanketten. Alkohol-
inspektionen uppmanade tillverkare och partihandlare att underlätta
restauratöremas redovisning genom uppdelning av försäljningen i voly-
mer. Efter påminnelser från inspektionen verkar detta ha nått fram till
restaurangerna i samband med den senaste redovisningsperioden. De
flesta restauranger får nu dessa siffror från sina leverantörer.
Uppgifter om restaurangernas försäljning är viktiga för statistik och
forskning. Rapporteringen kan därför i nuläget inte helt avskaffas.
Restaurangernas lämnande av uppgifter bör emellertid förenklas. Det bör
t.ex. vara möjligt att i förekommande fall med ett enkelt matematiskt
förfarande räkna om uppgifterna från kronor till volymer, för de restau-
ranger som inte får dessa uppgifter från sina leverantörer. Den osäkerhet
som därvid uppstår i det statistiska underlaget torde vara försumbar. För
underlag till forskning och statistik räcker det vidare med att samla in
uppgifterna en gång om året. Detta kan förslagsvis ske i samband med
årsbokslutet och när den särskilda deklarationen för företag lämnas till
skattemyndigheten. Dessa förenklingar för restaurangföretagen kräver
ingen ändring i alkohollagen, utan kan genomföras genom en ändring av
föreskrifterna på området. För framliden bör man dock undersöka möj-
ligheterna att utnyttja leverantörernas statistik över försålda volymer. Om
det går att få ett tillfredsställande underlag på detta sätt kan det enligt
regeringens mening övervägas att helt avskaffa restaurangrapporten.
Regeringens bedömning: Alkohollagens (1994:1738) regler om
kommunernas rätt att ta ut avgift för bl.a. tillsyn över servering av
spritdrycker, vin och starköl bör inte ändras.
Prop. 2000/01:97
58
Alkoholutredningens bedömning: Överensstämmer med regeringens.
Remissinstanserna: Sveriges landsråd för alkohol- och narkotikafrå-
gor anser att kostnaderna för tillsyn över alkoholservering helt bör finan-
sieras med avgifter och läggas på en nivå som tillåter kvalificerade
utredningar och kontinuerlig kontroll- och rådgivningsverksamhet.
Skälen for regeringens bedömning: Från restaurangbranschen har
ofta framförts klagomål över att avgifterna för tillståndsprövning och
tillsyn varierar mellan kommunerna. Man hävdar exempelvis att ansök-
ningsavgiftema bör vara desamma oavsett kommun, eftersom pröv-
ningen skall följa alkohollagens regler (1994:1738) och därför bör vara
likartad i hela landet. Samma resonemang förs även när det gäller till-
synen, och kritik riktas också mot kopplingen mellan tillsynsavgift och
omsättning. Den faktiska kostnaden skiljer emellertid från kommun till
kommun (löner, lokaler) och större kommuner med heltidsanställda
alkoholhandläggare kan arbeta rationellare med varje enskilt ärende, vil-
ket sänker genomsnittskostnaden.
Det finns dock ytterligare en markant skillnad mellan kommunerna i
detta avseende, och det är ambitionsnivån. Kommuner som anser att
alkoholpolitik är viktigt avsätter mer resurser till arbete med serverings-
tillstånd än kommuner som inte prioriterar tillsyn över alkoholservering
lika högt. Tidigare kom detta till uttryck genom användningen av det
kommunala vetot i utskänkningsfrågor. Alkohollagen ger kommunerna
ett annat utrymme för alkoholpolitiska värderingar; t.ex. när det gäller
alkoholpolitiska program och hur länge alkoholservering skall få bedri-
vas.
Genom kommunallagen (1991:900) regleras kommunernas allmänna
befogenheter. Kommunerna har exempelvis rätt att fastställa kommunal-
skatt och nivån på kommunala avgifter av olika slag, t.ex. bamomsorgs-
avgifter. Även här gäller givetvis självkostnadsprincipen, men en högre
ambitionsnivå (exempelvis personaltäthet) när det gäller barnomsorgen
kan avspegla sig i högre avgifter. Från kommunalt håll framhålls att
samma principiella regler bör gälla för avgiftsuttaget enligt alkohollagen,
dvs. att det är kommunen som avgör arbetsinsatsens omfattning och hur
stor del av kostnaderna som skall täckas genom avgifter.
Det finns kommuner som tar ut avgifter enligt alkohollagen för att
täcka andra kostnader. Ett sådant förfaringssätt strider mot kommunal-
lagens bestämmelse om att en kommun inte får ta ut högre avgift än vad
som svarar mot kostnaderna för de tjänster som är förknippade med
avgiften (8 kap. 3 c § kommunallagen). Sådana överuttag kan rättas till
genom laglighetsprövning och medför i princip återbetalningsskyldighet.
För allt avgiftsuttag enligt kommunallagens självkostnadsprincip gäller
att beräkningen av avgifter och kostnader måste vara försvarlig, och att
avgifterna korresponderar mot motiverade kostnader som föranleds av
den berörda verksamheten.
Regeringen anser inte att det bör göras någon ändring av bestämmelsen
om kommunernas avgiftsuttag i alkohollagen i ifrågavarande hänseende.
Kommunallagens bestämmelser bör alltså gälla. Det finns skäl att i det
sammanhanget framhålla möjligheten att begära laglighetsprövning av
beslut om avgiftstaxor som inte uppfyller lagstadgade krav och få sådana
beslut upphävda. Exempelvis får tillsynsavgifter som baseras på restau-
Prop. 2000/01:97
59
rangemas försäljning av alkoholdrycker inte konstrueras så att avgiften är
att betrakta som ett skatteuttag, utan någon koppling till de verkliga kost-
naderna. Då försäljningen av alkoholdrycker i de s.k. restaurangrapport-
cma numera redovisas inte enbart i kronor utan även i volymer, finns
dessutom möjlighet att basera avgiftsuttaget på volymen såld alkohol i
stället för på försäljningspris.
Regeringens förslag: Innehavare av serveringstillstånd enligt alko-
hollagen (1994:1738) skall vara skyldiga att registrera all försäljning i
ett kassaregister samt erbjuda kunden kvitto. Undantagna är inne-
havare av tillfälliga tillstånd till servering i slutet sällskap. Tillstånds-
myndigheten skall även kunna medge undantag för vissa stadig-
varande slutna sällskap, såsom ideella föreningar och liknande.
Statens folkhälsoinstitut meddelar närmare föreskrifter om kassa-
register.
Alkoholutredningens förslag: Överensstämmer i stort sett med
regeringens.
Remissinstanserna: Kalmar kommun, Kommunala alkoholhandlägga-
res förening och Krokoms kommun anser att ikraftträdandet av bestäm-
melserna om kassaregister bör tidigareläggas. Blåbandsrörelsen motsät-
ter sig undantag från skyldigheten att registrera all försäljning i kassa-
register och erbjuda kunden kvitto. Borlänge kommun, Kommunala
alkoholhandläggares förening, Länsstyrelsen i Kronobergs län samt
Sundsvalls och Södertälje kommuner anser att det skall föreligga skyl-
dighet att faktiskt ge kunden ett kvitto, inte bara att erbjuda det. Eko-
brottsmyndigheten anför att kravet på registrering i kassaregister måste
kombineras med en skyldighet att bevara informationen i 10 år. Enligt
nuvarande lagstiftning är det inte bokföringsbrott, men möjligen för-
svårande av skattekontroll, att inte bevara informationen. En precisering
av 8 kap. 5 § alkohollagen är nödvändig. Det finns inte något skäl till
varför försvårande av skattekontroll kan komma i fråga beträffande
kassaregistren men inte beträffande övriga specialkrav som ställs på en
tillståndshavares bokföring. Vilka sanktioner som kan användas måste
utvecklas. En tredskande tillståndshavare bör kunna meddelas varning
och ytterst drabbas av återkallelse av serveringstillståndet. Ett system för
typgodkännande av kassaregister bör i vart fall tas fram om förslaget
genomförs. Föreningen länsstyrelsernas alkoholhandläggare anser att en
ansökan om typgodkända kassaregister snarast bör överlämnas till EG-
kommissionen. Kalmar, Sundsvalls och Södertälje kommuner samt
Kommunala alkoholhandläggares förening anser att det måste införas en
bestämmelse om att registrering i kassaregistret skall ske omgående vid
försäljning. 1 dag förekommer att registrering sker i efterhand eller att
påståenden om att så kommer att göras framförs vid inspektioner.
Kalmar kommun anför dessutom att en näringsidkare som inte följer
bestämmelserna om kassaregister bör kunna få sitt tillstånd återkallat.
Karlstads och Uppsala kommuner anser att kassaapparaterna skall vara
godkända och inte gå att manipulera. Reglerna för kassarutiner skall vara
Prop. 2000/01:97
60
tydliga och det skall finnas en skyldighet att ge alla kvitton. Försälj-
ningen skall registreras direkt. Krokoms kommun, Länsstyrelserna i
Kronobergs, Stockholms och Västra Götalands län, Polismyndigheten i
Stockholms län samt Sundsvalls och Södertälje kommuner, anför att
kassaregistren bör vara typgodkända. Malmö kommun påtalar vikten av
ett fortsatt arbete för att få fram typgodkända kassaregister. Riksskatte-
verket anför att Statens folkhälsoinstitut bör bemyndigas att meddela
föreskrifter om kassaregister. RSV förutsätter dock att föreskrivet infor-
mationsförfarande först skall genomföras så att det inte uppstår EG-rätts-
liga komplikationer. Föreskrifterna bör omfatta det som nämns i
SAMEB:s skrivelse om utformningen av kassakvittot. Folkhälsoinstitu-
tets föreskrifter bör ges ut i samråd med RSV. Företag som utför service
på kassaapparater bör vara godkända. Systembolaget AB anför att
bestämmelserna sannolikt kommer att få betydligt bättre genomslagskraft
om krav på viss teknisk standard av kassaapparaterna kan ställas.
Skälen för regeringens förslag: Den i särklass vanligaste orsaken till
återkallelser av serveringstillstånd är ekonomisk misskötsamhet av olika
slag. Kraven på ekonomisk lämplighet hos tillståndshavare infördes i
lagen om handel med drycker (LHD) och skärptes i alkohollagen
(1994:1738), vilket bl.a. framgår av förarbetena till 7 kap. 7 § (prop.
1994/95:89 s. 103 f.). Ett avsnitt ur denna text lyder:
“En viktig del av en rörelses skötsel är bokföringen. Den ligger till
grund för bl.a. inkomsttaxering, redovisning av mervärdeskatt och
löner, källskatt, arbetsgivaravgifter och kontrolluppgifter för anställda.
En riktig bokföring är således ett krav för att en rörelse skall kunna
skötas på ett seriöst sätt. En bristfällig bokföring eller avsaknad av
bokföring kan föranleda att en tillståndshavare bedöms som olämplig
att fortsätta den tillståndspliktiga verksamheten.”
Enligt 7 kap. 7 § alkohollagen gäller höga krav på den sökandes per-
sonliga lämplighet, inte minst i ekonomiskt avseende, för att beviljas och
kunna behålla ett serveringstillstånd. Alkohollagen ställer också större
krav på tillståndshavare när det gäller bokföringens beskaffenhet än vad
som följer av sedvanliga regler för bokföring. T.ex. gäller att bokföringen
skall vara så utformad att all försäljning av alkoholdrycker, för vart och
ett av de förekommande varuslagen, redovisas. Det säger sig självt att
utan ett fungerande kassaregister är det svårt att efterleva dessa bestäm-
melser.
Regeringen anser det därför befogat att uppställa ett formellt krav på
att alla transaktioner skall registreras i ett kassaregister. Det skulle dock
föra alltför långt att uppställa detta krav för alla innehavare av serve-
ringstillstånd. När det gäller slutna sällskap kan skyldighet att ha kassa-
register te sig onödigt betungande i vissa fall. Kassaregister bör främst
krävas för sådana stadigvarande slutna sällskap som driver en restau-
rangliknande verksamhet. Detta bör emellertid kunna beaktas genom att
tillståndsmyndigheten kan medge undantag från krav på kassaregister för
bl.a. servering inom ideella föreningar eller liknande slutna sällskap.
Vidare bör innehavare av tillfälliga tillstånd för servering i slutet sällskap
vara undantagna från kravet.
Det finns i dag ingen laglig skyldighet att lämna kvitton i samband
med kontantförsäljning, men det betraktas som god redovisningssed att
göra det. Sveriges Hotell & Restaurangföretagare (SHR), som organise-
Prop. 2000/01:97
61
rar merparten av landets restauranger med serveringstillstånd, har gått
längre än så. Ett av kraven för att bli medlem i förbundet är nämligen att
förelaget i fråga alltid lämnar kvitton i samband med restaurangförsälj-
ning. Regeringen, som noterar att ett krav på att erbjuda kunden kvitto
torde medverka till skärpta rutiner i kassahanteringen, anser mot denna
bakgrund rimligt att detta förfaringssätt får stöd i alkohollagen. Skyldig-
heten att registrera all försäljning i kassaregister bör således enligt
regeringens mening kombineras med en skyldighet att erbjuda kunden ett
av registret framställt kvitto.
Branschsaneringsutredningens intentioner om “typgodkända” kassa-
register är vällovliga, se betänkandet Branschsanering och andra metoder
mot ekobrott (SOU 1997:111). Ett eventuellt “typgodkännande” av
kassaregister är emellertid förenat med vissa tekniska svårigheter samt att
vissa EG-rättsliga procedurer måste iakttas. Ett typgodkännande i
Branschsaneringsutredningens mening förutsätter att kassaregistren på
något sätt plomberas så att de inte går att manipulera efter godkännandet.
Sådan plombering sker av taxametrar enligt bestämmelserna i yrkes-
trafiklagcn (1998:490) och yrkestrafikförordningen (1998:779). Om
Sverige skulle vilja införa sådana regler måste dessutom beaktas Europa-
parlamentets och rådets direktiv (EG) nr 98/34 av den 22 juni 1998 om
informationsförfarande beträffande tekniska standarder och föreskrifter.
Direktivet innebär att tekniska föreskrifter på det icke-harmoniserade
området måste anmälas till EG-kommissioncn innan de kan träda i kraft.
Inget hindrar att Sverige - för det fall ytterligare krav på kassaregister
bedöms nödvändigt - lämnar in en sådan anmälan till EG-kommissionen.
I dagsläget anser regeringen emellertid att det inte är lämpligt att gå
längre än att i lagtexten uppställa kravet att kassaregistret på ett tillförlit-
ligt sätt skall utvisa alla transaktioner som gjorts. Regeln bör komplette-
ras med ett bemyndigande till Statens Folkhälsoinstitut att meddela när-
mare föreskrifter om kassaregister.
Prop. 2000/01:97
Regeringens förslag: Kommunen får enligt alkohollagen (1994:1738)
ta ut cn avgift för tillsynen av dem som bedriver servering av eller
detaljhandel med öl enligt grunder som beslutas av kommunfullmäk-
tige. Den som bedriver detaljhandel med eller servering av öl skall
vara skyldig att anmäla verksamheten hos den kommun där försälj-
ningen sker samt utöva särskild tillsyn över försäljningen. För denna
egentillsyn skall det finnas ett för verksamheten lämpligt program.
Rätten till ölservering i samband med ambulerande korv- och glass-
försäljning eller liknande avskaffas. Tiden för förbud mot fortsatt för-
säljning av öl utökas från sex till tolv månader vid upprepad eller all-
varlig försummelse.
Regeringens bedömning: Statens folkhälsoinstitut bör få i uppdrag
att närmare följa ölförsäljningens utveckling när det gäller ungdomar
och utvärdera tillämpningen och effekterna av alkohollagens bestäm-
melser när det gäller öl.
62
Alkoholutredningens förslag: Överensstämmer i de delar som gäller
krav på egentillsyn sprogram, avskaffandet av ölservering i samband med
ambulerande korv- och glassförsäljning samt att utöka förbudet mot fort-
satt försäljning vid upprepad eller allvarlig försummelse. Utredningen
föreslog en tydligare koppling till matvarukrav och att sådana skall säljas
i betydande omfattning. Utredningen föreslog dock inte anmälningsskyl-
dighet vid ölförsäljning och införande av tillsynsavgifter för finansiering
av kommunernas arbete med folkölstillsynen.
Remissinstanserna: Flera remissinstanser efterlyser ett klargörande av
begrepp som “egentliga matvaror” och “försäljning av matvaror i betyd-
ande omfattning” i lagtext, proposition eller genom föreskriftsrätt för
t.ex. Statens folkhälsoinstitut. Följande remissinstanser framför sådana
synpunkter. Folkhälsoinstitutet, Föreningen Länsstyrelsernas Alkohol-
handläggare, Göteborgs kommun, Kalmar kommun, Kammarrätten i
Stockholm, Kommunala alkoholhandläggares förening, Krokoms kom-
mun, Länsrätten i Stockholms län, Uppsala kommun och Örebro kom-
mun. Folkhälsoinstitutet anför att bensinstationer inte bör få sälja öl.
Kungälvs kommun anser att matvaruförsäljningen skall omfatta minst
50 % av omsättningen. Uppsala kommun anser att det är lämpligare att
koppla ölförsäljningen till andelar av en butiksyta som används för mat-
varuförsäljning. Brottsförebyggande rådet anför att förslaget om egentill-
syn inte kommer att påverka tillgängligheten av öl för ungdomar nämn-
värt. Göteborgs kommun är tveksam till förslaget om egentillsynspro-
gram. I praktiken förekommer de egentillsynsprogram som skall finnas
på livsmedelsområdet endast i mindre omfattning och det vore en för
kommunen tidskrävande uppgift att kontrollera och motivera krav på
sådana program för folkölsförsäljningen. Livsmedelshandlareförbundet
anför att 12 månaders försäljningsförbud för öl endast bör tillgripas vid
allvarliga och upprepade överträdelser och med beaktande av vad butiken
gjort för informations- och utbildningsinsatser.
Flera remissinstanser har anfört att kommunerna bör ges rätt att ta ut
en tillsynsavgift av ölförsäljama för att finansiera tillsynen över försälj-
ningen. I de fall summor nämns varierar de mellan 600 och 2000 kr per
år. Följande remissinstanser förespråkar en sådan lösning. Alkohol-
inspektionen, Blåbandsrörelsen, Borlänge kommun, Folkhälsoinstitutet,
Föreningen länsstyrelsernas alkoholhandläggare, Göteborgs kommun,
Huddinge kommun, Härjedalens kommun, IOGT-NTO, Kalmar kommun,
Kommunala alkoholhandläggares förening, Kristinehamns kommun,
Krokoms kommun, Kungälvs kommun, Länsstyrelsen i Stockholms län,
Länsstyrelsen i Västra Götalands län, Länsstyrelsen i Jämtlands län,
Länsstyrelsen i Gävleborgs län, Länsstyrelsen i Kronobergs län, Malmö
kommun, Munkfors kommun, Sundsvalls kommun, Svenska Kommunför-
bundet, Sveriges Landsråd för alkohol- och narkotikafrågor, System-
bolaget, Södertälje kommun, Trelleborgs kommun, Ungdomens nykter-
hetsförbund, Uppsala kommun, Årjängs kommun och Östersunds kom-
mun. Arboga kommun och Karolinska Institutet anser dessutom att för-
säljning av folköl skall vara tillståndspliktigt eftersom det skulle förenkla
tillsynen samtidigt som det skulle göra försäljarna rädda om sitt tillstånd
och enklare att samarbeta med. Blåbandsrörelsen, Sveriges landsråd för
alkohol- och narkotikafrågor och IOGT-NTO anser att folköl endast skall
säljas på Systembolaget där ålderskontrollen fungerar bättre och langning
Prop. 2000/01:97
63
förekommer i mindre utsträckning. Karlstads kommun anser att kommu-
nen skall kunna ta ut en avgift för tillsyn. Annars bör försäljningen bli
tillståndspliktig. Tillståndsplikt medför också att kommunen får ett
register över den tillåtna ölförsäljningen. Södertälje kommun, Årjängs
kommun och Örebro kommun anser dessutom att det borde ställas upp
krav på att det skall finnas en försäljningsansvarig vid försäljning av öl.
Kommunala alkoholhandläggares förening anser att det bör införas tids-
gränser för ölförsäljning i detaljhandeln och att det skall finnas en för-
säljningsansvarig. Statens folkhälsoinstitut bör ges rätt att meddela före-
skrifter om innehållet i egentillsynsprogrammcn. Länsrätten i Stockholms
län anser att det i motiven bör exemplifieras vad särskilt allvarliga lag-
överträdelser inom ölförsäljningen är. Svensk Handel menar att det inte
är visat att livsmedelshandlare säkerställer att åldersgränsen upprätthålls
på ett bättre sätt än med nuvarande bestämmelse. Kommunal tillsyn bor-
gar inte för kvalitetssäkring av ålderskontrollen. I stället skall egenåtgär-
der, information, rådgivning och egenkontroll användas. Ett års förbud
att sälja öl är en alltför hård sanktion. Ungdomens nykterhetsförbund
anser det vara cn brist att varken polisen eller kommunen har möjlighet
att kontrollera ölförsäljningen genom att låta ungdomar försöka köpa öl.
Öl skall säljas på Systembolaget med en åldersgräns på 20 år. Annars
måste försäljningen göras tillståndspliktig och kommunen ges rätt att ta
ut avgift. Ett gemensamt licenssystem för öl och tobak skulle underlätta
kommunernas arbete.
Skälen för regeringens förslag och bedömning: Det kan ifrågasättas
om folkölet åtnjuter den alkoholpolitiska respekt som är motiverad.
Många betraktar folkölet som en ganska oskyldig företeelse, som inte bör
kringgärdas med onödiga restriktioner. Folköl är en dryck som mycket få
vuxna personer har problem med. När mellanölet togs bort från livs-
medelsbutikerna och ersattes med folkölet betraktades detta som “ofar-
ligt” i jämförelse med mellanölet. Det är därmed lätt att bagatellisera de
problem som faktiskt finns med folkölsförsäljningen.
Den bristfälliga ålderskontrollen vid ölförsäljningen är väl känd. Ung-
domens Nykterhetsförbund (UNF) påpekade redan år 1992 att ålders-
kontrollen i butikerna inte fungerade. Bl.a. genomförde UNF en ölköps-
kontroll i oktober samma år, där ungdomar i åldrarna 11-17 år, varav de
flesta var mellan 13 och 15 år, skickades till olika butiker över hela lan-
det för att köpa folköl. Totalt genomfördes 319 försök. Vid 200 tillfällen
fick ungdomarna inhandla öl. Vid flera av dessa tillfällen var ung-
domarna under 14 år. Det var huvudsakligen vanliga livsmedelsaffärer
som besöktes. Under år 1996 genomförde Sveriges Livsmedelshandlare-
förbund en utbildningsinsats bland medlemsföretagen för att förbättra
ålderskontrollen vid försäljningen av öl. För att mäta effekterna av
utbildningsinsatsen gjordes undersökningar angående ålderskontrollen
såväl före som efter genomförd utbildning. Vid dessa undersökningar
fick ungdomar under 18 år försöka inhandla folköl i ett slumpmässigt
urval av livsmedelsbutiker. Antalet köp som kunde genomföras av ung-
domar under 18 år sjönk från 56 till 40 procent efter genomförd utbild-
ning. Det visade sig emellertid att 20 procent av 14-åringama och 35
procent av 15-åringama kunde köpa folköl trots genomförd utbildnings-
insats. UNF har fortsatt med sina ölköpskontroller med liknande resultat.
De flesta av dessa kontroller har skett utanför direkta storstadsområden,
Prop. 2000/01:97
64
men i januari 2000 genomfördes en stor inköpskontroll i Stockholm.
Totalt omfattades 177 butiker och i 137 av dessa fick ungdomar mellan
14 och 17 år köpa folköl utan några som helst svårigheter.
I Stockholm har det s.k. STAD-projektet (STockholm förebygger
Alkohol- och Drogproblem) genomfört en folkölskampanj åren 1998-
2000. I kampanjen har utförts sammanlagt 300 inköpskontroller i en av
Stockholms större stadsdelar fördelat på de tre åren. Inköpen utfördes av
ungdomar som var 18 år, men som samtliga såg betydligt yngre ut. Den
första kontrollen, år 1998, utfördes utan föregående information till buti-
kerna om alkohollagens (1994:1738) bestämmelser. Före kontrollen år
1999 fick samtliga butiker besök av polis och socialtjänstemän och inför
kontrollen år 2000 fick butikerna en detaljerad rapport om utfallet av
föregående års kontroller. Utfallet av inköpskontrollema blev år 1998 att
ungdomarna fick inhandla folköl vid 66 procent av försöken, år 1999
73 procent och år 2000 44 procent. Vid samtliga tillfällen utfördes mot-
svarande kontroller i en annan stadsdel som inte ingick i folkölskampan-
jen, dvs. ett statistiskt kontrollområde. I denna stadsdel blev utfallet år
1998 60 procent, år 1999 86 procent och år 2000 44 procent. En av de
intressanta iakttagelserna är att det blev samma utfall i stadsdelarna vid
inköpskontrollen år 2000. Enligt STAD-projektet beror detta förmod-
ligen bl.a. på den spridningseffekt som en kampanj av detta slag för med
sig.
I detta sammanhang bör dock erinras om att det endast är en mindre
del av underårigas konsumtion av folköl som kommer från egna inköp i
butiker. Langningen av folköl torde stå för en betydligt större andel.
Det har i olika sammanhang gjorts gällande att sedan alkohollagen
trädde i kraft har problemen med otillåten försäljning av folköl ökat och
missbruket av folköl blivit alltmer utbrett bland ungdomar. Detta har
satts i samband med såväl de nya reglerna som kommunernas svårigheter
att utöva en effektiv tillsyn över folkölsförsäljningen. Det finns mot
denna bakgrund anledning att erinra om att antalet försäljningsställen av
folköl knappast har ökat i någon mer dramatisk omfattning. Att missbruk
av folköl gått allt längre ned i åldrarna och att ålderskontrollen fungerar
dåligt finns det däremot belägg för, och detta framstår som de stora pro-
blemen när det gäller reglerna för folköl.
Samtidigt måste konstateras att folkölskonsumtionen hos ungdomar
har ökat fram till 1995 och därefter stått stilla medan konsumtionen av
andra alkoholdrycker hos ungdomar ökat och att det inte går att urskilja
något samband med de regelförändringar som alkohollagen inneburit.
Redan före de nya reglernas ikraftträdande var det lätt att hitta inköps-
ställen för folköl som inte uppfyllde lagens krav. Detta tyder enligt
Alkoholutredningens mening på att problemet med ungdomars missbruk
av folköl också måste ses i ett vidare perspektiv och att det inte är allde-
les självklart att skärpta regler för folköl på något drastiskt sätt kommer
att ändra utvecklingen. I vart fall synes det uppenbart att det krävs åtgär-
der på fler områden än enbart alkoholområdet.
Det faktaunderlag som regeringen genom alkoholutredningen kunnat
inhämta ger inte anledning att ifrågasätta den allmänna utgångspunkten
att kontrollen av folkölsförsäljningen måste skärpas. Den bör dock kunna
ske i enklare former än vad som gäller i fråga om starkare alkohol-
drycker. Vad som bör eftersträvas är alltså främst åtgärder som kan bidra
Prop. 2000/01:97
65
3 Riksdagen 2000/01. 1 saml. Nr 97
till att underlätta och effektivisera den nuvarande kontrollen. De änd-
ringar som i övrigt bör övervägas bör framstå som rimliga och förståeliga
med hänsyn till såväl åtgärdernas effekt som de olägenheter och kostna-
der som de kan medföra.
Avgränsning av rätten till försäljning
När det gäller försäljning av öl i allmän handel har det alltid funnits cn
koppling till samtidig försäljning av matvaror. Tanken har varit att ölför-
säljning skall vara ett komplement till matvaruförsäljning. I nuvarande
lagstiftning är förutsättningarna för rätt till detaljhandel med öl angiven i
5 kap. 6 § alkohollagen. Detaljhandel med öl är tillåten under villkor att
verksamheten bedrivs i en lokal som är godkänd som livsmedel slokal
samt att försäljning av matvaror bedrivs i lokalen. Grundvillkoren är
begreppen godkänd livsmedelslokal och försäljning av matvaror. I de
allra flesta fall är det klart vad detta betyder och kan ytterligare förtyd-
ligas genom allmänna råd från Statens folkhälsoinstitut. Regeringen
anser därför att det inte i denna del behövs någon ändring av paragrafens
lydelse.
När det gäller servering av folköl finns ett undantag från bestämmelsen
om lokalgodkännande och matservering i 6 kap. 1 § alkohollagen. Det är
det tredje stycket med formuleringen att “öl får serveras av den som
enligt 23 § nämnda lag har meddelats särskilt tillstånd att yrkesmässigt
hantera livsmedel”. Denna formulering tillkom bl.a. för att det skall vara
möjligt att tillfälligt kunna servera folköl i samband med festivaler eller
liknande. De nämnda tillstånden enligt 23 § livsmedelslagen är kopplade
till 16 § livsmedelsförordningen och ges exempelvis till försäljare av
varm korv eller glass. Detta medför laglig rätt att sälja folköl utan några
som helst krav på vare sig lokal eller matvarusortiment. I Malmö har
undantaget skapat problem i arbetet med butiker som inte har tillräckligt
många matvaror. Butiksinnehavama kan inte förstå logiken i att de, men
inte korvförsäljaren utanför butiken, bryter mot lagen trots att butikerna i
flera fall har ett betydligt bredare matvarusortiment. Problem med folk-
ölsförsäljning till ungdomar från ambulerande försäljare har rapporterats
framför allt från folkölsprojekt i Skåne. Regeringen föreslår att det aktu-
ella undantaget i 6 kap. 1 § alkohollagen utgår.
Hushåll och mindre personalutrymmen på företag är undantagna från
bestämmelserna om godkännanden enligt livsmedelslagen vilket bl.a.
medför att folköl inte får serveras i sådana lokaler utom i de fall serve-
ringstillstånd föreligger. Denna reglering har ifrågasatts. Enligt regering-
ens mening finns dock skäl att hålla fast vid kopplingen mellan alkohol-
lagen och livsmedelslagens bestämmelser om livsmedelslokal. Rege-
ringen vill dessutom erinra om förslaget om att servering av alkohol-
drycker (dvs. även folköl) får ske utan krav på godkänd livsmedelslokal
om serveringen anordnas i privat regi utan vinstintresse m.m.
Undantaget i 5 kap. 6 § alkohollagen för tillverkare av lättdrycker att få
bedriva detaljhandel med folköl utan någon koppling till matvaror bör
utgå.
Prop. 2000/01:97
66
Egentillsyn
Tillsynen över detaljhandelns folkölsförsäljning skiljer sig markant från
tillsynen över alkoholserveringen. Eftersom serveringen skall ske i en
“insynad” serveringslokal under en bestämd serveringstid är det klart var
och när tillsynsverksamhet skall bedrivas. Vad som skall kontrolleras är
också klart; servering till underåriga, ordning och nykterhet etc. De alko-
holpolitiska olägenheter som restaurangtillsynen skall komma till rätta
med finns på serveringsställena och i deras omedelbara närhet. Så för-
håller det sig inte med de problem som detaljhandel med folköl kan med-
föra. Oordning och onykterhet i livsmedelsbutiker som säljer folköl är ett
nästan okänt begrepp. Detta beror givetvis på att det inhandlade folkölet
konsumeras på annan plats än inne i butiken. Inköpet kan inträffa när
som helst under butikens öppettid, som ofta uppgår till 10-12 timmar per
dag. Det finns också butiker som har öppet dygnet runt. Köpet är över på
någon minut. Det säger sig själv att det inte går att övervaka folkölsför-
säljningen annat än stickprovsvis, och att endast en bråkdel av all folk-
ölsförsäljning är möjlig att kontrollera om inte avsevärda resurser tas i
anspråk för detta.
Tillsynen bör därför utformas annorlunda än den traditionella restau-
rangtillsynen. Det ligger nära till hands att jämföra med hur livsmedels-
tillsynen bedrivs. I de flesta fall torde det också vara samma tillsyns-
objekt det handlar om. Kontroll av livsmedelshanteringen och folkölsför-
säljningen kan inte göras annat än stickprovsvis och med tonvikt på
information och rådgivning. I livsmedelstillsynen har företagens egen-
kontrollprogram stor betydelse för livsmedelshygienen. Det handlar om
en egen kvalitetssäkring av verksamheten. Programmen beskriver vanli-
gen hur utbildning, personalhygien, rengöring och kontrollmätningar
skall utföras och syftar bl.a. till att uppnå en hög professionell standard
hos livsmedelsföretagen. Egenkontrollprogrammen fastställs och kon-
trolleras av kommunens miljöförvaltning.
Det största problemet med folkölsförsäljningen är att det på många håll
är alltför lätt för ungdomar under 18 år att komma över folköl. Personal-
omsättningen i butiker som säljer bl.a. folköl är mycket hög. Introduktio-
nen av nyanställd personal och tillfälliga vikarier är mycket olika inom
branschen. Arbete som expedit i en livsmedelsbutik är det första tillfäl-
liga arbetet för många ungdomar. Det är mycket man måste lära sig om
prismärkning, kassahantering m.m. och det är lätt att glömma bort att det
finns lagregler som gäller folkölsförsäljningen. Det kan också uppstå
situationer där det kan vara svårt för den unga expediten att neka andra
ungdomar att inhandla folköl även om en expedit som säljer folköl till
underåriga kan straffas för detta.
De butiker som har rätt att sälja folköl omfattas i regel av en skyldighet
att utarbeta egenkontrollprogram enligt livsmedelslagstiftningen. Rege-
ringen anser att butiker och serveringar som har rätt att bedriva detalj-
handel med eller servering av folköl bör åläggas skyldighet att utöva sär-
skild tillsyn över denna verksamhet samt att utarbeta särskilda egentill-
synsprogram för detta. Dessa program bör beskriva bl.a. hur personalen
skall få information om alkohollagens bestämmelser samt vilka rutiner
som skall tillämpas vid försäljning av folköl. Ansvaret och formerna för
ålderskontrollen bör särskilt behandlas. Programmet kan också ange t.ex.
Prop. 2000/01:97
67
en försäljningsansvarig person, som fyllt 18 år och vars uppgift är att
finnas till hands vid eventuella problem med försäljningen av folköl.
Kontroll av cgentillsynsprogrammen kan samordnas med den kommu-
nala livsmedelstillsynen, men även utföras inom annan kommunal verk-
samhet.
Det bör framhållas att försummelse i fråga om egentilisynen eller i
fråga om utarbetande av egentillsynsprogram kan komma att utgöra
grund för beslut om förbud mot försäljning av öl enligt 7 kap. 21 § alko-
hollagen.
Den kommunala tillsynen
Förutom kontroll av egentillsynsprogram bör huvudinriktningen av den
kommunala tillsynen över folkölsförsäljningen vara rådgivning och
information. Erfarenheter och kunskaper från livsmedelstillsynen bör så
långt som möjligt tas till vara. Kommunen kan även ta fram ett informa-
tionsmaterial om alkohollagens bestämmelser, där det tydligt framgår
vilka krav som gäller för rätt att sälja folköl och vilka skyldigheter som
följer med denna rättighet. Informationen bör även innehålla en objektiv
beskrivning av de skadeverkningar som kan uppkomma hos ungdomar
vid folkölskonsumtion. Det har visat sig, bl.a. i Alkoholutredningens
enkät, att de allra flesta butiksinnehavare vill följa gällande regler och
slutar med otillåten ölförsäljning om de upplyses om att de inte har laglig
rätt att sälja folköl.
Regeringen vill här lyfta fram vad Alkoholinspektionen har anfört om
hur kommunernas tillsyn över detaljhandeln av folköl kan utformas.
- Kartlägga antalet ölförsäljningsställen i kommunen.
- Kontrollera att försäljningsställena uppfyller grundförutsättningarna
för att få sälja öl.
- Informera om vikten av att åldersbestämmelsema efterlevs och att
köp ska nekas om det finns misstanke om langning.
- Ta fram och sprida informationsmaterial med exempel på bra
egentillsynsprogram, gärna i samarbete med livsmedelsbranschen och
bryggerinäringen.
- Samarbete med andra myndigheter, främst polisen, och
livsmedelshandeln.
- Kontinuerlig uppföljning och utvärdering av effekterna av tillsynen.
Ett återkommande svar från kommuner på frågan varför öltillsynen är
eftersatt är att det saknas resurser för att kunna genomföra densamma. I
de flesta kommuner, som bedriver någon form av tillsyn, sker det genom
fältassistenter eller liknande personal som en bisyssla till deras egentliga
arbetsuppgifter. I några större kommuner driver man s.k. folkölsprojekt
med projektmedel från Folkhälsoinstitutet eller från annat håll eller
genom tillfälliga anslag. Att arbetet med folköl sker just i projektform
beror på att man i den hårt ansträngda kommunala ekonomin inte har
lyckats avsätta skattemedel för någon regelbunden tillsynsverksamhet.
Tillsynen över restauranger med servering av spritdrycker, vin och
starköl kan kommunerna finansiera genom att ta ut tillsynsavgifter, se
Prop. 2000/01:97
68
7 kap. 13 § alkohollagen. Motsvarande möjlighet till avgiftsuttag finns
inte när det gäller folkölstillsynen.
I Alkoholutredningens enkät till landets kommuner framgår det att
problemen med ungdomars folkölskonsumtion och bristande tillsyns-
resurser är störst i de större kommunerna. I de mindre kommunerna är
tillsynen oftast informell och man har nästan aldrig konstaterat försälj-
ning till underåriga. Illegal ölförsäljning förekommer inte heller. I de
större kommunerna är det vanligare med såväl försäljning till underåriga
som illegal försäljning. Tillsyn förekommer oftast inte, eller består av en
begränsad engångsinsats. I Stockholm, Malmö och Uppsala har bedrivits
tillfälliga folkölsprojekt vilka samtliga på grund av bristande resurser
dock har lagts ned. Många kommuner anger att folkölstillsynen är efter-
satt på grund av bristande resurser. Flera av dessa har genom Svenska
Kommunförbundet begärt hos regeringen att möjlighet att ta ut tillsyns-
avgifter för folkölstillsyn skall införas i alkohollagen. Även Stockholms
kommun har skrivit till Socialdepartementet i detta ärende.
Ett av flera problem för kommunerna med folkölsförsäljningen är att
man inte vet vilka butiker som har rätt att sälja folköl utan att först
genomföra en kartläggning. I större kommuner kan detta vara ett omfat-
tande arbete. Det räcker inte med att ta reda på vilka butiker som är god-
kända som livsmedelslokaler i kommunen; dels därför att lokaler kan ha
gamla godkännanden som inte längre gäller, dels därför att ingen ölför-
säljning bedrivs i lokalerna. Därför måste i regel samtliga godkända
livsmedelslokaler besökas för en närmare kontroll. Det finns dock inga
belägg för att de som säljer folköl utan laglig rätt oftare skulle bryta mot
åldersgränsen än de “lagliga” butikerna. Däremot är de svårare att ingripa
mot när det väl inträffar. Bestämmelserna om tillsyn och förbud i alko-
hollagen riktar sig endast mot dem som uppfyller kraven i 5 kap. 6 §
alkohollagen och således har rätt att sälja folköl. Precis som när det gäller
illegala spritklubbar är den olagliga ölförsäljningen en fråga för polis och
åklagare, där kommunen endast kan bistå med vissa uppgifter.
I debatten framförs ibland att tillståndsplikten för folköl bör återinfö-
ras. Som skäl anförs oftast problemen med butikernas bristande ålders-
kontroll, men också att butikerna då kan registreras så att kommunen kan
hålla reda på var den lagliga ölförsäljningen bedrivs. I vad mån ålders-
kontrollen skulle förbättras om tillståndsplikten återinförs kan diskuteras.
Det finns inget belägg för att åldersgränsen respekterades bättre tidigare.
Ett återinförande av tillståndsplikten riskerar att bli ett slag i luften och
att medföra ökad kommunal byråkrati.
Ett förslag som också har framförts är att man bör ålägga partihand-
lama en skyldighet att kontrollera att en butik har rätt att sälja öl. Detta är
dock svårt av flera skäl. En svårighet består i att alkohollagen inte inne-
håller någon reglering av partihandel med folköl. Det finns därför inga
tillförlitliga uppgifter om vilka som partihandlar med öl. Inte heller finns
möjlighet att tillgripa administrativa sanktioner mot sådana handlare. En
skyldighet av angivet slag skulle därför behöva straffsanktioneras. Detta
finner regeringen inte rimligt, särskilt som partihandlama skulle ha minst
lika stora svårigheter som kommunen att kontrollera vilka butiker som
faktiskt uppfyller kraven för att sälja öl. Härtill kommer de uppenbara
svårigheterna att övervaka efterlevnaden av en sådan bestämmelse.
Enligt regeringens mening är detta därför inte en framkomlig väg.
Prop. 2000/01:97
69
En annan möjlighet är alt införa en anmälningsplikt för ölförsäljning i
alkohollagen. Lagtekniskt skulle en sådan regel kunna utformas så att
den som har en godkänd livsmedelslokal och bedriver försäljning av
matvaror eller serverar mat måste anmäla till kommunen att han har för
avsikt att detaljhandla med eller servera folköl. Anmälningsplikten skulle
göra det möjligt för kommunen att utan ett omfattande kartläggnings-
arbete bygga upp ett kommunalt register över försäljare av folköl.
Regeringen anser mot bakgrund av de brister som finns när det gäller
handlarnas ålderskontroll att det bör införas en särskild anmälningsplikt
för detaljhandel med eller servering av folköl. På så sätt får kommunen
kännedom om de näringsidkare som i kommunen säljer eller serverar
folköl så att de kan bli föremål för tillsyn.
Regeringen har i det föregående funnit att de som säljer eller serverar
folköl bör åläggas att utöva egentillsyn, vilken skall bygga på ett för
verksamheten lämpligt egentillsynsprogram. Programmet kan granskas
av kommunen och diskuteras med den som svarar för försäljningen eller
serveringen. Detta bör enligt regeringens mening underlätta för kommu-
nen att genomföra en tillsyn med den nämnda inriktningen samt att ställa
krav på kontrollåtgärder bl.a. för att förhindra försäljning till ungdomar
och försvåra langning. Det bör erinras om att försummelser i fråga om
cgentillsynen avses kunna utgöra grund för förbud mot försäljning av öl,
vilket ökar kommunens påtryckningsmöjligheter. Tillsynen bör alltså
kunna såväl förenklas som effektiviseras.
När det gäller frågan om införande av särskilda tillsynsavgifter för
folköl gör regeringen följande överväganden. Kommunal tillsyn finns på
många områden, ibland med möjlighet att ta ut tillsynsavgift, ibland inte.
När det gäller alkoholområdet hade kommunen redan tidigare, tillsam-
mans med länsstyrelsen och polismyndigheten, ansvar för tillsyn över
försäljning och servering av folköl. Alkohollagen innebar alltså formellt
sett ingen förändring för kommunerna i detta avseende. Emellertid har
svårigheterna att utöva tillsyn på folkölsområdet blivit större sedan den
särskilda tillståndsplikten avskaffades och ersattes med vissa i lagen
direkt angivna förutsättningar för rätt till folkölsförsäljning. Den bristfäl-
liga ålderskontrollen vid ölförsäljning i livsmedelsbutikerna är dessutom
väl känd. Detta talar för att kommunerna bör ges rätt att ta ut en särskild
tillsynsavgift för att möjliggöra ökade tillsynsinsatscr. Minderårigas fort-
satt höga konsumtion av folköl och att missbruket av folköl har gått allt
längre ned i åldrarna är oroande. Denna utveckling måste brytas. En mer
aktiv kommunal tillsyn av butikernas folkölsförsäljning är enligt rege-
ringens uppfattning angelägen. Ungdomars missbruk av folköl måste
naturligtvis också ses i ett vidare perspektiv och mötas med insatser på
flera områden.
Regeringen föreslår mot den beskrivna bakgrunden att kommunerna
ges möjlighet ta ut en avgift för tillsynen av dem som bedriver anmäl-
ningspliktig servering av eller detaljhandel med öl. De närmare grun-
derna för dessa avgifter får beslutas av kommunfullmäktige under iakt-
tagande av bl.a. självkostnads- och likställighetsprincipema. Vidare avser
regeringen att ge Statens folkhälsoinstitut i uppdrag att närmare följa
folkölsförsäljningens utveckling när det gäller ungdomar och utvärdera
tillämpningen och effekterna av alkohollagens bestämmelser avseende
folköl.
Prop. 2000/01:97
70
Sanktioner
Prop. 2000/01:97
Enligt 7 kap. 21 § alkohollagen får kommunen förbjuda fortsatt detalj-
handel med eller servering av folköl eller meddela varning om bestäm-
melserna i alkohollagen inte följs. Flera kommuner har ifrågasatt varför
förbudet mot fortsatt försäljning av folköl är fixerat vid sex månader.
Vad som framför allt avses är att olägenheter kan inträffa under evene-
mang som går att avgränsa i tid. Det finns, menar man, i sådana fall inte
anledning att befara att dessa missförhållanden kommer att bestå efter
evenemangets upphörande. Enligt regeringens mening bör det dock inte
införas en ordning där olika typer av försummelser vid försäljning eller
servering av öl skall vägas noga i tid, med risk för ökat processande och
kostnader.
Enligt regeringens uppfattning finns det dock skäl att överväga en
möjlighet till längre tids förbud vid särskilt allvarliga eller upprepade
överträdelser av gällande regler. Detta utgör en kännbar sanktion, vilket
skulle kunna underlätta för den kommunala tillsynsmyndigheten att få
rättelse till stånd. Regeringen föreslår att förbud mot försäljning av folköl
i sådana fall skall kunna meddelas för en tid av tolv månader. Även
denna tid bör vara fast. Förbudet skall alltså bara kunna gälla i antingen
sex eller tolv månader.
Regeringens förslag: Ansvar för olovligt innehav utökas från att omfatta
spritdrycker, vin och starköl till att omfatta även öl.
Alkoholutredningens förslag: Överensstämmer med regeringens.
Remissinstanserna: Inga synpunkter.
Skälen för regeringens förslag: S.k. olovligt innehav av alkohol-
drycker enligt 10 kap. 5 § alkohollagen omfattar endast spritdrycker, vin
och starköl. Detta har lett till att beslag av folköl, som innehafts i uppen-
bart syfte att olovligen försäljas, har lämnats tillbaka till butiksinnehava-
ren. Åklagaren gjorde då den bedömningen av alkohollagens bestämmel-
ser när det gäller olovlig folkölsförsäljning att beslag får göras endast av
de ölflaskor och burkar som bevisligen har sålts. Det spelar sedan ingen
roll hur stort lager av folköl som finns till försäljning i lokalen. För att
underlätta möjligheterna till ingripande i sådana fall anser regeringen att
brottet olovligt innehav av alkoholdrycker bör utvidgas från att omfatta
endast spritdrycker, vin och starköl till att gälla alla alkoholdrycker, dvs.
även folköl. Förutsättning är, liksom för de starkare alkoholdryckerna, att
det kan styrkas att ölet innehas i uppenbart syfte att olovligen säljas.
71
Prop. 2000/01:97
Regeringens förslag: Vid bedömningen av om bl.a. olovlig försälj-
ning av sprit eller alkoholdrycker är att anse som grovt brott skall det
särskilt beaktas om brottet varit inriktat mot ungdomar.
Alkoholutredningens förslag: Överensstämmer med regeringens.
Remissinstanserna: Riksåklagaren är inte övertygad om att uppräk-
ningen av försvårande omständigheter i 10 kap. 3 § alkohollagen behöver
utökas. Uppräkningen där är inte uttömmande och att brottslighet riktas
mot särskilt utsatta grupper skall beaktas oavsett vilket brott det är fråga
om. Om det ändå tas med i uppräkningen skall en åldersgräns anges.
Tingsrätten i Umeå anser alt det får större genomslag om det vid straff-
mätningen beaktas att brottet riktats mot ungdomar, i stället för vid
bedömningen av brottets svårighetsgrad. Därför bör en ändring göras i
10 kap. 2 § alkohollagen i stället för i 10 kap. 3 §.
Skälen för regeringens förslag: Alkohollagstiftningen är cn skydds-
lagstiftning vars viktigaste syfte är skyddet för ungdomen. Detta kommer
till uttryck bl.a. genom bestämmelser om åldersgränser för inköp och
servering av alkoholdrycker och genom att det är straffbart att anskaffa
alkoholdrycker till den som är underårig (s.k. langning). Olovlig försälj-
ning av sprit eller alkoholdrycker till ungdomar är därför en allvarlig
företeelse, särskilt om sådan försäljning sker systematiskt. Enligt rege-
ringens mening bör en medveten inriktning mot ungdomar som kund-
krets oftast medföra att brottet anses som grovt. Detta är i och för sig
möjligt redan med stöd av gällande bestämmelser. Regeringen anser
emellertid att det finns skäl att markera att inriktning mot ungdomar är en
sådan omständighet som särskilt bör beaktas vid bedömningen av brottets
svårhetsgrad. Detta understryker ett av alkohollagstiftningens viktigaste
syften och kan bidra till ökad medvetenhet om vikten av att ingripa kraft-
fullt mot detta slag av brottslighet.
Regeringens förslag: Förbudet mot att anskaffa alkoholdrycker till
underåriga utökas till att omfatta även att bjuda för förtäring på stället,
om det med hänsyn till den bjudnes ålder och omständigheterna i
övrigt är uppenbart oförsvarligt.
Alkoholutredningens förslag: Utredningens förslag överensstämmer
med regeringens. Utredningen föreslog dock en annan utformning av
bestämmelsen i 3 kap. 9 § alkohollagen.
Remissinstanserna: Alkoholinspektionen och Blåbandsrörelsen anför
att upprätthållandet av åldersgränser på en restaurang åvilar tillstånds-
havaren. För att förslaget inte skall leda till missförstånd krävs att
bestämmelsen enligt förslaget kompletteras med att man inte får bjuda
ungdomar under 18 år på en alkoholdryck på ett serveringsställe. Kalmar
kommun anför att det skall införas ett förbud mot att bjuda underårig på
alkohol på ett serveringsställe. Domstolsverket anser att man inte bör
införa en straffbestämmelse utifrån ett mängdresonemang. “Mer än
72
obetydlig omfattning” bör ersättas av “berusningssyfte”. IOGT-NTO,
Karolinska Institutet och Sveriges landsråd för alkohol- och narkotika-
frågor anför att ungdomar under 18 års ålder inte ens i obetydlig omfatt-
ning skall få bjudas på alkohol. Polismyndigheten i Stockholms län anför
att som förslaget nu är utformat torde flera vuxna kunna bjuda samme
ungdom på var för sig obetydlig mängd. Riksåklagaren anför att be-
stämmelsen inte kan godtas i föreslagen utformning. Det straffbara
området skall begränsas till bjudande som sker i sådana former att den
som bjuds därmed riskerar att skadas på något sätt.
Skälen för regeringens förslag: Det är självklart inte meningen att
alkohollagen skall tillåta att förbudet mot att överlämna alkoholdrycker
till ungdomar kringgås genom att ungdomar i stället bjuds på stora
mängder alkohol “för förtäring på stället”. Bestämmelsen i 3 kap. 9 §
alkohollagen har mot den bakgrunden fått en olycklig utformning och
bör enligt regeringens mening reformeras. Ett totalt förbud skulle
emellertid leda för långt. Det skulle t.ex. medföra förbud att servera
nattvardsvin till unga, att bjuda unga deltagare på champagne vid en
bröllopsfest och att låta sina barn ens i de övre tonåren få smaka på ett
glas vin till maten.
Regeringen föreslår därför att förbudet mot att lämna alkoholdrycker
till underåriga skall omfatta även fallet då någon bjuder för förtäring på
stället, om det med hänsyn till den bjudnes ålder och omständigheterna i
övrigt är uppenbart oförsvarligt. Vad som är uppenbart oförsvarligt får
överlämnas till rättstillämpningen att bedöma. Den unge får naturligtvis
inte bjudas på sådana mängder att han eller hon riskerar att skadas,
utnyttjas eller annars fara illa. Någon exakt mängd alkohol som den unge
kan bjudas kan inte anges utan måste vara beroende av den unges ålder
och mognad, situationen under vilken han eller hon bjuds och hur han
eller hon som individ reagerar på alkohol. Exempel på uppenbart oför-
svarligt bjudande är att låta ungdomar delta i spritfester och liknande.
Även ett ofta återkommande bjudande av alkohol kan vara uppenbart
oförsvarligt. Ett regelbundet alkoholintag är ofta skadligt för ungdomar,
även om mängden alkohol vid varje tillfälle är liten. Enligt regeringens
mening får vissa sådana förfaranden bedömas som så allvarliga att de bör
leda till fängelsestraff, t.ex. om någon medvetet inriktar sig på att locka
ungdomar att dricka sig berusade.
Som en konsekvens av förslaget bör även straffbestämmelsen i 10 kap.
6 § förtydligas så att olovligt anskaffande av alkoholdrycker även inne-
fattar att överlämna eller bjuda på alkoholdryck i strid med den nya
lydelsen i 3 kap. 9 §.
Prop. 2000/01:97
Regeringens bedömning: Ingen ändring bör göras i alkohollagen när
det gäller hanteringen av aktivt kol.
Alkoholutredningens förslag: Innehav av aktivt kol i uppenbart syfte
att olovligen tillverka sprit eller spritdrycker straffbeläggs. Vidare införs
en ny bestämmelse om att försäljning och marknadsföring av aktivt kol
73
inte får ske på ett sådant sätt att det kan förknippas med olovlig tillverk-
ning av sprit eller spritdrycker.
Remissinstanserna: Blåbandsrörelsen och Sveriges landsråd för
alkohol- och narkotikafrågor noterar med tillfredsställelse utredningens
förslag och förordar att också ett marknadsförings- och reklamförbud
införs. Konsumentverket avstyrker den föreslagna lagstiftningen för
marknadsföring av aktivt kol. Det är numera ovanligt med annonser för
aktivt kol i periodiska tidskrifter. Mindre postorderföretag har dock
sådan marknadsföring på Internet. Det är i många annonser mycket svårt
att avgöra vem företagen riktar sin marknadsföring och försäljning till
och vad aktivt kol skall användas till. Det ifrågasätts om sanktionen
marknadsstörningsavgift kan bli verkningsfull. Dc företag som mark-
nadsför och säljer aktivt kol är oftast mindre. Marknadsstörningsavgiften
skulle stanna på 5 000 kr, och sanktionen har då inte kännbar verkan.
Rekvisitet “förknippas med olovlig tillverkning” är inte tillräckligt tyd-
ligt för att det skall kunna anknytas till eller ha ett direkt samband med
försäljning och marknadsföring av produkter för olovlig tillverkning.
Marknadsdomstolen anför att innebörden av uttrycket “kan förknippas
med” är obestämd. Aktivt kol har legala användningsområden och mark-
nadsföring måste kunna äga rum. Riksåklagaren anser att den föreslagna
straff- och förverkandebestämmelsen inte behövs eftersom innehav av
aktivt kol i uppenbart syfte att olovligen tillverka sprit är förberedelse till
tillverkning. Sprit & Vinleverantörsföreningen avstyrker och anför att
förslaget varit absurt om normala skattesatser och normal dryckeskultur
kännetecknat samhället samt ifrågasätter om man inte lika gärna skulle
kunna införa motsvarande bestämmelser för jäst och essenser. Tingsrät-
ten i Umeå finner det särskilt angeläget att förslagen om aktivt kol
genomförs.
Skälen för regeringens bedömning: Genom åren har många förslag
presenterats för att komma åt hanteringen av aktivt kol och dess använd-
ning vid olovlig sprittillverkning. Problemet är att aktivt kol har ett
mycket stort legalt användningsområde, framför allt vid industriell vat-
ten- och luftrening, som omsätter över 100 000 ton per år. Att införa en
tillståndsplikt för användning av aktivt kol har tidigare ansetts alltför
långtgående. Det skulle bl.a. innebära att en relativt omfattande byråkrati
byggs upp, som skulle drabba den legala handeln. Ett tillståndssystem för
handel med aktivt kol ter sig också tveksamt från EG-rättslig synpunkt.
Att återinföra det förbud som fanns före 1995 mot försäljning av aktivt
kol är knappast heller en framkomlig väg. Det förekom att säljarna gick
fria om de hade försett förpackningarna med aktivt kol med en varnings-
text, där det framgick att kolet inte fick användas vid olovlig sprittill-
verkning. Den privata handeln med aktivt kol kunde därför fortsätta, och
t.o.m. utvecklas, trots förbudet.
Den s.k. Svartspritsgruppen under Rikspolisstyrelsens ledning anvi-
sade två andra vägar, se promemorian Svartsprit och ungdomar
(Ds 1997:8). Den ena var att införa en skyldighet att föra bok för dem
som säljer aktivt kol. Bokföringsplikten skulle omfatta förteckning över
till vem försäljning har skett, hur mycket, och när. Tillsynsmyndigheten
kunde genom bokföringsplikten få en överblick över handeln med aktivt
kol och därigenom kunna initiera åtal för förberedelse eller medverkan
till olovlig sprittillverkning. Någon slags kontroll av bokföringsplikten
Prop. 2000/01:97
74
måste emellertid göras för att inte bestämmelsen skall bli meningslös. Ett
sådant system påminner starkt om tillståndsplikt, och skulle även drabba
den legitima handeln. Med tanke på hur omfattande den totala handeln
med aktivt kol i Sverige är skulle även skyldighet att föra bok leda till en
relativt omfattande byråkrati, vars alkoholpolitiska effekt kan diskuteras.
Den andra väg som har föreslagits av Svartspritsgruppen är att polis
och åklagare använder sig av ansvarsbestämmelsen i 10 kap. 9 § alko-
hollagen som handlar om förberedelse till olovlig sprittillverkning. Inte
heller Riksåklagaren anser att den av Alkoholutredningen föreslagna
straffbestämmelsen behövs eftersom innehav av aktivt kol i uppenbart
syfte att olovligen tillverka sprit är förberedelse till olovlig sprittillverk-
ning. Enligt regeringens uppfattning borde ansvar för förberedelse till
olovlig sprittillverkning komma i fråga vid innehav av stora mängder
aktivt kol utan annat rimligt användningsområde, framför allt om den
misstänkte dessutom innehar såväl destillationsapparat som aktivt kol
och olika ingredienser för sprittillverkning. Även mängden aktivt kol har
betydelse, eftersom privatpersoner sällan har legitimt behov av annat än
små kvantiteter.
När det gäller försäljning av aktivt kol vill regeringen framhålla att
medverkansbestämmelsema i 23 kap. brottsbalken synes kunna bli
tillämpliga om den som säljer kolet vet om eller inser att kolet skall
användas för olovlig tillverkning av sprit eller alkoholdrycker. Privatper-
soner har i princip inte anledning att köpa större mängder aktivt kol. Sker
dessutom samtidigt inköp av andra tillbehör eller ingredienser med
anknytning till sprittillverkning står syftet tämligen klart.
I detta sammanhang aktualiseras dessutom frågan om möjligheterna att
ingripa mot marknadsföring och försäljning av aktivt kol tillsammans
med andra produkter som ofta förknippas med tillverkning av sprit-
drycker. Konsumentverket avstyrker dock Alkoholutredningens lagför-
slag om att försäljning och marknadsföring av aktivt kol inte får ske på
sådant sätt att det kan förknippas med olovlig tillverkning av sprit eller
spritdrycker. Verket menar att det numera är ovanligt med annonser för
aktivt kol och att det är mycket svårt att avgöra till vem företagaren riktar
sin marknadsföring och försäljning och vad det aktiva kolet skall använ-
das till. Rekvisitet “förknippas med olovlig tillverkning” är heller inte
tillräckligt tydligt för att det skall kunna anknytas till eller ha ett direkt
samband med försäljning och marknadsföring av produkter för olovlig
tillverkning. Med hänsyn till den kritik som har framförts vid remiss-
behandlingen är regeringen inte beredd att nu föreslå några lagföränd-
ringar när det gäller hanteringen av aktivt kol.
Prop. 2000/01:97
Regeringens förslag: Centralt skall det finnas endast ett register över
innehavare av serveringstillstånd m.fl. jämte försäljningsvolymer
m.m., vilket är avsett för uppföljning och utvärdering samt statistik.
Kommunerna ges ökade möjligheter att själva ta in uppgifter, bl.a. om
domar i brottmål.
75
Alkoholutredningens förslag: överensstämmer med regeringens.
Remissinstanserna: Alkoholinspektionen anser att ett tillägg måste
göras i 12 kap. 3 § alkohollagen, så att det finns ett tydligt stöd för att
registrera uppgifter i de fall tillstånd, medgivande eller registrering upp-
hört. 6 § bör av integritetsskäl regleras på sätt liknande det i nuvarande
12 kap. 4 § i alkohollagen och 7 § i alkoholförordningen. IOGT-NTO
anför att det bör finnas ett centralt register som bl.a. kan förse tillstånds-
myndigheten med uppgifter om personer som tidigare haft tillstånd och
om tillstånd finns beviljade för samma person i flera kommuner. Justitie-
ombudsmannen anför att kronofogdemyndighetens skyldighet att agera
självmant enligt 8 kap. 2 § hänger i luften. Kronofogdemyndigheten har
ingen vetskap om vilka som har tillstånd såvida inte kommunerna upply-
ser om det. I praktiken löses det i vissa fall genom att kommunen begär
in uppgifter från kronofogdemyndigheten. Frågan kan lösas genom att
skyldigheten för kronofogdemyndigheten att agera självmant slopas och
den kommunala myndigheten utnyttjar sin möjlighet att inhämta uppgif-
ter. Länsrätten i Stockholms län anför att det är tveksamt att låta kommu-
nerna få direktåtkomst till belastnings- och misstankeregistren. Behovet
kan tillgodoses genom inhämtande av polismyndighetens yttrande. Läns-
styrelsen i Stockholms län anför att kommunerna bör åläggas att hålla ett
register över vilka som erhållit serveringstillstånd. Riksskatteverket anser
att det centrala alkoholregistret över serveringstillstånd bör få användas
för skattemyndighetens alkoholrättsligt betingade tillsyn över upplags-
havamas partihandelsverksamhet. Det är viktigt att ändamålsbestämmel-
sen rörande skattemyndigheternas tillsyn får rätt utformning. Skattemyn-
digheternas tillsyn utgörs inte av tillsyn över tillståndshavarcs verksam-
het. Registret får lämnas ut på ADB för beskattningsändamål, och så bör
vara fallet även för alkoholtillsyn. Riksskatteverket bör också få rätt att
samköra uppgifterna med uppgifter i andra register. Det bör finnas en
samsyn med punktskatteutredningen. Det kan ifrågasättas om uppgifter
som inte behövs för skattekontroll skall inhämtas av RSV. Med vilken
frekvens upplysningarna skall lämnas är värt att analysera ytterligare.
Riksåklagaren avstyrker med bestämdhet att kommunerna får tillgång till
misstankeregistret. Det är mycket viktigt för det brottsförebyggande
arbetet att uppgifter därifrån inte sprids. Riksåklagaren är heller inte
övertygad om att kommunens behov av uppgifter ur belastnings- och
misstankeregistren är sådant att hänsynen till den enskildes integritet
skall l'å vika. Polismyndighetens uppgiftsskyldighet gör att kommunerna
ändå har utförlig information. Sprit & Vinleverantörsföreningen anför att
ett centralt register är ett större problem än utredningen ger vid handen.
Det är särskilt viktigt att registret alltid är uppdaterat, då det åligger parti-
handlarna att kontrollera att deras kunder har tillstånd. Statskontoret
anser att del är tveksamt från integritetssynpunkt att låta 289 kommuner i
stället för en myndighet få tillgång till polisens sekretessbelagda register.
Spridningsriskcn för känsliga uppgifter ökar samtidigt som kontrollmöj-
ligheterna avseende sekretessen minskar. I stället borde polismyndig-
hetens yttrande i ärendet vara tillräckligt. Även effektivitetsskäl talar för
en sådan lösning. Sveriges landsråd för alkohol- och narkotikafrågor
anser att det bör finnas ett kommunalt register också över alla som serve-
rar folköl. Östersunds kommun anser att kommunen skall ha samma rätt
Prop. 2000/01:97
76
som Alkoholinspektionen i dag har att ta del av kriminal- och misstanke-
register.
Skälen för regeringens förslag: Med stöd av regleringen i 12 kap.
alkohollagen har Alkoholinspektionen byggt upp ett omfattande register
över innehavare av tillverknings- och partihandelstillstånd. Parallellt med
detta utvecklar man också ett register med motsvarande uppgifter om
innehavare av serveringstillstånd. Registret är i denna del komplett avse-
ende serveringsställets belägenhet (kommuntillhörighet), tillståndets
omfattning, tillståndshavare samt uppgifter om försäljningen av alkohol-
drycker. När det gäller tillståndshavare är det den juridiska personen
(registreringsnumret för aktie-, handels-, kommanditbolag eller enskild
firma) som avses och försäljningssiffrorna är hämtade från uppgifterna i
den s.k. restaurangrapporten. För vissa kommuner finns dessutom per-
sonuppgifter avseende ägare, styrelseledamöter, bolagsmän m.fl. Regist-
ret består med andra ord av en fullt utbyggd statistikdel och en person-
uppgiftsdel under uppbyggnad.
Som en följd av att de särskilda tillstånden för partihandel med sprit-
drycker, vin och starköl togs bort vid årsskiftet 1999/2000 har Alkohol-
inspektionen i princip inte längre något tillstånds- eller tillsynsansvar
över enskilda aktörer på detta område. Alkoholinspektionens uppgifter i
övrigt kommer att övertas av Statens folkhälsoinstitut. Behovet av ett
register med fullständiga personuppgifter avseende tillverkning m.m. kan
enligt regeringen ifrågasättas. Registret bör innehålla uppgifter om den
som har tillverknings- eller inköpstillstånd samt om den som har rätt att
bedriva partihandel. Ändamålet med registret bör begränsas till tillsyn,
uppföljning och utvärdering av lagens tillämpning samt framställning av
statistik.
När det gäller registret över serveringstillstånd har ett sådant funnits
sedan lång tid tillbaka för forsknings- och statistikändamål. Alkohol-
inspektionen arbetar f.n. med att komplettera detta register med person-
uppgifter för tillståndshavare och personer med betydande inflytande i
rörelsen. Den nya myndigheten har för egen del ingen användning för
sådana uppgifter, eftersom det inte ingår i den framtida myndighetens
huvudsakliga ansvarsområde att arbeta med enskilda tillstånds- eller till-
synsärenden. Den ursprungliga tanken var emellertid att personregistret
skulle kunna samköras med andra register, framför allt med polisens
register. Denna fråga aktualiserades också av Branschsaneringsutred-
ningen i betänkandet Branschsanering och andra metoder mot ekobrott
(SOU 1997:111) och togs upp i regleringsbrevet till Alkoholinspektionen
inför budgetåret 1999. Resultatet av samkömingen skulle efter bearbet-
ning av inspektionen sändas ut till berörda kommuner för kännedom och
eventuella åtgärder. Personuppgiftsdelen av restaurangregistret är dock
långt ifrån komplett. Registret omfattar f.n. ca 10 000 tillståndshavare
avseende stadigvarande tillstånd. Antalet berörda personer kan uppskat-
tas till ca fyra stycken i genomsnitt per tillstånd, dvs. totalt ca 40 000
namn och personnummer, varav i dag endast ca en tiondel har registre-
rats av inspektionen. Dessa personer byts dessutom kontinuerligt ut mot
andra och registret behöver därför ständigt uppdateras för att vara aktu-
ellt.
Ett nationellt tillstånds- och statistikregister behövs för att man skall
kunna följa alkoholkonsumtionens utveckling, nationellt, regionalt och
Prop. 2000/01:97
77
lokalt samt för forsknings- och statistikändamål. Det kommer också att
ligga i Statens folkhälsoinstituts övergripande uppgifter att ha ett stati-
stik- och uppföljningsansvar över alkoholflödet i landet. Med de till-
ståndsuppgifter från kommuner och försäljningssiffror från tillstånds-
havare och leverantörer, som lämnas i dag, har dessutom Alkoholinspek-
tionen redan i dag ett fullt utbyggt register för dessa ändamål. Därigenom
kan man följa såväl serveringstillståndens utbredning som restaurang-
konsumtionens utveckling samt hur import- och exporthandeln med
spritdrycker, vin och starköl utvecklas.
Regeringen anser mot denna bakgrund att den del av Alkoholinspek-
tionens register som avser uppgifter om innehavare av serveringstillstånd
jämte uppgifter om tillståndets omfattning och villkor för detta, serve-
ringsställets belägenhet samt försäljningsvolymer bör behållas främst för
tillsyn, uppföljning och forskning. Ett sådant register fyller också en
praktisk funktion genom att det lätt kan kontrolleras t.ex. om någon har
tillstånd i mer än en kommun. Registret bör bygga på kommunernas
uppgifter om meddelade och återkallade tillstånd samt den s.k. restau-
rangrapporten. Liksom nu bör dessa uppgifter kompletteras med uppgif-
ter om försäljningsvolymer från bl.a. partihandlare och tillverkare. Det
bör bli en uppgift för Statens folkhälsoinstitut att i fortsättningen föra
detta register.
Frågan gäller emellertid om det centrala registret bör begränsas till nu
angivna uppgifter eller om ambitionen bör ställas högre, att t.ex. registret
kompletteras med uppgifter om personer med betydande inflytande i
rörelsen. Syftet härmed skulle vara att göra registret mer användbart som
hjälpmedel för kommunerna vid deras löpande tillsyn och vandelspröv-
ning.
Ett sätt att förenkla inhämtandet av personuppgifter till det centrala
registret skulle vara att via datamedium överföra dessa från Patent- och
registreringsverkets (PRV) aktiebolags- och handelsbolagsrcgister. Där-
med fångar man upp styrelseledamöter och bolagsmän men inte delägare
eller andra personer med betydande inflytande i rörelsen. Även en sådan
registerhållning kräver dock kontinuerlig uppföljning. Det finns dess-
utom i dag inget hinder för kommunerna att själva ta in dessa uppgifter.
Många kommuner gör det redan genom att de via datakommunikation är
uppkopplade mot PRV:s register.
Så gott som alla kommuner har i dag lagt upp egna register över ser-
veringstillstånden i kommunen. Detta är nödvändigt bl.a. för att kunna
hålla reda på vilka tillståndshavare man enligt alkohollagen är skyldig att
utöva tillsyn över. Det behövs även för vissa lokala statistikbehov m.m.
Det finns inget gemensamt registersystem för kommunerna och vilka
uppgifter som registreras styrs ofta av lokala behov. Sedan personupp-
giftslagens tillkomst är det bestämmelserna i denna som styr vad kom-
munen får registrera.
Enligt regeringens mening ter det sig högst tveksamt om den förhål-
landevis stora arbetsinsats som det skulle innebära för det nya Statens
folkhälsoinstitut att hålla registret aktuellt på nu angivet sätt är motiverad
med hänsyn till kommunernas löpande lämplighetsprövning. Kommu-
nernas strategier för tillsyn varierar men synes sällan grunda sig på
regelbunden uppföljning av alla förändringar av styrelseledamöter m.fl.
Risken är dessutom stor för fortsatta problem med en registerhållning av
Prop. 2000/01:97
78
denna omfattning med det ansvar den innebär för Statens folkhälsoinsti-
tut. Regeringen anser därför att det centrala registret bör begränsas till de
uppgifter som nämns i det föregående.
Med denna bedömning uppkommer frågan om det finns behov av att
stärka kommunernas möjligheter att själva ta in de uppgifter de behöver
för tillståndsprövning och löpande lämplighetsprövning. Frågan upp-
kommer främst beträffande de belastningsuppgifter avseende tillstånds-
havare som f.n. registreras av Alkoholinspektionen. Uppgifter i de regis-
ter som förs av Rikspolisstyrelsen är sekretessbelagda och kommunerna
har i dag ingen möjlighet att begära sådana uppgifter.
Regeringen vill i denna del framhålla att kommunerna har det fulla
ansvaret för tillståndsgivning, löpande lämplighetsprövning och tillsyn
när det gäller servering av spritdrycker, vin och starköl. Det vore inte
rimligt om dessa beslut skulle fattas på ett ofullständigt underlag och
därmed riskera att komma i strid med lagstiftarens intentioner. Att vissa
brott anses vara av betydelse för lämplighetsprövningen enligt alkohol-
lagen framgår indirekt av alkoholförordningens bestämmelser om regi-
strering. Enligt regeringens uppfattning måste därför säkerställas att
kommunerna, om de inte kan få uppgifterna från det centrala registret,
kan få dessa uppgifter på annat sätt. Detta kan ske genom en ändring i
förordningen om belastningsregister. Regeringen anser att en sådan änd-
ring bör genomföras. Det finns i det sammanhanget skäl att erinra om att
det enligt 9 kap. 24 § sekretesslagen (1980:100) gäller sekretess till
skydd för enskild i sådana ärenden hos kommunen. Dock bör kommunen
inte som utredningen föreslår få tillgång till polisens misstankeregister.
Det är mycket viktigt för det brottsförebyggande arbetet att uppgifter
därifrån inte sprids.
Kommunens rätt att från polismyndigheten få vissa uppgifter som
behövs för tillstånds- och lämplighetsprövning samt tillsyn bör dessutom
utvidgas. Visserligen gäller redan enligt 8 kap. 2 § alkohollagen att
polismyndigheten skall underrätta bl.a. kommunen om förhållanden som
är av betydelse för dess tillsyn. Genom ett tillägg i fjärde stycket i samma
paragraf klargörs dock att polismyndigheten också skall lämna behövliga
uppgifter på begäran av kommunen. Det kan röra sig om polisens
iakttagelser angående t.ex. missbruk eller oegentligheter av olika slag.
Regeringen vill avslutningsvis betona att förändringen av det centrala
registret inte får innebära någon ambitionssänkning när det gäller den s.k.
vandelsprövningen av innehavarna av serveringstillstånd. Liksom tidi-
gare gäller att kontroll skall ske inte endast då tillstånd beviljas utan
också fortlöpande. Vilka som ingår i kretsen personer med betydande
inflytande i rörelsen liksom belastningsuppgifter rörande dessa bör
sålunda följas upp vid regelbundet återkommande tillfällen. Enligt
regeringens mening kan det vara lämpligt att göra en sådan kontroll
åtminstone en gång om året. Det är en angelägen uppgift för Statens
folkhälsoinstitut att i allmänna råd närmare ta upp frågan om formerna
för kommunernas tillsyn över innehavare av serveringstillstånd. Rege-
ringen vill dessutom framhålla vikten av att länsstyrelserna i sin tillsyn
uppmärksammar eventuella problem på området och gör de påpekanden
som erfordras till kommunerna.
I det centrala registret kommer fortsättningsvis endast uppgifter om
tillståndshavares namn eller firma, adressuppgifter samt den verksamhet
Prop. 2000/01:97
79
som tillståndet avser att behandlas. Registret kommer inte att innehålla
integritetskänsliga uppgifter. Det finns därför inte skäl att ha särskilda
gallringsbestämmelser för registret i dess nya form. I stället blir bestäm-
melserna om bevarande och gallring i arkivlagen (1990:782) och i arkiv-
förordningen (1991:446) tillämpliga.
Personuppgiftslagens (1998:204) bestämmelser om rättelse och skade-
stånd skall tillämpas också vad gäller det centrala registret.
Som nämnts tidigare behandlar kommunerna personuppgifter i sin till-
stånds- och tillsynsverksamhet. För denna behandling gäller personupp-
giftslagen (1998:204) i den mån inte Datainspektionen meddelat ett till-
stånd som fortfarande gäller eller det i en lag eller förordning finns avvi-
kande bestämmelser. Datainspektionens tillstånd förfaller den 1 oktober i
år varvid personuppgiftslagen blir tillämplig också avseende den be-
handling av personuppgifter som tidigare omfattades av tillståndet.
Fråga är om det finns skäl att särreglera kommunernas personuppgifts-
behandling inom detta område. Regeringen har i tidigare sammanhang
uttalat att en målsättning bör vara att, i de fall myndighetsregister med ett
stort antal registrerade och ett särskilt känsligt innehåll inrättas, bestäm-
melser skall meddelas i lag (prop. 1990/91:60 s. 58). Regeringen tilläde
att detta gäller särskilt i de fall uppgifterna sprids externt i en icke obe-
tydlig omfattning. Riksdagen har instämt i regeringens uttalanden (KU
1990:91:11 s. 11). I förarbetena till personuppgiftslagen upprepade
regeringen sin inställning (prop. 1997/98:44 s. 41), liksom också i för-
arbetena till lagen om fastighetsregister (prop. 1999/2000:39 s. 79).
Den behandling av personuppgifter som kommunerna utför i sin till-
stånds- och tillsynsverksamhet kan enligt regeringens mening inte anses
omfatta ett stort antal registrerade. Som mest rör det sig om drygt 1 500
serveringstillstånd i en kommun. Uppskattningsvis är i genomsnitt fyra
personer registrerade per tillstånd. Några exakta uppgifter om hur många
som säljer eller serverar öl utan att ha tillstånd att servera spritdrycker,
vin eller starköl finns inte. Antalet registrerade på grund av sådan för-
säljning eller servering torde dock i vart fall inte nämnvärt överstiga det
antal personer som registrerats på grund av innehav av serveringstill-
stånd. Som mest torde det röra sig om omkring 2 500 ölförsäljare i en
kommun. I de register kommunerna för över personer som har serve-
ringstillstånd finns enligt vad regeringen erfarit endast uppgifter om till-
ståndshavarens namn och person- eller organisationsnummer samt
adress. I de fall tillståndshavaren är ett företag förekommer också att
kommunerna i sina register för in uppgifter om företagets ägares namn.
En del kommuner för också in uppgifter om datum för det senaste till-
synsbesöket i registret. Sådana uppgifter är inte särskilt känsliga. Extern
spridning av dem sker i viss mån till andra tillsynsmyndigheter enligt
alkohollagen, övriga uppgifter av betydelse för tillstånds- och tillsyns-
verksamheten finns endast i de akter som upprättats över tillstånds-
havama.
Sammanfattningsvis anser regeringen att personuppgiftslagen ger ett
fullgott integritetsskydd i kommunernas verksamhet såvitt avser tillsyn
och tillståndsgivning inom alkoholområdet. Någon särreglering, vare sig
i lag eller förordning, av kommunernas behandling av personuppgifter
anser regeringen inte att det finns behov av.
Prop. 2000/01:97
80
Att Statens folkhälsoinstituts och kommunens beslut om rättelse av Prop. 2000/01:97
och information i fråga om personuppgifter i registren kan överklagas
följer av förslaget till 9 kap. 2 § alkohollagen.
Regeringens förslag innebär inte några nya offentliga åtaganden. I de
allra flesta fall handlar det om förtydliganden och preciseringar av gäl-
lande regler. Enligt regeringens mening ligger förslagen huvudsakligen
inom ramen för de uppgifter som redan åvilar berörda myndigheter. För-
slagen medför inte enligt regeringens uppfattning några ökade kostnader
för tillämpning av bestämmelserna. Regeringen erinrar också om att
kommunerna kan finansiera arbetet med serveringstillstånd genom
avgifter för tillståndsprövning och tillsyn. När det gäller tillsyn över
folkölsförsäljningen ges kommunerna en möjlighet att ta ut avgifter för
kostnaderna för denna tillsyn.
När det gäller konsekvenserna för den kommunala självstyrelsen erin-
ras om att det är kommunerna som har ansvaret för beslut om serve-
ringstillstånd och för tillsyn över servering och folkölsförsäljning. Flera
av regeringens förslag syftar till att stärka och underlätta kommunernas
tillsynsroll på det här området.
Alkohollagen innehåller redan i dag bestämmelser som skall motverka
brottslighet och främja brottsförebyggande verksamhet. Flera av försla-
gen syftar till att genom förtydliganden och kompletteringar av gällande
bestämmelser underlätta arbetet för bl.a. polis och åklagare. Förbudet
mot att överlämna alkoholdrycker till ungdomar föreslås omfatta även
det fallet att någon bjuder för förtäring på stället, om det med hänsyn till
den bjudnes ålder och omständigheterna i övrigt är uppenbart oförsvar-
ligt. Förslaget motiveras av svårigheter som åklagare och polis mött när
det gäller att föra sådana brott till åtal. Innehavare av serveringstillstånd
föreslås med vissa undantag bli skyldiga att registrera all försäljning i
kassaregister och tillhandahålla kunden kvitto. Olovligt innehav av alko-
holdrycker i uppenbart syfte att olovligen sälja dem föreslås utvidgas till
att även omfatta öl. Avsikten är att underlätta ingripanden mot olovlig
försäljning av öl och även möjliggöra beslag.
Regeringens förslag angående register avser att stärka skyddet för den
personliga integriteten genom att den omfattande centrala registreringen
av personuppgifter begränsas och inte längre skall omfatta känsliga per-
sonuppgifter. Härigenom minskar risken att sådana uppgifter återges fel-
aktigt eller sprids till fler än nödvändigt. För att tillståndsmyndighetema
ändå skall kunna fullgöra sin skyldighet att fortlöpande göra en vandels-
prövning föreslås att dessa ges rätt att få relevanta uppgifter direkt från
polisens belastningsregister.
Effekter av betydelse för små företags arbetsförutsättningar m.m.
Några av regeringens förslag underlättar arbetsförutsättningarna för små
företag. Skyldigheten för restaurangföretag att lämna statistiska uppgifter
om försäljningen (den s.k. restaurangrapporten) förenklas. Enligt de nya
81
reglerna skall rapporten bara lämnas en gång om året i stället för två. Ett
tillägg görs i alkohollagen som gör det möjligt att anlita tillfällig personal
från s.k. bemanningsföretag.
Krav på egcntillsyn införs vid detaljhandel med och servering av öl.
Detta får dock ses som en precisering av skyldigheter som redan åvilar
de berörda näringsidkarna enligt livsmedelslagen. Det betyder i praktiken
att näringsidkaren till sitt egentillsynsprogram enligt livsmedelslagen
även skall foga uppgifter bl.a. om hur ålderskontroll vid försäljning av
folköl sker och hur personalen utbildas. Kommunerna ges också möjlig-
het att ta ut en smärre avgift som motsvarar kommunens självkostnad för
tillsynen över folkölsförsäljningen. Detta motiveras av de brister (se
beskrivningen i avsnitt 6) som i dag finns när det gäller handlarnas ål-
derskontroll vid försäljning av öl och ger kommunen de resurser den
behöver för att på ett bättre sätt än hittills sköta sina tillsynsuppgifter. Det
är inle acceptabelt att vid inköpskontroller, som har redovisats från olika
undersökningar, upp till 60-70 procent av de underåriga ungdomar som
försöker köpa folköl också får göra det. Detta visar att handeln inte lever
upp till del ansvar man har enligt alkohollagen, när det gäller att för-
hindra att ungdomar under 18 år får köpa folköl. Kommunens uppgift i
förhållande till detaljhandeln blir information, rådgivning och kontroll av
egentillsynsprogrammen. Med normal ambitionsnivå, motsvarande att
kommunen antas besöka varje försäljningsställe ungefär en gång per år,
kan en årlig tillsynsavgift uppskattas till ca 500-800 kronor per försälj-
ningsställe. Tillsynsavgift kan självklart endast tas ut om tillsynsverk-
samhet bedrivs i kommunen. Den som bedriver detaljhandel med eller
servering av öl skall dessutom anmäla verksamheten hos den kommun
där försäljningen sker. Denna anmälningsskyldighet bedöms dock som
en mycket ringa insats från näringsidkarens sida men är nödvändig om
kommunen skall kunna ta ut en avgift från företagaren och kunna bedriva
en effektiv tillsyn. Anmälan bör kunna ske på enklast möjliga sätt och
även kunna tas upp på telefon eller göras över nätet. Kommunen måste
självklart informera handlarna om anmälningsskyldigheten och de som
vid lagens ikraftträdande säljer eller serverar öl får ytterligare sex måna-
der från lagens ikraftträdande på sig att göra anmälan. Om anmälan ute-
blir kan i förlängningen kommunen förbjuda handlaren att sälja folköl.
Olika alternativ till lösning diskuteras i avsnitt 6. Den bristfälliga ålders-
kontrollen vid folkölsförsäljning är väl dokumenterad liksom att miss-
bruket av folköl gått allt längre ned i åldrarna. Folköl är den vanligaste
alkoholdrycken som konsumeras av ungdomar i åldersgruppen 15-19 år.
Alt komma tillrätta med dessa problem enbart med frivilliga åtgärder har
under de senaste sex åren inte visat sig möjligt. Därför bedömer rege-
ringen det som nödvändigt alt reglerna för folkölsförsäljningen och till-
synen ytterligare skärps enligt här redovisat förslag.
Att rätten till ölservering i samband med ambulerande korv- och glass-
försäljning eller liknande avskaffas innebär att den lokala livsmedels-
butiken gynnas. Den ambulerande korvförsäljaren får i fortsättningen
nöja sig med att sälja lättöl istället för folköl. Problem med folkölsför-
säljning till ungdomar från ambulerande försäljare har rapporterats fram-
för allt från folkölsprojekt i Skåne.
Prop. 2000/01:97
82
Kravet på obligatorisk registrering av all försäljning i kassaregister kan Prop. 2000/01:97
medföra något ökade krav för en del mindre serveringsrörelser men
motiveras av dess betydelse för att motverka ekonomisk brottslighet.
Regeringens förslag: Förändringarna i alkohollagen skall träda i kraft
den 1 juli 2001. Detta gäller dock inte bestämmelserna om kassa-
register som istället skall träda i kraft den 1 juli 2003.
Alkoholutredningens förslag: Överensstämmer i huvudsak med
regeringens. Utredningen har, som tidigare redovisats, föreslagit
begränsningar när det gäller sena tider för servering av spritdrycker, vin
och starköl. Som en följd det förslaget har utredningen också föreslagit
en särskild tidpunkt för ikraftträdandet av en sådan bestämmelse.
Remissinstanserna: Kammarrätten i Stockholm anför att den nya
bestämmelsen om att försäljning får ske längst till kl. 03.00, skall gälla
även för dem som före ikraftträdandet fått tillstånd som gäller för tid
efter lagens ikraftträdande. Det kan möjligen strida mot principen att
gynnande beslut inte får ändras retroaktivt annat än om vissa förutsätt-
ningar är uppfyllda.
Skälen för regeringens förslag: Den nya regeln om kassaregister
m.m. kan inte träda i kraft omedelbart. Närmare föreskrifter behöver
dessförinnan utfärdas av Statens folkhälsoinstitut. En övergångstid på två
år är enligt regeringens uppfattning lämpligt avvägd.
Efter ikraftträdandet av den nya lagen kommer inte längre belastnings-
uppgifter m.m. att tillföras det centrala register som för närvarande finns
hos Alkoholinspektionen. En registerhållning av mera begränsad omfatt-
ning skall ske hos Statens folkhälsoinstitut. Det befintliga registret hos
Alkoholinspektionen bör dock enligt regeringens uppfattning behållas för
forskningsändamål m.m och tas över av Statens folkhälsoinstitut. Härvid
bör tidigare meddelade föreskrifter om bl.a. gallring fortsätta att gälla.
Den som den 1 juli 2001 redan bedriver servering av eller detaljhandel
med öl skall senast den 1 januari 2002 anmäla verksamheten hos den
kommun där försäljningen sker.
Regeringens förslag: Ikraftträdande- och övergångsbestämmelserna
till lagen (1999:1001) om ändring i alkohollagen (1994:1738) ändras
på så sätt att den som har medgivits rätt att bedriva partihandel med
alkoholdrycker med stöd av tidigare gällande bestämmelser ges möj-
lighet att fortsätta sin verksamhet till utgången av år 2003.
Alkoholutredningen: Hade inget förslag i denna del.
83
Remissinstanserna: Några remissinstanser, bl.a. Alkoholinspektionen,
har påtalat att ett 70-tal partihandlare som fortfarande saknar godkän-
nande eller registrering enligt lagen om alkoholskatt riskerar att tvingas
upphöra med sin partihandelsverksamhet.
Skälen för regeringens förslag: Genom lagen (1999:1001) om änd-
ring i alkohollagen (1994:1738) ersattes tillstånden för partihandel med
alkoholdrycker med en koppling till godkännande som upplagshavare
eller registrering som varumottagare enligt lagen (1994:1564) om alko-
holskatt (prop. 1998/99:134, bet. 1999/2000:SoU4, rskr. 1999/2000:42).
Av ikraftträdande- och övergångsbestämmelserna till ändringslagen föl-
jer att partihandelstillstånd som före den 1 januari 2000 har meddelats
annan än den som är godkänd som upplagshavare eller registrerad som
varumottagare enligt lagen om alkoholskatt skall fortsätta att gälla, dock
längst till utgången av år 2001. Det har upplysts att det fortfarande finns
ett antal näringsidkare som innehar partihandelstillstånd för alkohol-
drycker och som saknar godkännande eller registrering enligt lagen om
alkoholskatt. Enligt regeringen bör dessa näringsidkare skäligen kunna
fortsätta sin verksamhet även efter utgången av år 2001. Övergångstiden
för dem bör därför förlängas till utgången av år 2003. I stället för Alko-
holinspektionen kommer Statens folkhälsoinstitut att ha att utöva tillsyn
över dessa tillståndshavare. Tillsynsavgifter skall tas ut även i fortsätt-
ningen.
Prop. 2000/01:97
3 kap.
1 tredje stycket har förts in en bestämmelse om att underåriga inte får
bjudas på alkoholdryck för förtäring på stället om det med hänsyn till den
bjudnes ålder och omständigheterna i övrigt är uppenbart oförsvarligt.
Avsikten med det nu föreslagna förbudet är att förhindra att unga bjuds
på sådana mängder alkohol att de riskerar att skadas, utnyttjas eller
annars fara illa. Någon exakt mängd alkohol som den unge kan bjudas på
kan inte anges utan måste vara beroende av den unges ålder och mognad,
situationen under vilken han eller hon bjuds och hur han eller hon som
individ reagerar på alkohol. Med förtäring på stället avses att förtäringen
sker i omedelbar anslutning till bjudandet av drycken. Att ”bjuda på”
alkoholdryck som tas med för senare förtäring är generellt förbjudet och
omfattas inte av undantaget. Överträdelser av 9 § är straffbelagda i
10 kap. 6 § och kan i grova fall medföra fängelse i upp till fyra år. Även
överträdelser som består i att bjuda ungdomar på alkohol bör kunna
bedömas som grovt brott, t.ex. om någon medvetet inriktar sig på att
locka ungdomar att dricka sig berusade, se 10 kap. 3 §. Ringa gärningar
skall dock inte föranleda straff, jämför 10 kap. 8 §. Se även allmänna
överväganden i avsnitt 7.3.
84
4 kap.
Paragrafen har försetts med ett nytt tredje stycke om att innehavare av
serveringstillstånd får rätt att sälja tillbaka varor som omfattas av ser-
veringstillståndet till partihandlare. (Även Systembolaget AB, se 5 kap.
1 § tredje stycket, har getts motsvarande rätt.) Syftet med bestämmelsen
är att ge innehavare av serveringstillstånd möjlighet att sälja enstaka
varor de inte kunnat avyttra på vanligt sätt åter till den partihandlare de
inköpt varan av eller till annan partihandlare. Det är alltså endast fråga
om försäljning till någon som har rätt att handla med varorna, inte till en
konsument. Se även allmänna överväganden i avsnitt 4.2.
Rätten för tillverkare och partihandlare att sälja spritdrycker, vin och
starköl till innehavare av tillstånd för tillfällig servering i slutet sällskap
tas bort. Innehavare av sådana tillstånd blir därigenom hänvisade till
Systembolaget AB för inköp av dryckerna. Se även allmänna övervägan-
den i avsnitt 5.3.
I första stycket har språket moderniserats. Någon ändring i sak är inte
avsedd.
Andra stycket har kompletterats i syfte att ge möjlighet för kronofogde-
myndighet att sälja utmätta alkoholdrycker till någon som är berättigad
att bedriva partihandel eller till Systembolaget AB. Se även allmänna
överväganden i avsnitt 4.2.
5 kap.
Genom ett tillägg i tredje stycket ges Systembolaget AB rätt till försälj-
ning av enstaka partier av varor till någon som har rätt att bedriva parti-
handel med sådana varor. Jämför kommentaren till 4 kap. 1 §. Se även
allmänna överväganden i avsnitt 4.2.
I forsla stycket har införts en möjlighet till en ny försäljningsform för
Systembolaget AB. För annan persons räkning får Systembolaget AB
bedriva försäljning av spritdrycker, vin och starköl genom auktion. Att
enskilda har rätt att låta Systembolaget AB anordna auktioner för att sälja
sådana drycker i de enskildas ägo är en självklar följd av denna bestäm-
melse. Någon särreglering av de enskildas rätt i detta avseende anses där-
för inte behövlig. I ett nytt andra stycke ges möjlighet för bolaget att
bedriva provning av alkoholdrycker för allmänheten. Det förutsätts att
avtalet mellan staten och Systembolaget AB kompletteras med närmare
riktlinjer för dessa nya verksamheter. Se även allmänna överväganden i
avsnitt 4.2.
I första stycket utgår undantaget för tillverkare av lättdrycker att få
bedriva detaljhandel med öl utan någon koppling till matvaror.
Prop. 2000/01:97
85
Enligt det nya andra stycket skall den som bedriver detaljhandel med
öl anmäla verksamheten hos den kommun där försäljningen sker.
Anmälan skall göras senast när verksamheten påbörjas. Den som redan
bedriver detaljhandel med öl skall göra sådan anmälan senast den
1 december 2001, se ikraftträdande- och övergångsbestämmelserna.
I ett nytt tredje stycke införs en skyldighet för den som bedriver detalj-
handel med öl att utöva särskild tillsyn över försäljningen. För denna
egentillsyn skall finnas ett tillsynsprogram som är lämpligt för verksam-
heten. Dessa program kan t.ex. innehålla regler för hur personalen skall
få information om alkohollagens bestämmelser samt vilka rutiner som
skall tillämpas vid försäljning av öl. Kontroll av egentillsynsprogrammen
kan samordnas med den kommunala livsmedelstillsynen, men kan även
utföras inom annan kommunal verksamhet. Se även allmänna över-
väganden i avsnitt 6.
6 kap.
Bestämmelserna för servering av öl har flyttats till 1 a §.
1 ett nytt andra stycke görs undantag från kravet på serveringstillstånd
för enstaka helt privata arrangemang, där serveringen av spritdrycker, vin
eller starköl bedrivs till självkostnadspris. I detta sammanhang avses med
självkostnadspris att deltagarna inte betalar mer för dryckerna än inköps-
priset för dessa. Något kommersiellt utbyte av alkoholserveringen får
inte finnas. Serveringen skall ske till i förväg bestämda deltagare och
arrangemanget får inte anordnas i lokaler där det bedrivs yrkesmässig
försäljning av alkoholdrycker eller lättdrycker. Kraven ställs upp för att
försvåra uppkomsten och underlätta kontrollen av s.k. svartklubbar. Se
även allmänna överväganden i avsnitt 5.3.
Bestämmelserna för servering av öl placeras i en egen paragraf. Det tidi-
gare undantaget från kravet på godkänd livsmedelslokal för den som
yrkesmässigt hanterar livsmedel enligt 23 § livsmedelslagen avskaffas.
Detta betyder att exempelvis ambulerande korv- och glassförsäljare inte
längre har rätt att servera öl. I övrigt är förutsättningarna för att öl skall få
serveras oförändrade. Enligt andra stycket får servering av öl dessutom
ske på samma villkor som anges i 1 § andra stycket, dvs. arrangemang
där serveringstillstånd inte krävs, och av den som har meddelats serve-
ringstillstånd.
Enligt tredje stycket skall den som bedriver servering av öl anmäla
verksamheten hos den kommun där försäljningen sker. Anmälan skall
göras senast när verksamheten påbörjas. Anmälningsskyldigheten gäller
inte den som har serveringstillstånd. Inte heller föreligger någon anmäl-
ningsskyldighet i de fall som avses i 6 kap. 1 § andra stycket, dvs. i de
situationer när serveringstillstånd inte krävs för servering av spritdrycker,
vin eller starköl.
I Jjärde stycket införs skyldighet för den som bedriver servering av öl
att. på motsvarande sätt som anges i 5 kap. 6 § andra stycket, utöva sär-
skild tillsyn över serveringen. Även för denna egentillsyn skall finnas ett
för verksamheten lämpligt tillsynsprogram. Se vidare kommentaren till
nämnda paragraf ovan samt allmänna överväganden i avsnitt 6.
Prop. 2000/01:97
86
Ändringen i fjärde stycket gör det möjligt för tillståndshavaren att hyra in
t.ex. köks- och serveringspersonal från bemanningsföretag. Den nya
möjligheten att kunna hyra in olika personalkategorier medför ingen änd-
ring av tillståndshavarens ansvar för ordning och nykterhet. Det är fort-
farande tillståndshavaren som skall se till att alkohollagens regler följs
och eventuella missförhållanden kan liksom tidigare leda till återkallelse
av serveringstillståndet. Se även allmänna överväganden i avsnitt 5.5.
Bestämmelsen om serveringstider för öl utmönstras med hänsyn till att
ölservering inte är tillståndspliktig verksamhet. Eventuella olägenheter
som uppkommer med servering av öl vid olämpliga tider kan mötas med
förbud enligt 7 kap. 21 §.
I första stycket anges att risken för alkoholpolitiska olägenheter skall
beaktas särskilt vid beslut om serveringtid. Härvid bör polismyndig-
hetens och miljöförvaltningens yttranden ges stor tyngd. I övrigt har
endast redaktionella ändringar gjorts i paragrafen. Se även allmänna
överväganden i avsnitt 5.1.
En bestämmelse har införts om att innehavare av tillstånd för tillfällig
servering i slutet sällskap endast får inhandla spritdrycker, vin och
starköl som omfattas av tillståndet på Systembolaget AB. Se även kom-
mentaren till 4 kap. 5 § ovan samt allmänna överväganden i avsnitt 5.3.
7 kap.
I första stycket klargörs att ”tillstånd för servering året runt eller årligen
under viss tidsperiod” benämns ”stadigvarande tillstånd”. I övrigt har
endast gjorts redaktionella ändringar utan att någon ändring i sak är
avsedd.
I första stycket har lagts till att serveringsstället skall vara lämpligt för
sitt ändamål ur brandsäkerhetssynpunkt, se avsnitt 5.4.
I tredje stycket införs en möjlighet för kommunen att ta ut avgift för till-
syn över servering och detaljhandel med öl. Se även allmänna över-
väganden i avsnitt 6.
I punkten 1 tas in en ny bestämmelse om att kommunen skall återkalla
serveringstillstånd om tillståndet inte längre utnyttjas. Nu befintliga
punkter får därför ändrad numrering. Som ytterligare ny grund för åter-
kallelse förs som punkt 5 in att tillståndshavaren tillåter brottslig verk-
samhet på serveringsstället. Med brottslig verksamhet avses t.ex. narko-
tikabrott, dobbleri och brott mot lotterilagen (1994:1000), koppleri, häleri
och därmed jämförlig allvarlig brottslighet. Återkallelse kan inte komma
Prop. 2000/01:97
87
i fråga om brottsligheten förekommit i serveringslokalen utan tillstånds-
havarens vetskap eller om han gjort vad som rimligen kunnat krävas av
honom för att förhindra att lokalen använts för brottslig verksamhet.
Föreligger medverkansansvar för tillståndshavaren i nämnda fall före-
ligger normalt grund för återkallelse av tillståndet redan enligt den nuva-
rande punkten 3. Se även allmänna överväganden i avsnitt 5.4.
Möjligheten att meddela förbud mot detaljhandel med eller servering av
öl utökas, vid upprepad eller allvarlig försummelse, till att kunna avse en
tid av tolv månader. I normalfallet skall försäljningsförbud meddelas för
sex månader. Förbudet skall meddelas för en tid om antingen sex eller
tolv månader. Se även allmänna överväganden i avsnitt 6.
8 kap.
Tillägget i första stycket föranleds av att motsvarande bestämmelse i
12 kap. upphävs. I.fjärde stycket klargörs att polismyndigheten, förutom
den skyldighet som myndigheten ålagts i andra stycket att självmant
underrätta andra tillsynsmyndigheter om förhållanden som är av bety-
delse för dessa myndigheters tillsyn, också skall lämna uppgifter på
begäran av tillståndsmyndigheten. Det kan härvid röra sig såväl om poli-
sens iakttagelser angående t.ex. missbruk eller oegentligheter av olika
slag som om personuppgifter från belastningsregistret i den mån detta
medges i registerförfattningen. Se även allmänna överväganden i
avsnitt 8.
Ändringarna i fjärde stycket är föranledda också av att Riksskattever-
ket inte är tillståndsmyndighet enligt alkohollagen. Genom ändringarna
ges emellertid verket i egenskap av tillsynsmyndighet befogenhet att
begära in uppgifter av betydelse för den tillsyn som skall utövas enligt
1 a § andra stycket.
I paragrafens första stycke anges att innehavare av serveringstillstånd
skall vara skyldiga att registrera all försäljning i ett kassaregister samt att
erbjuda kunden kvitto. Med all försäljning avses försäljning av mat och
dryck samt ersättning för andra varor och tjänster som tillhandahålls av
tillståndshavaren. Undantagna från dessa krav är innehavare av tillstånd
för tillfällig servering i slutna sällskap. Tillståndsmyndigheten kan även
medge undantag för vissa slag av slutna sällskap med stadigvarande till-
stånd. såsom ideella föreningar och liknande.
I andra stycket anges att närmare bestämmelser om kassaregistrets
konstruktion m.m. får meddelas i förordning eller föreskrifter. Stycket är
utformat i enlighet med Lagrådets förslag. Se även allmänna övervägan-
den i avsnitt 5.12.
9 kap.
I paragrafens tidigare lydelse angavs att Alkoholinspektionens och kom-
munens beslut fick överklagas till allmän förvaltningsdomstol. Alkohol-
inspektionen kommer att upphöra som en egen myndighet den
Prop. 2000/01:97
88
1 juli 2001. Statens folkhälsoinstitut kommer då att överta inspektionens
uppgifter. Paragrafen har ändrats till följd av detta.
I första stycket angavs att det överklagade beslutet inte fick ändras utan
att den beslutande myndigheten har lämnats tillfälle att yttra sig. Mot
bakgrund av de regler som numera gäller i förvaltningsprocessen är
nämnda regel obehövlig och har därför utgått.
Enligt andra stycket i dess tidigare lydelse fick Alkoholinspektionen
respektive kommunen överklaga domstolens beslut. Någon särskild regel
om att beslutande förvaltningsmyndighet, som numera alltid är den
enskildes motpart i processen i allmän förvaltningsdomstol, har rätt att
överklaga domstolens beslut behövs inte. Av 33 § andra stycket förvalt-
ningsprocesslagen följer att den som beslutet angår har rätt att överklaga
beslutet, om detta har gått honom emot.
Hänvisningen i fjärde stycket till lagen (1994:1564) om alkoholskatt är
obehövlig och har därför utgått.
Paragrafen har utformats i enlighet med Lagrådets förslag. Se även
allmänna överväganden i avsnitt 8.
10 kap.
Paragrafen innehåller bestämmelser bl.a. om förutsättningarna för att
döma till ansvar för grovt brott vad gäller vissa gärningar.
Vid bedömningen av om bl.a. olovlig försäljning av alkoholdrycker är
att anse som grovt brott skall särskilt beaktas om brottet varit inriktat mot
ungdomar. Det var i och för sig redan tidigare möjligt att beakta detta,
men med det tillägg som gjorts i lagtexten markeras inriktning mot ung-
domar som en sådan omständighet som särskilt bör beaktas vid bedöm-
ningen av brottets svårighetsgrad. Detta understryker ett av alkohollag-
stiftningens viktigaste syften, nämligen skyddet för ungdomen. Se även
allmänna överväganden i avsnitt 7.2.
Kriminaliseringen av olovligt innehav av alkoholdrycker utvidgas från
att omfatta endast spritdrycker, vin och starköl till att även gälla öl. Där-
med finns möjlighet för polismyndigheten att beslagta öl, som innehas i
uppenbart syfte att olovligen försäljas. Förutsättning är, liksom för de
starkare alkoholdryckerna, att det kan styrkas att ölet innehas i uppenbart
syfte att säljas olovligen. Se även allmänna överväganden i avsnitt 6.
Paragrafen har ändrats redaktionellt i förtydligande syfte och för att
bättre överensstämma med uttryckssättet i 3 kap. 9 §.
Andra stycket i 4 kap. 7 § har upphävts genom lagen (1999:1001) om
ändring i alkohollagen (1994:1738). Hänvisningen i förevarande para-
grafs första stycke till 4 kap. 7 § har på grund av ett förbiseende inte
kommit att ändras i det sammanhanget. Denna ändring görs i stället nu.
Prop. 2000/01:97
89
12 kap.
i§
Ändringen är föranledd bl.a. av att Statens folkhälsoinstitut tar över
Alkoholinspektionens uppgifter. Dessutom har en språklig ändring gjorts
för att uppnå en bättre överensstämmelse med regleringen i personupp-
giftslagen (1998:204).
1 paragrafen anges att det centrala registret i fortsättningen skall använ-
das för tillsyn, uppföljning och utvärdering samt för framställning av
statistik. Därigenom kan man följa såväl serveringstillståndens utbred-
ning som restaurangkonsumtionens utveckling samt hur import- och
exporthandeln med spritdrycker, vin och starköl utvecklas. Se även all-
männa överväganden i avsnitt 8.
I paragrafen anges vilka uppgifter som får registreras. Se även ikraft-
trädande- och övergångsbestämmelserna.
Denna paragraf motsvarar i huvudsak den tidigare 8 a §.
I paragrafen föreskrivs alt bestämmelserna i personuppgiftslagcn
(1998:204) om rättelse och skadestånd även gäller vid behandling av per-
sonuppgifter enligt alkohollagen. Se även 9 kap. 2 §.
Ändringen i andra punkten är föranledd av att innehavare av partihan-
delstillstånd som den 1 juli 2001 ännu inte är godkända som upplags-
havarc eller registrerade som varumottagare enligt lagen om alkoholskatt
skäligen bör kunna få fortsätta sin verksamhet till utgången av år 2003,
se avsnitt 10.2.1 övrigt har endast en redaktionell ändring gjorts.
1.
Statens folkhälsoinstitut behöver utfärda närmare föreskrifter innan den
nya regeln om kassaregister m.m. kan träda i kraft. En övergångstid på
två år har bedömts som lämpligt avvägd och 8 kap. 5 a § skall därför
träda i kraft först den 1 juli 2003. Lagändringarna i övrigt föreslås träda i
kraft den 1 juli 2001.
2.
Efter den 30 juni 2001 kommer inte längre belastningsuppgifter m.m. att
tillföras det centrala register som f.n. finns hos Alkoholinspektionen. En
registerhållning av mera begränsad omfattning skall ske hos Statens
folkhälsoinstitut. Det befintliga registret hos Alkoholinspektionen bör
Prop. 2000/01:97
90
dock behållas för forskningsändamål m.m. och tas över av Statens folk- Prop. 2000/01:97
hälsoinstitut. Härvid bör tidigare meddelade föreskrifter om bl.a. gallring
fortsätta att gälla.
3.
Den som den 1 juli 2001 redan bedriver servering av eller detaljhandel
med öl, skall senast den 1 januari 2002 göra sådan anmälan som avses i
5 kap. 6 § andra stycket eller 6 kap. 1 a § tredje stycket.
Ändringen är föranledd av att Statens folkhälsoinstitut tar över Alkohol-
inspektionens uppgifter på området.
91
Alkoholutredningen har haft i uppdrag dels att utarbeta en ny reglering
för teknisk sprit och alkoholhaltiga preparat, dels att undersöka tillämp -
ningen av vissa bestämmelser om alkoholdrycker och vid behov föreslå
ändringar eller förtydliganden. I detta betänkande redovisas den del av
utredningens uppdrag som rör bestämmelser om alkoholdrycker. Utred-
ningens förslag rörande teknisk sprit och alkoholhaltiga preparat, regler
för tillverkning av sprit m.m. redovisas i utredningens samtidigt avgivna
betänkande SOU 2000:60 Bestämmelser om teknisk sprit m.m.
Reglerna om teknisk sprit och alkoholhaltiga preparat föreslås av
utredningen bli inarbetade i alkohollagen. Ett för de båda betänkandena
gemensamt förslag till lag om ändring i alkohollagen har därför utar-
betats. Det gemensamma lagförslaget redovisas i båda betänkandena.
Såvitt gäller bestämmelser om alkoholdrycker har Alkoholutredningen
inte haft i uppdrag att göra någon allmän översyn av gällande regler eller
ifrågasätta grunderna för den nuvarande lagstiftningen. De förslag som
utredningen lägger fram har därför utformats med hänsyn till att de skall
ligga i linje med alkohollagens allmänna inriktning och system och till att
de inte får undergräva eller försvåra den beslutade svenska alkoholpoliti-
ken. Inom denna ram har utredningen sökt efter ändamålsenliga och rim-
liga lösningar på de frågor som omfattas av uppdraget och föreslår på
många punkter förtydliganden eller förändringar som skall underlätta
tillämpningen av alkohollagen och göra den mer anpassad till dagens
krav.
Utredningen föreslår i huvudsak följande.
Definitionerna av sprit och olika slag av alkoholdrycker förtydligas
och avgränsas klarare i förhållande till varandra. Det gäller definitionerna
av sprit, alkoholdryck, spritdryck och vin. Fruktvin införs som ny
beteckning för vin som framställts genom jäsning av andra naturliga
ämnen eller substanser än druvor eller druvmust.
Skyddet för ungdomen är ett av alkohollagstiftningens viktigaste syf-
ten. För att hindra kringgående av förbudet mot att överlämna alkohol-
drycker till ungdomar föreslås en annorlunda utformning av det nuva-
rande undantaget från förbudet. Förbudet kommer därmed att omfatta
även det fallet att någon bjuder av en alkoholdryck för förtäring på stäl-
let, om detta sker i mer än obetydlig omfattning. Vidare föreslås att vid
bedömning av om vissa brott, bl.a. olovlig försäljning av alkoholdrycker,
är att anse som grova, särskilt skall beaktas om verksamheten varit
inriktad mot ungdomar.
Systembolaget ges rätt att anordna auktioner på spritdrycker, vin och
starköl för annans räkning. Bolaget ges också rätt att anordna provning
av spritdrycker, vin och starköl för allmänheten. Närmare riktlinjer förut-
sätts ges i avtalet mellan staten och bolaget. Möjlighet till returförsälj-
ning av enstaka partier och produkter införs.
Reglerna för detaljhandel med öl skärps i syfte att komma till rätta
med vissa konstaterade problem, dvs. när ölförsäljning sker utan att kra-
ven härför är uppfyllda och när ålderskontrollen negligeras. I första hand
föreslås skärpta regler för när rätt att sälja öl skall föreligga. Avsikten är
Prop. 2000/01:97
Bilaga 1
92
att endast egentliga matvaruaffärer skall få sälja öl. Vidare åläggs den
som säljer öl en skyldighet att utöva särskild tillsyn över denna verksam-
het. För denna s.k. egentillsyn skall finnas ett för verksamheten lämpligt
egentillsynsprogram. Den som inte följer reglerna kan av kommunen
meddelas förbud mot att sälja öl. Denna tid utökas från nuvarande sex
månader till - i allvarliga fall - tolv månader. Krav på egentillsyn införs
även för servering av öl.
Den straffbestämmelse som gäller innehav av spritdrycker, vin och
starköl i uppenbart syfte att olovligen sälja dem utökas till att även
omfatta öl. Därmed kan öl också tas i beslag.
Förutsättningarna för serveringstillstånd förändras i flera avseenden.
Det nuvarande kravet på s.k. restaurangkök för tillstånd till stadigvarande
servering av spritdrycker, vin och starköl till allmänheten ersätts med ett
allmänt krav på godkänd livsmedelslokal i förening med krav på att ser-
veringsstället tillhandahåller ett brett utbud av lagad mat. Avsikten är att
göra bestämmelsen neutral till vilken matlagningsteknik som används.
Kravet på tillståndshavarens personliga lämplighet förtydligas såvitt
avser kunskaper i bokföring, redovisning och skattelagstiftning. Möj -
lighetema att få tillstånd för tillfällig servering till allmänheten inskränks
till dem som redan har motsvarande stadigvarande tillstånd.
Innehavare av tillstånd för tillfällig servering i slutet sällskap får i fort-
sättningen endast göra sina inköp hos Systembolaget.
För vissa privata arrangemang tas kravet på serveringstillstånd bort
helt. Förutsättning är att serveringen anordnas i privat regi utan vinst-
intresse, att den anordnas vid ett enstaka tillfälle för vissa i förväg
bestämda personer, och att den sker utan annan kostnad för deltagarna än
kostnaden för inköp av dryckerna.
Reglerna om serveringstider förändras på så sätt att tillståndsmyndig-
heten, dvs. kommunen, beslutar om såväl serveringstid som s.k. stäng-
ningstid. Beträffande tillstånd för servering till allmänheten föreslås dock
en yttersta tidsram inom vilken serveringstiderna skall ligga. Denna tids-
ram sträcker sig från kl. 11.00 till kl. 03.00. Bestämmelserna om tid för
servering av öl tas bort.
Ett nytt krav på att registrera alla transaktioner i kassaregister införs
för alla innehavare av serveringstillstånd utom för dem som endast har
tillstånd för tillfällig servering i slutet sällskap. Dispens skall dock kunna
ges till ideella föreningar och liknande slutna sällskap.
Beträffande övriga regler om serveringstillstånd föreslås bl.a. följande.
Det nuvarande kravet på att för servering endast får anlitas personal som
är anställd av tillståndshavaren tas bort. Det blir härigenom möjligt att
anlita personal från personalpooler, m.m. Kommunen ges i stället möj-
lighet att ålägga en tillståndshavare att under en tid av längst sex måna-
der anmäla all personal till tillståndsmyndigheten. Nya regler införs för
det fallet att flera har tillstånd till servering i samma lokal eller utrymme.
Innehavare av serveringstillstånd ges rätt att avhända sig osålda partier
och enstaka produkter genom att sälja dem till en partihandlare. Den s.k.
restaurangrapporten förenklas och skall bara lämnas en gång om året.
Enligt utredningen bör övervägas att längre fram helt avskaffa restau-
rangrapporten.
I fråga om tillsyn och register föreslås olika regelförändringar vilka
syftar till att underlätta för kommunerna att själva ta in de uppgifter som
Prop. 2000/01:97
Bilaga 1
93
behövs för tillståndsprövning och tillsyn. Utredningen betonar att kon-
trollen skall ske fortlöpande. Det centrala register som f.n. finns hos
Alkoholinspektionen begränsas till uppgifter som behövs för uppföljning
och utvärdering samt för framställning av statistik.
Alkohollagstiftningen bygger på att olovlig tillverkning och försälj -
ning av sprit och spritdrycker skall kunna förhindras. För att göra kon-
trollen mer effektiv föreslås vissa nya regler rörande aktivt kol. Innehav
av aktivt kol i uppenbart syfte att olovligen tillverka sprit eller sprit-
drycker blir straffbart, på samma sätt som olovligt innehav av destilla-
tionsapparat. Kolet skall då också förverkas. Vidare förbjuds sådan för-
säljning och marknadsföring av aktivt kol som sker på ett sätt som kan
förknippas med olovlig tillverkning av sprit eller spritdryck. Den senare
regeln sanktioneras genom bestämmelser i marknadsföringslagen.
Prop. 2000/01:97
Bilaga 1
94
Härigenom föreskrivs i fråga om alkohollagen (1994:1738)
dels att 2 kap. 4 §, 7 kap. 1-4 §§ och 12 kap. 4 och 8-10 §§ skall upp-
höra att gälla,
dels att rubrikerna närmast före 7 kap. 1 och 5 §§ skall upphöra att
gälla,
dels att i 7 kap. 22 §, 8 kap. 1 § och 12 kap. 1 § ordet ”Alkoholinspek-
tionen” skall bytas ut mot ”Stabsmyndigheten”,
dels att den nuvarande 12 kap. 7 § skall betecknas 12 kap. 4 §,
dels att 1 kap. 1-5 §§, 2 kap. 1-3 och 5 §§, 3 kap. 9 §, 4 kap. 1, 4-6
och 12 §§, 5 kap. 1, 3 och 6 §§, 6 kap. 1 och 3-5 §§, 7 kap. 5, 7, 8, 10
och 18-21 §§, 8 kap. 1 a, 2, 4 och 5 §§, 9 kap. 2 §, 10 kap. 1 a, 2, 3, 5, 6
och 8-10 §§, 11 kap. 2 § och 12 kap. 2, 3, 5 och 6 §§ skall ha följande
lydelse,
dels att rubrikerna till 3 och 7 kap. skall ha följande lydelse,
dels att det i lagen skall införas ett nytt kapitel, 2 a kap., av följande
lydelse,
dels att det i lagen skall införas tolv nya paragrafer, 1 kap. 5 a och
7 a-c §§, 2 kap. 1 a och 6 §§, 4 kap. 11 a §, 6 kap. 1 a §, 8 kap. 2 a § och
10 kap. 2 a, 7 a och 7 b §§ av följande lydelse.
Prop. 2000/01:97
Bilaga 2
95
Nuvarande lydelse
Föreslagen lydelse
Prop. 2000/01:97
Bilaga 2
1 §T
Denna lag gäller tillverkning, Denna lag gäller tillverkning,
marknadsföring och införsel av marknadsföring och införsel av
alkoholdrycker och handel med alkoholdrycker och handel med
sådana varor. Lagen gäller också sådana varor. Lagen gäller också
tillverkning av sprit. tillverkning av sprit samt handel
Bestämmelser om införsel och med sprit och med alkoholhaltiga
försäljning av teknisk sprit finns i preparat.
lagen (1961:181) om försäljning av
teknisk sprit m.m.
2§
Med sprit förstås en vätska som
innehåller alkohol i en koncentra-
tion av mer än 2,25 volymprocent.
Med tillverkning av sprit förstås
varje förfarande, varigenom alko-
hol i sådan koncentration fram-
ställs eller utvinns. Vin, starköl och
öl anses dock inte som sprit. Inte
heller utgör framställning av sådan
dryck tillverkning av sprit.
Med mäsk förstås en jäsande
vätska som blir sprit om den får
fortsätta att jäsa.
Med alkohol avses i denna lag
etylalkohol.
Med sprit förstås en vätska som
innehåller alkohol (etylalkohol) i
en koncentration av mer än 2,25
volymprocent. Vin, fruktvin,
starköl och öl anses inte som sprit.
En vätska som innehåller alkohol
som uppkommit enbart genom jäs-
ning anses inte heller som sprit.
Sprit som uteslutande är avsedd
att användas for tekniskt, industri-
ellt, medicinskt eller därmed jäm-
förligt ändamål benämns teknisk
sprit.
Med mäsk förstås en jäst vätska
som innehåller mer än 2,25 volym-
procent alkohol och som inte är
vin, fruktvin, starköl eller öl.
3§
Med alkoholdryck förstås en Med alkoholdryck förstås en vara
dryck som innehåller mer än 2,25 som är avsedd att drickas och som
volymprocent alkohol. Alkohol- innehåller mer än 2,25 volympro-
drycker delas i denna lag in i sprit- cent alkohol. Som alkoholdrycker
drycker, vin, starköl och öl. räknas spritdrycker, vin, fruktvin,
starköl och öl.
4§
Med spritdryck förstås en alkoholdryck som innehåller sprit
Som spritdryck anses även en alko-
holdryck som utgör en blandning
av spritdryck och annan dryck.
Detta gäller dock inte sådana
drycker som avses i 5 § andra
1 Senaste lydelse 1999:1001.
96
Prop. 2000/01:97
Bilaga 2
Med vin förstås en alkoholdryck
som är framställd genom jäsning av
druvor eller druvmust eller av bär,
frukt eller andra växtdelar samt
andra alkoholdrycker som inne-
håller högst 22 volymprocent alko-
hol och som inte är spritdryck,
starköl eller öl
stycket eller 5 a § andra stycket.
5§
Med vin förstås en alkoholdryck
som är framställd genom jäsning av
druvor eller druvmust.
Som vin anses även vin med en
tillsats av sprit eller spritdryck
under förutsättning att alkoholkon-
centrationen inte överstiger 22
volymprocent.
5a§
Med fruktvin förstås en alkohol-
dryck som är framställd genom
jäsning av bär, frukt, växtdelar
eller andra naturliga ämnen eller
substanser.
Som fruktvin anses även fruktvin
med en tillsats av sprit eller sprit-
dryck, under förutsättning att alko-
holkoncentrationen inte överstiger
22 volymprocent.
Bestämmelser om vin i denna lag
gäller, om inte annat sägs, även
fruktvin.
7a§
Med alkoholhaltigt preparat för-
stås en produkt som färdigställts
för slutlig användning och som
innehåller mer än 2,25 volympro-
cent etylalkohol.
Som alkoholhaltiga preparat
räknas inte teknisk sprit, alkohol-
drycker enligt 3-6 §§ eller läkeme-
del enligt läkemedelslagen
(1992:859).
7b§
Med denaturering förstås ett
förfarande varigenom ett eller flera
ämnen sätts till sprit, eller en vara
som innehåller sprit, för att göra
spriten eller varan otjänlig för
förtäring.
7c§
Med tillverkning av sprit förstås
varje förfarande varigenom sprit
97
4 Riksdagen 2000/01. 1 saml. Nr 97
framställs eller utvinns.
Blandning av spritdryck för för-
täring pä stället anses inte som till-
verkning av sprit eller spritdryck.
Med tillverkning av sprit likställs
återvinning av sprit samt borttag-
ning eller försvagning av denature-
ring och andra förfaranden med
teknisk sprit eller alkoholhaltiga
preparat i syfte att göra dem tjän-
liga för förtäring.
1
Prop. 2000/01:97
Bilaga 2
Sprit och spritdrycker får inte
tillverkas utan tillstånd (tillverk-
ningstillstånd).
Apparat som uppenbarligen är
ägnad för tillverkning av sprit
(destillationsapparat) och del till
sådan apparat (apparatdel) får
endast tillverkas för, överlåtas till
eller innehas av den som har till-
stånd enligt denna lag att tillverka
sprit eller spritdrycker.
Vad som sägs i andra stycket
gäller inte om Alkoholinspektionen
har medgivit undantag från kravet
på tillstånd. Ett sådant medgivande
får ges tills vidare eller för viss tid
och får återkallas om förhållan-
dena föranleder det.
Sprit och spritdrycker far endast
tillverkas av den som enligt 9 §
första stycket 1 lagen (1994:1564)
om alkoholskatt godkänts som
upplagshavareför tillverkning eller
bearbetning av sprit respektive
spritdrycker.Den som inte har fyllt
20 år eller som har förvaltare
enligt 11 kap. 7 § föräldrabalken
får inte bedriva tillverkning enligt
första stycket
1 a§
Apparat som uppenbarligen är
ägnad för tillverkning av sprit
(destillationsapparat) och del till
sådan apparat (apparatdel) får
endast tillverkas för, överlåtas till
eller innehas av den som har rätt
att tillverka sprit eller spritdrycker.
Regeringen får i fråga om vissa
slag av verksamhet föreskriva
undantag från bestämmelsen i
första stycket.
2§
Vin, starköl eller öl får inte till- Vin, starköl eller öl får endast
verkas utan tillstånd om det inte tillverkas av den som enligt 9 §
2 Senaste lydelse 1996:940
98
gäller tillverkning i hemmet för
eget behov.
3
Närmare bestämmelser om till-
verkning av alkoholdrycker och
sprit meddelas av regeringen eller,
efter regeringens bemyndigande,
Alkoholinspektionen.
första stycket 1 lagen (1994:1564)
om alkoholskatt godkänts som
upplagshavare för tillverkning eller
bearbetning av respektive vara.
Den som inte har fyllt 20 år eller
som har förvaltare enligt 11 kap. 7
föräldrabalken får inte bedriva
tillverkning enligt första stycket.
Vad som föreskrivs i första och
andra styckena gäller inte tillverk-
ning i hemmet för eget behov.
§
Närmare bestämmelser om till-
verkning av alkoholdrycker och
sprit meddelas av regeringen eller
den myndighet som regeringen
bestämmer.
Prop. 2000/01:97
Bilaga 2
5§
Tillverkare av sprit får förfoga
över av honom tillverkad sprit
endast för export och, efter med-
givande av Alkoholinspektionen,
för användning i egen rörelse samt
för försäljning enligt lagen
(1961:181) om försäljning av tek-
nisk sprit m.m.
Tillverkare av sprit får förfoga
över av honom tillverkad sprit
endast för användning i egen
rörelse samt för försäljning enligt
reglerna i 2 a kap.
6§
Överlåts rörelse vari ingår verk-
samhet för vilken det krävs god-
kännande som anges i 1 § första
stycket för sprit, får överlåtaren
sälja sitt lager av sprit till sin
efterträdare, om denne är berätti-
gad att bedriva verksamheten.
Konkursbo eller dödsbo får utan
hinder av bestämmelserna i denna
lag sälja sprit till den som enligt 2
a kap. 5 § är berättigad att bedriva
handel med sprit. Motsvarande
gäller då en verksamhet måste
avvecklas till följd av att godkän-
nande som avses i 1 § första stycket
återkallats eller då det finns andra
tvingande skäl.
99
« , „ , , j, i • i Prop. 2000/01:97
2 a kap. Handel med teknisk spnt r
och med alkoholhaltiga preparat. 1 a®a
Teknisk sprit
1§
Teknisk sprit får inte köpas,
föras in, säljas eller föras ut om det
inte föreligger rätt till det enligt
denna lag. Första stycket gäller
inte sprit som är fullständigt
denaturerad i enlighet med kom-
missionens förordning (EEG) nr
3199/93 av den 22 november 1993
om ömsesidigt erkännande av för-
faranden för att fullständigt dena-
turera alkohol för att erhålla
punktskattebefrielse3.
2§
Teknisk sprit som skall användas
eller säljas inom landet skall vara
denaturerad på ett sätt som så
långt möjligt försvårar förtäring av
spriten utan att hindra den avsedda
användningen.
Regeringen eller, efter regering-
ens bemyndigande, Stabsmyndig-
heten meddelar närmare föreskrif-
ter om denaturering enligt första
stycket och om i vilka fall denatu-
rering får underlåtas.
3§
Vid försäljning av teknisk sprit
är säljaren skyldig att förvissa sig
om att köparen har rätt att återför-
sälja eller köpa in varan.
4§
Försäljning av teknisk sprit skall
skötas på ett sådant sätt att otillå-
ten användning av spriten förhind-
ras. Risken för att spriten utnyttjas
för missbruksändamål skall särskilt
beaktas.
3 EGT L 288, 23.11.1993, s. 12 (Celex 31993R3199).
100
5§
Handel med teknisk sprit får
bedrivas endast av den som har
godkänts som upplagshavare för
sådan sprit enligt 9 § första stycket
1 eller 2 lagen (1994:1564) om
alkoholskatt.
Den som inte har fyllt 20 år eller
som har förvaltare enligt 11 kap. 7
§ föräldrabalken får inte bedriva
handel enligt första stycket.
6§
Den som har rätt att bedriva
handel med teknisk sprit får i sin
verksamhet köpa, föra in, sälja och
föra ut varorna.
Försäljning får ske till den som
enligt 5, 8 eller 10 § har rätt att
köpa teknisk sprit.
7§
Bestämmelserna i 2 kap. 6 §
gäller i tillämpliga delar även i
fråga om rörelse vari ingår verk-
samhet för vilken det krävs god-
kännande som anges i 5 § första
stycket.
8§
Den som inte har rätt att bedriva
handel med teknisk sprit får efter
medgivande av Riksskatteverket
köpa teknisk sprit för sådan
användning som anges i 20 § första
stycket e-j och l lagen (1994:1564)
om alkoholskatt. Medgivande får
även ges till inköp av teknisk sprit
för yrkesmässig användning eller
återförsäljning som drivmedel.
Den som enligt första stycket har
rätt att köpa teknisk sprit får i sin
verksamhet föra in vad han har rätt
att köpa.
9§
Vid medgivande enligt 8 § skall
Riksskatteverket, med tillämpning
av de föreskrifter som avses i 2 §
andra stycket, ange användnings-
område för medgivna inköp och om
Prop. 2000/01:97
Bilaga 2
101
inköp får ske av odenaturerad eller
endast av på visst sätt denaturerad
sprit.
Medgivande enligt 8 § meddelas
för viss tidsperiod, längst tre år.
10 §
Teknisk sprit får i begränsad
kvantitet köpas av
a) näringsidkare för användning
i viss yrkesverksamhet i andra fall
än som avses i 8 §, och
b) grundskolor, årskurs 7-9, och
gymnasieskolor samt andra skolor
på motsvarande nivå för använd-
ning i undervisningsverksamhet.
Regeringen eller, efter regering-
ens bemyndigande, Stabsmyndig-
heten meddelar närmare föreskrif-
ter om inköp enligt första stycket
11 §
I fråga om apoteks försäljning
och utlämnande av teknisk sprit
gäller de föreskrifter som meddelas
av regeringen eller den myndighet
som regeringen bestämmer.
12 §
Regeringen eller, efter regering-
ens bemyndigande, Stabsmyndig-
heten får meddela ytterligare före-
skrifter om försäljning och inköp
av teknisk sprit.
Alkoholhaltiga preparat
13 §
Alkoholhaltiga preparat får, med
de begränsningar som anges i
denna lag, säljas inom landet
under de villkor som gäller för
handel i allmänhet.
14 §
Alkoholhaltiga preparat får inte
säljas eller lämnas ut om det finns
särskild anledning att anta att
varan är avsedd att användas i
berusningssyfte.
Prop. 2000/01:97
Bilaga 2
102
15 §
Alkoholhaltiga preparat som kan
befaras komma att missbrukas får
inte ha en sådan sammansättning
eller så hög alkoholhalt att de, om
de konsumeras, medför allvarlig
fara för liv eller hälsa.
16 §
Alkoholhaltiga preparat som inte
är avsedda för förtäring får inte
genom smak, färg, förpacknings-
utformning eller liknande, medföra
risk för förväxling med alkohol-
dryck eller på annat sätt upp-
muntra till förtäring.
17 §
Alkoholhaltiga preparat som inte
är avsedda för förtäring och som
skall användas eller säljas inom
landet skall vara denaturerade på
ett sätt som så långt möjligt hind-
rar att de konsumeras.
Regeringen eller, efter regering-
ens bemyndigande, Stabsmyndig-
heten meddelar närmare föreskrif-
ter om denaturering enligt första
stycket och i vilka fall denaturering
får underlåtas.
18 §
Regeringen eller, efter regering-
ens bemyndigande, Stabsmyndig-
heten får, om det behövs för att
skydda liv eller hälsa, meddela
föreskrifter om villkor för försälj-
ning av alkoholhaltiga preparat
som inte uppfyller kraven i 15-17
§§. Om det finns synnerliga skäl
får även meddelas föreskrifter om
förbud mot försäljning.
19 §
Regeringen eller, efter regering-
ens bemyndigande, Stabsmyndig-
heten får meddela ytterligare före-
skrifter om försäljning av alkohol-
haltiga preparat.
Prop. 2000/01:97
Bilaga 2
103
3 kap. Allmänna bestämmelser 3 kap. Allmänna bestämmelser ^000/01
för försäljning för försäljning av alkoholdrycker 1 a®a
9§
Det är förbjudet att som ombud eller på därmed jämförligt sätt anskaffa
alkoholdrycker till den som enligt 8 § inte har rätt att få sådan vara
utlämnad till sig. Det är också förbjudet att i större omfattning tillhanda-
gå annan med att anskaffa alkoholdrycker.
Spritdrycker, vin eller starköl får
inte överlämnas som gåva eller lån
till den som inte har fyllt 20 år. Öl
får inte överlämnas som gåva eller
lån till den som inte har fyllt 18 år.
Vad nu sagts gäller inte när någon
bjuder av en alkoholdryck för för-
täring på stället.
Spritdrycker, vin eller starköl far
inte överlämnas som gåva eller lån
till den som inte har fyllt 20 år. öl
får inte överlämnas som gåva eller
lån till den som inte har fyllt 18 år.
Detsamma gäller om någon bjuder
av en alkoholdryck för förtäring på
stället, om det sker i mer än obe-
tydlig omfattning.
1
Partihandel med spritdrycker, vin eller starköl får bedrivas endast av
den som har godkänts som upplagshavare eller registrerats som varu-
mottagare för sådana varor enligt 9 eller 12 § lagen (1994:1564) om
alkoholskatt. Av detta följer att rätten till partihandel endast avser den
dryck som omfattas av godkännandet som upplagshavare eller registre-
ringen som varumottagare enligt bestämmelserna i lagen om alkohol-
skatt.
Utöver vad som anges i första stycket får partihandel med spritdrycker,
vin och starköl bedrivas av detaljhandelsbolagct i enlighet med vad som
anges i 5 kap. 1 § tredje stycket.
Utan hinder av första stycket får
innehavare av serveringstillstånd
sälja tillbaka varor som omfattas
av tillståndet till någon som har
rätt att bedriva partihandel.
4§
Tillstånd får ges till inköp av
spritdrycker, vin eller starköl som
används i teknisk, industriell,
medicinsk, vetenskaplig eller lik-
nande verksamhet. Inköpstillstånd
medför rätt att köpa in varorna hos
den som är berättigad att bedriva
partihandel med sådana varor.
Den som inte har rätt att bedriva
partihandel med spritdrycker, vin
eller starköl får efter medgivande
av Riksskatteverket köpa sådana
alkoholdrycker av den som har rätt
att bedriva partihandel med
respektive vara. Medgivande får
lämnas för inköp för sådan
användning som anges i 20 § första
stycket e-j och l lagen (1994:1564)
om alkoholskatt.
4 Senaste lydelse 1999:1001.
104
Vid medgivande enligt första
stycket skall Riksskatteverket ange
vilken dryck som avses och
användningsområde för medgivna
inköp.
Medgivande enligt första stycket
meddelas för viss tidsperiod, längst
tre år.
Prop. 2000/01:97
Bilaga 2
5
Den som är berättigad att bedriva
partihandel får sälja varorna till
detaljhandelsbolaget, till annan
som är berättigad att bedriva parti-
handel med motsvarande varor och
till den som har meddelats serve-
ringstillstånd för sådana varor. Den
som är berättigad att bedriva parti-
handel får också exportera varorna
eller sälja dem till den som fått
sådant särskilt tillstånd till inköp
av varorna som avses i 4 §. För-
säljning får även ske till den som
har tillstånd enligt lagen
(1999:446) om proviantering av
fartyg och luftfartyg.
Endast den som är berättigad att
eller butelj era varorna.
§5
Den som är berättigad att bedriva
partihandel får sälja varorna till
detaljhandelsbolaget, till annan
som är berättigad att bedriva parti-
handel med motsvarande varor och
till den som har meddelats serve-
ringstillstånd för sådana varor.
Detta gäller dock inte i fråga om
sådant serveringstillstånd som
endast avser servering i slutet säll-
skap vid ett enstaka tillfälle eller
under en enstaka tidsperiod. Den
som är berättigad att bedriva parti-
handel får också exportera varorna
eller sälja dem till den som enligt 4
§ har rätt att köpa varorna. För-
säljning får även ske till den som
har tillstånd enligt lagen
(1999:446) om proviantering av
fartyg och luftfartyg.
bedriva partihandel får omförpacka
6§6
Överlåts rörelse vari ingår verksamhet som är tillståndspliktig enligt
denna lag eller för vilken det krävs godkännande eller registrering som
anges i 1 § första stycket, får överlåtaren sälja sitt lager av spritdrycker,
vin eller starköl till sin efterträdare, om denne har beviljats tillstånd som
gäller för verksamheten eller, i fråga om partihandel, är berättigad att
bedriva verksamheten.
Konkursbo eller dödsbo får utan
hinder av bestämmelserna i denna
lag sälja spritdrycker, vin eller
starköl till den som är berättigad att
bedriva partihandel med sådana
drycker eller till detaljhandelsbola-
get. Motsvarande gäller då en verk-
samhet måste avvecklas till följd av
Konkursbo eller dödsbo eller, i
fråga om utmätt egendom, krono-
fogdemyndighet får utan hinder av
bestämmelserna i denna lag sälja
spritdrycker, vin eller starköl till
den som är berättigad att bedriva
partihandel med sådana drycker
eller till detaljhandelsbolaget. Mot-
5 Senaste lydelse 1999:1001.
6 Senaste lydelse 1999:1001.
105
att tillståndet eller godkännande
eller registrering som avses i 1 §
första stycket återkallats eller att
det finns andra tvingande skäl
svarande gäller då en verksamhet
måste avvecklas till följd av att till-
ståndet eller godkännande eller
registrering som avses i 1 § första
stycket återkallats eller att det finns
andra tvingande skäl.
Bestämmelserna i första och andra styckena gäller i tillämpliga delar
även i fråga om öl.
Prop. 2000/01:97
Bilaga 2
12
En handling som strider mot
8-/7 §§ skall vid tillämpningen av
4, 14 och 19 §§ marknadsförings-
lagen (1995:450) anses vara otill-
börlig mot konsumenter och, i fall
som avses i 9 §, även mot närings-
idkare. En handling som strider
mot 10 § kan medföra marknads-
stömingsavgift enligt bestämmel-
serna i 22-28 §§ marknads-
föringslagen.
11 a §
Försäljning och marknadsföring
av aktivt kol får inte ske på ett
sådant sätt att det kan förknippas
med olovlig tillverkning av sprit
eller spritdryck.
§7
En handling som strider mot
8-7/ a §§ skall vid tillämpningen
av 4, 14 och 19 §§ marknads-
föringslagen (1995:450) anses vara
otillbörlig mot konsumenter och, i
fall som avses i 9 §, även mot
näringsidkare. En handling som
strider mot 10 § kan medföra
marknadsstömingsavgift enligt
bestämmelserna i 22-28 §§ mark-
nadsföringslagen.
1
För detaljhandel med spritdrycker, vin och starköl skall det finnas ett
särskilt för ändamålet bildat aktiebolag (detaljhandelsbolaget), som sta-
ten äger.
Detaljhandelsbolaget får inte exportera eller tillverka drycker som
anges i första stycket. Detaljhandelsbolaget får importera sådana drycker
endast för att kunna fullgöra den skyldighet som anges i 5 §.
Detaljhandelsbolagct får inte Detaljhandelsbolagct får inte
bedriva annan partihandel än för- bedriva annan partihandel än för-
säljning till dem som har serve- säljning till dem som har serve-
ringstillstånd. ringstillstånd. Vad nu sagts gäller
inte returförsäljning av enstaka
partier och produkter.
Bestämmelser om detaljhandelsbolagets verksamhet och drift samt om
särskild kontroll från statens sida skall tas in i ett avtal som upprättas
mellan staten och bolaget.
7 Senaste lydelse 1999:1001.
8 Senaste lydelse 1999:1001.
106
Försäljning får ske antingen som Försäljning far ske antingen som
försäljning till avhämtning eller försäljning till avhämtning eller
genom försändning på rekvisition genom försändning på rekvisition.
Försäljning får även ske vid auk-
tion av spritdrycker, vin och
starköl för annans räkning enligt
riktlinjer i avtalet mellan staten
och bolaget.
Detaljhandelsbolaget får utan
hinder av 6 kap. 1 § bedriva prov-
ning av alkoholdrycker för allmän-
heten enligt riktlinjer i avtalet
mellan staten och bolaget.
Prop. 2000/01:97
Bilaga 2
Detaljhandel med öl är, med de
inskränkningar som föreskrivs i
denna lag, tillåten under villkor att
verksamheten bedrivs i en lokal
som är godkänd som livsmedels-
lokal enligt bestämmelser vilka
meddelats med stöd av 22 § tredje
stycket livsmedelslagen (1971:511)
samt att försäljning av matvaror
bedrivs i lokalen. Utan hinder av
vad nu sagts får detaljhandel med
öl bedrivas av detalj handelsbolaget
samt av tillverkare av öl eller lätt-
drycker.
Detaljhandel med öl är, med de
inskränkningar som föreskrivs i
denna lag, tillåten under villkor att
verksamheten bedrivs i en lokal
som är godkänd som livsmedels-
lokal för stadigvarande hantering
av egentliga matvaror enligt
bestämmelser vilka meddelats med
stöd av 22 § tredje stycket livs-
medelslagen (1971:511). I lokalen
skall i betydande omfattning bedri-
vas försäljning av egentliga mat-
varor. Utan hinder av vad nu sagts
får detaljhandel med öl bedrivas av
detaljhandelsbolaget samt av till-
verkare av öl.
Den som bedriver detaljhandel
med öl skall utöva särskild tillsyn
(egentillsyn) över försäljningen.
För egentillsynen skall finnas ett
för verksamheten lämpligt egentill-
synsprogram.
1§
Servering av spritdrycker, vin och starköl får ske endast om tillstånd
har meddelats (serveringstillstånd).
Servering av öl är, med de
inskränkningar som föreskrivs i
denna lag, tillåten under villkor att
verksamheten bedrivs i en lokal
som är godkänd som livsmedels-
lokal enligt bestämmelser vilka
meddelats med stöd av 22 § tredje
stycket livsmedelslagen (1971:511)
samt att servering av mat samtidigt
Serveringstillstånd krävs dock
inte för servering som
1) anordnas i privat regi utan
vinstintresse,
2) anordnas vid ett enstaka till-
fälle för vissa i förväg bestämda
personer, och
3) sker utan annan kostnad för
deltagarna än kostnaden för inköp
107
bedrivs i lokalen. Utan hinder av av dryckerna,
vad som föreskrivs i andra stycket
får öl serveras av den som enligt
23 § nämnda lag har meddelats
särskilt tillstånd att yrkesmässigt
hantera livsmedel samt av den som
har meddelats serveringstillstånd
Prop. 2000/01:97
Bilaga 2
la§
Servering av öl är, med de
inskränkningar som föreskrivs i
denna lag, tillåten under villkor att
verksamheten bedrivs i en lokal
som är godkänd som livsmedels-
lokal enligt bestämmelser vilka
meddelats med stöd av 22 § tredje
stycket livsmedelslagen (1971:511)
samt att servering av mat samtidigt
bedrivs i lokalen.
Utan hinder av vad som före-
skrivs i första stycket får öl serve-
ras i sådana fall som anges i 1 §
andra stycket samt av den som har
meddelats serveringstillstånd.
Den som bedriver servering av
öl skall utöva särskild tillsyn
(egentillsyn) över serveringen. För
egentillsynen skall finnas ett för
verksamheten lämpligt egentill-
synsprogram.
3§
På serveringsställe där serveringstillstånd gäller skall tillståndshavaren
eller av honom utsedd serveringsansvarig person utöva tillsyn över ser-
veringen och vara närvarande under hela serveringstiden.
Den som är serveringsansvarig skall med hänsyn till sina egenskaper
och övriga omständigheter vara lämplig för uppgiften.
Tillståndshavaren skall till tillståndsmyndigheten anmäla den eller de
personer som har utsetts att ansvara för alkoholserveringen.
För servering av spritdrycker, Tillståndshavaren kan åläggas
vin eller starköl får endast anlitas att, under en tid av längst sex
personal som är anställd av till- månader, anmäla all personal till
ståndshavaren. Restaurangskolor tillståndsmyndigheten.
med serveringstillstånd får dock i
utbildningssyfte anlita restaurang-
skolans elever.
Om inte tillståndsmyndigheten Tillståndsmyndigheten beslutar,
beslutar annat får servering av öl med de begränsningar som anges i
108
påbörjas tidigast klockan 07.00
och servering av andra alkohol-
drycker tidigast klockan 11.00. Om
inte tillståndsmyndigheten beslutar
annat skall servering av alkohol-
drycker avslutas senast klockan
01.00. Vad nu sagts gäller inte för
hotellrum med minibar.
Serveringsställe skall vara
utrymt senast 30 minuter efter ser-
veringstidens utgång
andra stycket, om när servering får
påbörjas och när den senast skall
avslutas. Vid prövningen skall sär-
skilt beaktas risken för alkohol-
politiska olägenheter. Tillstånds-
myndigheten beslutar även om när
ett serveringsställe senast skall
vara utrymt.
Servering av spritdrycker, vin
och starköl till allmänheten får inte
påbörjas tidigare än klockan 11.00
och får inte pågå längre än till
senast klockan 03.00.
Bestämmelserna i första och
andra styckena gäller inte för
hotellrum med minibar.
Prop. 2000/01:97
Bilaga 2
Den som har serveringstillstånd
får köpa spritdrycker, vin och
starköl som behövs för rörelsen
endast av någon som är berättigad
att bedriva partihandel med varan
eller av detaljhandelsbolaget.
Den som har serveringstillstånd
får köpa spritdrycker, vin och
starköl som behövs för rörelsen
endast av någon som är berättigad
att bedriva partihandel med varan
eller av detaljhandelsbolaget. Den
som beviljats tillstånd för servering
i slutet sällskap vid ett enstaka
tillfälle eller under en enstaka tids-
period får dock endast göra mot-
svarande inköp hos detaljhandels-
bolaget.
7 kap. Tillstånd m.m. 7 kap. Serveringstillstånd m.m.
5§
Serveringstillstånd kan meddelas
för servering till allmänheten eller i
förening, företag eller annat slutet
sällskap. Tillstånd kan avse ser-
vering året runt, årligen under en
viss tidsperiod, under en enstaka
tidsperiod eller vid ett enstaka till-
fälle.
Tillstånd, som avser servering
året runt eller årligen under en viss
tidsperiod gäller tills vidare. Till-
ståndsmyndigheten får dock om det
finns särskilda skäl begränsa till-
ståndets giltighet till viss tid.
Serveringstillstånd kan meddelas
för servering till allmänheten eller i
förening, företag eller annat slutet
sällskap. Tillstånd kan avse ser-
vering året runt eller årligen under
en viss tidsperiod (stadigvarande
tillstånd). Tillstånd kan även avse
en enstaka tidsperiod eller ett
enstaka tillfälle.
Stadigvarande tillstånd gäller
tills vidare. Tillståndsmyndigheten
får dock om det finns särskilda skäl
begränsa tillståndets giltighet till
viss tid.
Tillstånd för servering till all-
9 Senaste lydelse 1999:1001.
109
mänheten under en enstaka tids- nnnn/m.m
period eller vid ett enstaka tillfälle
får beviljas endast den som innehar 1 a®a
ett stadigvarande tillstånd av mot-
svarande slag.
I samband med beslut om serveringstillstånd eller senare får till-
ståndsmyndigheten meddela de villkor som behövs.
7§
Serveringstillstånd får meddelas
endast den som visar att han med
hänsyn till sina personliga och
ekonomiska förhållanden och
omständigheterna i övrigt är lämp-
lig att utöva verksamheten. Sökan-
den skall också visa att serverings-
stället uppfyller kraven i 8 §.
Serveringstillstånd får meddelas
endast den som visar att han med
hänsyn till sina kunskaper, sina
personliga och ekonomiska förhål-
landen och omständigheterna i
övrigt är lämplig att utöva verk-
samheten. Sökanden skall också
visa att serveringsstället uppfyller
kraven i 8 §.
Vid tillståndsprövningen skall särskild hänsyn tas till om sökanden är
laglydig och benägen att fullgöra sina skyldigheter mot det allmänna.
8§
Tillstånd för servering till all-
mänheten året runt eller årligen
under viss tidsperiod får meddelas
endast om serveringsstället har ett
kök för allsidig matlagning och
tillhandahåller lagad mat. Serve-
ringsstället skall ha ett med hänsyn
till omständigheterna tillräckligt
antal sittplatser för gäster.
Tillstånd för servering till
allmänheten året runt eller årligen
under viss tidsperiod får meddelas
endast om serveringsstället är god-
känt som livsmedelslokal enligt
bestämmelser vilka meddelats med
stöd av 22 tredje stycket livs-
medelslagen (1971:511) och under
hela serveringstiden tillhandahåller
ett brett utbud av lagad mat. Scr-
vcringsstället skall ha ett med hän-
syn till omständigheterna tillräck-
ligt antal sittplatser för gäster.
Tillstånd för servering till allmänheten under en enstaka tidsperiod
eller vid ett enstaka tillfälle får meddelas om serveringsstället tillhanda-
håller lagad mat. Detsamma gäller beträffande tillstånd för servering i
slutet sällskap.
Om det finns en drinkbar skall den vara en mindre väsentlig del av ser-
veringsstället, inrättad i nära anslutning till matsal.
Utan hinder av första och andra styckena får tillstånd meddelas för ser-
vering av vin och starköl i foajé till teater eller konsertlokal. Servering
får dock endast ske under pauser i föreställningen.
Servering av alkoholdrycker från
minibar på hotellrum får ske på
hotell med serveringstillstånd.
Regeringen eller, efter regeringens
bemyndigande, Alkoholinspektio-
nen får meddela närmare bestäm-
melser om serveringen.
Servering av alkoholdrycker från
minibar på hotellrum får ske på
hotell med serveringstillstånd.
Regeringen eller, efter regeringens
bemyndigande, Stabsmyndigheten
får meddela närmare bestämmelser
om serveringen.
110
|
10§ Prop. 2000/01:97 ~ ......... Rilaaa 9 |
Serveringstillstånd skall avse Serveringstillstånd skall avse
viss lokal eller annat avgränsat viss lokal eller annat avgränsat
|
utrymme. |
utrymme. Om flera har serverings- |
18 §10
Alkoholinspektionen skall åter-
kalla tillverkningstillstånd eller
inköpstillstånd om
1. tillståndet inte längre utnytt-
jas,
2. tillståndshavaren inte följer de
för tillståndet gällande bestämmel-
serna i denna lag eller föreskrifter
eller villkor meddelade med stöd av
Medgivande enligt 2 a kap.8 §
och 4 kap. 4 § får återkallas av
Riksskatteverket om det finns skäl
att befara att teknisk sprit eller
alkoholdrycker som har inköpts i
enlighet med medgivandet används
på otillåtet sätt.
denna lag, eller
3. de förutsättningar som gäller
för meddelande av tillståndet inte
längre föreligger.
19 §
Kommunen skall återkalla serveringstillstånd om
1. det inte endast tillfälligt uppkommer sådana olägenheter som avses i
6 kap. 2 §,
2. tillståndshavaren inte följer de för servering eller serveringstillstånd
gällande bestämmelserna i denna lag eller föreskrifter eller villkor med-
delade med stöd av denna lag, eller
3. de förutsättningar som gäller för meddelande av tillstånd enligt
7 och 8 § § inte längre föreligger.
Om flera har serveringstillstånd
avseende samma lokal eller
utrymme skall återkallelse enligt
första stycket 1 ske i förhållande
till var och en av dem.
20
1 stället för återkallelse enligt 18
eller 19 § kan tillståndshavaren
meddelas varning, om varning av
särskilda skäl kan anses vara en
tillräcklig åtgärd.
I stället för återkallelse enligt
19 § kan tillståndshavaren med-
delas varning, om varning av sär-
skilda skäl kan anses vara en till-
räcklig åtgärd.
10 Senaste lydelse 1999:1001.
111
21 §
Föranleder detaljhandel med eller servering av öl olägenheter i fråga
om ordning och nykterhet eller följs inte bestämmelserna i denna lag, får
kommunen förbjuda den som bedriver försäljningen att fortsätta verk-
samheten eller, om förbud får anses vara en alltför ingripande åtgärd,
meddela honom varning.
Prop. 2000/01:97
Bilaga 2
Ett förbud enligt första stycket
kan inskränkas till att gälla för
vissa närmare angivna tider eller
under vissa närmare angivna
omständigheter. Förbud gäller i sex
månader, räknat från det att den
som bedriver försäljningen fått del
av beslutet.
Ett förbud enligt första stycket
kan inskränkas till att gälla för
vissa närmare angivna tider eller
under vissa närmare angivna
omständigheter. Förbud meddelas
för en tid av sex månader eller, vid
upprepad eller allvarlig försum-
melse, tolv månader räknat från det
att den som bedriver försäljningen
fått del av beslutet.
Den kommun där försäljningsstället är beläget beslutar om ingripande
enligt denna paragraf. Saknas fast försäljningsställe beslutar den kom-
mun som avses i 12 § andra stycket.
För tillsyn över efterlevnaden av
bestämmelserna för marknads-
föring i 4 kap. 8-11 och 13 §§
finns särskilda regler i marknads-
föringslagen (1995:450). Tillsynen
över efterlevnaden av bestämmel-
serna i 4 kap. 8-11 §§ gentemot
den som har serveringstillstånd får,
i fråga om marknadsföring på ser-
veringsställen, utövas också av
kommunen. För kommunens till-
syn gäller inte 4 kap. 12 §.
Beskattningsmyndigheten
(Skattemyndigheten i Gävle) utövar
tillsyn över efterlevnaden av
bestämmelserna i 4 kap. 5
Beskattningsmyndigheten får upp-
dra åt Skattemyndigheten i
Stockholm, Skattemyndigheten i
Göteborg eller Skattemyndigheten i
Malmö att utöva tillsyn i dess
ställe.
För tillsyn över efterlevnaden av
bestämmelserna för marknads-
föring i 4 kap. 8-11 a och 13 §§
finns särskilda regler i marknads-
föringslagen (1995:450). Tillsynen
över efterlevnaden av bestämmel-
serna i 4 kap. 8-11 §§ gentemot
den som har serveringstillstånd får,
i fråga om marknadsföring på ser-
veringsställen, utövas också av
kommunen. För kommunens till-
syn gäller inte 4 kap. 12 §.
Riksskatteverket utövar tillsyn
över efterlevnaden av bestämmel-
serna i 2 kap. 1, 2, 5 och 6 §§, 2 a
kap. 3-10 §§ samt 4 kap. 1 och 4-7
Riksskatteverket får uppdra åt
Skattemyndigheten i Stockholm,
Skattemyndigheten i Malmö,
Skattemyndigheten i Göteborg eller
Skattemyndigheten i Gävle, att
utöva tillsyn i dess ställe.
2§
På begäran av någon annan till- På begäran av någon annan till-
synsmyndighet skall kommunen synsmyndighet skall kommunen
lämna de uppgifter som myndig- lämna de uppgifter som myndig-
" Senaste lydelse 1999:1001. Paragrafen föreslås ändrad i prop. 1999/2000:105.
112
heten behöver för sin tillsyn.
heten behöver för sin tillsyn.
Kommunen skall även på begäran
av skatte- eller tullmyndighet
lämna de uppgifter som behövs för
beskattning eller påförande av tull.
Prop. 2000/01:97
Bilaga 2
Polismyndigheten skall underrätta andra tillsynsmyndigheter om för-
hållanden som är av betydelse för dessa myndigheters tillsyn.
Kronofogdemyndigheten skall underrätta vederbörande tillståndsmyn-
dighet om en tillståndshavare brister i sina skyldigheter att erlägga skat-
ter eller socialavgifter. På begäran
rättelse ges till denna.
På begäran av tillståndsmyndig-
het eller länsstyrelse skall skatte-
myndigheter och andra myndig-
heter som uppbär eller driver in
skatter eller avgifter lämna upp-
gifter som tillståndsmyndigheten
eller länsstyrelsen behöver för sin
tillståndsprövning eller tillsyn.
av länsstyrelsen skall sådan under-
På begäran av tillsynsmyndighet
skall polismyndigheter samt skatte-
myndigheter och andra myndig-
heter som uppbär eller driver in
skatter eller avgifter lämna upp-
gifter som tillsynsmyndigheten
behöver för sin tillståndsprövning
eller tillsyn.
2a§
Statliga och kommunala myn-
digheter skall underrätta Stabs-
myndigheten om de i sin verksam-
het får kännedom om något som
kan ha betydelse för tillämpningen
av 2 a kap. Detsamma gäller om de
får kännedom om att ett alkohol-
haltigt preparat används eller kan
komma att användas i missbruks-
syfte.
4§12
Om en tillsynsmyndighet begär det skall en tillståndshavare lämna
tillträde till driftsställe med tillhörande lokaler och tillhandahålla hand-
lingar som rör verksamheten samt utan ersättning hjälpa till vid tillsynen,
lämna varuprover som behövs och redovisa uppgifter om verksamhetens
omfattning och utveckling.
Vad som sägs i första stycket
gäller även i förhållande mellan
den som är berättigad att bedriva
partihandel enligt 4 kap. 1 § första
stycket och skattemyndighet som
anges i 1 a § andra stycket
Vad som sägs i första stycket
gäller även den som berättigad att
1. tillverka sprit och spritdrycker
enligt 2 kap. 1 §,
2. tillverka vin, starköl och öl
enligt 2 kap. 2 § såvitt avser annat
än tillverkning i hemmet för eget
behov,
3. handla med teknisk sprit enligt
2 a kap. 6 §,
12 Senaste lydelse 1999:1001. Paragrafen föreslås ändrad i prop. 1999/2000:105.
113
5
Bokföring i rörelse som är till-
ståndspliktig skall vara så utformad
att kontroll av verksamheten är
möjlig. Den som driver rörelsen är
skyldig att på anfordran av en till-
synsmyndighet förete bokförings-
handlingama. Tillståndshavare och
den som enligt 4 kap. 1 § första
stycket är berättigad att bedriva
partihandel är skyldiga att lämna
statistiska uppgifter i enlighet med
de föreskrifter som regeringen
eller, efter regeringens bemyndig-
ande, Alkoholinspektionen medde-
lar.
4. köpa teknisk sprit enligt 2 a
kap. 8 eller 10 §,
5. bedriva partihandel enligt 4
kap. 1 § första stycket, eller
6. köpa alkoholdrycker enligt 4
kap. 4 §
Med tillsynsmyndighet avses
härvid myndighet som anges i a §
andra stycket.
13
Bokföring i rörelse vari bedrivs
tillverkning, försäljning eller inköp
av teknisk sprit, spritdrycker, vin
eller starköl skall vara så utformad
att kontroll av verksamheten är
möjlig. Den som driver rörelsen är
skyldig att på anfordran av en till-
synsmyndighet förete bokförings-
handlingama. Den som har ser-
veringstillstånd och den som avses
i 4 § andra stycket 1-3 och 5 är
skyldiga att lämna statistiska upp-
gifter i enlighet med de föreskrifter
som regeringen eller, efter rege-
ringens bemyndigande, Stabsmyn-
digheten meddelar.
Den som har tillstånd för ser-
vering av spritdrycker, vin eller
starköl till allmänheten eller sta-
digvarande tillstånd för servering i
slutet sällskap är skyldig att regi-
strera all försäljning i kassaregis-
ter och att vid varje försäljning ta
fram ett av registret framställt
kvitto som tillhandahålls kunden.
Tillståndsmyndigheten får medge
undantag för ideell förening och
liknande slutet sällskap.
Kassaregister som avses i andra
stycket skall på ett tillförlitligt sätt
utvisa alla transaktioner som
gjorts. Regeringen eller, efter
regeringens bemyndigande, Stabs-
myndigheten meddelar närmare
föreskrifter om kassaregister.
Prop. 2000/01:97
Bilaga 2
13 Senaste lydelse 1999:1002.
114
2 §14
Alkoholinspektionens och kom-
munens beslut får överklagas till
allmän förvaltningsdomstol. Det
överklagade beslutet får inte änd-
ras utan att den beslutande myn-
digheten har lämnats tillfälle att
yttra sig. Alkoholinspektionen
respektive kommunen får överklaga
domstolens beslut.
Kommunens beslut samt Riks-
skatteverkets beslut enligt 2 a kap.
8 §, 4 kap. 4 § och7 kap. 18 § får
överklagas till allmän förvaltnings-
domstol.
Prop. 2000/01:97
Bilaga 2
Prövningstillstånd krävs vid överklagande till kammarrätten.
Bestämmelser om överklagande Bestämmelser om överklagande
av beskattning smyndighetens av Riksskatteverkets beslut i andra
beslut finns i 35 § lagen fall än som sägs i första stycket
(1994:1564) om alkoholskatt finns i 35 § lagen (1994:1564) om
alkoholskatt.
1 a
Den som tillverkar, överlåter
eller innehar destillationsapparat
eller apparatdel i strid med 2 kap.
1 § andra stycket döms till böter
eller fängelse i högst ett år.
2
Den som uppsåtligen eller av
oaktsamhet
1. säljer alkoholdrycker utan till-
stånd eller, om tillstånd inte
behövs, utan rätt enligt denna lag,
2. serverar spritdrycker, vin eller
starköl som har anskaffats på annat
sätt än som säg i 6 kap. 5 §, döms
för olovlig försäljning av alkohol-
drycker till böter eller fängelse i
högst två år.
§15
Den som tillverkar, överlåter
eller innehar destillationsapparat
eller apparatdel i strid med 2 kap.
1 a § första stycket döms till böter
eller fängelse i högst ett år. Till
samma påföljd döms den som inne-
har aktivt kol i uppenbart syfte att
olovligen tillverka sprit eller sprit-
drycker.
§
Den som uppsåtligen eller av
oaktsamhet
1. säljer sprit utan rätt enligt
denna lag,
2. säljer alkoholdrycker utan till-
stånd eller, om tillstånd inte
behövs, utan rätt enligt denna lag,
3. serverar spritdrycker, vin eller
starköl som har anskaffats på annat
sätt än som sägs i 6 kap. 5 §, döms
för olovlig alkoholförsäljning till
böter eller fängelse i högst två år.
2a§
Den som förvärvar, innehar,
forslar, döljer eller förvarar olov-
ligt såld teknisk sprit döms till
14 Senaste lydelse 1999:1001.
15 Senaste lydelse 1996:940.
115
3§
Är broll som anges i 1 eller 2 §
grovt, döms till fängelse i högst
fyra år. Vid bedömande av om
brottet är grovt skall särskilt beak-
tas om gärningen har utgjort led i
en verksamhet som bedrivits
yrkesmässigt eller i större omfatt-
ning.
böter eller fängelse i högst två år.
Prop. 2000/01:97
Bilaga 2
Är brott som anges i 1, 2 eller
2 a § grovt, döms till fängelse i
högst fyra år. Vid bedömande av
om brottet är grovt skall särskilt
beaktas om gärningen har utgjort
led i en verksamhet som bedrivits
yrkesmässigt eller i större omfatt-
ning eller har varit inriktad mot
ungdomar.
5§
Den som innehar spritdrycker,
vin eller starköl i uppenbart syfte
att olovligen sälja dem döms för
olovligt innehav av alkoholdrycker
till böter eller fängelse i högst ett
0
ar.
6§
Den som uppsåtligen eller av
oaktsamhet anskaffar alkohol-
drycker åt annan i strid med 3 kap.
9 § döms för olovligt anskaffande
av alkoholdrycker till böter eller
fängelse i högst två år eller, om
brottet är grovt, till fängelse i högst
fyra år.
Den som innehar alkoholdrycker
i uppenbart syfte att olovligen sälja
dem döms för olovligt innehav av
alkoholdrycker till böter eller fäng-
else i högst ett år.
Den som uppsåtligen eller av
oaktsamhet anskaffar, överlämnar
eller bjuder på alkoholdrycker i
strid med 3 kap. 9 § döms för olov-
ligt anskaffande av alkoholdrycker
till böter eller fängelse i högst två
år eller, om brottet är grovt, till
fängelse i högst fyra år.
7 a §
Den som uppsåtligen eller av oakt-
samhet säljer teknisk sprit eller
alkoholhaltiga preparat utan sådan
denaturering som anges i 2 a kap.
2 eller 17 § döms till böter eller
fängelse i högst sex månader. Till
samma påföljd döms den som säl-
jer alkoholhaltiga preparat i strid
med 2 a kap. 14 § eller föreskrifter
enligt 2 a kap. 18 eller 19 §.
7b§
Den som lämnar oriktig uppgift i
ansökan om medgivande enligt 2 a
kap. 8 § eller 4 kap. 4 § eller i
samband med köp enligt 2 a kap.
10 § döms, om inte uppgiften sak-
nar betydelse, till böter eller fäng-
116
else i högst ett år.
8§
Är gärning som avses i 1, 2 och Är gärning som avses i 1-2 a
4-7 §§ att anse som ringa, skall inte och 4-7 b §§ att anse som ringa,
dömas till straff skall inte dömas till straff.
Prop. 2000/01:97
Bilaga 2
9§>6
För försök eller förberedelse till
brott som avses i 1, 2 och 6 §§
döms till ansvar enligt 23 kap.
brottsbalken. Detta gäller dock inte
gärningar som avses i 1 § 3 och
endast gäller förvärv eller innehav
för personligt bruk
Den till vilken lagligen framställda alkoholdrycker har anskaffats för
personligt bruk skall vara fri från ansvar för medverkan till brott som
avses i detta kapitel.
För försök eller förberedelse till
brott som avses i 1-2 a och 6 §§
döms till ansvar enligt 23 kap.
brottsbalken. Detta gäller dock inte
gärningar som avses i 1 § 3 och
2 a § och endast gäller förvärv eller
innehav för personligt bruk.
10 §
Bestämmelser om ansvar för Bestämmelser om ansvar för
olovlig införsel och utförsel av olovlig införsel och utförsel av tek-
alkoholdrycker finns i lagen nisk sprit, alkoholhaltiga preparat
(1960:418) om straff för varu- och alkoholdrycker finns i lagen
smuggling. (1960:418) om straff för varu-
smuggling.
2
Har sprit eller alkoholdrycker olovligen tillverkats skall även destilla-
tionsapparater, apparatdelar och redskap som har använts vid tillverk-
ningen, råämnen som uppenbarligen varit avsedda för tillverkningen och
beredningen samt kärl och emballage som varorna har förvarats i, förkla-
ras förverkade. Likaså skall förråd av renings- och filtreringsmedel vilka
uppenbarligen avsetts för rening eller filtrering av olovligen tillverkad
sprit förklaras förverkat.
Destillationsapparater och appa- Destillationsapparater, apparat-
ratdelar som har varit föremål för delar och aktivt kol som har varit
brott enligt 10 kap. 1 a § eller vär- föremål för brott enligt 10 kap. 1 a
det därav samt utbyte av sådant § eller värdet därav samt utbyte av
brott skall förklaras förverkade. sådant brott skall förklaras
förverkade.
2§
Registret får användas för
1. handläggning av ärenden om
tillstånd,
Registret får användas för upp-
följning och utvärdering av lagens
tillämpning samt framställning av
16 Senaste lydelse 1999.1001.
17 Senaste lydelse 1996:940.
117
2. tillsyn över tillståndshavares statistik.
verksamhet samt
3. uppföljning och utvärdering
av lagens tillämpning samt fram-
ställning av statistik.
Prop. 2000/01:97
Bilaga 2
Registret får innehålla uppgifter
om
/. den som har tillstånd,
2. den som har haft tillstånd,
3. den vars ansökan om tillstånd
är föremål för prövning och
4. den som tidigare har ansökt
om tillstånd men vars ansökan har
avslagits, avvisats eller avskrivits.
Regeringen får meddela före-
skrifter om registrering av uppgif-
ter i fråga om olika företrädare för
en verksamhet.
3§
Registret får innehålla uppgifter
om dem som har tillstånd samt om
dem som anges i 8 kap. 4 § andra
stycket.
I registret får behandlas uppgif-
ter om
1. namn eller finna, person,
registrerings- eller organisations-
nummer, adress och telefonnum-
mer och
2. den verksamhet som tillståndet
avser och om villkor som har med-
delats för denna.
l registret får vidare anges till-
ståndsmyndighetens och domstols
beslut i ärenden enligt lagen och
de bestämmelser som har tilläm-
pats.
Registret får också innehålla
uppgift om tidpunkt för förhållan-
den som har registrerats och tek-
niska och administrativa uppgifter,
om uppgifterna behövs för att till-
godose ändamålet med registret.
5§
Riksskatteverket får för sin till-
syn enligt denna lag ha terminal-
åtkomst till uppgifter om serve-
ringstillstånd.
6§
Registeruppgift som inte behövs
för handläggning av ett ärende
eller för tillsyn enligt lagen skall
gallras under femte kalenderåret
efter det att uppgiften registrerats.
Om tillstånd återkallas eller om
sökt tillstånd vägras skall så snart
beslutet vunnit laga kraft alla upp-
gifter utom sådana som avses i 4 §
första stycket 1 och 6 samt 5 §
gallras ur registret.
Regeringen eller den myndighet
som regeringen bestämmer får
meddela föreskrifter om undantag
från gallring för att bevara ett
urval av material för forskningens
Kommunen får behandla de
personuppgifter som behövs för
tillståndsprövning och tillsyn enligt
denna lag. För sådan behandling
gäller bestämmelserna i person-
uppgiftslagen (1998:204).
118
behov. Sådant material skall läm-
nas över till en arkivmyndighet.
Prop. 2000/01:97
Bilaga 2
1. Denna lag träder i kraft den 1 juli 2003 i fråga om 8 kap. 5 § andra
stycket och i övrigt den 1 juli 2001. Genom lagen upphävs lagen
(1961:181) om försäljning av teknisk sprit m.m.
2. Serveringstillstånd som har meddelats före den 1 juli 2001 och som
inte uppfyller villkoren i 6 kap. 4 § andra stycket, skall anses meddelat
för servering under längst den tid som anges där.
3. I fråga om uppgifter som fram till den 30 juni 2001 tillförts det
register som avses i 12 kap. 1 § gäller äldre bestämmelser. Härvid skall
vad som sägs om Alkoholinspektionen i stället avse Stabsmyndigheten.
4. Inköpstillstånd avseende teknisk sprit som har meddelats före den
1 juli 2001 skall fortsätta att gälla tills de löper ut, dock längst till den
30 juni 2002
119
av Thor Norström1 & Ole-Jprgen Skog2
Prop. 2000/01:97
Bilaga 3
Mars 2001
I enlighet med riksdagens beslut startade Systembolaget i februari 2000
en försöksverksamhet med lördagsöppna butiker. Försöket skall enligt
propositionen följas vetenskapligt och utvärderas efter ett år (Regering-
ens proposition 1998/99:134), men utvärdcringsplanen innefattar även
uppföljningar under försöksperioden. Denna rapport baseras på erfaren-
heter från de första tio månaderna. Avsnitt 1 beskriver utvärderingens
uppläggning, avsnitt 2 redovisar skattningar av effekterna på System-
bolagets försäljning, medan det tredje avsnittet behandlar effekter på
olika skadeindikatorer (t.ex. misshandel). En sammanfattning och dis-
kussion ges i avsnitt 4.
Bakgrund
Lördagsöppning av systembutikerna innebär en ökad tillgänglighet av
alkohol. Förändringar av detta slag leder ofta, men inte alltid, till ökad
konsumtion som i sin tur ökar risken för fler alkoholrelaterade skador.
Erfarenheterna av försöket med lördagsstängningen på sommaren 1981
(vilket permanentades 1 juli 1982) är naturligtvis av relevans i detta
sammanhang. De utvärderingar som gjordes (Ds S 1982:2, Ds S 1984:8)
visade på en klar minskning av fylleriet, medan bilden var mer splittrad
när det gäller misshandel: man registrerade en minskning av misshandel
inomhus mellan bekanta, men en ökning utomhus mellan obekanta. Den
övergripande slutsatsen var dock att lördagsstängningen hade gynn-
samma effekter bland vissa marginaliserade grupper. Vad gäller den
totala konsumtionen tyder senare analyser (Norström, 2000) på en mins-
kad försäljning av öl och sprit i samband med lördagsstängningen, medan
vinförsäljningen ej påverkades. Den skattade minskningen på alkohol
totalt uppgår till 6%. Det finns en viss osäkerhet kring dessa resultat
eftersom avsaknaden av kontrollområde gör det svårt att kontrollera för
andra faktorer. Det kan nämnas att utvärderingarna på 80-talet fann vissa
indikationer men inte några tydliga effekter på totalkonsumtionen, men
då användes en annan metod och färre observationer.
Mycket har förändrats sedan lördagsstängningen på 80-talet; vi har fått
fler restauranger och ett ökat utbud av illegal sprit, tillgänglig såväl var-
dag som helg. Det är sålunda inte uppenbart vilka effekter man har att
räkna med vid ett öppnande på lördagar. Med utgångspunkt från resulta-
1 Institutet för social forskning, Stockholms universitet
2 Senter for hoyere studier, Det Norske Videnskaps-Akademi 120
ten för lördagsstängningen rör det sig i så fall om ganska små effekter, Prop. 2000/01:97
vilket kräver effektiva statistiska metoder för att kunna påvisa. Bilaga 3
Sy/te
De analyser som redovisas i denna rapport syftar till att skatta effekten av
lördagsöppet på:
- Systembolagets detaljhandelsförsäljning av öl, vin, sprit och alkohol
totalt
- olika slags skadeindikatorer.
Undersökningsperioden omfattar försökets tio första månader
(februari-november 2000).
Utvärderingens uppläggning
Utvärderingar och effektmätningar görs i regel av åtgärder som omfattar
hela landet. Detta gällde t.ex. försöket med lördagsstängningen somma-
ren 1981. En sådan design ger alltid en viss osäkerhet i resultaten efter-
som det samtidigt med åtgärden kan inträffa andra förändringar som
påverkar utfallet. Exempelvis leder en förbättring av den ekonomiska
konjunkturen normalt till en ökad alkoholförsäljning; om en sådan kon-
junkturförbättring sätter in samtidigt med att man öppnar systembuti-
kerna på lördagarna så är det vanskligt att tolka vad en eventuell försälj-
ningsökning beror på - är det den förbättrade konjunkturen eller lördags-
öppningen? I viss mån kan man statistiskt kontrollera för denna typ av
störande faktorer, men det förutsätter att man är medveten om deras
existens och vet hur stark den störande effekten är. Ur utvärderingssyn-
punkt är det sålunda mycket tillfredsställande att försöket med lördags-
öppet bygger på en design med experiment- och kontrollområde. En
sådan uppläggning minskar väsentligt osäkerheten i resultaten genom att
vi kan jämföra utvecklingen i experimentområdet med den i kontroll-
området. Detta förutsätter dock att dessa områden verkligen är jämför-
bara, dvs. att det finns en stark likhet i variationsmönstret mellan experi-
ment- och kontrollområde vad gäller de indikatorer som skall analyseras,
i detta fall alkoholförsäljning. På liknande sätt förutsätts att det inte finns
några händelser eller faktorer som bara påverkar utfallet i endera experi-
ment- eller kontrollområdet. Om vi anknyter till exemplet ovan antas att
en konjunkturförbättring påverkar båda områdena lika mycket, vilket
eliminerar dess störande effekt. Om däremot konjunktureffekten är star-
kare inom något av områdena står vi inför ett problem. I detta samman-
hang bör man nämna de höjda införselkvotema som infördes 1 juli 2000.
Effekten av denna förändring är säkert geografiskt betingad vilket bör
beaktas i utvärderingsarbetet.
Valet av experiment- och kontrollområde kan naturligtvis göras på
många olika sätt - man kan t.ex. välja få stora eller många små (som i
försöken med självbetjäning - se Skog, 2000). Följande överväganden
ligger till grund för vårt val:
- Eventuella effekter kan tänkas vara betingade av strukturella faktorer
såsom urbaniseringsgrad och geografiskt läge, inte minst närheten till
121
Danmark (med lördagsöppna butiker). Man bör alltså välja experi-
mentområdena så att man får en variation i dessa avseenden.
- De flesta av de indikatorer vi skall analysera speglar infrekventa hän-
delser, dvs. har små bastal. Om experimentområdena blir befolk-
ningsmässigt små kan den slumpmässiga variationen, bruset, bli
besvärande. Experiment- och kontrollområden bör därför vara
befolkningsmässigt ungefär likstora.
- Ett uppenbart metodologiskt problem är handelsläckagct, dvs.
tillströmningen av kunder som normalt handlar i något annat område.
Den potentiella felkällan här är att en del av de eventuella effekterna
gör sig gällande utanför experimentområdet. Detta talar för att man
väljer få stora, snarare än många små områden. Vidare bör experi-
ment- och kontrollområden ej gränsa till varandra utan vara separe-
rade av ett gränsområde.
- För att underlätta datainsamling bör experiment- och kontrollområden
utgöras av existerande administrativa enheter.
Mot denna bakgrund har vi valt en indelning där experimentområdena
utgörs av de fyra nordligaste länen, Stockholms län och Skåne län. Föl-
jande sammanställning visar indelningen i sin helhet (se även kartan i
figur 1.1):
Prop. 2000/01:97
Bilaga 3
122
Prop. 2000/01:97
Experimentområden (3 820’ inv.)
- Nordsverige: Norrbottens län, Västerbottens län, Jämtlands län, Bilaga 3
Västemorrlands län (900’ inv.)
- Stockholm: Stockholms län (1 800’ inv.)
- Skåne: Skåne län (1 120’ inv.)
Gränsområden (1 970’ inv.)
Dalamas län, Gävleborgs län, Uppsala län, Södermanlands län, Hallands
län, Kronobergs län, Blekinge län.
Kontrollområden (3 030’ inv.)
Värmlands län, Örebro län, Västmanlands län, Östergötlands län, Kalmar
län, Jönköpings län, Västra Götalands län.
Gotlands län hålls utanför då den starkt säsongsbundna turismen präglar
indikatorerna för detta län
Figur 1.1 Karta med experiment-, kontroll- och gränsområden
■mh Försöksområde
rasa Gränsområde
r~~—i Kontrollområde
123
Metod
Det är i regel vanskligt att avläsa effekten av en åtgärd direkt från en
tidsserie. Såvida det inte rör sig om en kraftig effekt är det svårt att
avgöra om en förändring som följer en åtgärd verkligen är en reell effekt
eller om den ligger inom ramen för den normala variation som finns i
serien i form av långsiktiga trender, säsongsvariation och mer tillfälliga,
slumpmässiga fluktuationer. Om man dessutom samtidigt skall beakta
utvecklingen i kontrollområdet är okulärbesiktning av rådata definitivt
ingen framkomlig väg. Uppgiften förenklas om man använder en ana-
lysteknik som tar hänsyn till alla dessa moment inom ramen för en sam-
manhållen modell, t.ex. ARIMA, som kommer att användas här (se
McDowall m.fl. (1980) för en beskrivning). Tekniken går kort sagt ut på
att inte begränsa sig till att jämföra läget omedelbart före och efter inter-
ventionen, utan att betrakta en eventuell förändring ur ett längre tidsper-
spektiv; ligger den inom ramen för normala variationer eller avviker den
signifikant från ett historiskt mönster? Den del av undersökningsperioden
som föregår interventionen benämns preinterventionsperiod, medan
postinterventionsperiod betecknar den efterföljande. För att avgöra om
interventionen har medfört någon förändring skattas en modell där den
aktuella indikatorn, t.ex. alkoholförsäljning i experimentområdet, är den
beroende variabeln (ofta benämnd outputserien) och interventionen den
förklarande variabeln (inputserien). I syfte att kontrollera för den gene-
rella försäljningsutvecklingen inkluderas alkoholförsäljningen i kontroll-
området bland de förklarande variablerna. Interventionen representeras
av en dummyvariabel vars konstruktion beror på om man förväntar sig en
tillfällig eller permanent effekt. Om man t.ex. antar en permanent effekt,
ges dummyvariabeln värdet 0 före och 1 efter interventionen. Även till-
fälliga och gradvisa effekter kan modelleras. Skattningen av dummy-
variabeln ger besked om interventionseffektens styrka och grad av statis-
tisk signifikans. Seriens temporala struktur är då samtidigt beaktad
genom separata parametrar som skattar långsiktig trend, säsongsmönster
och korrelation mellan successiva observationer. Den variation som inte
förklaras av modellen skall inte innehålla någon systematik, utan vara
helt slumpmässig (s.k. vitt brus). Den statistiska osäkerheten i resultaten
uttrycks främst i felmarginalerna kring den skattade interventionseffek-
ten.
Preliminära analyser av försäljningsdata visade att det var nödvändigt
att inkludera en dummyvariabel för juli månad, med värdet 1 för juli och
0 annars. Den modell vi skattar har alltså följande utseende:
LnAtc= b|*LnAlk+ b2*DLt+ b3*DJt + LnNt
där Ale betecknar alkoholförsäljningen i experimentområdet vid tidpunk-
ten t, Atk alkoholförsäljningen i experimentområdet och DL dummy-
variabeln som representerar interventionen, dvs. lördagsöppet. Den har
värdet 0 fram till och med januari 2000 och 1 därefter. Dummyvariabeln
för juli månad är betecknad DJ. Ln indikerar att serierna är logaritmiskt
transformerade. N representerar feltermen (noise) vars temporala struktur
modelleras med autoregressiva (AR) och moving average (MA) para-
metrar. De parametrar som skall skattas betecknas b. Den procentuella
Prop. 2000/01:97
Bilaga 3
124
effekten av lördagsöppet fås genom uttrycket (eb2-l)*100. I modellerna
för Skåne inkluderades ytterligare en dummyvariabel som representerar
de höjda införselkvoter som infördes 1 juli 2000. Denna dummy har vär-
det 1 från och med juli 2000 och 0 annars.
Skattningen kan göras på rådata, säsongsdifferentierade data (At-At.12),
eller reguljärt differentierade data (At-At.i). Den ansats som vi fann sta-
tistiskt mest tillfredsställande var den sistnämnda; den reguljära differen-
tieringen eliminerade den oönskade trend som finns i såväl rådata som i
säsongsdifferentierade data; vidare blev residualstrukturen tillfredsstäl-
lande (vitt brus) med endast ett minimum av feltermsparametrar (AR-
och MA-parametrar). Det är dessa skattningar som kommer att redovisas.
De avviker dock inte markant från de skattningar vi fått med de två andra
ansatserna, vilket indikerar att resultaten är ganska robusta.
Vi kommer även att använda en närbesläktad, grafisk metod enligt
följande. På basis av data för preinterventionsperioden (januari 1995—
januari 2000) skattas en modell som ovan men som ej inkluderar
dummyvariabeln för interventionen. Utifrån skattningarna från denna
modell beräknas den prognostiserade försäljningen för hela perioden
januari 1995-november 2000, dvs. den försäljning som förväntas utifrån
försäljningen i kontrollområdet. Genom att grafiskt jämföra den faktiska
med den prognostiserade försäljningen under försöksperioden (februari-
november 2000) får man en bild av effekten från lördagsöppet.
Analyserna av skadeindikatorerna har en något annorlunda upplägg-
ning vilket beskrivs i ett senare avsnitt.
Prop. 2000/01:97
Bilaga 3
Data
Data utgörs av Systembolagets detaljhandelsförsäljning för perioden
januari 1995-november 2000 av öl, vin, sprit och alkohol totalt. Serierna
är uttryckta i liter 100% alkohol per invånare (15 år och över).
Ursprungsdata är länsspecifika vilka aggregerats till ett kontrollområde,
ett gränsområde och de tre experimentområdena (se ovan).
Resultat
Eftersom en eventuell lördagseffekt på försäljningen kan variera mellan
såväl områden som dryckessorter har vi skattat dryckesspeciftka model-
ler för de tre experimentområdena separat förutom modeller för alkohol
totalt och alla experimentområden. Vi redovisar först resultaten från den
grafiska metoden. Figur 2.2 visar två grafer: den faktiska försäljningen
(heldraget) och den försäljning som prediceras av försäljningen i kon-
trollområdet (streckat). Avvikelserna mellan de två grafema är genom-
gående mycket små under perioden före lördagsöppet; detta är ett uttryck
för att det finns en stark likhet mellan experiment- och kontrollområde
vad gäller variationsmönstret i alkoholförsäljningen, och att kontroll-
området verkligen fungerar som ett kontrollområde. Men från och med
februari 2000 kan vi notera mer systematiska avvikelser i de flesta av
125
figurerna. Sålunda ligger ölförsäljningen i Skåne på en högre nivå än
förväntat under alla tio försöksmånader, i Stockholm gäller detta för alla
månader utom en (juni), i Nordsverige under sista halvan av undersök-
ningsperioden. Vad gäller vin är avvikelserna mellan faktisk och progno-
stiserad försäljning små och osystematiska; i Skåne finns en viss initial
effekt som dock upphör, för Stockholm och Nordsverige noteras en viss
effekt för de sista fyra till fem månaderna. För spritförsäljningen ser man
en svag effekt i Skåne i början av perioden; även i Stockholm är den svag
men jämnare fördelad över tid, medan det för Nordsverige finns en effekt
under tre av de tio månaderna (april, augusti och september). Den sam-
mantagna lördagscffekten på den totala alkoholförsäljningen är relativt
jämnt fördelad på de fyra första månaderna i Skåne, men har helt dött ut
under den sista halvan av försöksperioden, vilket kan vara en effekt av de
ökade införselkvotema. För Stockholm är den totala effekten märkbar
alla månader utom juni, för Nordsverige ligger försäljningen under april
och de fem sista månaderna klart över prognosen.
Den grafiska metoden visar ganska tydliga avvikelser mellan faktisk
och prognostiserad försäljning vilka kan tolkas som en lördagseffekt.
Den fråga som inställer sig är storleksordningen på denna effekt och gra-
den av statistisk signifikans. Resultaten från modellskattningama ger
besked på denna punkt. En sammanfattande översikt av dessa ges i tabell
2.1, medan en utförligare redovisning återfinns i den tekniska bilagan.
Tabell 2.1. Skattad effekt (%) av lördagsöppet på Systembolagets dctalj-
handelsförsäljning i gränsområdena och i experimentområdena
Stockholm, Skåne och Nordsverige under lördagsöppningens första fas
(februari-november 2000).
Prop. 2000/01:97
Bilaga 3
|
Gräns- |
Alla experi- |
Särskilda experimentområden | |||
|
Stockholm |
Skåne |
Nord- | |||
|
Öl |
0.2NS |
yr’ |
6.9“ |
10.6" |
6.8" |
|
Vin |
-0.8ns |
1.8“ |
2.7ns |
3.4N5 |
1.7NS |
|
Sprit |
-0.9ns |
3.0“ ~ ” |
3.1nS |
3.8“ |
1.6ns |
|
Alkohol totalt |
-0.5ns |
3.9“ |
4.5" |
3.0" | |
* p < 0.05
** p < 0.01
NSEj statistisk signifikant (p > 0.05)
Modellskattningama av lördagscffekten på försäljningen bekräftar det
intryck som den grafiska metoden gav. Den starkaste effekten noteras för
ölförsäljningen; 11% i Skåne, 7% i Stockholm och Nordsverige. Utöver
dessa förändringar är det bara ökningen i spritförsäljningen i Skåne som
är statistiskt säkerställd. Ser vi på resultaten för alla experimentområden
sammantaget så är felmarginalerna mindre genom det större urvalet.
Detta gör att alla dryckesspecifika ökningar blir statistiskt signifikanta
här. Effekten av lördagsöppet på den totala försäljningen i alla experi-
mentområden sammantaget är enligt resultaten 3%. Skillnaderna mellan
experimentområden är små och ej statistiskt signifikanta. Man kan
påminna om att de effekter som här diskuteras är nettoeffekter, alltså den
försäljningsökning som skett i experimentområdet sedan införandet av
126
lördagsöppet, med kontroll för försäljningsutvecklingen i kontrollområ-
det. Det kan vidare noteras att den skattade effekten av de ökade inför-
selkvotema (som beaktades i modellerna för Skåne) endast är signifikant
för vinförsäljningen, som beräknas ha minskat med 4 % efter införandet
av de nya kvoterna (tabell A i den tekniska bilagan.) Uppföljningsperio-
den är alltför kort för att tillåta några mer definitiva slutsatser, men en
möjlig tolkning är att de ökade införselkvotema har raderat ut lördags-
effekten i Skåne under hösten 2000.
Vi skall nu behandla några möjliga felkällor. Problemet med handels-
läckage nämndes inledningsvis. Det verkar troligt att en del lördags-
kunder kommer från gränsområdena. Frågan är om denna handel varit av
sådan omfattning att den kan förklara en del av lördagseffekten. Man
skulle i så fall finna en negativ lördagseffekt i gränsområdena. Som
framgår av tabell 2.1 finns det en tendens i den riktningen, men den
skattade försäljningsminskningen i gränsområdena till följd av lördags-
öppet är obetydlig och inte större än vad man kan vänta sig av slumpen.
Vi har även undersökt om det finns antydan till någon geografisk gradi-
ent, dvs. en negativ lördagseffekt som avtar med ökande avstånd från
experimentområdena. Länsspecifika skattningar i gränsområdena av lör-
dagseffekten på öl hade dock inget geografisk mönster i den riktningen
(ingen av dessa skattningar var statistiskt signifikant).
En annan tänkbar felkälla är att experiment- och kontrollområden
skiljer sig i något avseende som påverkar utfallet. Vad som kanske ligger
närmast till hands här är att konjunkturuppgången skulle ha varit starkare
i Stockholm än i kontrollområdet vilket skulle ha påverkat försäljningen.
Som ett test på detta prövade vi också med att använda Västra Götalands
län som kontrollområde i modellerna för Stockholm (Västra Götalands
län borde i konjunkturavseende vara mer likt Stockholm). Detta gav dock
inte några annorlunda resultat.
Prop. 2000/01:97
Bilaga 3
127
TEKNISK BILAGA
Tabell A. Modellestimat for öl, vin, sprit och alkohol totalt i de tre
experimentområdena och gränsområdena. ARIMA-modeller skattade på
reguljärt differentierade månadsdata för perioden januari 1995-november
2000.
Prop. 2000/01:97
Bilaga 3
|
ÖL |
Stockholm |
Skåne |
Nordsverige |
Alla experi- |
Gränsområden | |||||
|
Para- |
SE |
Para- |
SE |
Para- |
SE |
Para- |
SE |
Para- |
SE | |
|
MAJ |
0.87 |
0.56 |
0.99 |
0.96 |
0.81 | |||||
|
AR12 |
0.46 |
0.47 |
0.67 |
0.65 |
0.52 | |||||
|
Lördags- |
0.067 |
0.015 |
0.101 |
0.027 |
0.066 |
0.018 |
0.071 |
0.009 |
0.002 |
0.012 |
|
effekt | ||||||||||
|
Införsel- |
- |
- |
- |
0.028 |
- |
- |
- |
- |
- |
- |
|
effekt |
0.021 | |||||||||
|
Juli |
-0.195 |
0.020 |
-0.054 |
0.021 |
0.116 |
0.048 |
-0.065 |
0.022 |
0.012 |
0.014 |
|
Kontroll |
0.785 |
0.024 |
0.814 |
0.027 |
0.980 |
0.047 |
0.830 |
0.020 |
1.054 |
0.017 |
|
område | ||||||||||
|
Konstant |
0.001 |
0.001 |
-0.001 |
0.003 |
0.000 |
0.001 |
0.000 |
<0.001 |
0.000 |
0.001 |
|
Q(24)* |
26.1 |
19.0 |
19.6 |
26.1 |
27.4 | |||||
|
VIN |
Stockholm |
Skåne |
Nordsverige |
Alla experi- |
Gränsområden | |||||
|
Para- |
SE |
Para- |
SE |
Para- |
SE |
Para- |
SE |
Para- |
SE | |
|
MA1 |
0.81 |
0.65 |
0.99 |
0.99 |
0.65 | |||||
|
AR12 |
0.70 |
0.68 |
0.71 |
0.78 |
0.69 | |||||
|
Lördags- |
0.027 |
0.013 |
0.033 |
0.019 |
0.017 |
0.011 |
0.018 |
0.005 |
-0.008 |
0.011 |
|
effekt | ||||||||||
|
Införsel- |
- |
- |
-0.045 |
0.020 |
- |
- |
- |
- |
- |
- |
|
effekt | ||||||||||
|
Juli |
-0.228 |
0.022 |
-0.064 |
0.023 |
0.067 |
0.034 |
-0.140 |
0.018 |
0.005 |
0.014 |
|
Kontroll |
0.825 |
0.028 |
0.880 |
0.029 |
1.067 |
0.041 |
0.869 |
0.017 |
1.006 |
0.017 |
|
område | ||||||||||
|
Konstant |
0.000 |
0.001 |
-0.002 |
0.003 |
0.003 |
<0.001 |
0.000 |
<0.001 |
0.001 |
0.002 |
|
Q(24)* |
15.3 |
12.9 |
16.4 |
19.2 |
28.7 | |||||
128
Prop. 2000/01:97
|
SPRIT |
Stockholm |
Skåne |
Nordsverige |
Alla experi- |
Gränsområden | |||||
|
Para- |
SE |
Para- |
SE |
Para- |
SE |
Para- |
SE |
Para- |
SE | |
|
MA1 |
0.52 |
0.75 |
0.80 |
0.99 |
0.57 | |||||
|
AR12 |
0.75 |
0.39 |
0.89 |
0.83 |
0.61 | |||||
|
Lördags- |
0.031 |
0.017 |
0.037 |
0.012 |
0.016 |
0.013 |
0.030 |
0.004 |
-0.009 |
0.009 |
|
effekt | ||||||||||
|
Införsel- |
- |
- |
-0.004 |
0.012 |
- |
- |
- |
- |
- |
- |
|
effekt | ||||||||||
|
Juli |
-0.170 |
0.020 |
-0.077 |
0.010 |
0.100 |
0.040 |
-0.070 |
0.017 |
-0.007 |
0.009 |
|
Kontroll |
0.875 |
0.023 |
0.918 |
0.015 |
1.019 |
0.031 |
0.882 |
0.013 |
1.015 |
0.011 |
|
område | ||||||||||
|
Konstant |
-0.001 |
0.003 |
-0.002 |
0.001 |
0.000 |
0.002 |
0.000 |
<0.001 |
0.000 |
0.001 |
|
Q(24)* |
15.9 |
16.5 |
26.8 |
17.0 |
47.2 | |||||
|
ALKO- |
Stockholm |
Skåne |
Nordsverige |
Alla experi- |
Gränsområden | |||||
|
Para- |
SE |
Para- |
SE |
Para- |
SE |
Para- |
SE |
Para- |
SE | |
|
MA1 |
0.81 |
0.70 |
0.97 |
0.99 |
0.66 | |||||
|
AR12 |
0.72 |
0.76 |
0.81 |
0.74 |
0.56 | |||||
|
Lördags- |
0.038 |
0.013 |
0.044 |
0.016 |
0.030 |
0.010 |
0.031 |
0.006 |
-0.005 |
0.010 |
|
effekt | ||||||||||
|
Införsel- |
- |
- |
-0.027 |
0.017 |
- |
- |
- |
- |
- |
- |
|
effekt | ||||||||||
|
Juli |
-0.205 |
0.023 |
-0.074 |
0.025 |
0.091 |
0.038 |
-0.106 |
0.019 |
0.004 |
0.009 |
|
Kontroll |
0.815 |
0.029 |
0.871 |
0.029 |
1.048 |
0.037 |
0.866 |
0.021 |
1.027 |
0.013 |
|
område | ||||||||||
|
Konstant |
0.000 |
0.001 |
■0.002 |
0.002 |
0.001 |
<0.001 |
0.000 |
<0.001 |
0.000 |
0.001 |
|
Q(24)* |
16.3 |
12.4 |
17.5 |
24.2 |
30.1 | |||||
* Test för autokorrelerade residualer
129
5 Riksdagen 2000/01. 1 saml. Nr 97
Figur 2.2. Prognostiserad (trianglar) och faktisk försäljning (cirklar)
Prop. 2000/01:97
Bilaga 3
Liter, 100% Liter, 100%
130
Öl, Stockholm
Prop. 2000/01:97
Bilaga 3
Liter, 100% Liter, 100%

131
Vin, experimentområdet
Prop. 2000/01:97
Bilaga 3
Liter, 100% Liter, 100%

132
Prop. 2000/01:97
Bilaga 3
Liter, 100% Liter, 100%
133
Prop. 2000/01:97
Bilaga 3
Liter, 100% Liter, 100%
134
Prop. 2000/01:97
Bilaga 3
Liter, 100% Liter, 100%
135
Alkohol totalt, experimentområdet
Liter, 100% Liter, 100%
Prop. 2000/01:97
Bilaga 3
136
Prop. 2000/01:97
Bilaga 3
Liter, 100% Liter, 100%

137
Enligt resultaten i föregående avsnitt har lördagsöppet lett till cn ökning
av Systembolagets försäljning i experimentområdet med cirka 3% (liter
ren alkohol per invånare 15 år och över). Resultatet gäller försöksperio-
dens tio första månader. I detta avsnitt skall vi undersöka om denna för-
säljningsökning givit upphov till några negativa konsekvenser som kan
spåras i tillgänglig statistik. Valet av skadeindikatorer har styrts av ett
flertal överväganden. Sålunda skall indikatorn:
- ha en dokumenterad koppling till alkoholkonsumtion
- mäta akuta snarare än långsiktiga effekter
- vara tillgänglig med smalt tidsfönster (timme eller dygn)
- ha historiska data några år bakåt i tiden
- rapporteras kontinuerligt utan längre eftersläpning än några månader.
De flesta av dessa krav är väl uppenbara, endast det som gäller smalt
tidsfönster kräver närmare förklaring. Eftersom eventuella effekter vän-
tas vara koncentrerade till lördag-söndag bör indikatorerna ha ett mot-
svarande tidsfönster för att man skall uppnå optimal känslighet i ana-
lyserna. Om man i stället använde månadsstatistik, skulle effekten tunnas
ut och bli svårare att upptäcka vid statistiska analyser (detta belyses av
reanalyser av data från 8O-talets lördagsstängning, se Norström, 2000).
Dessa krav utesluter många tänkbara indikatorer; sjukvårdsdata rap-
porteras t. ex. med alltför lång eftersläpning (ett par år). De indikatorer vi
valt rör olika former av brottslighet:
- Misshandel mot barn 0-14 år, offer och gärningsman bekanta
- Misshandel mot kvinna inomhus, offer och gärningsman bekanta
- Misshandel utomhus
- Misshandel totalt
- Rattfylleri
- Positiva utandningsprov
Det är väl känt att ett stort antal brott inte finns med i statistiken; alla
fall av misshandel anmäls ej till polisen, och bara en bråkdel av alla
rattfylleribrott upptäcks. Detta s.k. mörkertal är en potentiell felkälla, och
det gäller att välja en metod som minimerar dess inverkan.
Metod
Vi använder cn modifierad variant av den metod som applicerades i före-
gående avsnitt för skattningarna av effekten på försäljningen. Skillnaden
är att vi här har indikatorer med olika tidsfönster. Den modell vi skattar
har följande utseende:
LnSLE= b|DL + bjEnSLK + bgLnSyg + LnN
Modellen skattas på månadsdata men där de olika skadeindikatorerna (S)
har skilda tidsfönster som omfattar dels veckoslutsdygnen lördag-söndag
(betecknat L), dels veckodagarna måndag-fredag (betecknat v)- Vidare
kan skadeindikatom avse experimentområdet (betecknat E), eller kon-
trollområdet (betecknat K). Antag att den aktuella skadeindikatom är
antalet fall av misshandel. SLE uttrycker då antalet fall under månaden
Prop. 2000/01:97
Bilaga 3
138
som inträffat i experimentområdet under lördagar och söndagar. DL är en
dummyvariabeln som representerar interventionen, dvs. lördagsöppet.
Den har värdet 0 fram till och med januari 2000 och 1 därefter. Ln indi-
kerar att serierna är logaritmiskt transformerade. N representerar felter-
men (noise) vars temporala struktur modelleras med autoregressiva (AR)
och moving average (MA) parametrar. De parametrar som skall skattas
betecknas b. Den procentuella effekten av lördagsöppet fås genom
uttrycket (eb,-l)*100.
De skadeindikatorer som ingår i modellens högerled fungererar som
kontrollvariabler. Om vi fortsätter att exemplifiera med misshandel så
fungerar SLk som kontroll för faktorer som generellt påverkar antalet
misshandelsfall under veckoslutsdygnen lördag-söndag. Rapporterings-
benägenhet, och därmed mörkertalet, är exempel på sådana faktorer.
Genom SVe kontrollerar vi för orsaksfaktorer bakom misshandel som är
specifika för experimentområdet och som antas ha påverkan alla veckans
dagar. I vissa analyser modifieras modellen något, t.ex. med tillägg av
dummyvariabel för någon specifik månad (detta framgår av den tekniska
bilagan).
Med denna metod kan vi idealt kontrollera för faktorer som kan tänkas
snedvrida utfallet. Om t.ex. den faktiska misshandeln inte förändras,
medan rapporteringsbenägenheten ökar under försöksperioden så får vi
en skenbar misshandelsökning. Men förutsatt att denna skenbara ökning
gäller såväl experiment- som kontrollområdet påverkar det inte skatt-
ningen av lördagseffekten. I det aktuella exemplet finns det knappast
några skäl att tro att denna förutsättning inte skulle vara uppfylld.
När det gäller rattfylleri är situationen något annorlunda. Här är antalet
brott starkt beroende av omfattningen och inriktningen av polisens kon-
trollinsatser varför det hade varit önskvärt med en direkt kontrollvariabel
här. Det finns dock inga data som belyser omfattningen av polisens tra-
fiknykterhetskontroller. Kontrollinsatsernas inriktning är av väl så stor
betydelse. Under försöksperioden har vissa kontroller koncentrats till
lördagsöppna systembutikers närområde. Eftersom det erfarenhetsmäs-
sigt finns en viss anrikning av rattfylleri i sådana områden p.g.a. bakrus,
kan man förvänta sig en ökning i rattfylleri i experimentområdet under
lördagar till följd av polisens förändrade kontrollstrategi. De data vi har
på positiva utandningsprov (en kompletterande indikator på rattfylleri)
innehåller uppgifter om både datum och klockslag, vilket ger vissa möj-
ligheter att kontrollera för denna effekt. Eftersom en viss överflyttning av
kontrollinsatserna kan ha gjorts från veckodagar till veckoslut ingår ej
SVE i modellerna för rattfylleri och utandningsprov.
Förutom modellskattningar kommer vi att använda den grafiska metod
som applicerades i föregående avsnitt.
Innan vi går in på de empiriska skattningarna av lördagseffekten skall
vi först teoretisk diskutera frågan: hur stora skadeeffekter kan vi förvänta
oss av en försäljningsökning på 3%, och vilka är möjligheterna att upp-
täcka dem statistiskt?
Enligt resultat från tidigare studier leder en försäljningsökning på 1%
till en ökning i rattfylleri på cirka 0.6% (Norström, 1999); effekten på
misshandel totalt är av samma storleksordning (Lenke, 1990; Norström,
1998). Detta innebär att en försäljningsökning på 3% väntas leda till en
ökning på 1.8% i dessa två skadeindikatorer. Den procentuella ökningen
Prop. 2000/01:97
Bilaga 3
139
under helgerna väntas vara större, eftersom den konsumtionsökning som
lördagsöppet genererar bör vara koncentrerad till lördag-söndag. Enligt
KUhlhom m.fl. (2000, s. 73) utgör konsumtionen under lördag-söndag
hälften av den totala konsumtionen. En försäljningsökning på totalt 3%
skulle då representera en konsumtionsökning under helgen med 6%.
Förutsatt att de alkoholeffekter som nämndes ovan också gäller för hel-
ger, skulle man förvänta sig en ökning i rattfylleri och misshandel på
3.6%.
En viktig fråga är om utvärderingens design förmår att fånga upp
effekter av denna storleksordning. Frågan gäller alltså vilka felmarginaler
man har att räkna med vid skattningen av lördagseffekten, och om dessa
är mindre än de förväntade effekterna. Minimivärdet på den förväntade
felmarginalen bestäms av antalet försöksmånader och skadeindikatoms
bastal (antalet fall under helger/månad). Ju färre fall, desto större är de
slumpmässiga variationerna från månad till månad, vilket leder till större
felmarginaler. Beräkningar (se teknisk bilaga A) visar att för misshandel
totalt (den indikator som har störst bastal) ger enbart denna felkälla en
felmarginal på 3.6% givet 10 försöksmånader. Till detta kommer andra
källor till osäkerhet. Vi kan alltså konstatera att de förväntade effekterna
på misshandel och rattfylleri ligger inom ramen för de statistiska felmar-
ginalerna.
Under dessa premisser kan man kan fråga sig om det är motiverat att
gå vidare med analyserna. Ja, det finns det skäl till; forskningen visar att
de sociala skadeeffekterna av en given konsumtionsökning påverkas av
vilka det är som dricker och i vilket sammanhang. Lenkc (1990) visar
t.ex. att effekten av cn liters ökning i alkoholkonsumtionen har flera
gånger starkare effekt på misshandel om det är restaurangkonsumtion
jämfört med hemkonsumtion. De alkoholeffekter vi har utgått ifrån är
genomsnittseffekter, och man kan inte utesluta att den konsumtions-
ökning som lördagsöppet genererar har starkare effekter på sociala
skadeindikatorer.
Data
Indikatorerna på misshandel och rattfylleri bygger på polisrapporterade
fall för perioden januari 1995-november 2000 (källa: Brottsföre-
byggande rådet, Brå). Data innehåller uppgifter om brottsdatum (dock ej
klockslag) och tidsfönstren är sålunda dygnsspecifika: veckodagar
(måndag-fredag) respektive veckoslutsdagar (lördag-söndag). Positiva
utandningsprov (källa: Statens kriminaltekniska laboratorium) är en
kompletterande indikator på rattfylleri som baseras på de prov som poli-
sen tar vid nykterhetskontroller. Positivt innebär att alkoholhalten över-
stiger den legala gränsen för rattfylleri. Indikatorn är ej heltäckande; i
cirka 25% av fallen tas i stället blodprov för vilket det saknas statistik av
det slag som krävs i detta sammanhang. Serien för utandningsprov täcker
perioden januari 1996-september 2000. Data innehåller uppgifter om
brottsdatum och klockslag, vilket möjliggjort smalare tidsfönster. I ana-
lyserna har vi sålunda använt följande tidsfönster: 1: söndag 14.00-lör-
dag 09.59; 2: lördag 10.00-13.59; 3: lördag 14.00-söndag 13.59; 4: tids-
fönster 2+3, dvs. lördag 10.00-söndag 13.59. Om det finns en reell lör-
dagseffekt bör den uppträda i tidsfönster 3, medan den eventuella effek-
Prop. 2000/01:97
Bilaga 3
140
ten av förändrad inriktning på polisens kontrollinsatser bör uppträda i
tidsfönster 2 (Systembolagets normala öppethållandetid under lördagar).
Ursprungsdata är länsspecifika vilka aggregerats till ett kontroll-
område, ett gränsområde och de tre experimentområdena.
Resultat
Tabell 3.1-3.2 har det rent deskriptiva syftet att ge en uppfattning om
bastalen för de olika indikatorerna (i den tekniska bilagan ges även upp-
delning på de enskilda experimentområdena). Bastalen för barnmisshan-
del visade sig vara alltför små som underlag för vidare analyser (se den
tekniska bilagan B).
Figur 3.1-3.7 visar resultaten från den grafiska metoden, där den fak-
tiska utvecklingen i respektive indikator jämförs med den utveckling som
prognostiseras utifrån kontrollområdet. Vi tittar först på tidsperioden före
lördagsöppningen. Man kan då notera en mycket sämre överensstäm-
melse mellan faktisk och prognostiserad utveckling än vad som gällde
vid motsvarande analyser av försäljningsdata. Detta gäller särskilt indi-
katorer med små bastal, t.ex. utandningsprov. Detta är ett uttryck för att
experiment- och kontrollområde är svagare synkroniserade i skadeindi-
katoremas förändringar jämfört med alkoholförsäljningens variationer
över tid. Vi får alltså räkna med större felmarginaler och mer statistisk
osäkerhet i de aktuella analyserna.
Om vi så tittar på försöksperioden finner vi inga systematiska avvikel-
ser mellan faktisk och prognostiserad utveckling i de olika formerna av
misshandel (figur 3.1-3.3). För kvinnomisshandel noteras att fler måna-
der ligger över än under prognos, men mönstret ger inget tydligt utslag.
När vi kommer till rattfylleri och positiva utandningsprov (lördag 10.00-
söndag 13.59) finner vi däremot faktiska värden som ligger över progno-
sen för flertalet av månaderna. Figur 3.6 ger stöd för resonemanget ovan
att detta åtminstone delvis kan bero på mer riktade kontrollinsatser från
polisen under de timmar Systembolaget har lördagsöppet; som vi ser har
antalet positiva utandningsprov ökat markant i experimentområdet under
dessa timmar. När tidsfönstret snävas in till lördag 14.00-söndag 13.59
minskar sålunda de systematiska skillnaderna mellan utfall och prognos.
Vi övergår till modellskattningama, där resultaten ligger i linje med
utfallet från den grafiska metoden. (Detaljerad redovisning av modell-
skattningama ges i den tekniska bilagan B.) Tabell 3.3 visar att den
skattade lördagseffekten inte är statistiskt signifikant för någon av miss-
handelsindikatorema. För rattfylleri (tabell 3.4.a) är effekten klart signi-
fikant i Stockholm, och på gränsen till signifikant för alla experiment-
områden sammantaget. Resultaten för utandningsprov lördag 10.00-sön-
dag 13.59 uppvisar samma mönster (men med klar signifikans för alla
experimentområden). Om vi utesluter utandningsproven lördag 10.00-
13.59, dvs. då Systembolaget har lördagsöppet, halveras den skattade
lördagseffekten och är inte längre statistiskt säkerställd.
Tabell 3.4b visar den beräknade totaleffekten på rattfylleriindikato-
rema, där effekten för lördag-söndag relaterats till veckans alla dagar
som bas. Uttryckt på detta sätt blir den skattade effekten naturligtvis
lägre (dessa beräkningar har endast gjorts för indikatorer där vi fått signi-
fikanta effekter).
Prop. 2000/01:97
Bilaga 3
141
Tabell 3.1a. Genomsnittligt antal fall lördag-söndag av kvinnomisshan-
del inomhus, misshandel utomhus och misshandel totalt i månaderna
februari-november i kontroll- och experimentområde före (1995-1999)
och efter (2000) lördagsöppningen.
Prop. 2000/01:97
Bilaga 3
|
Kvinnomisshandel |
Misshandel |
Misshandel totalt | ||||
|
Kontroll |
Experi- |
Kontroll |
Experi- |
Kontroll |
Experi- | |
|
ment |
ment |
ment | ||||
|
Före |
93.6 |
153.1 |
307.0 |
434.3 |
557.3 |
830.2 |
|
Efter |
78.3 |
143.1 |
322.1 |
442.8 |
547.8 |
821.6 |
|
Ändring (%) |
-16 |
-6 |
+5 |
+2 |
-2 |
-1 |
Tabell 3.1b. Genomsnittligt antal fall veckodagar (måndag-fredag) av
kvinnomisshandel inomhus, misshandel utomhus och misshandel totalt i
månaderna februari-november i kontroll- och experimentområde före
(1995-1999) och efter (2000) lördagsöppningen.
|
Kvinnomisshandel |
Misshandel |
Misshandel totalt | ||||
|
Kontroll |
Experi- |
Kontroll |
Experi- |
Kontroll |
Experi- | |
|
ment |
ment |
ment | ||||
|
Före |
165.6 |
291.2 |
323.3 |
508.4 |
696.1 |
1168.9 |
|
Efter |
133.3 |
240.0 |
297.2 |
492.2 |
618.1 |
1041.0 |
|
Ändring (%) |
-20 |
-18 |
-8 |
-3 |
-11 |
-11 |
Tabell 3.2a. Genomsnittligt antal fall lördag-söndag av rattfylleri, posi-
tiva utandningsprov lördag 10.00-söndag 13.59 och positiva utand-
ningsprov lördag 14.00-söndag 13.59 i månaderna februari-november i
kontroll- och experimentområde före (1995-1999) och efter (2000) lör-
dagsöppningen.
|
Rattfylleri |
Utandningsprov |
Utandningsprov | ||||
|
Kontroll |
Experi- |
Kontroll |
Experi- |
Kontroll |
Experi- | |
|
Före |
164.6 |
212.0 |
86.5 |
96.9 |
76.4 |
86.3 |
|
Efter |
180.0 |
239.9 |
72.5 |
104.8 |
62.9 |
83.9 |
|
Ändring (%) |
+9 |
+13 |
-16 |
+8 |
-18 |
-3 |
142
Tabell 3.2b. Genomsnittligt antal fall veckodagar (måndag-fredag) av
rattfylleri och positiva utandningsprov i månaderna februari-november i
kontroll- och experimentområde före (1995-1999) och efter (2000) lör-
dagsöppningen. (För utandningsprov endast t.o.m. september 2000).
Prop. 2000/01:97
Bilaga 3
|
Rattfylleri |
Utandningsprov | |||
|
Kontroll |
Experiment |
Kontroll |
Experiment | |
|
Före |
248.2 |
309.6 |
241.2 |
296.6 |
|
Efter |
277.3 |
312.3 |
211.3 |
270.5 |
|
Ändring (%) |
+12 |
+1 |
-12 |
-9 |
Tabell 3.3. Skattad effekt (%) av lördagsöppet på kvinnomisshandel
inomhus, misshandel utomhus och misshandel totalt under lördag-sön-
dag i experimentområdena Stockholm, Skåne och Nordsverige under
lördagsöppningens första fas (februari-november 2000).
|
Alla experi- |
Särskilda experimentområden | |||
|
Stockholm |
Skåne |
Nordsverige | ||
|
Kvinnomisshandel |
0.9ns |
1.2ns |
5.3ns |
11.3ns |
|
Misshandel utomhus |
-5.1ns |
-8.0ns |
-5.2ns |
8.5ns |
|
Misshandel totalt |
0.2ns |
-2.6ns |
1.2ns |
13.0ns |
’ p < 0.05
*’p<0.01
NS Ej statistisk signifikant (p > 0.05)
Tabell 3.4a. Skattad effekt (%) av lördagsöppet på rattfylleri under lör-
dag-söndag, positiva utandningsprov lördag 10.00-söndag 13.59 och
positiva utandningsprov lördag 14.00-söndag 13.59 i experimentområ-
dena Stockholm, Skåne och Nordsverige under lördagsöppningens första
fas (februari-november 2000). (För utandningsprov endast t.o.m. sep-
tember 2000).
|
Alla experi- |
Särskilda experimentområden | |||
|
Stockholm |
Skåne |
Nordsverige | ||
|
Rattfylleri |
14.8ns |
22. r |
8.8ns | |
|
Utandningsprov |
18.6’ |
30.7* |
-0.7ns |
23.7NS |
|
lö 10.00-sön 13.59 | ||||
|
Utandningsprov |
9.1NS |
12.2NS |
0.8ns |
<0.1NS |
|
lö 14.00-sön 13.59 | ||||
* p < 0.05
"p<0.01
NS Ej statistisk signifikant (p > 0.05)
143
Tabell 3.4b. Skattad effekt (%) av lördagsöppet på det totala antalet fall
av rattfylleri och positiva utandningsprov i experimentområdena
Stockholm, Skåne och Nordsverige under lördagsöppningens första fas
(februari-november 2000).
Prop. 2000/01:97
Bilaga 3
|
Alla experi- |
Särskilda experimentområden | ||
|
Stockholm Skåne |
Nordsverige | ||
|
Rattfylleri |
6.0ns |
8.8* 3.6ns | |
|
Utandningsprov |
4.5* |
6.9* -0.2ns |
6.8ns |
p < 0.05
**p<0.01
Ns Ej statistisk signifikant (p > 0.05)
TEKNISK BILAGA A
Låt Mk och A-f vara det genomsnittliga antalet fall per månad i. kontroll-
rcspektive experimentområdet före interventionen (lördagsöppningen).
Vi observerar så antalet i 7V= 10 månader efter interventionen och betrak-
tar de månatliga antalen som oberoende Poisson-variabler med förvänt-
ning Afk och Af*. Då är variansen till en månadobservation lika med
väntevärdet.
Vi beräknar det genomsnittliga antalet fall för de N månaderna efter
interventionen, och betecknar detta genomsnittet m. Standardfelet till
detta genomsnitt blir då:
Vi antar nu for enkelhetens skuld att vi har tillräckligt antal observationer
före interventionen för att kunna estimera M med full precision och
beräknar genomsnittet efter interventionen i förhållande till M i procent,
dvs. kvoten lOOxwi/AL Vi vill nu jämföra kontroll- med experimentområ-
det med avseende på denna kvot och avgöra om den är lika eller olika i
de två områdena. Standardfelet till differensen mellan dessa två storheter
När 7V=10, Afk =550, M* =800 blir detta standardfel lika med 1.8%. Om
vi väljer 5% signifikansnivå, måste med andra ord ändringen i experi-
mentområdet vara minst 3.6 procenteheter större än ändringen i kontroll-
området för att vara signifikant. (De valda siffrorna gäller misshandel
totalt. Med mindre bastal följer större standardfel.)
I denna förenklade beräkning har vi bortsett från alla andra källor till
osäkerhet. De reelle felmarginalerna måste därför antas vara betydligt
större.
144
TEKNISK BILAGA B
Tabell Bl. Genomsnittligt antal fall lördag-söndag av barnmisshandel,
kvinnomisshandel inomhus, misshandel utomhus, och misshandel totalt i
månaderna februari-november i kontroll- och experimentområde före
(1995-1999) och efter (2000) lördagsöppningen.
Prop. 2000/01:97
Bilaga 3
|
KVINNO- |
Kontroll- |
Alla experi- |
Särskilda experimentområden | ||
|
Stockholm |
Skåne |
Nordsverige | |||
|
Före |
93.6 |
153.1 |
88.0 |
38.6 |
26.6 |
|
Efter |
78.3 |
143.1 |
82.3 |
33.5 |
27.3 |
|
Ändring (%) |
-16 |
-6 |
-6 |
-13 |
+3 |
|
MISS- |
Kontroll- |
Alla experi- |
Särskilda experimentområden | ||
|
Stockholm |
Skåne |
Nordsverige | |||
|
Före |
307.0 |
434.3 |
236.5 |
121.7 |
76.1 |
|
Efter |
322.1 |
442.8 |
236.3 |
120.3 |
86.2 |
|
Ändring (%) |
+5 |
+2 |
0 |
-1 |
+13 |
|
BARNMISS- |
Kontroll- |
Alla experi- |
Särskilda experimentområden | ||
|
Stockholm |
Skåne |
Nordsverige | |||
|
Före |
14.9 |
23.0 |
12.4 |
6.9 |
3.8 |
|
Efter |
13.7 |
21.6 |
10.0 |
8.8 |
2.8 |
|
Ändring (%) |
-8 |
-6 |
-19 |
+27 |
-26 |
|
MISS- |
Kontroll- |
Alla experi- |
Särskilda experimentområden | ||
|
Stockholm |
Skåne |
Nordsverige | |||
|
Före |
557.3 |
830.2 |
454.3 |
223.8 |
152.1 |
|
Efter |
547.8 |
821.6 |
438.4 |
215.9 |
167.3 |
|
Ändring (%) |
-2 |
-1 |
-4 |
-4 |
+10 |
145
Tabell B2. Genomsnittligt antal fall lördag-söndag av rattfylleri, positiva
utandningsprov och positiva utandningdprov tagna efter lördag kl, 14.00, i
månaderna februari-november i kontroll- och experimentområde före
(1995-1999) och efter (2000) lördagsöppningen. (För utandningsprov
endast t.o.m. september 2000).
Prop. 2000/01:97
Bilaga 3
|
RATTFYLLERI |
Kontroll- |
Alla experi- |
Särskilda experimentområden | ||
|
Stockholm |
Skåne |
Nord- | |||
|
Före |
164.6 |
212.0 |
92.9 |
58.8 |
60.2 |
|
Efter |
180.0 |
239.9 |
108.0 |
66.9 |
65.0 |
|
Ändring (%) |
+9 |
+13 |
+16 |
+14 |
+8 |
|
UTANDNINGS- |
Kontroll- |
Älla experi- |
Särskilda experimentområden | ||
|
Stockholm |
Skåne |
Nord- | |||
|
Före |
86.5 |
96.9 |
44.5 |
28.8 |
23.6 |
|
Efter |
72.5 |
104.8 |
51.9 |
27.4 |
25.5 |
|
Ändring (%) |
-16 |
+8 |
+17 |
-5 |
+8 |
|
UTANDNINGS- |
Kontroll- |
Alla experi- |
Särskilda experi mentområden | ||
|
Stockholm |
Skåne |
Nord- | |||
|
Före |
76.4 |
86.3 |
40.9 |
25.8 |
19.6 |
|
Efter |
62.9 |
83.9 |
41.5 |
24.5 |
17.9 |
|
Ändring (%) |
-18 |
-3 |
+ 1 |
-5 |
-9 |
146
Tabell B3. Modellestimat för kvinnomisshandel inomhus, misshandel
utomhus och misshandel totalt under lördag-söndag, i de tre
experimentområdena och totalt. ARIMA-modeller skattade på
månadsdata (odifferentierade) för perioden januari 1995-november 2000.
Prop. 2000/01:97
Bilaga 3
|
KVINNO- |
Stockholm |
Skåne |
Nordsverige |
Alla experi- | ||||
|
Para- |
SE |
Para- |
SE |
Para- |
SE |
Para- |
SE | |
|
ARI |
0.26 |
0.15 |
0.05 |
0.18 | ||||
|
Lördagseffekt |
0.012 |
0.086 |
0.052 |
0.097 |
0.107 |
0.092 |
0.009 |
0.065 |
|
Kontrollområde |
0.718 |
0.084 |
0.749 |
0.105 |
0.555 |
0.114 |
0.668 |
0.068 |
|
Veckodagar |
-0.169 |
0.126 |
0.140 |
0.095 |
-0.096 |
0.136 |
-0.160 |
0.106 |
|
Konstant |
2.09 |
0.87 |
-0.37 |
0.68 |
1.14 |
0.79 |
2.92 |
0.77 |
|
Q(24)* |
20.1 |
24.1 |
20.4 |
15.4 | ||||
|
MISSHANDEL UTOMHUS |
Stockholm |
Skåne |
Nordsverige |
Alla experi- | ||||
|
Para- |
SE |
Para- |
SE |
Para- |
SE |
Para- |
SE | |
|
ARI |
0.38 |
-0.03 |
0.12 |
0.32 | ||||
|
Lördagseffekt |
-0.083 |
0.062 |
-0.053 |
0.047 |
0.082 |
0.073 |
-0.052 |
0.046 |
|
Kontrollområde |
0.821 |
0.061 |
0.847 |
0.064 |
0.907 |
0.096 |
0.856 |
0.049 |
|
Veckodagar |
-0.102 |
0.081 |
0.129 |
0.062 |
0.245 |
0.089 |
-0.053 |
0.066 |
|
Konstant |
1.37 |
0.47 |
-0.69 |
0.37 |
-1.92 |
0.49 |
1.51 |
0.40 |
|
Q(24)* |
12.2 |
25.5 |
17.3 |
14.9 | ||||
|
MISSHANDEL |
Stockholm |
Skåne |
Nordsverige |
Alla experi- | ||||
|
Para- |
SE |
Para- |
SE |
Para- |
SE |
Para- |
SE | |
|
meter |
meter |
meter |
meter | |||||
|
ARI |
0.36 |
0.20 |
0.29 |
0.32 | ||||
|
Lördagseffekt |
-0.026 |
0.049 |
0.012 |
0.047 |
0.122 |
0.067 |
0.002 |
0.039 |
|
Kontrollområde |
0.865 |
0.061 |
0.983 |
0.071 |
0.708 |
0.089 |
0.840 |
0.051 |
|
Veckodagar |
0.013 |
0.089 |
0.183 |
0.067 |
-0.017 |
0.122 |
-0.036 |
0.078 |
|
Konstant |
0.57 |
0.79 |
-1.88 |
0.66 |
0.61 |
0.91 |
1.66 |
0.72 |
|
Q(24)* |
33.8 |
13.8 |
38.8 |
29.5 | ||||
'Test för autokorrelerade residualer
147
Tabell B4. Modellestimat för rattfylleri och positiva utandningsprov Prop. 2000/01:97
under lördag-söndag i de tre experimentområdena och totalt. ARIMA- Bilaga 3
modeller skattade på månadsdata (odifferentierade) för perioden januari
1995-november 2000. (För utandningsprov januari 1996-september
2000.
|
RATT- |
Stockholm |
Skåne |
Nordsverige |
Alla experi- | ||||
|
Para- |
SE |
Para- |
SE |
Para- |
SE |
Para- |
SE | |
|
ARI |
0.10 |
0.03 |
0.45 |
0.10 | ||||
|
AR2 |
0.22 |
0.29 |
- |
0.29 | ||||
|
SAR1 |
0.38 |
-0.11 |
0.08 |
0.29 | ||||
|
Lördagseffekt |
0.200 |
0.081 |
0.084 |
0.095 |
0.039 |
0.107 |
0.138 |
0.069 |
|
Kontrollområde |
0.185 |
0.088 |
0.577 |
0.100 |
0.419 |
0.090 |
0.336 |
0.071 |
|
December |
■0.270 |
0.116 |
•0.100 |
0.087 |
-0.301 |
0.089 |
-0.238 |
0.083 |
|
Konstant |
3.583 |
0.449 |
1.118 |
0.508 |
1.936 |
0.459 |
3.644 |
0.363 |
|
Q(24)* |
18.7 |
29.9 |
17.5 |
25.6 | ||||
|
UTANDNINGS |
Stockholm |
Skåne |
Nordsverige |
Alla experi- | ||||
|
Para- |
SE |
Para- |
SE |
Para- |
SE |
Para- |
SE | |
|
ARI |
0.25 |
0.08 |
0.21 |
0.20 | ||||
|
SAR1 |
0.34 |
- |
- |
0.23 | ||||
|
Lördagseffekt |
0.268 |
0.103 |
- |
0.120 |
0.213 |
0.127 |
0.171 |
0.077 |
|
0.007 | ||||||||
|
Kontrollområde |
0.139 |
0.121 |
0.254 |
0.160 |
0.321 |
0.146 |
0.194 |
0.095 |
|
December |
-0.294 |
0.150 |
-0.353 |
0.167 |
-0.455 |
0.150 |
-0.348 |
0.108 |
|
Konstant |
3.143 |
0.534 |
2.208 |
0.707 |
1.659 |
0.644 |
3.685 |
0.418 |
|
Q(24)* |
28.6 |
30.5 |
17.6 |
30.4 | ||||
|
UT ANDNINGS sön 13.59 |
Stockholm |
Skåne |
Nordsverige |
Alla experi- | ||||
|
Para- |
SE |
Para- |
SE |
Para- |
SE |
Para- |
SE | |
|
ARI |
0.19 |
0.02 |
0.07 |
0.06 | ||||
|
AR2 |
- |
- |
0.18 | |||||
|
SAR1 |
0.30 |
- |
- |
0.22 | ||||
|
Lördagseffekt |
0.115 |
0.104 |
0.008 |
0.120 |
0.000 |
0.132 |
0.087 |
0.086 |
|
Kontrollområde |
0.086 |
0.131 |
0.340 |
0.164 |
0.237 |
0.172 |
0.213 |
0.104 |
|
December |
-0.307 |
0.158 |
-0.340 |
0.176 |
-0.587 |
0.182 |
-0.339 |
0.118 |
|
Konstant |
3.296 |
0.562 |
1.759 |
0.703 |
1.868 |
0.738 |
3.508 |
0.447 |
|
Q(24)* |
24.5 |
33.7 |
12.6 |
24.6 | ||||
Test för autokorrelerade residualer
148
Figur 3.1. Prognostiserad (streckad, trianglar) och faktisk kvinnomiss-
handel inomhus (cirklar, heldraget) i experimentområdet lördag-söndag
Prop. 2000/01:97
Bilaga 3
Figur 3.2. Prognostiserad (streckad, trianglar) och faktisk misshandel
utomhus (cirklar, heldraget) i experimentområdet lördag-söndag
149
Figur 3.3. Prognostiserad (streckad, trianglar) och faktisk misshandel
totalt (cirklar, heldraget) i experimentområdet lördag-söndag
Prop. 2000/01:97
Bilaga 3
Figur 3.4. Prognostiserat (streckad, trianglar) och faktiskt rattfylleri
(cirklar, heldraget) i experimentområdet lördag-söndag
150
Figur 3.5. Prognostiserat (streckad, trianglar) och faktiskt antal positiva
utandningsprov (cirklar, heldraget) i experimentområdet lördag 10.00-
söndag 13.59
Prop. 2000/01:97
Bilaga 3
Figur 3.6. Prognostiserat (streckad, trianglar) och faktiskt antal positiva
utandningsprov (cirklar, heldraget) i experimentområdet lördag 10.00-
13.59
151
Figur 3.7. Prognostiserat (streckad, trianglar) och faktiskt antal posi-
tiva utandningsprov (cirklar, heldraget) i experimentområdet lördag
14.00-söndag 13.59
Prop. 2000/01:97
Bilaga 3
152
I enlighet med riksdagens beslut startade Systembolaget i februari 2000
en försöksverksamhet med lördagsöppna butiker. Denna rapport redo-
visar resultaten från utvärderingen av de första 10 månaderna.
Utvärderingens uppläggning
Försöket med lördagsöppet bygger på en design med tre experiment-
områden:
- Nordsverige: Norrbottens län, Västerbottens län, Jämtlands län,
Västemorrlands län
- Stockholms län
- Skåne län
och ett kontrollområde: Värmlands län, Örebro län, Västmanlands län,
Östergötlands län, Kalmar län, Jönköpings län, Västra Götalands län.
I denna rapport skattas effekten av lördagsöppet på:
- alkoholförsäljningen
- olika skadeindikatorer
Effekten skattas genom statistiska analyser av hur försäljning och
skador utvecklats i experimentområdet jämfört med kontrollområdet. På
detta sätt minskar man risken för att andra faktorer ska snedvrida
resultaten, men som alltid vid statistiska undersökningar finns det vissa
felmarginaler. För att man ska kunna se om en eventuell avvikelse under
perioden för lördagsöppet faller utanför de normala fluktuationerna,
baseras analyserna på månadsdata för de sista 5-6 åren.
Resultat
Alkoholförsäljningen
Sedan lördagsöppet infördes har alkoholförsäljningen ökat mer i experi-
ment- än i kontrollområdet. Enligt resultaten ligger nettoökningen på 3%,
vilket främst är en följd av ökad ölförsäljning i experimentområdena,
men även effekten på vin- och spritförsäljningen är statistiskt säkerställd.
Effekten är jämnt fördelad över försöksperioden och visar inte tecken på
att öka eller minska. Här finns dock en regional skillnad; i Skåne kamou-
fleras effekten under hösten av den ökade privatinförseln, i Nordsverige
är det först under hösten som någon lördagseffekt kan urskiljas. Vad
gäller den totala effekten är dock skillnaderna mellan de tre enskilda
experimentområdena små.
Dessa resultat måste bedömas som tillförlitliga:
- undersökningsdesignen fungerar tillfredsställande på så sätt att kon-
trollområdet verkligen är jämförbart med experimentområdet;
- kontroller av tänkbara felkällor, såsom handelsläckage, gav ett
tillfredsställande utfall;
- effekterna på försäljningen är skattade med mycket små felmargina-
ler.
Prop. 2000/01:97
Bilaga 3
153
Skador
De skadeindikatorer som analyserats är olika former av polisrapporterad
brottslighet:
- Misshandel mot kvinna inomhus, offer och gärningsman bekanta
- Misshandel utomhus
- Misshandel, totalt
- Rattfylleri
I dessa analyser är det utvecklingen under lördag-söndag som fokuse-
rats, eftersom eventuella effekter bör vara koncentrerade till dessa dagar.
Enligt resultaten visar ingen av indikatorerna på misshandel någon klar
ökning. Däremot ökade antalet rattfylleribrott mera i experimentområdet,
speciellt i Stockholm. Analyserna tyder dock på att denna ökning kan
bero på polisens riktade kontroller mot områden nära lördagsöppna
Systembolag. Om tidsintervallet för sådana kontroller (lördag 10-14)
hålls utanför, är uppgången i rattfylleri inte längre lika markant och
ligger inom den statistiska felmarginalen.
Slutsatser
Resultaten från statistiska undersökningar är alltid förknippade med mer
eller mindre stora felmarginaler. När det gäller de resultat som presente-
rats här, kan sägas att den statistiska osäkerheten kring effekterna på för-
säljningen är betydligt mindre än de skattningar som gäller skadeindika-
torema. Försäljningssiffrorna är av hög kvalitet och försäljningen i kon-
trollområdet ger bra prognoser för experimentområdets försäljning. Detta
gör att effekten av lördagsöppet på alkoholförsäljningen är skattad med
mycket små felmarginaler, och resultaten påverkas inte mycket av vilken
statistisk modell man väljer. Brottsdata, å andra sidan, har väl kända
kvalitetsbrister och variationen över tid är därför mer påverkad av stör-
ningar och brus än vad som gäller försäljningsdata. Detta i kombination
med den relativt korta uppföljningen på 10 månader gör att felmarginalen
kring skattningarna är stora. Beräkningar visade att de skadeeffekter som
en försäljningsökning på 3% normalt kan väntas ge upphov till knappast
kan fångas upp i utvärderingen. Mot denna bakgrund är avsaknaden av
signifikanta skadeeffekter inte förvånande. Kunde man inte ha räknat ut
detta i förväg och valt någon annan väg? Några förhållanden bör då
påpekas:
- Det finns inte någon annan design eller metod som hade varit effekti-
vare i detta sammanhang.
- Det var omöjligt att ge någon säker prognos på vilken försäljnings-
ökning försöket skulle ge. Den kunde mycket väl ha blivit avsevärt
större än 3%, och då hade de förväntade skadeeffekterna också blivit
större och lättare att upptäcka statistiskt. Som nämndes i rapportens
inledning, tyder senare analyser på att lördagsstängningen på 80-talet
gav cn minskning i försäljningen på 6%. De positiva effekter som
utvärderingarna av lördagsstängningen rapporterade är också för-
enliga med en försäljningsminskning av denna storleksordning.
Prop. 2000/01:97
Bilaga 3
154
- Det kunde inte uteslutas att den försäljningsökning som lördagsöppet Prop. 2000/01:97
genererade skulle ha starkare effekt på skador än vad en mer reguljär Bilaga 3
(t.ex. konjunkturbetingad) försäljningsökning har.
Det skall dock understrykas att föreliggande rapport bara är baserad på
erfarenheterna från de första 10 månaderna, och att det finns alla skäl till
att noga följa utvecklingen; längre serier med ytterligare observationer
kan modifiera utfallet.
Referenser
Ds S 1982:2. En utvärdering av försöket med lördagsstängda systembuti-
ker sommaren 1981 (Socialdepartementet).
Ds S 1984:8. Effekter av lördagsstängda systembutiker. En utvärdering
(S ocialdepartementet).
KUhlhom, E., Hibell, B., Larsson, S., Ramstedt, M. and Zetterberg
H.L.2000. Alkoholkonsumtionen i Sverige under 1990-talet (Social-
departementet ).
Lenke, L. 1990. Alcohol and Criminal Violence - time series analyses
in a comparative perspective (Almqvist&Wiksell).
McDowall, D., McCleary, R., Meidinger, E.E. och Hay, R.A. 1980.
Interrupted Time Series Analysis (Sage Publications).
Norström, T. 1998. Effects on criminal violence of different beverage
types and private and public drinking. Addiction, 93:689-699.
Norström, T. 1999. Ökad totalkonsumtion av alkohol leder till ökat
rattfylleri. Alkohol & Narkotika, 93:27-30.
Norström, T. 2000. Effekten av lördagsstängda Systembutiker: en
reanalys av indikatorer på konsumtion och våld (Stencil, Institutet för
social forskning, Stockholms universitet.)
Regeringens proposition 1998/99:134. Vissa alkoholfrågor m.m.
Skog, O.-J. 2000. An experimental study of a change from over-the-
counter to self-service sales of alcoholic beverages in monopoly outlets.
Journal of Studies on Alcohol, 61:95-100.
155
av Thor Norström1 & Ole-Jprgen Skog2
Mars 2001
Inom ramen för utvärderingen av försöket med lördagsöppna System-
butiker har två opinionsundersökningar genomförts. Den första utfördes
före försöksperioden (december 1999), och den andra efter 10 månader
(december 2000-januari 2001). Undersökningarna genomfördes av
SKOP i form av telefonintervjuer på riksrepresentativa urval av den
vuxna befolkningen i åldern 20-74 år. Bortfallet var 22% i den första
undersökningen och 25% i den senare. Antalet genomförda intervjuer var
vid båda tillfällena cirka 3 000.
Denna rapport redovisar några av de centrala resultaten som belyser
följande frågor:
- Hur många vill ha lördagsöppet?
- Hur ser lördagskundemas profil ut?
- Vilka är motiven till att köpa smuggelsprit eller hembränt?
- Hur många har druckit/köpt smuggelsprit eller hembränt?
- Hur många tycker att Systembolaget bör avskaffas?
För de flesta frågor redovisas resultaten nedbrutna på olika befolk-
ningsgrupper (avgränsningama redovisas i bilaga).
' Institutet för social forskning, Stockholms universitet.
2 Senter for hoyere studier, Det Norske Videnskaps-Akademi.
Prop. 2000/01:97
Bilaga 4
156
Vid båda mättillfällena svarade en klar majoritet ”ja” på frågan ”Tycker
du att Systembolaget skall ha öppet på lördagar?” Mellan 1999 och 2000
ökade andelen från 68% till 76% (denna förändring är statistiskt signifi-
kant på 5%-nivån). Förskjutningen i riktning mot en mer positiv inställ-
ning till lördagsöppet kan noteras inom alla befolkningsgrupper.
Prop. 2000/01:97
Bilaga 4
Tabell 1. Andel (%) inom olika befolkningsgrupper som svarat ”Ja” på
frågan ”Tycker du att Systembolaget skall ha öppet på lördagar?” Svars-
alternativen var ”Ja” och ”Nej”.
|
1999 |
2000 |
Förändring* | ||
|
Kön |
Kvinnor |
62.0 |
70.4 |
8.4 |
|
Män |
75.3 |
81.0 |
5.7 | |
|
Ålder |
20-39 år |
78.3 |
83.7 |
5.4 |
|
40-59 år |
67.4 |
74.1 |
6.7 | |
|
60-74 år |
54.0 |
64.6 |
10.6 | |
|
Utbildning |
Låg |
56.9 |
63.6 |
6.7 |
|
Medel |
72.5 |
80.7 |
8.2 | |
|
Hög |
73.7 |
79.8 |
6.1 | |
|
Region |
Ej försöksområde |
66.0 |
73.7 |
7.7 |
|
Försöksområde |
71.1 |
78.2 |
7.1 | |
|
Avstånd till |
1-5 minuter |
76.8 |
81.1 |
4.3 |
|
Systemet |
6-14 minuter |
73.6 |
79.4 |
5.8 |
|
15- minuter |
71.9 |
77.7 |
5.8 | |
|
Alkohol- |
Låg |
51.9 |
58.6 |
6.7 |
|
konsumtion |
Medel |
74.6 |
79.2 |
4.6 |
|
Hög |
82.6 |
87.4 |
4.8 | |
|
Inställning |
Positiv |
47.3 |
54.5 |
7.2 |
|
till alkohol |
Medel |
73.0 |
82.1 |
9.1 |
|
restriktioner |
Negativ |
81.7 |
84.9 |
3.2 |
|
Totalt |
68.2 |
75.5 |
7.3 | |
'Förändringar över 4.5% är statistiskt signifikanta (5%-nivå).
157
Följande fråga i undersökningen ger möjlighet att grovt avgränsa lör-
dagskundema: ”Vilken veckodag brukar Du och ditt hushåll oftast handla
på Systembolaget eller utlämningsställe?” 1 försöksområdet ingick ”lör-
dag” bland svarsalternativen vid det andra mättillfället (övriga svars-
alternativ var ”ingen särskild dag”, ”måndag”, ”tisdag”, etc.). 8.3% sva-
rade "lördag” på denna fråga. Även om bastalet (85 personer) är i minsta
laget för nedbrytningar på befolkningsgrupper, kan vi ändå få en viss
antydan om vilken profil lördagskundema har jämfört med övriga kun-
der. De tendenser som kan utläsas från tabell 2 är att lördagskundema:
- i stort sett har samma könsfördelning som övriga
- är yngre
- har högre utbildningsnivå
- mindre ofta har långt till Systembolagsbutik
- dricker mer
- är mer negativa till alkoholrestriktioner
Prop. 2000/01:97
Bilaga 4
Tabell 2. Lördagskundernas fördelning på bakgrundsfaktorer. Endast
försöksområdet. Kolumnprocent.
|
Handlar oftast | |||
|
Ja |
Nej | ||
|
Kön |
Kvinnor |
47.1 |
51.2 |
|
Män |
52.9 |
48.8 | |
|
Ålder |
20-39 år |
54.1 |
34.8 |
|
40-59 år |
37.6 |
44.8 | |
|
60-74 år |
8.2 |
20.3 | |
|
Utbildning |
Låg |
11.8 |
24.1 |
|
Medel |
45.9 |
41.4 | |
|
Hög |
42.4 |
34.5 | |
|
Avstånd till |
1-5 minuter |
38.8 |
33.7 |
|
Systemet |
6-14 minuter |
37.6 |
32.6 |
|
15- minuter |
23.5 |
33.7 | |
|
Alkohol- |
Låg |
13.3 |
23.4 |
|
konsumtion |
Medel |
38.6 |
40.3 |
|
Hög |
48.2 |
36.3 | |
|
Inställning |
Positiv |
16.5 |
28.3 |
|
till alkohol |
Medel |
37.6 |
39.9 |
|
restriktioner |
Negativ |
45.9 |
31.7 |
|
Totalt (N) |
(85) |
(934) | |
158
Ett av motiven bakom lördagsöppet är att den förbättrade tillgängligheten
skulle minska efterfrågan på svartsprit. Ett par frågor i undersökningen
belyser i vilken mån bristande tillgänglighet är ett skäl till att köpa svart-
sprit. Som framgår av tabell 3 har avståndet ingen betydelse som motiv
för 90% av de som köpt svartsprit under det senaste året. Öppettiderna
var något vanligare som motiv, men hade likväl ”ingen betydelse” för
drygt 80% av de som köpt svartsprit. Vad som verkar vara avgörande är
det lägre priset på svartsprit; nära 90% av köparna anger att detta har
”mycket stor betydelse”. Avståndet till närmaste Systembutik har inte
någon påtaglig inverkan på svarsmönstren.
Prop. 2000/01:97
Bilaga 4
Tabell 3. Svarsfördelning 1999 på frågan: ”När du väljer att köpa smug-
gelsprit eller hembränt. Hur mycket betyder det då att det är för långt till
Systembutiken? Har det mycket stor betydelse (1), ganska stor betydelse
(2), ingen betydelse (3)?” Frågan endast ställd till respondenter som sva-
rat ”ja” på frågan om de köpt smuggelsprit eller hembränt någon gång
under de senaste 12 månaderna. Radprocent.
|
1+2 |
3 |
N | ||
|
Avstånd till |
1-5 minuter |
8.8 |
91.2 |
68 |
|
Systemet |
6-14 minuter |
4.6 |
95.4 |
65 |
|
15- minuter |
17.7 |
82.3 |
62 | |
|
Totalt |
10.3 |
89.7 | ||
|
N |
20 |
175 |
195 | |
Tabell 4. Svarsfördelning 1999 på frågan: ”När du väljer att köpa smug-
gelsprit eller hembränt. Hur mycket betyder det att öppettiderna inte
passar dig? Har det mycket stor betydelse (1), ganska stor betydelse (2),
ingen betydelse (3)?” Frågan endast ställd till respondenter som svarat
”ja” på frågan om de köpt smuggelsprit eller hembränt någon gång under
de senaste 12 månaderna. Radprocent.
|
1+2 |
3 |
N | ||
|
Avstånd till |
1-5 minuter |
19.1 |
80.9 |
68 |
|
Systemet |
6-14 minuter |
15.4 |
84.6 |
65 |
|
15- minuter |
19.4 |
80.6 |
62 | |
|
Totalt |
17.9 |
82.1 | ||
|
N |
35 |
160 |
195 | |
159
Tabell 5. Svarsfördelning 1999 på frågan: ”När du väljer att köpa Prop. 2000/01:97
smuggelsprit eller hembränt. Hur mycket betyder det att det är billigare Bilaga 4
med smuggelsprit och hembränt? Har det mycket stor betydelse (1),
ganska stor betydelse (2), ingen betydelse (3)?” Frågan endast ställd till
respondenter som svarat ”ja” på frågan om de köpt smuggelsprit eller
hembränt någon gång under de senaste 12 månaderna. Radprocent.
|
1+2 |
3 |
N | ||
|
Avstånd till |
1-5 minuter |
86.6 |
13.4 |
68 |
|
Systemet |
6-14 minuter |
93.8 |
6.2 |
65 |
|
15- minuter |
82.3 |
17.7 |
62 | |
|
Totalt |
87.6 |
12.4 | ||
|
N |
170 |
24 |
195 | |
Drygt 20% angav 1999 att de under de senaste 12 månaderna druckit
smuggelsprit eller hembränt; år 2000 var siffran drygt 22% (tabell 6).
Även om denna ökning är lokaliserad till de delar av landet som inte var
försöksområde för lördagsöppet, så är denna regionala skillnad i föränd-
ring inte statistiskt säkerställd. Andelen som uppger att de köpt smuggel-
sprit eller hembränt är i stort sett oförändrad runt 8%, och inga regionala
skillnader kan noteras (tabell 7).
Tabell 6. Andel (%) som svarat ”Ja” på frågan: ”Har du druckit
smuggelsprit eller hembränt någon gång under de senaste 12 måna-
derna?” Svarsalternativen var ”Ja” och ”Nej”.
|
1999 |
2000 |
Förändring | |||
|
Region |
Ej försöksområde |
21.7 |
24.8 |
3.10 | |
|
Försöksområde |
18.5 |
18.6 |
.10 | ||
|
Totalt |
20.3 |
22.4 |
2.10 | ||
Tabell 7. Andel (%) som svarat ”Ja” på frågan ”Har du köpt smuggel-
sprit eller hembränt någon gång under de senaste 12 månaderna?” Svars-
alternativen var ”Ja” och ”Nej”.
|
1999 |
2000 |
Förändring | ||
|
Region |
Ej försöksområde |
9.0 |
10.2 |
1.20 |
|
Försöksområde |
5.7 |
6.1 |
.40 | |
|
Totalt |
7.6 |
8.6 |
1.00 | |
160
Bilaga 4
I två mättilfällena får Systembolagets fortsatta existens stöd av en majo-
ritet i de flesta befolkningsgrupper. Runt 65% tyckte att påståendet
”Systembolaget bör avskaffas” var fel.
Tabell 8. Andel (%) som svarat ”Fel” på påståendet ”Systembolaget bör
avskaffas.” Svarsalternativen var ”Rätt”, ”Fel” och ”Tveksam”.
|
1999 |
2000 |
Förändring | ||
|
Kön |
Kvinnor |
66.7 |
67.3 |
.60 |
|
Män |
60.7 |
62.9 |
2.20 | |
|
Ålder |
20-39 år |
66.3 |
71.9 |
5.60 |
|
40-59 år |
63.4 |
63.0 |
-.40 | |
|
60-74 år |
61.4 |
59.0 |
-2.40 | |
|
Utbildning |
Låg |
61.6 |
60.7 |
-.90 |
|
Medel |
65.1 |
68.2 |
3.10 | |
|
Hög |
64.8 |
65.9 |
1.10 | |
|
Region |
Ej försöksområde |
64.4 |
65.2 |
.80 |
|
Försöksområde |
63.3 |
65.2 |
1.90 | |
|
Avstånd till |
1-5 minuter |
64.7 |
67.0 |
2.30 |
|
Systemet |
6-14 minuter |
64.3 |
66.6 |
2.30 |
|
15- minuter |
66.2 |
65.0 |
-1.20 | |
|
Alkohol- |
Låg |
65.0 |
64.7 |
-.30 |
|
konsumtion |
Medel |
64.8 |
65.8 |
1.00 |
|
Hög |
61.3 |
65.0 |
3.70 | |
|
Inställning |
Positiv |
88.5 |
88.8 |
.30 |
|
till alkohol- |
Medel |
73.3 |
77.4 |
4.10 |
|
restriktioner |
Negativ |
28.5 |
30.9 |
2.40 |
|
Totalt |
63.9 |
65.2 |
1.30 | |
De två frågeundersökningar som genomfördes december 1999 och
december 2000 visar på en klar majoritet för lördagsöppet; andelen
ökade också något mellan mättillfällena, från 68% till 76%. De i försöks-
området som uppger att de oftast handlar på lördagar skiljer sig något
från övriga genom att vara yngre, ha högre utbildning, dricka mer och
vara mer negativa till alkoholrestriktioner. När det gäller köp av svart-
sprit framstår priset som det viktigaste motivet, medan öppettiderna (och
avståndet till systembolaget) har underordnad betydelse. Mot denna bak-
grund är det inte så förvånande att köp och konsumtion av svartsprit inte
verkar ha förändrats under perioden med lördagsöppet. Det ska dock
påpekas att eventuella förändringar i denna typ av beteenden är svåra att
fånga in med frågeundersökningar. De flesta tycker att Systembolaget
ska vara kvar. Denna inställning har inte förändrats under försöksperio-
den; vid båda mättillfällena ansåg cirka 65% att påståendet ”Systembola-
get bör avskaffas” var fel.
161
6 Riksdagen 2000/01. 1 saml. Nr 97
BILAGA
Tabell A. Indelning av klassifkationsvariabler
Prop. 2000/01:97
Bilaga 4
|
1999 |
2000 | |||
|
Kön |
Kvinnor |
1603 |
1572 | |
|
Män |
1404 |
1460 | ||
|
Ej uppgift |
0 |
0 | ||
|
Älder |
20-39 år |
1036 |
1066 | |
|
40-59 år |
1247 |
1288 | ||
|
60-74 år |
719 |
674 | ||
|
Ej uppgift |
5 |
4 | ||
|
Utbildning |
Låg |
Folkskola/grundskola |
901 |
895 |
|
Medel |
Gymnasium/annan utb. efter grsk. |
1193 |
1181 | |
|
Hög |
Universitet/annan postgymn. utb. |
893 |
929 | |
|
Ej uppgift |
20 |
27 | ||
|
Region |
Ej försöksområde |
1725 |
1857 | |
|
Försöksområde |
1282 |
1175 | ||
|
Ej uppgift |
0 |
0 | ||
|
Avstånd |
1-5 minuter |
767 |
860 | |
|
till |
6-14 minuter |
817 |
875 | |
|
Systemet |
15- minuter |
961 |
946 | |
|
Ej uppgift |
462 |
351 | ||
|
Alkohol- |
Låg |
0-0.49 liter (100%) per år |
1140 |
938 |
|
konsumtion |
Medel |
0.5-1.99 liter (100%) per år |
968 |
1107 |
|
Hög |
2+ liter (100%) per år |
815 |
967 | |
|
Ej uppgift |
84 |
20 | ||
|
Inställning |
Positiv |
Additivt index' |
885 |
846 |
|
till alkohol- |
Medel |
1194 |
1183 | |
|
restriktioner |
Negativ |
924 |
1002 | |
|
Ej uppgift |
4 |
1 | ||
|
Totalt |
3007 |
3032 | ||
”Följande items ingår i indexet (svarsalternativ: ”Rätt”, ”Fel” och 'Tveksam”):
1. Vi har för många restriktioner kring alkoholen i det här landet.
2. Vi har för många restriktioner kring alkoholen i det här landet.
3. Systembolaget bör avskaffas.
4. Det är samhällets uppgift att minska alkoholproblemen.
5. Vin och starköl borde säljas i vanliga livsmedelsaffärer.
6. Människor måste själva ta ansvar för att lösa sina alkoholproblem.
162
Regeringen har följande förslag till lagtext.
Prop. 2000/01:97
Bilaga 5
Härigenom föreskrivs i fråga om alkohollagen (1994:1738)’
dels att 12 kap. 4 och 8-10 §§ skall upphöra att gälla,
dels att i 2 kap. 1, 3 och 5 §§, 7 kap. 3, 4, 18 och 22 §§ och 8 kap. 1
och 5 §§ ordet ”Alkoholinspektionen” skall bytas ut mot orden ”Statens
folkhälsoinstitut”,
dels att den nuvarande 12 kap. 7 § skall betecknas 12 kap. 4 §,
dels att 3 kap. 9 §, 4 kap. 1, 5 och 6 §§, 5 kap. 1, 3 och 6 §§, 6 kap. 1
och 3-5 §§, 7 kap. 5, 8, 13,19 och 21 §§, 8 kap. 2 §, 9 kap. 2 §, 10 kap. 3
och 5-7 §§ och 12 kap. 1-3, 5 och 6 §§ samt punkt 2 i ikraftträdande-
och övergångsbestämmelserna till lagen (1999:1001) om ändring i
nämnda lag skall ha följande lydelse,
dels att det i lagen skall införas två nya paragrafer, 6 kap. 1 a § och
8 kap. 5 a §, av följande lydelse.
Nuvarande lydelse
Föreslagen lydelse
9§
Det är förbjudet att som ombud eller på därmed jämförligt sätt anskaffa
alkoholdrycker till den som enligt 8 § inte har rätt att få sådan vara
utlämnad till sig. Det är också förbjudet att i större omfattning tillhanda-
gå annan med att anskaffa alkoholdrycker.
Spritdrycker, vin eller starköl får
inte överlämnas som gåva eller lån
till den som inte har fyllt 20 år. Öl
får inte överlämnas som gåva eller
lån till den som inte har fyllt 18 år.
Vad nu sagts gäller inte när någon
bjuder av en alkoholdryck för för-
täring på stället.
Spritdrycker, vin eller starköl får
inte överlämnas som gåva eller lån
till den som inte har fyllt 20 år. Öl
får inte överlämnas som gåva eller
lån till den som inte har fyllt 18 år.
Andra stycket gäller inte när
någon bjuder på en alkoholdryck
för förtäring på stället. Sprit-
drycker, vin eller starköl får dock
inte bjudas någon som inte fyllt 20
år, om det med hänsyn till den
bjudnes ålder och omständig-
1 Senaste lydelse av
2 kap. 1 § 1996:940
7 kap. 3 § 1999:1001
7 kap. 18 § 1999:1001
7 kap. 22 § 1999:1001
8 kap. 1 § 1999:1001
8 kap. 5 § 1999:1002
12 kap. 8 § 2000:484
12 kap. 8 a § 2000:483.
163
hetema i övrigt är uppenbart oför-
svarligt. Detsamma gäller ifråga
om öl för någon som inte fyllt 18
år.
Prop. 2000/01:97
Bilaga 5
1 §5
Partihandel med spritdrycker, vin eller starköl får bedrivas endast av
den som har godkänts som upplagshavare eller registrerats som varu-
mottagare för sådana varor enligt 9 eller 12 § lagen (1994:1564) om
alkoholskatt. Av detta följer att rätten till partihandel endast avser den
dryck som omfattas av godkännandet som upplagshavare eller registre-
ringen som varumottagare enligt bestämmelserna i lagen om alkohol-
skatt.
Utöver vad som anges i första stycket får partihandel med spritdrycker,
vin och starköl bedrivas av detaljhandelsbolagct i enlighet med vad som
anges i 5 kap. 1 § tredje stycket.
Den som är berättigad att
bedriva partihandel får sälja
varorna till detaljhandelsbolaget,
till annan som är berättigad att
bedriva partihandel med motsva-
rande varor och till den som har
meddelats serveringstillstånd för
sådana varor. Den som är berätti-
gad att bedriva partihandel får
också exportera varorna eller sälja
dem till den som fått sådant sär-
skilt tillstånd till inköp av varorna
som avses i 4 §. Försäljning får
även ske till den som har tillstånd
enligt lagen (1999:446) om
proviantering av fartyg och luft-
fartyg.
Endast den som är berättigad att
bedriva partihandel får omför-
Trots första stycket får inne-
havare av serveringstillstånd sälja
enstaka varor som omfattas av till-
ståndet till någon som har rätt att
bedriva partihandel med sådana
varor.
§3
Den som har rätt att bedriva
partihandel får sälja varorna till
detaljhandelsbolagct, till annan
som har rätt att bedriva partihan-
del med motsvarande varor och till
den som har meddelats serve-
ringstillstånd för sådana varor.
Detta gäller dock inte i fråga om
sådant serveringstillstånd som
endast avser servering i slutet
sällskap vid ett enstaka tillfälle
eller under en enstaka tidsperiod.
Den som har rätt att bedriva parti-
handel får också exportera varorna
eller sälja dem till den som fått
sådant särskilt tillstånd till inköp
av varorna som avses i 4 §. För-
säljning får även ske till den som
har tillstånd enligt lagen
(1999:446) om proviantering av
fartyg och luftfartyg.
Endast den som har rätt att
bedriva partihandel får förpacka
2 Senaste lydelse 1999:1001.
3 Senaste lydelse 1999:1001.
164
packa eller buteljera varorna.
Överlåts rörelse vari ingår verk-
samhet som är tillståndspliktig
enligt denna lag eller för vilken det
krävs godkännande eller registre-
ring som anges i 1 § första stycket,
får överlåtaren sälja sitt lager av
spritdrycker, vin eller starköl till
sin efterträdare, om denne har
beviljats tillstånd som gäller för
verksamheten eller, i fråga om
partihandel, är berättigad att
bedriva verksamheten.
Konkursbo eller dödsbo får utan
hinder av bestämmelserna i denna
lag sälja spritdrycker, vin eller
starköl till den som är berättigad
att bedriva partihandel med sådana
drycker eller till detaljhandels-
bolaget. Motsvarande gäller då en
verksamhet måste avvecklas till
följd av att tillståndet eller god-
kännande eller registrering som
avses i 1 § första stycket återkal-
lats eller att det finns andra tving-
ande skäl.
Bestämmelserna i första och ar
även i fråga om öl.
om eller buteljera varorna.
6§ ..
Överlåts en rörelse där det ingår
verksamhet som är tillståndspliktig
enligt denna lag eller för vilken det
krävs godkännande eller registre-
ring som anges i 1 § första stycket,
får överlåtaren sälja sitt lager av
spritdrycker, vin eller starköl till sin
efterträdare, om denne har beviljats
tillstånd som gäller för verksam-
heten eller, i fråga om partihandel,
är berättigad att bedriva verksam-
heten.
Ett konkursbo eller dödsbo eller,
i fråga om utmätt egendom, en
kronofogdemyndighet får utan hin-
der av bestämmelserna i denna lag
sälja spritdrycker, vin eller starköl
till den som har rätt att bedriva
partihandel med sådana drycker
eller till detaljhandelsbolaget. Mot-
svarande gäller då en verksamhet
måste avvecklas till följd av att till-
ståndet eller godkännande eller
registrering som avses i 1 § första
stycket återkallats eller att det finns
andra tvingande skäl.
dra styckena gäller i tillämpliga delar
Prop. 2000/01:97
Bilaga 5
1§?
För detaljhandel med spritdrycker, vin och starköl skall det finnas ett
särskilt för ändamålet bildat aktiebolag (detaljhandelsbolaget), som sta-
ten äger.
Detaljhandelsbolaget får inte exportera eller tillverka drycker som
anges i första stycket. Detaljhandelsbolaget får importera sådana drycker
endast för att kunna fullgöra den skyldighet som anges i 5 §.
Detaljhandelsbolaget får mte
bedriva annan partihandel än för-
säljning till dem som har serve-
ringstillstånd.
Detaljhandelsbolaget far mte
bedriva annan partihandel än för-
säljning till dem som har serve-
ringstillstånd. Vad nu sagts gäller
inte försäljning av enstaka partier
av varor till någon som har rätt att
bedriva partihandel.
4 Senaste lydelse 1999:1001.
5 Senaste lydelse 1999:1001.
165
7 Riksdagen 2000/01. 1 saml. Nr 97
Bestämmelser om detaljhandelsbolagets verksamhet och drift samt om Prop. 2000/01:97
särskild kontroll från statens sida skall tas in i ett avtal som upprättas Bilaga 5
mellan staten och bolaget.
Försäljning får ske antingen som
försäljning till avhämtning eller
genom försändning på rekvisition.
Detaljhandel med öl är, med de
inskränkningar som föreskrivs i
denna lag, tillåten under villkor att
verksamheten bedrivs i en lokal
som är godkänd som livsmedels-
lokal enligt bestämmelser vilka
meddelats med stöd av 22 § tredje
stycket livsmedelslagen (1971:511)
samt att försäljning av matvaror
bedrivs i lokalen. Utan hinder av
vad nu sagts får detaljhandel med
öl bedrivas av detaljhandels-
bolaget samt av tillverkare av öl
eller lättdrycker.
§
Försäljning får ske antingen som
försäljning till avhämtning eller
genom försändning på rekvisition.
Försäljning får även ske vid auk-
tion av spritdrycker, vin och
starköl för annans räkning enligt
riktlinjer i avtalet mellan staten
och detaljhandelsholaget.
Detaljhandelsbolaget får utan
hinder av 6 kap. 1 § första stycket
bedriva provning av alkohol-
drycker för allmänheten enligt
riktlinjer i avtalet mellan staten
och bolaget.
6§
Detaljhandel med öl är, med de
inskränkningar som föreskrivs i
denna lag, tillåten under villkor att
verksamheten bedrivs i cn lokal
som är godkänd som livsmedels-
lokal enligt bestämmelser vilka
meddelats med stöd av 22 § tredje
stycket livsmedelslagen (1971:511)
samt att försäljning av matvaror
bedrivs i lokalen. Utan hinder av
vad nu sagts får detaljhandel med
öl bedrivas av detaljhandels-
bolaget samt av tillverkare av öl.
Den som bedriver detaljhandel
med öl skall anmäla verksamheten
hos den kommun där försäljningen
sker. Anmälan skall göras senast
när verksamheten påbörjas.
Den som bedriver detaljhandel
med öl skall utöva särskild tillsyn
(egentillsyn) över försäljningen.
För tillsynen skall det finnas ett
för verksamheten lämpligt pro-
gram.
1 §6
6 Ändringen innebär bl.a. att tredje stycket upphävs.
166
Servering av spritdrycker, vin och
har meddelats (serveringstillstånd).
Servering av öl är, med de
inskränkningar som föreskrivs i
denna lag, tillåten under villkor att
verksamheten bedrivs i en lokal
som är godkänd som livsmedels-
lokal enligt bestämmelser vilka
meddelats med stöd av 22 § tredje
stycket livsmedelslagen
(1971:511) samt att servering av
mat samtidigt bedrivs i lokalen.
Utan hinder av vad som före-
skrivs i andra stycket får öl serve-
ras av den som enligt 23 § nämnda
lag har meddelats särskilt tillstånd
att yrkesmässigt hantera livsmedel
samt av den som har meddelats
serveringstillstånd.
starköl får ske endast om tillstånd
Serveringstillstånd krävs dock
inte för servering som ordnas
1. utan vinstintresse,
2. i andra lokaler än där det
bedrivs yrkesmässig försäljning av
alkoholdrycker eller lättdrycker,
3. vid ett enstaka tillfälle för
vissa i förväg bestämda personer,
och
4. utan annan kostnad för del-
tagarna än kostnaden för inköp av
dryckerna.
Prop. 2000/01:97
Bilaga 5
la§
Servering av öl är, med de
inskränkningar som föreskrivs i
denna lag, tillåten om verksam-
heten bedrivs i en lokal som är
godkänd som livsmedelslokal
enligt bestämmelser som medde-
lats med stöd av 22 § tredje stycket
livsmedelslagen (1971:511) och
där mat samtidigt serveras.
Utan hinder av första stycket får
öl serveras i sådana fall som
anges i 1 § andra stycket samt av
den som har meddelats serve-
ringstillstånd.
Den som bedriver servering av
öl skall anmäla verksamheten hos
den kommun där försäljningen
sker. Anmälan skall göras senast
när verksamheten påbörjas. Vad
nu sagts gäller inte i fall som
avses i 1 § andra stycket eller den
som har serveringstillstånd.
Den som avses i tredje stycket
skall utöva särskild tillsyn (egen-
tillsyn) över serveringen. För till-
synen skall finnas ett för verksam-
heten lämpligt program.
167
3§
På serveringsställe där serveringstillstånd gäller skall tillståndshavaren
eller av honom utsedd serveringsansvarig person utöva tillsyn över ser-
veringen och vara närvarande under hela serveringstiden.
Den som är serveringsansvarig skall med hänsyn till sina egenskaper
och övriga omständigheter vara lämplig för uppgiften.
Tillståndshavaren skall till tillståndsmyndigheten anmäla den eller de
personer som har utsetts att ansvara för alkoholserveringen.
Prop. 2000/01:97
Bilaga 5
För servering av spritdrycker,
vin eller starköl får endast anlitas
personal som är anställd av till-
ståndshavaren. Restaurangskolor
med serveringstillstånd får dock i
utbildningssyfte anlita restaurang-
skolans elever.
Om inte tillståndsmyndigheten
beslutar annat får servering av öl
påbörjas tidigast klockan 07.00
och servering av andra alkohol-
drycker tidigast klockan 11.00.
Om inte tillståndsmyndigheten
beslutar annat skall servering av
alkoholdrycker avslutas senast
klockan 01.00. Vad nu sagts gäller
inte för hotellrum med minibar.
Serveringsställe skall vara utrymt
tidens utgång.
Den som har serveringstillstånd
får köpa spritdrycker, vin och
starköl som behövs för rörelsen
endast av någon som är berättigad
att bedriva partihandel med varan
eller av detaljhandelsbolaget.
För servering av spritdrycker,
vin och starköl får endast sådan
personal anlitas som är anställd av
tillståndshavaren eller som är
inhyrd från ett bemanningsföretag.
Restaurangskolor med serverings-
tillstånd får dock i utbildningssyfte
anlita restaurangskolans elever.
§
Tillståndsmyndigheten beslutar,
med de begränsningar som anges i
andra stycket, om när servering av
spritdrycker, vin och starköl får
påbörjas och när den senast skall
avslutas. Vid prövningen skall ris-
ken för alkoholpolitiska olägen-
heter särskilt beaktas.
Servering till allmänheten får
inte påbörjas tidigare än klockan
11.00. Sådan servering skall
avslutas senast klockan 01.00.
Tillståndsmyndigheten kan besluta
att serveringen får pågå längre,
dock längst till klockan 03.00.
senast 30 minuter efter serverings-
Bestämmelsema i första och
andra styckena gäller inte för
hotellrum med minibar.
§7
Den som har serveringstillstånd får
köpa spritdrycker, vin och starköl
som behövs för rörelsen endast av
någon som har rätt att bedriva
partihandel med varan eller av
detaljhandelsbolaget. Den som
beviljats tillstånd för servering i
7 Senaste lydelse 1999:1001.
168
slutet sällskap vid ett enstaka Prop. 2000/01:97
tillfälle eller under en enstaka Bilaga 5
tidsperiod får dock göra
motsvarande inköp endast hos
detaljhandelsbolaget.
Serveringstillstånd kan medde-
las för servering till allmänheten
eller i förening, företag eller annat
slutet sällskap. Tillstånd kan avse
servering året runt, årligen under
en viss tidsperiod, under en
enstaka tidsperiod eller vid ett
enstaka tillfälle.
Tillstånd, som avser servering
året runt eller årligen under en
viss tidsperiod gäller tills vidare.
Tillståndsmyndigheten får dock
om det finns särskilda skäl
begränsa tillståndets giltighet till
viss tid.
I samband med beslut om serveringstillstånd eller senare får till-
ståndsmyndigheten meddela de villkor som behövs.
5§
Serveringstillstånd kan medde-
las för servering till allmänheten
eller i förening, företag eller annat
slutet sällskap. Tillstånd kan avse
servering året runt eller årligen
under en viss tidsperiod (stadig-
varande tillstånd). Tillstånd kan
även avse en enstaka tidsperiod
eller ett enstaka tillfälle.
Stadigvarande tillstånd gäller
tills vidare. Tillståndsmyndigheten
får dock om det finns särskilda
skäl begränsa tillståndets giltighet
till viss tid.
Tillstånd för servering till all-
mänheten året runt eller årligen
under viss tidsperiod får meddelas
endast om serveringsstället har ett
kök för allsidig matlagning och
tillhandahåller lagad mat. Serve-
ringsstället skall ha ett med hänsyn
till omständigheterna tillräckligt
antal sittplatser för gäster.
8§
Tillstånd för servering till all-
mänheten året runt eller årligen
under viss tidsperiod får meddelas
endast om serveringsstället har ett
kök för allsidig matlagning och
tillhandahåller lagad mat. Serve-
ringsstället skall ha ett med hänsyn
till omständigheterna tillräckligt
antal sittplatser för gäster. Serve-
ringsstället skall även vara lämp-
ligt för sitt ändamål ur
brandsäkerhetssynpunkt.
Tillstånd för servering till allmänheten under en enstaka tidsperiod
eller vid ett enstaka tillfälle får meddelas om serveringsstället tillhanda-
håller lagad mat. Detsamma gäller beträffande tillstånd för servering i
slutet sällskap.
Om det finns en drinkbar skall den vara en mindre väsentlig del av ser-
veringsstället, inrättad i nära anslutning till matsal.
Utan hinder av första och andra styckena får tillstånd meddelas för ser-
vering av vin och starköl i foajé till teater eller konsertlokal. Servering
får dock endast ske under pauser i föreställningen.
Servering av alkoholdrycker Servering av alkoholdrycker
från minibar på hotellrum får ske från minibar på hotellrum får ske
169
på hotell med serveringstillstånd.
Regeringen eller, efter regeringens
bemyndigande, Alkoholinspektio-
nen får meddela närmare bestäm-
melser om serveringen.
på hotell med serveringstillstånd. Prop. 2000/01:97
Regeringen eller, efter regeringens Bilaga 5
bemyndigande, Statens folkhälso-
institut får meddela närmare
bestämmelser om serveringen.
13 §
Ansökan om serveringstillstånd görs skriftligen hos kommunen.
Kommunen får ta ut avgift för prövningen enligt grunder som beslutas
av kommunfullmäktige
Kommunen får även ta ut avgift Kommunen får även ta ut avgift
för tillsyn enligt 8 kap. av den som för tillsyn enligt 8 kap. av den som
har serveringstillstånd. har serveringtillstånd och av den
som bedriver anmälningspliktig
servering av eller detaljhandel
med öl.
19 §
Kommunen skall återkalla serveringstillstånd om
1. det inte endast tillfälligt upp-
kommer sådana olägenheter som
avses i 6 kap. 2 §,
2. tillståndshavaren inte följer de
för servering eller serveringstill-
stånd gällande bestämmelserna i
denna lag eller föreskrifter eller
villkor meddelade med stöd av
denna lag, eller
3. de förutsättningar som gäller
för meddelande av tillstånd enligt
7 och 8 §§ inte längre föreligger.
1. tillståndet inte längre utnytt-
jas,
2. det inte endast tillfälligt upp-
kommer sådana olägenheter som
avses i 6 kap. 2 §,
3. tillståndshavaren inte följer de
för servering eller serveringstill-
stånd gällande bestämmelserna i
denna lag eller föreskrifter eller
villkor meddelade med stöd av
denna lag,
4. de förutsättningar som gäller
för meddelande av tillstånd enligt
7 och 8 §§ inte längre föreligger,
eller
5. tillståndshavaren tillåter
brottslig verksamhet på serve-
ringsstället.
21 §
Föranleder detaljhandel med eller servering av öl olägenheter i fråga
om ordning och nykterhet eller följs inte bestämmelserna i denna lag, får
kommunen förbjuda den som bedriver försäljningen att fortsätta verk-
samheten eller, om förbud får anses vara en alltför ingripande åtgärd,
meddela honom varning.
Ett förbud enligt första stycket
kan inskränkas till att gälla för
vissa närmare angivna tider eller
under vissa närmare angivna
omständigheter. Förbud gäller i
sex månader, räknat från det att
den som bedriver försäljningen fått
Ett förbud enligt första stycket
kan inskränkas till att gälla för
vissa närmare angivna tider eller
under vissa närmare angivna
omständigheter. Förbud meddelas
för en tid av sex månader eller, vid
upprepad eller allvarlig försum-
170
|
del av beslutet. |
melse, tolv månader räknat från Prop. 2000/01:97 |
Den kommun där försäljningsstället är beläget beslutar om ingripande
enligt denna paragraf. Saknas fast försäljningsställe beslutar den kom-
mun som avses i 12 § andra stycket.
8 kap.
På begäran av någon annan till-
synsmyndighet skall kommunen
lämna de uppgifter som myndig-
heten behöver för sin tillsyn.
2§
På begäran av någon annan till-
synsmyndighet skall kommunen
lämna de uppgifter som myndig-
heten behöver för sin tillsyn.
Kommunen skall även på begäran
av skattemyndighet eller Tullver-
ket lämna de uppgifter som behövs
för beskattning eller påförande av
tull.
Polismyndigheten skall underrätta andra tillsynsmyndigheter om för-
hållanden som är av betydelse för dessa myndigheters tillsyn.
Kronofogdemyndigheten skall underrätta vederbörande tillståndsmyn-
dighet om en tillståndshavare brister i sina skyldigheter att erlägga skat-
ter eller socialavgifter. På begäran
rättelse ges till denna.
På begäran av tillståndsmyndig-
het eller länsstyrelse skall skatte-
myndigheter och andra myndig-
heter som uppbär eller driver in
skatter eller avgifter lämna upp-
gifter som tillståndsmyndigheten
eller länsstyrelsen behöver för sin
tillståndsprövning eller tillsyn.
av länsstyrelsen skall sådan under-
På begäran av en tillsynsmyn-
dighet skall polismyndigheter samt
skattemyndigheter och andra
myndigheter som uppbär eller dri-
ver in skatter eller avgifter lämna
uppgifter som tillsynsmyndigheten
behöver för sin tillståndsprövning
eller tillsyn.
5a§
Den som har tillstånd för ser-
vering av spritdrycker, vin eller
starköl till allmänheten eller sta-
digvarande tillstånd för servering i
slutet sällskap är skyldig att regi-
strera all försäljning i kassaregis-
ter och att vid varje försäljning ta
fram och erbjuda kunden ett av
registret framställt kvitto. Till-
ståndsmyndigheten får medge
undantag för servering inom
ideella föreningar eller liknande
slutna sällskap.
Kassaregister skall på ett till-
förlitligt sätt visa alla transaktio-
ner som gjorts. Regeringen eller,
efter regeringens bemyndigande,
171
Statens folkhälsoinstitut meddelar Prop. 2000/01:97
närmare föreskrifter om kassa- Bilaga 5
register.
Alkoholinspektionens och kom-
munens beslut får överklagas till
allmän förvaltningsdomstol. Det
överklagade beslutet får inte änd-
ras utan att den beslutande myn-
digheten har lämnats tillfälle att
yttra sig.
Alkoholinspektionen respektive
kommunen får överklaga domsto-
lens beslut.
9 kap.
2 §f
Statens folkhälsoinstituts och
kommunens beslut får överklagas
till allmän förvaltningsdomstol.
Prövningstillstånd krävs vid överklagande till kammarrätten.
Bestämmelser om överklagande
av beskattningsmyndighetens beslut
finns i 35 § lagen (1994:1564) om
alkoholskatt.
Är brott som anges i 1 eller 2 §
grovt, döms till fängelse i högst
fyra år. Vid bedömande av om
brottet är grovt skall särskilt
beaktas om gärningen har utgjort
led i en verksamhet som bedrivits
yrkesmässigt eller i större omfatt-
ning.
Den som innehar spritdrycker,
vin eller starköl i uppenbart syfte
att olovligen sälja dem döms för
olovligt innehav av alkoholdrycker
till böter eller fängelse i högst ett
år.
Den som uppsåtligen eller av
oaktsamhet anskaffar alkohol-
drycker åt annan i strid med 3 kap.
9 § döms för olovligt anskaffande
av alkoholdrycker till böter eller
fängelse i högst två år eller, om
3§ ..
Är brott som anges i 1 eller 2 §
grovt, döms till fängelse i högst
fyra år. Vid bedömande av om
brottet är grovt skall särskilt
beaktas om gärningen har utgjort
led i cn verksamhet som bedrivits
yrkesmässigt eller i större omfatt-
ning eller har varit inriktad mot
ungdomar.
5§
Den som innehar alkoholdrycker
i uppenbart syfte att olovligen
sälja dem döms för olovligt inne-
hav av alkoholdrycker till böter
eller fängelse i högst ett år.
6§
Den som uppsåtligen eller av
oaktsamhet anskaffar, överlämnar
eller bjuder på alkoholdrycker i
strid med 3 kap. 9 § döms för
olovligt anskaffande av alkohol-
drycker till böter eller fängelse i
8 Senaste lydelse 1999:1001. Ändringen innebär bl.a. att andra och fjärde styckena upphävs.
172
brottet är grovt, till fängelse i högst två år eller, om brottet är Prop. 2000/01:97
högst fyra år. grovt, till fängelse i högst fyra år. Bilaga 5
Den som uppsåtligen eller av
oaktsamhet säljer eller utlämnar
alkoholdrycker i strid med 3 kap.
8 § till någon som inte har uppnått
föreskriven ålder eller som är
7§
Den som uppsåtligen eller av
oaktsamhet säljer eller utlämnar
alkoholdrycker i strid med 3 kap.
8 § till någon som inte har uppnått
föreskriven ålder eller som är
märkbart påverkad av alkohol eller
annat berusningsmedel, eller vid
partihandel underlåter att på sätt
som föreskrivs i 4 kap. 7 § första
stycket förvissa sig om att köparen
har rätt att återförsälja eller inköpa
varan, döms för olovlig dryckes-
hantering till böter eller fängelse i
högst sex månader.
För olovlig dryckeshantering döms också den som försäljer öl i strid
med förbud som meddelats enligt 7 kap. 21 § eller tillåter alkoholförtä-
ring i strid med 6 kap. 9 §.
märkbart påverkad av alkohol eller
annat berusningsmedel, eller vid
partihandel underlåter att på sätt
som föreskrivs i 4 kap. 7 § förvissa
sig om att köparen har rätt att åter-
försälja eller inköpa varan, döms
för olovlig drvckeshantering till
böter eller fängelse i högst sex
månader.
Alkoholinspektionen skall för de
ändamål som anges i 2 § föra ett
register med hjälp av automatisk
databehandling.
Registret får användas för
1. handläggning av ärenden om
tillstånd,
2. tillsyn över tillståndshavares
verksamhet samt
3. uppföljning och utvärdering
av lagens tillämpning samt fram-
ställning av statistik.
Registret får innehålla uppgifter
om
1. den som har tillstånd,
2. den som har haft tillstånd,
3. den vars ansökan om tillstånd
är föremål för prövning och
4. den som tidigare har ansökt
om tillstånd men vars ansökan har
avslagits, avvisats eller avskrivits.
Regeringen får meddela före-
skrifter om registrering av upp-
1§
Statens folkhälsoinstitut skall för
de ändamål som anges i 2 § föra
ett register med hjälp av automati-
serad behandling.
2§
Registret får användas för tzZZ-
syn, uppföljning och utvärdering
av lagens tillämpning samt fram-
ställning av statistik.
3§
Registret får innehålla uppgifter
om dem som har tillstånd samt om
dem som har rätt att bedriva
partihandel enligt 4 kap. 1 § första
stycket.
I registret får behandlas upp-
gifter om
1. namn eller firma, person-,
registrerings- eller organisations-
nummer, adress och telefonnum-
mer och
173
gifter i fråga om olika företrädare
för en verksamhet.
I registret får vidare anges till-
ståndsmyndighetens och domstols
beslut i ärenden enligt lagen och
de bestämmelser som har tilläm-
pats.
Registret får också innehålla
uppgift om tidpunkt för förhållan-
den som har registrerats och tek-
niska och administrativa uppgifter,
om uppgifterna behövs för att till-
godose ändamålet med registret.
Registeruppgift som inte behövs
för handläggning av ett ärende
eller för tillsyn enligt lagen skall
gallras under femte kalenderåret
efter det att uppgiften registrerats.
Om tillstånd återkallas eller om
sökt tillstånd vägras skall så snart
beslutet vunnit laga kraft alla
uppgifter utom sådana som avses i
4 § första stycket 1 och 6 samt 5 §
gallras ur registret.
Regeringen eller den myndighet
som regeringen bestämmer får
meddela föreskrifter om undantag
från gallring för att bevara ett
urval av material för forskningens
behov. Sådant material skall läm-
nas över till en arkivmyndighet.
2. den verksamhet som tillstån-
det avser och om villkor som har
meddelats för denna.
§’
Riksskatteverket får för sin till-
syn enligt denna lag ha terminal-
åtkomst till uppgifter om serve-
ringstillstånd.
Prop. 2000/01:97
Bilaga 5
§'°
Bestämmelserna i personupp-
giftslagen (1998:204) om rättelse
och skadestånd gäller även vid
behandling av personuppgifter
enligt denna lag.
2. Partihandelstillstånd, som
före ikraftträdandet har meddelats
annan än den som avses i 4 kap.
1 § första stycket i dess nya
lydelse, skall efter ikraftträdandet
fortfarande gälla, dock längst till
utgången av år 2001. Härvid gäller
7 kap. 1 § tredje stycket och 4 §
samt 8 kap. 1 § i paragrafens
lydelse före ikraftträdandet. Tull-
2. Partihandelstillstånd, som
före ikraftträdandet har meddelats
annan än den som avses i 4 kap.
1 § första stycket i dess nya
lydelse, skall efter ikraftträdandet
fortfarande gälla, dock längst till
utgången av år 2003. Härvid gäller
7 kap. 1 § tredje stycket och 4 §
samt 8 kap. 1 § i paragrafens
lydelse före ikraftträdandet. Tull-
9 Ändringen innebär bl.a. att andra stycket upphävs.
10 Ändringen innebär bl.a. att andra och tredje styckena upphävs.
174
verket får ha terminalåtkomst till
uppgifter om sådana tillstånd i
Alkoholinspektionens register.
verket får ha terminalåtkomst till Prop. 2000/01:97
uppgifter om sådana tillstånd i Bilaga 5
Alkoholinspektionens register.
1. Denna lag träder i kraft den 1 januari 2002 i fråga om 6 kap. 4 §, den
1 juli 2003 i fråga om 8 kap. 5 a § och i övrigt den 1 juli 2001.
2. I fråga om uppgifter som fram till den 30 juni 2001 tillförts det
register som avses i 12 kap. 1 § gäller äldre bestämmelser. Härvid skall
vad som sägs om Alkoholinspektionen i stället avse Statens folkhälso-
institut.
3. Den som den 1 juli 2001 redan bedriver servering av eller detaljhan-
del med öl, skall senast den 1 januari 2002 göra sådan anmälan som
avses i 5 kap. 6 § andra stycket eller 6 kap. 1 a § tredje stycket.
175
Härigenom föreskrivs i fråga om skatteregisterlagen (1980:343)’ att i 7 §2
ordet ”Alkoholinspektionen” skall bytas ut mot orden ”Statens folkhälso-
institut”
Denna lag träder i kraft den 1 juli 2001.
1 Lagen omtryckt 1983:143.
2 Senaste lydelse 2000:1381.
Prop. 2000/01:97
Bilaga 5
176
Utdrag ur protokoll vid sammanträde 2001-03-05
Närvarande: f.d. justitierådet Staffan Vängby, justitierådet
Leif Thorsson, regeringsrådet Rune Lavin.
Enligt en lagrådsremiss den 15 februari 2001 (Socialdepartementet) har
regeringen beslutat inhämta Lagrådets yttrande över förslag till
1. lag om ändring i alkohollagen (1994:1738),
2. lag om ändring i skatteregisterlagen (1980:343).
Förslagen har inför Lagrådet föredragits av kammarrättsassessorn
Angela Öst.
Förslagen föranleder följande yttrande av Lagrådet:
Förslaget till lag om ändring i alkohollagen
I motiveringen sägs att regeln i första meningen sista stycket ”bör komp-
letteras med ett bemyndigande till Statens Folkhälsoinstitut att meddela
närmare föreskrifter om kassaregister”. Den bestämmelse i sista
meningen av paragrafen som antagligen är avsedd att innehålla bemyndi-
gandet har dock inte konstruerats som en delegationsregel. Härför krävs
att det uttryckligen sägs att regeringen eller den myndighet som rege-
ringen utser får meddela föreskrifter. Orden ”närmare föreskrifter” anty-
der dessutom att det egentligen skulle vara fråga om verkställighetsföre-
skrifter. Om detta också skulle vara avsikten, behövs över huvud taget
inte någon delegationsregel. Om föreskrifterna däremot är avsedda att bli
av det slag som sägs i 8 kap. 3 § regeringsformen, krävs ett bemyndi-
gande och det kommer då att ha stöd i 8 kap. 7 § 1 regeringsformen.
Mot bakgrund av det ovan anförda rekommenderar Lagrådet att den
sista meningen i paragrafen ges följande lydelse: ”Regeringen eller den
myndighet som regeringen bestämmer får meddela föreskrifter om kassa-
register.”
Bestämmelsen i första stycket innehåller inte någon begränsning vad
gäller de beslut av Statens folkhälsoinstitut och kommun som kan över-
klagas med stöd av bestämmelsen. Vid en normal läsning av den före-
slagna regeln skulle antagligen den innebörden läggas in att det är endast
beslut enligt alkohollagen som avses. Motiveringen till de föreslagna
lagändringarna innehåller emellertid ett uttalande om att Statens folk-
hälsoinstituts och kommuners beslut om rättelse av och information om
personuppgifter, vilka beslut meddelas enligt personuppgiftslagen, också
skall komma att omfattas av den föreslagna överklaganderegeln. Detta
reser frågan om dessa myndigheters beslut enligt andra lagar än alkohol-
Prop. 2000/01:97
Bilaga 6
177
lagen och personuppgiftslagen också skall kunna överklagas med stöd av
den föreslagna regeln.
Lagrådet förordar att innebörden av överklagandebestämmelsen preci-
seras bättre och föreslår följande lydelse av paragrafen:
”Statens folkhälsoinstituts eller cn kommuns beslut enligt denna lag
eller enligt föreskrifter som meddelats med stöd av lagen får överklagas
hos allmän förvaltningsdomstol. Detsamma gäller beslut om rättelse
enligt 28 § personuppgiftslagen (1998:204) och om information som
skall lämnas enligt 26 § samma lag.
Prövningstillstånd krävs vid överklagande till kammarrätten.”
Punkten 1. Enligt författningskommentaren innebär den nya bestämmel-
sen om tider för alkoholserveringens början och slut i 6 kap. 4 § att de få
serveringsställen som har beviljats tillstånd för servering till allmänheten
före klockan 11.00 eller efter klockan 03.00 skall anses ha erhållit till-
stånd till servering tidigast från klockan 11.00 och senast till klockan
03.00. Oavsett om tillståndshavama är många eller få har de vid ändring-
ens ikraftträdande den 1 januari 2002 ett tillstånd som innebär rätt till
utsträckt serveringstid. Denna rätt kan inte berövas dem genom ett
motivuttalande. Härför krävs en uttrycklig bestämmelse i lag. Lagrådet
förordar att i punkten införs ett nytt andra stycke av förslagsvis följande
lydelse: "Den som den 31 december 2001 har ett tillstånd till servering
av spritdrycker, vin eller starköl som avser tid före klockan 11.00 får
därefter påbörja serveringen tidigast klockan 11.00. Den som den
31 december 2001 har ett sådant tillstånd som avser tid efter klockan
03.00 skall därefter avsluta serveringen senast klockan 03.00.”
Prop. 2000/01:97
Bilaga 6
Lagrådet lämnar förslaget utan erinran.
178
Utdrag ur protokoll vid regeringssammanträde den 15 mars 2001
Närvarande: statsrådet Hjelm-Wallén, ordförande, och statsråden Thalén,
Winberg, Ulvskog, Sahlin, von Sydow, Pagrotsky, Östros, Messing,
Engqvist, Rosengren, Larsson, Wämersson, Lejon, Lövdén, Ringholm
Föredragande: statsrådet Engqvist
Prop. 2000/01:97
Regeringen beslutar proposition 2000/01:97 Vissa ändringar i
alkohollagen.
179
Prop. 2000/01:97
|
Författningsrubrik |
Bestämmelser som Celexnummer för inför, ändrar, upp- bakomliggande EG- häver eller upprepar regler ett normgivnings- |
|
Lag om ändring i alko- |
2 kap.3 § 7 kap. 3, 4, 7, 22 §§ 8 kap. 5, 5 a §§ 12 kap. 4 § |
Eländers Gotab 61121, Stockholm 2001
180