Regeringens skrivelse

2000/01:151

Regeringens förvaltningspolitik

Regeringen överlämnar denna skrivelse till riksdagen.

Stockholm den 30 augusti 2001

Skr.

2000/01:151

Göran Persson

Britta Lejon

(Justitiedepartementet)

Skrivelsens huvudsakliga innehåll

I skrivelsen lämnar regeringen en redogörelse för arbetet med genom-
förandet av regeringens förvaltningspolitiska handlingsprogram - En
förvaltning i demokratins tjänst och en allmän lägesbeskrivning avseende
olika områden.

Regeringen har genom det förvaltningspolitiska handlingsprogrammet
ställt förvaltningspolitiken i blickpunkten och finner bl.a. mot den bak-
grunden det angeläget att återkommande och samlat informera riksdagen
om utvecklingen på det förvaltningspolitiska området.

1 Riksdagen 2000/01. 1 saml. Nr 151

Innehållsförteckning

Skr. 2000/01:151

1    Inledning...........................................................................................4

2   Demokrati, rättssäkerhet och effektivitet..........................................4

2.1     Det förvaltningspolitiska handlingsprogrammet................4

2.2     Genomförande av informationsinsatser om det

förvaltningspolitiska handlingsprogrammet.......................5

2.3     Regeringens åtgärder för en långsiktig utveckling av

förvaltningen.......................................................................6

2.4     Uppföljning av förvaltningspolitiken.................................7

3   Förändringar i statsförvaltningen......................................................7

3.1      Produktion, sysselsättning och utbildning..........................7

3.2     Organisationsförändringar inom statsförvaltningen...........9

3.3     Personalkonsekvenser till följd av strukturförändringar.. 14

4   Medborgarna i fokus.......................................................................17

4.1      Förtroendet for samhällets institutioner............................17

4.2     Service i förgrunden.........................................................21

4.3     Försöksverksamhet med servicedeklarationer..................21

5   En öppen förvaltning.......................................................................23

5.1      Offentlighetsprincipen......................................................23

5.2     Öppna Sverige..................................................................24

5.3     Utvecklingsrådet för den statliga sektorn.........................25

5.4     Utvärdering av begripligheten i myndighetstexter...........25

6   En förvaltning med förändringsförmåga och kvalitet............... 26

6.1      Kvalitetsarbetet i staten....................................................27

6.2     Kartläggning av kvalitetsarbetet.......................................27

6.3      Åtgärder for att stimulera systematiskt kvalitetsarbete.... 28

7   Resultatstyrningen vidareutvecklas................................................29

7.1     Verksamhetsanpassad myndighetsstyrning......................30

8   Staten som föredömlig IT-användare..............................................31

8.1      Stor spridning av datorer och Internet..............................31

8.2     24-timmarsmyndigheter...................................................32

8.3     Säker elektronisk överföring av dokument.......................34

8.4     Samhällets grundläggande information............................36

8.5      Statens ansvar för infrastrukturen på IT-området.............36

9   Regler med kvalitet.........................................................................38

9.1      Skrivelse till riksdagen om regelförenkling.....................38

9.2     Studier av olika typer av regleringar................................39

9.3     Mandelkemgruppen - strategi for samordnade åtgärder

för regelförenkling............................................................41

10  Staten som föredömlig arbetsgivare................................................42

10.1    Uppföljning av myndigheternas arbetsgivarpolitik..........43

10.2    Avtalsrörelsen 2001..........................................................61

10.3    Utvärdering av den arbetsgivarpolitiska reformen...........62

11  Kompetens och etik.........................................................................63

11.1    Stöd till myndigheterna....................................................63

11.2 Regeringens chefsförsörjning...........................................64  Skr. 2000/01:151

Bilaga Regeringens åtgärder för en långsiktig utveckling av

förvaltningen.....................................................................66

Utdrag ur protokoll vid regeringssammanträde den 30 augusti 2001.....68

1* Riksdagen 2000/01. 1 saml. Nr 151

1 Inledning

Regeringen redovisade i propositionen Statlig förvaltning i medborgarnas
tjänst (prop. 1997/98:136, bet. 1997/98:KU31, rskr. 1997/98:294) rikt-
linjer för och krav på den framtida statliga förvaltningen. Regeringens
mål är att den svenska statsförvaltningen skall, med höga krav på rätts-
säkerhet, effektivitet och demokrati, vara tillgänglig och tillmötesgående
och därigenom vinna medborgarnas fulla förtroende. Statsförvaltningen
skall ge näringslivet goda arbets- och tillväxtförutsättningar samt vara
framgångsrik och respekterad i det internationella samarbetet. I proposi-
tionen uttalade regeringen som sin avsikt att ett förvaltningspolitiskt
handlingsprogram skulle utarbetas.

Regeringen beslutade den 15 juni 2000 att offentliggöra och distribuera
det förvaltningspolitiska handlingsprogrammet. Programmet innehåller
dels regeringens grundläggande värden för en långsiktig utveckling av
förvaltningen, dels de åtgärder som regeringen genomför för att uppnå de
förvaltningspolitiska målen.

Regeringen har genom det förvaltningspolitiska handlingsprogrammet
ställt förvaltningspolitiken i blickpunkten och finner bl.a. mot den bak-
grunden det angeläget att återkommande och samlat informera riksdagen
om utvecklingen på det förvaltningspolitiska området. Eftersom detta är
första året som regeringen lämnar en skrivelse till riksdagen med en
samlad redovisning av förvaltningspolitiken är det naturligt att den i sin
struktur i stort sett utgår från handlingsprogrammet. Inledningsvis be-
skrivs förändringar i statsförvaltningen. Därefter redogör regeringen för
arbetet med att genomföra det förvaltningspolitiska handlingsprogram-
met. En allmän lägesbeskrivning avseende olika områden ges också, som
visar bredden i det förvaltningspolitiska utvecklingsarbetet. Utform-
ningen av den samlade förvaltningspolitiska redovisningen till riksdagen
kommer att utvecklas vidare avseende såväl struktur som innehåll.

Skr. 2000/01:151

2       Demokrati, rättssäkerhet och effektivitet

2.1      Det förvaltningspolitiska handlingsprogrammet

Utifrån de riktlinjer som angavs i propositionen Statlig förvaltning i
medborgarnas tjänst genomför nu regeringen ett flerårigt förvaltnings-
politiskt handlingsprogram - En förvaltning i demokratins tjänst. Kärnan
i programmet är att medborgarna sätts i centrum i en demokratisk, rätts-
säker och effektiv förvaltning.

Statsförvaltningens verksamhet utgår ifrån de grundläggande värdena
demokrati, rättssäkerhet och effektivitet. De krav som demokratin ställer
innebär att förvaltningen skall fullgöra sina uppgifter i enlighet med de
beslut som riksdag och regering har fattat. Kraven på rättssäkerhet inne-
bär att förvaltningen skall fatta materiellt riktiga beslut på grundval av
gällande lagar och andra författningar samt att enskilda skall ha möjlig-
het att få sin sak prövad i domstol. Kravet på effektivitet innebär att för-
valtningen skall åstadkomma avsedda resultat och uppnå de mål som
fastställts av statsmakterna och att detta skall ske kostnadseffektivt.

Hur förvaltningen fungerar har inte bara en avgörande betydelse för Skr. 2000/01:151
det demokratiska samhällets funktionsduglighet och för människors för-
troende för demokratin utan också för välfärd och ekonomisk tillväxt.
Förvaltningen måste tillhandahålla tjänster på ett sådant sätt att den ger
den största möjliga nytta för medborgare, företag, kommuner, organisa-
tioner m.fl. inom givna ekonomiska ramar. Att myndigheterna använder
enkelt och begripligt språk i sina kontakter med medborgare, företag och
medier är en förutsättning för god service och tillgänglighet i förvalt-
ningen. Informationstekniken kan, om den används på rätt sätt, vara ett
mycket kraftfullt redskap för att öka tillgängligheten till information och
tjänster, förnya och effektivisera verksamhet och arbetsmetoder och -
vad som är grundläggande - stärka demokratin och öppenheten. Därför
måste målet för varje myndighet vara att all information och service som
med bibehållen eller ökad kostnadseffektivitet kan tillhandahållas elek-
troniskt också skall göras så. Men målet är också att tjänsterna skall vara
tillgängliga för alla. De som inte kan, vill eller har förmågan att utnyttja
den nya tekniken skall erbjudas tjänsterna på traditionellt sätt.

2.2 Genomförande av informationsinsatser om det
förvaltningspolitiska handlingsprogrammet

Omfattande informations- och utbildningsinsatser har genomförts för att
presentera innehållet i det förvaltningspolitiska handlingsprogrammet.
Målgrupper har framför allt varit verkschefer, ledamöter i statliga styrel-
ser och råd samt statsanställda. Programmet har sänts ut till riksdagsmän,
riksdagskanslier, EU-parlamentariker, verkschefer, ledamöter i statliga
styrelser och råd, anställda i Regeringskansliet, fackliga organisationer
m.fl. Seminarier har anordnats för alla verkschefer och regionala konfe-
renser har genomförts för chefer och anställda. Alla statsanställda har fått
en kort version av programmet. Den nya tekniken har använts i informa-
tionsspridningen. Ett e-brev har gått ut till alla statsanställda. Program-
met finns på Justitiedepartementets webbplats och en särskild informa-
tionskanal har skapats för att ge bl.a. personaltidningarna på statliga
myndigheter och fackföreningarnas tidningar information om hur genom-
förandet av programmet fortskrider.

Även inom försäkringskasseområdet har omfattande informations-
insatser skett genom bl.a. Riksförsäkringsverkets och Försäkringskasse-
förbundets försorg.

En opinionsundersökning har genomförts bland chefer och anställda
inom statsförvaltningen i syfte att få en bild av vilken kännedom de har
om programmet. Undersökningen visar bl.a. att de flesta myndighets-
chefer har god kännedom om programmet, att intresset för den egna
myndighetens utveckling är stort bland de anställda och att en stor majo-
ritet av de anställda känner delaktighet i de utvecklingsaktiviteter som
pågår inom myndigheten. Bland dem bedöms bl.a. service, öppenhet och
kontakter med medborgarna som angelägna frågor.

2.3 Regeringens åtgärder för en långsiktig utveckling av Skr. 2000/01:151
förvaltningen

Programmet innehåller en rad åtgärder som skall lägga grunden för en
långsiktig utveckling av förvaltningen. De syftar till att skapa organisa-
tions-, styr-, och ledningsformer som ger förutsättningar för att de tre
grundläggande värdena demokrati, rättssäkerhet och effektivitet skall få
genomslag i förvaltningen.

En fullständig förteckning över regeringens 37 åtgärder finns i bilaga.

Några exempel på åtgärder som pågår eller planeras är:

-  En försöksverksamhet med servicedeklarationer och servicedialog
genomförs (se 4.3). I försöksverksamheten, som skall pågå i två år,
deltar ett antal myndigheter med bred kontaktyta mot allmänheten
och några försäkringskassor.

-  En offentlighetskampanj genomförs - Öppna Sverige (se 5.2).

-  En utvärdering av begripligheten i myndigheternas texter genomförs
av Statskontoret (se 5.4)

-  Styrningen av myndigheterna och deras verksamheter vidareutveck-
las genom verksamhetsanpassning (se 7.1). Projektet syftar till att få
till stånd departementsvisa seminarier mellan politisk ledning och
verkschefer för att förbättra styrningen.

-  Utveckling av 24-timmarsmyndigheter, bl.a. genom åtgärder som att
utforma konkreta mål och resultatmått för utvecklingsarbetet, base-
rade på de kriterier för 24-timmarsmyndigheten (se 8.2) som Stats-
kontoret har tagit fram (Statskontoret 2000:21).

-  En samlad utvärdering av den arbetsgivarpolitiska reformen pågår (se

10.3).

-  En utredare har tillkallats för att utreda hur den statliga tillsynen kan
göras till ett tydligare och effektivare förvaltningspolitiskt instrument
som bättre bidrar till kontrollen och genomförandet av demokratiskt
fattade beslut. Utredaren skall bl.a. belysa tillsynsbegreppets innebörd
och tillsynens reglering.

-  En utredare kommer att tillkallas för att utarbeta förslag till en ny
verksförordning. Syftet med översynen är att skapa större tydlighet
när det gäller dels de förvaltningspolitiska kraven på myndigheterna,
dels tillämpningen av olika ledningsformer. Verksförordningen bör
bli ett mer effektivt, tydligt och tidsenligt styrredskap.

-  Omfattande utbildningsinsatser för ledamöter i statliga styrelser och
råd planeras.

77// de avslutade åtgärderna hör bl.a.:

-  Översyn av bisyssleregleringen inom den offentliga sektorn, där rege-
ringen nyligen beslutat om en proposition (prop. 2000/01:147).

- Översyn av Statens ansvarsnämnds funktion och kompetensområde

m.m., där remissförfarande förbereds under hösten.

2.4 Uppföljning av förvaltningspolitiken

För att uppnå de mål för förvaltningspolitiken, som anges i den förvalt-
ningspolitiska propositionen1, fordras ett kontinuerligt förändringsarbete
på alla nivåer. En långsiktig utveckling förutsätter att förändringar prövas
av enskilda myndigheter, ibland i samverkan. Regeringens åtgärder för
en långsiktig utveckling av statsförvaltningen syftar till att skapa organi-
sations-, styr- och ledningsformer som ger förutsättningar för att de tre
grundläggande värdena demokrati, rättssäkerhet och effektivitet skall få
genomslag i hela förvaltningen. Resultaten av utvecklingsinsatserna be-
höver följas upp och utvärderas för att ge riksdag och regering ytterligare
underlag för beslut om inriktning på framtida åtgärder.

I enlighet med vad som angavs i budgetpropositionen för 1998 (prop.
1997/98:1 utg. omr. 14, s. 78 ff.) införde regeringen under 1997 ett upp-
följningssystem för arbetsgivarpolitiken. Uppföljningen omfattar samt-
liga myndigheter som lyder omedelbart under regeringen. Inom ramen
för denna uppföljning begär regeringen årligen in uppgifter från myndig-
heterna om deras arbetsgivarpolitik och de mål de har för denna. Upp-
följningen behöver utvecklas till att avse hela förvaltningspolitiken. För-
utom en myndighetsspecifik återrapportering har regeringen behov av att
fa en allmän och bred bild av hur förvaltningen utvecklas. Detta behövs
för att kunna bedöma om regeringens förvaltningspolitik leder till önsk-
värda resultat.

Ett arbete pågår därför med att utveckla bl.a. resultatindikatorer för att
följa upp förvaltningspolitiken. Som ett led i utvecklingen av det
framtida uppföljningssystemet har regeringen gett Statskontoret och
Statistiska centralbyrån i uppdrag att genomföra en medborgarundersök-
ning med ett förvaltningspolitiskt perspektiv.

Skr. 2000/01:151

3       Förändringar i statsförvaltningen

3.1       Produktion, sysselsättning och utbildning2

I Årsredovisning för staten 2000 (skr. 2000/01:10) lämnas en redogörelse
för utvecklingen av den statliga konsumtionen och produktionen. I detta
avsnitt görs därför endast en kort sammanfattning där en jämförelse
mellan utvecklingen inom den statliga sektorn och den kommunala sek-
torn lyfts fram. Förändringarna när det gäller utbildningsnivån redovisas
också kort.

De avgränsningar och uppdelningar av statsförvaltningen som görs i
detta avsnitt baserar sig på nationalräkenskaperna.

' Prop. 1997/98:136.

2 Detta är en kort sammanfattning av det material som kommer att presenteras i
Statskontorets rapport Staten i omvandling. Rapporten publiceras under hösten 2001.

Statens produktion

Skr. 2000/01:151

De statliga myndigheterna är, tillsammans med kommuner och landsting,
viktiga offentliga tjänsteproducenter. Men i ett långsiktigt perspektiv har
den statliga tjänsteproduktionen endast svarat för en liten del av den
totala produktionen av varor och tjänster, BNP, och ökningen har varit
måttlig. Den offentliga sektorns expansion efter andra världskriget för-
klaras i stället främst av utbyggnaden av kommuner och landsting.

År 1950 var den statliga och den kommunala sektorn ungefar lika
stora. De svarade då för omkring 5 procent av BNP. I dag uppgår mot-
svarande tal till nästan 8 respektive 20 procent.

De statliga myndigheterna växte dock i termer av produktion och
sysselsättning ända fram till 1980-talets början.3 Det statsfinansiella läget
ställde krav på effektivisering och åtstramning inom den statliga sektorn,
vilket medförde att produktion och sysselsättning började gå ned. I
kommuner och landsting fortsatte däremot expansionen under hela 1980-
talet och vändpunkten skulle komma först i början på 1990-talet.

Under senare delen av 1980-talet ökade produktionen av statliga
tjänster, men däremot inte antalet statsanställda. Uppgången berodde
först på att försvaret fick mer resurser i samband med 1987 års försvars-
beslut och att dåvarande Invandrarverket började expandera på grund av
att antalet asylsökande successivt stigit från och med 1980-talets mitt.

1990-talets första hälft innebar en kraftig nedgång i antalet stats-
anställda, men produktionen av statliga tjänster fortsatte att stiga under
decenniets början. Det berodde främst på att behovet av stöd till de
arbetslösa i form av t.ex. arbetsmarknadsutbildning ökade. Även Invand-
rarverkets4 produktion av tjänster steg och nådde en topp 1993.

Efter 1993 har den samlade produktionen av varor och tjänster, BNP,
ökat kraftigt. Samtidigt har den statliga, med relativt små årliga varia-
tioner, legat kvar på en högre nivå jämfört med 1980-talet. Medan BNP
stigit med en fjärdedel sedan 1993 har den statliga produktionen ökat
med måttliga 4 procent. Omstruktureringar och effektiviseringar på de
allra flesta statliga verksamhetsområdena har vägts upp av de satsningar
på den högre utbildningen som präglat hela 1990-talet.

Sysselsättningen i staten

Mätt i termer av sysselsättning har staten alltså sammantaget krympt
under 1980- och 1990-talen. Antalet statsanställda uppgår år 2000 till
204 0005. Det är en minskning med över en femtedel sedan 1980, varav
mer än hälften inföll under decenniet som gick.

Sysselsättningen har gått ned inom samtliga statliga verksamhets-
områden utom den högre utbildningen och kulturen, som i stället ökat
antalet anställda med 25 respektive 12 procent sedan 1990. De anställda
vid universitet och högskolor är numera den största gruppen bland de
statsanställda med en fjärdedel av sysselsättningen.

3 Produktionen i offentlig sektor mäts från kostnadssidan, dvs. huvudsakligen som summan
av löner, inköp av varor och tjänster och avskrivningar.

4 Nuvarande Migrationsverket.

5 Avser årsarbetskrafter, exkl. affärsverken, inkl, försäkringskassorna.

Det är försvaret som haft den kraftigaste nedgången. Antalet anställda Skr. 2000/01:151
har minskat med en tredjedel under perioden 1990-2000 och nedgången
beräknas fortsätta till och med år 2004. Men även inom näringslivs-
tjänster, framför allt den del som ligger utanför kommunikationsområdet,
t.ex. skogsvårdsorganisationen och Lantmäteriverket, har nedgången i
antalet anställda varit markant. Andra exempel på statliga verksamheter
där sysselsättningen gått ned är inom arbetsmarknadsmyndigheterna,
länsstyrelserna, polisen, domstolarna och skatteförvaltningen.

Huvudförklaringen till nedgången i antalet statsanställda står att finna i
de besparingskrav som orsakats av försämrade statsfinanser. Andra orsa-
ker är teknikutvecklingen och organisatoriska förändringar. Renodlingen
av verksamheten till det som bedöms vara statliga kärnuppgifter har
också bidragit till att antalet anställda gått ned.

De statsanställdas utbildningsnivå

Staten har den högsta utbildningsnivån av arbetsmarknadens sektorer.
Närmare 60 procent av de statsanställda har någon form av eftergymna-
sial utbildning och hela 36 procent är akademiker eller forskare. Den
höga utbildningsnivån bland de anställda beror delvis på att de flesta uni-
versitet och högskolor är statliga och kräver minst en akademisk examen
hos lärama. Även om man inte räknar med högre utbildning och forsk-
ning har dock staten en stor andel högutbildade.

Andelen relativt lågutbildade i staten har minskat kraftigt sedan 1990,
medan de med högre utbildning har ökat i motsvarande grad. Det har
medfört att de med eftergymnasial utbildning nu, till skillnad mot 1990,
är i majoritet.

Att utbildningsnivån i staten har blivit högre förklaras främst av att
rationaliseringar och teknikutveckling gjort att det finns färre arbetsupp-
gifter där man klarar sig med en relativt låg utbildning. Dessutom har den
statliga verksamheten renodlats genom att stödjande uppgifter har lagts
ut på entreprenad. De allra flesta som har anställts av en statlig myndig-
het det senaste decenniet har genomgått någon typ av eftergymnasial ut-
bildning.

3.2 Organisationsförändringar inom statsförvaltningen

Regeringens bedömning: Strukturförändringar är en integrerad del av
utvecklingen av statsförvaltningen. Fortsatta effektivitetssträvanden bör i
första hand handla om att det statliga åtagandet måste prövas med stor
omsorg. Åtgärder behöver också vidtas kontinuerligt för att komma till-
rätta med effektivitetsproblem som beror på att myndigheter inte är
ändamålsenligt organiserade, att myndigheter har överlappande uppgifter
etc.

Svensk statsförvaltning har under 1990-talet genomgått omfattande
strukturförändringar och omorganiseringar. Krav på ökad effektivitet,
decentralisering, rättssäkerhet och service har legat bakom beslut om
avregleringar av statliga monopol, bolagiseringar av affärsverk och myn-

digheter, rationaliseringar inom flera tunga myndighetsområden samt Skr. 2000/01:151
tydligare åtskillnad mellan förvaltningen och domstolsväsendet. Sam-
mantaget har detta medfört att statsförvaltningen har minskat i volym,
bl.a. genom att verksamheten har renodlats och riktats in på kärn-
verksamheterna. Myndigheterna har blivit färre till antalet. Samtidigt har
kvarvarande myndigheter i många fall blivit större till storleken. Antalet
statliga myndigheter har mer än halverats från att ha varit 1 360 vid
1990-talets början till 590 år 1998. 35 procent av de anställda har berörts
av att nya myndigheter bildats och drygt 40 procent av att myndigheter
lagts ned under 1990-talet6. Denna utveckling har fortsatt in på 2000-talet
och beror bl.a. på att myndigheter enligt regeringens bedömning inte är
ändamålsenligt organiserade.

Fortsatt renodling av statlig verksamhet och samarbete mellan myn-
digheter

Renodlingen av den statliga verksamheten bör fortsätta. Den innebär att
en avgränsning av statens uppgifter eftersträvas. Syftet är bl.a. att uppnå
en större tydlighet i ansvarsfördelningen mellan myndigheter och mellan
myndigheter och andra rättssubjekt. Inriktningen är att värna om de stat-
liga kärnverksamheterna i det fortsatta arbetet. De uppgifter som inte
tillhör kärnverksamheterna bör avvecklas eller överlåtas till någon annan
huvudman. Konkurrensutsatt verksamhet bör normalt inte bedrivas i
myndighetsform.

Strukturförändringar är en integrerad del av utvecklingen av statsför-
valtningen. Det innebär bl.a. att regeringen kontinuerligt bedömer vilka
åtgärder som behövs för att komma tillrätta med de effektivitetsproblem
som beror på att myndigheter inte är ändamålsenligt organiserade, att
myndigheter har överlappande uppgifter etc.

Ett viktigt inslag i regeringens förvaltningspolitik är att utveckla
former för samarbete mellan myndigheterna med hjälp bl.a. av den
moderna informationstekniken. Det är ett sätt att förbättra myndigheter-
nas service till medborgare och företag.

Ändrade associationsformer

Sedan början av 1990-talet har regeringens politik varit att renodla myn-
dighetsfunktioner till myndigheter och bolagisera statlig konkurrensutsatt
verksamhet. Inriktningen har varit att ompröva det statliga åtagandet och
avveckla eller överlåta de uppgifter, som inte hör till statens kärnverk-
samhet, till en annan huvudman. Detta har lett till att ett flertal affärsverk
har bolagiserats samtidigt som den statliga bolagssektom har minskat
genom utförsäljning.

Det statliga företagandet dominerades länge av affärsverken. Genom
dem hade staten kontroll över nationella basresurser, som skog, vatten
och gruvor. Under 1990-talet gjordes flertalet affärsverk om till statliga
bolag och i dag finns enbart ett fåtal affärsverk kvar, nämligen Svenska

6 Budgetpropositionen for 2000 (prop. 1999/2000:1), volym 1 s. 299.

10

kraftnät, Luftfartsverket och Sjöfartsverket. Så sent som den 1 januari Skr. 2000/01:151
2001 bolagiserades SJ.

Sveriges meteorologiska och hydrologiska institut (SMHI) och Statens
pensionsverk (SPV) har själva föreslagit att hela eller delar av myndig-
heterna skall bolagiseras. I januari 2001 presenterade SMHI en rapport
på uppdrag av regeringen med förslag på att hela verksamheten skall
ombildas till ett aktiebolag. Statskontoret genomför nu, på uppdrag av
regeringen, utredningar om förutsättningarna för SPV respektive SMHI
att fortsätta som myndighet eller att helt eller delvis ombildas till aktie-
bolag.

Tydligare åtskillnad mellan förvaltning och rättskipning

Under 1990-talet kom förvaltningens och rättsskipningens uppgifter att
alltmer särskiljas från varandra. Syftet var att stärka den enskildes rätts-
skydd. Renodlingen av den dömande verksamheten och annan myndig-
hetsutövning kan dock sägas ha haft olika inriktning under olika perio-
der, vilket har bidragit till att domstolarnas verksamhetsområden först
ökade, för att sedan minska. Under början av 1990-talet vidgades dom-
stolarnas sfar, dels i och med att de tog över en del av andra myndig-
heters arbetsuppgifter, som t.ex. tillhandahållande av olika register, dels i
och med att myndighetsbeslut oftare kom att överprövas i domstol i
stället för i överordnad förvaltningsmyndighet.

I den omorganisering som nu pågår av domstolsväsendet är syftet att
avgränsa domstolarnas uppgifter till den dömande verksamheten.
Domarnas arbete skall renodlas till rättsskipning och de skall i ökad ut-
sträckning ges möjlighet att specialisera sig. Vissa av domstolarnas tidi-
gare uppgifter, som att tillhandahålla olika register och inskrivningar, har
också flyttats över till andra myndigheter. Under år 2001 kommer t.ex.
inskrivningen av företagsinteckningar att flyttas från Malmö tingsrätt till
Patent- och registreringsverket och tingsrätternas bouppteckningsverk-
samhet att övertas av skattemyndigheterna.

Nya myndigheter genom renodling

Renodling av myndigheters verksamhet kan också leda till att nya myn-
digheter bildas genom att uppgifter bryts ut ur redan befintliga myndig-
heter. Den nya valmyndigheten som inrättades den 1 juli 2001 är ett
exempel på detta. Den har övertagit Riksskatteverkets tidigare ansvar
som central valmyndighet och dess verksamhet kommer att inriktas på att
förbereda och genomföra valen.

Ett annat exempel är den omstrukturering av centrala funktioner inom
näringspolitiken som gjorts i syfte att skapa en tydligare och mer effektiv
myndighetsstruktur. Vid årsskiftet 2000/2001 skapades tre nya myndig-
heter av flera näringspolitiska verksamheter; Verket för näringslivs-
utveckling, Verket för innovationssystem och Institutet för tillväxtpoli-
tiska studier.

Nya myndigheter kan också bildas genom att nya uppgifter behöver ut-
föras eller att vissa frågor bedöms som särskilt viktiga. Beslutet om att
tilldelning och återkrav av studiestöd skall kunna överklagas har medfört

11

att en ny nämndmyndighet har inrättats, Överklagandenämnden for Skr. 2000/01:151
studiestöd. Den övertar också vissa frågor från Centrala studiestöds-
nämnden (CSN).

Sammanslagning av myndigheter

Krav på att öka effektiviteten och garantera lika behandling över hela
landet har bidragit till att verksamheten inom flera myndighetsområden
har koncentrerats till färre och större myndigheter. Några av de nya myn-
digheter som har bildats eller kommer att bildas under 2001 är resultatet
av att myndigheter med liknande verksamhet har slagits ihop.

Bland flera sammanslagningar kan följande nämnas. Totalförsvarets
forskningsinstitut (FOI) bildades den 1 januari 2001 genom samman-
slagningen av Försvarets forskningsanstalt (FOA) och Flygtekniska
försöksanstalten (FFV). Sprängämnesinspektionen läggs vidare samman
med Statens räddningsverk den 1 oktober 2001.

Den 1 januari 2001 bildades Arbetsmiljöverket av Arbetarskydds-
styrelsen och Yrkesinspektionen. Under året har också tre nya myndig-
heter på forskningsområdet bildats som tillsammans ersätter nio myndig-
heter. De tre nya myndigheterna är Vetenskapsrådet, Forskningsrådet för
miljö, areella näringar och samhällsbyggande samt Forskningsrådet för
arbetsliv och socialvetenskap.

Motiven för sammanslagningarna anges ofta vara att det underlättar
samarbetet och ger rationaliseringsvinster.

En samordning av några eller samtliga ombudsmän under regeringen
har aktualiserats vid flera tillfällen. För närvarande utreds ett utvidgat
skydd mot diskriminering. I samband med det skall även en samordning
av diskrimineringslagstiftningen och ombudsmannaorganisationen över-
vägas.

Koncentration och samordning av statlig verksamhet

Orsaken till att myndigheterna har blivit färre och större är främst att de
med regional och lokal organisation har centraliserat delar av den regio-
nala verksamheten eller slagit samman delar av organisationen. Motiven
till detta har i regel varit bättre samordning, ökad rationalisering och
effektivare styrning. I en del fall har regionala myndigheter bildats,
vilkas ansvarsområden inte följer länsindelningen. År 1999 koncentre-
rades t.ex. skatteförvaltningens organisation genom att länsindelningen
övergavs och ersattes av tio regionala myndigheter.

I vissa fall har centraliseringen gått längre. Genom en omorganisering
2000 togs Kriminalvårdsverkets regionala myndigheter bort, vilket har
givit den centrala nivån, Kriminalvårdsstyrelsen, en starkare ställning. I
samband med att Tullverket blev en myndighet 1999 omvandlades de
regionala myndigheterna till regionkontor, som fick ökat ansvar för ope-
rativa uppgifter.

Även organisations- och strukturförändringarna inom försvaret har lett
till neddragningar och koncentration på central, regional och lokal nivå.
Bakgrunden är det positiva säkerhetspolitiska läget som har medfört att
försvaret har ändrat inriktning från ett brett invasionsförsvar till ett flexi-

12

belt och lättrörligt insatsförsvar. Integration, renodling och koncentration Skr. 2000/01:151
är ledorden i det nya försvaret och förändringarna kan därmed sägas
ligga i linje med övriga delar av staten.

I den pågående omorganiseringen av domstolsväsendet ingår även en
koncentration av tingsrättsorganisationen. Syftet med organisations-
förändringarna är att åstadkomma ett domstolsväsende som kan tillgo-
dose medborgarnas krav på verksamheten också i framtiden. Ledord i
förändringsarbetet har bl.a. varit renodling av domstolarnas och domar-
nas arbetsuppgifter, underlätta rekrytering, kvalitetssäkring och kompe-
tensutveckling, samordning med rättsväsendets övriga myndigheter, men
också tillgängligheten för allmänheten. En del i reformarbetet är föränd-
ringarna av den yttre tingsrättsorganisationen. Omorganisationen av
tingsrätterna har bl.a. anpassats efter de regionala förutsättningarna. I allt
väsentligt innebär förändringarna att större domkretsar har bildats med en
chef för hela domkretsen. I vissa domkretsar kommer emellertid verk-
samheten att bedrivas på två eller flera orter. Regeringen avser nu att låta
utvärdera genomförda organisationsförändringar.

Samverkan mellan myndigheter

Samverkan mellan myndigheter sker inte enbart genom omorganiseringar
utan också genom att tillfälliga organ eller informella nätverk bildas.
Organiseringen kan då ske kring centrala frågor där flera myndigheter är
inblandade. Ett exempel är samarbetet i territoriella gränsfrågor mellan
Tullverket och olika myndigheter. Det gäller bl.a. samarbetet dels med
Jordbruksverket när det gäller införsel av djur och växter, dels med
Läkemedelsverket när det gäller införsel av läkemedel.

Med hjälp av den moderna informationstekniken underlättas samver-
kan mellan myndigheter. Servicen kan också förbättras genom en samlad
information. Ett flertal ämnesportaler, t.ex. Operation kvinnofrid och
Företagarguiden, har bildats av myndigheter med verksamhet inom
närbesläktade områden.

Ett annat exempel är Projekt Medborgarterminal som skapades 1999
av fem myndigheter: Arbetsmarknadsverket, Centrala studiestöds-
nämnden, Premiepensionsmyndigheten, Riksförsäkringsverket och Riks-
skatteverket. På deras gemensamma portal, Medborgartorget, finns
central information om myndigheternas tjänster när det gäller jobb,
skatter, socialförsäkringar, etc. Projektet är en försöksverksamhet. Före-
tagarguiden, som är en myndighetsportal med företagsrelevant myndig-
hetsinformation för blivande och befintliga företagare, är ett samarbets-
projekt mellan 23 myndigheter.

Försöksverksamhet med regionala självstyrelseorgan

En försöksverksamhet med regionala självstyrelseorgan pågår sedan
1997 i Kalmar, Gotlands och Skåne län samt i Västra Götalands län
sedan 1999. Försöket innebär att den regionala ansvarsfördelningen
mellan stat och kommun har ändrats genom att ansvaret för regionalt
utvecklingsarbete har överförts från länsstyrelsen till ett kommunalt

13

självstyrelseorgan. Försöksverksamheten syftar till att fördjupa den de- Skr. 2000/01:151
mokratiska förankringen av det regionala utvecklingsarbetet.

Enligt den parlamentariska regionkommittén (PARK), som har gjort en
utvärdering av försöksverksamheten, är huvudintrycket positivt. Man
anser också att försöket bör förlängas till utgången av 2006 och omfatta
fler län. Regeringen avser att förelägga riksdagen en proposition under
hösten 2001.

3.3 Personalkonsekvenser till följd av strukturföränd-
ringar

Regeringens bedömning: Statsförvaltningen har under 1990-talet
genomgått mycket omfattande förändringar. Antalet statsanställda har
minskat från ca 410 000 till ca 22 6 0007. Sedan 1990 har 62 000 stats-
anställda sagts upp.

Regeringen bedömer att resultatet av Trygghetsstiftelsens individ-
anpassade arbetsformer samt det sätt som de statliga arbetsgivarna sköter
avvecklingen av personalen medfört fortsatt goda resultat, bl.a. genom att

-  andelen öppet arbetslösa inom stiftelsens avtalsområde sjunker rela-
tivt snabbt över tid och går efter ett par år ned under 5 procent av de
uppsagda

-  de statsanställda hävdar sig väl på arbetsmarknaden.

Strukturförändringarna under 1990-talet har berört ett relativt stort antal
statsanställda. Regeringen har sedan kompletteringspropositionen
1991/92:150, årligen redovisat vilka personalkonsekvenser som uppstått
till följd av genomförda strukturförändringar. Bakgrunden till dessa
redovisningar är bl.a. finansutskottets uttalande om riksdagens behov av
information om effekterna av strukturförändringarna inom statsförvalt-
ningen (bet. 1990/91 :FiU37, s. 10).

I det följande redovisar regeringen sin övergripande statistik vad gäller
personalkonsekvenserna av genomförda strukturförändringar. De be-
dömningar som respektive departement gör vad gäller framtida konse-
kvenser av aktuella förslag kommer att redovisas under verksamhets-
området Staten som arbetsgivare (utgiftsområde 2) i budgetpropositionen
för 2002.

Personalkonsekvenserna i termer av antal uppsagda tydliggörs om
affärsverken tas med i beräkningarna, eftersom det i många fall skedde
kraftiga personalminskningar inom verken innan de bolagiserades.

Sedan 1990 har 62 000 statsanställda sagts upp. Antalet uppsagda har
dock varierat kraftigt mellan åren och närmare en tredjedel av uppsäg-
ningarna skedde inom de tidigare affärsverken strax innan de bolagisera-
des. Antalet uppsagda per år uppgick som mest till drygt 13 400. Under
2000 uppgick de till närmare 3 700 (diagram 3.1).

7 Avser antalet statsanställda år 2000, inkl, affärsverken, exkl. försäkringskassorna.

14

Skr. 2000/01:151

Diagram 3.1 Antal uppsagda i statsförvaltningen 1990-2000

Källa: Trygghetsstiftelsen.

Av de uppsagda under 2000 var ca 1 700 anställda inom civil statsför-
valtning, 1 120 inom försvaret och ca 700 inom affärsverken.

År 2000 var knappt 44 procent av de statligt anställda kvinnor. Tabell
3.1 visar andelen uppsagda kvinnor i staten sedan 1994. Som synes har
andelen under de senaste åren stämt rätt väl med könsfördelningen i
staten som helhet. Omstruktureringen inom försvaret har bidragit till att
höja andelen uppsagda män under de två senaste åren, men även uppsäg-
ningar inom infrastrukturverken har haft samma effekt.

Tabell 3.1 Andel uppsagda kvinnor i staten respektive den totala andelen
kvinnor i staten 1994-2000, procent

Ar

Andel kvinnor i inflödet
till Trygghetsstiftelsen
Procent

Andel kvinnor i staten
Procent

2000

41,2

43,5

1999

44,9

42,6

1998

44,8

42,1

1997

54,3

41,5

1996

54,9

41,2

1995

47,8

41,1

1994

52,1

44,0

Källa: Trygghetsstiftelsen.

15

Ålders- och könsfördelning av antalet uppsagda år 2000 framgår av
diagram 3.2.

Skr. 2000/01:151

Diagram 3.2 Andel uppsagda i statsförvaltningen fördelade efter ålder och kön
2000, procent

Källa: Trygghetsstiftelsen.

Andelen uppsagda som är 55 år eller äldre sjönk markant under år 2000
jämfört med de närmast föregående åren, vilket till stor del kan förklaras
av ändrade regler för finansiering av pensionsersättningar.

Vid utgången av år 2000 hade 65 procent av de uppsagda under 1999
avaktualiserats hos Trygghetsstiftelsen. Ytterligare 15 procent var i mål-
inriktad åtgärd eller hade tillfälliga anställningar. 12 procent var öppet
arbetslösa, varav knappt 60 procent var över 55 år.

Skillnaden i resultat mellan åldersgrupperna upp till 55 år är liten.
Uppsagda i åldersgruppen 45-54 år får t.ex. arbete i nästan samma ut-
sträckning som de uppsagda i den yngsta åldersgruppen och det är inte
heller några stora skillnader mellan könen.

Andelen öppet arbetslösa sjunker dock relativt snabbt över tid och går
efter ett par år ned under 5 procent av de uppsagda, varav de allra flesta
är över 55 år.

Enligt Trygghetsstiftelsen kan de goda resultat som uppnås delvis hän-
föras till att de statsanställda hävdar sig väl på arbetsmarknaden. Av de
uppsagda som far nya arbeten (fasta och tidsbegränsade på mer än ett år)
gick år 2000

-  24 procent till statliga sektorn (22 procent 1999)

-  16 procent till kommunala sektorn (15 procent 1999)

-  60 procent till den privata sektorn (63 procent 1999).

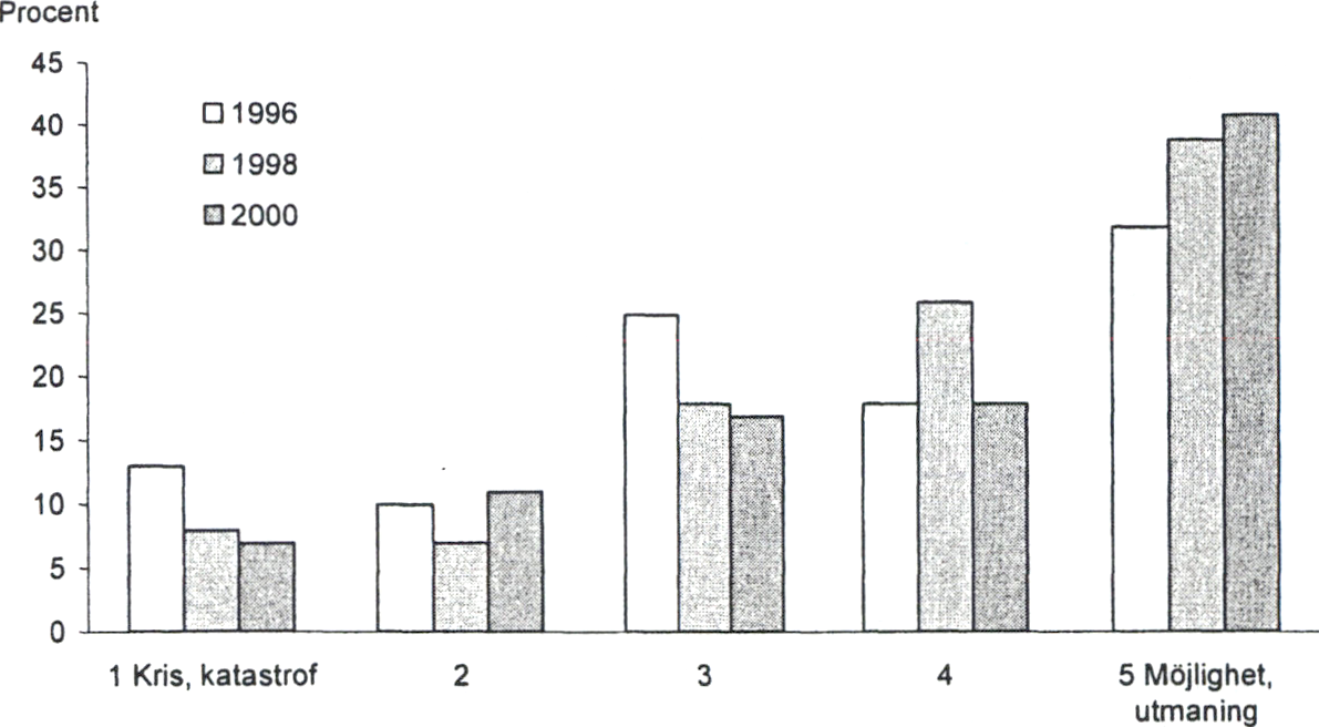
Trygghetsstiftelsen gör regelbundna kundundersökningar. En standard-
fråga som ställs till uppsagda ca ett år efter uppsägningen är: Så här i
efterhand. Hur ser Du på att Du blev uppsagd eller övertalig och måste
försöka skaffa Dig ett nytt arbete? Du kan svara på en skala mellan 1 och
5, där 1 betyder kris eller katastrof och 5 betyder en möjlighet eller ut-
maning.

16

Svaren från de tre senaste mätningarna redovisas i diagram 3.3.

Skr. 2000/01:151

Diagram 3.3 De uppsagdas inställning till sin situation 1996, 1998 och 2000,
procent

Källa: Trygghetsstiftelsen.

Omkring 17 procent av de uppsagda är ca ett år efter uppsägningen
fortfarande negativa till sin situation. Uppemot 60 procent upplever det
som positivt, resten som i vart fall inte sämre. Skillnaderna mellan könen
är små. Medelvärdet för skalan 1-5 är totalt 3,8, för kvinnor 3,7 och för
män 4,0. Det positiva resultatet skall inte tolkas som en negativ värdering
av de arbeten som lämnas. Uppsägningen tvingar snarare fram ställnings-
taganden och öppnar resurser för utveckling.

4      Medborgarna i fokus

4.1       Förtroendet for samhällets institutioner

Regeringens bedömning: Sverige har en statsförvaltning som håller hög
kvalitet. Genomförda undersökningar visar att förtroendet för de statliga
myndigheterna är stort.

En av huvudpunkterna i regeringens förvaltningspolitik är att den statliga
verksamheten måste ha tydligt medborgarfokus. En viktig förutsättning
för en bra relation mellan förvaltning och medborgare är att medborgarna
känner förtroende för de institutioner de kommer i kontakt med. Målsätt-
ningen är att medborgarnas förtroende för alla delar av den statliga för-
valtningen skall vara fortsatt stort. Regeringen avser därför att följa ut-
vecklingen på området för att vid behov kunna identifiera angelägna
insatsområden. Medborgarundersökningar skall utgöra en del i uppfölj-
ningen av förvaltningspolitiken. Förändringar över tiden kan ge indi-
katorer på att vissa frågor kräver ökad uppmärksamhet.

17

Förtroende kan ses som en förväntan på att en institution arbetar för Skr. 2000/01:151
medborgarens bästa och inte missbrukar sin maktposition.8

Förklaringen till vad som ligger bakom olika förtroendebedömningar
är komplicerad. Forskningen har visat att det rör sig om ett samspel
mellan för det första utvärdering av institutionernas existerande verksam-
het när det gäller trovärdighet och kvalitet, för det andra medborgar-
intresset för institutionens verksamhet, dvs. institutionens upplevda bety-
delse, och för det tredje rådande sociokulturella värderingar i samhället
eller med andra ord opinionsklimatet. Den som är positiv till en sam-
hällsinstitution tenderar också att värdera andra institutioner positivt.9

I detta avsnitt refereras några av de förtroendeundersökningar som har
gjorts bland medborgarna, nämligen Europabarometem och SOM-institu-
tets10 undersökningar.

Förtroendet för samhällsinstitutioner i Sverige och EU

Förtroendeundersökningar görs på olika områden som medier och sam-
hälle samt inom Europeiska unionen (EU). I den Eurobarometer, som
utfördes under år 2000, jämfördes förtroende i EU-ländema för en rad
samhällsinstitutioner såsom polis, skolväsende och rättsväsende (tabell
4.1).

Tabell 4.1 Förtroende för några samhällsinstitutioner i Sverige och EU 2000,
balansmått och andelar i procent

Sverige

Förtroende

Balans-
mått

Procent

EU 15

Förtroende

Balans-
mått

Ja

Nej

Ja

Nej

Polisen

76

20

56

70

26

44

Försvaret

72

19

53

71

20

51

Rättsväsendet

62

31

31

50

44

6

Skolväsendet

60

34

26

65

29

36

Offentliganställda

52

35

17

45

45

0

Storföretagen

35

53

-18

35

54

-19

Källor: Eurobarometer, EU-kommissionen, report no 54, 2001 och Statskontoret. Anm.
Balansmått är differensen mellan andelen som har förtroende för institutionerna och de som
inte har det. De som svarat vet ej redovisas inte här.

Generellt sett har svenskarna större förtroende än EU-genomsnittet för de
flesta institutionerna. Undantaget är skolväsendet där EU-genomsnittets
balansmått i stället är högre. Av de studerade områdena är polisen den
institution som svenskarna har störst förtroende för. Den genomsnittliga
EU-medborgaren däremot har störst förtroende för försvaret. Svenskar-
nas syn på storföretagen är övervägande negativ. Denna syn samman-
faller med vad man tycker inom EU.

8 ”Förtroendet för medierna”, Elliot, 1997, s. 41.

9 ”Ett missnöjt folk?”, Holberg och Weibull, red., 1997.

10 SOM står for Samhälle, Opinion och Media.

18

Förtroendet för kommunala och privata verksamheter                      Skr. 2000/01:151

Allmänhetens förtroende för samhällets institutioner över tiden har
undersökts av SOM-institutet. I mätningarna ingår verksamheter såsom
utbildning, sjukvård och polis (diagram 4.1 och 4.2).11

Diagram 4.1 Förtroendet för några samhällsinstitutioner under 1990-talet,
balansmått i procent

Alla de undersökta institutionerna, utom bankerna, visar en relativt lik-
artad trend under 1990-talet. Balansmåtten steg gradvis under decenniets
första hälft för att nå sin kulmen under valåret 1994 och därefter sjunka
till lägre nivåer fram till 1997. Förtroendet ökade något mellan 1997 och
1998, men sedan dess kan en viss tillbakagång noteras.

Sjukvården är den offentliga institution som svenskarna har mest för-
troende för, även om det har sjunkit markant under senare halvan av
1990-talet. Att sjukvården ligger högre än andra studerade områden kan
vara ett uttryck för att den uppfattas som viktig för många medborgare.

Även om förtroendet för de svenska storföretagen är förhållandevis
lågt ligger det betydligt högre i SOM-institutets undersökning än i Euro-
barometem.

Den mest dramatiska utvecklingen har bankerna haft. Mellan 1990 och
1993, som var bankkrisens år, sjönk allmänhetens förtroende dramatiskt.
Sedan dess har det inte återhämtat sig till fullo. Detta visar att tilliten
snabbt kan försämras, men att den kan vara svårare att vinna tillbaka.

Förtroendet för de statliga myndigheterna

Samma tendenser som hos de kommunala och privata institutionerna kan
observeras hos de statliga (diagram 4.2). Under valåren 1994 och 1998

11 Vissa skillnader finns i förhållande till Eurobarometem. Exempelvis frågar SOM-
institutet efter förtroendet för domstolarna medan barometern avser det vidare begreppet
rättsväsendet.

19

1** Riksdagen 2000/01. 1 saml. Nr 151

har förtroendet för institutionerna ökat, vilket kan förklaras av att deras Skr. 2000/01:151
verksamhet får större uppmärksamhet och av att människor känner en
positiv förväntan på framtiden12.

Diagram 4.2 Förtroende för några statliga institutioner under 1990-talet, balans-
mått i procent

De flesta statliga institutionerna far bättre betyg än de privata. Undan-
taget är försvaret som numera åtnjuter lägre förtroende än bankerna. Värt
att notera är också att försvaret har ett mycket lägre balansmått i SOM-
institutets undersökningar än i Eurobarometem (tabell 4.1 och diagram
4.2).

Av de undersökta statliga institutionerna har den högre utbildningen,
dvs. universitet och högskolor, och polisen det högsta förtroendet hos
medborgarna.

Förtroendet för försvaret ökade mycket kraftigt mellan 1993 och 1994.
Även om 1994 var ett valår, vilket enligt forskningen i sig drar upp
resultaten, så kan en så stor ökning ha flera andra orsaker. Exempel på
händelser 1994 som kan ha påverkat utvecklingen, var att myndigheten
Försvarsmakten inrättades och Partnerskap för fred med Sverige som
deltagare bildades. Sverige deltog också i FN-operationer och fick stor
uppmärksamhet i medierna.

Medan sjukvården och grundskolan har haft en negativ utveckling av
förtroendet efter 1997, har de statliga institutionerna i stället fått en upp-
gång t.o.m. 1999. Under 2000 har också de statliga institutionerna, utom
domstolarna, haft en nedgång. För polisen har svängningen varit särskilt
kraftig, vilket också är genomgående för deras förtroendeutveckling
under hela 1990-talet.

Kvinnorna hade under år 2000 generellt högre förtroende än männen
för de statliga institutionerna utom för universitet och högskolor. För
polisen var kvinnornas förtroende markant högre. Sjukvården och grund-
skolan fick däremot ungefär samma betyg från män som från kvinnor.

12

'Ljusnande framtid”, Holmberg & Weibull (red), 1999, s. 49-50.

20

Ungdomarna i Sverige, dvs. de mellan 15 och 29 år, har högst för- Skr. 2000/01:151
troende för de flesta offentliga institutioner jämfört med de äldre. Det
stora undantaget är förtroendet för polisen. I de flesta fall sjunker för-
troendet för institutionerna med ökad ålder. Detta gäller dock inte sjuk-
vården, där nivån är relativt konstant över åldrarna.

I regel har de högutbildade större förtroende för de offentliga institu-
tionerna än de med lägre utbildning. Undantaget är grundskolan som de
högst utbildade i samhället har minst förtroende för.

En kraftig skillnad i förtroende för de undersökta offentliga institutio-
nerna kan urskiljas mellan dem som har svenskt medborgarskap och dem
som har utländskt. Utländska medborgare har betydligt lägre tilltro till
offentlig sektor och särskilt till de svenska domstolarna. Endast för
grundskolan har de två grupperna någorlunda lika stort förtroende.

4.2      Service i förgrunden

Medborgarfokuset innebär att statsförvaltningens service hamnar i för-
grunden. Målet för regeringens satsning på service inom ramen för det
förvaltningspolitiska handlingsprogrammet är trefaldigt.

För det första handlar det om att göra myndigheters information och
tjänster mer tillgängliga. Medborgare och företag skall kunna få infor-
mation, ställa frågor, lämna uppgifter samt uträtta andra ärenden när det
passar dem oberoende av myndigheters kontorstider och geografiska be-
lägenhet. I detta sammanhang brukar 24-timmarsmyndigheter användas
som vägledande begrepp, dvs. myndigheter med elektronisk dygnetrunt-
service alla veckans dagar.

För det andra handlar det om att stärka medborgarnas insyn och del-
aktighet i myndigheternas verksamhet. Medborgare och företag skall veta
vad de kan förvänta sig av den myndighet de vänder sig till i ett ärende
samt kunna lämna synpunkter och vara med och påverka den verksamhet
de berörs av.

För det tredje handlar det om att öka myndigheters samverkan med
såväl varandra som med kommuner, landsting och näringsliv. Medbor-
gare och företag skall enkelt kunna hämta och lämna information som är
relevant i varje enskild situation oavsett hur informationsansvaret är för-
delat mellan statliga myndigheter eller mellan stat, kommun och lands-
ting. Detta är viktigt för att öka tilliten till förvaltningen, få en service
som passar medborgarnas och företagens behov samt stärka medborgar-
nas delaktighet i det demokratiska systemet. Ett högt förtroende för en
myndighet behöver inte betyda att myndigheten erbjuder tillräcklig
service.

4.3      Försöksverksamhet med servicedeklarationer

En försöksverksamhet med servicedeklarationer och servicedialog har på
regeringens uppdrag påbörjats under år 2001 vid ett tjugotal statliga
myndigheter.

Försöksverksamheten består av tre delar: att utforma och offentliggöra Skr. 2000/01:151
en servicedeklaration, att föra en servicedialog och att integrera syn-
punkterna i verksamhetsutvecklingen.

Varje myndighet skall utforma en deklaration som ger tydlig, relevant
och förpliktande information om dess utbud av tjänster och servicenivå
på tjänsterna. Exempel på vad informationen kan avse är handläggnings-
tider och väntetider för olika typer av ärenden samt tjänster som finns
tillgängliga på elektronisk väg.

-  Varje myndighet skall kontinuerligt och systematiskt samla in och
beakta användarnas synpunkter på myndighetens tjänsteutbud och
service.

-  Varje myndighet skall tillvarata och integrera användarnas synpunk-
ter på tjänsteutbud och service i arbetet med att utveckla verksam-
heten.

-  Varje myndighet har ett självständigt ansvar att utifrån dessa riktlinjer
genomföra uppdraget på ett sätt som bäst passar myndigheten. Varje
myndighet får själv bestämma om uppdraget skall omfatta hela eller
väsentliga delar av myndighetens verksamhet. Arbetet skall ske inom
ramen för givna ekonomiska resurser och med utgångspunkt i
gällande lagar och förordningar.

I försöksverksamheten deltar ett femtontal statliga myndigheter och
sex försäkringskassor (tablå 4.1). Rikspolisstyrelsen och Riksskatteverket
representeras av en eller ett par myndigheter på regional nivå.

Tablå 4.1 Myndigheter som deltar i försöksverksamheten

Arbetsmarknadsstyrelsen

Riksskatteverket, Kronofogdemyndig-
heten i Västra Götaland, Skattemyndig-

Gävleborgs läns allmänna försäkrings-

heten i Skåne

kassa

Skåne läns allmänna försäkringskassa

Jordbruksverket

Stockholms läns allmänna försäkrings-

Länsstyrelsen i Dalarnas län

kassa

Länsstyrelsen i Jönköpings län

Tullverket

Länsstyrelsen i Skåne län

Uppsala läns allmänna försäkringskassa

Länsstyrelsen i Västra Götalands län

Verket för högskoleservice

Migrationsverket

Verket för näringslivsutveckling

Patent- och registreringsverket

Västra Götalands läns allmänna försäk-
ringskassa

Premiepensionsmyndigheten

Östergötlands läns allmänna försäk-

Riksförsäkringsverket

ringskassa

Rikspolisstyrelsen, Polismyndigheten i
Norrbottens län

För att underlätta arbetet med servicedeklarationer och servicedialog är
erfarenhetsutbytet mellan de deltagande myndigheterna viktigt. Stats-

22

kontoret och Statens kvalitets- och kompetensråd har därför fått i upp- Skr. 2000/01:151
drag av regeringen att samordna projektet, ge metodstöd samt bidra till
erfarenhetsutbytet. En projektarbetsplats på Internet har skapats och
under det tvååriga försöket kommer också ett flertal gemensamma akti-
viteter att äga rum.

5 En öppen förvaltning

Regeringens bedömning: Offentlighet är en grundprincip i det svenska
samhället. Arbetet i kampanjen Öppna Sverige visar att en god tillämp-
ning av offentlighetsprincipen inte kommer av sig själv. Öppenhet är en
attityd- och kunskapsfråga som ständigt måste hållas vid liv. Detta är ett
ledningsansvar. All personal i offentlig förvaltning måste ha kunskap om
reglerna för offentlighet och sekretess och förmåga att tillämpa dem i sin
verksamhet. Arbetsorganisation och rutiner skall underlätta åtkomsten av
information.

Regeringen bedömer att kunskapen om offentlighetsprincipen och dess
tillämpning är otillräcklig och att myndigheternas arbete för att öka
öppenheten därför bör följas noga.

5.1 Offentlighetsprincipen

Offentlighetsprincipen är en hörnsten i den svenska demokratin och en
viktig del av förvaltningspolitiken. Den regleras bland annat i regerings-
formen, tryckfrihetsförordningen, yttrandefrihetsgrundlagen och sekre-
tesslagen. Medborgare och medier skall ha tillgång till upplysningar efter
eget val och oberoende av myndigheternas informationsverksamhet. Att
medborgarna har kunskap om offentlighetsprincipen innebär att de
känner till och begriper reglerna och vet hur de kan utnyttja dem i prakti-
ken. En öppen myndighet innebär att

- medborgarna har goda möjligheter till insyn i dess verksamhet

- den enskilde får god information i sitt ärende

- arbetsklimatet i organisationen uppmuntrar till intem debatt och att de
anställda är delaktiga i utvecklingen av verksamheten.

Öppenheten är grunden för allmänhetens förtroende för myndigheter
och förvaltningar - och därmed för demokratin. Undersökningar visar att
detta förtroende har minskat under senare år. Det vilar alltså ett stort
ansvar på politiker och tjänstemän i den offentliga sektom att hålla kvar
allmänhetens förtroende på en hög nivå.

Vårt land har ett regelverk som ger möjligheter till mycket god insyn,
men det finns klara brister i de anställdas kunskaper och därmed även i
efterlevnaden av reglerna. En annan oroande faktor är att det finns
studier som pekar på att tystnaden på de offentliga arbetsplatserna ökat.
Många känner inte till eller vågar inte använda sig av sin lagstadgade
yttrande- och meddelarfrihet.

23

5.2 Öppna Sverige

Kampanjen Öppna Sverige är ett regeringsinitiativ för att göra svensk
förvaltning till ett internationellt föredöme med avseende på öppenhet i
samhället mot medborgare, företag och medier. Kampanjen, som startade
hösten 2000, drivs gemensamt av staten, Svenska Kommunförbundet och
Landstingsförbundet.

Öppna Sveriges uppdrag är att bidra till att förbättra myndigheters och
andra offentliga förvaltningars öppenhet mot medborgarna och förbättra
medborgarnas kunskap om offentlighetsprincipen.

Undersökningar

Som ett led i förberedelserna för kampanjen lät rådet för Öppna Sverige
göra en studie under hösten 2000 av allmänhetens klagomål till Justitie-
ombudsmannen över offentlighetsprincipens praktiska tillämpning.
Dessa klagomål utgör drygt 6 procent av den totala ärendemängden. En
tredjedel av dem handlade om svårigheter att få ut allmänna handlingar.
Vanligen dröjde myndigheterna orimligt länge med utlämnandet eller
förhalade det så att det kunde tolkas som en dold vägran. I 15 procent av
fallen hade myndigheter uttryckligen vägrat att lämna ut handlingar med
hänvisning till sekretesslagen, medan anmälaren ansåg att de bort lämnas
ut. Hela 40 procent av ärendena gällde klagomål på bemötande, service
eller kommuniceringen av ärenden. En slutsats av studien är att den van-
ligaste orsaken till de brister som kommer i dagen är att tjänstemännen
inte behärskar regelsystemet. På många håll saknas rutiner för att säker-
ställa kompetensen.

Öppna Sverige har också låtit Statistiska centralbyrån undersöka med-
borgares och tjänstemäns syn på myndigheternas öppenhet. Få medbor-
gare var intresserade av att få insyn i myndigheternas verksamhet. De var
vanligen nöjda med de offentliga verksamheter som de själva haft när-
kontakt med. Myndigheternas långa handläggningstider och brist på
service fick mest kritik. Telefonkontakterna ansågs tidsödande och hem-
sidorna svåra att överblicka. Informationstexter och blanketter är ofta
svårförståeliga. De yngsta och de äldsta hade särskilt svårt att hitta
informationen.

Aktiviteter under 2000-2001

Öppna Sverige verkar för att

-  förbättra tillämpningen av offentlighetsprincipen inom den offentliga
sektorn

-  verka för en större öppenhet på arbetsplatserna i den offentliga sek-
torn

- sprida kunskap och medvetenhet om öppenhetsfrågor i samhället

- skapa engagemang och debatt.

För att stimulera debatten om öppenhet genomförde Öppna Sverige
fyra hearingar under våren 2001 på temat ”Offentlighetsprincipen,
demokratin och förvaltningens öppenhet” på olika platser i landet.
Ledande forskare, journalister och förvaltningsföreträdare medverkade.

Skr. 2000/01:151

24

I den decentraliserade statsförvaltningen och inom de självständiga Skr. 2000/01:151
kommunerna och landstingen måste ett engagemang för att förbättra
öppenheten vara ett frivilligt åtagande. Institutionerna sätter själva sina
mål och beslutar om sina insatser.

Ett upprop skickades ut till politiker och högre chefer inom hela den
offentliga sektorn i november 2000. Deras organisationer inbjöds att
delta i Öppna Sverige. För närvarande - i augusti 2001 - deltar samman-
lagt 71 statliga myndigheter, 16 landsting, 106 kommuner och 9 försäk-
ringskassor i kampanjen.

Medverkan i Öppna Sverige innebär bland annat att ledningen skall
utse en projektledare för öppenhets frågorna i organisationen. Denna blir
nyckelperson i det interna arbetet och fungerar normalt som planerare,
rådgivare och stöd för linjecheferna. Han eller hon kan ge ledningen för-
slag om hur man kan arbeta med öppenhetsfrågoma på den egna arbets-
platsen och hur kunskapsbrister och svagheter i regelsystemets tillämp-
ning kan kartläggas och åtgärdas. Öppna Sverige stöttar projektledarna
med information, utbildning och erfarenhetsutbyte.

Öppna Sverige agerar för att kommunerna på sina webbplatser skall
informera medborgarna om offentlighetsprincipen och hur den kan ut-
nyttjas.

Öppna Sverige kommer också att ägna särskild uppmärksamhet åt
grupper som kan ha svårt att ta del av förvaltningens information, såsom
funktionshindrade och invandrare. Undervisningssystemet kommer att
bearbetas för att frågor om offentlighetsprincipen och dess demokratiska
betydelse skall få ett utrymme i undervisningen.

5.3      Utvecklingsrådet för den statliga sektorn

De centrala parterna på det statliga området har inom ramen för det
partsgemensamma arbetet i Utvecklingsrådet för den statliga sektorn
också startat ett projekt Öppenhet på statliga arbetsplatser. Projektets mål
är att bidra till att öka kunskapen hos statens chefer och medarbetare om
offentlighetsprincipen och meddelarfriheten, att bidra till en öppen och
konstruktiv debatt på myndigheter och att hitta och sprida exempel på
metoder som kan användas för att främja öppenhet. Som avstamp har ett
seminarium med myndighetschefer från olika sektorer och centrala fack-
liga företrädare hållits. För att undvika dubblering med Öppna Sverige är
parternas fokus framför allt den inre öppenheten.

5.4      Utvärdering av begripligheten i myndighetstexter

Klarspråksgruppen har sedan 1993 regeringens uppdrag att främja ett
begripligt språk i myndigheternas texter. Gruppen förmedlar kunskap och
erfarenheter från språkvårdsarbete i Sverige och andra länder och upp-
muntrar myndigheterna att själva, eller i samarbete med varandra, öka
medvetenheten om vikten av välstrukturerade och klara texter med ett
mottagaranpassat innehåll. Via gruppens webbplats Klarspråk13 får myn-

13 www.justitie.regeringen.se/klarspråk

25

digheterna gratis tillgång till språkliga hjälpmedel, som Myndigheternas Skr. 2000/01:151
skrivregler och Lathund for webbskribenter. Det finns också länkar till
terminologiorgan och språkdatabaser och där kan myndigheterna söka
svar på aktuella språkfrågor.

Språket är myndigheternas viktigaste arbetsverktyg, oavsett verksam-
hetsområde eller plats i förvaltningen. Klarspråksgruppen har därför
under det senaste året samarbetat med de organ och kampanjer som har
begriplighet som en viktig del i sin verksamhet, dvs. de som främjar ser-
vice åt medborgarna, ökad öppenhet, högre kvalitet, ökad IT-användning
och förbättrad regelkvalitet.

Enligt 7 § verksförordningen (1995:1322) har myndighetschefema an-
svar för att allmänhetens och andras kontakter med myndigheterna
underlättas ”genom ett klart och begripligt språk i myndigheternas skri-
velser och beslut”.

Klarspråksgruppens arbete har lett till ett ökat intresse hos myndig-
heterna att skriva klart och enkelt. För att få ett underlag för vilka fort-
satta insatser som kan behövas har regeringen uppdragit åt Statskontoret
att utvärdera begripligheten i myndighetstexter. Utvärderingen skall bl.a.
resultera i:

- en bedömning av de utvärderade myndigheternas förmåga att skriva

klart och mottagaranpassat,

-  en analys av vilket behov av stöd myndigheterna kan behöva i sitt
framtida språkvårdsarbete.

Uppdraget redovisas till Justitiedepartementet senast den 29 september
2001.

6 En förvaltning med förändringsförmåga och
kvalitet

Regeringens bedömning: Chefers och anställdas intresse för den egna
myndighetens utveckling är stort och kvalitetsfrågorna har fått en allt
större tyngd i förändringsarbetet.

Sverige skall ligga i frontlinjen när det gäller kvalitet i statsförvaltningen
i ett internationellt perspektiv. För att bibehålla ett högt medborgerligt
förtroende för den statliga verksamheten, åstadkomma bra tillväxtförut-
sättningar för företag samt fungera föredömligt i det internationella sam-
arbetet krävs det fortsatta ansträngningar för att höja ambitionsnivån i
arbetet med att utveckla förvaltningens kvalitet.

I verksförordningen fastställs att myndighetens verksamhet skall be-
drivas författningsenligt och effektivt och att verksamheten fortlöpande
skall följas upp och prövas.

Arbetet med att utveckla och effektivisera verksamheten bör bl.a. inne-
fatta följande:

-  Jämförelser med och lärande av andra (s.k. benchmarking).

-  Samverkan mellan myndigheter och med andra sektorer i samhället
för att ta till vara långtgående möjligheter till förbättringar för med-
borgare och företag.

26

-  Utveckling av målen för verksamheten samt mått och indikatorer på Skr. 2000/01:151
hur målen för verksamheten uppfylls.

- Uppföljning av medborgarnas åsikter om myndighetens verksamhet.
Resultatet av förändringsarbetet är beroende av såväl bra ledarskap som
kreativa medarbetare. Det är därför viktigt att vårda och medverka till att
skapa sådana arbetsförhållanden i myndigheterna.

6.1       Kvalitetsarbetet i staten

I den förvaltningspolitiska propositionen, Statlig förvaltning i medbor-
garnas tjänst, gör regeringen bedömningen att ett systematiskt kvalitets-
arbete bör ingå som en viktig del i varje myndighets arbete med att ut-
veckla sin verksamhet. Regeringen kommer därför att genomföra åtgär-
der för att bl.a. stimulera förvaltningen till att mer systematiskt arbeta
med att utveckla den totala kvaliteten i sin verksamhet. Därmed avses ett
systematiskt kvalitetsarbete som baseras på de kriterier som i dag anses
känneteckna framgångsrika organisationer, såsom kundorientering, enga-
gerat ledarskap, personalens delaktighet, kompetensutveckling, långsik-
tighet, ständiga förbättringar, lära av andra, samverkan m.m. Regeringen
inrättade 1999 myndigheten Statens kvalitets- och kompetensråd (KKR).
En av KKR:s uppgifter är att på regeringens uppdrag stödja, initiera och
informera övrig statsförvaltning om systematiskt kvalitetsarbete.

Utgångspunkter för kvalitetsarbetet

Kvalitetsarbetet bedrivs utifrån förutsättningen att följande tre punkter
bör vara gemensamma för olika varianter av systematiskt kvalitetsarbete:

-  Kvalitet definieras utifrån medborgar-/kundnyttan. Utgångspunkten
för systematiskt kvalitetsarbete är alltid medborgamas/kundemas ut-
talade eller outtalade behov.

-  Arbetet syftar till ständiga förbättringar. Det finns inget fastlagt slut-
mål för arbetet. Det finns alltid möjlighet att uppnå ytterligare förbätt-
ringar.

-  Hela organisationen skall delta i kvalitetsarbetet. Alla individer har
ett ansvar för att förbättra sin del i arbetsprocessen. Alla processer
inom organisationen skall omfattas av arbetet.

6.2      Kartläggning av kvalitetsarbetet

Statens kvalitets- och kompetensråd har låtit göra en enkätundersökning
bland 160 centrala och 40 regionala myndigheter. Alla centrala myndig-
heter med mer än 20 anställda har ingått i undersökningen. Svar har er-
hållits från totalt 188 myndigheter. Länsstyrelserna har undantagits från
undersökningen eftersom en liknande enkät nyligen har gjorts genom
Finansdepartementets försorg.

Huvuddelen av myndigheterna anser att effektiviteten har ökat och
kommer att öka ytterligare inom de närmaste åren som ett resultat av
kvalitetsarbetet. Drygt hälften av myndigheterna har en av ledningen

27

fastställd strategi och uppföljningsbara mål för kvalitetsarbetet. Ett stort Skr. 2000/01:151
antal myndigheter (42 procent) har fått i uppdrag från regeringen att
redovisa inriktning, omfattning och utveckling av sitt kvalitetsarbete.

I svaren på frågorna som rör myndigheternas förhållande till medbor-
garna, eller förhållandet till dem som verksamheten är till för, finns flera
tydliga tecken på en medveten och etablerad kundorientering. Hälften av
myndigheterna har något form av serviceåtagande gentemot medbor-
garna och 70 procent av myndigheterna gör regelbundna undersökningar
av kundtillfredsställelsen. Hälften av dessa kundundersökningar visar att
kunderna successivt har blivit mer nöjda. I de flesta myndigheter som gör
undersökningar (80 procent) har undersökningarna lett till olika åtgärder.
Förbättrad tillgänglighet och klagomålshantering är exempel på sådana
åtgärder som myndigheterna har vidtagit för att öka tillfredsställelsen hos
dem som verksamheten är till för.

6.3 Åtgärder för att stimulera systematiskt kvalitetsarbete

Den undersökning som KKR genomförde om hur kvalitetsarbetet ut-
vecklas inom statliga myndigheter påvisade vissa olikheter i kunskaper
om metoder och arbetssätt samt ett brett behov av erfarenhetsutbyte och
kollegiala kontakter. Detta har föranlett KKR att under de senaste året
bl.a. genomföra utbildningar och seminarier speciellt anpassade till olika
behov och för olika målgrupper: grundläggande kurser och seminarier i
kvalitetsarbete och kvalitetsmetoder med tonvikt på vad som haft fram-
gång i statlig verksamhet, seminarier för dem med speciell inriktning på
processkartläggning och processtyrning samt ett särskilt seminarium med
syftet att belysa kvalitetsarbetet i ett europeiskt perspektiv.

KKR har under året även introducerat ett särskilt kvalitetsinstrument
Common Assessment Framework, CAF, som utarbetats inom ramen för
ett samarbete mellan EU:s medlemsländer. Huvudsyftet med instrumen-
tet är att tillhandahålla en modell som är lätt att använda och lämplig för
självutvärdering av offentliga myndigheter i Europa. Flera myndigheter i
Sverige har prövat instrumentet och erfarenheterna har visat att det är ett
hjälpmedel att starta ett kvalitetsarbete i organisationen. Användningen
av modellen kan på sikt ligga till grund för erfarenhetsutbyte mellan
olika europeiska förvaltningar.

Regeringen har uppdragit åt KKR att inventera och lyfta fram goda
exempel inom centrala förvaltningspolitiska områden. Uppdraget som
genomförs i samarbete med Ekonomistymingsverket och Statskontoret
har inletts och de områden som särskilt fokuseras är myndigheternas
kontakter med medborgare, verksamhetsresultat och myndigheternas
systematiska arbetsmiljöarbete och andra personalpolitiska frågor med
koppling till systematisk verksamhetsutveckling. Resultatet av inven-
teringen beräknas vara klar till årsskiftet.

Även det arbete med servicedialoger, som redovisas under särskilt av-
snitt, är en åtgärd som stimulerar kvalitetsarbetet bland de berörda myn-
digheterna.

28

Resultatstyrningen vidareutvecklas

Skr. 2000/01:151

Regeringens bedömning: Införandet av politikområden i budgetpro-
cessen har resulterat i att budgetpropositionen fått ett tydligare verksam-
hetsfokus och lagt grunden för den fortsatta reformeringen av den eko-
nomiska styrningen i staten.

I arbetet med att utveckla och verksamhetsanpassa myndighetsstyr-
ningen är det angeläget att mål- och resultatdialoger även framöver ges
hög prioritet.

Vidareutvecklingen av resultatstyrningen utgår från de riktlinjer som
regeringen angav i den förvaltningspolitiska propositionen Statlig för-
valtning i medborgarnas tjänst (prop. 1997/98:136). De centrala punk-
terna för utvecklingen som angavs i nämnda proposition var:

-  förbättrad resultatinformation till riksdagen,

-  starkare politiskt engagemang i styrningen,

-  fortsatt verksamhetsanpassning av styrningen,

-  utveckling av Regeringskansliets arbetsformer.

Resultatstyrningen och den finansiella styrningen, som utgör den eko-
nomiska styrningen i staten, skall gemensamt skapa förutsättningar för
förbättrad information och ökad kunskap om den statliga verksamhetens
resultat och utvecklingsbehov m.m. och därmed ge bättre underlag inför
beslut om mål, inriktning och resursfördelning. Den ekonomiska styr-
ningen i staten skall bidra till god kontroll av statens finanser, en resurs-
fördelning i enlighet med politiska prioriteringar och en effektiv resurs-
användning.

Den ekonomiska styrningen fyller även en viktig funktion i förhållan-
det till förvaltningspolitikens övriga styrmedel genom att alla beslut som
far ekonomiska konsekvenser skall ingå i den årliga budgetprocessen.
Det sker genom att ekonomiska förutsättningar och mål för de statliga
verksamheterna läggs fast, men också genom att verksamhetsstymingen
till största delen sker inom ramen för budgetprocessen och de styr-
dokument som ingår i denna.

Arbetet med att utveckla resultatstyrningen har bl.a. resulterat i gemen-
samma principer för målformuleringar, ett ökat verksamhetsfokus i stats-
budgeten samt vägledningar för uppföljnings- och utvärderingsstrategier.

En viktig utgångspunkt för utvecklingen av den ekonomiska styr-
ningen är att förbättra möjligheterna att relatera mål till budgeterade
kostnader och att ställa resultatet av verksamheten mot faktiska och
totala kostnader. I de riktlinjer för utvecklingsarbetet, som riksdagen har
ställt sig bakom (bet. 1999/2000:FiU13), anges att den förbättrade kopp-
lingen skall åstadkommas genom att riksdagen beslutar om mål och
kostnader i en verksamhetsstruktur. Förslag om att reformera den eko-
nomiska styrningen har presenterats i departementspromemorian Eko-
nomisk styrning för effektivitet och transparens (Ds 2000:63). Departe-
mentspromemorian har remissbehandlats och bereds vidare.

29

7.1 Verksamhetsanpassad myndighetsstyrning

Resultatstyrningen har en bestämd betydelse inom ramen för den ekono-
miska styrningen, som innebär att målen i form av myndighetsprestatio-
ner eller effekter i samhället i större eller mindre utsträckning kopplas till
en statlig resursinsats. Den statliga sektorn omfattar en stor mängd verk-
samheter och åtaganden i form av offentliga tjänster, inkomst- och
resursöverföringar samt normgivning. De enskilda verksamheternas
syfte, karaktär och förutsättningar varierar emellertid och
resultatstyrningen måste därför anpassas till olika behov. Den måste med
andra ord verksamhetsanpassas. Det innebär att utformningen av
resultatstyrningen påverkas av flera faktorer, bl.a. andra förvaltnings-
politiska styrmedel, hur stor den statliga resursinsatsen är, vem som är
utförare, beslutssituation och tidsperspektiv. Styrningens utformning på-
verkas även av sådant som förändringar i omvärlden, den samhälls-
ekonomiska utvecklingen, beteendeförändringar, etc.

Seminarier om styrning

I det förvaltningspolitiska handlingsprogrammet anges att styrningen av
myndigheterna måste utvecklas och verksamhetsanpassas. I detta syfte är
en av åtgärderna att en seminarieserie skall genomföras med departement
och myndigheter för att utveckla en bättre och mer verksamhetsanpassad
styrning. Avsikten är att det under det kommande året skall genomföras
departementsvisa seminarier, där deltagarna utgörs av departements-
ledningar och de myndighetsledningar som sorterar under respektive
departement. Seminarierna är början på en process för att kontinuerligt
skapa en bättre styrning genom regelbundna informella och formella
kontakter.

Utveckling av mål- och resultatdialogerna

En regelbundet återkommande mål- och resultatdialog med myndighets-
chefema är ett viktigt instrument i regeringens styrning av myndig-
heterna. Ett grundläggande syfte är att följa upp myndigheternas verk-
samhet under det gångna året och utifrån denna kunskap diskutera verk-
samheten i ett framåtriktat perspektiv. Den årliga dialogen ger också
myndighetschefen möjlighet till ett personligt planeringssamtal med sin
politiska ledning.

Mål- och resultatdialogen består av två delar:

-  Verksamhetsdiskussionen utgör en återkoppling och avstämning av
verksamhetens mål, resultat och effekter, kompetensförsörjning, jäm-
ställdhet, kvalitetsarbete och organisation m.m. Återkoppling ges
också på myndighetens årsredovisning. Med måluppfyllelsen som
grund diskuteras och vid behov preciseras regeringens styrning av
myndigheten.

-  Planeringssamtalet ger myndighetschefen tillfälle att direkt med
departementsledningen diskutera sin arbetssituation och sitt behov av
att utveckla och förändra sitt ledarskap.

Skr. 2000/01:151

30

Mot bakgrund av de stora skillnaderna mellan myndigheterna bl.a. när
det gäller verksamhet och storlek måste såväl resultatdialogen som styr-
ningen i övrigt anpassas till respektive myndighet. För t.ex. en ny myn-
dighet fokuseras dialogen naturligen på måldiskussioner och den fram-
tida verksamheten. Dialogen vid en myndighet som är föremål för över-
syn inriktas snarare på verksamhetsresultatet som ett underlag för fram-
tida förändringar.

Ett långsiktigt utvecklingsarbete för att höja kvaliteten på dialogerna
mellan departementsledning och myndighetschefer pågår inom Rege-
ringskansliet. Regeringens årliga uppföljning av mål- och resultatdia-
logerna visar en kontinuerlig ökning i antalet genomförda verksamhets-
diskussioner. Under perioden 1995/96 till 2000 har antalet dialoger ökat
från ca 110 till knappt 170 genomförda mål- och resultatdialoger per år.
Inför dialogerna år 2001 har utvecklingsarbetet resulterat i omarbetade
råd för departementens planering och uppläggning av mål- och resultat-
dialogerna.

Skr. 2000/01:151

8 Staten som föredömlig IT-användare

Regeringens bedömning: Informationstekniken är ett kraftfullt redskap
för ökad tillgänglighet, öppenhet, insyn och effektivitet. Den är också ett
viktigt medel för att möta de stora pensionsavgångar förvaltningen står
inför i början av 2000-talet. Sverige ligger internationellt i en tätposition
när det gäller att utnyttja informationstekniken för att skapa en mer till-
gänglig och serviceinriktad offentlig förvaltning. Den stora spridningen
av datorer och Internet i de svenska hemmen ger goda förutsättningar för
en snabb utveckling av en kostnadseffektiv elektronisk förvaltning. De
statliga myndigheterna skall vara 24-timmarsmyndigheter, dvs. myndig-
heter som medborgare och företag kan nå elektroniskt dygnet runt för
informationsinhämtande och ärendehantering.

I propositionen Ett informationssamhälle för alla (prop. 1999/2000:86)
har regeringen lagt fast att den statliga förvaltningen skall vara ett före-
döme som aktiv användare av informationsteknik i den egna verksam-
heten och i samverkan med företag och medborgare.

8.1 Stor spridning av datorer och Internet

I ett internationellt perspektiv tillhör Sverige de ledande länderna när det
gäller befolkningens tillgång till persondatorer och Internet. Tre fjärde-
delar av befolkningen mellan 18 och 64 år hade år 2000 en dator i
hemmet. År 1995 var motsvarande tal 30 procent.

Att andelen ökat så kraftigt beror till stor del på möjligheten att köpa
dator via arbetsgivaren genom s.k. personalköpsavtal. Mer än 1,3 miljo-
ner datorer har köpts med dessa avtal och en fjärdedel av befolkningen
hade i september år 2000 utnyttjat denna möjlighet. Detta motsvarar en
tredjedel av alla med dator i hemmet.

31

Även tillgången till Internet i hemmet, på arbetet eller i skolan är Skr. 2000/01:151
mycket hög. 80 procent hade år 2000 möjlighet att använda Internet. Det
är en ökning med 55 procent sedan år 1998 då drygt hälften var anslutna.

Den stora spridningen av persondatorer med Intemetanslutning har
också inneburit en kraftig ökning i utnyttjandet av de elektroniska tjäns-
ter som erbjuds via Internet. Nästan 70 procent var år 2000 Intemet-
användare. Mellan 1998 och 2000 har användningen av elektroniska
banktjänster ökat mest av de tjänster som undersökts. År 2000 betalade
30 procent sina räkningar via Internet. Kontakterna med den offentliga
förvaltningen via Internet har också ökat kraftigt. År 2000 använde 27
procent Internet for att ta kontakt med eller uträtta ärenden hos statliga
myndigheter mot 11 procent två år tidigare.

I en internationell jämförelse ligger Sverige således långt framme när
det gäller att skapa ett informationssamhälle for alla. I denna utveckling
är medborgarnas tillgång till Internet av avgörande betydelse. Att 80
procent av den svenska befolkningen mellan 18 och 64 år har tillgång till
Internet innebär unika möjligheter för den offentliga förvaltningen. Den
moderna informationstekniken skapar förutsättningar för en förvaltning
som är mer tillgänglig för medborgarna och för att utveckla ännu bättre
och mer användbara elektroniska tjänster.

8.2 24-timmarsmyndigheter

Regeringens mål med det arbete som sammanfattas i begreppet 24-
timmarsmyndighet är att förenkla och förbättra samhällsservicen till
medborgare och företag. Det innebär att tillgången till service skall vara
oberoende av tid och plats, att kontakterna med myndigheterna skall
göras enklare och att kvaliteten i servicen skall förbättras. Informations-
tekniken skall användas för att underlätta för medborgarna att få tillgång
till information, som möjliggör ett aktivt deltagande i beslutsprocesserna
i den offentliga förvaltningen. Den skall också användas för att öka med-
borgarnas insyn och möjligheter att följa handläggningen och lämna syn-
punkter i enskilda ärenden. Härigenom stärks demokratin och öppen-
heten.

Övergången till 24-timmarsmyndigheter kräver resurser i form- av
engagemang hos personal samt investeringar i strukturering av informa-
tion och i informationsteknik. Men den ger också klara fördelar för myn-
digheterna själva. Allmän tillgång till elektronisk information och själv-
service kan ge stora effektivitetsvinster.

Ökad användning av informationsteknik ger också bättre förutsätt-
ningar att möta de stora pensionsavgångar som väntas i förvaltningen
under början av 2000-talet. Nya och mindre personalkrävande arbetssätt
gör det möjligt att bibehålla en fortsatt hög kvalitet i myndigheternas
service. Stimulerande och kompetensutvecklande arbetsuppgifter i sam-
band med den nya tekniken kan också öka förvaltningens attraktionskraft
som arbetsgivare för yngre generationer.

Utvecklingen av 24-timmarsmyndigheter får inte stå i motsättning till
traditionella och invanda kontaktformer. Samhällsservicen måste vara
tillgänglig via olika kanaler som personliga möten, vanliga brev, avance-
rad telefonservice, persondatorer och digital-TV. Medborgarna skall ha

32

möjlighet att använda sig av den form som passar bäst i varje enskilt fall. Skr. 2000/01:151
Samtidigt är det uppenbart att informationstekniken är ett kraftfullt red-
skap för ökad tillgänglighet, öppenhet, insyn och effektivitet. Därför
måste målet för varje myndighet vara att all information och service som
med bibehållen eller ökad kostnadseffektivitet kan tillhandahållas elek-
troniskt också skall göras så. Det är sedan myndigheternas sak att se till
att de elektroniska tjänsterna utformas och tillhandahålls på ett sådant
sätt att de kan användas av alla och inte utestänger grupper av medbor-
gare.

Kriterier för 24-timmarsmyndigheter

Som ett led i utvecklingen av 24-timmarsmyndigheter gav regeringen
den 9 december 1999 Statskontoret i uppdrag att ta fram ett förslag till
kriterier för begreppet 24-timmarsmyndigheter. Kriterierna skulle vara
enkla att mäta samt avspegla regeringens mål vad gäller myndigheternas
tillgänglighet. I uppdraget ingick att föreslå hur begreppet och kriterierna
kunde användas för att stimulera till ständiga kvalitetsförbättringar i
myndigheterna och deras service.

En redovisning av uppdraget lämnades i en rapport (dnr Ju 2000/2368)
till regeringen den 4 maj 2000. I rapporten 24-timmarsmyndighet - För-
slag till kriterier (Statskontoret 2000:21) lämnas ett förslag till en ut-
vecklingstrappa i fyra steg, som visar hur en myndighet kan förverkliga
målet att öka sin tillgänglighet och vara en 24-timmarsmyndighet. För-
slag lämnas också om hur Regeringskansliet och myndigheterna kan sti-
mulera och påskynda utvecklingen mot en elektronisk förvaltning.

De statliga myndigheterna har av Justitiedepartementet getts möjlighet
att lämna synpunkter på rapporten och också ombetts redovisa hur långt
de själva bedömer att de har kommit i att realisera begreppet 24-timmars-
myndighet. Av myndigheternas svar framgår att en majoritet har etable-
rat en närvaro på Internet och arbetar aktivt med att utveckla sina
webbplatser. Det framgår också att begreppet 24-timmarsmyndighet fått
en hög acceptans och fungerar som en drivkraft i myndigheternas ut-
veckling mot en ökad kundorientering.

Samtidigt efterlyser ett stort antal myndigheter en mera systematisk
samverkan, stöd och riktlinjer för utvecklingen och gemensamma lös-
ningar för handläggning av gemensamma ärenden mellan olika myndig-
heter. Ett hinder i utvecklingen är enligt en del myndigheter att det i in-
ledningsskedet krävs investeringar som inte kan finansieras med ratio-
naliseringsvinster under samma budgetperiod.

Tre 24-timmarsmyndigheter

Den elektroniska förvaltningen har börjat att ta form och 24-timmars-
service finns redan i dag hos ett antal statliga myndigheter. Arbetsmark-
nadsstyrelsen (AMS), Centrala studiestödsnämnden (CSN), och Riks-
skatteverket (RSV), erbjuder alla en bred service på Internet både för
privatpersoner och företag.

Dessa myndigheters webbplatser hör till de mer välbesökta och besö-
karantalet har ökat markant under de två senaste åren (tabell 8.1).

33

Tabell 8.1

Antal besökare på AMS, RSV:s och CSN:s webbplatser per månad Skr. 2000/01: 151
1998 och 2000, tusental och förändringar i procent

Myndighet

1998

2000

Tusental

Förändring
Procent

AMS

650/mån

1 700/mån

162

RSV

103/mån

272/mån

164

CSN

42/mån

210/mån

400

Källor: AMS, RSV, CSN och Statskontoret.

Stöd till utvecklingen av 24-timmarsmyndigheter

Regeringen har för att ytterligare påskynda utvecklingen uppdragit åt
Statskontoret den 7 juni 2001 att stimulera och stödja utvecklingen av
24-timmarsmyndigheter genom att tillsammans med myndigheterna ut-
veckla och tillhandahålla metoder, vägledningar och avtal samt initiera
och genomföra samverkansprojekt (dnr Ju 2000/2368F, 2001/4270F).

Arbetet skall utgå från analysen i rapporten 24-timmarsmyndighet -
Förslag till kriterier (Statskontoret 2000:21) och de synpunkter som läm-
nats i remissbehandlingen av denna. Det skall också grundas på en analys
av de ekonomiska konsekvenserna för myndigheterna av en övergång till
elektroniska tjänster och av de eventuella hinder som kan behöva undan-
röjas för att investeringar inom myndigheterna och i den gemensamma
infrastrukturen skall komma till stånd.

Arbetet skall syfta till att stimulera myndigheterna att bedriva ett aktivt
utvecklingsarbete för att förbättra sin tillgänglighet och service med hjälp
av informationstekniken, genom åtgärder som

-  att utforma konkreta mål och resultatmått för utvecklingsarbetet

-  att utveckla metoder för att analysera informations- och servicebehov
från ett kundperspektiv;

-  att utveckla former för en löpande uppföljning av myndigheternas
utveckling mot 24-timmarsmyndigheter,

-  att ta fram olika typer av vägledningar samt

-  att lämna förslag till en finansieringsmodell för investeringar i den
gemensamma infrastrukturen för myndigheternas informations-
försörjning och elektroniska kommunikation.

Arbetet skall bedrivas i bred samverkan med de statliga myndigheterna
och i kontakt med företrädare för kommuner, landsting och andra aktörer
av betydelse för denna utveckling. Annat pågående utrednings- och ut-
vecklingsarbete skall också beaktas. Uppdraget sträcker sig över två år
och Statskontoret skall varje halvår redovisa hur arbetet fortskrider i
lägesrapporter till regeringen.

8.3 Säker elektronisk överföring av dokument

Ett realiserande av 24-timmarsmyndigheten förutsätter att hög säkerhet
kan garanteras i den elektroniska överföringen av dokument och medde-
landen. Det är därför angeläget att snabbt få till stånd för statsförvalt-

34

ningen gemensamma säkerhetslösningar som innefattar system för han- Skr. 2000/01:151
tering av elektroniska signaturer.

Regeringen uppdrog den 2 mars 2000 åt Riksskatteverket (Ju
2000/517/F) att i samverkan med Riksförsäkringsverket, Patent- och
registreringsverket samt Statskontoret utreda och lämna förslag om hur
ansvaret för utfärdande och administration av certifikat och elektroniska
signaturer bör organiseras i statsförvaltningen.

Riksskatteverket har den 26 september 2000 i enlighet med uppdraget
till regeringen överlämnat rapporten Hantering av certifikat och elektro-
niska signaturer inom statsförvaltningen (dnr Ju 2000/439). I rapporten
föreslås bl.a. att regeringen i ett särskilt beslut uppdrar åt Riksskatte-
verket att ha ett sammanhållande ansvar för hanteringen av certifikat och
elektroniska signaturer inom statsförvaltningen.

Uppdrag till Riksskatteverket om elektroniska signaturer

Regeringen har mot denna bakgrund den 21 december 2000 gett i upp-
drag åt Riksskatteverket att under ett inledningsskede ha ett samman-
hållande ansvar för administration och certifikat för elektronisk identifie-
ring och elektroniska signaturer inom statsförvaltningen. En utvärdering
av verksamheten skall redovisas till regeringen senast den 1 mars 2003.

I uppgiften ingår att

-  utarbeta allmänna riktlinjer och gemensamma rutiner för certifikat-
hanteringen inom statsförvaltningen,

- samordna statsförvaltningens krav och behov inför upphandling och
avrop av certifikat och tillhörande tjänster för elektronisk identifie-
ring och elektroniska signaturer,

- samordna de myndighetsgemensamma tjänster som krävs för en väl
fungerande infrastruktur för användningen av elektroniska signaturer
i statlig verksamhet,

-  svara för information och vägledning till myndigheterna i dessa
frågor.

När hög säkerhet krävs bör den statliga förvaltningen i takt med att
marknaden utvecklas i så stor utsträckning som möjligt använda kvali-
ficerade certifikat enligt lagen (2000:832) om kvalificerade elektroniska
signaturer. Riksskatteverket skall noga pröva vilka lösningar som tillgo-
doser de säkerhetskrav som myndigheterna ställer i olika tillämpningar.

Riksskatteverket skall i genomförandet av uppdraget samverka med
Riksförsäkringsverket, Patent- och registreringsverket och Statskontoret.
Statskontoret genomför för närvarande en upphandling av certifikat och
tillhörande tjänster för elektronisk identifiering och elektroniska signa-
turer. Upphandlingen beräknas vara klar i november 2001 och skall
resultera i ramavtal, som myndigheterna har möjlighet att använda sig av,
för att tillgodose sina behov av säkerhetslösningar. I frågor som har an-
knytning till lagen om kvalificerade elektroniska signaturer skall Riks-
skatteverket bedriva arbetet i kontakt med Post- och telestyrelsen, som är
tillsynsmyndighet.

35

Översyn av lagstiftningshinder

En viktig uppgift för regeringen är att undanröja onödiga hinder mot en
ökad elektronisk kommunikation där en sådan bedöms som ändamåls-
enlig och effektiv. Exempel på sådana hinder kan vara de inom förvalt-
ningsrätten vanligt förekommande kraven på skriftlighet och egenhändigt
undertecknande av handlingar. För att skapa förutsättningar för en ökad
och säker elektronisk kommunikation har regeringen därför tagit initiativ
till översyner av lagstiftningen inom olika områden så att onödiga form-
krav, som förhindrar användning av elektroniska signaturer, tas bort.
Sådana översyner pågår nu på viktiga områden såsom skatte- och social-
försäkringslagstiftningen, och ytterligare initiativ för att påskynda ut-
vecklingen bereds för närvarande inom Regeringskansliet.

I departementspromemorian Några frågor om myndigheternas service
(Ds 2001:25) diskuteras bl.a. huruvida det i förvaltningslagen (1986:223)
bör föras in en uttrycklig skyldighet för myndigheterna att vara tillgäng-
liga för allmänheten per elektronisk post och telefax. En ändring i för-
valtningslagen föreslås där en sådan uttrycklig skyldighet förs in.

8.4      Samhällets grundläggande information

Målformuleringar för samhällets informationsförsörjning finns i riksda-
gens beslut efter två IT-propositioner (prop. 1995/96:125 och prop.
1999/2000:86) och i den förvaltningspolitiska propositionen. Det har
också genomförts ett omfattande utredningsarbete som på olika sätt berör
det allmännas ansvar för spridning av samhällets information i elektro-
nisk form.

I rapporten Samhällets grundläggande information (Ds 2000:34) har en
inventering av utredningsarbetet gjorts. Därefter har materialet analyse-
rats för att klarlägga vilket beslutsunderlag som finns inför förverkligan-
det av en strategi för samhällets informationsförsörjning. Slutligen läm-
nades ett antal konkreta förslag att gå vidare med. I utredningen, som har
remissbehandlats, föreslås bl.a. en modell som stöd för att avgöra när
information skall anses vara ett offentligt åtagande. Vidare föreslås att
vissa övergripande bestämmelser tas in i en förordning om samhällets
grundläggande information samt ett antal åtgärder för att bättre hantera
sektorsövergripande frågor. Slutligen läggs också förslag om insatser för
att få en bättre överblick över tillgänglig information, utveckling av ett
kvalitetssystem för grundläggande information och utredningsinsatser för
att finna fungerande modeller för finansiering av investeringar.

Förslagen i rapporten bereds för närvarande och kommer delvis att
samordnas med övriga insatser som rör statens informationsförsörjning.

8.5      Statens ansvar för infrastrukturen på IT-området

Den ökade användningen av IT inom förvaltningen och mellan förvalt-
ningen, medborgarna och företagen ställer krav på en anpassning av de
tjänster och den information som finns till nya förutsättningar. Insatser
för att förbättra nödvändig infrastruktur för grundtjänster, standarder,

Skr. 2000/01:151

36

gemensam terminologi, regelverk och organisation pågår på flera om- Skr. 2000/01:151
råden.

Mot bakgrund av den ökande användningen av IT i samhället, diskute-
ras utöver vad som redovisats ovan, en rad olika aktiviteter som rör sta-
tens ansvar för den infrastruktur som behövs för att med stöd av IT till-
handahålla och utveckla information och tjänster.

IT-kommissionen föreslog i en skrivelse till regeringen den 30 mars
2001 (Dnr ITK2001/18) att statsmakterna utvecklar formerna för plane-
ring, beredning och beslut om utveckling av informationsstrukturen samt
att statens roll och åtaganden klargörs rörande denna. Bland övriga för-
slag kan nämnas ett till Statskontoret om att bereda formerna för hur ett
strategiskt utvecklingsarbete kan ske samt att konkret samordna insat-
serna för standardisering, terminologi och sökfunktioner/metadata. Dess-
utom föreslog IT-kommissionen att ett antal pilotprojekt inom olika äm-
nesområden genomförs. Förslagen bereds för närvarande inom
Regeringskansliet.

I ett delbetänkande från Offentlighets- och sekretesskommittén om
Offentlighetsprincipen och den nya tekniken (SOU 2001:3) föreslås bl.a.
en utvidgad skyldighet att lämna ut allmänna handlingar. Det innebär att
den grundlagsfästa rätten att fa avskrift eller kopia av en allmän handling
i princip kommer att gälla generellt, oavsett i vilken form en handling
finns lagrad. Förslaget förväntas resultera i en proposition under hösten
2001.

Sverige Direkt - en elektronisk ingång till offentlig information

Staten, genom Regeringskansliet, inledde år 1997 ett samarbete med
Svenska kommunförbundet och Landstingsförbundet för att skapa en
gemensam portal på Internet som skulle kunna fungera som en vägvisare
till det offentliga Sverige. Arbetet drevs i projektform med gemensam
finansiering. Projektet går under namnet Sverige Direkt. Sedan år 1998
har riksdagen deltagit.

Regeringen beslutade den 25 maj 2000 att tillkalla en särskild utredare
för att föreslå hur Sverige Direkt i en permanent form skall utvecklas och
organiseras i framtiden. Den särskilde utredaren skall överväga hur man
tillgodoser behoven av samordning mellan denna verksamhet och annan
närliggande IT-baserad samhällsinformation, som rättsinformations-
systemet och Samhällsguiden. Utredaren fick även i uppdrag att ta över
ansvaret för drift och utveckling av portalen Sverige Direkt.

Utredaren har i juni 2001 till regeringen lämnat delbetänkandet
Offentliga Sverige på nätet (SOU 2001:63). I betänkandet redovisas
grunddragen i förslaget om den framtida organisationen, dess verksamhet
och finansiering. Utredaren föreslår att portalen Sverige Direkt även i
framtiden skall vara ingången till det offentliga Sverige på Internet och
att en samordning sker med Samhällsguiden och rättsinformationssyste-
met. Staten bör, enligt utredaren, vara huvudman och verksamheten be-
drivas i myndighetsform.

Utredaren skall enligt regeringens direktiv senast den 31 december
2001 i sitt slutbetänkande redovisa verksamhetens närmare inriktning
och resursbehov liksom förslag till finansiering.

37

Regler med kvalitet

9.1 Skrivelse till riksdagen om regelförenkling

I såväl förra årets skrivelse till riksdagen14 som i budgetpropositionen för
2001 angav regeringen ett delmål för regelförenklingsarbetet med sär-
skild inriktning på små företag. Målet är att regelverkens administrativa
börda för småföretag tydligt skall minska inom en treårsperiod.

Ett viktigt instrument för att uppnå enklare och mer ändamålsenliga
regler är den obligatoriska användningen av konsekvensanalyser vid
framtagandet av nya regler. Den tvingar fram en redovisning av för-
slagens effekter för ett litet företag och utifrån den redovisningen kan
sedan ett aktivt beslut tas om att införa regeln. I granskningen av nya
regler är därför konsekvensanalysen av stor betydelse.

Regeringen har nyligen överlämnat en skrivelse till riksdagen om
regelförenkling (skr. 2000/2001:143). I skrivelsen redogör regeringen för
tillämpningen av förordningen (1998:1820) om särskild konsekvens-
analys av reglers effekter för små företags villkor under 2000. Redovis-
ningen görs på tre nivåer. På myndighetsnivå bygger skrivelsen på de
årsrapporter som kommit in till regeringen, i enlighet med gällande för-
ordning. Arbetet i kommittéväsendet redovisas utifrån en intern uppfölj-
ning av till regeringen överlämnade slutbetänkanden. Redo-görelsen av
arbetet inom Regeringskansliet bygger på erfarenheterna under 2000.

Myndigheternas förenklingsarbete

Sedan hösten 2000 skickar myndigheterna för kännedom sina konse-
kvensanalyser till SimpLex-enheten (enhet som arbetar med regelförenk-
ling) vid Näringsdepartementet.

Totalt har 48 myndigheter rapporterat enligt Simplexförordningen.
Sammanfattningsvis uppger myndigheterna att tyngdpunkten vid regel-
förenklingsarbetet lagts vid en strävan att publicera mer förståeliga och
lättillgängliga regler. Andra myndigheter har lämnat exempel på att reg-
lerna i sig underlättar för de små företagen.

Myndigheterna har under 2000 sammantaget infört och ändrat i 984
föreskrifter och allmänna råd. Under 1999 var siffran 863. De har sam-
mantaget upphävt 291 föreskrifter och allmänna råd. Under 1999 var siff-
ran 318.

Ingen analys har gjorts av hur många av dessa föreskrifter och all-
männa råd som har konsekvenser för små företag. Myndigheternas redo-
visning har inte varit så heltäckande att det varit möjligt att göra en gene-
rell bedömning av vad statistiken rent faktiskt redovisar. Den enskilda
myndigheten har dock redovisat på samma sätt mellan åren, varför en
jämförelse, beskrivning över tid, ändå kan göras.

14 Regeringens redogörelse för regelförenklingsarbetet med särskild inriktning på små
företag, skr. 1999/2000:148.

Skr. 2000/01:151

38

Konsekvensanalyser på utredningsstadiet                                   Skr. 2000/01:151

Regeringen följer arbetet med regleringar från kommittédirektiv till lag-
förslag ur ett småföretagsperspektiv. Därvidlag har en översiktlig
granskning av de betänkanden som lämnades under 2000 genomförts. I
vissa fall har utredningars betänkanden kompletterats med att konse-
kvensanalyser genomförts av Regeringskansliet. I andra fall har särskilda
uppdrag lagts ut på berörda myndigheter att arbeta fram en konsekvens-
analys. I ytterligare andra fall har regeringen initierat en hearing för att
bl.a. belysa förslagens effekter för små företags villkor. Regeringen anser
att det är av utomordentlig vikt att konsekvensanalyser görs i ett så tidigt
skede som möjligt. Genomarbetade och fullständiga konsekvensanalyser
bör därför göras redan på utredningsstadiet.

Regler ur ett småföretagarperspektiv

Samtliga förslag på nya och ändrade lagar och förordningar som tas fram
inom Regeringskansliet och som kan ha konsekvenser för små företag
skall beredas gemensamt med SimpLex. Under 2000 har en systematisk
granskning av alla förslag på nya och ändrade regler inom Regerings-
kansliet prioriterats. Näringsdepartementet för, med början 2001, statistik
på alla förslag på nya och ändrade regler med konsekvenser för små
företag. Den granskande funktionen kommer att ytterligare effektiviseras
genom att interna samordningsmöjligheter inom Näringsdepartementet
kommer att tillvaratas.

Ett antal förslag på förenklingar av befintliga regler ur ett småföre-
tagarperspektiv har tagits fram under 2000. Dessa förslag bereds för när-
varande inom Regeringskansliet.

En enkätundersökning riktad till små och medelstora företag genom-
fördes av Näringsdepartementet under 1999 (kundundersökningen). Un-
dersökningen omfattade, förutom frågor om vissa myndigheters informa-
tion och service, även en fråga om regelverkens belastning. Av de till-
frågade företagen ansåg 58 procent att regelverken var betungande.
Näringsdepartementet avser att göra en liknande undersökning under
innevarande år.

En ansenlig del av de regler som omger små företag härstammar från
EG-lagstiftning. Det är av mycket stor vikt att även denna lagstiftning
föregås av konsekvensanalyser i tidiga skeden och att processer sker i
samverkan med representanter för små företag. Sverige kommer att fort-
sätta driva detta även efter ordförandeskapet i EU.

Det fortsatta arbetet med att ta fram regler som är bättre anpassade till
små företags villkor fortsätter således på bred front. De mest prioriterade
insatserna under 2001 är utbildningsinsatser och arbetet med att förenkla
de befintliga regelverken.

9.2 Studier av olika typer av regleringar

En översiktlig bedömning av olika typer av regleringar som gäller före-
tag och marknader har gjorts av OECD. Regleringarna sammanfattas i
två dimensioner. De avser dels vilka regler som gäller vid nyetablering

av foretag, dels vilka regler som gäller sedan ett företag väl etablerats Skr. 2000/01:151
(diagram 9.1).

Diagram 9.1 Administrativa etableringshinder och regelkomplexitet för
företag i OECD:s medlemsländer, rangordning på en skala 0-6

5

4.5 ■

<u
TJ

1c

4

cn _ _
o» 3,5 -
c

JU

ca

3 -

2,5 -

_>
ra

2 -

.2
c

1.5 •

t
■O

1

<

0,5 -

0 -

♦ Kanada

♦ UK

0

♦ Italien

♦ Frankrike

♦ Spanien

>• Österrike

4 Grekland

Portugal « Norge

♦ ♦ Nederländerna

♦ Australien

USA

0,5

1.5

♦ Tyskland

Finland

4 Belgien

Schweiz

Japan

Irland

♦ Nya Zeeland

4 Danmark

♦ Sverige

2,5

3,5

Regelkomplexitet

Källor: OECD, Economics department working paper no. 226 och Statskontoret. Anm. Ju
högre siffra desto större är etableringshindren respektive regelkomplexiteten (regulatory and
administrative opacity).

Studien visar att det är relativt lätt att starta foretag i Sverige. Antal myn-
dighetskontakter och tillstånd som behövs är farre och väntetiden på
myndighetsbeslut är inte lika lång i Sverige som i många andra länder15.
Det är endast i ett fatal länder och framfor allt i Danmark som det är
lättare. I Italien är de administrativa etableringshindren mycket större än i
något annat OECD-land.

Däremot är det svårare att fa grepp om de regler som företagen sedan
skall tillämpa i Sverige. Enligt studien far Sverige exempelvis låga betyg
bl.a. för avsaknaden av ett samlat stöd (one-stop shops) vid tillstånds-
givning. Endast i Japan tycks reglerna vara mer svårgripbara. Belgien
och Schweiz får heller inget högt betyg. Dessa tre länder har dessutom
fler administrativa etableringshinder jämfört med Sverige.

En medveten satsning har gjorts från den svenska regeringens sida för
att förbättra små och medelstora företags situation. Enligt en studie anser
drygt en tredjedel av de små och medelstora företagen i Sverige att det
inte finns några hinder för företagets verksamhet16. Det är betydligt fler
än EU-genomsnittet och bara Nederländerna har en större andel (diagram
9.2).

15 The OECD International regulation database.

16 Som små och medelstora företag avses företag med mindre än 250 anställda.
Undersökningen omfattade 8 000 små och medelstora foretag runt om i Europa. Ungefär
400 intervjuer genomfördes per land.

40

Diagram 9.2 Andel av små och medelstora företag som anger största hindret Skr. 2000/01:151
respektive att det inte finns hinder för företagets verksamhet 1999,
procent

Procent

Källor: EU-kommissionen, "The European Observatory for SMEs”, 6,n report och Statskon-
toret. Anm. Andelarna summerar inte till 100 på grund av att endast de andelsmässigt
största hindren redovisas här.

Av de svenska företagen tycker drygt en tiondel att administrativa
regleringar för exempelvis miljö, hälsa och säkerhet är det största hindret
för företagets verksamhet. Det är i paritet med genomsnittet för EU-
ländema. I länder som Tyskland och Frankrike uppgår andelen till 15
respektive nästan 20 procent, medan den i Finland, Portugal och Grek-
land är endast fem procent.

Det är emellertid inte regleringarna som de svenska små och medel-
stora företagen tycker är det största enskilda problemet, utan det är i
stället tillgången till finansiering.17

Det är ganska få, knappt en tiondel av företagen, som anser att brist på
kunnig arbetskraft utgör ett hinder för företagande. Det är i nivå med
genomsnittet för EU och problemet är betydligt större t.ex. på Irland och
i Portugal.

9.3 Mandelkemgruppen - strategi för samordnade åt-
gärder för regelförenkling

På de europeiska förvaltningsministramas initiativ vid deras möte den
7 november 2000 i Strasbourg tillsattes en särskild högnivågrupp som
fick i uppgift att "delta aktivt i förberedelserna för en strategi för sam-
ordnade åtgärder för regelförenkling", såsom uppdraget formulerats vid
det europeiska toppmötet i Lissabon i mars samma år. I gruppens arbete
deltar experter från både medlemsländerna och från kommissionen,

17 Av diagrammet framgår också att det finns andra hinder för företagen än de
svarsalternativ som gavs i studien. I genomsnitt utgjorde de 30 procent av svaren och
eftersom inga öppna svar tilläts går dessa inte att specificera.

41

■ vilket borgar för en nyttig korsbefruktning av olika perspektiv. Från Skr. 2000/01:151
Sverige deltar representanter från Justitie- och Näringsdepartementen.

Mandelkemgruppen har inlett ett intensivt arbete som resulterat i en
första rapport som publicerades ett par veckor före inremarknadsrådets
möte i mars 2001. Rapporten innehåller vissa rekommendationer på
några centrala områden som gäller regelförenkling och bättre regelkvali-
tet. Områdena är förenkling, kodifiering, samråd, konsekvensanalys och
institutionella strukturer.

Mandelkemgruppens arbete fick stöd i både inremarknadsrådets och
Stockholmstoppmötets slutsatser. Det betonades där att kommissionen
skall samarbeta med Mandelkemgruppen i framtagandet av strategin för
regelförenkling. Strategin kommer, i likhet med gruppens slutrapport, att
presenteras till toppmötet i Laeken i Belgien i december 2001.

Mandelkemgruppens slutrapport kommer att innehålla rekommenda-
tioner av både generell och specifik karaktär. Rekommendationerna
kommer att avse åtgärder för omedelbart genomförande och för genom-
förande på lång sikt. Rekommendationerna kommer att rikta sig till både
EG:s institutioner och medlemsländerna.

10 Staten som föredömlig arbetsgivare

Enligt det förvaltningspolitiska handlingsprogrammet skall staten vara en
föredömlig arbetsgivare. Regeringen har delegerat stora delar av arbets-
givarpolitiken till myndigheterna. Myndighetscheferna har ansvar för att
enskilt och tillsammans utforma arbetsgivar- och personalpolitiken. Syf-
tet med delegeringen är att myndigheterna skall använda arbetsgivar-
politiken som ett medel för att uppnå verksamhetens mål med hög effek-
tivitet och på ett sätt som inger förtroende hos medborgarna. Regeringens
uppgift är dels att formulera övergripande mål för de statliga arbetsgivar-
frågorna dels att följa upp myndigheternas arbetsgivarpolitik (se avsnitt
10.1).

Utgångspunkten för delegeringen är att arbetsgivarpolitiken skall
anpassas till verksamhetens behov. I detta ingår att de anställda är väl
förtrogna med målen för verksamheten, att arbetsförhållandena är goda
och att de anställdas kompetens och erfarenhet utvecklas och tas till vara.

Det delegerade arbetsgivaransvaret möjliggör för myndigheterna att ut-
forma organisation, arbetsprocesser och kompetensförsörjning med hän-
syn till verksamheten. Myndigheternas arbetsgivaransvar är därmed ett
strategiskt ledningsinstrument i kvalitetsarbetet som underlättar för myn-
digheterna att organisera utvecklingsarbetet så att anställda på alla nivåer
kan delta i utvecklingen av de interna arbetsprocesserna. När personal
och ledning samverkar i arbetet kan frågor om t.ex. arbetsvillkoren och
arbetsmiljön för de anställda integreras i utvecklingsprocessen. En bra
arbetsmiljö är också en kvalitetsfråga.

Staten skall vara attraktiv som arbetsgivare. Inte minst för att kunna
attrahera ung arbetskraft i takt med de stora pensionsavgångarna fram-
över.

42

10.1 Uppföljning av myndigheternas arbetsgivarpolitik

Regeringens bedömning: Det löpande arbetet fungerar fortsatt tillfred-
ställande på flertalet myndigheter. Medvetenheten om problemen med
den sneda åldersstrukturen i statsförvaltningen är hög men det finns ett
fortsatt behov av en än mer aktiv långsiktig planering på många myndig-
heter. Omkring en tredjedel av myndigheterna har anledning att bli be-
tydligt tydligare i sin redovisning till regeringen av kompetensförsörj-
ningsläget.

Utvecklingen mot en jämnare könsfördelning i staten går åt rätt håll.
Ytterligare aktiva åtgärder krävs dock för att åstadkomma samma möjlig-
heter till utveckling och befordran för kvinnor och män samt för att
minska löneskillnaderna mellan könen.

Totalt sett ligger personalrörligheten i staten på en rimlig nivå. Det
finns dock anledning att särskilt uppmärksamma åldersgruppen under 35
år.

Regeringen faster stor vikt vid en god arbetsmiljö på de statliga arbets-
platserna. Utifrån vad som framkommit såväl i enskilda myndigheters
redovisningar som i större studier bedömer regeringen att det finns all
anledning att ta dessa frågor på stort allvar. Regeringen förutsätter att
myndigheterna bedriver ett aktivt arbete på detta område.

Regeringen ser med tillfredställelse att medvetenheten på myndig-
heterna om den etniska och kulturella mångfaldens betydelse och poten-
tial har ökat markant de senaste åren.

En förutsättning för att delegeringen, från regeringen till myndigheterna,
av befogenheterna på det arbetsgivarpolitiska området skall fungera är att
myndigheterna tar ett aktivt arbetsgivaransvar. Detta kräver att målen för
kompetensförsörjningen och verksamheterna är tydligt sammankopplade.
Delegeringen kräver även att myndigheterna redovisar hur arbetet be-
drivs för att regeringen skall kunna följa utvecklingen och vid behov
vidta åtgärder.

Med anledning av detta införde regeringen under 1997 ett uppfölj-
ningssystem för arbetsgivarpolitiken. Detta omfattar samtliga myndig-
heter som lyder omedelbart under regeringen och bygger på att
regeringen årligen begär in uppgifter från myndigheterna om deras
arbetsgivarpolitik och de mål de har för denna. Dessa uppgifter ligger
sedan till grund för departementens löpande uppföljning av sina myndig-
heter, bland annat i de årliga mål- och resultatdialogerna, och för
regeringens övergripande bedömningar av den statliga arbetsgivarpoliti-
ken.

Regeringen redovisar årligen sin bedömning av den statliga
arbetsgivarpolitiken och dess utfall till riksdagen. Senast detta gjordes
var i Årsredovisning för staten 1999 (skr. 1999/2000:150).

Under år 2000 genomförde Statens kvalitets- och kompetensråd en
studie av de redovisningar som inkom under våren samma år, vilket följ-
des av uppföljande djupstudier av ett antal myndigheter. Arbetet resulte-
rade dels i rapporten ”Kompetensförsörjning i staten”, dels i broschyren
”Inspirerande kompetens”. I båda dessa dokument lyfts ett antal goda
exempel på arbete med kompetensförsörjning ute på myndigheterna
fram, i syfte både att inspirera till fortsatt utveckling av arbetet och att ge

Skr. 2000/01:151

43

återkoppling till myndigheterna. En följd av analysen var även upptäck- Skr. 2000/01:151
ten av behovet av ett instrument för kartläggning och analys av kompe-
tensbehov särskilt anpassat till statliga myndigheter. På uppdrag av
regeringen färdigställdes detta material av Statens kvalitets- och kompe-
tensråd våren 200118.

I det följande redovisar regeringen sina övergripande iakttagelser och
bedömningar för 2000. I de fall departementen gjort iakttagelser be-
träffande arbetsgivarpolitiken för enskilda myndigheter som riksdagen
bör informeras om, kommer dessa att redovisas under respektive utgifts-
område i budgetpropositionen för 2002.

Arbetsgivarpolitikens långsiktiga inriktning

Att myndigheterna bedriver en långsiktig och strategisk arbetsgivarpoli-
tik är av stor vikt för att de statliga verksamheterna skall vara bärkraftiga
över tid. Samtidigt finns många verksamhetsmål som kan innebära att
myndigheterna har att ta delvis andra, kortsiktiga, hänsyn.

I årets redovisningar av myndigheternas kompetensförsörjning fram-
kommer att ett antal myndigheter bedriver en medveten och strategisk
arbetsgivarpolitik. Luftfartsverket, Länsstyrelserna i Dalarnas, Gotlands
och Jönköpings län, NUTEK, Radio- och TV-verket och Riksskatte-
verket är några exempel på detta. Samtliga dessa myndigheter har redo-
visat tydliga mål som är kopplade till de verksamheter de bedriver samt
till hur kompetensförsörjningsläget ser ut i dag och inom den närmaste
framtiden. Exempel på andra myndigheter som har redovisat tydliga mål
för sin kompetensförsörjning är Domstolsverket, Högskoleverket,
Kommerskollegium, Länsstyrelsen i Västra Götalands län, Naturvårds-
verket, Riksförsäkringsverket, Statens energimyndighet och Överstyrel-
sen för civil beredskap.

Var tionde myndighet har inte redovisat några mål för sin kompetens-
försörjning och ytterligare nästan 20 procent av myndigheterna har ställt
upp mycket vaga mål. Ett fatal myndigheter har inte besvarat regerings-
uppdraget trots påminnelser. Regeringen kommer i samband med de år-
liga mål- och resultatdialogerna att särskilt uppmärksamma detta.

Observationer och bedömningar inom enskilda områden

I det följande redovisas regeringens observationer och bedömningar vad
gäller statsanställdas åldersstruktur, könsfördelning och rörlighet, liksom
myndigheternas arbete med arbetsmiljö och mångfaldsfrågor. Avsnittet
avslutas med en redogörelse av lönenivåer och utfallet av den senaste
avtalsperioden.

Åldersstruktur och generationsväxling

Staten är den sektor på arbetsmarknaden som har den i genomsnitt äldsta
personalstyrkan. Medelåldern för de statligt anställda var 44,8 år 2000,

18 Materialet heter ”Planera för kompetens - en handledning”, Statens kvalitets- och
kompetensråd, 2001.

44

vilket innebär en ökning med 0,2 år sedan 1999. Motsvarande för lands- Skr. 2000/01:151
tingen var 44,6 år, för kommunerna 43,2 år och för näringslivet 40,3 år.

Medelåldern för hela arbetsmarknaden uppgick till 41,3 år. En viktig för-
klaring till den höga medelåldern i staten är att många av dess verksam-
heter kräver personal med hög utbildningsnivå. Andelen akademiker är
högre i staten än i någon annan sektor på arbetsmarknaden. De struktur-
förändringar som genomförts inom den statliga sektorn under de senaste
tio åren har också betydelse för förändringen i personalens ålders-
sammansättning.

Som framgår av diagram 10.1 är också åldersstrukturen betydligt
ojämnare i staten än på arbetsmarknaden i sin helhet.

Diagram 10.1 Åldersfördelning i staten och på arbetsmarknaden totalt 2000,
procent

Källor: SCB:s arbetskraftsundersökningar, AKU och Statskontoret. Uppgifterna för staten har
hämtats från SCB:s arbetsmarknadsstatistik.

Omkring en tredjedel av statsförvaltningens personal är mellan femtio
och sextio år. De flesta av dessa finns i åldersgruppen 50-54 år och till-
hör den s.k. fyrtiotalistgenerationen. Samtidigt uppgår andelen unga,
under 35 år, till endast 24 procent i staten, medan motsvarande andel för
arbetsmarknaden totalt är 34 procent. Även andelen anställda över 60 år
är låg. Skillnaden i åldersstruktur mellan män och kvinnor är högst mar-
ginell.

Den sneda åldersfördelningen inom framför allt den offentliga sektorn
är ett problem som kommer att växa i takt med att fyrtiotalisterna lämnar
arbetsmarknaden för att gå i pension. Det kommer sannolikt att innebära
ett stort behov av nyanställningar av personal med ”rätt” kompetens. Ett
sätt att belysa problemet är att studera gruppen anställda som i dag är
femtio år eller äldre.

På arbetsmarknaden som helhet tillhör närmare 30 procent den grupp
som successivt kommer att gå i pension under de närmaste tio, femton
åren (diagram 10.2).

45

Diagram 10.2 Andelen anställda som är femtio år eller äldre i olika sektorer         Skr. 2000/01:151

på arbetsmarknaden, 1990, 1992, 1995, 1999 och 2000, procent

Källor: SCB:s arbetskraftsundersökningar, AKU och Statskontoret. Uppgifterna för staten har
hämtats från SCB:s arbetsmarknadsstatistik. Anm. Affärsverken ingår ej i staten.

Problemet med generationsväxling och kompetensförsörjning kan bli
störst i staten eftersom närmare 40 procent av de anställda är 50 år eller
äldre. Men även i landsting och kommuner tillhör en relativt sett betyd-
ligt större grupp denna ålderskategori än i näringslivet.

För statens del innebär detta att omkring 85 000 personer kommer att
avgå med ålderspension inom 15 år. Varje år avgår dock ett antal perso-
ner med pension före 65 års ålder, varför denna tidsperiod kan komma att
förkortas. Enligt Trygghetsstiftelsen är den genomsnittliga pensions-
åldern i praktiken mellan 60 och 61 år för statsanställda19. Till viss del
kan dock en låg reell pensionsålder komma att motverkas av den ändring
i lagen (1982:80) om anställningsskydd som innebär rätt att arbeta kvar
till 67 års ålder, som träder i kraft den 1 september 200120. Detta kan, när
ändringen far fullt genomslag, komma att innebära att ett antal personer
väljer att arbeta längre.

Trots att närmare 340 000 arbetstillfällen netto försvunnit från arbets-
marknaden mellan 1990 och år 2000 har antalet anställda som är 50 år
eller äldre ökat med närmare 210 000 eller drygt 20 procent. Det av-
speglar sig i att andelen stigit med 7 procentenheter. Det är de mellan 50
och 60 år som blivit fler, medan de allra äldsta, dvs. de över 60 år mins-
kat i antal.

Andelen anställda över femtio har stigit med accelererande hastighet i
den offentliga sektorn, medan ökningstakten i näringslivet har bromsats
upp under senare delen av 1990-talet.

I staten har andelen anställda över 50 år ökat markant under 1990-talet,
med 12 procentenheter. Förändringen i åldersstrukturen förklaras av att
besparingar och nedskärningar främst har minskat gruppen anställda

19 Källa: ”Långsiktig personalförsörjning inom staten och trygghetssystemets roll i denna”,
Trygghetsstiftelsen, PM 99-10-12.

20 Löpande avtal om en lägre ålder för avgångsskyldighet får dock fortfarande gälla längst
t.o.m. 31 december 2002.

46

under 50 år. Liksom inom landstingen har de statsanställda som är Skr. 2000/01:151
mellan 50 och 60 år ökat i antal. Uppgången sedan 1990 var dock betyd-
ligt större och uppgick till 30 procent, jämfört med 5 procent i lands-
tingen.

Under år 2000 fortsatte gruppen över 50 år att växa i hela den offent-

liga sektorn. Mest markant var ökningen i landstingen.

Diagram 10.3 visar hur åldersstrukturen har förändrats i staten under

det senaste årtiondet.

Diagram 10.3 Åldersfördelning i staten 1990, 1999 och 2000, procent

Redan 1990 kunde man se den stora andelen statsanställda födda under
1940-talet; dessa var då mellan 40-50 år gamla. I dag, tio år senare, har
den s.k. ålderspuckeln accentuerats ytterligare och flyttats tio år närmare
pensionsåldern. För varje år förskjuts puckeln något framåt. Mellan 1999
och 2000, under ett enda år, kan vi se att en något större andel har passe-
rat 55-årsstrecket och en något större andel är över 60.

De stora pensionsavgångarna är dock bara en sida av problemet med
den sneda åldersstrukturen i staten. Ett lika stort problem är den låga
andelen unga, som kan ge problem med kontinuitet och återväxt. Som
nämnts är endast en knapp Ijärdedel av de statsanställda under 35 år. Tio
år tidigare, 1990, var den andelen drygt 30 procent. En bidragande orsak
är det relativt ”unga” försvarets minskade andel av statsförvaltningen.

Pensionsavgångarna kan leda till allvarliga problem med kompetens-
försörjningen. Mycket kunskap och erfarenhet kommer att försvinna från
myndigheterna, samtidigt som stora nyrekryteringar sannolikt kommer
att behöva göras på kort tid. Rekryteringsläget kan försvåras av att ung
välutbildad arbetskraft med största sannolikhet kommer att bli en brist-
vara i takt med att befolkningen åldras. Betydligt närmare i tid kan det
också på vissa håll uppstå problem med att klara verksamheterna när en
stor andel av personalen närmar sig pensionsåldern och många snarare
blickar fram mot en pensionering än mot karriär och ökad arbetsbörda.
Generationsväxlingen kan dock även utgöra en möjlighet för vissa myn-
digheter att få in ny kunskap i organisationen. En omvärld i snabb för-

47

ändring medför behov av ny kompetens. I syfte att motverka problemen Skr. 2000/01:151
vidtar regeringen en rad åtgärder för att öka tillgången på arbetskraft
generellt i Sverige21. De statliga myndigheterna har en roll i detta genom
att i sina verksamheter försäkra sig om att varje individs kompetens ut-
nyttjas på bästa möjliga sätt.

Åldersstrukturen ser dock olika ut i olika sektorer av staten. Inom den
sysselsättningsmässigt största, universitets- och högskoleväsendet, samt
inom två andra stora områden, försvaret samt affärsverk och infrastruk-
tur, är medelåldern lägre än genomsnittet i staten. De övriga sju sekto-
rerna har samtliga en medelålder som överstiger genomsnittet på 44,8 år.
Allra högst är medelåldern inom området arbetsliv och omsorg (tabell
10.1).

Tabell 10.1 Medelålder i statens olika sektorer 1999 och 2000

Sektor

1999

2000

Arbetsliv, omsorg, utbildning

45,6

46,2

Uppdragsbaserad verksamhet

46,0

46,1

Kultur

45,7

45,7

Miljö, teknik, jordbruk

45,3

45,7

Länsstyrelser, regeringskansli, stabsmyndig-

45,4

45,6

heter

Ekonomi

45,4

45,5

Rättsväsendet

45,0

45,4

Affärsverk och infrastruktur

44,1

44,6

Universitet, högskolor, forskning

44,0

44,1

Försvaret

42,4

42,4

Staten totalt

44,6

44,8

Källa: Arbetsgivarverket.

Skillnaden i medelålder mellan män och kvinnor inom de olika sekto-
rerna är i flertalet fall mycket liten. Undantag utgör två sektorer där
andelen kvinnor är låg - omkring en femtedel - nämligen området
affärsverk och infrastruktur samt försvaret. Inom det förstnämnda är
kvinnorna i genomsnitt 5 år yngre än sina manliga kolleger. Andelen
kvinnor som är 55 år eller äldre inom denna sektor är så låg som 3 pro-
cent. Inom försvaret är förhållandet det omvända. Kvinnorna är i genom-
snitt 3 år äldre än männen medan de är förhållandevis få i åldersgruppen
under 35 år.

I årets redovisningar uppger 45 procent av myndigheterna att de ser
problem med sin åldersstruktur. Endast 15 procent bedömer att det inte
finns några sådana problem inom en överskådlig framtid. Förändringarna
i myndigheternas synsätt är marginella i jämförelse med föregående år.
Huruvida åldersstrukturen upplevs som ett problem för resterande 40
procent av myndigheterna har inte gått att utläsa ur redovisningarna. En
opinionsundersökning visar dock att 46 procent av de statliga myndig-
heterna ser problem på grund av det kommande generationsskiftet -
vilket stämmer väl överens med den bild som framkommer i myndig-

21 Se bl.a. den Ekonomiska vårpropositionen (prop. 2000/01:100).

48

hetemas kompetensredovisningar - och att 54 procent av myndigheterna Skr. 2000/01:151
inte upplever detta som ett problem. Det senare skulle kunna innebära att
de myndigheter som inte har kommenterat frågan i sina redovisningar
inte heller ser åldersstrukturen som ett problem22.

Några stora myndigheter och myndighetskoncemer som upplever
åldersstrukturen som ett problem är bl.a. Arbetsmarknadsverket, dom-
stolsväsendet, polisväsendet, skattemyndigheterna, Tullverket, vissa uni-
versitet och flera länsstyrelser. Bland dem som inte ser problem med
åldersstrukturen inom en överskådlig framtid återfinns främst små och
medelstora myndigheter.

Liksom tidigare år visar redovisningarna att mycket planering och för-
beredelser pågår ute på myndigheterna i syfte att underlätta det
kommande generationsskiftet. Ett antal myndigheter uppger att de arbetar
med olika typer av aspirantprogram, i några fall särskilt inriktat på
chefer. Några myndigheter, bl.a. Lantmäteriverket, Linköpings universi-
tet, Länsstyrelsen i Dalarnas län och Skolverket arbetar aktivt med olika
typer av samarbeten med högskolor och andra myndigheter. Andra
exempel på åtgärder är dubbelbemanning på viktiga poster och arbete för
att sprida befintlig kunskap i organisationen, bl.a. genom dokumentation
av arbetsmetoder och äldre medarbetares kunskaper.

Regeringen bedömer att medvetenheten ute på myndigheterna om pro-
blematiken kring generationsskiftet är mycket hög.

Könsfördelning

Fördelningen av män och kvinnor har blivit allt jämnare i staten de
senaste åren. Andelen kvinnor i staten uppgick år 2000 till nästan 44 pro-
cent, vilket innebär en ökning med en procentenhet sedan 1999. I kom-
muner och landsting, där många av yrkesgrupperna inom vård, skola och
omsorg är kvinnodominerade, är fyra femtedelar av personalen kvinnor.
Lägst är andelen i näringslivet där den uppgår till 36 procent. Staten är
därmed den sektor på arbetsmarknaden som har den jämnaste könsför-
delningen.

Könsfördelningen varierar dock kraftigt mellan olika typer av befatt-
ningar. I uppföljningssystemets redovisning, där myndigheterna själva
fått klassa sina medarbetares arbetsuppgifter, framkommer att endast 22
procent av de anställda med uppgift att planera och leda myndighetens
verksamhet är kvinnor. Denna andel har dock ökat något jämfört med
året innan. Detta kan jämföras med att av alla myndighetschefer ut-
nämnda av regeringen uppgår andelen kvinnor till närmare 28 procent.
Även bland personalen med kärnkompetens, dvs. sakområdeskompetens,
har andelen ökat, från 37 till 40 procent. Flest kvinnor återfinns i stöd-
och supportfunktionema23, där de utgör 60 procent. Den uppgiften är
oförändrad jämfört med 1999. Detta indikerar att när andelen kvinnor har
ökat så är det framför allt till de mer kvalificerade eller sakområdes-
inriktade tjänsterna som dessa kvinnor har sökt sig.

22 Källa: ”Uppföljning av informationsinsatser - En förvaltning i demokratins tjänst”,
Siforapport 2001-06-14, utförd på beställning av Justitiedepartementet.

231 stödkompetensen ingår personal utan specifik sakområdeskompetens inom
myndighetens verksamhetsområde, t.ex. administration, IT-stöd, vaktmästeri osv.

49

Även mellan olika sektorer i staten skiljer sig fördelningen av män och Skr. 2000/01:151
kvinnor mycket. Högst andel kvinnor, omkring 60 procent, finns inom
området ekonomi samt arbetsliv och omsorg. Inom typiskt mansdomine-
rade områden såsom försvaret och sektorn affärsverk och infrastruktur är
endast en av fem anställda kvinnor. Bara sektorn universitet, högskolor
och forskning har en helt jämn könsfördelning totalt sett. Även här finns
dock skillnader för olika befattningar.

Regeringen bedömer att utvecklingen mot jämnare könsfördelning i
staten går åt rätt håll. Den noterar dock att ytterligare aktiva åtgärder
krävs för att åstadkomma samma möjligheter till utveckling och beford-
ran för kvinnor och män samt för att minska löneskillnaderna mellan
könen24.

Personalrörlighet

En omvärld i snabb förändring ställer stora krav på flexibilitet i de stat-
liga myndigheternas verksamhet. En förutsättning för flexibilitet och för-
nyelse är rörlighet hos personalen. Om omsättningen blir alltför stor upp-
står dock problem med kontinuiteten och kostnaderna för bl.a. inskolning
av nyanställda blir höga.

För statsförvaltningen i sin helhet ligger personalrörligheten25
nästan 12 procent. Andelen är marginellt högre jämfört med 1999. Som
framgår av diagram 10.4 är rörligheten högst för dem under 35 år, för att
sedan avta med stigande ålder. Jämfört med 1999 har rörligheten ökat
ytterligare, med tre procentenheter, för dem under 35 år, medan situa-
tionen är oförändrad för övriga åldersgrupper. Som vi tidigare sett är
dock andelen statsanställda under 35 år förhållandevis låg, varför det
totala genomsnittet endast påverkas marginellt. Män har i genomsnitt
lägre rörlighet än kvinnor.

24 Se även avsnittet om löner på s. 55 ff.

25 Rörligheten definieras här som lägst av antalet nyanställda och avgångna dividerat med
genomsnittligt antal anställda under perioden.

50

Skr. 2000/01:151

Diagram 10.4 Personalrörlighet för statsanställda fördelade efter kön och
ålder, september 1999-september2000, procent

Källa: Arbetsgivarverket.

I de statliga myndigheternas ledning är rörligheten totalt sett lägre än för
andra kategorier av anställda. Det gäller både för män och för kvinnor.
Det är framför allt i åldersgruppen under 35 år som skillnaden blir tydlig,
då rörligheten i denna grupp endast är hälften så stor som den genom-
snittliga för de statsanställda i. samma ålder (diagram 10.5).

Diagram 10.5 Personalrörlighet för statligt anställd personal med uppgift att
planera och leda myndighetens verksamhet,
september 1999-september 2000, procent

Källa: Arbetsgivarverket.

En annan skillnad mellan statens chefer och totalsiffrorna är att männen i
genomsnitt byter arbetsplats oftare än kvinnorna. I den yngsta ålders-
gruppen är skillnaden markant.

51

Under 2000 nyrekryterades omkring 18 600 personer till den statliga Skr. 2000/01:151
sektorn, samtidigt som omkring 21 000 personer lämnade den. Som
framgår av tabell 10.2 är avgångarna förhållandevis jämnt fördelade över
åldersgrupperna, medan majoriteten av de nyrekryterade är under 35 år.

Lägst andel avgångar liksom nyrekryterade fanns bland dem som var 55
år eller äldre.

Tabell 10.2 Nyrekryteringar till och avgångar från den statliga sektorn 1999 och
2000, procent

Alder

Nyrekryteringar
Procent

Avgångar
Procent

1999

2000

1999

2000

-34

57

57

35

36

35-54

39

38

38

39

55-

5

5

27

25

Källa: Arbetsgivarverket.

Regeringen bedömer personalrörligheten i staten på övergripande nivå
som rimlig. Mot bakgrund av den förhållandevis höga rörligheten bland
personalen under 35 år och behovet av att kunna behålla de unga inför
det kommande generationsskiftet anser dock regeringen att det är särskilt
angeläget att myndigheterna uppmärksammar denna grupp av anställda.
Som framgår på s. 59 satsar de statliga arbetsgivarna redan i dag löne-
mässigt på de yngre anställda. Det är dock av stor vikt att staten använder
fler instrument än lönesättningen för att bli en attraktiv arbetsgivare26.

Arbetsmiljö

Med en ökande konkurrens om arbetskraften är myndigheternas åtgärder
för att skapa stimulerande och kreativa arbetsplatser med en god arbets-
miljö av stor betydelse för statens långsiktiga kompetensförsörjning.
Regeringens uppföljning av arbetsgivarpolitiken har därför i år även
fokuserat på myndigheternas arbete att skapa en bra arbetsmiljö för de
anställda. De myndigheter som har vidtagit åtgärder inom området som
kan ges spridning som goda exempel har ålagts att särskilt redovisa detta.

En ijärdedel av de redovisande myndigheterna har uppgivit att de vid-
tagit åtgärder i syfte att skapa en god arbetsmiljö för sina anställda. Den
vanligast förekommande åtgärden var förebyggande arbete i form av
friskvård. Ett par myndigheter har uppgivit att detta kan ske på betald
arbetstid. Många myndigheter har också kartlagt hur de anställda upp-
fattar sin arbetsmiljö och arbetssituation. Resultaten av dessa undersök-
ningar har sedan ofta lett vidare till handlingsplaner och olika typer av
uppföljande arbete. Integrationsverket har bland annat även erbjudit

26 Ett gott exempel på projekt som genomförts i syfte att finna vägar att öka en arbetsplats
attraktionskraft är den studie - den s.k. REX-rapporten - av yngre akademikers värderingar
kring arbete och arbetsplats som genomfördes på uppdrag av Riksförsäkringsverket i
samarbete med Linköpings universitet våren 2000. Ett annat, liknande initiativ, är de olika
ungdomsgrupper som bildats inom länsstyrelserna och som bl.a. fokuserar på de yngres
behov.                                                                                            52

nyckelpersoner utbildning och certifiering i arbetsmiljö från företags- Skr. 2000/01:151
hälsovården.

Vid sidan av myndigheternas egna redovisningar av arbetsmiljöarbetet
har Arbetsgivarverket låtit genomfora en bearbetning hos Statistiska
centralbyrån av Arbetarskyddsstyrelsens arbetsmiljöundersökning 1999.
Resultatet redovisas i en rapport av Arbetsgivarverket27. I rapporten har
resultaten bearbetats med syfte att jämföra statsanställdas arbetsför-
hållanden med förhållanden för anställda inom andra arbetsgivarsektorer.
Av studien framgår bl.a. att en större andel statligt anställda, jämfört med
samtliga sysselsatta, uppger att de har variation och frihet i arbetet och en
mindre del bedömer att de har ett fysiskt ansträngande arbete. En annan
iakttagelse i studien är att de statsanställda upplever att de erbjuds större
möjlighet att lära nytt och utvecklas i arbetet än anställda i övriga sekto-
rer på arbetsmarknaden. Andelen anställda som upplever att de kan på-
verka sina arbetstider är också högre än i övriga sektorer. Den negativa
sidan av detta är att en högre andel av de anställda i staten upplever att
man har svåra arbetsuppgifter och ett mer psykiskt påfrestande arbete
jämfört med andra grupper av anställda. De upplever även att de får för
lite stöd och hjälp från kamrater och chefer. Detta avspeglas också i att
det inom staten finns en högre andel än genomsnittet på arbetsmarknaden
som inte kan koppla av tankarna från jobbet under fritiden och som
misströstar på grund av svårigheter i arbetet. Jämförs 1999 års undersök-
ning för hela arbetsmarknaden med undersökningen som genomfördes
1997 har andelen som uppger dessa typer av besvär ökat.

Med anledning av bl.a. arbetsmiljöundersökningen från 1999 har
Arbetsgivarverket sammanställt rapporten ”Effektivitet och arbetsglädje
- ett diskussionsunderlag för chefer om arbetsmiljö”. Ett konstaterande i
rapporten är att om statliga myndigheter skall kunna rekrytera, utveckla
och behålla medarbetare och därigenom få en effektiv verksamhet kanske
det inte räcker med att uppfylla arbetsmiljölagens minimikrav. En positiv
utveckling, som presenteras i Arbetsgivarverkets prognosbarometer för
2001, är att övertidsarbetet i staten visar tecken på att minska.

Regeringen tillsatte i januari 2000 en arbetsgrupp med uppgift att ana-
lysera den stora ökningen av arbetsbetingad ohälsa som har samband
med stress och andra organisatoriska och sociala faktorer. Arbets-
gruppens uppgift har varit att på grundval av analysen ta fram en hand-
lingsplan som anger en strategi för att komma till rätta med utvecklingen
av den arbetsbetingade ohälsan. En slutrapport (Ds 2001:28) från arbetet
presenterades i maj 2001. Den strategi som vuxit fram av arbetsgruppens
arbete är att synen på arbetsmiljöarbetet måste förändras. Arbetsvillkoren
och arbetsmiljön har betydelse för verksamhetens resultat. Dessa frågor
bör tydliggöras och föras ut till ledning och chefer i staten och kommu-
ner såväl som till privata näringslivet. Arbetsgruppen föreslår därför bl.a.
en trepartsdialog mellan regeringen och arbetsmarknadens parter.
Arbetsmiljöproblem och stressrelaterad ohälsa i arbetslivet är komplexa
problem som fordrar en samsyn samt breda och samstämmiga åtgärder
för att minska den arbetsrelaterade ohälsan.

27 ”Arbetsmiljöstatistik för den statliga sektorn - en bearbetning av
arbetsmiljöundersökningen 1999”, Arbetsgivarverket 2001.

53

Regeringen fäster stor vikt vid en god arbetsmiljö på de statliga arbets- Skr. 2000/01:151
platserna. Utifrån vad som framkommit såväl i enskilda myndighetens
redovisningar som i större studier bedömer regeringen att det finns all
anledning att ta dessa frågor på stort allvar. Regeringen förutsätter att
myndigheterna bedriver ett aktivt arbete på detta område. Regeringen har
från sin sida för avsikt att fördjupa sitt arbete med arbetsmiljöfrågor i
staten.

Etnisk och kulturell mångfald

Regeringen har vid ett flertal tillfallen betonat vikten av mångfald i
arbetslivet. I den integrationspolitiska propositionen (prop. 1997/98:16)
som antogs av riksdagen hösten 1997 framhåller regeringen att mång-
falden bör genomsyra arbetslivet och att staten har ett särskilt ansvar som
föredöme.

I den förvaltningspolitiska propositionen (prop. 1997/98:136) betonar
regeringen den kvalitets- och kompetenshöjning som kan uppnås genom
ökad etnisk och kulturell mångfald hos personalen. Regeringen har där-
efter beslutat om olika åtgärder för att få ett integrationspolitiskt per-
spektiv att genomsyra utformningen och genomförandet av den allmänna
politiken.

Regeringen anser att personalen i staten bör avspegla den arbetsföra
befolkningens etniska sammansättning. Detta är av stor vikt såväl för
kvaliteten i verksamheterna som för den demokratiska legitimiteten.

Som ett led i arbetet för att uppnå detta uppdrog regeringen i oktober
1999 åt samtliga myndigheter som lyder omedelbart under regeringen att
upprätta handlingsplaner för att främja etnisk mångfald bland sina
anställda. Årets redovisning av myndigheternas kompetensförsörjning är
den andra i ordningen där arbetet med handlingsplanerna har kunnat föl-
jas upp.

En tydlig trend i myndigheternas redovisning av sin kompetensförsörj-
ning är en markant ökad medvetenhet om mångfaldens betydelse och
potential. I årets redovisningar har drygt 70 procent av myndigheterna
uppgivit att de vidtagit någon typ av aktiva åtgärder för att främja den
etniska mångfalden bland personalen. I föregående års redovisningar var
motsvarande andel drygt hälften och året innan dess knappt 10 procent
(tabell 10.3).

54

Skr. 2000/01:151

Tabell 10.3 Andel myndigheter som i redovisningarna uppgivit att de vidtar
åtgärder för att främja etnisk mångfald bland personalen, 1998,
1999 och 2000, procent

1998

1999
Procent

2000

Aktiva åtgärder

10

53

71

Handlingsplan färdigställd

_*

11

33

Handlingsplan påbörjad

_★

20

13

Handlingsplan planeras under året

*

14

6

*Vid 1998 års redovisning hade regeringen ännu inte uppdragit åt myndigheterna att upp-
rätta en handlingsplan.

En viktig förklaring till ovanstående utveckling är att allt fler myndig-
heter, i enlighet med regeringens beslut, utarbetar handlingsplaner i syfte
att främja mångfalden. En tredjedel av myndigheterna uppger att de har
upprättat en handlingsplan. Det kan jämföras med året innan då mot-
svarande andel var 11 procent. Ytterligare 13 procent av myndigheterna
uppger att arbete med att ta fram handlingsplaner pågår och 6 procent att
de planerar att starta arbetet under året.

En mängd aktiviteter pågår dock även vid sidan av arbetet med hand-
lingsplaner. För flera myndigheter har utarbetandet av handlingsplaner
bara varit ett sätt att formalisera det arbete som redan bedrivs. Exempel-
vis har många myndigheter sett över sina rekryteringsrutiner och genom-
fört seminarier, diskussioner och informationsinsatser för att öka medar-
betarnas kunskaper och medvetenhet. I flera verksamheter, bl.a. inom
universitets- och högskoleväsendet, utgör ett stort internationellt utbyte
sedan länge en naturlig del av arbetet.

Utöver de uppgifter som framkommit i myndigheternas redovisningar
av sin kompetensförsörjning har ytterligare ett antal myndigheter redo-
visat sitt arbete separat till Näringsdepartementet. Sammantaget ger detta
en än mer positiv bild av myndigheternas arbete med att ta fram hand-
lingsplaner.

Regeringen bedömer, och ser med tillfredställelse, att medvetenheten
ute på myndigheterna om den etniska och kulturella mångfaldens be-
tydelse och potential har ökat markant de senast åren. Regeringen har för
avsikt att även fortsättningsvis fasta stor vikt vid denna fråga.

Lönenivåer

Den genomsnittliga lönen för det statliga kollektivet låg i september
2000 på 21 700 kronor. Männen tjänar genomgående mer än kvinnorna
över ålderskategorierna. Den genomsnittliga månadslönen för män var
23 040 kronor och för kvinnor 19 910 kronor. Detta motsvarar en kvinn-
lig löneandel på 86 procent av männens lön. Skillnaden är minst bland de
yngsta och ökar med stigande ålder (diagram 10.6).

55

Diagram 10.6 Genomsnittslöner för statsanställda fördelade efter kön och ålder, Skr 2000/01'151
september 2000

Källa: Arbetsgivarverket. Anm. Uppgifterna avser fast lön för identiska individer, varför de
skiljer sig något jämfört med uppgifterna för hela det statliga kollektivet.

Förklaringarna till löneskillnaderna är flera. Att de statsanställda männen
i genomsnitt har högre utbildning och oftare innehar högre befattningar
är två viktiga faktorer som påverkar lönen. Vid jämförelser där hänsyn
tas till likartade arbetsuppgifter ökar kvinnornas andel av männens lön
till 96 procent28. Andelen är oförändrad jämfört med 1999. De resterande
4 procenten har dock inte kunnat förklaras med stöd av statistiken.

Liksom tidigare år har regeringen ålagt myndigheterna att redovisa
vilket arbete som bedrivs för att kartlägga och eliminera eventuella osak-
liga löneskillnader, men även vilka åtgärder som vidtas för att ge män
och kvinnor lika goda möjligheter till utveckling och befordran.

I årets redovisning har två tredjedelar av myndigheterna uppgett att de
vidtar aktiva åtgärder i syfte att eliminera eventuella osakliga löneskill-
nader mellan könen. Detta är en tydlig ökning jämfört med förra årets
redovisningar då endast drygt hälften av myndigheterna uppgav det-
samma. Även gällande åtgärder för att ge kvinnor och män lika goda
möjligheter till utveckling och befordran indikerar årets redovisningar ett
ökat engagemang. På den punkten har omkring hälften av myndigheterna
uppgivit att de vidtar aktiva åtgärder, att jämföra med fyra av tio året
innan. Regeringen följer med stort intresse vad detta kommer att innebära
för löneskillnaderna mellan kvinnor och män.

Den 1 januari 2001 trädde en rad skärpningar av jämställdhetslagen i
kraft. Förändringarna innebär bl.a. att en definition av begreppet likvär-
digt arbete förts in i jämställdhetslagen. Arbetsgivare åläggs att varje år
kartlägga och analysera dels bestämmelser och praxis om löner och andra
anställningsvillkor som tillämpas hos arbetsgivaren, dels löneskillnader
mellan kvinnor och män som utför arbete som är att betrakta som lika
eller likvärdigt. Syftet med lönekartläggningen och analysen skall vara

28 Uppgifterna har tagits fram av Arbetsgivarverket med hjälp av
tjänstenomenklatursystemet TNS (nyckel för statistikanalys).

56

att upptäcka, åtgärda och förhindra osakliga skillnader i lön och andra Skr. 2000/01:151
anställningsvillkor mellan kvinnor och män. Vidare skall arbetsgivaren
varje år upprätta en handlingsplan for jämställda löner med redovisning
av resultatet av kartläggningen och analysen. Skyldigheten att upprätta
en plan gäller dock inte arbetsgivare som vid senaste kalenderårsskifte
sysselsatte färre än tio arbetstagare.

Löneutveckling

Budgetåret 1993/94 infördes ramanslagssystemet, vilket var en förutsätt-
ning för att regeringen skulle kunna delegera arbetsgivaransvaret och
ombilda den statliga arbetsgivarorganisationen. De statliga myndig-
heterna har nu fullt kostnadsansvar för den lönepolitik de bedriver. Sedan
reformerna genomfördes har myndigheterna genomfört lokala löne-
revisioner i enlighet med de centrala löneavtalen RALS 1993-1995,
RALS 1995-1998 samt RALS 1998-200129.

En viktig slutsats som kan dras av den jämförande lönestatistik som
finns tillgänglig för tiden efter den arbetsgivarpolitiska reformen är att
löneutvecklingen inom det statliga avtalsområdet över tid har följt den på
arbetsmarknaden i övrigt förhållandevis väl (diagram 10.7). Under den
första femårsperioden efter reformens genomförande uppgick löne-
ökningstakten i tre av fyra sektorer till omkring 27 procent. I den
kommunala sektorn uppgick löneökningen till knappt 17 procent under
samma period.

Diagram 10.7 Genomsnittlig löneökningstakt i olika sektorer på arbetsmarknaden
1994-1999

Källa: SCB. Anm. Uppgifterna är rensade med hänsyn till strukturella förändringar i utbild-
ningsnivå, ålder och kön.

Under våren 2001 har Arbetsgivarverket haft möjlighet att sammanställa
det totala utfallet av löneutvecklingen under den senaste avtalsperioden,
RALS 1998-2001. I och med att de lokala lönerevisionerna ute på myn-

29 Förkortningen RALS står för Ramavtal om löner m.m. för arbetstagare hos staten m.fl.

57

digheterna infaller vid olika tidpunkter under avtalsperioden kan löne- Skr. 2000/01:151
utveckling mätt under ett enskilt år bli missvisande. Faktisk löne-
utveckling över en hel avtalsperiod ger istället den mest rättvisande
bilden. Med anledning av detta redovisar vi nedan utfallet for hela
avtalsperioden, i flertalet fall beräknat som årstakt i syfte att fa uppgif-
terna så överskådliga och jämförbara som möjligt.

Avtalsperioden RALS 1998-2001

Statistiken från september 1997 till september 2000 täcker i genomsnitt
34 av de 36 månader som RALS-avtalet omfattar. Resterande två måna-
der motsvarar ett löneökningsutrymme på ytterligare 0,7 procent. I det
följande redovisas den uppskattade löneökningen för hela avtalsperioden,
dvs. samtliga 36 månader.

Löneökningen för hela det statliga kollektivet under avtalsperioden
uppgick till 11,3 procent, rensat för strukturella effekter30. Det motsvarar
en årstakt på 3,6 procent.

I syfte att få fram en ännu tydligare bild av faktisk löneutveckling kan
man även mäta denna för identiska individer, dvs. individer som varit
anställda vid samma myndighet vid båda mättillfällena. Det innebär att
förändringar i personalens sammansättning, t.ex. vad gäller ålder och
yrkesprofil, som kan uppstå vid avgångar och nyanställningar, inte på-
verkar uppgifterna. Löneutvecklingen för identiska individer är i regel
högre än den för kollektivet, eftersom samtliga löneökningar till följd av
tariffuppflyttningar, befordringar m.m. då far fullt utslag. Under avtals-
perioden uppgick löneökningarna mätt på detta sätt till 14,6 procent,
motsvarande en årstakt på 4,6 procent.

Löneutvecklingen för de yngre har i såväl procentuella som absoluta
tal varit högre än för de äldre (diagram 10.8). Allra tydligast är detta för
personalen under 35 år. Procentuellt har löneökningen varit mer än
dubbelt så hög för denna grupp jämfört med för dem över 55 år. I och
med att lönenivåerna för de yngre generellt sett är lägre är dock skillna-
den i absoluta tal mindre markant. Uppgifterna tyder på att lönen an-
vänds som ett instrument för att minska rörligheten bland de yngre.

30 Med strukturella effekter avses här förändringar i statistikpopulationens yrkes- och
ålderssammansättning som har påverkat förändringen av genomsnittslönen.

58

Diagram 10.8 Löneutveckling i årstakt för statsanställda, identiska individer,         Skr. 2000/01:151

fördelade på kön och ålder under avtalsperioden RALS 1998-2001,
procent

Källa: Arbetsgivarverket. Anm. Uppgifterna avser september 1997-september 2000, varför
uppgifterna skiljer sig marginellt från den beräknade årstakten för hela avtalsperioden.

Män har haft en något bättre löneutveckling än kvinnorna under perio-
den, 4,7 att jämföra med 4,6 procent. Detta innebär att kvinnornas andel
av männens lön har minskat marginellt under perioden. På de mer kvali-
ficerade befattningarna har löneutvecklingen varit högre jämfört med de
mindre kvalificerade arbetena. I de högsta skikten har kvinnornas löne-
utveckling varit markant högre än männens. Att kvinnorna totalt sett
ändå fatt en något lägre procentuell löneutveckling förklaras av att an-
delen kvinnor ännu är förhållandevis låg på mer kvalificerade befatt-
ningar.

Utvecklingen skiljer sig något åt mellan olika delar av staten. Beräknat
i årstakt har löneökningarna varierat mellan 4,1 och 5,4 procent (diagram
10.9).

59

Diagram 10.9 Löneutveckling i årstakt, för identiska individer, under                 Skr. 2000/01:151

avtalsperioden RALS 1998-2001, inom olika sektorer i staten,
procent

— .

Källa: Arbetsgivarverket.

AFF

Affärsverk, infrastruktur

AOU

Arbetsliv, omsorg, utbildning

EK

Ekonomi

FÖRSV

Försvar

KULT

Kultur

LRS

Länsstyrelser, Regeringskansliet, stabsmyndigheter

MTJ

Miljö, teknik, jordbruk

RÄTTS

Rättsväsende

UHF

Universitet, högskolor, forskning

UPP

Uppdragsbaserad verksamhet

Störst procentuella lönepåslag har de anställda inom försvaret fått. Här
har också en relativt stor del av löneutvecklingen bestått av löneökningar
utanför ordinarie lönerevisioner31. Inom andra sektorer där löneutveck-
lingen varit högre än genomsnittet i staten har, på lokal nivå, bl.a. sär-
skilda satsningar gjorts på marknadsutsatta yrkesgrupper, såsom jurister,
tekniker och IT-personal.

Löneutvecklingens komponenter

Arbetsgivarverket har studerat vilka faktorer som har påverkat löne-
utvecklingen under avtalsperioden (diagram 10.10). Den allra största
delen, drygt 70 procent, är en följd av gällande avtal, RALS 1998-2001
samt chefsavtalet. Den näst viktigaste förklaringsfaktom är befordringar,
vilka förklarar ytterligare nästan 20 procent av löneökningarna. Reste-
rande del beror på uppflyttningar i lokala tariffsystem, inlösen av rörliga
tillägg m.m.

31 Exempelvis har löneökningar skett i form av marknadslönetillägg och i samband med
personalrörlighet mellan förband och skolor.

60

Skr. 2000/01:151

Diagram 10.10 Löneutveckling i årstakt, för identiska individer, under
avtalsperioden RALS 1998-2001, uppdelad på delkomponenter

Källa: Arbetsgivarverket.

10.2 Avtalsrörelsen 2001

Löneavtal

RALS 1998-2001 löpte ut den 31 mars 2001. I april 2001 slöt Arbets-
givarverket RALS 2001 med SACO-S, OFR/S, P, O respektive SEKO.
Mot bakgrund av att pensionsförhandlingama och förhandlingarna om ett
nytt affärsverksavtal inte ledde till önskat resultat, erbjöd Arbetsgivar-
verket motparten endast ett ettårsavtal. RALS 2001 omfattar tiden fr.o.m.
den 1 april 2001 t.o.m. den 31 mars 2002.

Arbetsgivarverket sluter separata löneavtal med var och en av de tre
huvudorganisationerna på statens område. Årets ramavtal är identiska för
alla tre motparterna vad gäller löneprinciper och grunderna för den lokala
lönebildningen. Däremot gäller olika förhandlingsordningar för SACO-S,
respektive OFR/S, P, O och SEKO.

Löneavtalet med SACO-S är sifferlöst, dvs. innehåller inte några
garantier. Avtalet innebär att de lokala parterna skall komma fram till
behov av löneförändringar utifrån verksamhetens krav och myndighetens
ekonomiska förutsättningar. I avtalet med SACO-S finns också en möj-
lighet för de lokala parterna att överenskomma om att löner skall sättas
direkt i ett samtal mellan chef och medarbetare.

Löneavtalen med OFR och SEKO bygger även de på en lokal lönebild-
ning, men innehåller såväl stupstockar som individgarantier. För OFR
finns en stupstock på 2,5 procent, medan motsvarande tal för SEKO är
2,6 procent. Individgarantin för båda organisationernas medlemmar är
230 kronor och är utformad som en avstämning efter avtalsperiodens
slut. Nivåerna i de statliga löneavtalen ligger därmed väl i linje med
löneavtalen på övriga arbetsmarknadssektorer.

61

Trygghets- och pensionsavtal                                               Skr. 2000/01:151

Viktiga frågor för Arbetsgivarverket i avtalsrörelsen har varit föränd-
ringar i Trygghetsavtalet och ett nytt pensionsavtal. Vad gäller trygghets-
frågoma har parterna enats om att temporärt sänka avgiften till Trygg-
hetsstiftelsen?2 Fr.o.m. den 1 april 2001 sänks avgiften från 0,7 procent
till 0,05 procent av lönesumman33. Fr.o.m. den 1 januari 2004 höjs den
till 0,4 procent. Hur återstående 0,3 procent skall användas från samma
tidpunkt kommer parterna att förhandla om.

De frigjorda medlen skall användas på sätt som lokala parter enas om
och syftet är att åtgärderna skall vara ett led i ett aktivt omställnings-
arbete. Parterna är överens om att under året fortsätta förhandlingarna om
ett nytt pensionsavtal för alla statsanställda.

Andra avtal

Genom det nya chefsavtalet, som parterna enats om, ges myndighets-
chefen ett mer renodlat inflytande över lönesättningen av chefer i den
lokala chefskretsen. Regeringens frikrets övergår till ett eget avtal.

Två nya utlandsavtal har slutits. Det ena, U-ALFA, avser utrikesför-
valtningen och är en modernisering av gällande regler. För övriga
arbetstagare som utlandsstationeras gäller ett annat avtal, Avtal om ut-
landskontrakt och riktlinjer för anställningsvillkor vid tjänstgöring
utomlands (URA). Detta avtal innebär en delegering till anställnings-
myndigheten att inom vissa ramar teckna utlandskontrakt med berörd
arbetstagare. Båda avtalen träder i kraft den 1 januari 2002.

I förhandlingarna har parterna också kommit överens om vissa änd-
ringar i de allmänna anställningsvillkoren. Justeringar har skett i arbets-
tidskapitlet i ALFA (Allmänt löne- och förmånsavtal) och rätten till
”tjänsteförening” har begränsats till tre år.

Slutligen har parterna gemensamt konstaterat att det finns behov av att
påskynda de lokala utvecklingsprocesserna för att kunna möta de föränd-
rade kraven i arbetslivet. I en bilaga behandlas därför frågor om kompe-
tensutveckling, arbetsmiljö och samverkan på lokal och central nivå.

10.3 Utvärdering av den arbetsgivarpolitiska reformen

En särskild utredare har utsetts för att göra en samlad utvärdering av den
arbetsgivarpolitiska reformen (dir. 2001:16).

Regeringen genomförde 1996/97 en utvärdering av den reformerade
arbetsgivarpolitiken. Utvärderingen konstaterade att det hade gått alltför
kort tid för att kunna dra mera långtgående slutsatser och därför gör
regeringen nu en samlad utvärdering av reformen. Utredaren skall:
- bedöma effekterna av den arbetsgivarpolitiska delegeringen på löne-
bildningen, personalförsörjningen och andra personalpolitiska frågor
inom statsförvaltningen,

33 Trygghetsstiftelsen kapital uppgick 2000-12-31 till 1 296 774 737 kr.

33 Lönesumman i staten uppgår till ca 55,5 miljarder kr per år, exkl. arbetsgivaravgifter.

62

-  granska den teknik som används för justering av lönekostnadsdelen i Skr. 2000/01:151
myndigheternas förvaltningsanslag,

-  kartlägga och redovisa eventuella oklarheter i fråga om fördelningen

av befogenheter inom det arbetsgivarpolitiska området mellan
regeringen, Arbetsgivarverket och myndigheterna och lämna förslag
till eventuella åtgärder.

Uppdraget skall redovisas senast den 1 april 2002.

11 Kompetens och etik

Regeringens bedömning: Fortsatt stor uppmärksamhet bör ägnas åt
kompetens- och utbildningsfrågor inom förvaltningen för att stimulera
myndigheternas långsiktiga kompetensförsörjning och främja kvalitets-
arbetet i staten.

Förvaltningens arbete bärs upp av statsanställda med hög kompetens.
Förmågan att förverkliga de folkvaldas beslut på ett kunnigt, opartiskt
och rättssäkert sätt är en viktig grund i förvaltningens arbete. Statsför-
valtningen behöver tjänstemän med god förvaltningskunskap, god för-
måga att kommunicera, integritet, gott omdöme och ett etiskt förhåll-
ningssätt som väcker respekt.

Myndigheterna har ansvaret för att de anställda har den kunskap som
krävs för uppgiften inklusive kunskap om den lagstiftning som styr för-
valtningens verksamhet. Regeringen har genom inrättandet av Statens
kvalitets- och kompetensråd skapat förutsättningar för ett samlat stöd till
myndigheterna inom det förvaltningspolitiska området. Rådet kan genom
sina insatser underlätta och driva på utvecklingsfrågor av gemensamt och
strategiskt intresse för hela statsförvaltningen.

11.1 Stöd till myndigheterna

Statens kvalitets- och kompetensråd har bl.a. i uppdrag att ta fram under-
lag för att stödja den statliga förvaltningen i arbetet med att skaffa, ut-
veckla och behålla rätt kompetens.

Rådet har i uppdrag att utveckla, stödja och förmedla utvecklings-
program för chefer och andra personer med strategiska uppgifter och
grundläggande förvaltningsutbildningar.

Rådet har bl.a. genomfört ett program om strategiskt chefskap, påbör-
jat ett program för kvinnor som bl.a. har till syfte att exponera fler
kvinnor som kandidater till högre chefsbefattningar inom statsförvalt-
ningen samt genomfört ett första mentorprogram för relativt nya chefer
på mellannivå.

Rådet samarbetar också med andra europeiska länder i ett par interna-
tionella chefsutvecklingsprogram.

Grundläggande förvaltningskunskap erbjuds fr.o.m. våren 2001 i
webbaserade utbildningsprogram inom de mest centrala områdena för
statlig förvaltning (t.ex. offentlighet och sekretess, förvaltningslagen, och
ekonomi). Utbildningen och en allmän förvaltningshandbok, som tagits

63

fram i samarbete mellan flera myndigheter, finns tillgängliga på Inter- Skr. 2000/01:151
net34. Även om detta material i första hand riktar sig till statsanställda är
det därmed åtkomligt även for skolelever och andra medborgare, som
kan ha ett intresse för frågorna. Detta förstärker den öppenhet och möj-
lighet till insyn som skall prägla den svenska statsförvaltningen. De stat-
liga myndigheterna har också erbjudits ett handledarmaterial med förslag
till uppläggning och myndighetsvisa personalutvecklingsåtgärder inom
området.

Rådet erbjuder även introduktionsprogram för nyanställda handläggare
inom den statliga sektorn. Programmet tar huvudsakligen upp frågor av
grundläggande betydelse för förvaltningen (statsvetenskapliga, juridiska
och ekonomiska frågor) och frågor om arbetssätt och arbetsmetoder.

Rådet har också i uppdrag att verka för en god förvaltningskultur och
etik hos de statliga myndigheterna. 1 kompetensanalysmaterialet har rådet
därför särskilt betonat vikten av god förvaltningsetik. I introduktionspro-
grammet för nyanställda handläggare och till viss del i programmet
”Strategisk chef’ ingår avsnitt om förvaltningsetik. Här skapas tillfallen
för diskussion om och reflektion kring förvaltningsetiska frågor i anslut-
ning till de områden och de situationer, där sådana frågor kan bli aktu-
ella. Rådet arbetar vidare med uppdraget för att kunna erbjuda de statliga
myndigheterna material om förvaltningsetik att använda i andra samman-
hang än i de nämnda programmen.

11.2 Regeringens chefsförsörjning

Regeringens utnämningsmakt är ett av instrumenten för att styra förvalt-
ningen. I propositionen Statlig förvaltning i medborgarnas tjänst (prop.
1997/98:136) anges att regeringens chefsutnämning även i fortsättningen
bör renodlas till att i huvudsak avse myndighetschefer. Chefsförsörj-
ningen är av vital betydelse för statsförvaltningen och bör i ökad grad
uppmärksammas på alla nivåer i förvaltningen.

Regeringen har under hela 1990-talet drivit ett aktivt arbete för att ut-
veckla chefsförsörjningen av förvaltningens högsta chefer. Med chefsför-
sörjning avses hela processen från rekrytering, introduktion, chefsut-
veckling, mål- och resultatdialog till rörlighet samt löner och andra
anställningsvillkor. En av åtgärderna i handlingsprogrammet är att
löpande utveckla regeringens chefsprogram för myndighetschefer. År
2000 har detta arbete bl. a. inneburit att Justitiedepartementet har fortsatt
att utveckla insatserna för myndighetschefer och informationen om poli-
cyns innehåll.

Myndighetschefer är nyckelpersoner för regeringen. En god introduk-
tion och utveckling av såväl nyutnämnda som erfarna myndighetschefer
är viktiga inslag i regeringens chefspolicy. Sedan mitten av 1990-talet
genomförs ett gemensamt utvecklingsprogram för alla verkschefer. Här
märks bl.a. individuell och gemensam introduktion. Introduktionen inne-
håller ett grundläggande förvaltningspolitiskt seminarium, ledarskaps-
seminarium med syfte att klargöra krav och förväntningar i chefsrollen.
Varje ledarskapsseminarium övergår i en långsiktig utveckling i en ut-

34 www.forvaltningskunskap.nu och som länk via www.kkr.se

64

vecklingsgrupp för myndighetschefer. De gemensamma utvecklings- Skr. 2000/01:151
insatserna kompletteras också med individuella utvecklingsprogram för
enskilda myndighetschefer. Regeringens chefspolicy finns att läsa på
regeringens hemsida35.

35 www.regeringen.se

65

Regeringens åtgärder för en långsiktig utveckling av
förvaltningen

Påbörjat

Av-
slutat

Skr. 2000/01:151

Bilaga

Öppenhet och insyn

1.   Offentlighetskampanj

2.   Utvärdering av myndigheternas klarspråksarbete

K □

K □

G □

K □

K □

□ □

K □

G □

G □

Bättre service till medborgare och foretag

3.  24-timmarsmyndigheter

4.   Servicedeklarationer

5.   En elektronisk ingång till offentlig information

6.   Ett Intemetbaserat informationssystem för företagare

7.   Småföretagarundersökning

8.  Samverkan mellan statliga och kommunala myndigheter

9.  Säker elektronisk överföring av dokument och meddelanden

10. Användningen av elektroniska signaturer

11.  Samhällets grundläggande information

Kvalitets- och kompetensutveckling samt lärande av andra1

G   13    12. Kvalitetsutmärkelse för statlig förvaltning

G   G    13. EU-projekt: ”Innovative Public Services/Performance Indicators”

Regelkvalitet

G  G    14. Konsekvensanalyser

G   G    15. Förenkling av företagens uppgiftslämnande

Renodling av statlig verksamhet

G   G    16. Vägledning av statlig verksamhet

Verksamhetsanpassad myndighetsstyrning

GG    17. Utveckling av resultatstyrningen

G G    18. Verksamhetsanpassning av myndighetsstyrningen

19. Försök med verksamhetsöverenskommelser

G   G    20. Utveckling av de årliga mål- och resultatdialogerna

G    21. Bättre verksamhetsbedömningar

G  G   22. Översyn av verksförordningen

G   G    23. Utvärdering av myndighetsfunktioner som underlag för s.k.

benchmarking

G   G    24. Översyn av den statliga tillsynen

G K 25. Utvärdering av ledningsformen styrelse med fullt ansvar

1 Ansvaret för att samlat stödja och driva kvalitetsfrågor i statsförvaltningen har i huvudsak
Statens kvalitets- och kompetensråd. För information om pågående utvecklingsprojekt se
www.kkr.se.

66

K   □    26. Uppföljning av myndigheternas kompetensförsörjning Skr. 2000/01:151

K   □    27. Utvärdering av den arbetsgivarpolitiska reformen       Bilaga

Q   K    28. Regeringens policy för statligt ledarskap

K   □    29. Utbildning av ledamöter i statliga styrelser

S □

Kl □

K □

□ □

K □

Bättre beslutsunderlag

30. Utveckling av kommittéväsendet

31. Försök med medborgarpanel

32. Utveckling av resultatindikatorer

33. Särskilda återkommande studier (angående attityder hos
personalen och andra intressenter)

34. En årlig redovisning av statsförvaltningens utveckling

EU och internationalisering

EJ 35. EU:s påverkan på statsförvaltningen

K!   D    36. Utformning av en strategi för export av statligt

förvaltningskunnande

EJ   Kl    37. Förberedelser inför ordförandeskapet

67

J ustitiedepartementet

Utdrag ur protokoll vid regeringssammanträde den 30 augusti 2001

Närvarande: statsministern Persson, ordförande, och statsråden, Thalén,
Ulvskog, Lindh, von Sydow, Klingwall, Pagrotsky, Messing, Engqvist,
Rosengren, Larsson, Wämersson, Lejon, Lövdén, Ringholm, Bodström

Föredragande: statsrådet Lejon

Skr. 2000/01:151

Regeringen beslutar skrivelse 2000/01:151 Regeringens förvaltnings-
politik

68

Eländers Gotab 61540, Stockholm 2001