
Prop.
1997/98:165
Regeringen överlämnar denna proposition till riksdagen.
Stockholm den 14 maj 1998
Göran Persson
Thomas Östros
(F inansdepartementet)
I propositionen läggs förslag fram till en nationell politik för storstadsre-
gionerna. Storstaden beskrivs som social, ekonomisk och kulturell miljö.
Storstädernas betydelse för övriga landet lyfts fram.
Den nationella storstadspolitiken syftar till att ge storstadsregionerna
goda förutsättningar för en långsiktigt hållbar tillväxt för att därmed kun-
na bidra till att nya jobb skapas såväl inom regionerna som i övriga delar
av landet samt till att bryta den sociala och etniska segregationen i stor-
stadsregionerna och att verka för jämlika levnadsvillkor för storstädernas
alla invånare i storstäderna oavsett ursprung och kön.
Ytterligare en utgångspunkt för den nationella storstadspolitiken är att
större kraft måste läggas på att främja en god utveckling i storstädernas
utsatta bostadsområden, för att på detta sätt motverka de sociala klyftorna
i storstadsregionerna. Bakgrunden är att dessa tenderar att växa, samt att
denna utveckling också motverkar storstädernas utveckling i stort. Dessa
klyftor och ojämnheter i livschanser följer i stor utsträckning etniska lin-
jer. Stärkandet av det svenska språket lyfts därför fram som en av de en-
skilt viktigaste åtgärderna för att bryta den etniskt betingade segregatio-
nen.
Förslagen och bedömningarna vad gäller utformandet av en nationell
storstadspolitik är följande.
Regeringen tillsätter en storstadsdelegation som far till uppgift att ut-
veckla och samordna den nationella storstadspolitiken.
1 Riksdagen 1997/98. 1 saml. Nr 165
Regeringen föreslår att 5 000 nya permanenta platser bör tillföras uni-
versitet och högskolor i storstadsregionerna från och med höstterminen år
2000.
I syfte att skapa ökad trygghet mot brott aviserar regeringen en riktad
satsning till polisväsendet i storstadsregionerna.
I syfte att stärka kulturmiljövården och utveckla storstadens arkitekto-
niska värden bör 10 miljoner kronor avsättas for vart och ett av åren
1999-2001.
Lokala utvecklingsavtal bör tecknas mellan stat och kommun for de
mest utsatta bostadsområdena i storstadsregionerna.
Regeringen avser att i budgetpropositionen föreslå att 480 miljoner
kronor avsätts för år 1999, 480 miljoner kronor för år 2000, och 785
miljoner kronor för år 2001 för särskilt stöd till lokalt utvecklingsarbete i
de utsatta bostadsområdena i storstadsregionerna.
Kommuner som omfattas av lokala utvecklingsavtal ges möjlighet att
sluta avtal med länsarbetsnämnd och försäkringskassa i länet om lokal
samverkan med utvecklingsprogram för arbetslösa.
Regeringen avser att tillkalla en särskild utredare för att förbereda
överläggningar om sådana avtal. Utvecklingsprogrammen bör vara in-
riktade på individuella åtgärder som utformas i en dialog med den en-
skilde.
Regeringen anser att medborgarna i de utsatta stadsdelarna inom ramen
för de lokala utvecklingsavtalen bör fa tillgång till gemensamma med-
borgarkontor för såväl statliga som kommunala myndigheter.
I syfte att stimulera rekrytering av lågutbildade vuxna i storstäderna till
kunskapslyftet bör 5 miljoner kronor avsättas till detta ändamål.
För att utveckla IT-baserade läromedel för svenska som andra språk
och svenska för invandrare (sfi) bör 1,5 miljoner kronor avsättas.
De förslag och bedömningar som regeringen lämnar i denna proposi-
tion skapar sammantaget nya och bättre möjligheter för en god utveck-
ling i våra storstadsregioner.
Prop. 1997/98:165
Prop. 1997/98:165
1 Förslag till riksdagsbeslut.................................................................6
2 Ärendet och dess beredning..............................................................6
2.1 Utredningsförslag m.m.......................................................6
2.2 Tillkännagivande av riksdagsutskott..................................6
2.3 Remissmöte med anledning av storstadskommitténs
betänkande..........................................................................7
3 Storstaden..........................................................................................7
3.1 Regeringens storstadspolitiska utgångspunkter..................7
3.2 Geografisk avgränsning....................................................10
3.3 Storstaden som ekonomisk miljö......................................11
3.4 Sysselsättning och arbetslöshet i storstadsregionerna......12
3.5 Skolresultat och befolkningens utbildningsnivå i.............13
3.6 Storstaden som kulturell miljö..........................................15
3.7 Storstaden som ekologisk miljö........................................16
3.8 Storstaden som social milj ö..............................................19
3.9 Otrygghet och kriminalitet i storstadsregionerna.............21
3.10 Demokrati och delaktighet i storstaden............................23
3.11 Segregationen i storstäderna.............................................24
3.12 Internationella erfarenheter av segregation.......................27
4 En nationell storstadspolitik............................................................29
4.1 Storstadspolitiken - en del av en regionalpolitik för hela
landet.................................................................................29
4.2 Målen för storstadspolitiken.............................................30
4.3 Ansvarsfördelningen mellan stat, kommun och landsting 32
4.4 Storstadsdelegation...........................................................35
5 Den långsiktigt hållbara storstaden.................................................36
5.1 Den generella välfärdspolitiken........................................36
5.2 Likvärdiga och goda ekonomiska förutsättningar för
kommuner och landsting...................................................38
5.3 Den regionala planeringen................................................40
5.4 En aktiv bostadspolitik.....................................................43
5.5 Ekologiskt hållbara storstäder...........................................46
5.6 Integrationspolitik.............................................................49
5.7 Tryggare städer - förstärkning av polisresursema och
utveckling av närpolisverksamheten.................................54
5.8 Brottsförebyggande åtgärder.............................................56
5.9 Internationellt samarbete för långsiktigt hållbar
utveckling i storstäderna...................................................58
6 Storstadsregionerna som motorer för tillväxt och ökad
sysselsättning i hela landet..............................................................61
6.1 Regional näringspolitik — regionala tillväxtavtal..............61
6.2 Näringspolitiska insatser och förenklingar för
företagare..........................................................................62
6.3 Storstädernas roll i gränsöverskridande regionbildning... 66
6.4 En förstärkning av högskolan i storstadsregionerna.........67 Prop. 1997/98:165
6.5 Regional samverkan mellan högskola, näringsliv och
offentliga myndigheter......................................................70
6.6 Internationell marknadsföring av Sverige och dess
storstadsregioner som besöksort och etableringsort för
internationella företag.......................................................71
6.7 Invandrare och företagande..............................................72
7 Lokala utvecklingsavtal för storstädernas.......................................73
7.1 Pågående statliga insatser i utsatta bostadsområden.........73
7.2 Pågående kommunala insatser i utsatta............................75
7.3 Lokala utvecklingsavtal....................................................78
7.4 Det statliga åtagandet........................................................82
8 Arbetslinjen i storstaden..................................................................84
8.1 Inledning...........................................................................84
8.2 Arbetslinjen.......................................................................85
8.3 En sammanhållen verksamhet med åtgärder för...............86
8.4 Individuella utvecklingsprogram......................................90
8.5 Gemensamma medborgarkontor i de utsatta....................93
8.6 Översyn av socialbidragen................................................94
9 Goda uppväxtvillkor för barn och ungdom och en förstärkning av
utbildningen i storstadsregionerna..................................................96
9.1 Inledning...........................................................................96
9.2 Deltidsförskola i socialt utsatta stadsdelar........................97
9.3 Skolan och segregationen.................................................99
9.4 Särskilda insatser för språkutveckling i skolan................99
9.5 Försöksverksamhet med lärlingsutbildning inom
gymnasieskolan...............................................................101
9.6 Utbildningsinsatser för vuxna.........................................102
9.7 Folkbildningens roll för utsatta grupper i storstäderna... 105
9.8 Kultur-, idrotts- och fritidsverksamheter i de utsatta
stadsdelarna.....................................................................106
10 Förbättra boendemiljöerna och folkhälsoläget samt öka tryggheten i
storstäderna....................................................................................108
10.1 Inledning.........................................................................108
10.2 Utveckling av bostadsförvaltningen i utsatta..................109
10.3 Investeringar för trivsel och miljö i utsatta stadsdelar.... 110
10.4 Storstadens arkitektur och kulturmiljö............................111
10.5 Folkhälsoarbetet i utsatta stadsdelar...............................113
10.6 Hemlösa i storstäderna....................................................115
11 En levande demokrati i storstäderna.............................................116
11.1 Inledning.........................................................................116
11.2 Statliga demokratiutredningar.........................................117
11.2.1 Demokratiutvecklingskommittén.................117
11.2.2 Kommunala förnyelsekommittén.................117
11.2.3 Storstadskommittén......................................118
11.2.4 Demokratikommittén....................................118
11.2.5 Det fortsatta arbetet......................................119
11.3 Kommunala demokratireformer och...............................120
11.4 Folkrörelser i storstäderna..............................................122
12 Ekonomiska konsekvenser............................................................124
Bilaga.....................................................................................................
127
Utdrag ur protokoll
130
Prop. 1997/98:165
Regeringen föreslår att riksdagen
godkänner regeringens förslag om mål och inriktning för storstads-
politiken (avsnitt 4).
Prop. 1997/98:165
Storstadsutredningens betänkande Storstadsliv - rika möjligheter men
hårda villkor SOU 1990:36 togs fram i en period som karakteriserades av
överhettning på arbetsmarknaden, i synnerhet i Stockholmsregionen. Ut-
redningen konstaterade att utslagningen från arbetsmarknaden trots detta
var stor i de socialt utsatta bostadsområdena. Betänkandet behandlar i
högre utsträckning än den storstadspolitiska kommittén frågor om bostä-
der och infrastrukturinvesteringar i storstadsregionerna. Bland utredning-
ens förslag kan nämnas:
Regeringen beslutade den 16 mars 1995 om tilläggsdirektiv för Stor-
stadskommittén (S 1994:03). Kommittén avlämnade i februari 1998 sitt
slutbetänkande Tre städer - en storstadspolitik för hela landet (SOU
1998:25). Under kommitténs arbete redovisades ett antal delbetänkanden
och underlagsrapporter:
- Delbetänkandet Att röja hinder (SOU 1995:142)
- Delbetänkandet Egenmakt - att återerövra vardagen (SOU 1996:177),
med antologin Att återerövra vardagen (SOU 1996:146)
- Delbetänkandet Att växa bland betong och kojor (SOU 1997:61), med
antologin Rosor av betong (SOU 1997:62)
- Underlagsrapporten Kooperativa möjligheter i storstadsområdena
(SOU 1996:54)
- Underlagsrapporten Välfärden i verkligheten (SOU 1997:24)
- Underlagsrapporten Delade städer (SOU 1997:118)
- Antologin Bidrag genom arbete (SOU 1996:151)
I samband med arbetet med denna proposition har flera skrivelser in-
kommit från de berörda kommunerna. Skrivelser har inkommit från
Stockholm, Göteborg, Malmö, Botkyrka, Södertälje och Sigtuna kommu-
ner. Därutöver har skrivelser inkommit från Stockholms läns landsting
och från länsarbetsnämnderna i Stockholms län och Västra Götalands
län.
Riksdagen har i en skrivelse (rskr 1997/98:128) gjort ett tillkännagivande
om regionalpolitiken och storstäderna efter hemställan från arbetsmark-
nadsutskottet. Utskottet anser att problemen med ökad segregation i stor-
städerna måste tas på stort allvar. Den offentliga servicen i utsatta områ- Prop. 1997/98:165
den måste fungera och arbetsmarknadspolitiska och utbildningspolitiska
åtgärder framstår enligt utskottet som centrala for att motverka segrega-
tionen. Slutligen anför utskottet att det bör riktas ett tillkännagivande till
regeringen med innebörden att frågor rörande segregation och utanför-
skap i storstäderna bör beaktas av regeringen som senast i samband med
1998 års ekonomiska vårproposition bör återkomma till riksdagen med
förslag av denna innebörd.
Av tidsskäl har det inte funnits möjlighet att genomföra en traditionell
remissbehandling av Storstadskommitténs betänkande. Istället genom-
förde Socialdepartementet och Finansdepartementet ett gemensamt re-
missmöte den 25 mars 1998. Vid remissmötet gavs de berörda statliga
myndigheterna möjlighet att lägga synpunkter på kommitténs betänkan-
de. Likaså bereddes kommun- och landstingsförbunden, länsstyrelsen i
Stockholm samt de berörda storstadskommunerna möjlighet att framläg-
ga sina synpunkter. Även arbetsmarknadens parter hade inbjudits. En
sammanfattning av remissmötet finns i bilaga till denna proposition.
Det vänder för Sverige. Tillväxten tar fart, sysselsättningen ökar, arbets-
lösheten sjunker. Efter år av ekonomisk tillbakagång och nedrustning kan
människor åter börja se framtiden an med tillförsikt.
Uppgången har hittills märkts tydligast i storstäderna: allt fler företag
startar, sysselsättningen ökar, inflyttningen ökar, trycket på arbetsmark-
naden och bostadsmarknaden hårdnar. Dessa tecken har blivit allt tydli-
gare under våren 1998. De tre storstadsområdena - Stockholm, Göteborg
och Malmö - är tillväxtcentra i Sverige och utgör en strukturell ryggrad i
vårt land.
I de tre storstadsområdena lever och verkar mer än var tredje svensk,
drygt 3 miljoner människor. För dem är storstaden hembygd. Dessa mil-
joner människor har också miljoner möjligheter: storstäderna har ett stör-
re utbud av kultur, utbildning, boende och arbete än vad andra regioner
kan erbjuda. Till storstäderna söker sig människor för att förverkliga sina
livsdrömmar och visioner. Mycket av forskningen och utvecklingen av
nya produkter sker i storstäderna. Storstädernas möjligheter ligger i just
denna mångfald, skapandekraft och kreativitet.
Storstadsområdenas geografiska belägenhet förstärker möjligheterna
ytterligare. Storstadsområdena har kommit att fungera som portar gente-
mot omvärlden.
Stockholmsområdet har möjligheter att bli ett centrum för den expan-
siva Östersjöregionen. I Östersjöns kustregioner bor närmare 50 miljoner
människor. Vi har ännu bara sett början på en utveckling där Östersjöre-
gionen åter kan bli ett centrum for tillväxt, handel, kultur och utbildning
av internationell betydelse. Från att i ett halvt sekel ha varit ett hav som
skilde öst från väst, kommer Östersjön att kunna bli ett hav som förenar
människor och kulturer.
Göteborgsregionen är porten västerut, med förbindelser till hela värl-
den men med tyngdpunkt mot den expansiva Nordsjöregionen och mot
EU. Industri och sjöfart är traditionella näringsgrenar som utgör grunden
för regionens nationella betydelse.
I Malmö kommer Öresundsbron att öppna nya möjligheter på båda si-
dor av sundet. Sydvästra Skåne blir en brygga inte bara över till Dan-
mark, utan till hela den europeiska kontinenten. Utmed linjen Roskilde-
Köpenhamn-Malmö-Lund skapas ett av Europas största centra för högre
utbildning och forskning.
Samarbetet över nationsgränserna är en viktig dimension i en politik
för att utveckla storstäderna. I en allt mer intemationaliserad ekonomi
står ofta valet av lokalisering av företag och investeringar mellan olika
nationer, snarare än mellan olika orter i ett visst land. De svenska stor-
städerna konkurrerar i många fall med andra länders storstadsområden i
det avseendet, och för att lyckas väl i den konkurrensen är ett välfunge-
rande internationellt nätverk och god samfärdsel och infrastruktur en
nödvändighet.
Ökade klyftor på 1990-talet
I storstäderna bor de rikaste människorna i Sverige. Men där bor också
de fattigaste. Under krisen på 1990-talet har klyftorna kommit att öka -
krisen har slagit hårt mot framför allt storstädernas utsatta bostadsområ-
den. Den växande arbetslösheten har ställt stora grupper utanför sam-
hällsgemenskapen, och därtill har klassamhället fått en etnisk karaktär.
Segregationen är en ödesfråga för Sverige. Segregationen hotar att un-
dergräva den grundläggande förutsättningen för varje samhälle: medbor-
garnas känsla av ansvar för varandra och för samhället. I många storstä-
der runt om i världen existerar inte längre detta grundläggande ansvar. I
slutänden av segregationsspiralen finns ett uppdelat samhälle, där en stor
grupp ställs utanför. Det är ett samhälle som alla förlorar på, eftersom det
i dess spår följer ökade sociala spänningar, otrygghet och kriminalitet.
Istället för solidaritet och samhörighet, så blir egenintresse och misstro
grunden i samhället.
Men ökade klyftor är inte bara ett socialt problem. Det är också ett
ekonomiskt problem, i den meningen att samhället inte förmår att ta vara
på alla människors skaparkraft och vilja till arbete. I storstädernas utsatta
bostadsområden deltar mindre än hälften av den arbetsföra befolkningen
i arbetslivet. I en omvärld där språklig och kulturell mångfald blir allt
viktigare är det utomordentligt allvarligt att arbetslösheten bland många
utrikes födda är flerfalt högre än bland den del av befolkningen som är
Prop. 1997/98:165
fodd i Sverige. Det är hög tid att sluta slösa med den kraft och den kom- Prop. 1997/98:165
petens som finns i de socialt utsatta bostadsområdena.
En politik for social och etnisk integration syftar till att alla, oavsett ur-
sprung och kön, skall ha samma möjligheter att förverkliga sina livspro-
jekt. En förutsättning för detta är rätten till arbete.
Sveriges förbättrade ekonomiska läge måste därför komma alla männi-
skor till del. Förbättringen på arbetsmarknaden måste märkas också i de
utsatta bostadsområdena i storstäderna.
En modern framtidsinriktad storstadspolitik
Med denna proposition lägger regeringen grunden för en modem fram-
tidsinriktad och sammanhållen storstadspolitik.
En sådan politik måste syfta till att bejaka och utveckla alla de positiva
sidor som våra storstadsområden har - det rika utbudet av kultur, arbete,
utbildning och boende, de goda förutsättningarna får en ekologiskt håll-
bar utveckling, den väldiga skaparkraften och innovationsförmågan hos
tusentals människor som flyttar till staden för att förverkliga sina livs-
drömmar, de växande möjligheterna som följer av det ökande internatio-
nella samarbetet - och samtidigt minska klassklyftoma och öka trivseln i
storstäderna. Alla som bor i staden skall kunna känna sig hemma i sin
egen hembygd.
Förutom tillväxt och minskade klassklyftor är också kultur och estetis-
ka värden nyckelord i en storstadpolitik for framtiden. Städerna är centra
för nationens teater, musik och konst, och mycket av storstädernas drag-
ningskraft på modema människor kommer därav. Att vidmakthålla och
förstärka kulturutbudet i storstäderna är således en viktig del i en sam-
manhållen storstadspolitik.
En vacker stad är en stad att vara stolt över. En genomtänkt arkitektur,
en vacker stadsbild och en tilltalande stadsmiljö är en förutsättning for att
människor skall kunna trivas i staden. Underhåll och upprustning av
byggnader och parker är således också viktiga delar i en modem stor-
stadspolitik.
Samtidigt måste städerna utgöra goda och hälsosamma livsmiljöer.
Byggnader, transportinfrastruktur och andra anläggningar bör lokaliseras
och utformas på ett miljöanpassat sätt och så att en långsiktigt god hus-
hållning med mark, vatten, energi och andra resurser främjas.
Regeringens principiella utgångspunkter for den föreliggande stor-
stadspolitiska propositionen är densamma som for den regionalpolitiska
propositionen, som överlämnades till riksdagen i mars 1998. Politiken
syftar till att utjämna de strukturella orättvisor som finns mellan olika
områden, såväl mellan olika regioner i riket som mellan olika områden i
regionerna. Men alla regioner kan inte, och skall inte, utvecklas i samma
riktning. Varje region har unika resurser och unika konkurrensfördelar.
För att hela landet skall kunna utvecklas i positiv riktning krävs att alla
regioner får förutsättningar att utnyttja sina resurser på bästa sätt. Då re-
gionalpolitiken och storstadspolitiken utgår från samma principer kan de
förstärka varandra.
Storstadspolitiken är en viktig del i regeringens arbete för att förena en Prop. 1997/98:165
ekologisk hållbar utveckling med en ekonomisk och social utveckling.
Detta ställer krav på att alla åtgärder analyseras utifrån hur de påverkar
såväl miljön som den ekonomiska tillväxten. Storstadspolitiken skall ut-
formas med utgångspunkt från att ekonomisk utveckling, social utveck-
ling och skydd av miljön är inbördes beroende och ömsesidigt förstär-
kande delar av en hållbar utveckling.
Det är av yttersta vikt för framtiden att storstadsområdena kan fungera
som harmoniska, vackra, sjudande och internationella tillväxtcentra och
välfärdssamhällen, där människor trivs och kan känna sig hemma. Endast
så kan vi utnyttja Sveriges möjligheter för framtiden fullt ut.
Begreppet storstad är inte tydligt definierat. I ett större internationellt
perspektiv kan knappast någon av de svenska stadsregionema definieras
som storstad. De största stadsregionema i Europa och Nordamerika har
omkring 10 miljoner invånare, och i Asien och Latinamerika finns stor-
städer med upp till 20 miljoner invånare.
Å andra sidan kan en stad på 50 000-100 000 invånare fungera som
storstad i en region. Dessa städer kan i viss utsträckning uppvisa samma
problem och möjligheter som kännetecknar storstaden. Den sociala och
etniska segregationen är t.ex. ett stort problem även för städer som Väs-
terås, Norrköping, Jönköping, Helsingborg och Sundsvall.
När begreppet storstäder används i denna proposition är det dock be-
gränsat till Stockholm, Göteborg och Malmö. Dessa tre stadsregioner har
väsentligt fler invånare än övriga svenska städer, och de uppvisar också
storstadens särdrag i en helt annan utsträckning än övriga svenska städer.
Storstäderna är i denna proposition liktydigt med storstadsregionerna
och inte storstadskommunerna. Även om kommunerna i högsta grad är
viktiga aktörer för storstadspolitiken så har storstadsregionerna en ge-
mensam arbets- och bostadsmarknad över kommungränserna. Urbanise-
ringsprocessen och segregationsmekanismema påverkar regionen i sin
helhet och inte endast centralkommunen.
Stor-Stockholm omfattar nästan hela Stockholms län, varför denna
proposition för enkelhetens skull utgår från länsbegreppet, bl.a. i de sta-
tistiska beskrivningarna. I Göteborg utgår propositionen från samma av-
gränsning av storstadsregionen som Storstadskommittén. Det innebär
förutom Göteborgs kommun också Mölndals, Partille, Kungälvs, Ale,
Härryda, Kungsbacka och Lerums kommuner. I Malmö avses med stor-
stadsregionen förutom Malmö kommun också Burlövs, Trelleborgs,
Kävlinge, Lunds, Svedala, Lomma, Staffanstorps och Vellinge kommu-
ner.
I vissa delar av propositionen diskuteras insatser i socialt utsatta bo-
stadsområden i storstäderna. I denna proposition används den avgräns-
ning som har gjorts av Storstadskommittén och som utgår från en statis-
tisk genomgång av olika bostadsområdens ekonomiska status (Delade
städer, SOU 1997:118). Det innebär att när denna proposition redovisar
10
statistik och åtgärder för socialt utsatta storstadsområden avses stadsdelar Prop. 1997/98:165
inom sju kommuner: Botkyrka, Göteborg, Haninge, Huddinge, Malmö,
Stockholm och Södertälje.
Storstäderna utgör tillsammans med vissa entrepenörstäta regioner de
områden i Sverige där flest nya jobb skapas. De tre regionerna har en
bruttoregionalprodukt (BRP) per invånare som kraftigt överstiger ge-
nomsnittet i riket . Av rikets samlade BRP svarade Stockholmsregionen
år 1993 för 24,9 procent, Göteborgsregionen för 9,6 procent och Malmö-
regionen för 6,5 procent. De tre stora regionerna svarade därmed för 41
procent av landets samlade BRP.
I löpande priser ökade BRP i Stockholmsregionen med 86 procent
mellan åren 1985 och 1993, Göteborgsregionen med 68 procent och
Malmöregionen med 66 procent. Motsvarande förändring för resten av
riket var 60 procent. Tillväxten var således starkare i storstadsregionerna
än i riket i övrigt.
Sedan mitten på 1980-talet har tillväxten i Stockholmsregionen varit
dubbelt så hög som i resten av landet. Härigenom har Stockholmsregio-
nen till stor del burit upp den nationella tillväxten. Ett uttryck för detta är
att mellan åren 1985 och 1996 ökade landets samlade BRP med 200
miljarder kronor i 1991 års priser. Stockholmsregionens BRP ökade un-
der samma period med 80 miljarder kronor, eller 40 procent av den na-
tionella ekonomins tillväxt.
Regionen har många unika produktionsförutsättningar och en stor an-
passningsförmåga. Marknadens storlek, en väl utvecklad infrastruktur,
närhet till internationella kontaktpunkter, ett stor och diversifierat utbud
av arbetskraft är alla viktiga faktorer för kunskaps- och forskningsinten-
siva företag, vilket kan förklara varför Stockholmsregionen är lämplig
lokalisering för denna typ av produktion. Koncentrationen möjliggör
specialiserad utbildning som drar till sig företag vilket i sin tur lockar
arbetskraft till regionen. Närheten till andra liknande företag, leverantörer
och kunder gör att förbättringar och innovationer blir fler och lättare
sprids. Närheten till universitet och högskolor stimulerar samarbetet
mellan företagen och de högre utbildningsinstitutionerna.
Storstadsregionerna spelar en viktig roll i den regionala specialiseringen
Globaliseringen av ekonomin där varor, tjänster, kapital och arbetskraft
kan röra sig relativt fritt över långa avstånd och till allt lägre kostnader
begränsar handlingsutrymmet för en nationellt självständig ekonomisk
politik. För att skapa goda förutsättningar för produktion av varor och
tjänster måste politiken inriktas på åtgärder som främjar företagens ut-
vecklingskraft. Samtidigt som varje region måste ges möjligheter att ut-
vecklas utifrån de egna förutsättningarna måste utvecklingsmöjligheterna
vara likvärdiga med dem som ges i andra länder för motsvarande regio-
ner. Sverige deltar på ett nationellt plan i den internationella arbetsför-
11
delningen. Beroende på att olika typer av näringsverksamhet ställer olika
krav på det regionala resursutbudet förekommer det även en specialise-
ring inom landet. Storstäderna spelar en viktig roll i detta samspel. I takt
med att olika barriärer för handel mellan länder minskar får den regionala
dimensionen ökad betydelse.
Den geografiska fördelningen av industriproduktionen har varit för-
hållandevis stabil över tiden. Ungefår 40 procent av industrins produk-
tionsvärde produceras i de tre storstäderna. Utvecklingen och inriktning-
en av industriproduktionen skiljer sig dock åt mellan olika regioner. Ar-
betsintensiv produktion finns i hela landet medan FoU-intensiv industri
är koncentrerad till ett fåtal ställen. Denna tendens har förstärkts sedan
1970-talet. Stockholmsregionen dominerar med 40 procent av den FoU-
intensiva produktionen. Inkluderas Linköping och Malmö täcks 55 pro-
cent av produktionen in.
Produktionens regionala specialisering är en följd av att all produktion
inte har samma behov när det gäller produktionsförutsättningama. För
den kunskaps- och teknikintensiva industrin är tillgång till en utvecklad
infrastruktur, kvalificerade produktionstjänster och högutbildad arbets-
kraft nödvändig. Denna typ av produktion är inte lika kostnadskänslig
som den arbetsintensiva industrin, som värderar låga kostnader på ar-
betskraft och fastigheter relativt sett högre. Företag som i hög utsträck-
ning konkurrerar med låga priser uppvisar bättre resultat i perifera lägen
än i storstäderna.
Storstadsregionerna fungerar genom sin storlek och dynamik som
motorer för övriga regioners tillväxt. Genom nätverk och underleveran-
törssystem påverkas även andra regioner av utvecklingen i storstadsregi-
onerna. Utmaningen ligger i att få fullt genomslag av de större regioner-
nas tillväxt i landets övriga regioner. Detta kräver ett väl fungerade sig-
nalsystem så att företagen uppfattar omvärldsförändringar på ett tidigt
stadium och kan anpassa sig till de nya förutsättningarna. Det kan t.ex.
handla om samverkan mellan flera mindre företag för att bredda produkt-
utbudet och kunskapsbasen så att de tillsammans kan leverera hela sys-
tem snarare än enskilda komponenter var för sig. Lyckas man inte svara
upp till kundernas förändrade krav ökar risken att kunderna söker nya
samarbetspartners, kanske i ett annat land.
Under 1990-talet har alla regioner i Sverige drabbats hårt av arbetslöshet.
Det s.k. obalanstalet, dvs. andelen arbetslösa personer samt personer i
arbetsmarknadspolitiska åtgärder, har femdubblats mellan åren 1990 och
1995, från 2,6 till 12,8 procent av arbetskraften. I Stockholms län har
obalanstalet sjudubblats mellan åren 1990 och 1995 från 1,4 procent till
10 procent av arbetskraften. Stockholm har det lägsta obalanstalet i riket
såväl år 1990 som år 1995, samtidigt som man har den största försäm-
ringen av alla län. De senaste åren har konjunkturen stärkts mer i Stock-
holm än i riket som helhet och obalanstalet var år 1997 så pass lågt som
8.5 procent. Malmöregionen har halkat ner från ett av de starkaste länen
Prop. 1997/98:165
12
år 1980 till ett av de svagaste år 1997, med ett obalanstal på ca 14 pro-
cent. Storlänet Västra Götaland där Göteborg ingår har hållit sig i mitten
vad gäller obalanstalen i riket och hade år 1997 ett obalanstal av ca 12
procent.
Arbetslösheten är dock högre i städerna Stockholm, Göteborg och
Malmö än i länen. Det är framförallt Malmö stad som har mycket hög
arbetslöshet. År 1997 var den öppna arbetslösheten hela 12,8 procent,
vilket kan jämföras med rikssiffran 8,0 procent. Arbetslösheten i Malmö
var betydligt högre bland män, hela 15,3 procent, medan den var 10,2
procent bland kvinnor. Arbetslösheten var under samma period 9,5 pro-
cent i Göteborg och 7,3 procent i Stockholm. Även i Stockholm och Gö-
teborg, liksom för riket i helhet, är arbetslösheten högre bland män än
bland kvinnor.
Arbetsmarknadsläget är således betydligt bättre inom Stockholmsregi-
onen än i de två andra storstadsområdena. Sysselsättningsgraden är också
klart högst i landet i Stockholms län med ca 76 procent av befolkningen i
arbetsför ålder som är sysselsatta, vilket kan jämföras med rikssnittet på
71 procent. Såväl Göteborg som Skåne län ligger under snittet för riket
med en sysselsättningsgrad kring 69 resp 68 procent.
Liksom för arbetslösheten är situationen något sämre beträffande sys-
selsättningen i städerna än i storstadslänen. Framför allt har Malmö en
mycket låg andel sysselsatta i sin befolkning. I Malmö var sysselsätt-
ningsgraden så låg som 63 procent för männen och 62 procent för kvin-
norna. Sysselsättningsgraden är generellt ett par procent högre för män
än för kvinnor såväl i storstadsregionerna som för riket som helhet.
Storstadsregionerna skiljer sig från övriga landet så tillvida att man in-
om regionen kan ha stora skillnader i sysselsättning och arbetslöshet. I
Storstockholms välmående villaförorter har man en sysselsättninggrad
kring 80 procent och en arbetslöshet av 3 till 4 procent. I vissa ytter-
stadsområden är sysselsättningsgraden nere på 35 procent och arbetslös-
heten uppe på ca 20 procent.
Även i ett internationellt perspektiv kännetecknas de svenska storstä-
derna av stora skillnader i sysselsättning och arbetslöshet mellan områ-
den inom städerna. I en del områden var arbetskraftsdeltagandet enbart
67 procent av arbetskraftsdeltagandet i den övriga regionen. För övriga
länder i studien var arbetskraftsdeltagandet i de fattiga bostadsområdena
mellan 91 och 96 procent av arbetskraftdeltagandet i den övriga regionen.
Även när det gäller skolresultaten och befolkningens utbildningsnivå
återfinns mönstret att skillnaderna inom storstäderna är mycket stora och
att de områden i storstäderna som har dåliga förutsättningar ligger långt
under den genomsnittliga nivån i riket.
Det genomsnittliga medelbetyget i årskurs 9 var läsåret 1996/97 3,25 i
riket som helhet att jämföra med 3,36 för Stockholm, 3,26 för Göteborg
och 3,21 för Malmö. Av Skolverkets statistik över utbildningsresultat i
Prop. 1997/98:165
13
grundskolan våren 1997 framgår dock att andelen elever som saknar be-
tyg i två eller fler ämnen är nära dubbelt så stor i storstäderna jämfört
med genomsnittet för riket. I Stockholm saknar 6,2 procent av eleverna
betyg i två eller fler ämnen, i Göteborg 6,2 procent och i Malmö 7,3 pro-
cent medan genomsnittet för riket är 3,3 procent.
Dessa genomsnittssiffror rymmer inom sig mycket stora skillnader
mellan olika stadsdelar. I Storstadskommitténs delbetänkande Att växa
bland betong och kojor (SOU 1997:61) redovisas att år 1994 var andelen
elever som slutade grundskolan med låga eller ofullständiga betyg om-
kring 20 procent i de utsatta stadsdelarna, att jämföra med 9 procent i
storstäderna i sin helhet. I Stockholms stad har man sammanställt antalet
elever som höstterminen i årskurs 9 inte når upp till godkänt betyg i nå-
got av de ämnen som krävs för tillträde till ett nationellt gymnasiepro-
gram (svenska, alt. svenska som andraspråk, matematik och engelska).
Andelen elever som inte nått godkänt i något eller några av dessa ämnen
skiljer sig mellan 4 procent i den socialt starka stadsdelen Västerled och
60 procent i den utsatta stadsdelen Rinkeby.
Befolkningens allmänna utbildningsnivå skiljer sig inte nämnvärt
mellan storstadsregionerna och riket i sin helhet. Göteborgsregionen lig-
ger nästan exakt på rikssnittet, Malmöregionen har en något lägre utbild-
ningsnivå och Stockholmsregionen en något högre genomsnittlig utbild-
ningsnivå i förhållande till riket i sin helhet.
Tabell 1 Befolkningens utbildningsnivå i storstadsregionerna,1997-01-01.
Högre Uppgift
Prop. 1997/98:165
|
Andel av befolkningen med |
Grundskola |
Gymnasium |
utbildning saknas | |
|
Riket totalt |
25 |
47 |
27 |
1 |
|
Göteborgs- och Bohuslän |
24 |
44 |
30 |
2 |
|
Stockholms län |
19 |
43 |
35 |
3 |
|
Skånelän |
27 |
44 |
27 |
2 |
Källa: SCB Utbildningsnivå i kommunerna, länen och riket, 1997:2
Not. Med högst grundskola avses folkskoleutbildning eller grundskoleutbildning. Med
gymnasium avses både gymnasial utbildning högst två år och längre än två år. Med efter-
gymnasial utbildning avses utbildning kortare än tre år t.o.m. forskarutbildning.
Däremot uppvisar olika områden inom storstäderna stora skillnader i ut-
bildningsnivå. Skillnaderna mellan två kommuner kan vara så stora som
mellan Botkyrka, där 21 procent av befolkningen har eftergymnasial ut-
bildning, och Täby där motsvarande siffra är 46 procent.
Även inom kommunerna är skillnaderna i utbildningsnivå mycket sto-
ra. Inom Göteborg redovisar t.ex. Biskopsgården och Bergsjön de lägsta
utbildningsnivåerna med 11 respektive 14 procent av befolkningen med
eftergymnasial utbildning medan motsvarande siffra för Örgryte är 46
procent. Liknande skillnader finns även inom Malmö där andelen av be-
folkningen med eftergymnasial utbildningsnivå i Västra Skrävlinge för-
samling (som bl.a. innefattar Rosengård) uppgår till 10 procent medan
motsvarande andel i Slottsstaden är 37 procent.
14
Storstaden är idag livsrum och hembygd för en tredjedel av landets invå-
nare och utgör därmed en viktig del av de förhållanden som bygger upp
en nationell och personlig identitet. Storstadens kulturella miljö präglas
framför allt av mångfald. I de stora städerna finns utrymme för olika livs-
stilar och skilda kulturella preferenser. Toleransen för det nya och an-
norlunda är oftast större än på mindre orter och ur detta uppstår en
mängd olika kulturmönster och delkulturer. Framför allt bland ungdomar
kan många delkulturer, som för en utomstående betraktare kan vara både
obegripliga och provocerande, innebära identitet, samhörighet och ett led
i deras utveckling till vuxna och självständiga individer.
Storstaden kan vara öppen och tillåtande men också anonym. För
många upplevs storstadsmiljön som lockande och välkomnande men för
andra som isolerande och hård. Anonymiteten, bristen på samhörighet
och gemenskap är mångfaldens baksida. För att motverka detta behövs
bland annat kulturella mötesplatser. Det finns ett nära samband mellan ett
rikt och mångsidigt kulturliv och ett öppet och demokratiskt samhälle.
Kulturen och konsten är vidare ett omistligt medel för att levandegöra
människans mångfald och okränkbara värde.
Den stora andelen storstadsbor som är födda eller har föräldrar som är
födda i ett annat land, har fört med sig att mångfalden av kulturer, främst
i storstäderna, har breddats. Influenser från andra länder, på grund av nya
resvanor, förbättrade kommunikationsmöjligheter och en omfattande
invandring, har gjort att de svenska storstäderna under de senaste tjugo
åren genomgått en omfattande förvandling vad gäller musikliv, teater,
konst, matkultur och umgängesvanor. Invandringen har påverkat hela det
svenska samhället och särskilt berikat storstäderna kulturellt och gjort
dem till metropoler av internationellt snitt. Den kulturella mångfalden
ökar de svenska storstädernas attraktionskraft och drar till sig internatio-
nella lokaliseringar.
Storstaden med sina många invånare och sin sammansatta befolkning
har med bredd och variation i sitt kulturliv ett omfattande kulturutbud.
Medvetenheten om kulturens roll som drivkraft i samhällsutvecklingen
och dess betydelse för människors och företags val av bostads- respekti-
ve etableringsort har ökat under senare år och trots det senaste decenniets
kärva ekonomiska klimat kan en viss ökning av offentliga satsningar på
kultur noteras.
Stockholm, Göteborg och Malmö har växt fram ur skilda historiska
förutsättningar. Olika sociala, ekonomiska och ideologiska strukturer har
bidragit till att ge städerna dess fysiska utformning, vilket skett i ett kon-
tinuerligt samspel med omlandet och omvärlden. Detta har gett karaktär
och identitet åt stadsplaner, bebyggelsemiljöer och enskilda byggnader
och anläggningar. Det har gett ett historiskt innehåll och i stadens plan-
mönster och bebyggelse kan samhällets utveckling och historia avläsas.
Omsorgen om de kulturvärden som har skapats av tidigare generationer
är en viktig förutsättning för att vidmakthålla och skapa en god livsmiljö
i staden.
Prop. 1997/98:165
15
Variationen i den successivt framvuxna bebyggelsen är värd att slå Prop. 1997/98:165
vakt om genom att vårda det gamla och verka för kvalitet i det nya som
tillkommer. Kunskap om storstädernas historiska utveckling och kultur-
värden skall vara lätt tillgänglig för invånare och besökare, men även för
de som äger och förvaltar bebyggelsen.
Stora kulturpolitiska satsningar har redan genomförts i storstäderna. En
av de större under mandatperioden är den nya byggnaden för Moderna
museet och Arkitekturmuseet som invigdes i Stockholm i februari 1998.
Staten har även lämnat ett kraftigt bidrag till Stockholm - Europas Kul-
turhuvudstad 1998. Vidare har t.ex. särskilda insatser gjorts för national-
scenema Dramaten och Operan. Ett nytt musikcentrum har inrättats för
Rikskonserter vid Nybrokajen i Stockholm. Inom bildkonsten har nya
institutioner med statligt stöd, t.ex. Färgfabriken och Skulpturens Hus,
etablerats i huvudstaden. I Göteborg har Stadsteatern och Folkteatern
erhållit särskilda statliga medel under år 1998 för att upprätthålla den
konstnärliga nivån på verksamheten. Där kommer även det nya statliga
Världskulturmuseet att ha sitt säte. Backa Teater, som är verksam i för-
orten Angered, har fått ett nationellt uppdrag att utveckla barn- och ung-
domsteatem under tre år. I Malmö har Malmö Musikteater, Malmö Dra-
matiska teater och Malmö symfoniorkester i likhet med institutionerna i
Göteborg erhållit särskilda statliga medel under år 1998. Projektet
Mazettifabriken i Malmö har fatt statliga bidrag och till dess centrala
grupper hör det uppmärksammade Dramatiska teaterkompaniet.
Bebyggelseutveckling har sedan femtiotalet inneburit en utglesning av
stadsbygden och en uppdelning av dess funktioner på olika områden.
Storstäderna har omvandlats till storstadsregioner. Miljonprogrammets
bostadsområden i storstadens ytterområden gjorde det möjligt att klara
efterkrigstidens urbanisering utan framväxt av slumområden och möjlig-
gjorde en stor befolkningsökning i storstadsområdena utan att i stort sett
några bostäder har tillkommit i stadens centrala delar. Bilen och utbygg-
naden av kollektivtrafik har varit en förutsättning för denna utveckling.
Luften i de svenska tätorterna har blivit bättre de senaste 15 åren ge-
nom utbyggnad av fjärrvärme, installation av reningsutrustning och över-
gång till svavelfattig olja. Trots förbättringar i luftkvaliteten har antalet
människor som har allergier eller astma mer än fördubblats. Någon till-
fredsställande förklaring till detta har dock inte kunnat ges.
Den utspridda bebyggelsestrukturen och den uppdelade staden har in-
neburit ett kraftigt ökat transportbehov. Det ökade transportarbetet har
lett till att trafiken i dag är den största källan till luftföroreningar i tätor-
ter. Andra källor till utsläpp av hälsopåverkande luftföroreningar i tätor-
ter är lokaluppvärmning och industriella utsläpp.
Luftföroreningar från trafiken kan påverka människors hälsa på flera
olika sätt. I första hand drabbas luftvägarna, astmatiker och barn är de
känsligaste grupperna. Vissa ämnen medverkar till uppkomst av cancer.
Allergiska besvär misstänks kunna förvärras av luftföroreningar. Hos
16
vissa känsliga grupper har akuta dödsfall kunnat observerats efter expo- Prop. 1997/98:165
nering av partiklar.. Vägtrafiken är också den största bullerstömingskäl-
lan i storstadsmiljön. Boende längs hårt trafikerade trafikleder i tätorter
är särskilt utsatta för bullerstörningar. Trafiken ger också störningar i
parker och grönområden. Flygplatser i eller i anslutning till staden utgör
också en stor bullerkälla.
En stadsplanering där bilinnehav är en förutsättning för att kunna ta del
av stadens utbud medför inte bara påfrestningar på miljö och människors
hälsa och välbefinnande, utan kan också ge negativa sociala konsekven-
ser för den del av befolkningen som inte har tillgång till bil. Därtill
kommer svårigheter för människor, djur och växter att passera de barriä-
rer som större vägar utgör.
Städernas energianvändning avser bl.a. transporter, industriproduktion
och uppvärmning av hushåll och kontor. Användningen av icke fömyba-
ra energikällor leder till klimatförändringar, luftföroreningar och följd-
problem för miljön och för människors hälsa och kan utgöra ett allvarligt
hot mot en hållbar utveckling.
Avfallshanteringen är ett särskilt problem i storstäder och tätorter.
Ökad återanvändning och återvinning krävs för att uppnå en bättre re-
surshushållning och för att minska avfallsmängderna. Avfallet innehåller
också i vissa fall gifter som kan läcka ut i naturen med risk för allvarliga
störningar i miljön som följd. Avfallsdeponeringen innebär dessutom i
sig ett volymmässigt och estetiskt problem i landskapet och skapar ofta
konflikter vid markanvändningen, främst i och i anslutning till tätorterna.
Den ekologiskt hållbara storstaden
Storstäderna är viktiga för omställningen till ett hållbart samhälle. Den
stora befolkningen och den täta bebyggelsen erbjuder stora möjligheter
för hållbara lösningar i exempelvis trafik-, energi- och bostadsfrågor. För
att en ekologisk omställning av Sverige skall lyckas är det av största vikt
att storstädernas potentiella ekologiska fördelar utnyttjas.
Det ekologiska perspektivet handlar om resurshushållning, kretslopp,
återvinning och försiktighet. Att bygga ekologiskt i tät stadsbygd är en
utmaning. De nya krav kan komma att ställas på transporter, distribution
och kommunalteknik måste anpassas till nya krav. Lösningar som bygger
på naturliga kretslopp måste komma fram. Ett ekologiskt synsätt måste
komma tidigt i planeringen. Storstaden har samtidigt speciella förutsätt-
ningar för långsiktiga investeringar i storskaliga system för hantering av
energi, vatten, avlopp och avfall. Systemen är ofta sammanvävda med
varandra och är ytsnåla, energisnåla och utnyttjar avancerad reningstek-
nik.
En storstad är mer eller mindre beroende av sitt omland för sin försörj-
ning med föda, energi, vatten m.m. och för avsättning av restprodukterna.
Dessa måste, genom att bli bättre sorterade och renare från miljögifter, i
framtiden i högre grad kunna återföras och återvinnas i slutna kretslopp.
Möjligheten till effektiva och miljövänliga transporter för det som inte
kan tillvaratas lokalt måste beaktas.
17
Närheten till parker och naturområden är av stor betydelse för livskva-
liteten i storstäderna. I många av våra städer finns centrala park-, natur-
och rekreationsområden bevarade som inte bara har stora natur- och kul-
turvärden utan också ger möjlighet att bibehålla det nära samspelet mel-
lan stadsbebyggelsen och landskapet. I Stockholm har en national-
stadspark inrättats för att stadens centrala parklandskapet och naturmiljö
skall kunna skyddas. Att värna och utveckla de stadsnära grönområdena
och deras samband med större sammanhängande naturområden är viktigt
inte bara ur miljö- och rekreationssynpunkt utan även för den biologiska
mångfalden.
Trafik i storstadsregionerna
Resvanorna varierar i landet. I storstäderna finns ett mer välutvecklat
resande med kollektivtrafik än på andra håll i landet. 60 procent av de
lokala och regionala bussresorna, samtliga tunnelbaneresor och den
övervägande delen av spårvagnsresoma i landet sker i storstäderna. Även
tågresandet sker till stor del inom de tre storstadsregionerna. Endast 9
procent av resor med regionaltågtrafik sker utanför storstadsområdena. I
Stockholmsregionen sker hela 70 procent av resorna till och från arbetet
med kollektivtrafik.
Det bör dock påpekas att resvanorna i hög grad även skiljer sig åt inom
storstäderna. Enligt en undersökning av Stockholms läns landstings regi-
onplane- och trafikkontor svarar den tiondel av befolkningen som reser
mest med bil i Stockholms län för 60 procent av trafikarbetet med bil
men bara för 2 procent av resandet med kollektivtrafik. Förhållandet är
det motsvarande för den tiondel av befolkningen som åker mest kollek-
tivtrafik. De svarar för mer än 60 procent av det totala kollektivtrafikre-
sandet och bara 2 procent av trafikarbetet med bil. Storkonsumenterna av
biltrafik och kollektivtrafik reser i genomsnitt 76 km respektive 50 km
per dag med sitt transportmedel.
Den typiske storkonsumenten av bilresor är en förvärvsarbetande, hel-
tidsanställd man med hög inkomst. Storkonsumenterna av bilresor bor
oftare än andra i villa eller radhus och har oftare flera bilar. Typiska stor-
konsumenter av kollektivtrafik bor oftare i lägen med bättre kollektivtra-
fikförsörjning men inte i innerstaden. De saknar oftare än andra tillgång
till bil i hushållet. Med tanke på biltrafikens stora miljöpåverkan så är det
av nationellt intresse att andelen resande med kollektivtrafik i städerna
kan ökas ytterligare.
Ett av de större folkhälsoproblemen i Sverige är de dödsfall och all-
varliga personskador som uppstår till följd av trafikolyckor. Ungefar en
tredjedel av dödsfallen och två tredjedelar av de allvarliga skadefallen i
trafiken sker inom tätbebyggda områden. Starka hälso- och trafiksäker-
hetspolitiska skäl talar för att på olika sätt begränsa trafikens skadeverk-
ningar.
Prop. 1997/98:165
18
Prop. 1997/98:165
Storstaden som social miljö präglas av ovanligt stora skillnader mellan
olika grupper, av en stor mångfald och av en lösare social struktur än
andra delar av landet.
Invånarnas inkomster i de tre storstadsregionerna är som genomsnitt
något högre än i riket som helhet. Den genomsnittliga sammanräknade
inkomsten i Stockholm ligger på 170 500 kronor per år, för Göteborg på
154 300 kronor per år medan Malmö ligger på riksgenomsnittet på
147 100 kronor per år. Inkomstklyftorna inom städerna är dock enorma.
Den genomsnittliga medelinkomsten per invånare i Stockholmsförorten
Rinkeby ligger på 78 200 kronor per år, att jämföra med 283 500 kronor i
området runt Karlaplan. I Göteborg varierar medelinkomsten mellan
65 000 kronor per år i stadsdelen Hjällbo och 240 000 kronor per år i
stadsdelen Hovås. Liknande klyftor finns också i Malmö. De rikaste
stadsdelarna har alltså mellan tre och fyra gånger så höga medelinkoms-
ter som de fattigaste.
Ett annat uttryck för segregationen är skillnader i arbetsmarknadsdel-
tagande. Förvärvsfrekvens är egentligen ett bättre mått på delaktigheten
på arbetsmarknaden än arbetslösheten. Förvärvsfrekvens mäter hur stor
andel av befolkningen i arbetsför ålder som förvärvsarbetar eller söker
arbete. Den genomsnittliga förvärvsfrekvensen för Stockholmsregionen
är något högre än i riket som helhet, medan Göteborg och Malmö ligger
något under rikssnittet. Skillnaderna inom städerna är dock mycket stora.
I Stockholm har Rinkeby den lägsta förvärvsfrekvensen av alla stadsdelar
med 33 procent och Västerled har stadens högsta förvärvsfrekvens med
knappt 79 procent. I Malmö har stadsdelen Rosengård en förvärvsfre-
kvens på 32 procent att jämföra med Västra Innerstadens 81 procent. I
Göteborg är skillnaden stor mellan stadsdelen Hjällbo med 32 procent i
förvärvsfrekvens och Hovås med 93 procent. Kvinnorna i de utsatta
stadsdelarna har genomgående en något lägre förvärvsfrekvens än män-
nen.
Storstäderna präglas av en annorlunda befolkningssammansättning
med större rörlighet och lösare sociala strukturer än andra orter. Den år-
liga omflyttningen inom storstadsregionerna är betydande. Som exempel
kan nämnas att inte mindre än 153 794 (av totalt ca 700 000 ) stockhol-
mare flyttade under år 1995. Drygt 80 000 flyttade in eller ut över kom-
mungränsen, resten flyttade inom stadens gränser. Andelen personer som
under året flyttat in eller ut ur kommunen eller inom kommunen var år
1996 23,3 procent för Göteborgs kommun, 22,9 procent för Malmö
kommun och 21,7 procent för Stockholms kommun, att jämföra med
17,1 procent för riket i genomsnitt.
Storstäderna präglas också av en mycket hög andel ensamhushåll och
en mycket hög andel ensamstående föräldrar med barn. År 1995 var an-
delen bamhushåll bestående av en ensamstående förälder 32,5 procent i
Stockholmsregionen, 27,5 procent i Malmöregionen och 26,8 procent i
Göteborgsregionen, att jämföra med 20,7 procent i övriga delar av riket
(SCB Hink 1996). Här är skillnaderna inom storstadsregionerna betydan-
de. I Storstadskommitténs rapport Delade städer (SOU 1997:118) redovi-
19
sas att i stadsdelar med mycket hög eller extremt hög inkomst består ca
10 procent av bamhushållen av en ensamstående förälder. Motsvarande
siffra i stadsdelar med mycket låg eller extremt låg inkomst är ca 30 pro-
cent. Den helt övervägande delen av de ensamstående föräldrarna är
kvinnor.
Befolkningens genomsnittliga ålder skiljer sig inte så mycket åt mellan
storstadsregionerna och riket i sin helhet. Däremot är ålderssegregationen
inom storstadsregionerna betydande. De mest utsatta bostadsområdena är
mycket bamrika. Andelen barn och ungdomar under 25 år uppgår i ge-
nomsnitt till över 40 procent av befolkningen, att jämföra med 25-35
procent i övriga områdestyper (SOU 1997:118). En annan siffra som vi-
sar på samma fenomen är att 36 procent av samtliga barn och ungdomar i
storstadsregionerna växer upp i områden med mycket låga eller extremt
låga inkomster. Detta skall jämföras med att dessa stadsdelar totalt endast
har 18 procent av storstadsregionernas befolkning. Dessa demografiska
fakta visar tydligt att en mycket stor del av storstädernas framtida vuxna
befolkning kommer att ha vuxit upp i de fattigaste stadsdelarna. Det in-
nebär också att dagens uppväxtvillkor för barn och ungdomar i de utsatta
stadsdelarna är mycket avgörande för storstadsregionernas framtid.
Storstadsregionerna har en betydligt mer blandad befolkning med av-
seende på ursprungsland än resten av riket. Andelen utlandsfödda invåna-
re är 16,8 procent i Stockholmsregionen, 13,8 procent i Göteborgsregio-
nen och 15,5 procent i Malmöregionen att jämföra med 10,7 procent i
riket som helhet. De mest utsatta stadsdelarna har ännu högre andelar
utlandsfödda, i genomsnitt 53 procent. Andelen barn och ungdomar med
utländsk bakgrund (dvs. någon av föräldrarna födda utomlands) i de mest
utsatta stadsdelarna är så hög som 85 procent att jämföra med 28 procent
i storstadsregionerna som helhet (Tre städer - SOU 1998:25).
Storstadsregionernas bostadsbestånd och därmed invånarnas boende
skiljer sig också en del från riket i övrigt. Betydligt fler lägenheter i stor-
städerna finns i flerbostadshus (75 procent) att jämföra med 30 procent i
övriga riket. Av storstädernas lägenheter i flerbostadshus är 71 procent
hyresrätter och 29 procent bostadsrätter. 50 procent av storstädernas hy-
reslägenheter ägs av allmännyttiga bostadsföretag och 50 procent är pri-
vatägda. I de socialt utsatta stadsdelarna ägs den övervägande delen av
lägenheterna av de allmännyttiga bostadsbolagen.
Storstäderna har den i särklass högsta andelen socialbidragsberoende,
dvs. personer som är helt eller delvis beroende av socialbidrag för sin
försörjning. Under nittiotalet har socialbidragskostnadema näst intill tre-
dubblats i de tre storstadsregionerna.
Prop. 1997/98:165
20
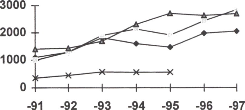
Diagram 1: Socialbidragskostnader 1991-97 i kronor per invånare. Jämförelse Prop. 1997/98:165
Stockholm, Göteborg, Malmö och riket.
♦ - Stockholm
--Göteborg
-a- Malmö
-x- Riket
Källa: Svenska kommunförbundet samt respektive kommun
Arbetslösheten har stor betydelse när det gäller socialbidragstagandet
men arbetslöshetens betydelse varierar över tid och med konjunkturför-
hållanden. Arbetslösa som blivit hänvisade till socialbidrag är ofta perso-
ner som inte hunnit kvalificera sig för arbetslöshetsersättning. Det är
framförallt flyktingar, ungdomar och andra med svårigheter att ta sig in
på arbetsmarknaden som blir beroende av socialbidrag för sin försörj-
ning. Även sociala och medicinska problem hos människor, t.ex. miss-
bruk, psykiska problem, andra hälsoproblem eller sociala problem kan ha
betydelse för socialbidragsberoende. Socialbidragstagare har sämre lev-
nadsförhållanden än andra låginkomsttagare, sämre hälsotillstånd , sva-
gare position på arbetsmarknaden och är mer utsatta för våld. Det betyder
att de i större utsträckning än andra låginkomsttagare har andra problem
än bara ekonomiska.
Storstäderna har den högsta andelen hushåll med socialbidrag och det
högsta genomsnittliga bidraget per hushåll. I glesbygdskommuner är an-
delen socialbidragstagare lägre men istället har fler människor ersättning
från det generella socialförsäkringssystemet såsom förtidspension eller
arbetslöshetsersättning. Som storstadskommittén visat så är andelen soci-
albidragstagare särskilt högt i storstädernas utsatta områden. Skillnaden
mellan de olika bostadsområden är emellertid stor.
Huvuddelen av socialbidragskostnadema betalas av kommunerna.
Statlig ersättning utgår emellertid för mottagandet av flyktingar och vissa
andra utlänningar. Kommunerna får en schabloniserad ersättning för
varje mottagen flykting och annan utlänning som omfattas av flykting-
mottagandet.
Under perioden 1950-1996 har antalet polisanmälda brott i Sverige ökat
från ca 200 000 till ca 1 200 000 brott per år. Under 1990-talet har den
anmälda brottsligheten legat på en relativt stabil nivå, men sett under den
21
längre period som efterkrigstiden utgör rör det sig om en ökning med 500 Prop. 1997/98:165
procent. Förklaringen till denna ökning står främst att finna i vissa
strukturella faktorer som vi har gemensamt med övriga västeuropeiska
länder. Den kraftiga forbättringen av människors levnadsnivå och en för-
ändrad livsstil medförde en likaledes kraftig ökning av antalet brottstill-
fällen. Urbaniseringen ökade anonymiteten och minskade därmed den
sociala kontrollen människor emellan. Normsystemen förändrades lik-
som familjens och skolans roll.
Brottsligheten har dock ökat olika mycket i olika delar av landet. I ett
längre perspektiv har brottsökningen varit större i storstadsregionerna än
i övriga områden, även om hänsyn tas till skillnader i befolkningstill-
växten. Antalet anmälda brott mot brottsbalken var år 1996 hela 60 pro-
cent högre i de tre storstadslänen än i övriga landet (15 565 i jämförelse
med 9 734 brott per 100 000 invånare).
Även inom städerna, och det gäller särskilt for Stockholm, Göteborg
och Malmö, finns stora skillnader i brottsnivå. Vissa bostadsområden är
således mer utsatta än andra. Dessa skillnader kan till stor del förklaras
av boendesegregationen och dess sociala konsekvenser. Vidare pekar
utvecklingen mot att skillnaderna i brottsnivå mellan olika stadsdelar
tenderar att öka. I de områden där brottsligheten redan är hög, ökar
brottsligheten snabbare än i andra delar av staden.
I Storstadskommitténs betänkande Tre städer (SOU 1998:25) visas att
invånarna i storstädernas utsatta stadsdelar i större utsträckning utsätts
för våld och skadegörelse än övriga storstadsinvånare.
Tabell 2: Utsatt för brott, 1994/95 16-74 år
|
Procent |
Utsatta stadsdelar |
Övriga stadsdelar |
|
Utsatt för något våld eller hot om våld |
H,2 |
9,4 |
|
Utsatt för våld som vållade kroppsskada |
3,5 |
2,6 |
|
Utsatt för våld som krävde läkarbesök |
2,1 |
1,2 |
|
Utsatt för stöld eller skadegörelse |
42,1 |
34,6 |
|
i lägenheten |
18,5 |
11,8 |
|
av bil |
12,5 |
14,0 |
|
Förekomsten av skadegörelse i bostadsområdet | ||
|
ja, mycket vanligt |
18,3 |
4,6 |
|
ja, ganska vanligt |
17,9 |
10,1 |
Källa: SCB, ULF
Detta är en mycket oroande utveckling. Hög brottslighet och otrygghet i
ett område följer hand i hand med en ökad omflyttning av invånarna, vil-
ket starkt motverkar eventuella försök att skapa en känsla av delaktighet
och social stabilitet. De som har ekonomiska och andra möjligheter flyt-
tar därifrån och området kommer efterhand att domineras av resurssvaga
människor med olika slags sociala problem.
Om inga åtgärder vidtas är risken stor att vi hamnar i en etnisk, eko-
nomisk och social segregationsspiral som i slutänden kan leda till strängt
uppdelade städer. Erfarenheterna från många nordamerikanska och väst-
europeiska städer är skrämmande. I den anglosaxiska kriminologiska
litteraturen används i dessa sammanhang begreppet övertippningseffekt,
vilket innebär att det finns en utvecklingspunkt där ett område uppfattas
som bortom all räddning. I Sverige har vi inte kommit dithän att vissa
22
stadsdelar har gått förlorade, men erfarenheterna från andra delar av Prop. 1997/98:165
världen visar att om inget görs finns till slut små möjligheter att vända
riktning på utvecklingen.
Storstäderna kännetecknas av att de har ett mer mångfacetterat och speci-
aliserat fritidsutbud än övriga delar av landet. Denna utveckling har bi-
dragit till att de traditionella folkrörelserna har tappat mer mark i stor-
stadsregionerna än i övriga riket. Om man utgår från medlemskap i tradi-
tionella folkrörelser och politiska partier som ett mått på politiskt enga-
gemang så ter sig framtidsbilden mörk. Så har t.ex. de politiska partierna
i landet som helhet tappat i medlemskap så att de nu organiserar 9 pro-
cent av den vuxna befolkningen mot 15 procent för tio år sedan. Bland
ungdomar 16-24 år har andelen medlemmar i politiska partier sjunkit
från 11 procent år 1980 till 4 procent år 1994. Nu vet vi att det politiska
engagemanget delvis tar sig nya former i enfrågerörelser, kampanjer och
aktionsgrupper men också i direkt ansvarstagande i brukarkooperativ av
olika slag. Det innebär en stor utmaning för det demokratiska systemet
att kunna ta tillvara detta engagemang inom ramen för det parlamentaris-
ka systemet.
Om man studerar valdeltagandet i storstäderna i sin helhet ligger det
något under genomsnittet i riket. I kommunalvalen år 1994 var t.ex. val-
deltagandet i Stockholm 81,2 procent, Göteborg 81,2 procent och Malmö
80,9 procent att jämföra med 84,4 procent i riket i sin helhet. Inom stä-
derna är skillnaderna mycket stora. I kommunalvalet år 1994 var valdel-
tagandet i stadsdelen Rinkeby i Stockholm 53,1 procent, motsvarande
siffra för stadsdelen Västerled var 87,1 procent. I Göteborg varierade
valdeltagandet från 60 procent i Hjällbo till 92,6 procent i Hovås. I Mal-
mö är skillnaden stor mellan 43 procent i delar av Rosengård och 90 pro-
cent i delar av Västra Innerstaden.
I undersökningen av levnadsförhållanden (ULF) år 1996 har SCB ställt
frågor om medlemskap och aktivitet i politiska, fackliga och andra orga-
nisationer.
Tabell 3. Medborgerliga och politiska aktiviteter i riket i jämförelse med storstads-
regionerna - procent av vuxen befolkning
|
Aktivitet |
Riket |
Stockholm |
Göteborg |
Malmö | ||||
|
män kvinnor |
män |
kvinnor |
män kvinnor |
män kvinnor | ||||
|
Medlem i parti |
11 |
9 |
8 |
6 |
9 |
5 |
6 |
4 |
|
Aktiv i parti |
3 |
2 |
3 |
1 |
1 |
1 |
1 |
1 |
|
Delt i politiskt möte |
6 |
4 |
6 |
2 |
6 |
3 |
3 |
1 |
|
Medlem, i fackföre- |
81 |
85 |
69 |
73 |
77 |
80 |
71 |
82 |
|
ning eller liknande | ||||||||
|
Aktiv i fackförening |
12 |
10 |
9 |
7 |
14 |
8 |
8 |
15 |
|
eller liknande | ||||||||
|
Medlem i annan |
68 |
62 |
66 |
59 |
71 |
63 |
66 |
56 |
|
förening | ||||||||
Källa: SCB- ULF 1996
23
I den bild som här ovan tecknats av storstadsregionerna framträder de
svenska storstäderna som ekonomiskt, socialt, etniskt och demografiskt
segregerade städer.
Sveriges historia är intimt sammankopplad med skeenden i övriga Eu-
ropa och världen. Det som vi idag kallar det svenska samhället, den
svenska kulturen och det svenska språket är vid en närmare analys pro-
dukten av århundradens kontakter med andra samhällsbildningar, kultu-
rer och språk. Intensiteten i utbytet har varierat genom åren, främst på
grund av strukturella faktorer som nya produktionsmetoder och kommu-
nikationer. Migrationsströmmama mellan olika delar av världen har ock-
så berott på strukturomvandlingar. Det finns förmodligen ingen period i
den mänskliga historien under vilken strukturomvandlingen har gått så
fort som just nu.
Om man skall förstå den växande segregationen i Europas storstäder
måste man ha ett internationellt och historiskt perspektiv. Segregationens
grundläggande orsaker står alltså att finna i den pågående strukturom-
vandlingen, i vilken stora mängder människor frigörs från produktionen
och blir i ekonomisk mening obehövda. I denna situation drabbas i första
hand de grupper som står längst bak i kön, dvs. de som har minst anknyt-
ning till arbetsmarknaden och till samhället. För personer med utländsk
bakgrund tillkommer också ett hinder i form av medveten eller omedve-
ten diskriminering på arbetsmarknaden. Arbetsgivare tenderar att välja
det kända framför det okända. Kontakter är ofta viktigare än kompetens.
Så länge som många människor står utan arbete kommer det att vara
mycket svårt att komma åt den etniska eller sociala segregationen.
Segregationen i storstäderna beror således inte på byggandet av stor-
skaliga bostadsområden under miljonprogrammets dagar, även om dessa
i dag är en del av problemet. Segregationen finns i alla större internatio-
nella städer, och den finns i stadskärnor likväl som i förorter. Den är allra
starkast i de städer där man inte vidtagit några offentliga åtgärder för att
lösa bostadsbristen och där den sociala välfärden varit eftersatt.
Segregationsbegreppet
Segregation kan definieras som geografisk separation mellan olika be-
folkningsgrupper (definierade utifrån ekonomiska, sociala, etniska eller
demografiska karakteristiska). Den fysiska separationen uppfattas också
som en manifestation av social distans mellan olika befolkningsgrupper.
Segregationen är dock ingen enkel företeelse. Tvärtom har den flera di-
mensioner. Dessa dimensioner - ekonomiska, sociala, etniska och demo-
grafiska - måste studeras för att segregationsprocessen skall kunna för-
stås. Helheten är viktig men olika dimensioner måste hållas isär. I många
fall framträder de olika dimensionerna tillsammans.
När det gäller ekonomisk segregation kan man konstatera att föränd-
ringarna när det gäller ekonomisk status inte varit stora - relativt sett -
för majoriteten av bostadsområdena i storstadsregionerna under perioden
1985-1994. Men det finns flera områden - och framförallt bor det fler
Prop. 1997/98:165
24
invånare i dessa områden - där en sänkning av den ekonomiska statusen
har skett jämfört med områden som har fått se sin ekonomiska status
höjd. Samtidigt har den ekonomiska segregationen blivit mer påtaglig.
En analys av förändringar av socialbidragstagandet visar att de områ-
den som hade hög andel socialbidragstagare år 1985 också hade en hög
andel socialbidragstagare år 1993. Det handlar om en mycket klar och
tydlig permanent struktur. Det är i för sig inte överraskande att andelen
socialbidragstagare följer inkomststrukturen i storstadsregionerna. Men
oavsett detta kan man konstatera att det rör sig om stora skillnader mellan
olika områdestyper. Den genomsnittliga andelen socialbidragstagare i
områden med mycket låga och extremt låga inkomster låg kvar på en hög
nivå år 1990 trots att den svenska ekonomin i slutet av 1980-talet befann
sig på konjunkturtoppen och det rådde mer eller mindre fall sysselsätt-
ning.
Utvecklingen av andelen socialbidragstagare är även en viktig indika-
tor på sociala problem. Enligt vissa uppskattningar hade omkring en
tredjedel av socialbidragstagama under 1980-talet missbruksproblem.
Socialbidragstagare hade också sämre sociala relationer än övriga. Soci-
albidragstagamas sociala isolering kunde utläsas utifrån det faktum att de
i större utsträckning än befolkningen i övrigt var rädda att gå ut och att de
hade fårre kontakter med nära släkt. Generellt sett är andelen socialbi-
dragstagare också högre bland utrikes födda än bland den infödda be-
folkningen. Huvudförklaringen är att gruppen utrikes födda i genomsnitt
har lägre inkomster än den infödda befolkningen. Andelen socialbi-
dragstagare bland infödda svenskar är mycket hög i de mest utsatta om-
rådena i storstäderna. Den genomsnittliga andelen socialbidragstagare av
den infödda befolkningen i de mest utsatta områden är 20 gånger högre
än i områden med extremt hög inkomst. Det fanns alltså ett starkt och
positivt samband mellan andelen socialbidragstagare och andelen social-
bidragstagare av den infödda befolkningen.
Sammanfattningsvis visar utvecklingen av andelen socialbidragstagare
att den sociala segregationen är mycket påtaglig i storstadsregionerna. De
slutsatser, som man kom fram till när det gäller den ekonomiska segre-
gationen, är giltiga också när det gäller den genomsnittliga andelen soci-
albidragstagare i olika bostadsområden. Det är alltså framförallt bostads-
områden med mycket låga inkomster och extremt låga inkomster som
avviker kraftigt i förhållande till andra bostadsområden i storstadsregio-
nerna.
Skillnader i folkhälsa
Både svenska och internationella studier visar att hälsa följer den socio-
ekonomiska klasstillhörigheten. Därmed är det ganska naturligt att för-
vänta sig dålig hälsa i de utsatta områdena i storstäderna. Den självupp-
levda hälsan är således sämre i de utsatta områdena än i andra områden i
storstadsregionerna. Den åldersstandardiserade andelen förtidspensionä-
rer är mer än fem gånger så hög i de fattigaste bostadsområdena som i de
rikaste. Mellan åren 1984 och 1993 ökade den åldersstandardiserade an-
Prop. 1997/98:165
25
delen förtidspensionärer i låginkomstområdena med 20 procent och år
1993 var den 50 procent högre än genomsnittet i regionen. Den ålders-
standardiserade andelen långtidssjukskrivna är tre gånger större i de fat-
tigaste bostadsområdena än i de rikaste. Den höga andelen långtidssjuk-
skrivna av alla sjukpenningförsäkrade visar att de som bodde i de socialt
och ekonomiskt mest utsatta områdena hade dålig hälsa. Detta kan tolkas
som att det inte bara var de som stod utanför och inte hade något arbete
som mådde dåligt, utan också de som hade ett arbete var ofta sjuka. Allt
detta visar att befolkningen i bostadsområden med låga inkomster har
dålig hälsa.
Den etniska segregationen
Vissa bostadsområden brukar beskrivas som etniskt segregerade. Om
man ser till andelen personer med utländsk bakgrund har denna visserli-
gen ökat i alla typer av bostadsområden, både mellan åren 1985 och 1990
och mellan åren 1990 och 1994. Ökningen har dock varit störst i områ-
den med mycket låga respektive extremt låga inkomster. Om man ser till
det totala antalet personer med utländsk bakgrund framträder emellertid
en annan bild. Som framkommit bland annat i Storstadskommitténs
första delbetänkande Att röja hinder (SOU 1995:42) är det nämligen inte
de mest utsatta områdena som det stora flertalet bor.
I Sverige förekommer inte, som i andra länder, etnisk segregation i den
bemärkelsen att en enskild etnisk grupp dominerar ett visst bostadsområ-
de. I de områden som ofta beskrivs som etniskt segregerade bor ofta
människor med sitt ursprung i många olika länder och kulturer tillsam-
mans. Det tycks inte heller finnas någon stark önskan bland personer med
utländsk bakgrund att bo etniskt segregerat. Tvärtom finns studier som
visar motsatsen. Det är således tveksamt om det är riktigt att tala om Sve-
rige som etniskt segregerat. Flera studier visar i stället att segregationen i
första hand är en klassfråga.
Den demografiska segregationen
Med demografisk segregation menas i detta sammanhang skillnader i
befolkningsstrukturen. Den genomsnittliga andelen ensamföräldrar av
alla bamhushåll var högst år 1990 i områden med mycket låga inkomster.
Mönstret när det gäller andelen ensamföräldrar sammanfaller i stort sett
med tidigare beskrivna ekonomiska, sociala och etniska förhållanden. Ju
högre andel höginkomsttagare desto lägre andel ensamföräldrar.
Kvoten mellan andelen bam/ungdomar och pensionärer var högst i om-
råden med extremt låg inkomst. Detta sammanfaller med att andelen äld-
re än 64 år är lägst i bostadsområden med extremt låg inkomst och att
andelen barn och ungdomar (0-24 år) är högst i de socialt och ekono-
miskt mest utsatta områdena. I dessa områden bodde nästan fem gånger
så många bam/ungdomar som pensionärer. Den största förändringen un-
der perioden 1985-1994 skedde däremot i höginkomstområdena. Där
minskade kvoten under hela perioden. Minskningen var ett resultat av
Prop. 1997/98:165
26
både fallande andel bam/ungdomar och ökande andel pensionärer. I om-
råden med extremt hög inkomst minskade kvoten med hela 21 procent
under perioden 1985-1994. Det var framförallt den starkt ökade andelen
pensionärer i dessa områden som påverkade kvoten negativt.
Segregationen och arbetsmarknaden
Många studier visar att invandrare och ungdomar (de grupper som försö-
ker etablera sig på arbetsmarknaden) är mest utsatta på dagens svenska
arbetsmarknad. Dessutom är de sällan berättigade till arbetslöshetsersätt-
ning. Men även ungdomar och invandrare som inte är direkt drabbade av
arbetslösheten befinner sig i en otrygg situation, dvs. får oftast nöja sig
med tillfälliga anställningar. Vidare far personer med omfattande sjuk-
skrivningar allt svårare att återkomma till arbetsmarknaden när sjuk-
skrivningen upphört. Det faktum att andelen långtidssjukskrivna är tre
gånger större i de fattigaste än i de rikaste bostadsområdena visar också
att utsorteringsmekanismer som verkar på arbetsmarknaden i stort sett
bestämmer segregationen (dvs. de som stängs ute hamnar i samma bo-
stadsområde).
Slutsatser
I stora drag skulle man kunna sammanfatta beskrivningen av segrega-
tionsprocessema under de senaste tio åren i följande slutsatser:
- i storstäderna sammanfaller ekonomisk, social, etnisk och demogra-
fisk segregation,
- segregationen i storstäderna är i första hand en ekonomisk och social
segregation och inte en etnisk segregation (på etniska grunder),
- det finns tendenser till att segregationen i storstäderna handlar om
klasskillnader mellan de som är etablerade på arbetsmarknaden (och
därmed också i välfärdssystemet) och en utanförståendeklass.
- när det gäller segregationen i samhället kan man dra slutsatsen att den
har existerat under hela den studerade perioden, men att den har blivit
mer påtaglig under de senaste åren. Sambandet mellan utanförskapet
och ekonomiska förutsättningar är mycket tydligt.
Segregationens mekanismer är i stort sett desamma i alla moderna stor-
städer. Trots problemen i de svenska storstäderna har vi en jämförelsevis
bättre situation än de större engelska, tyska och franska städerna och en
ojämförligt bättre situation än de amerikanska storstäderna. De socialt
utsatta områdena i dessa städer präglas av:
- extremt hög arbetslöshet. Det finns exempel på bostadsområden i
England och USA där mer än tre fjärdedelar av den arbetsföra befolk-
ningen står utanför arbetsmarknaden. Generationsarbetslösheten är
också tydlig - barn till arbetslösa ärver föräldrarnas utanförskap.
- utbrett missbruk av alkohol och narkotika
Prop. 1997/98:165
27
- extremt hög kriminalitet, våld, prostitution och en utvecklad gäng-
brottslighet
- ovärdiga uppväxtvillkor för många barn
- mycket lågt förtroende for det demokratiska systemet. Valdeltagandet
ligger ofta långt under hälften av de röstberättigade.
I slutänden av segregationsspiralen finns med andra ord ett uppdelat
samhälle; det som många kallar för två-tredjedelssamhället. Det är ett
samhälle som inte endast innebär svåra livsvillkor for de grupper som
står utanför det etablerade samhället. Det innebär också att de övriga
kommer att drabbas av otrygghet och kriminalitet. När de sociala spän-
ningarna blir tillräckligt starka i samhället kommer de väletablerade
grupperna behöva att ägna allt mer resurser åt att skydda sig och sin
egendom. Starkt segregerade städer är också mycket slutna och överva-
kade städer.
I Storstadskommitténs rapport Delade städer (SOU 1997:118) refereras
några internationella studier av segregation i storstäderna. Några slutsat-
ser kan dras av de internationella studierna:
- i förhållande till andra OECD-länder har Sverige inte fullt så tunga
segregationsproblem, även om utvecklingen går i samma riktning
- i de mest utsatta storstadsstadsdelama har Sverige en mycket hög an-
del invandrare (högst av alla OECD-länder).
- arbetskraftsdeltagandet i de fattiga stadsdelarna i Sverige är mycket
lågt, i synnerhet i relation till arbetskraftsdeltagandet i nationen som
helhet.
- i de fattiga stadsdelarna i Sverige finns en ovanligt tydlig koncentra-
tion av grupper som har svårt att etablera sig på arbetsmarknaden; in-
vandrare, ungdomar och ensamstående föräldrar men också av lång-
tidssjukskri vna och andra grupper som har svårigheter att komma till-
baka på arbetsmarknaden.
I Storstadskommitténs slutbetänkande Tre Städer (SOU 1998:25) refere-
ras olika nationella och lokala åtgärdsprogram mot segregationen som
har genomförts i bl.a. Frankrike, Storbritannien och Nederländerna. I
Frankrike har stora program mot segregationen genomförts under 1980-
och 90-talen. Regeringen har till och med inrättat ett eget ministerium för
social integration. Förutom de program för social och fysisk upprustning
av utsatta och nerslitna bostadsområden som har genomförts sedan 1980-
talet inledde regeringen under år 1997 ett försök med ekonomiska frizo-
ner i 44 storstadsområden. De franska erfarenheterna av insatserna hittills
är att de inte har kurmat lösa de grundläggande problemen men väl att de
har mildrat och dämpat en fortsatt negativ utveckling.
Storbritannien har mer än tjugo års erfarenhet av statliga insatser i ut-
satta storstadsområden. Det senaste initiativen är programmen City
Challenge och Single Regeneration Budget.
City Challenge syftar till att skapa synergieffekter via ett partnerskap
mellan den offentliga och den privata sektorn samt det lokala civilsam-
hället. Drygt 60 kommuner deltar i programmet. Som villkor för att delta
i programmet har regeringen krävt att kommunerna på ett övertygande
Prop. 1997/98:165
28
sätt måste presentera en handlingsstrategi som visar att de förmår att ge-
nomföra ett effektivt partnerskap.
Single Regeneration Budget, som har en årlig budget på drygt 13 mil-
jarder kronor, har som målsättning att decentralisera och förenkla statens
stöd till ekonomisk och industriell utveckling samt utveckla strategier för
stadsutveckling.
Erfarenheterna från de brittiska programmen är att i de framgångsrika
projekten har arbetslösheten i områdena kunnat sänkas betydligt, otrygg-
heten har minskat och omflyttningen har minskat. De förnyelseprojekt
som har varit framgångsrika har:
- byggt på en helhetssyn för områdets utveckling
- varit långsiktiga
- involverat såväl offentlig som privat sektor
- byggt på invånarnas delaktighet i projekten
Problemen i de utsatta stadsdelarna i Holland uppmärksammades av den
holländska regeringen år 1989. Man konstaterade att förändringar av bo-
ende- och utemiljön inte löste områdenas sociala problem. I stället iakt-
togs en alltmer tilltagande boendesegregation. Mot bakgrund av detta
lanserade regeringen ett permanent program för social förnyelse. Pro-
grammet inriktades mot följande tre områden:
- arbete, utbildning och inkomst.
- förbättringar av boende- och levnadsvillkoren.
- insatser som främjar de sociokulturella förhållandena.
I slutet av år 1994 introducerades ett nytt storstadspolitiskt program av
regeringen. Programmet omfattar Hollands fyra största städer, Amster-
dam, Rotterdam, Haag och Utrecht samt 15 mellanstora städer. Insatserna
riktas till de stadsdelar som har hög arbetslöshet, hög andel invandrare
och nedslitna boendemiljöer. De städer som omfattas av programmet
ingår ett kontrakt med regeringen där målen är mycket konkret formule-
rade. Regeringen har i sin budget för programmet avsatt 1 miljard gulden
per år fram till år 2000.
Prop. 1997/98:165
Regeringens principiella utgångspunkter för denna är desamma som för
propositionen om regional tillväxt som presenterades i mars 1998. Politi-
ken syftar således till att utjämna de strukturella orättvisor som finns
mellan olika områden, såväl mellan olika regioner i riket som mellan
olika områden inom regionerna. Men alla regioner kan inte, och skall
inte, utvecklas i samma riktning. Varje region har unika resurser och uni-
ka konkurrensfördelar.
29
Såsom beskrivits i avsnitt 3 har storstadsregionerna totalt sett goda
förutsättningar vad avser sysselsättning och tillväxt. Den nationella stor-
stadspolitiken syftar till att ge storstadsregionerna bättre möjligheter att
utveckla dessa positiva sidor. Skillnaderna inom storstadsregionerna är
emellertid mycket stora och vissa utsatta områden har svårare problem än
många glesbygdsområden. Den nationella storstadspolitiken måste därför
bidra till en utjämning av villkoren inom storstadsregionerna. Det handlar
dels om att ge den regionala och lokala demokratiska nivån de nödvändi-
ga instrumenten för att kunna motverka de ökande klyftorna, dels att sta-
ten direkt, via ekonomiskt stöd och via styrning av de statliga myndig-
heterna, bidrar till att stärka invånarna i de socialt utsatta stadsdelarna.
Prop. 1997/98:165
Regeringens förslag: Målen för storstadspolitiken är:
- att ge storstadsregionerna goda förutsättningar för tillväxt och där-
med kunna bidra till att nya jobb skapas såväl inom regionerna som
i övriga delar av landet.
- att bryta den sociala och etniska segregationen i storstadsregioner-
na och att verka för jämlika levnadsvillkor för storstädernas invå-
nare
Skälen för regeringens förslag: De förslag till statliga åtgärder som
läggs i de kommande avsnitten anknyter till dessa övergripande natio-
nella storstadspolitiska mål. Målen är att betrakta som långsiktiga inrikt-
ningsmål. För att målen skall kunna nås krävs insatser från fler aktörer,
främst från regionerna, från kommunerna och från storstadsmedborgama
själva. Regeringen anser att de offentliga resurser som redan finns i stor-
stadsområdena, tillsammans med de medel som tillförs i denna proposi-
tion, är tillräckliga för att målen skall kunna nås. Däremot krävs en be-
tydligt bättre samordning av olika aktörers insatser. Formulerandet av
nationella storstadspolitiska mål syftar till att stärka denna samordning.
Den storstadsdelegation som regeringen föreslår skall inrättas bör fa i
uppdrag att följa upp de storstadspolitiska målen. De mål som avser
kampen mot segregationen bör också ligga till grund för de lokala ut-
vecklingsavtal som avses bli träffade för storstädernas mest utsatta områ-
den. Därvidlag fungerar de ovan formulerande målen som styrande för de
medel som regeringen föreslår skall användas för storstadspolitiska insat-
ser.
I inledningen av denna proposition redovisades regeringens två ut-
gångspunkter för den nationella storstadspolitiken: den statliga politiken
skall syfta till att bättre tillvarata de unika möjligheter som storstadsmil-
jön ger, men också till att motverka de särskilda problem som en långt
gången urbanisering medför.
Storstadens möjligheter ligger i dess mångfald, skapandekraft och till-
växtpotential. I avsnitt 3 beskrivs storstädernas betydelse för utveckling
och tillväxt i Sverige. Det första målet för storstadspolitiken bör vara att
30
ge storstadsregionerna goda förutsättningar för en långsiktigt hållbar till-
växt och därmed kunna bidra till att nya jobb skapas såväl inom dessa
regioner som i övriga delar av landet
Detta mål kan brytas ned till mer konkreta målsättningar:
- de svenska storstadsregionerna bör kunna hävda sig väl i konkurren-
sen om etableringar och investeringar gentemot andra europeiska stor-
stadsregioner
- de svenska storstadsregionerna bör fa bättre möjligheter att utveckla
sin transnationella regionala roll, Stockholm i Östersjöregionen, Göte-
borg i Nordsjöregionen och Malmö i Öresundsregionen
- de svenska storstadsregionerna bör ha tillgång till välutbildad arbets-
kraft motsvarande det behov som finns i regionernas näringsliv och
offentlig verksamhet
- de statliga näringspolitiska insatserna bör i högre utsträckning anpas-
sas till respektive regions egna förutsättningar
- de svenska storstadsregionerna bör värna och stärka sin attraktivitet
Storstadens särskilda problem handlar i första hand om de växande klyf-
torna mellan de som har och de som saknar arbete och egen inkomst och
mellan infödda och utrikes födda. I avsnitt 3 beskrivs utvecklingen avse-
ende den sociala och etniska segregationen. Det mönster som framträder
är djupt oroande. Det framgår klart att den etniska och sociala segrega-
tionen utgör ett stort hot mot såväl demokrati som välfärd om inte ut-
vecklingen kan brytas. Det andra målet för den statliga storstadspolitiken
är därför att bryta den sociala och etniska segregationen i storstadsregio-
nerna och att verka för jämlika levnadsvillkor för alla invånare oavsett
ursprung och kön.
Detta mål kan preciseras utifrån en analys av de ojämlikheter och
orättvisor som finns och utifrån en analys av vilka faktorer som måste
ändras för att jämlika levnadsvillkor skall kunna skapas. Regeringen an-
ser att följande långsiktiga mål är av särskilt stor betydelse för att bryta
segregationen och skapa jämlika levnadsvillkor i storstäderna:
- sysselsättningsgraden i de socialt utsatta bostadsområdena bör höjas
för både män och kvinnor
- socialbidragsberoendet bör minskas
- det svenska språkets ställning bör stärkas, såväl bland barn och ung-
domar som i den vuxna befolkningen
- alla elever bör ges förutsättningar att nå målen i grundskolan det är
särskilt viktigt att ingen elev lämnar grundskolan utan tillräckliga kun-
skaper i svenska/svenska som andraspråk, engelska och matematik
- utbildningsnivån i den vuxna befolkningen bör höjas - de som saknar
utbildning motsvarande svensk gymnasiekompetens bör erbjudas detta
- alla stadsdelar i storstäderna bör uppfattas som attraktiva och trygga
av dess invånare, och utgöra goda och hälsosamma livsmiljöer
- folkhälsoläget, både i form av ohälsotal och självupplevd hälsa, bör
förbättras
- det demokratiska deltagandet och delaktigheten bör öka i de utsatta
bostadsområdena
Prop. 1997/98:165
31
Ett av det svenska statsskickets mer karakteristiska drag är att det består
av både en stark centralmakt och av självständiga kommuner och lands-
ting.
Kommunalt självstyre skapar förutsättningar för medborgarna att på-
verka och direkt utöva inflytande över verksamheten samt utkräva an-
svar. Genom självstyret kan kommunerna erbjuda lokalt anpassade lös-
ningar inom ett relativt stort handlingsutrymme i förhållande till staten.
Kommunallagen (1991:900) har givit kommuner och landsting stor frihet
att organisera sin verksamhet efter lokala behov och önskemål. Full
kommunal självstyrelse inom en sektor existerar emellertid inte.
Gränsen statligt-kommunalt är inte en gång för alla given. En strikt av-
gränsning av de kommunala uppgifterna har med tiden tett sig både
olämplig och svårgenomförbar. Under fortlöpande anpassning till nya
förhållanden och bedömningar har ansvarsfördelningen mellan stat-
kommun-landsting i stället i stor utsträckning grundats på praktiska
överväganden.
I samband med byggandet av den moderna välfärdsstaten har kommu-
nernas och landstingens uppgifter successivt ökat. Uppgifter som tidigare
ombesörjdes av staten har i olika skeden överförts till kommuner eller
landsting. Kommunerna har t.ex. fatt det fulla ansvaret för skolans perso-
nal. Inom det civila försvaret har kommunerna övertagit ansvaret för be-
folkningsskydd och räddningstjänst på lokal nivå från staten. Kommu-
nerna engageras också allt mer i genomförandet av arbetsmarknadspoliti-
ken och EU:s regionalpolitik. Från senare tid kan nämnas den försöks-
verksamhet med ändrad regional ansvarsfördelning mellan staten och den
kommunala nivån som beskrivs nedan. En del av de uppgifter som kom-
munerna tidigare utförde inom ramen för sin allmänna kompetens har
genom speciallagstiftning också gjorts obligatoriska. Det har också före-
kommit att huvudmannaskapet för vissa uppgifter växlat mellan kommu-
ner och landsting (t.ex. ÄDEL-reformen). Vissa verksamheter som tidi-
gare varit kommunala har överförts till staten (t.ex. polisväsendet och de
kommunala bostadstilläggen).
Staten har genom införandet av generella statsbidrag givit kommuner-
na ökade möjligheter att själva bestämma om statsbidragens användning
och göra egna prioriteringar. Staten har samtidigt ett starkt intresse av att
i samverkan med kommunerna och landstingen tillse att välfärdspolitiska
uppgifter såsom skola, vård och omsorg utförs med god kvalitet och i
överensstämmelse med andra nationella välfärdspolitiska mål. Genom
olika former av ekonomiska styrmedel, uppföljning, utvärdering, regel-
givning och tillsyn kan staten styra och kontrollera att kommunernas och
landstingens verksamhet bedrivs i enlighet med de nationella mål som
riksdagen lagt fast för respektive sakområde.
Den regionala parlamentariska nivån i storstadsregionerna består i
Stockholms län av ett traditionellt landsting, med sjukvård och kollektiv-
trafik som främsta ansvarsområden, men också med vissa samordnande
uppgifter inom regionplaneringen. I Skåne län pågår och i Västra Göta-
Prop. 1997/98:165
32
lands län planeras en försöksverksamhet med en ny typ av regionalt Prop. 1997/98:165
självstyrelseorgan. Försöket innebär att ett regionalt självstyrelseorgan
från länsstyrelserna tar över ansvaret för att:
- upprätta en strategi för länets utveckling
- upprätta och besluta om länstrafikplaner
- fördela vissa statliga regionalpolitiska stödmedel till länet. Bland an-
nat gäller detta de pengar som används för delfinansiering av olika
EU-projekt
- besluta om statsbidrag till regionala kulturinstitutioner
En framgångsrik storstadspolitik förutsätter insatser från både statlig,
regional och kommunal nivå. Nedan beskrivs kortfattat regeringens syn
på hur ansvarsfördelningen mellan de olika nivåerna bör se ut.
Statens ansvar
Riksdagen formulerar de övergripande storstadspolitiska målen. Dessa
mål spänner över flera olika politikområden, t.ex. arbetsmarknads-, nä-
rings-, utbildnings-, social-, bostads-, kultur- och integrationspolitik.
Staten ansvarar också för att bidra till likvärdiga och goda ekonomiska
förutsättningar för kommuner och landsting att sköta sina uppgifter, dels
genom det generella statsbidragssystemet, dels genom ett system för ut-
jämning av inkomster och kostnader mellan olika landsting respektive
kommuner.
Staten ansvarar också för att ge den lokala/regionala nivån bra instru-
ment för att kunna lösa sina uppgifter, i form av regelverk som kan an-
passas till de skiftande förutsättningar som finns inom storstadsregioner-
na. Det handlar inte minst om de regelverk som finns inom arbetsmark-
nads- och socialpolitiken. Staten ansvarar också för de stora transfere-
ringssystemen, främst socialförsäkringar och arbetslöshetsförsäkringar.
Staten är också direkt huvudman för olika verksamheter som är av stor
betydelse för en positiv utveckling i storstäderna. Bland dessa kan näm-
nas rättsväsendet och universitets- och högskoleväsendet.
Under de senaste åren har staten också via olika projektbidrag försökt
bidra till en positiv utveckling av storstädernas utsatta stadsdelar. Rege-
ringen anser att det även fortsättningsvis bör utgå statliga stödmedel till
de utsatta stadsdelarna, men att dessa medel måste samordnas bättre in-
om ramen för lokala utvecklingsavtal.
Staten bör också ansvara för utvärdering och erfarenhetsutbyte avseen-
de olika storstadspolitiska insatser. De svenska storstädernas problem
med den sociala och etniska segregationen är på intet sätt unika. Förutom
ett utbyte av kunskaper och erfarenheter inom landet är det därför av stor
vikt att staten för upp storstadsfrågorna högre på den europeiska dagord-
ningen. Inom ramen för den europeiska unionen kan såväl erfarenhetsut-
byte som direkta samarbetsprojekt mellan storstäder genomföras.
2 Riksdagen 1997/98. 1 saml. Nr 165
Den regionala nivån
Den regionala nivån har flera viktiga uppgifter i storstadspolitiken.
För det första har storstadsregionerna en gemensam arbetsmarknad
som inte avgränsas av kommungränserna. Det finns därför behov av ett
samlat näringspolitiskt grepp på regional nivå.
Storstadsregionerna utgör även i andra avseenden gemensamma mark-
nader. Tillgång till bostäder, kommunikationer och kommersiell service
är exempel på detta. För att få till stånd en balanserad utveckling i hela
storstadsregionerna krävs en fungerande regional planering.
En av storstadspolitikens huvuduppgifter är att utjämna de stora klyf-
torna i levnadsvillkor inom storstadsregionerna. Genom det nationella
utjämningssystemet för kommuner och landsting sker en utjämning av
skillnader i skatteinkomster och strukturella kostnader mellan kommuner
respektive landsting. Utöver detta system har det sedan år 1978 funnits
ett system for inomregional utjämning i Stockholms län där viss omför-
delning sker av landstingets skatteintäkter till vissa kommuner i länet. En
ytterligare form av inomregional utjämning är när landstingen tillämpar
en behovsstyrd fördelningsmodell i den egna verksamheten.
Detta innebär bl.a. att hänsyn tas till områdenas olika sociala och eko-
nomiska status när sjukvårdsresurser fördelas mellan olika geografiska
enheter inom det regionala organet.
I Storstadskommitténs betänkande Tre städer (SOU 1998:25) beskrivs
de stora skillnader som finns mellan olika stadsdelar med avseende på
folkhälsan. Såsom ansvariga för hälso- och sjukvården har de regionala
organen här ett viktigt ansvar inom storstadspolitiken. Behovet av ett
förebyggande folkhälsoarbete är särskilt stort i storstädernas utsatta bo-
stadsområden.
Kommunernas ansvar
Den kommunala nivån har ett stort ansvar för att en framgångsrik stor-
stadspolitik skall kunna bedrivas.
För det första ansvarar kommunerna för huvuddelen av de offentliga
välfardsverksamhetema. En förutsättning för att invånarna i de socialt
utsatta stadsdelarna skall kunna stärkas är att där finns väl fungerande
barnomsorg, skola, fritids- och kulturverksamheter, individ- och familje-
omsorg och äldre- och handikappomsorg. Kommunerna är också huvud-
ansvariga för bostadspolitiken, både genom sitt ansvar för bostadsplane-
ringen, men också som huvudman för de allmännyttiga bostadsbolagen.
Eftersom olika stadsdelar inom storstadskommunerna har så olika för-
utsättningar bör kommunerna internt ha väl utvecklade resursfördel-
ningssystem. För att alla medborgare i en kommun skall ges likvärdiga
förutsättningar bör stadsdelar med svaga ekonomiska, sociala och kultu-
rella förutsättningar fa mer resurser än stadsdelar med mycket starka för-
utsättningar.
Ett centralt inslag i storstadspolitiken är att förstärka arbetslinjen, öka
förvärvsfrekvensen och minska socialbidragsberoendet i de utsatta stads-
delarna. Kommunerna har ansvaret för socialbidragen i enlighet med so-
Prop. 1997/98:165
34
cialtjänstlagen och de har också under senare år fått en allt viktigare roll
inom arbetsmarknadspolitiken, dels som åtgärdsanordnare, bl.a. för ung-
domar under 25 år, och dels i den planering och samordning av de ar-
betsmarknadspolitiska insatserna som sker i de lokala arbetsförmedlings-
nämnderna.
Kommunerna har också ett viktigt ansvar för den lokala demokratiska
dialogen och för att stärka den demokratiska delaktigheten hos invånarna
i de utsatta stadsdelarna. I många storstadskommuner har man genomfört
stadsdelsnämndsreformer för att vitalisera den lokala demokratin. Det är
ett viktigt men inte tillräckligt steg för att öka delaktigheten i utsatta
stadsdelar. Det behövs en kontinuerlig utveckling av formerna för den
demokratiska dialogen, men också en fortsatt decentralisering av makt
och befogenheter från de kommunala nämnderna till olika former av
självförvaltningsorgan.
Prop. 1997/98:165
Regeringens bedömning: Regeringen tillsätter en storstadsdelegation
som far till uppgift att utveckla och samordna den nationella stor-
stadspolitiken. Regeringen kommer att utse en förhandlare för varje
storstadsregion för de fortsatta kontakterna och överläggningarna med
respektive region.
Storstadskommitténs förslag: Storstadskommittén föreslår i sitt slut-
betänkande Tre Städer (SOU 1998:25) att regeringen ska tillsätta en sär-
skild delegation som ansvarar för den nationella storstadspolitiken. Den
nationella storstadspolitikens behov av samordning och kontinuitet krä-
ver enligt kommittén att denna delegation är sammansatt av representan-
ter från flera olika departement, såsom inrikes-, närings-, arbets-
marknads-, utbildnings- och socialdepartementet.
Delegationen bör enligt kommittén bereda förslag till regeringsbeslut
om fördelning av statliga medel för lokala storstadspolitiska insatser.
Delegationen bör vidare ha möjlighet att föreslå sådana förändringar av
lagteknisk, finansiell och organisatorisk natur som behövs dels för att de
olika lokala storstadspolitiska insatserna ska kunna genomföras, dels för
att uppnå bättre möjligheter till samordning och samverkan av de totala
insatser som olika myndigheter och organisationer gör. En viktig del av
delegationens arbete bör vara att ha samordningsansvaret för statens oli-
ka insatser som syftar till att förbättra levnadsvillkoren i utsatta stadsde-
lar. Delegationens samordningsansvar bör även omfatta det storstadspo-
litiska arbete som sker inom EU.
Skälen för regeringens bedömning: Delegationens främsta uppgift
bör vara att verka för goda förutsättningar för tillväxt, utveckling och
förbättrad regional planering i storstadsregionerna, samt en förbättrad
samordning av åtgärder inom olika politikområden.
Delegationen bör vidare:
35
- ansvara för överläggningarna med kommuner och andra berörda aktö-
rer om lokala utvecklingsavtal,
- bereda regeringens beslut om fördelning av storstadspolitiska medel
- följa upp lokala utvecklingsavtal och se till att det genomförs en obe-
roende utvärdering av dessa.
- årligen redovisa utvecklingen i de berörda stadsdelarna till regeringen
- stimulera erfarenhetsutbyte och metodutveckling mellan städer inom
landet och mellan städer i Europeiska unionen
Delegationen skall inte vara en självständig myndighet, utan får ställning
som en projektgrupp inom regeringskansliet. De avtal som delegationen
förhandlar fram skall därför föreläggas regeringen för godkännande.
Kostnader för delegationen skall sålunda belasta regeringskansliets för-
valtningsanslag.
Regeringen bör utse en särskild förhandlare för varje storstadsregion.
Denne skall på uppdrag av delegationen svara för de direkta kontakterna
med kommuner, landsting och självstyrelseorgan inom respektive region
om utvecklingsarbetet samt för överläggningarna med berörda kommu-
ner om lokala utvecklingsavtal. Förhandlarna skall rapportera till stor-
stadsdelegationen.
Regeringen anser att fem referensgrupper bör knytas till delegationen:
- En grupp bör bestå av de statliga sektorsmyndigheter som är närmast
berörda av storstadspolitiken, däribland Arbetsmarknadsstyrelsen,
Riksförsäkringsverket, Socialstyrelsen, Skolverket, Boverket, NUTEK
samt Integrationsverket. Integrationsverket bör ha ett särskilt ansvar
för att dokumentera, samla kunskaper och sprida erfarenheter från ar-
betet i utsatta stadsdelar.
- Kulturrådet, Ungdomsstyrelsen och Riksidrottsförbundet bör ingå i en
särskild referensgrupp som har till uppgift att följa satsningarna på
kultur-, idrotts- och fritidsverksamhet i de utsatta stadsdelarna.
- Inom varje storstadsregion inrättas en regional grupp som består av de
berörda kommunerna, landstinget eller självstyrelseorganet och läns-
styrelsen. Därmed får delegationen och de utsedda förhandlarna ett fo-
rum för kontinuerlig dialog med berörda folkvalda församlingar och
länsstyrelser.
Målet för den generella välfärdspolitiken är rättvisa och jämlika livsvill-
kor. Generell välfärdspolitik handlar i första hand om att alla i ett sam-
hälle tjänar på om skillnaderna mellan människor och grupper blir så små
som möjligt. Den generella välfärdspolitiken minskar klyftor och gränser
mellan olika samhällsgrupper och fungerar som en sammanhållande
kraft. Om alla är med och delar på såväl kostnader som nytta stärks sys-
temet. Till detta kommer också tilltron till människans egen kraft och
Prop. 1997/98:165
36
förmåga att påverka sin situation. Alla människor har förmåga att ta an- Prop. 1997/98:165
svar för sig själva och andra och förmåga att utvecklas och växa.
Den generella välfärdspolitiken har många fördelar framför behovs-
prövade system. Dessa har i längden visat sig vara mer otrygga för dem
som är svagast. De kan inte lita på att andra är beredda att betala skatt
enbart för deras skull utan att skattebetalarna själva får något påtagligt
tillbaka. De flesta betalar skatt om de vet att också de själva har något att
vinna på det. Ett system som ger dem skydd när de blir gamla, om de blir
sjuka, om de får barn, om de själva eller barnen far ett handikapp är det
värt att betala skatt till.
Internationella studier visar också att det är de generella systemen som
ger störst jämlikhet. De ekonomiskt svagaste grupperna har det bästa
skyddet i länder med generella välfärdssystem. Skyddet är sämre i de
länder där man enbart ger stöd till de svagaste grupperna. Ju mer transfe-
reringarna koncentreras enbart till de fattiga, desto mindre omfördelning
blir det.
Skolan, vården och omsorgen är kärnan i välfärdssamhället. Socialför-
säkringssystemet är i hög grad uppbyggt på principen att förmåner base-
ras på förvärvsarbete och att förmånerna är individuella. Därmed bidrar
den offentliga försäkringen till att stimulera förvärvsarbete och jämlikhet.
För att den generella välfärdspolitiken skall förbli generell måste den
successivt anpassas till nya förhållanden. Ett exempel på detta är höjning
av taken i de inkomstrelaterade försäkringarna i takt med inkomstut-
vecklingen. I annat fall kommer allt fler att hamna ovanför taken och
känna sig tvingade att säkra sin inkomsttrygghet på annat håll. I det nya
pensionssystemet kommer taket att löneindexeras. På samma sätt har den
generella välfärdspolitiken som mål att kvalitén i den offentliga skolan,
vården och omsorgen bibehålls hög. Ingen skall behöva söka privata lös-
ningar för att kvalitén i den offentliga verksamheten urholkats.
Den generella välfärdspolitiken spelar också en viktig roll för en bättre
fungerande arbetsmarknad. Sverige har en mycket lång tradition av posi-
tiv flexibilitet som handlar om att främja rörlighet och effektivitet i soci-
alt och fördelningspolitiskt acceptabla former. Genom att socialförsäk-
ringen är knuten till individen och inte till företaget är det lätt att byta
jobb. Ingen riskerar i Sverige till skillnad från i många andra länder att
förlora sina sjuk- eller pensionsförmåner när man byter anställning. Ökad
rörlighet på arbetsmarknaden bidrar i sin tur till ökad effektivitet och
högre tillväxt.
Näringslivet är välfärdssystemets bas. Men välfärdssystemet är också
en viktig förutsättning för ett högproduktivt näringsliv. Genom tillgången
till en bra skola, som ger en allsidig grund för fortsatt kompetensutveck-
ling, genom en effektiv hälso- och sjukvård, som främjar hälsa och ar-
betsförmåga och minimerar skadeverkningar av sjukdom, genom en god
barnomsorg och äldreomsorg, som gör det möjligt att förena omsorgs-
ansvar och förvärvsarbete, tillförsäkras näringslivet de personella resur-
ser som är nödvändiga för att klara den internationella konkurrensen.
37
5.2
Regeringens bedömning: En utjämning av inkomster och kostnader
mellan kommuner respektive landsting är av central betydelse for att
ge alla kommuner och landsting ekonomiskt likvärdiga förutsättning-
ar. Utan en sådan utjämning skulle de ekonomiska skillnaderna mel-
lan olika kommuner respektive landsting vara större och kunna leda
till ett ökat segregationstryck.
Skälen för regeringens bedömning: Kommuner och landsting är an-
svariga för en stor del av välfärden i Sverige. Verksamheten i kommu-
nerna och landstingen har därmed en mycket stor betydelse för att skapa
likvärdiga levnadsvillkor för alla.
Förutsättningarna för olika kommuner respektive landsting för att klara
sina åtaganden gentemot medborgarna varierar. Dels finns bl.a. stora
skillnader i skatteunderlag, vilket påverkar skatteintäkterna; dels finns
skillnader i bl.a. bebyggelse- och åldersstruktur, vilket påverkar kost-
nadsnivån. För att alla invånare i landet skall tillförsäkras vård, omsorg
och utbildning av hög kvalitet har riksdagen beslutat om ett system för
utjämning av inkomster och kostnader.
Syftet med det kommunala utjämningssystemet är att ge alla kommu-
ner respektive landsting likvärdiga förutsättningar att bedriva basverk-
samhet som utbildning, vård och omsorg. Skillnaderna i utdebitering
skall i stort sett spegla skillnaderna i effektivitet, service och avgiftsnivå.
Statens bidrag till kommuner och landsting lämnas bl.a. i form av ett all-
mänt finansiellt stöd för att åstadkomma likvärdiga ekonomiska förut-
sättningar mellan kommuner respektive landsting.
Systemet består av fyra delar; inkomstutjämning, kostnadsutjämning,
generella statsbidrag och tillfälliga införanderegler. När det gäller kost-
nadsutjämningen är grundtanken att kommuner och landsting skall kom-
penseras för sådana kostnader som de själva inte kan råda över. De verk-
samhetsområden som har störst betydelse för kommunernas kostnadsut-
jämning är barn- och äldreomsorg, grund- och gymnasieskola samt indi-
vid- och familjeomsorg. Inom modellen för individ- och familjeomsorg
sker en omfördelning utifrån faktorer som befolkningstäthet, andelen
ensamstående kvinnor med barn upp till 15 år, utomnordiska medborga-
re, finska medborgare samt flyttande över församlingsgräns.
När det gäller inkomstutjämningen bygger systemet på att kommuner
med hög egen skattekraft betalar avgifter till systemet, medan kommuner
med låg egen skattekraft erhåller bidrag. Systemet innehåller således fle-
ra faktorer som syftar till förhindra att det uppkommer sådana skillnader i
förutsättningarna för olika kommuners verksamhet som kan bidra till en
ökad segregation.
Regeringen anser att när statsfinanserna nu är sanerade så skall ökade
satsningar på skola, vård och omsorg gå före andra verksamhetsområden
eller skattesänkningar.
38
I 1997 års vårproposition (prop. 1996/97:150, bet. 1996/97:FiU20,
rskr. 1996/97:284) föreslog regeringen ett tillskott om 4 000 miljoner
kronor för år 1997 i syfte att behålla kvaliteten i de kommunala verksam-
heterna och undvika sysselsättningsminskningar. Därutöver beslutade
riksdagen även om en förstärkning med ytterligare 4 000 miljoner kronor
från och med år 1998. Mot bakgrund av de förbättrade statsfinanserna
aviserade regeringen i budgetpropositionen för år 1998 (prop. 1997/98:1,
bet. 1997/98:FiUl, rskr. 1997/98:35) att tillskottet till kommuner och
landsting kan ökas med 4 000 miljoner kronor år 1999 och ytterligare
4 000 miljoner kronor år 2000. I 1998 års vårproposition (prop.
1997/98:150) föreslås en ytterligare förstärkning av statsbidragen till
kommuner och landsting på 4 000 miljoner kronor från år och med 1998.
Därmed har regeringen föreslagit en kraftfull nivåhöjning av statsbidra-
gen till kommuner och landsting på 20 miljarder kronor år 2000, jämfört
med år 1996.
De förändringar i utjämningssystemet som genomfördes fr.o.m. år
1996 innebar sammantaget att det nu sker en bättre anpassning än tidiga-
re till löpande förändringar både när det gäller befolkningsstruktur och
social struktur. I första hand är det storstadskommunerna som har fatt
ökade inkomster till följd av omläggningen av utjämningssystemet. För-
ändringarna innebar stora förändringar av intäkterna för många kommu-
ner och landsting. För att mildra omfördelningseffektema införs därför
det nya systemet successivt under en period av åtta år. Regeringen har
tillsatt en parlamentarisk kommitté för att löpande följa, utvärdera och
utveckla det nya utjämningssystemet. De förändringar som kommittén
kan komma att föreslå bör kunna träda i kraft från år 2000.
Ett generellt system av denna karaktär ställer naturligtvis höga krav när
det gäller utformningen av de kommunala verksamheterna. Utjämnings-
systemets syfte är att kompensera de kommuner respektive landsting som
har negativa strukturella förhållanden. Genom detta skapas förutsättning-
ar för alla medborgare att fa samma möjligheter till kommunal service
oavsett var man bor. Staten har ett ansvar för att följa upp och utvärdera
måluppfyllelsen i de kommunala kärnverksamheterna och att skillnader-
na inte varierar allt för mycket över landet.
Kommuner och landsting erhåller också olika typer av stimulans- och
specialdestinerade statsbidrag. Antalet specialdestinerade statsbidrag har
emellertid minskat sedan år 1993 då ett stort antal av dem avskaffades
(1991/92:150, bet. 1991/92:FiU29, rskr. 1991/92:345) och ersattes av ett
generellt statsbidrag. Förändringen syftade bl.a. till att minska statens
detaljstyrning och tydliggöra att statens styrning av verksamheten främst
skall ske via lagstiftning. Kommunerna och landstingen fick därmed ett
större ansvar för utformningen av verksamheterna och för prioriteringar
inom och mellan dem.
Staten lämnar också bidrag till kommuner och landsting som på grund
av speciella omständigheter hamnat i en särskilt svår ekonomisk situa-
tion. Under åren 1996-1998 har regeringen fördelat sammanlagt 650
miljoner kronor till kommuner som har höga andelar flyktingar från an-
slaget för särskilda insatser för vissa kommuner och landsting. Av dessa
Prop. 1997/98:165
39
medel har Botkyrka fatt ca 26 miljoner kronor, Malmö ungefar 133 mil-
joner kronor och Göteborg ca 192 miljoner kronor.
Prop. 1997/98:165
Regeringens bedömning: Det är angeläget att utveckla och stärka en
strategisk regional planering inom storstadsregionerna. Storstadsdele-
gationen bör verka för en sådan utveckling. Ansvaret bör dock i första
hand ligga på de berörda kommunerna samt på landstingen, länssty-
relserna och de regionala självstyrelseorganen.
Skälen for regeringens bedömning: En förutsättning för att segrega-
tionen i storstadsområdena skall kunna brytas är en förbättrad regional
planering. Bostadsbyggande, arbetsplatsutveckling, kommunikationer,
kommersiell service etc måste ses i ett övergripande regionalt perspektiv.
Boverket har i uppdrag att stimulera en strategisk regional planering där
fysiska, ekonomiska, ekologiska och sociala frågor kan integreras.
Det finns regionplaneorgan i Stockholmsregionen (landstinget) och i
Göteborgsregionen (kommunalförbund) men dessa har i huvudsak endast
samordnande funktioner. De avgörande besluten fattas fortfarande på
kommunal nivå. Regionberedningen föreslog tidigare att landstingen i de
tre storstadsområdena skulle utgöra regionplaneorgan även om inte alla
berörda kommuner var beredda att godta detta.
Till bilden hör att de förändrade länsindelningarna i Skåne och Västra
Götaland medfört att dessa två landsting nu omfattar ett väsentligt större
geografiskt område än Malmö- respektive Göteborgsregionerna.
Regeringen anser att det är angeläget att utveckla och stärka en strate-
gisk regional planering inom de tre storstadsregionerna som omfattar
såväl fysiska som ekologiska, ekonomiska och sociala frågor. Regeringen
konstaterar samtidigt att den kommunala självstyrelsen och den vikt som
den kommunala verksamheten har för regionens utveckling gör det na-
turligt att i första hand söka skapa former för regionplanearbetet som
förenar frivillig samverkan mellan berörda kommuner, landsting och
länsstyrelser med en förstärkt och effektivare regional planering.
Regionala planer och strategier för att stärka näringslivets växtkraft
Sveriges regioner har olika förutsättningar för sitt näringsliv, bl.a. på
grund av skillnader i natur och klimat, olika befolkningstäthet, infra-
struktur, utbildningsnivå, historisk näringsstruktur och kulturell bak-
grund. Regioner med likartade förutsättningar, uppvisar samtidigt olika
resultat beträffande inkomster och produktion.
Generellt sett är förutsättningarna för ett växande och differentierat nä-
ringsliv gynnsammare i befolkningsmässigt stora och väl sammanhäng-
ande arbetsmarknader. Ett dynamiskt näringsliv beror emellertid också
på vilka värderingar och attityder som finns till företagande. I sådana fall
spelar regionens storlek mindre roll. I stället är kulturella skillnader och
40
företagartradition av större betydelse. Att det i vissa regioner finns gott
om företagare som förebilder ger ofta i sig en självgenererande utveck-
lingseffekt genom ett stort nyföretagande.
Enligt regeringens bedömning behöver varje region ges bättre förut-
sättningar att stimulera utveckling utifrån sin unika näringslivskultur som
bygger på de ekonomiska, sociala, kulturella och miljömässiga förhållan-
den som kännetecknar regionen. Traditioner, men också medvetna åtgär-
der för att åstadkomma en utveckling i denna riktning, har visat sig kun-
na bidra till att bygga starka näringslivskulturer. En sådan utveckling kan
bara ske i nära samverkan mellan en regions olika aktörer och måste allt-
så i första hand utgå från den lokala och regionala nivån. Vidare behövs
ett bättre underlag för bedömningar av miljö- och hushållningsfrågomas
betydelse för den regionala utvecklingen.
Länsstrategiema är en viktig del av det regionala utvecklingsarbetet.
Huvudsyftet med de regionala utvecklingsstrategierna är att de skall vara
underlag för olika planeringsprocesser, t.ex. infrastruktur- och miljöpla-
neringen och de regionala tillväxtavtalen som regeringen föreslår i pro-
positionen om regional tillväxt (prop. 1997/98:62). Länsstrategiema skall
tas fram i ett brett partnerskap. Därmed skapas ett gemensamt och åter-
kommande forum där regionens aktörer kan diskutera framtidsfrågor.
Strategiarbetet ger på så sätt de regionala aktörerna större möjligheter att
hantera frågor inför framtiden.
Utvecklad sektorssamordning förbättrar regionernas utveckling
De politiska och administrativa systemen präglas i de flesta länder av en
relativt långt gående specialisering och därav följande sektorisering. Det
gäller också för Sverige. För att det skall vara möjligt att från regionala
utgångspunkter påverka politiken inom alla sektorer av betydelse för den
regionala utvecklingen är det nödvändigt att utveckla och pröva ett sys-
tem som går över olika sektorsgränser. Regeringen har tillsatt en särskild
kommitté (dir 1997:80) med uppgift att bl.a. göra mer generella övervä-
ganden om statens egen organisation på regional nivå.
En modell för arbete med regionala utvecklingsstrategier håller sedan
år 1995 på att etableras i Sverige genom medlemskapet i den Europeiska
Unionen. Alla åtgärder inom EG:s strukturfonder styrs av särskilda pro-
gramdokument. De regionalt inriktade programmen (Mål 2, 5b, 6 samt
Interreg) förutsätter en fördjupad samverkan mellan regionens centrala
aktörer och ett gemensamt genomförande av de åtgärder som prioriterats
i programmen. Programmen samfinansieras av stat, kommun, landsting
och EG:s strukturfonder och genererar också betydande utvecklingssats-
ningar från näringslivet.
Riksdagen har behandlat frågan om sambandet mellan nationell regio-
nalpolitik och strukturfondsffågor (prop. 1997/98:1 utgiftsområde 19 bet.
AU 1997/98:AU2, rskr. 1997/98:128). Där betonas att samordningen bör
öka mellan nationella insatser och sådana åtgärder som genomförs inom
ramen för strukturfondsprogrammen.
Prop. 1997/98:165
41
Regeringen har konstaterat att arbetet med de regionala programmen
inom EG:s strukturfonder har visat på vägar att öka den lokala och regio-
nala demokratiska förankringen i det regionala utvecklingsarbetet. Det
har också inneburit ett breddat partnerskap och en förbättrad uppföljning
och utvärdering av de insatser som sker. Sammantaget har viktiga regio-
nala utvecklingsinsatser kunnat genomföras delvis som ett komplement
till den nationella politiken.
Regional miljöplanering i storstadsregionerna
I avsnitt 4 anges som ett av de nationella storstadspolitiska målen att alla
stadsdelar bör utvecklas till attraktiva delar av respektive storstadsregion.
Att medverka till och främja en sådan utveckling är en huvuduppgift för
samhällsplaneringen i storstadsregionerna. De socialt utsatta stadsdelarna
kännetecknas i många fall - jämfört med respektive storstadsregion i öv-
rigt - av brister i den byggda miljöns utformning. I många fall finns ock-
så brister vad gäller serviceutbud och tillgång till närbelägna arbetsplat-
ser, kulturella institutioner, parker, attraktiva grönområden m.m.
För att de utsatta stadsdelarnas förutsättningar långsiktigt ska kunna
förbättras behöver olika åtgärder som berör bebyggelsen och den yttre
miljön sättas in i ett gemensamt och större sammanhang. Nya större pro-
jekt som gäller verksamheter, bebyggelse, trafik eller annan infrastruktur
inom dessa stadsdelar eller i deras närhet far inte försämra deras utveck-
lingsförutsättningar. En praktiskt inriktad metodutveckling behöver där-
för komma till stånd i fråga om den fysiska planeringen, om miljö- och
hushållningsfrågor och om arbetet med miljökonsekvensbeskrivningar.
Den fysiska planeringen i kommunerna bör, genom metodutveckling i
samverkan mellan regional och lokal nivå, kunna ges ökade förutsätt-
ningar att staka ut kursen för ett lokalt mångfacetterat projektarbete som
tar tillvara de långsiktiga utvecklingsmöjligheter som finns i och i när-
heten av de utsatta stadsdelarna. Som beslutsunderlag vid prövning av
större och mer ingripande projekt i respektive storstadsregion som kan ha
inverkan på de utsatta stadsdelarnas utveckling bör miljökonsekvensbe-
skrivningar kunna utvecklas till ett viktigt stöd för hållbar utveckling i
dessa stadsdelar. Det gäller därvid att se till att de utsatta stadsdelarna
inte missgynnas i olika avseenden utan får verkliga förutsättningar att
utvecklas till attraktiva delar av en långsiktigt hållbar storstadsregion.
Regeringen anser att den föreslagna storstadsdelegationen bör upp-
muntra en utveckling av den fysiska planeringen, miljö- och hushåll-
ningsfrågor och arbetet med miljökonsekvensbeskrivningar som främjar
en långsiktigt håilbar inriktning av förnyelsearbetet i de utsatta stadsde-
larna.
Detaljhandelns betydelse för människors livsmiljö i städer och
stadsregioner
En omfattande omstrukturering av detaljhandeln pågår i olika delar av
landet. Externa etableringar av detaljhandel påverkar konsumtionsmönst-
Prop. 1997/98:165
42
ren både i små och stora orter. De allvarligaste invändningarna mot ex-
terna köpcentra gäller det ökade trafikarbetet, den försämrade servicen
för svaga och icke bilbuma grupper och risken för utarmning av befintli-
ga tätortscentra. Bl.a. i Skåne planeras ett stort antal etableringar av ex-
terna köpcentra vilket startat en regional debatt i Öresundsregionen.
Etableringen av externa köpcentra har ofta en regional dimension då de
kräver ett stort kundunderlag och kan påverka befintlig detaljhandel och
trafikarbetet, även utanför den egna kommunen. Det finns i dag vissa
möjligheter för kommuner och länsstyrelser att motverka från allmän
synpunkt oönskade lokaliseringar av externa köpcentra. Enligt 2 kap 2 §
PBL skall planläggning, med beaktande av natur- och kulturvärden,
främja en ändamålsenlig struktur av bebyggelse, grönområden, kommu-
nikationsleder och andra anläggningar. Även en från social synpunkt god
livsmiljö, goda miljöförhållanden i övrigt samt en långsiktigt god hus-
hållning med mark och vatten och med energi och råvaror skall främjas.
Hänsyn skall också tas till förhållandena i angränsande kommuner.
Länsstyrelsen har enligt 12 kap 1 § PBL möjlighet att pröva kommu-
nens beslut att anta, ändra eller upphäva en detaljplan om det kan befaras
att beslutet innebär att regleringen av sådana frågor om användningen av
mark- och vattenområden som angår flera kommuner inte har samordnats
på ett lämpligt sätt. Vidare kan en anläggning av typen köpcentra i vissa
fall bedömas få en sådan betydande påverkan på miljön, hälsan eller hus-
hållning med naturresurser att en miljökonsekvensbeskrivning enligt 5
kap 18 § PBL skall upprättas. En sådan bör bl.a. analysera vilka effekter-
na blir med avseende på det totala trafikarbetet och därmed även miljön
med hänsyn till bl.a. luftföroreningar, bullerstörningar och intrång.
Enligt regeringens bedömning bör etablering av externa köpcentra
övervägas i ett regionalt perspektiv. Det är särskilt viktigt att underlaget
för beslut om etablering tydligt redovisar förväntade effekter bl.a. på tra-
fikarbete, serviceutbud och tätortscentra både i ett mellankommunalt och
lokalt perspektiv.
Regionförbundet Skåne arbetar med frågor om etableringar av externa
köpcentra i Öresundsregionen med avsikt att utveckla en principiell syn
på hur dessa etableringar kan förenas med en hållbar utveckling. Bover-
ket arbetar med att kartlägga den svenska utvecklingen beträffande exter-
na köpcentra och deras konsekvenser. Regeringen avser att följa detta
arbete.
Prop. 1997/98:165
Regeringens bedömning: En aktiv bostadspolitik är en viktig förut-
sättning för att regeringens storstadspolitiska mål skall kunna nås. I
den bostadspolitiska propositionen läggs grunden för den statliga bo-
stadspolitiken framöver. Kommunernas och de kommunala bostads-
bolagens insatser är viktiga för att främja den sociala, ekonomiska och
etniska integrationen.
43
Skälen för regeringens bedömning: Den svenska bostadspolitiken
har sedan lång tid haft som mål att hela befolkningen skall beredas goda
bostäder till rimliga kostnader. I regeringens proposition Bostadspolitik
för en hållbar utveckling, (prop. 1997/98:119) betonas att bostadspoliti-
ken även i fortsättningen skall främja social, ekonomisk och etnisk integ-
ration. Bostadspolitiken skall skapa förutsättningar för alla att växa upp i
en stimulerande och trygg miljö och boendemiljön skall bidra till jämlika
och värdiga levnadsförhållanden.
I den bostadspolitiska propositionen har regeringen redovisat förslag
till mål och inriktning för den framtida bostadspolitiken. Enligt proposi-
tionen är bostaden en social rättighet och bostadspolitiken skall skapa
förutsättningar för alla att leva i goda bostäder till rimliga kostnader och i
en stimulerande och trygg miljö inom ekologiskt hållbara ramar. Boen-
demiljön skall bidra till jämlika och värdiga levnadsförhållanden och
särskilt främja en god uppväxt för barn och ungdomar. De internationella
åtaganden som Sverige gjort vid bl.a. Rio-konferensen år 1992 och vid
Habitat II i Istanbul årl996 innebär också att bostadspolitiken mer all-
mänt skall skapa förutsättningar för socialt, ekonomiskt, kulturellt och
ekologiskt hållbar utveckling.
Kommunerna har enligt propositionen även i framtiden det övergri-
pande ansvaret för bostadsförsörjningen på den lokala nivån. De styrme-
del som kommunerna förfogar över bedöms i nuläget vara tillräckliga.
Det kommunala engagemanget bör dock utvecklas, bl.a. vad gäller de
kommunala bostadsföretagen. Kommunerna bör enligt propositionen ta
en mer aktiv roll i ledningen av sina bostadsföretag. Det betonas att star-
ka och väl skötta kommunala bostadsföretag är en förutsättning för att
hela befolkningen skall få reell valfrihet i boendet på ett sätt som främjar
integration mellan olika grupper. I propositionen konstateras också att
kommunerna har en nyckelroll i det nödvändiga arbetet för att förbättra
levnadsvillkoren i särskilt storstädernas utsatta bostadsområden. Detta
arbete förutsätter en förbättrad samordning av åtgärder inom olika politi-
kområden.
I propositionen föreslås även att kommuner som genom det egna bo-
stadsföretaget eller genom borgensåtaganden för bostadsrättsföreningar
har övermäktiga ekonomiska åtaganden för boendet skall kunna få sär-
skilt statligt stöd. Stöd skall kunna lämnas i form av kreditgarantier, lån
och i särskilda fall bidrag. Möjligheter öppnas också att i vissa fall lösa
av kommunala borgensåtaganden till förmån för bostadsrättsföreningar.
En särskild delegation skall inrättas med uppdrag att hantera frågor om
sådant stöd till kommunerna.
Vidare tillsätts en bostadssocial beredning med uppdrag att följa ut-
vecklingen och föreslå åtgärder för hushåll som har svårt att hävda sig på
bostadsmarknaden. Beredningen skall även uppmärksamma de bostads-
sociala effekterna av konkurser och rekonstruktioner för bostadsrättsha-
vare och egnahemsägare.
Prop. 1997/98:165
44
De kommunala bostadsföretagens roll
Starka och väl skötta kommunala bostadsföretag är en viktig förutsätt-
ning för att hela befolkningen skall fa en reell valfrihet i boendet på ett
sätt som främjar integration mellan olika grupper i samhället. Särskilda
sociala hyresbostäder för hushåll med låga inkomster förekommer inte på
den svenska bostadsmarknaden. Kommunerna har det övergripande an-
svaret för bostadsförsörjningen på den lokala nivån. Det är därför en vik-
tig uppgift för storstadskommunerna att aktivt styra sina bostadsföretag
och genom ägardirektiv m.m. ge bolagen ett tydligt ansvar för att bidra
till ökad integration. Rätt utnyttjade kan de kommunala bostadsföretagen
spela en nyckelroll både för att främja integrationen och för att förbättra
villkoren i de utsatta bostadsområden som drabbats av segregationens
negativa effekter.
De kommunala bostadsföretagen kan genom sitt ägande av centralt
belägna bostäder medverka till att hyresbostäder upplåts utan enskilt
vinstsyfte även i attraktiva stadsdelar. Företagen kan också genom att
utnyttja nyproduktion och ombyggnad tillföra befintliga bostadsområden
kompletterande bebyggelse som attraherar nya grupper av boende.
Bostadsbeståndet i utsatta bostadsområden förvaltas huvudsakligen av
kommunala bostadsföretag. Genom att vidareutveckla rollen som fastig-
hetsförvaltare kan de kommunala bostadsföretagen göra en viktig insats
för att motverka de negativa effekterna av segregationen. Bostadsföreta-
gens roll och ansvar i de utsatta bostadsområdena kan inte begränsas till
fastighetsförvaltning i traditionell bemärkelse. Vad som krävs är ett akti-
vare och öppnare arbetssätt där företagen medvetet utnyttjar sina verk-
samheter för att nå en dialog med de boende och för att understödja olika
former av projekt och utvecklingsarbete i området. Ett sådant arbetssätt
växer nu fram hos flertalet kommunala bostadsföretag som verkar i ut-
satta bostadsområden. En liten grupp företag har också kommit långt i
rollen som samverkanspartner till annan kommunal verksamhet i bo-
stadsområdena.
Boinflytande och självförvaltning
Bland de bostadsföretag som är verksamma i utsatta bostadsområden
växer nu insikten om att de boende själva är ett av de viktigaste verkty-
gen för att bryta segregationen. Det slag av omfattande och kostsamma
ombyggnader som genomfördes med begränsat hyresgästinflytande un-
der 1980-talet, har ersatts av nya synsätt där hyresgästerna framstår som
fastighetsägarens samarbetspartners istället för passiva hyresinbetalare.
I många utsatta bostadsområden har fastighetsförvaltningen på olika
sätt anpassats för att bli mer lyhörd för de boendes behov och önskemål.
Flera bostadsföretag har valt att decentralisera ansvaret för fastighetsför-
valtningen till husvärdar. Detta har i några bostadsområden kombinerats
med att hyresgästerna fått möjlighet att ta aktiv del i skötsel och städning
av gårdar och trapphus. I de bostadsområden där hyresgästernas medver-
kan och medansvar utvecklats längst disponerar hyresgästerna en del av
Prop. 1997/98:165
45
bostadsföretagets driftsbudget for investeringar i gårdar och gemensam- Prop. 1997/98:165
ma utrymmen.
Erfarenheterna av ökad hyresgästmedverkan i utsatta bostadsområden
är goda. De sociala vinsterna består bl.a. i ökad trivsel och trygghet,
stärkta sociala nätverk och en mer positiv bild av det egna bostadsområ-
det. Minskad vandalisering och ökad aktsamhet om den gemensamma
yttre miljön har gett både ekonomiska och sociala vinster.
Det är en angelägen uppgift for bostadsföretagen att fortsätta anpass-
ningen av sin verksamhet i de utsatta bostadsområdena så att de boendes
engagemang allt bättre kan tas tillvara och utvecklas. En ökad boende-
medverkan lägger en god grund for fortsatt samverkan mellan de boende
även inom andra områden än bostadsförvaltningen.
Storstadsregionerna har unika problem men också unika möjligheter även
inom miljöområdet. Koncentrationen av många människor till en liten yta
leder till en stor belastning på miljön på den ytan, samtidigt som mil-
jöpåverkan per capita förmodligen är väsentligt lägre än i glesbygden.
Den täta stadsstrukturen ger goda förutsättningar for energisnåla och ut-
släppsbegränsande lösningar inom bl.a. trafikområdet och värme-, vatten-
och avloppssystemet. Den ger också möjlighet till utveckling av spets-
teknik inom miljöområdet, eftersom volymen på marknaderna är till-
räckligt stora for att motivera ett forsknings- och utvecklingsarbete och
framtidsinvesteringar inom näringslivet.
I 1996 års regeringsförklaring underströk statsministern att Sverige
skall vara en pådrivande internationell kraft och ett foregångsland i strä-
van att skapa en ekologiskt hållbar utveckling. Det innebär en helhetssyn
på samhällsutvecklingen där hänsyn till ekologiska förutsättningar för-
enas med en god ekonomisk, social och kulturell utveckling. De övergri-
pande målen för ett ekologiskt hållbart samhälle är att skydda miljön och
människors hälsa, att använda jordens resurser effektivt och att nå en
hållbar försörjning. Det krävs långsiktiga och uthålliga insatser inom
samtliga politikområden for att fora Sverige mot ekologisk hållbarhet.
Regeringen tillsatte i januari 1997 en delegation for en ekologiskt hållbar
utveckling bestående av fem statsråd. Delegationen har i en skrivelse
(skr. 1997/98:13) gjort en lägesredovisning av arbetet med sådana åtgär-
der. En uppföljning av skrivelsen kommer att avges i juni 1998.
Lokala investeringsprogram
Regeringen har inrättat ett stöd till lokala investeringsprogram for ekolo-
gisk hållbarhet. Totalt har 5,4 miljarder kronor avsatts för detta ändamål
under åren 1998-2000. Regeringen aviserade dessutom i 1998 års eko-
nomiska vårproposition en förlängning t.o.m. år 2001. Målsättningen
med detta statsbidrag är bl.a. att öka takten i omställningen till ekologisk
hållbarhet, stimulera utvecklingen av ny teknik och nya processer som
främjar en ekologiskt hållbar utveckling samt öka sysselsättningen.
46
Kommunernas program kan innehålla åtgärder inom t.ex. avfallshante-
ring, biologisk mångfald, energi, folkbildning, hantering av miljö- och
hälsofarliga ämnen, trafik och vatten och avlopp. Vid bedömningen av de
lokala investeringsprogrammen skall regeringen lägga särskild vikt vid
åtgärder som medverkar till brett deltagande i de lokala insatserna. När
det gäller stöd till investeringar inom bostadsbebyggelsen kommer insat-
ser i miljonprogramområden att prioriteras.
När miljonprogrammens bostadsområden byggs om med ekologiska
förtecken innebär det inte bara effektivare energiförsörjning, bättre av-
loppsrening och utvecklad avfallssortering. Lika viktigt är att de boende
ges möjligheter att aktivt delta i alla faser av förändringsarbetet. Aktiv
boendemedverkan är en förutsättning för att de ekologiska investeringar-
na skall bli långsiktigt hållbara.
I de tre storstäderna har statsbidrag bl.a. beviljats till flera projekt i
miljonprogramområden. Förutom de ekologiska effekterna förväntas åt-
gärderna få positiva sociala effekter.
I Stockholm satsar regeringen 610 miljoner kronor på flera ekologiska
projekt. Stockholm får statsbidrag bl.a. till kretsloppsanpassning av mil-
jonprogramområdena Skärholmen och Östbergahöjden. Genom projekten
i kretsloppsstadsdelama tas ett helhetsgrepp och förutsättningar för män-
niskor att förändra sin livsstil skapas. Projekten kommer att leda till en
minskad miljöbelastning inom områdena energi, avfall, transporter, ke-
mikalier etc. Miljöåtgärderna skall vara tillämpbara även i andra bostads-
områden.
Göteborg far 101 miljoner kronor till en rad olika projekt bl.a. i de ut-
satta stadsdelarna Bergsjön, Lövgärdet och Rannebergen. Åtgärderna
skall minska miljöbelastningen, öka återbruk och återvinning, bidra till
att förbättra cirkulationen av växtnäringsämnen i ett kretslopp samt till-
varata kulturmiljövärden.
Malmö far 147 miljoner kronor bl.a. till projekt som innebär en ekolo-
gisk omställning i stadsdelen Rosengård och till ekostaden Augusten-
borg. Projektet Ekologisk omställning i Rosengård innebär en miljöan-
passad om- och tillbyggnad av Örtagårdsskolan samt Rosengårds herr-
gård. Ekostaden Augustenborg består av 14 delprojekt för ekologisk om-
ställning. De rör bl.a. lokalt omhändertagande av dagvatten och avfall,
miljöanpassad ombyggnad av gårdar, torg och trafikmiljöer, minskad
resursförbrukning i området och ombyggnation av områdets skolgård och
park för undervisningssyften och för att bevara och förstärka den biolo-
giska mångfalden.
Regeringen har i 1997 års ekonomiska vårproposition
(prop. 1996/97:150) angett att för åren 1999 och 2000 skall 1,8 respektive
2,8 miljarder kronor reserveras för stöd till lokala investeringsprogram. I
1998 års ekonomiska vårproposition (prop. 1997/98:150) aviseras dess-
utom att satsningarna utökas med 2 miljarder kronor för år 2001. Rege-
ringen har för avsikt att återkomma till fördelningen av dessa medel.
Storstadskommunerna har, liksom alla kommuner, möjlighet att ansöka
om ytterligare medel under kommande ansökningsomgångar.
Prop. 1997/98:165
47
Långsiktigt hållbara trafiklösningar i storstadsregionerna
År 1990 tillkallades tre förhandlare för de tre storstadsregionerna med
uppdrag att tillsammans med berörda parter utarbeta överenskommelser
om trafiksystemen i respektive region. Syftet med överenskommelserna
skulle vara att förbättra miljösituationen, öka tillgängligheten och att
skapa bättre förutsättningar för utveckling i de tre storstadsregionerna.
De överenskommelser om trafik och miljö i Stockholms-, Göteborgs-
och Malmöregionerna som arbetet resulterade i har legat till grund för
åtgärdsarbetet inom storstädernas trafiksystem under 1990-talet. Den
slutliga överenskommelse som slöts för Malmöregionen har i stort ge-
nomförts. Dessutom har ytterligare en överenskommelse slutits mellan
staten och kommunerna i Malmöregionen genom avtalet om Citytunneln
i Malmö. Genomförandet av överenskommelserna i Stockholm och Gö-
teborg har endast skett i begränsade delar på grund av att ett slutligt ställ-
ningstagande till vägtullsystemen, den huvudsakliga förutsättningen för
finansieringen, inte har kunnat göras.
För att delar av de åtgärder som ingår i de tidigare överenskommelser-
na skall kunna genomföras har Kommunikationsdepartementet slutit nya
överenskommelser med företrädare för Stockholms- och Göteborgsregi-
onerna. Regeringen har utifrån dessa överenskommelser presenterat en
finansieringslösning för Årstabron och Södra länken i Stockholm (prop.
1997/98:123) respektive finansieringslösning för en Göteborgsöverens-
kommelse med ändrad omfattning (prop. 1997/98:150). Regeringen avser
att utveckla och stärka den regionala långsiktiga planeringen av trans-
portinfrastrukturen så att den i storstadsregionerna, liksom i andra regio-
ner, kan leda fram till väl förankrade beslut om infrastrukturåtgärder utan
särskilt initierade förhandlingar.
I centrala delar av Stockholm, Göteborg och Malmö finns fr.o.m. 1
april 1996 miljözoner. En miljözon är ett område i en tätort, som är sär-
skilt känsligt för störningar från trafiken och där restriktioner för trafiken
skall gälla. I dessa områden ställs särskilda miljökrav på dieseldrivna
tunga lastbilar och bussar. Kommunerna har enligt vägtrafikkungörelsen
rätt att i dessa områden förbjuda trafik med mindre rena, dieseldrivna
lastbilar och bussar med en totalvikt över 3,5 ton.
Syftet med miljözoner är främst att förbättra miljön i tätorter. De är
dessutom ett verktyg för att driva på utvecklingen av renare och tystare
fordon. Miljözonsbeslutet beräknas innebära att störningarna från den
tunga trafiken minskar med upp till 30 procent inom zonerna.
Vägtrafiken svarar för en betydande påverkan på miljön och på männi-
skors hälsa. Lokalt inriktade styrmedel kan underlätta en lösning av de
speciella tätortsproblem som vägtrafiken orsakar, bl.a. trängsel, olyckor,
buller och utsläpp av giftiga ämnen. En särskild utredare har tillkallats
med uppdrag att lämna förslag till en lagstiftning för miljöstyrande vä-
gavgifter i tätort. I propositionen Transportpolitik för en hållbar utveck-
ling (prop.l997/98:56) lämnar regeringen förslag till riktlinjer för trans-
portpolitiken.
Prop. 1997/98:165
48
Försöksverksamhet med alternativa drivmedel
Prop. 1997/98:165
Under de senaste åren har ett antal beslut fattats i syfte att minska trafi-
kens miljöproblem vilket har lett till att luften i svenska tätorter har blivit
bättre. Bland annat genom installation av reningsutrustning på fordon och
övergång till svavelfattigt dieseldrivmedel har halterna av kväveoxider,
svavel och partiklar minskat de senaste 10-15 åren. Samtidigt som olika
åtgärder har lett till en förbättrad luftkvalitet har trafikökningen verkat i
motsatt riktning.
Hittills fattade och planerade beslut kommer i många fall att leda till
ytterligare förbättringar av miljösituationen. Dessa är dock sannolikt inte
tillräckliga för att de långsiktiga miljökvalitetsmålen skall kunna uppnås.
I Naturvårdsverkets rapport 4636 (MaTs-samarbetets slutrapport) kon-
stateras att i de tätorter som i dag har luftkvalitetsproblem krävs långtgå-
ende utsläppsminskningar från vägtrafiken för att de långsiktiga målen
skall nås. I storstäder som Göteborg och Stockholm handlar det om att
minska utsläppen av kväveoxider med 70-80 procent och av vissa can-
cerframkallande ämnen med 80-95 procent.
Regeringen har i flera olika sammanhang, bl.a. i proposition
1997/98:56, Transportpolitik för en hållbar utveckling, poängterat vikten
av dels en fortsatt utveckling av de traditionella drivmedlen dels en ut-
veckling och introduktion av alternativa drivmedel. Ett antal försökspro-
jekt med alternativa drivmedel och tekniker bedrivs runt om i landet.
Storstadsområdena har i stor utsträckning varit föregångare vad gäller
genomförande av sådana projekt. Staten har, främst via Kommunika-
tionsforskningsberedningen (KFB) och Närings- och teknikutvecklings-
verket (NUTEK) i stor utsträckning bidragit till finansieringen av pro-
jekten. KFB har bl.a. bedrivit demonstrationsprojekt inom områdena el-
och hybridfordon och biodrivmedel. NUTEK och Statens energimyndig-
het har ansvarat för ett stort antal statligt finansierade projekt som ge-
nomförs i samarbete med och ofta delfinansierade av industrin. På senare
år har även projekt kommit att delfinansieras med EU-medel inom det
s.k. THERMIE-programmet. Vidare har regeringen beviljat reduktion av
eller befrielse från energi- och koldioxidskatt för alternativa drivmedel
och inblandningar inom ramen för ett antal pilotprojekt.
Regeringen anser att fortsatta forsknings- och utvecklingssatsningar
inom detta område är angelägna och har därför i proposition 1997/98:56
föreslagit att KFB:s ramanslag förstärks med 20 miljoner kronor för att
möjliggöra fortsatta insatser. KFB disponerar dessutom 10 miljoner kro-
nor från energiforskningsanslaget under 1998 för transportsystemrelate-
rad energiforskning.
En annan strukturellt viktig förutsättning för en positiv utveckling i stor-
stadsregionerna är att segregationen kan brytas, att lika rättigheter och
möjligheter kan säkerställas för alla, samt att diskrimineringen av kvin-
nor och män med utländsk bakgrund upphör. Som beskrivits i avsnitt 3
49
har en mycket stor del av storstädernas invånare en utländsk bakgrund;
antingen är de själva födda utomlands eller så kommer minst en av deras
föräldrar från ett annat land. Andelen utlandsfödda i de tre storstadsregi-
onerna är ca 15 procent av befolkningen. Om man också räknar de som
har minst en förälder född i ett annat land så utgörs en ijärdedel av stor-
städernas befolkning av personer med utländsk bakgrund.
Under de senaste åren har dessa frågor stått högt på regeringens dag-
ordning. Den invandrarpolitiska kommittén överlämnade under 1996 sitt
slutbetänkande Sverige, framtiden och mångfalden (SOU 1996:156) och
regeringen lade under 1997 fram en integrationspolitisk proposition
(prop. 1997/98:16) till riksdagen. Regeringen har nyligen överlämnat ett
förslag till ny lagstiftning mot etnisk diskriminering i arbetslivet till Lag-
rådet.
Integrationspolitiska propositionen
Den integrationspolitiska propositionen (prop. 1997/98:16) bygger i allt
väsentligt på Invandrarpolitiska kommitténs förslag vad gäller utgångs-
punkter och inriktning för en ny politik.
Regeringen anser i propositionen att den generella politiken på ett helt
annat sätt än hittills måste utgå från och spegla den etniska och kulturella
mångfalden i samhället. Mångfalden måste återspeglas på alla samhälls-
områden och nivåer både vad gäller hur politiken utformas och hur den
genomförs. Enligt regeringen ökar möjligheterna att bryta dagens tenden-
ser till etnisk segregering i samhället och ge förutsättningar för bättre
levnadsförhållanden för utsatta grupper om politiken utformas med ut-
gångspunkt i befolkningens faktiska sammansättning och bakgrund samt
tar till vara all den kompetens som finns i landet.
Invandrarpolitiken har kommit att bidra till den felaktiga föreställning-
en att invandrare är en från svenskar avvikande och homogen grupp. Det
är därför angeläget att framtida säråtgärder riktar sig till invandrare som
grupp endast när detta är befogat. Regeringens bedömning är att det bara
är under den allra första tiden i Sverige - dvs. under den tid då många
invandrare har det gemensamt att de kan behöva stöd för att snabbt skaffa
sig redskap för att kunna leva och försörja sig i Sverige - som det kan
finnas skäl att låta själva invandrarskapet stå i fokus för åtgärder.
I den integrationspolitiska propositionen angavs följande mål för och
inriktning av integrationspolitiken:
lika rättigheter och möjligheter för alla oavsett etnisk och kulturell
bakgrund
en samhällsgemenskap med samhällets mångfald som grund
- en samhällsutveckling som kännetecknas av ömsesidig respekt och
tolerans och som alla oavsett bakgrund skall vara delaktiga i och
medansvariga för.
Regeringen poängterar i propositionen att det inte endast är formella
rättigheter och möjligheter som avses utan även reella möjligheter och ett
faktiskt resultat. Individens rätt och lika värde innehåller även rätten att
vara olik, men hur man väljer att förhålla sig till och utveckla den egna
Prop. 1997/98:165
50
etniska och kulturella identiteten är i första hand en fråga för den enskil- Prop. 1997/98:165
da individen, anser regeringen. En uppgift för samhället bör därför vara
att underlätta för individen att integrera gamla och nya livsmönster och
livsstilar på det sätt hon själv önskar.
Det integrationspolitiska arbetet skall särskilt inriktas på att ge förut-
sättningar för individers egen försörjning och delaktighet i samhället, att
värna grundläggande demokratiska värden; samt att verka för kvinnors
och mäns lika rättigheter och möjligheter, samt förebygga och motverka
diskriminering, främlingsfientlighet och rasism.
Genom att samla synsätt och åtgärder som syftar till att skapa lika rät-
tigheter och möjligheter för alla oavsett etnisk och kulturell bakgrund i
begreppet integrationspolitik vill regeringen ta ett definitivt steg bort från
en utpekande invandrarpolitik.
Vad som skiljer integrationspolitiken från politik som rör andra sam-
hällsområden, enligt regeringen, är att den särskilt skall uppmärksamma
dem som på grund av härkomst eller till följd av sin etniska och kultu-
rella bakgrund riskerar att få ett sämre utgångsläge eller hamna i en säm-
re situation än andra i befolkningen samt att den skall uppmärksamma
och åtgärda orsakerna.
Uppföljning av integrationspolitiken
Regeringen bedömer att den generella politiken inte automatiskt kommer
att förändras utifrån de krav och behov som ett samhälle med etnisk och
kulturell mångfald ställer. Såväl enskilda individer som aktörer inom
offentlig och privat verksamhet tenderar att endast långsamt anpassa sig
till den nya situationen.
En av de viktigaste uppgifterna för att nå de integrationspolitiska må-
len bör därför vara att kontinuerligt följa vad som sker på olika områden
och nivåer i samhället. Att ta reda på hur det går för människor vad gäller
levnadsförhållanden och levnadsvillkor mot bakgrund av deras härkomst
samt etniska och kulturella bakgrund eller tillhörighet och att vara upp-
märksam på hur social mobilitet, välfärd och levnadsvillkor utvecklas bör
ingå i denna uppföljning. En annan uppgift är att följa hur samhällsinsti-
tutionerna och andra aktörer fullgör sina uppgifter. Den offentliga sek-
torn har i sin verksamhet inte bara ansvar för att förverkliga de integra-
tionspolitiska ambitionerna utan också ett speciellt ansvar att vara en fö-
rebild. Även verksamheten och agerandet i den privata sektorn bör följas
upp. Utöver det uppföljningsansvar som åvilar varje fackmyndighet be-
hövs en samlad överblick av vad som sker inom olika samhällsområden.
Den 1 juni 1998 bildas en ny myndighet, Integrationsverket, som får ett
övergripande ansvar för att stöda integrationsprocesserna och följa upp
hur integrationspolitiken förverkligas.
I propositionen behandlas också behovet av förbättringar i introduktio-
nen för skyddsbehövande och vissa andra invandrare för vilka kommu-
nen har rätt till särskilda bidrag. Även den fortsatta satsningen på utsatta
bostadsområden tas upp. Bland annat betonas behovet av att långsiktigt
och systematiskt följa utvecklingen i utsatta bostadsområden. Den nya
51
myndigheten bör, enligt regeringen, svara för att bygga upp en kunskaps-
bas kring lokalt utvecklingsarbete, följa utvecklingen i utsatta bostads-
områden med särskilt fokus där det finns en etnisk dimension, föreslå
åtgärder om så erfordras, bidra till kunskaps- och erfarenhetsspridning
till kommuner, myndigheter och andra aktörer samt i övrigt svara för
uppbyggnaden av erforderlig nationell kunskap och kompetens.
Insatser mot etnisk diskriminering i arbetslivet
Arbetslöshet drabbar personer med utländsk bakgrund särskilt hårt, efter-
som de går miste om gemenskapen på en arbetsplats som kan underlätta
individens integration i samhället. På de enskilda arbetsplatserna är det, i
en ökande internationell konkurrens, viktigt att ta tillvara den kompetens
som kan finnas hos människor med utländsk bakgrund. På det samhälle-
liga planet medför det nya slags hot mot Sveriges framtid om stora grup-
per ställs utanför arbetsmarknaden. Arbetslöshet kan leda till utanförskap
och marginalisering samt skapa social oro och konflikter i samhället, i
synnerhet om den följer etniska linjer. Det finns också idag flera tecken
på att ett etniskt och socialt allt mer segregerat samhälle håller på att
växa fram. Vi är på väg att fa en ny typ av klassamhälle där den etniska
bakgrunden far allt större betydelse.
Många tecken tyder på att etnisk diskriminering spelar en roll för den
höga arbetslösheten bland personer med utländsk bakgrund. Men etnisk
diskriminering har allvarliga konsekvenser vida utöver den i och för sig
viktiga frågan om arbetslöshet. Ett demokratiskt samhälle kan aldrig ac-
ceptera att människor behandlas olika beroende på sin etniska eller kultu-
rella bakgrund. Att verka mot diskriminering - eller uttryckt på ett annat
sätt - att verka för alla människors lika rätt och lika möjligheter är i
grunden en fråga om demokratiska och humanistiska ideal om alla män-
niskors lika värde. Här finns inte utrymme för några kompromisser. Ett
samhälle som sviker dessa ideal riskerar att bryta samman inifrån.
Det bedrivs ett omfattande och berömvärt arbete mot etnisk diskrimi-
nering på många håll i vårt land, inte minst inom ramen för samarbetet
mellan parterna på arbetsmarknaden. Detta till trots är frågan om etnisk
diskriminering och dess konsekvenser så allvarlig att det enligt regering-
ens bedömning krävs ytterligare åtgärder.
Ett viktigt instrument för att förebygga och motverka etnisk diskrimi-
nering är en effektiv och trovärdig lagstiftning. Lagen mot etnisk diskri-
minering trädde i kraft den 1 juli 1994. Det är emellertid oklart vilken
effekt lagen haft för att motverka etnisk diskriminering på arbetsmarkna-
den. I flera avseenden har kritik framförts mot lagen. Regeringen delar i
stort den kritik som framförts. Lagen mot etnisk diskriminering måste
skärpas och ges nödvändig effektivitet.
På regeringens uppdrag har en särskild utredare i december 1997 lagt
fram ett förslag till en ny lag mot etnisk diskriminering i arbetslivet. Re-
geringen har nyligen överlämnat ett lagförslag till lagrådet som till stora
delar bygger på utredarens förslag. Regeringens avser att under våren
1998 förelägga riksdagen en proposition.
Prop. 1997/98:165
52
Organ för värdering av utländsk yrkesutbildning på gymnasial nivå och Prop. 1997/98:165
utländska arbetslivserfarenheter
Invandrarnas utländska yrkesutbildning och arbetslivserfarenheter måste
enligt regeringens uppfattning tas till vara för att målen för den svenska
integrations- och arbetsmarknadspolitiken skall kunna uppnås. Om de
yrkeskunskaper och arbetslivserfarenheter som många invandrare bär
med sig när de kommer till Sverige utnyttjas bättre, ökar förutsättningar-
na för att svenskt arbetsliv tillförs nödvändig kompetens. Om dessa yr-
keskunskaper inte tas till vara skapas det både onödiga kostnader för
samhället och frustration hos de människor som inget hellre vill än att få
använda sina kunskaper.
Ett hinder för invandrare att komma in på svensk arbetsmarknad är av-
saknad av kontakter och nätverk. Ett annat hinder är dåliga språkkunska-
per. De olikheter som finns mellan svensk yrkesutbildning på gymnasial
nivå och motsvarande utbildningar i andra länder utgör också ett hinder
för invandrare att komma in på den svenska arbetsmarknaden. Ett ytterli-
gare hinder är att många svenska arbetsgivare, inte minst småföretagare,
har begränsade förutsättningar att kunna bedöma utländska arbetslivser-
farenheter, betyg och andra bevis om utbildningar som har fullföljts i
andra länder.
Regeringen har mot bakgrund av ovanstående skäl tillkallat en särskild
utredare med uppgift att lägga fram förslag till ett nationellt organ som
skall ha till uppgift att värdera hur utländsk yrkesutbildning på gymnasial
nivå och utländska arbetslivserfarenheter förhåller sig till motsvarande
svensk utbildning. Utredaren skall även föreslå hur ett sådant organ kan
inrymmas i eller knytas till någon statlig myndighet.
Mångfaldsfrågor
Att mångfalden i samhället återspeglas i samhällets institutioner är i
grunden en demokratifråga. En viktig grundläggande tanke i regeringens
integrationspolitik är att kvinnor och män med olika etnisk bakgrund be-
hövs i såväl näringsliv som offentlig förvaltning i syfte att höja kvaliteten
i verksamheten och stärka det svenska näringslivets internationella kon-
kurrenskraft.
Den svenska statsförvaltningen befinner sig i en omvärld som föränd-
ras snabbt. Förändringarna i samhället, Sveriges inträde i EU och den allt
ökade kontakten med omvärlden kräver anpassning, förnyelse och flexi-
bilitet. En grundläggande förutsättning för att bygga upp en modem, ef-
fektiv och smidig statsförvaltning är förmågan att rekrytera de bästa be-
gåvningarna oavsett etnisk och kulturell bakgrund.
En utgångspunkt i integrationspolitiska propositionen är att staten, som
en viktig normbildare bör gå i bräschen för förändringar i samhället och
genom tydliga signaler och budskap verka för ökad mångfald som av-
speglar den arbetsföra befolkningens etniska sammansättning. Mångfal-
den är viktig för trovärdigheten, den demokratiska legitimiteten och inte
minst för att öka kvaliteten i arbetet. Det måste inom statsförvaltningen
53
vara självklart att ha personal från olika etniska grupper på alla nivåer
som alla grupper i samhället kan identifiera sig med.
Under en lång tid har statsförvaltningens rekrytering varit relativt ensi-
dig med en ganska homogen personalsammansättning som resultat.
Skillnader i kultur, synsätt och referensramar har betraktats som ett hin-
der i stället för en nyttig ingrediens för en dynamisk organisation. Detta
synsätt har lett till försummelse av andra grupper i samhället och miss-
hushållning med humankapital.
Utrikesfödda utgör 13 procent av arbetskraften men är underrepresen-
terade i relation till sin andel inom hela den offentliga sektorn. De utgör i
dag 6 procent av de anställda inom statsförvaltnigen och 9 procent av de
anställda inom kommun, och landsting. Inom vissa områden är deras re-
presentation extremt låg. Barn till de utrikesfödda har däremot proportio-
nell representation inom den offentliga sektorn i förhållande till sin andel
av befolkningen.
Om den offentliga sektorn skall avspegla den arbetsföra befolkningens
etniska sammansättning bör målsättningen vara att fördubbla andelen
utrikesfödda i statlig tjänst. De utrikesfödda bör stimuleras på olika sätt
att söka sig till staten som arbetsgivare.
Regeringens bedömning: Regeringen har föreslagit en ökning av
rättsväsendets resurser med 200 miljoner kronor för år 1999, 250
miljoner kronor för år 2000 och 300 miljoner kronor för år 2001.
Merparten av dessa belopp skall tillfalla polisen. Regeringen åter-
kommer i budgetpropositionen med förslag om hur resurserna skall
fördelas inom rättsväsendet. En betydande del av dessa tillskott kom-
mer att tillfalla storstadsregionerna.
Skälen för regeringens bedömning: Såsom beskrivits i avsnitt 3.9 är
risken att bli utsatt för brott 60 procent högre i storstadsregionerna än i
riket som helhet. I de utsatta bostadsområdena är riskerna ännu större.
Regeringens utgångspunkt är att alla medborgare oavsett bostadsort skall
ha lika rätt till trygghet mot brott.
På många ställen i denna proposition har regeringen markerat behovet
av lokal samverkan mellan olika sektorsmyndigheter. Samma sak gäller i
hög utsträckning för polisorganisationen. En god lokal samverkan med
bl.a. skolan och socialtjänsten, men också med t.ex. frivilliga krafter i
bostadsområden, är en förutsättning för att det brottsförebyggande arbetet
skall bli framgångsrikt. I kampen mot vardagsbrottligheten har polisen
goda möjligheter att utveckla denna samverkan inom ramen för det pro-
blemorienterade arbetssättet.
Det står numera klart att den traditionellt inriktade polisverksamheten
är otillräcklig för att bryta brottsutvecklingen och öka människors trygg-
het, inte minst när det gäller vardagsbrottsligheten och särskilt i storstä-
Prop. 1997/98:165
54
derna. Inom Polisen pågår därför sedan några år tillbaka en förändring av
verksamhetsinriktningen mot ett problemorienterat arbetssätt. Som ett led
i denna strategi har en närpolisreform genomförts stegvis fr.o.m. år 1994.
Närpolisreformen innebär att tyngdpunkten i polisarbetet flyttas när-
mare dem som berörs av brottsligheten och att polisen i större utsträck-
ning griper in i ett tidigare skede. Närpolisverksamheten skapar därmed
förutsättningar att utveckla en god kontakt med medborgarna vilket bl.a.
leder till att polisen kan få viktig information som kan ligga till grund för
ett effektivare polisarbete. Inom sitt område svarar närpolisen i princip
för alla slag av polisverksamhet, dvs. man förebygger, ingriper mot och
utreder brott samt tar hand om ordningsstömingar. Närpolisen har var-
dagsbrottsligheten som sin huvuduppgift.
I budgetpropositionen för år 1998 har regeringen som en av priorite-
ringarna för polisverksamheten angett att samhällets insatser mot var-
dagsbrottsligheten måste öka. Närpolisverksamheten skall vara den dri-
vande kraften i detta arbete. Genom att polisen finns ute i bostadsområ-
dena och på de platser där risken för brott och ordningsstömingar är
störst skapas goda förutsättningar för att uppnå en ökad trygghet mot
brott för dem som bor i storstäderna. Till vardagsbrottsligheten hänförs
också våld och hot i gatumiljö och på allmänna platser. Regeringen har i
åtskilliga sammanhang betonat vikten av att polisen förlägger sin verk-
samhet till de platser och tider där risken för brottslighet är störst. Det
innebär t.ex. att polisen måste finnas till hands i stadskärnorna där restau-
ranger och andra etablissemang samlar mycket människor, särskilt natte-
tid. Det reser också stora krav på samarbete med andra berörda, som till-
ståndsgivande myndigheter, näringsidkare och ordningsvakter. Polis-
myndigheterna i storstäderna har också prioriterat insatser mot det krog-
och nöjesrelaterade våldet i sina verksamhetsplaneringar.
Som framgår av avsnitt 5.8 prioriterar regeringen det brottsförebyg-
gande arbetet. En utgångspunkt i det brottsförebyggande programmet är
att alla samhällssektorer skall samverka för att minska brottsligheten. Det
råder ingen tvekan om att polisen, särskilt närpolisen, har en betydelse-
full roll i denna samverkan med kommuner, näringsliv, föreningar och
enskilda. Ett långtgående samarbete har betydelse inte minst när det gäl-
ler att förhindra att ungdomar dras in i kriminalitet. Samarbetet far emel-
lertid inte leda till att polisen tar på sig uppgifter som andra myndigheter
har ansvar för.
Utvecklingen av närpolisverksamheten är inte minst viktig i storstads-
regionerna där anonymiteten är större och där brottsligheten utgör ett
allvarligare problem än i övriga landet. Inom de tre storstadsområdena
bor drygt en tredjedel av Sveriges befolkning. Antalet turister och besö-
kande är långt större i storstäderna än i andra delar av landet. Koncentra-
tionen av människor, företag och evenemang till dessa områden medför
att såväl avancerad brottslighet som vardagsbrottslighet och ordnings-
stömingar får andra proportioner än i övriga landet. Även trafikbrott är
en del av vardagsbrottsligheten som bör beaktas i detta sammanhang.
Allt detta ställer höga krav på polisen i storstadsregionerna. Den måste
med kraft bekämpa den grova och organiserade brottsligheten och samti-
digt upprätthålla trygghet och ordning genom en hög polisiär närvaro på
Prop. 1997/98:165
55
de tider och platser där risken för brott och ordningsstömingar är störst.
För storstäderna gäller också att polisen måste kunna sätta in stora perso-
nella resurser vid t.ex. statsbesök, demonstrationer och idrottsevene-
mang. Likaså riktas kraven på en förbättrad gränskontroll i hög utsträck-
ning mot storstadsmyndighetema.
Regeringen har i 1998 års ekonomiska vårproposition föreslagit för-
stärkningar av polisen under de kommande tre åren. Pengarna skall fram-
för allt användas för att utveckla närpolisens kamp mot vardagsbrottslig-
heten, till att förstärka gränskontrollen samt till fortsatta insatser mot ra-
sistisk brottslighet och mc-kriminalitet. För att nödvändiga insatser på
dessa områden ska bli möjliga i storstäderna krävs bl.a. strategiska per-
sonalförstärkningar, intensifierad kompetensutveckling och betydande
tekniksatsningar. Vid fördelningen av resurstillskottet kommer en bety-
dande del att tillfalla storstadsregionerna för att på så sätt tillgodose stor-
städernas särskilda förhållanden och behov.
Regeringens bedömning: Det brottsförebyggande arbetet i storstä-
derna behöver förbättras. Inom ramen för det nationella brottsföre-
byggande programmet avser Kommittén för brottsförebyggande ar-
betet i samarbete med Brottsförebyggande rådet (BRÅ) att genomföra
överläggningar med storstadskommunerna om hur detta kan göras.
Kommittén får disponera 10 miljoner kronor för projektet inom detta
samarbete.
Skälen för regeringens bedömning: Den övergripande målsättningen
för kriminalpolitiken är att minska brottsligheten och att öka tryggheten i
samhället. En utgångspunkt i detta arbete är att kriminalpolitiken skall
bygga på en helhetssyn. Detta innebär att den måste sättas in i ett större
sammanhang. Kriminaliteten kan således inte ses som en isolerad förete-
else i samhället. Lösningarna måste därför sökas också utanför den snäva
traditionella kriminalpolitikens ram som endast handlar om rättsväsen-
dets resurser och utformningen av påfölj dssystemet.
Kriminalpolitiken innefattar nämligen mycket mer; den generella väl-
färdspolitiken inriktad på social bostadspolitik, en skola som är öppen för
alla, förskolor och fritidsverksamhet där barn från olika bakgrund och
miljöer möts och som inte, som i många andra länder, riktar sig till enbart
riskgrupper, för att nämna några exempel. Åtgärder som bidrar till att
stärka skyddsnätet för barn och ungdomar i riskzonen eller som motver-
kar att stora grupper av människor blir utslagna och marginaliseras, är
minst lika eller kanske t.o.m. mer betydelsefulla i det kriminalpolitiska
arbetet än vad som utförs i rättsväsendet.
Rättsväsendet har dock det grundläggande ansvaret för kriminalpoliti-
ken och rättsväsendets primära uppgift är att förebygga och bekämpa
brottsligheten och att öka människors trygghet. Ett viktigt led i detta är
att utveckla närpolisens insatser mot vardagsbrottsligheten, i vilket också
Prop. 1997/98:165
56
räknas våld och hot i gatumiljö. Vardagsbrottsligheten utgör en stor del
av den anmälda brottsligheten och drabbar hårt genom sina ekonomiska
konsekvenser och, inte minst, genom att den skapar otrygghet Under år
1996 handlade det bl.a. om över 150 000 stölder ur och från bil, vilket
utgjorde mer än 12 procent av alla anmälda brott. Det handlade också om
nästan 50 000 fullbordade bilstölder, om över 13 000 anmälda inbrott i
fritidshus, om nästan 120 000 cykelstölder och nästan 20 000 bostadsin-
brott. Bara for att nämna något av det som riktar sig mot enskilda männi-
skor och hushåll i deras lokala miljöer. Dessa brott är som nämnts tidiga-
re koncentrerade till storstadsregionerna och vissa bostadsområden är
betydligt mer utsatta än andra.
Den etniska, ekonomiska och sociala segregationsspiralen och dess so-
ciala konsekvenser i form av ökad brottslighet och minskad trygghet,
måste således brytas. För att åstadkomma detta krävs åtgärder också
utanför den snäva kriminalpolitikens ram. Men för att nå framgång krävs
också att det uppmärksammas hur den höga brottsnivån, och inte minst
den vardagliga småskaliga brottsligheten, i sig skapar förutsättningar för
en sådan negativ utveckling.
Så långt det är möjligt måste de processer motverkas som leder till ut-
slagning, utanförskap, sociala problem och brottslighet i de större städer-
nas ytterområden. Här spelar storstadspolitiken en central roll. När det
gäller det brottsförebyggande arbetet är det viktigt att ökad uppmärksam-
het ägnas åt hur samhällsutvecklingen i stort, liksom politiska beslut på
andra områden än det kriminalpolitiska fältet, kan påverka brottsligheten.
Det är ett ansvar som måste bäras av politiska beslutsfattare på alla nivå-
er, men också av såväl näringsliv som enskilda företagare.
Det handlar också om att ta till vara det medborgerliga engagemanget i
det brottsförebyggande arbetet. Brottsligheten drabbar människor i deras
lokala miljö. Det är på den lokala nivån som kunskapen finns om hur
man bäst kan påverka de omständigheter som är själva förutsättningarna
för att brott begås och hur man påverkar de bakomliggande förhållanden
som orsakar brott och otrygghet hos medborgarna.
Regeringen presenterade år 1996 ett nationellt brottsförebyggande pro-
gram, vilket finns redovisat i skriften Allas vårt ansvar (Ds 1996:59).
Syftet med programmet är att förstärka och utveckla det brottsförebyg-
gande arbetet i hela landet. För detta ändamål har tidigare anvisats 10,8
miljoner kronor för budgetåret 1995/96 och 7,2 miljoner kronor för år
1997. För att ytterligare förstärka de brottsförebyggande insatserna och
för att främja nya initiativ i det brottsförebyggande arbetet, inte minst i
storstädernas förortsområden, tillfördes anslaget engångsvis år 1998 15
miljoner kronor utöver tidigare beräknade 7,2 miljoner kronor. För åren
1999 och 2000 beräknas anslaget till 7,2 miljoner kronor per år.
För att stödja det lokala brottsförebyggande arbetet tillsattes år 1996 en
kommitté (Kommittén för brottsförebyggande arbete) som har till uppgift
att verka för att intentionerna i regeringens nationella brottsförebyggande
program genomförs. Kommitténs huvuduppgift är att inspirera, stödja
och följa det brottsförebyggande arbetet, främst på lokal nivå. Det finns
nu goda exempel på hur man med en enkel organisation lyckas påverka
brottsligheten i den lokala miljön. Det är en uppgift för Brottsförebyg-
Prop. 1997/98:165
57
gande rådet (BRÅ) att när kommittén har avslutat sitt arbete vid årsskiftet
1998/99, att ta vid och fortsätta att stimulera dessa insatser och skapa
förutsättningar for ett långsiktigt och uthålligt brottsförebyggande arbete
på lokal nivå.
Kommittén har dock erfarit att det är förenat med speciella svårigheter
att i storstädernas mer utsatta bostadsområden mobilisera invånarna för
ett aktivt brottsförebyggande arbete. Bland annat har man i mycket liten
omfattning erhållit ansökningar om medel för projekt som syftar till att
minska brottsligheten och öka tryggheten i dessa områden. Med anled-
ning av detta förbereder nu kommittén att tillsammans med BRÅ inbjuda
representanter för de tre storstadskommunerna till överläggningar för att
bl.a. förmedla kunskap om olika metoder och arbetssätt i det brottspre-
ventiva arbetet och vilka möjligheter kommittén och BRÅ har att ge stöd
till detta. För insatser i storstadsregionerna bör kommittén för 1998 fa
disponera 10 miljoner kronor av de medel som anslagits för brottsföre-
byggande arbete.
Regeringens bedömning: Sverige bör även i fortsättningen aktivt
delta i det internationella samarbete med anknytning till storstadspoli-
tiken som sker inom framför allt FN, EU och OECD.
Skälen för regeringens bedömning: Sverige deltar i internationellt
samarbete med anknytning till det storstadspolitiska området i FN,
OECD, EU och inom ramen för Östersjösamarbetet.
Samarbete inom FN
Den s.k. Habitatagendan som antogs vid Förenta Nationernas världskon-
ferens i Istanbul (Habitat II) år 1996 om boende, bebyggelse och stadsut-
veckling innehåller ett omfattande handlingsprogram för hållbar stads-
och regionutveckling. Habitatagendan innehåller bl.a. mål och principer
om hållbar markanvändning, miljömässigt hälsosamma och ändamålsen-
liga städer och boplatser, hållbar energianvändning, hållbara transport-
och kommunikationssystem, vård och upprustning av kulturarvet samt
katastrofberedskap och återuppbyggnad. För att slå vakt om den globala
miljön och förbättra människors livssituation i städer, samhällen och byar
åtog sig deltagande länder att verka för hållbara mönster för produktion,
konsumtion, transporter och bebyggelseutveckling. De åtog sig även att
motverka föroreningar och att respektera ekosystemets tålighet mot på-
verkan samt att slå vakt om handlingsutrymmet för kommande genera-
tioner.
Sverige har anslutit sig till de mål, principer och rekommendationer
som ingår i Habitatagendan. Istanbulkonferensens resultat skall följas
upp både i Sverige och i det internationella utvecklingssamarbetet. Det
Prop. 1997/98:165
58
handlingsprogram och de prioriteringar som finns i Sveriges nationalrap-
port till Habitat II skall därför fullföljas. Det gäller bl.a. anpassning av
byggnader och bebyggda miljöer till kretsloppssamhällets krav på sund
inomhusmiljö och god tillgänglighet för alla, bättre livsvillkor i utsatta
bostadsområden, förstärkning av tätorternas attraktionskraft för männi-
skor och företag i balanserat samspel mellan tätorter och landsbygd, samt
utveckling av markanvändningsmönster som främjar städernas krets-
loppsanpassning. Habitat II ger ökad tyngd åt den lokala samhällsplane-
ringen. Kommunerna har en nyckelroll i genomförandet av Habitatagen-
dans strategi om hjälp till självhjälp och förverkligandet av principerna
om breda partnerskap, delaktighet och stärkt demokrati i arbetet för håll-
bar utveckling. Uppföljningen av Habitatagendan på lokal nivå bör an-
knytas till arbetet med lokal Agenda 21.
Samarbete inom EU
EU:s medlemsländer och Kommissionen arbetar sedan några år med en
sammanhållen regional utvecklingsplanering för Unionens territorium -
European Spatial Development Perspective, ESDP. Med regional ut-
vecklingsplanering avses i detta sammanhang en verksamhet som om-
fattar såväl traditionell fysisk planering som olika regionalpolitiska åt-
gärder och styrning av offentliga investeringar. ESDP har tre grundte-
man:
- en flerkämig och bättre balanserad stadsstruktur samt ett nytt förhåll-
ande mellan tätort och landsbygd,
- likvärdig tillgång till infrastruktur och kunskap,
- varsam förvaltning och utveckling av Europas natur- och kulturarv.
Arbetet med ESDP syftar bl.a. till att öka förutsättningarna för regional
samordning av gemenskapens politikområden. Samtidigt förutsätter det
vidgade planeringsperspektiv som ESDP utgör en fördjupad dialog mel-
lan staten och kommunerna samt mellan dem som arbetar med regionalt
utvecklingsarbete, kommunikationer, miljöfrågor, kulturarvet och fysisk
planering. Behovet av samordning mellan olika aktörer och sektorer be-
tonas.
Det första officiella utkastet till ESDP presenterades på ett minister-
möte i Noordwijk i juni 1997. Under hösten 1997 har nyssnämnda doku-
ment varit föremål för remissbehandling och debatt i bl.a. Sverige. De
synpunkter som kommit fram förs nu vidare till ordförandelandet Stor-
britannien och till Kommissionen för att ge underlag inför den revidering
som avses göras inför nästa informella ministermöte i Glasgow i juni
1998.
En praktisk tillämpning av grundtankarna i ESDP sker inom ramen för
gemenskapsinitiativet Interreg II C som syftar till att främja samarbete
över gränserna när det gäller regional utvecklingsplanering. Särskilda
program har utarbetats för transnationellt samarbete. Sverige medverkar i
två sådana program, nämligen för Östersjöregionen och Nordsjöregionen.
Arbetet syftar till gemensamma strategier för hur de områden som om-
Prop. 1997/98:165
59
fattas av programmen skall utvecklas. Kommunerna och de regionala
organen har en central roll i genomförandet av programmen.
Inom EU har också de särskilda planeringsfrågor som rör stadsområ-
dena uppmärksammats. Sedan år 1994 pågår ett projekt benämnt Sustai-
nable Cities. Projektet syftar till att samla kunskap om vad som känne-
tecknar hållbara städer och att ge stöd och information till framför allt
kommunerna. Varje år utdelas en utmärkelse till årets Sustainable City,
en utmärkelse som for övrigt gick till Stockholm år 1997.
Storstadspolitik inom EU:s regional- och strukturpolitik
EU:s regional- och strukturpolitik genomförs i långsiktiga program för
dels geografiskt avgränsade områden, dels i form av sk horisontella pro-
gram. Finansiering sker genom de s.k. strukturfonderna. Programmen
genomförs som målprogram, där program för mål 1, 2, 5b och 6 tillhör
den första kategorin samt mål 3 och 4 den senare kategorin. Mål 1 och 6
har högst prioritet och riktas mot de länder och regioner som har den
lägsta ekonomiska utvecklingsnivån eller speciella utvecklingshinder.
Mål 2 avser regioner som berörs av omfattande omstruktureringar, främst
inom industrin. Mål 5b inriktas mot landsbygdsregioner som berörs av
strukturförändringar inom jordbruket. Mål 3 och 4 inriktas på åtgärder
för att förbättra sysselsättningssituationen och minska arbetslösheten.
Inget av de nämnda målen syftar direkt till insatser i storstadsområden.
Någon direkt uttalad storstadspolitik finns inte etablerad inom EU:s regi-
onal- och strukturpolitik. Detta utesluter dock inte att det inom ramen for
t.ex. mål 1, 2, 3 och 4 genomförs åtgärder - t.ex. utbildningsinsatser - för
att öka arbetskraftens eller arbetsökandes kompetens, saneringsinsatser i
nedslitna industrimiljöer etc. - som kan beröra delar av storstadsom-
råden. I de program som finns i Sverige berörs dock inget av våra stor-
stadsområden.
Utöver de regional- och strukturpolitiska insatser som genomförs i mål
1-6 genomförs med finansiering från strukturfonderna mindre program i
form av sk gemenskapsinitiativ. Dessa är till antalet 13 varav ett - ge-
menskapsinitiativet URBAN - är speciellt inriktat på problem i stadsom-
råden. Stödberättigade områden är stadsområden med minst 100 000 in-
vånare främst inom mål 1-områden. De områdena där insatser kan ge-
nomföras ska karakteriseras av hög arbetslöshet, nedslitna bostads- och
arbetsområden och brister i den sociala miljön. Inom programmen kan
stöd ges t.ex. till utveckling av småföretag och andra sysselsättningsska-
pande åtgärder, utbildning, praktik etc. för arbetslösa, åtgärder inom so-
cial- och hälsovård samt olika typer av miljöförbättrande insatser.
I Sverige finns ett URBAN-program i Malmö. Programmet omfattar
drygt 20 000 invånare i områdena Möllevången, Södra och Norra Sofie-
lund, Nydala och Augustenborg. Åtgärderna omfattar bl.a. stöd till ut-
vecklingsidéer for att skapa nya arbetstillfällen, förbättringar av närmil-
jön m.m. Programmet löper t.o.m. 1999.
Prop. 1997/98:165
60
Övrigt internationellt samarbete
Frågan om en ekologiskt hållbar utveckling av städer och regioner har
också uppmärksammats på olika sätt i annat internationellt samarbete.
Bl.a. kan nämnas rapporten Urban Policies for an Ecologically Sustai-
nable World från ett seminarium om den ekologiska staden som Sverige
och OECD arrangerade år 1994 och den svenska nationalrapporten år
1994 till OECD:s projekt The Ecological City.
OECD har sedan 1992 intresserat sig för problematiken kring utsatta
stadsdelar. I OECD-rapporten Distressed Urban Areas som är under
framtagande analyseras bl.a. vilka mekanismer som ligger bakom ned-
gången av vissa bostadsområden och vilka likheter och skillnader som
finns mellan sådana områden i olika OECD-länder.
Det finns stora likheter vad gäller demografiska och socioekonomiska
förhållanden i de utsatta områdena i OECD-ländema. De utsatta stads-
delarna karaktäriseras av en ung befolkning, hög andel ensamstående
föräldrar, låg inkomstnivå och högt bidragsberoende, hög andel informell
ekonomisk verksamhet, hög kriminalitet och högre andel alkohol- och
drogberoende, fa lokalt baserade företag och sämre tillgång till detalj-
handel, fler hushåll som saknar bil och telefon och av högre dödlighets-
och sjukdomstal. Förhållandena i Sverige avviker främst genom att en
stor andel av de boende i de utsatta stadsdelarna är invandrare från
många olika delar av världen.
OECD-studiens slutsats är att det krävs en ny politik för att hantera
problemen i de utsatta stadsdelarna. Målet för politiken bör vara att skapa
förutsättningar som uppmuntrar till investeringar i och förnyelse av om-
rådena och som leder till en ekonomisk utveckling som står på egna ben
och där framtidsutsikterna är lika goda som i samhället i övrigt.
Områdesbaserade program som kombinerar lokala initiativ med exter-
na insatser kan stärka områdenas sociala nätverk och ge en grogrund för
att uppnå utveckling och välfärd. Sådana strategier kräver en förändring i
arbetssättet hos så väl regering som andra aktörer. Framför allt krävs
tydligare definierade roller och ansvarsområden med en starkare betoning
av institutioner som bygger på partnerskap. För att få fram ekonomiskt
hållbara lösningar måste den privata sektorn involveras i sådana institu-
tioner.
Situationen i de utsatta stadsdelarna och utvecklingsarbetet i Sverige
redovisas i Social rapport 1997 (Socialstyrelsen, SoS-rapport 1997:14)
som också utgjort Sveriges underlag till OECD-rapporten.
Den viktigaste förutsättningen för att bedriva en effektiv regional nä-
ringspolitik är ett väl fungerande samspel mellan näringslivets efterfrå-
Prop. 1997/98:165
61
gan på rådgivning, kompetensförsörjning, riskfinansiering, investerings-
stöd, m.m. och det serviceutbud som skilda offentliga aktörer bedriver.
Det förslag om ett program för utarbetande av regionala tillväxtavtal
som regeringen lämnade tidigare i år (prop. 1997/98:62) innebär nya
möjligheter för att bedriva tillväxt- och sysselsättningsfrämjande utveck-
lingsarbete i landets olika regioner.
Regionala tillväxtavtal syftar till att åstadkomma en bättre samverkan
och helhetssyn mellan de olika organ som arbetar med tillväxt- och sys-
selsättningsfrämjande åtgärder på såväl lokal och regional som på central
nivå. Länsstyrelserna och, i försökslänen, självstyrelseorganen, har er-
bjudits att initiera, driva och samordna arbetet tillsammans med det regi-
onala partnerskapet. Näringslivets och kommunernas medverkan är av
stor betydelse. Avtalen skall godkännas av regeringen.
De regionala tillväxtavtalen skall utarbetas stegvis i tre etapper. Under
den första och andra etappen utförs dels en analys av regionens styrkor
och svagheter, del utarbetas ett program som bl.a. anger mål, priorite-
ringar, genomförande, uppföljning, utvärdering och möjlig finansiering.
Under den tredje etappen genomförs överläggningar om programmets
slutliga innehåll och finansiering. Därefter bör det slutas ett regionalt
tillväxtavtal som skall löpa under tre år. De första avtalen beräknas träda
i kraft år 2000. Tillväxtavtalens genomförande kommer att följas upp
löpande och utvärderas efter avtalsperiodens utgång.
Storstadsområdena utgör viktiga drivkrafter i den svenska ekonomin.
Regeringens erbjudande om att utarbeta regionala tillväxtavtal innebär en
möjlighet att fokusera utvecklingsarbetet på den ekonomiska tillväxtens
mekanismer och på möjligheterna att bättre utnyttja de resurser och för-
utsättningar som finns i regionerna. Storstädernas universitet, högskolor
och forskningsinstitut besitter stora samlade kunskaper om tillväxtens
och sysselsättningens förutsättningar. Dessa kunskaper tillsammans med
den lokala och regionala nivåns praktiska erfarenheter från näringslivs-
främjande arbete kan bli betydelsefulla underlag för såväl analysarbete
som för framtagandet av ett åtgärdsprogram. Åtgärder som leder till att
storstäderna bättre kan utnyttja sina särskilda produktionsförutsättningar.
Regeringens bedömning: Det är av central betydelse för utveckling-
en av storstadsregionerna att fler företag kan bildas och växa. Pågåen-
de insatser inom näringspolitiken för att underlätta tillväxten inom
småföretagssektom bör fortsätta.
Det är angeläget att fortsätta ansträngningarna för att förenkla re-
gelverken för småföretagare. Regeringen avser att senare presentera
ett program för regelförenkling med bl.a. ett system för att säkerställa
att effektiva konsekvensanalyser görs av hur olika förslag påverkar
småföretagen.
Prop. 1997/98:165
62
Skälen for regeringens bedömning: De små och medelstora företa-
gen spelar en växande roll för utvecklingen och dynamiken i näringslivet
och ekonomin. Storstädernas utveckling gynnas av om de förmår att er-
bjuda goda förutsättningar för såväl nyföretagande som utveckling av
befintliga företag.
Små och medelstora företag har många gånger mindre reserver och
marginaler än stora företag och är därmed mer utsatta och sårbara vid
marknadsstömingar och konjunktursvängningar. Regeringens ekonomis-
ka politik syftar till stabila makroekonomiska förhållanden. Framgångar-
na när det gäller att sanera de offentliga finanserna och pressa tillbaka
räntenivåerna har gett väsentliga förbättringar i företagsklimatet och för-
utsättningar för en period med stark ekonomisk utveckling. De åtgärder
som regeringen vidtagit för att förbättra konkurrensen och bekämpa eko-
nomisk brottslighet bör också bidra till förbättrade förutsättningar för
små och medelstora företag.
Inom ramen för näringspolitiken bedrivs flera aktiviteter som syftar till
att underlätta utveckling och tillväxt inom småföretagssektom, så att an-
talet livskraftiga och växande småföretag kan öka. Statliga näringspoli-
tiska åtgärder kan i en del fall kompensera för vissa ofullkomligheter på
marknaden för rådgivning och riskfinansiering.
ALM1 Företagspartner AB och dess 22 dotterbolag tillhandahåller all-
män information till företag och blivande företagare, rådgivning i främst
strategiska frågor till enskilda företag med tillväxtpotential samt riskfi-
nansiering.
ALMI bedriver bl.a. en omfattande utlåning med högt risktagande,
riktad till mindre företag. ALMI accepterar svaga säkerheter men gör en
noggrann bedömning av affärsidé och entreprenörsförmåga. Långivning-
en sker såväl i storstäder som på mindre orter och på landsbygden. I
många storstadsområden är det privata utbudet av lånefinansiering gene-
rellt sett väl utbyggt.
Flera organisationer har föreslagit åtgärder för att öka tillgången även
på ägarkapital i vissa delar av storstäderna. Önskemålen inbegriper ett
nytt riskkapitalbolag. Inom närings- och regionalpolitiken finns idag ett
flertal former av riskfinansiering som alla har till syfte att komplettera de
privata marknaderna för egenkapitalförsörjning - utöver lån och garanti-
er. Generellt finns det i viss mening bättre tillgång på privat riskkapital i
storstadsområdena än i exempelvis Norrlands inland.
Även särskilda statliga kapitalinsatser för t.ex. invandrare har avvisats
av statsmakterna (se bl.a. prop. 1995/96:222). Det skulle kunna medföra
en risk att staten skulle komma att ersätta den privata marknaden. En
utredning har tillsatts för att mer generellt titta på invandrarnas problem
att fa lån i banksystemet m.m.
Även när det gäller information och rådgivning har ALMI en utbyggd
serviceverksamhet i både städerna och på landsbygden. ALMI samarbe-
tar i många regioner med privata nyföretagarcentra med syfte att samord-
na rådgivningen till nyföretagare (s.k. one-stop-shops). Regeringen vill
betona att ALMI enligt sina ägardirektiv särskilt skall beakta behovet av
rådgivning till bl.a. invandrarföretagare. Särskilt i Stockholm samverkar
Prop. 1997/98:165
63
ALMI i detta avseende med Internationella Företagarföreningen i Sveri- Prop. 1997/98:165
ge, IFS.
Det finns 24 lokala kooperativa utvecklingscentra i landet. De har bl.a.
i uppgift att lämna gratis rådgivning och information om den kooperativa
företagsformen till allmänheten. De lokala kooperativa utvecklingscentra
har en central funktion att utfylla i utvecklingen av kooperativa företag i
storstäderna.
Regeringen har i budgetpropositionen för 1998 uttalat att det är viktigt
att stärka kunskapsbildningen om den kooperativa företagsformen samt
öka kunskapen om kooperativt företagande hos myndigheter och andra
organ som har till uppgift att stödja nyföretagandet. Särskilda informa-
tionsinsatser kommer att genomföras i storstadsområdena i syfte att öka
kunskapen om den kooperativa företagsformen.
Det finns således redan ett antal både privata företag och samhällsor-
gan som arbetar med att främja nyföretagande och småföretagsutveck-
ling. Det är i första hand viktigt att dessa sinsemellan etablerar ett nära
samarbete och ev. samlokalisering. Goda exempel på sådant samarbete
finns på flera orter i landet.
Sammantaget anser regeringen därför att det inte finns behov av någon
ny statlig lånefacilitet eller något ytterligare instrument för statligt ägar-
kapital riktat till exempelvis småföretag i storstadsområdena.
Även NUTEK har viktiga uppgifter inom småföretagspolitiken, bl.a.
när det gäller s.k. såddfinansiering till enskilda företag och uppfinnare
samt bidrag till vissa organisationer på området. Dessutom bedriver NU-
TEK informationsverksamhet bl.a. genom en särskild telefonservice till
nyetablerare genom den s.k. Startlinjen och till småföretag som vill ut-
veckla sitt miljöarbete genom projektet Miljöstyrning i småföretag. En
betydande del av de som far del av denna rådgivning är eller avser att
vara verksamma som företagare just i storstäderna.
En viktig del i regeringens politik för ökad sysselsättning är att främja
entreprenörskap och företagande. Omprövning av regelverk och begräns-
ning av krångel och byråkrati har stor betydelse särskilt för de mindre
företagens konkurrensförmåga. Speciellt i etableringsfasen och då företag
vill växa kan den samlade regelmassan vara en kraftig belastning och en
betydande konkurrensnackdel. Regeringen har genom att tillsätta Småfö-
retagsdelegationen satt de små företagen i centrum. Delegationen har i
rapporten Bättre och enklare regler (SOU 1997:186), lagt fram 26 förslag
på åtgärder inom olika regelområden. Många av dessa förslag ansluter till
regeringens arbete och hanteras redan inom utredningsväsendet eller på
annat sätt.
På skatteområdet t.ex. har reglerna för att erhålla F-skattsedel gjorts
mindre restriktiva och en översyn pågår för att ompröva föråldrad praxis
vid beviljandet av F-skattsedel. Det har blivit enklare att göra skatte- och
avgiftsanmälan. Den s.k. Förenklingsutredningen har fatt tilläggsdirektiv
med inriktning på att förenkla redovisnings- och deklarationsförfarandet
särskilt för mindre tjänsteföretag som bedrivs som enskild näringsverk-
samhet. Riksdagen har beslutat att halvera skattetillägget vid periodise-
ringsfel i inkomsttaxeringen och i momsredovisningen och regeringen
64
har tillsatt en utredning som skall göra en förutsättningslös översyn av Prop. 1997/98:165
skattetilläggsinstitutet.
I utredningen över arbetsgivarens åtgärds- och kostnadsansvar vid re-
habilitering läggs särskild vikt vid skillnader i förutsättningar för stora
och små företag. Vad gäller Småföretagsdelegationens avregleringsför-
slag kan noteras att regeringen under våren lagt förslag i den transport-
politiska propositionen om avreglering av busstrafiken. De av delegatio-
nen uppmärksammade frågorna om lika konkurrensvillkor mellan of-
fentlig och privat sektor kommer att beröras av det av regeringen inrätta-
de Rådet för konkurrens på lika villkor mellan offentlig och privat sektor.
Vad gäller Småföretagsdelegationens förslag om företagens upp-
giftslämnarbörda kan noteras att de har uppmärksammats genom Riksre-
visionsverkets uppdrag att utreda hur sjukfrånvaron skall redovisas de
första fjorton dagarna. Utredningens betänkande bereds för närvarande i
Regeringskansliet med mål att genomföra förenklingar. Regeringen har
också i en proposition till riksdagen föreslagit att tillståndskravet för da-
taregister med personuppgifter tas bort.
Förenklingsförslag i vårpropositionen
Regeringen har i 1998 års ekonomiska vårposition (prop. 1997/98:150)
lagt fram förslag om förstärkta strategiska satsningar inom sex olika om-
råden. Ett av dessa är företagande där regeringen - förutom bl.a. skatte-
förslag och förslag som rör såddkapital - föreslår ytterligare konkreta
regelförenklingar i syfte att underlätta företagens verksamhet.
Enklare registrering av företag
Enligt EU-kommissionen hör Sverige till de länder i EU där det är lättast
att starta ett nytt företag. Kommissionen uppger dock att Sverige har sju
olika procedurer, medan Danmark endast har två. Regeringen anser att
det bör bli ännu lättare att starta och registrera ett nytt företag. Målet bör
vara att det endast skall krävas en blankett och en myndighetskontakt.
Patent- och registreringsverket ges i uppdrag att inom sex månader utar-
beta ett konkret förslag för ett samordnat system för registrering av före-
tag.
Kortare handläggningstider hos myndigheter
Myndigheternas handläggningstider skall i ett första steg förkortas med
25 procent i särskilt utvalda ärenden. Regeringen avser att skärpa existe-
rande punktlighetsmål i regleringbreven samt att införa sådana för samt-
liga handläggande myndigheter. Kontroll och uppföljning skall skärpas.
3 Riksdagen 1997/98. 1 saml. Nr 165
Lättnader i företagens uppgiftslämnande till myndigheter
Uppgiftsbördan för företagen skall minskas. Regeringen avser att genom-
föra åtgärder för att väsentligt minska företagens obligatoriska upp-
giftsinlämnande samt öka återanvändningen av företagsdata.
Ett koncentrerat ansvar för svenskt EU-arbete inom tullområdet
Företagens hantering av tullfrågor skall förenklas ytterligare. Regeringen
avser att prioritera förenklingsarbetet avseende tullfrågor, både nationellt
och på gemenskapsnivå.
En samlad strategi för framtiden
Regeringen avser att, när Småföretagsdelegationen lagt sitt slutbetänkan-
de, presentera ett program för regelförenkling med bl.a. ett system för att
säkerställa att effektiva konsekvensanslyser görs av hur olika förslag på-
verkar småföretagen och ett generellt direktiv för utredningsväsendet om
att småföretagens speciella förutsättningar skall beaktas.
Prop. 1997/98:165
Regeringens bedömning: Alla de tre svenska storstadsregionerna
ligger i gränsöverskridande regioner med stor utvecklingspotential.
Det ökade kommersiella och kulturella utbytet inom dessa regionbild-
ningar kommer att kunna bidra till tillväxt och ökad sysselsättning i
hela landet.
Skälen för regeringens bedömning: Den fortgående internationalise-
ringen, den inre marknaden, EU:s förestående utvidgning och nya teknis-
ka kommunikationsmöjligheter skapar nya förutsättningar för gränsöver-
skridande verksamheter och för en ny ekonomisk, social och kulturell
dynamik i Sveriges närområde. De tre storstadsregionerna kommer att
spela en central roll för Sveriges möjligheter att hävda sig i denna nya
omgivning och att dra nytta av dess tillväxtkraft.
Stockholmsregionen är en centralt placerad huvudstadsregion inom
norra Östersjöområdet, och en del av ett kraftfält som sträcker sig från
Stockholm mot Baltikum och storstadsregionerna i den europeiska delen
av Ryssland. Stockholmsregionen har förutsättningar att bli en naturlig
lokaliseringsort för företag med verksamheter som omspänner hela eller
delar av Östersjöområdet.
Göteborgsregionen är sedan länge västligt och maritimt orienterad.
Med sin starka exportbas - särskilt inom transportmedelssektom - är
regionen i första hand en attraktiv lokalisering för export- och im-
porttunga verksamheter. En del av regionens dynamik ligger i kombina-
66
tionen av EU-medlemsskap och närheten till Oslo och till den norska
olj eutvinningssektom.
Malmöregionen ingår i en nordeuropeisk tillväxtregion som domineras
av Köpenhamn och närheten till nordtyska centra som Hamburg och
Berlin. Öresundsbron kommer att skapa en ny öppenhet som medför bå-
de nya chanser och en ny utsatthet. Utmed linjen Roskilde-Köpenhamn-
Malmö-Lund skapas ett av Europas största centra för högre utbildning
och forskning.
Bland det som är avgörande för om de tre storstadsregionerna kommer
att kunna hävda sig i den internationella konkurrensen ingår en modem
infrastruktur med goda kommunikationer och en hög transport- och lo-
gistikkapacitet, en väl fungerade offentlig förvaltning, tillgång till kvali-
ficerade produktionstjänster och en god levnadsmiljö. Särskild gäller att
det för Stockholm är angeläget att kunna utvecklas som en attraktiv fi-
nansplats. Växande motsättningar mellan olika stadsdelar och grupper i
storstadsregionerna är mot denna bakgrund ett hot mot storstadsregioner-
nas förmåga att kunna hävda sig som lokaliseringsort för transnationella
aktiviteter.
För alla tre storstadsregionerna gäller att de inte i första hand konkur-
rerar med övriga delar av landet om resurser, utan med andra storstadsre-
gioner i sin närhet. Alternativet till en lokalisering i Malmö är t.ex. snara-
re Köpenhamn än andra orter eller områden i landet. Om de svenska stor-
stadsregionerna förmår att hävda sig i konkurrensen med motsvarande
regioner i andra länder så kan de tvärtom tillföra Sverige resurser och
aktiviteter, och därmed också en stärkt utvecklingspotential. Tillkomsten
av Västra Götalands och Skåne län bör öka möjligheterna att utnyttja
växtkraften i respektive storstadsområde för att främja en kompletterande
utveckling inom ett större geografiskt område. En utveckling av Stock-
holmsregionens samverkan med andra kommuner och landsting inom
ramen för Mälardalsrådet skulle kunna skapa motsvarande möjligheter.
Regeringens bedömning: 5 000 nya permanenta platser bör tillföras
högskolan fr.o.m. höstterminen år 2000. Tyngdpunkten i satsningen
ligger inom naturvetenskapliga och tekniska utbildningar. Även lärar-
utbildningar skall prioriteras. De 5 000 platserna samt en del av de ti-
digare beslutade 15 000 platser som tillkommer år 2000 kommer att
tillfalla universitet och högskolor i storstadsregionerna.
Skälen för regeringens bedömning: Storstädernas arbetsmarknad
ställer höga krav på kvalificerad och välutbildad arbetskraft. Det krävs
god tillgång till högre utbildning, forskning och utveckling. Den demo-
grafiska sammansättningen, arbetsmarknaden och utbildningsnivån skil-
jer sig både inom storstadsregionerna och jämfört med övriga regioner.
Dessa skillnader har beskrivits i avsnitt 3. Utbildningsnivån hos befolk-
ningen i storstadsregionerna är genomsnittligt på en hög nivå jämfört
Prop. 1997/98:165
67
med riket i övrigt. Skillnaderna är dock stora inom olika delar av regio- Prop. 1997/98:165
nema. I Stockholms län varierar utbildningsnivån betydligt mellan de
norra och södra kommunerna. Ett exempel är Täby kommun där 46 pro-
cent har eftergymnasial utbildning medan motsvarande siffra för Botkyr-
ka är 21 procent. Utbildningskrävande branscher är överrepresenterade i
storstäderna och verksamheter med låga utbildningskrav är underrepre-
senterade jämfört med andra delar av landet. De flesta branscher syssel-
sätter dessutom en större andel högutbildade jämfört med andra delar av
landet. Den allt starkare konjunkturen och ett expanderande näringsliv
märks tidigast i storstadsregionerna. Redan idag är det brist på högutbil-
dade inom flera områden och prognoser visar att situationen kan förvär-
ras framöver om inte åtgärder vidtas. Enligt uppgifter från Arbetsmark-
nadsstyrelsen finns en stor efterfrågan i storstadsregionerna på högskole-
utbildade naturvetare och tekniker, särskilt inom informationsteknikom-
rådet, på lärare på olika nivåer och på välutbildade inom sjukvård och
omsorg. Det är av stor vikt att universitetens och högskolornas utbild-
ningar utformas med god kännedom om arbetsmarknadens behov.
Högskolans expansion under 1990-talet
Expansionen av högskolan de senaste åren har varit betydande. Läsåret
1989/90 fanns det 193 000 registrerade studenter i högskolan. Läsåret
1996/97 var motsvarande siffra drygt 300 000. Regeringen föreslog i den
s.k. tillväxtpropositionen hösten 1995 (prop. 1995/96:25 En politik för
arbete, trygghet och utveckling) om en fortsatt kraftfull utbyggnad av
högskolan. I den s.k. sysselsättningspropositionen sommaren 1996 (prop.
1995/96:222) presenterade regeringen en plan för utbyggnaden. Hög-
skolan tillfördes 30 000 permanenta platser för åren 1997 och 1999. Fort-
farande var det dock många behöriga sökande som inte kunde erbjudas
en plats i högskolan. I 1997 års ekonomiska vårpropositionen (prop.
1996/97:150) föreslog därför regeringen en ytterligare utbyggnad av hög-
skolan åren 1998 och 2000 med 30 000 platser. Riksdagen har även på
regeringens förslag beslutat om etablerandet av två nya högskolor i stor-
stadsregionerna, Södertörns högskola och Malmö högskola samt ett tek-
niskt forskningsinstitut i Göteborg. De samlade resurserna för högre ut-
bildning och forskning vid universitet och högskolor i storstadsregioner-
na är betydande. Stockholm är t.ex. landets i särklass största högskoleort.
Forskningsresurserna vid såväl universitet och högskolor som inom fö-
retag är också till stor del koncentrerade till storstadsregionerna. Detta
har varit och är betydelsefullt för tillväxten i storstadsregionerna.
Under fyraårsperioden 1997-2000 har riksdagen på regeringens förslag
beslutat om att tillföra högskolan sammanlagt 60 000 permanenta nya
platser. Av de platser som hittills har fördelats (45 000) för åren 1997-
1999 har 10 500 platser tillfallit universitet och högskolor i storstadsregi-
onerna.
68
Högskolans samverkan med det omgivande samhället
Det är av största vikt att högskolan är förankrad i det samhälle den verkar
i. Universitet och högskolor skall samverka med det omgivande samhäl-
let. På förslag av regeringen i 1997 års budgetproposition fördes denna
uppgift in i högskolelagen. Uppgiften omfattar högskolans samarbete
med såväl näringslivet som med övriga delar av samhället. Det är särskilt
angeläget att utbildningens inriktning och innehåll utvecklas med god
kännedom om de krav, önskemål och kunskaper som finns inom sam-
hälle och näringsliv. För det ändamålet är det viktigt att utveckla goda
former för högskolans kontakter med det omgivande samhället. De nya
former för ledning och styrning av högskolan, bl.a. extern ordförande i
högskolestyrelserna som regeringen föreslog i propositionen Högskolans
ledning, lärare och organisation (prop. 1996/97:141) syftar bl.a. till att
öka samverkan med det omgivande samhället. Universitet och högskolor
har ett stort ansvar för rekryteringen till den högre utbildningen. Rege-
ringen har bl.a. uppdragit åt dem att särskilt främja rekryteringen i regio-
ner där utbildningsnivån hos befolkningen är låg och bland grupper med
svag studietradition.
Akademiskt startår
Många personer från studieovana miljöer har en ”tröskel” att kliva över
för att påbörja högskolestudier. Tröskeln består ofta i bristfälliga kunska-
per i det svenska språket samt en allmän ovisshet om vad högskolestudier
innebär. Det är en av flera orsaker till den sociala snedrekryteringen till
högskolestudier.
Sedan flera år erbjuds ett s.k. tekniskt-naturvetenskapligt basår vid de
flesta universitet och högskolor i syfte att öka rekryteringen till högsko-
lestudier inom dessa områden. Resultaten har allmänt varit mycket goda
vad gäller rekrytering till fortsatta högskolestudier. Detta har bl.a. gällt
för studenter från studieovana miljöer.
Vid ett antal högskolor erbjuds även ett mer allmänt högskoleförbere-
dande år. Utbildningarna innehåller bland annat svenska i tal och skrift,
engelska, studieteknik, universitetskunskap och vetenskapsteori. Utbild-
ningarna är undervisnings- och lärarintensiva och använder ofta informa-
tionstekniska hjälpmedel. Syftet med utbildningarna är bl.a. att motverka
den sociala snedrekryteringen till högskolan, att uppmuntra studiebegå-
vade ungdomar med bakgrund i studieovana miljöer samt personer med
bristfälliga kunskaper i svenska språket att söka sig till högskolestudier.
Denna typ av utbildning erbjuds bl.a. vid Södertörns högskola och Mal-
mö högskola. Utbildningarna har varit starkt eftersökta, särskilt av stu-
denter med utländsk bakgrund. Enligt regeringens bedömning bör det
vara möjligt för fler universitet och högskolor, särskilt i storstadsregio-
nerna att erbjuda någon form av högskoleförberedande utbildning, s.k.
akademiskt startår.
Prop. 1997/98:165
69
Förslag till ökat antal högskoleplatser till storstadsregionerna.
Intresset för högskolestudier vid universitet och högskolor är stort och
har ökat de senaste åren. Trots den utbyggnad av högskolan som skett är
det många behöriga sökande som inte kan erbjudas en plats i högskolan.
Under de senaste årens utbyggnad av högskolan har universitet och hög-
skolor t.ex. i Stockholmsregionen inte följt med utvecklingen i övriga
landet. Sökandetrycket till universitet och högskolor i storstadsregioner-
na är och har varit mycket starkt.
Storstadsregionerna fungerar genom sin storlek och dynamik som
motorer för övriga regioners tillväxt. Härvid spelar samarbetet mellan
universitet och högskolor och det omgivande samhället en viktig roll. För
att möta de behov som finns på arbetsmarknaden och bland sökande och
för att skapa fortsatt tillväxt och sysselsättning i storstadsregionerna före-
slår regeringen att 5 000 nya permanenta platser tillförs högskolan från
höstterminen år 2000. Med tidigare beslutad utbyggnad innebär regering-
ens förslag att sammanlagt 20 000 nya permanenta platser tillförs hög-
skolan år 2000. De 5 000 platserna samt en del av de tidigare beslutade
15 000 platserna år 2000 kommer att tillfalla universitet och högskolor i
storstadsregionerna. Tyngdpunkten i satsningen ligger inom naturveten-
skapliga och tekniska utbildningar. Även lärarutbildningar ska priorite-
ras. Enligt regeringens bedömning bör universitet och högskolor kunna
lokalisera vissa av dessa nya platser till områden i storstäderna där utbu-
det av högre utbildning hittills varit otillfredsställande. Tillsammans med
den tidigare beslutade utbyggnaden för åren 1997-2000 innebär förslaget
att 65 000 nya permanenta platser tillförs högskolan i hela landet under
perioden. Regeringen avser att återkomma i budgetpropositionen för
1999 vad gäller fördelningen av de nya platserna i högskolan år 2000.
I den regionalpolitiska propositionen lade regeringen förslag om inrät-
tande av regionala kompetensråd. Dessa bedöms kunna fa särskilt stor
betydelse för storstadsregionerna där näringslivet i ovanligt hög grad
domineras av kunskapsintensiva företag.
Ett utvecklat samspel mellan utbildningsväsende och arbetsmarknad är
av stor vikt i samtliga regioner för att komma till rätta med s.k. flask-
halsproblem på arbetsmarknaden. Det finns ett stort behov av att på regi-
onal nivå skapa en arena där i första hand arbetsmarknadens parter och
olika utbildningsanordnare träffas. Syftet är att snabbare kunna identifie-
ra områden där det råder eller kan befaras uppstå brist på arbetskraft och
att därmed ge berörda aktörer möjlighet att tidigt vidta åtgärder.
Rådens uppgift skall vara att - utifrån en samlad bild av de regionala
utbildningsbehoven - ge förslag på kort- och långsiktiga åtgärder utgå-
ende från arbetslivets behov. I råden bör ingå dels företrädare för nä-
ringsliv, offentliga arbetsgivare och arbetstagarorganisationer, dels ut-
bildningsanordnare med ansvar för dimensionering och inriktning av ut-
Prop. 1997/98:165
70
bildning. Regeringen aviserade i den regionalpolitiska propositionen att
den via Arbetsmarknadsstyrelsen skall ge länsarbetsnämnderna i uppdrag
att tillsammans med de regionala parterna besluta om vilket organ som
skall ha till uppgift att samla till regionala kompetensråd.
Det är också viktigt att fa till stånd direkta samverkansprojekt mellan
högskola, näringsliv och offentliga myndigheter inom såväl grundutbild-
ning som fortbildning och forsknings- och utvecklingsarbete. Exempel på
sådana samverkansprojekt är Electrum i Kista, Novum i Huddinge och
Ideon i Lund.
Regeringens bedömning: Det är angeläget att de statliga, kommunala
och regionala insatserna för internationell marknadsföring av Sverige
och dess storstadsregioner som besöksort och etableringsort fortsätter
och att dessa insatser samordnas.
Prop. 1997/98:165
Skälen för regeringens bedömning: Ett av de storstadspolitiska mål
som angavs i avsnitt 4 är att de svenska storstadsregionerna skall kunna
hävda sig väl i konkurrensen om etableringar och investeringar gentemot
andra europeiska storstadsregioner. Förutom de insatser som regioner
och kommuner själva kan göra har staten tre viktiga instrument för inter-
nationell marknadsföring.
Nämnden för Sverigefrämjande i utlandet (NSU)
NSU inrättades i februari 1995 och är regeringskansliets samordnande
organ för Sverigefrämjandet i utlandet. I nämnden ingår representanter
från Svenska institutet, Sveriges exportråd, Delegationen för utländska
investeringar i Sverige (Invest in Sweden Agency, ISA), Sveriges Rese-
och Turistråd AB, Sveriges Tekniska Attachéer (STATT) och Utrikesde-
partementets informationsbyrå.
I nämnden förs bl.a. strategiska diskussioner om Sverigefrämjandet
och framtida internationella arrangemang identifieras. Nämnden samar-
betar aktivt med storstadsregionerna samt andra regionala och lokala ak-
törer.
Nämnden fungerar som ”smörjmedel” för gemensamma projekt. Re-
spektive medverkande bolag och myndighet bedriver följaktligen sin
normala marknadsföringsverksamhet vid sidan av nämndens arbete.
Fr.o.m. 1998 tillförs nämnden 1 miljoner kronor och för de kommande
tre åren ca 3 miljoner kronor per år.
71
Invest in Sweden Agency (ISA) Prop. 1997/98:165
ISA bedriver en aktiv projekt-, länder- och informationsverksamhet för
att främja utländska investeringar i Sverige. Projekten som bedrivs i nära
samarbete med län och kommuner avseende bl.a. träförädling, mineral-
prospektering, underleverantörer till bilindustrin samt hälsovård har lan-
serats i Nordamerika, Asien och Europa. Länderorganisationen har
byggts ut och omfattar för närvarande två fullservicekontor i New York
och Tokyo samt representationskontor i elva länder. En omfattande in-
formationsverksamhet sker bl.a. genom dessa kanaler och via ISAs
trycksaker och hemsida. Målet för informationsverksamheten är att öka
kunskapen om Sverige och därigenom öka de utländska investeringarna i
landet.
ISA är en central kontaktpunkt för investeringsfrämjandet i Sverige.
Ett nära samarbete med regionala och lokala aktörer är dock nödvändigt
för att skapa en effektiv organisation för investeringsfrämjandet. ISA
genomför för närvarande ett landsomfattande program Investerarsamver-
kan som syftar till att bredda samarbetet med regioner och kommuner
samt till att öka kunskaperna regionalt och lokalt om utländska investe-
ringar.
Sveriges exportråd
Det ligger ett stort värde i regionala och lokala engagemang för att fånga
upp exportmogna och utvecklingsbara företag samt idéer och förslag till
insatser. Det åligger i första hand Sveriges exportråd att se till att så sker.
En rad initiativ tas också inom länsstyrelser och på kommunal nivå där
exportfrämjande ses som ett led i regionernas näringspolitiska utveck-
ling. Regeringen anser att det är väsentligt att dessa statliga insatser på ett
bra sätt samordnas med de insatser för internationell marknadsföring som
görs av kommuner och regioner.
Regeringens bedömning: Det är viktigt att ta till vara det intresse och
den kompetens för att starta egna företag som finns hos många perso-
ner med invandrarbakgrund.
Skälen för regeringens bedömning: Antalet egna företagare med in-
vandrarbakgrund har ökat i Sverige under senare år. Under år 1996 star-
tades ca 28 000 helt nya företag med en årsomsättning på över 30 000
kronor. Personer med utländsk bakgrund svarade för en femtedel av des-
sa företagsetableringar. År 1996 svarade företagare med utländsk bak-
grund för vart femte arbetstillfälle som skapades genom nya företag vil-
ket är en fördubbling jämfört med siffrorna för år 1994.
Intresset för att etablera näringsverksamhet beror dels på att många in-
vandrare kommer från länder där eget företagande är en vanlig försörj-
ningsform och dels på arbetslöshet eller risk för arbetslöshet. Med tanke
72
på invandrarnas inträdessvårigheter på arbetsmarknaden kan man anta att
ett större antal invandrare kommer att starta eget åtminstone under några
år framöver. Samhällsekonomiskt är det därför viktigt att undanröja alla
hinder till eget företagande. Riksdagen har tidigare beslutat förlänga
möjligheten till starta-eget-bidrag för invandrare från sex månader till ett
år.
Trots att antalet invandrare som startar egna företag ökar finns det
tecken på särskilda hinder och problem för personer med utländsk bak-
grund som vill starta och utveckla egna företag. Ett sådant hinder, som
inte minst personer med utländsk bakgrund själva framhåller, kan vara
svårighet att fa kredit för långsiktigt kommersiella företag.
Regeringen har tillsatt en särskild utredare för att kartlägga vilka sär-
skilda svårigheter personer med utländsk bakgrund kan möta i samband
med att de startar och utvecklar egna företag. Utredarens kartläggning
skall särskilt omfatta frågor som hänger samman med kapitalanskaffning.
Utredaren skall studera om personer med utländsk bakgrund särbehand-
las på ett otillbörligt sätt i samband med låneansökan hos banker och fi-
nansinstitut samt om marknadens funktionssätt motverkar bildandet av
långsiktigt kommersiella företag bland personer med utländsk bakgrund.
Utredaren skall på basis av sin kartläggning föreslå sådana åtgärder
som medför lika behandling av personer som vill starta och utveckla eg-
na företag. Utredarens arbete ska vara klart i januari 1999.
Hösten 1994 bedömde regeringen att det fanns ett akut behov av att på-
börja insatser som kunde bidra till att motverka segregationen och främja
en positiv utveckling i ett begränsat antal storstadskommuner. Segrega-
tionen konstaterades ha tilltagit under såväl hög- som lågkonjunkturer för
att under 1980-talet även fatt en etnisk dimension. Budgetåret 1995/96
inrättades därför ett nytt anslag; särskilda insatser i invandrartäta bo-
stadsområden på 125 miljoner kronor.
Statsbidraget utformades som ett igångsättningsstöd för insatser i
framför allt storstadskommuner. Syftet var att stimulera kommunerna till
metodutveckling för att bryta utvecklingen mot en tilltagande segregation
och på sikt vända utvecklingen i positiv riktning. Insatser för bostadsom-
råden där svårigheterna vad gäller arbetslöshet, socialbidragsberoende
osv. bedömts vara som störst har varit särskilt angelägna. Kommunerna
fick även göra andra insatser med förväntad effekt på segregationen.
Samtidigt med inrättandet av stimulansbidraget utformades Sveriges
mål 3-program inom Europeiska Socialfonden för att förstärka effekterna
av satsningen. I mål 3-programmet infördes således en särskild arbets-
marknadspolitisk satsning på invandrare i storstäder. Flera kommuner har
också använt sig av möjligheten att söka finansiering för arbetsmark-
Prop. 1997/98:165
73
nadsprojekt ur Europeiska Socialfonden för att öka räckvidden av sina Prop. 1997/98:165
insatser.
Av särskilt intresse var även att insatserna kunde påbörjas i avvaktan
på kommande utredningsförslag från framförallt Invandrarpolitiska
kommittén, Bostadspolitiska kommittén och Storstadskommittén. På så
sätt skapades förutsättningar för att på ett relativt otraditionellt sätt angri-
pa segregationen genom att parallellt med flera stora utredningsuppdrag
stimulera kommuner till konkreta insatser.
Genom satsningen sattes fokus för första gången på hela bostadsområ-
det. Detta skedde delvis baserat på insikten om en viss projekttrötthet i
dessa bostadsområden. Ur ett vidare perspektiv bedömdes de många
projekten dessutom mer sällan ha förmått påverka segregationen trots att
många projekt varit lyckade i sig. En ökad samordning av olika insatser
och mer tvärsektoriella angreppssätt sågs som nödvändiga, liksom att
involvera en lång rad aktörer i de lokala utvecklingprocessema med sär-
skild tonvikt på de boende.
Staten har ställt krav på särskilda kommunala handlingsplaner för att
stärka helhetsgreppet i områdenas utveckling och tydliggöra behoven av
samordning. Samtidigt har ett s.k. underifrånperspektiv betonats för att
öka mobiliseringen av de boende i utvecklingsprocesserna. De boendes
aktiva medverkan spelar en avgörande roll i ett områdesbaserat utveck-
lingsarbete om detta skall kunna ske långsiktigt, uthålligt och med till-
räcklig kontinuitet.
I integrationspropositionen (prop. 1997/98:16) fullföljdes ambitionen
att undvika användandet av begreppet invandrare genom att istället tala
om en satsning på utsatta bostadsområden. Därmed markeras integra-
tionspolitikens ömsesidighet genom att satsningen omfattar alla boende i
området.
Särskilda insatser i invandrartäta områden
Regeringen angav i riktlinjer den 27 februari 1995 syftet med det särskil-
da statsbidraget som att öka arbetskraftsdeltagandet bland invandrare,
höja deras kompetens, öka de vardagliga kontaktytorna mellan invandra-
re och svenskar, motverka utanförskap och i övrigt bidra till en god soci-
al och kulturell utveckling. De konkreta och operativa målen inom ramen
för dessa riktlinjer överlämnades till kommunerna att utforma efter lokala
förhållanden. Med lokalt utformade mål har även utvärderingsarbetet
skett lokalt. Särskilda medel har avsatts i kommunernas handlingsplaner
för utvärderingsarbetet. Regeringen har i flera beslut betonat vikten av
uppföljning, utvärdering och erfarenhetsspridning av pågående insatser.
Urvalet av bidragsberättigade kommuner gjordes utifrån lägesbe-
skrivningar som kommunerna anmodats lämna avseende arbetslöshet,
socialbidrag och invandrartäthet. Faktorerna samvarierade i samtliga
kommuner och det slutliga urvalet gjordes efter kommunernas invand-
rartäthet (andel utländska medborgare). I juni 1995 utsåg regeringen åtta
storstadskommuner som gavs möjlighet att inkomma med kompletta an-
sökningar. Ansökningarna skulle innehålla övergripande och samordnade
74
handlingsplaner över planerade insatser samt genomföras i geografiskt
avgränsade områden som kommunerna bestämde. Det sökta beloppet
uppgick till ca 220 miljoner kronor varför samtliga kommuner reviderade
sina handlingsplaner.
I mars 1996 beviljade regeringen 108 miljoner kronor för insatser i 12
bostadsområden. Beslutet innebar att ett belopp på 9 miljoner kronor per
område beviljades som metodstöd för att utveckla insatser och arbetssätt
i enlighet med upprättad handlingsplan. Botkyrka, Göteborg, Malmö och
Stockholms kommun beviljades medel för insatser i vardera två områden.
Haninge, Huddinge, Solna och Södertälje kommun beviljades medel för
insatser i var sitt område.
I juni 1997 tillfördes satsningen fyra kommuner utanför storstadsregi-
onerna. Med oförändrade riktlinjer beviljades 36 miljoner kronor till
Norrköpings, Eskilstuna, Landskrona och Trollhättans kommun för in-
satser i var sitt område.
Sammanlagt har således 144 miljoner kronor beviljats i stöd från sta-
ten. Kommunal medfmansiering har krävts på minst 50 procent av kost-
naderna för handlingsplanerna. Den totala summan som används i de tolv
kommunerna är därför minst 288 miljoner kronor. Rapporter och utvär-
deringar från kommunerna är successivt på väg fram.
I integrationspropositionen konstateras att den generella politiken inte
förmått ge tillräckligt stöd för en utveckling som hindrar segregationen
från att tillta. Huvudansvaret för levnadsvillkoren och för bostadsområ-
dena åvilar kommunerna. Att bryta segregationen är emellertid även ett
nationellt intresse. För att få till stånd långsiktiga och bestående förbätt-
ringar bör vissa bostadsområden få möjlighet att vidareutveckla sitt ar-
bete på ett sätt som garanterar långsiktighet och kontinuitet i det arbete
som kommunerna lagt grunden till.
I budgeten för år 1998 har 189 miljoner kronor anslagits för en sådan
fortsatt satsning. Samtidigt avsätts 150 miljoner kronor för år 1999 och
150 miljoner kronor för år 2000. 1998 års medel avses användas dels till
att bland aktuella kommuner få fördjupade erfarenheter så att några bo-
stadsområden på sikt skall kunna fungera som nationella exempel, dels
till att stödja de bostadsområden som inte utses till nationella exempel så
att framgångsrika insatser kan fullföljas.
I samtliga berörda storstadskommuner pågår sedan tidigare särskilda in-
satser för att stärka de utsatta bostadsområdena. Det handlar både om den
reguljära resursfördelningen inom kommunen och om särskilda projekt
och upprustningsprogram i de utsatta områdena.
Stockholm
I Stockholm genomsyrar integrationsarbetet hela den kommunala verk-
samheten. De viktigaste inslagen i denna politik är:
Prop. 1997/98:165
75
- ett nytt och betydligt mer omfördelande resursfördelningssystem inom
den kommunala budgeten. Skillnaden mellan den stadsdel som far
mest kommunala resurser per invånare och den som får minst är näs-
tan 14 000 kronor per invånare och år
- en ytterstadssatsning som omfattar sociala och fysiska investeringar
på 500 miljoner kronor under en treårsperiod i tretton socialt utsatta
stadsdelar Därutöver pågår en omfattande kultursatsning och en mo-
dernisering av gymnasieskolorna i ytterstadens stadsdelar
- ett integrationsprogram med ett fyrtiotal integrationspolitiska mål och
lika många uppdrag som styr stadens samtliga bolag och förvaltningar.
Göteborg
Resursfördelningen till stadsdelsnämnderna i Göteborg syftar till att ut-
jämna skillnaderna i de olika stadsdelarnas varierande förutsättningar att
bedriva kommunal service. För att uppnå detta fördelas resurserna utifrån
befolkningens varierande sammansättning. Det innebär t.ex. att två av de
socialt utsatta stadsdelarna Lärj edalen och Gunnared har ca 10 000 re-
spektive 12 000 kronor mer i kommunbidrag per invånare än genomsnit-
tet för Göteborg. Resursfördelningsmodellen bör ses som en garant för en
långsiktig prioritering av de kommunala resurserna till de stadsdelar där
behoven är som störst.
Göteborgs stads koncernbolag Framtiden AB äger och förvaltar via si-
na dotterbolag ca 73 000 lägenheter. Koncernbolaget har som målsätt-
ning att skapa förutsättningar för människor att i sina bostadsområden ta
makt över sin vardag och själva utveckla sin välfärd. I kraft av sin storlek
och inom ramen för sin verksamhet har koncernen möjlighet att initiera
sysselsättnings- och utbildningsinsatser i de socialt utsatta bostadsområ-
dena.
I Gårdsten, som sedan länge brottas med stora problem, har ett nytt lo-
kalt dotterbolag - Gårdstensbostäder - byggts upp. Bolaget har en okon-
ventionell förvaltningsorganisation och har påbörjat ett arbete med att
skapa nya samhällsstrukturer genom ett gränsöverskridande arbetssätt i
lokalsamhället.
I Hjällbo, som har många likheter med Gårdsten, har koncernbolaget
genomfört projektet Framtidens Hjällbo, som bl.a. omfattar en totalin-
ventering av stadsdelen, inbjudit de boende och alla aktörer i området att
tillsammans formulera en gemensam vision för området. Utredningen
mynnar ut i ett förslag att inbjuda en rad representanter för boende, verk-
samma, kommunala och statliga aktörer samt det privata näringslivet att
bilda ett gemensamt organ för en långsiktig utveckling av området -
Hjällboforum.
Tvärsektoriell samverkan
Utgångspunkten för alla insatser är att största nytta åstadkoms genom en
tvärsektoriell samverkan där de gemensamma resurserna samlas runt den
enskilde individen.
Prop. 1997/98:165
76
Ett exempel på detta arbetssätt är SOCSAM-projektet DELTA på Hi-
singen. Projektets målgrupper är personer i riskzonen för långa sjuk-
skrivningar eller förtidspensionering. Syftet är att minska kostnaderna för
sjukskrivning, arbetslöshet och socialbidrag, förkorta behandlingsproces-
serna och ta bort flaskhalsar. Ytterligare syften är att minska långtidsar-
betslösheten för att utsatta grupper skall kunna komma in på arbetsmark-
naden eller i övrigt få meningsfulla arbetsuppgifter. I och med att pro-
jektet samarbetar med Länsarbetsnämnden i Göteborg är det möjligt att
använda hela den arbetsmarknadspolitiska arsenalen i projektet.
Malmö har under hela 1990-talet tagit emot ett stort antal flyktingar
och andra nyanlända invandrare. Ett utvecklingsarbete har bedrivits för
att fa till stånd introduktionsprogram som bättre är anpassade till indivi-
dens förutsättningar när det gäller språk, utbildningsbakgrund m.m. In-
troduktionsprogrammen används till alla nyanlända invandrare och inne-
håller förutom Svenska för invandrare (sfi) och samhällsorientering även
praktik. Som ett resultat av en bättre individuell anpassning av program-
men har sfi-resultatet förbättrats markant och ca 20 procentenheter fler än
i landet uppnår godkänt betyg.
Ungdomar med otillräckliga kunskaper i svenska språket utgör en stor
grupp arbetslösa, som har svårt att komma ut på arbetsmarknaden eller
fortsätta i vidare studier. Projekt Data-Lingua skall medverka till att
öppna arbetsmarknaden för denna grupp ungdomar 20-24 år. Projektet
har 200 platser och är en vidareutveckling av Datorteken. Projektet skall
ge både nödvändig träning i svenska och utbildning i grundläggande IT-
kunskaper samt projektarbete för arbetsmarknadsförankring.
I stadsdelar som har en hög andel invandrare i befolkningen drivs pro-
jekt i syfte att förbereda invandrarna för arbetsmarknaden. Inom Rosen-
gårds stadsdelsförvaltning drivs ett resurscenter för invandrare som ger
tillfälle till olika former av sysselsättning inom miljöarbete med återvin-
ning, hantverk av olika slag varvat med språkträning. Totalt finns 200
platser. Vidare bedrivs projekt med svenskundervisning, sömnad, företa-
gande för invandrade kvinnor samt Rosengårds basar, en samlad han-
delsverksamhet för små rörelser.
Inom stadsdelsorganisationen och i samarbete med andra förvaltningar,
utbildningsanordnare och privata företag har flera ansökningar utarbetats
och beviljats inom Europeiska socialfondens mål 3 som avser sysselsätt-
ningsfrämjande och kompetensutvecklande åtgärder t.ex.:
- Tango, 360 långtidsarbetslösa invandrare och svenskar för utbildning,
praktik, starta eget
- Bärkraft, hjälper 30 långtidsarbetslösa invandrare att starta kooperativt
företagande
- Yrkescenter Malmö ger 100 långtidsarbetslösa invandrare arbetsplats-
förlagd utbildning inom industri, handel och hantverksyrken.
- Parisprojektet sysselsätter 200 långtidsarbetslösa invandrare i en rad
verksamheter från underhåll och ombyggnad till språkundervisning.
Många av invandrarna i Malmö är välutbildade. De är dock inte säkert att
utbildningarna från hemlandet är gångbara i Sverige utan komplettering-
ar. Kommunen planerar därför att i samarbete med arbetsförmedlingen ge
Prop. 1997/98:165
77
möjligheter för invandrade med högskoleutbildning att i kombination Prop. 1997/98:165
med svenskundervisning komplettera sin högskoleutbildning för att er-
hålla examen.
Regeringens bedömning: Lokala utvecklingsavtal bör tas fram för de
mest utsatta stadsdelarna i storstadsregionerna. Dessa utvecklingsavtal
bör innehålla lokalt framtagna mål, en åtgärdsplan, en reglering av de
statliga och kommunala åtagandena i respektive område samt en plan
för uppföljning och utvärdering. Av planen bör det framgå hur kost-
naderna för överenskomna åtgärder skall finansieras. För att öka möj-
ligheterna till samverkan bör 200 miljoner kronor för otraditionella
insatser i arbetsmarknadspolitiken under år 1999 kunna disponeras för
användning inom ramen för lokala utvecklingsavtal.
De lokala utvecklingsavtalen bör träffas mellan staten och den eller
de berörda kommunerna. Storstadsdelegationen bör företräda staten
och bereda regeringens beslut om godkännande av utvecklingsavtal.
Skälen för regeringens bedömning: Ett övergripande mål för stor-
stadspolitiken är att bryta den sociala, ekonomiska och etniska segrega-
tionen i storstadsregionerna och att verka för jämlika levnadsvillkor för
både män och kvinnor i storstäderna. För att detta mål skall kunna nås
krävs långsiktiga och samordnade insatser för att stärka medborgarna i de
socialt utsatta bostadsområdena och för att tillvarata den kraft och kom-
petens som dessa besitter.
Under den senaste tjugoårsperioden har staten i olika satsningar förde-
lat projektstöd inom olika sektorer till dessa områden. Ofta har projekten
varit mycket kortsiktiga och uppföljningen och utvärderingen har många
gånger varit bristfällig. De internationella erfarenheter som redovisats i
avsnitt 3 visar tydligt att segregationen endast kan motverkas med lång-
siktiga program som bygger på en helhetssyn på områdets utveckling,
involverar en lång rad offentliga och privata aktörer och inte minst vik-
tigt, bygger på invånarnas delaktighet i projekten. Regeringen anser där-
för att de statliga och kommunala storstadspolitiska insatserna bör samlas
inom ramen för lokala utvecklingsavtal for de mest utsatta stadsdelarna.
De lokala utvecklingsavtalen bör ses som komplement till de regionala
tillväxtavtalen.
Det finns en lång rad aktörer i de utsatta bostadsområdena som måste
samverka för att målen i utvecklingsavtalen skall kunna nås. Det gäller
bl.a. olika kommunala förvaltningar och lokala verksamheter med statligt
huvudmannaskap som t.ex. arbetsförmedlingarna. Det är viktigt att före-
trädare för det lokala näringslivet och föreningslivet är engagerade i såväl
utformning som genomförande av planerna. Likaså är det av stor vikt att
landstinget, i första hand sjukvården, deltar i den lokala samverkan.
Kommunen har emellertid huvudansvaret för stadsdelarnas utveckling,
och det statliga stöd som kan komma att lämnas stadsdelens utveckling
78
behöver kanaliseras genom den berörda kommunen. Regeringen anser Prop. 1997/98:165
därför att det normalt bör vara staten och den eller de berörda kommu-
nerna som är parter i de lokala utvecklingsavtalen.
De föreslagna utvecklingsavtalen bör således bygga på ett förtroende-
fullt samarbete och ömsesidiga ambitioner från statlig och kommunal
nivå. Det kommer inte att finnas någon skyldighet for en kommun att
ingå ett sådant avtal. Det statliga åtagandet i ett lokalt utvecklingsavtal
kommer dock att vara beroende av att även den eller de berörda kommu-
nerna gör ett motsvarande åtagande och därefter också fullföljer detta.
De lokala avtalen skall således innehålla en överenskommelse om hur
kostnaderna for överenskomna åtgärder skall finansieras.
Geografisk avgränsning
Storstadskommittén identifierade ett antal stadsdelar som har de allra
lägsta medelinkomsterna inom de tre storstadsregionerna. Detta mått
samvarierar med i princip alla andra mått på social utsatthet, som låg
förvärvsfrekvens och sysselsättningsgrad, högt socialbidragstagande,
högt ohälsotal och lågt valdeltagande. De aktuella stadsdelarna ligger i
sju kommuner: Botkyrka, Göteborg, Haninge, Huddinge, Malmö, Stock-
holm och Södertälje.
Regeringen anser att det slutliga urvalet av vilka stads- eller kommun-
delar som skall omfattas bör göras i de lokala utvecklingsavtalen, till-
sammans med de övriga parterna i dessa avtal. Det är särskilt viktigt att
de berörda kommunerna får en möjlighet att i dialog med statliga företrä-
dare avgöra vilka stadsdelar som skall omfattas. Storstadskommitténs
urval av de allra mest utsatta stadsdelarna bör tjäna som utgångspunkt för
diskussionerna.
Gemensamma mål
Regeringen har i avsnitt 4 i denna proposition gett förslag till mål för den
nationella storstadspolitiken. Det bör ankomma på parterna i de lokala
utvecklingsavtalen att omsätta dessa mål till gemensamma mål för det
lokala utvecklingsarbetet. Det är enligt regeringens bedömning angeläget
att detta sker i en nära dialog med invånarna i de aktuella stads- eller
kommundelar och med andra lokala aktörer som t.ex. försäkringskassan,
sjukvården, arbetsförmedlingen och närpolisen. Det är viktigt att samtliga
berörda lokala aktörer ställer sig bakom de gemensamma målen så att de
blir styrande for respektive aktörs insatser i stadsdelen.
De lokala målen bör i första hand syfta till att förbättra sysselsättning
och arbetskraftsdeltagande inom de utsatta stadsdelarna. En naturlig ut-
gångspunkt for överläggningarna bör i övrigt vara de områden som om-
fattas av de nationella storstadspolitiska målen, dvs.
- beroende av socialbidrag
- det svenska språkets ställning
- skolresultat och utbildningsnivåer
- hälsoläget
79
- trivsel och trygghet i bostadsområdet
- tillgång till offentlig och kommersiell service
- tillgång till kultur- och fritidsverksamheter
- demokratisk delaktighet
- god livsmiljö
Inom varje delområde skall ett jämställdhetsperspektiv beaktas. De lo-
kala målen bör följas upp och utfallet årligen redovisas för regeringens
storstadsdelegation. Innan treårsperioden är slut bör en samlad avstäm-
ning och utvärdering göras. Därefter får ställning tas till formerna för det
fortsatta arbetet med storstadsfrågor och en eventuell fortsättning av ut-
vecklingsarbetet.
Lokala åtgärdsplaner
Som ett led i det lokala utvecklingsarbetet bör en åtgärdsplan tas fram
som visar vad som kan och bör göras för att främja en god utveckling i
stadsdelen. I samtliga berörda stadsdelar pågår naturligtvis redan en
mängd åtgärder. I en del fall kan det räcka med att fortsätta dessa, i andra
fall kan det vara lämpligt att förändra inriktningen på åtgärderna, och i
åter andra fall kan de behövas nya insatser eller åtgärder.
Planerna skall vara långsiktiga och syfta till att bättre utnyttja de be-
fintliga personella och ekonomiska resurserna i området. Även om pla-
nens genomförande initialt kräver ett visst resurstillskott måste den lång-
siktigt utgå från de reguljära resurser som staten, landstingen och kom-
munerna redan disponerar i området i fråga.
Det är viktigt att de boende i de aktuella stadsdelarna engageras såväl i
målformulering som i framtagandet av den lokala åtgärdsplanen. De in-
ternationella erfarenheterna från förnyelse av utsatta bostadsområden
visar entydigt att framgång förutsätter en hög grad av delaktighet från
invånarnas sida. Det finns en lång rad ideella föreningar och andra frivil-
liga initiativ i dessa områden som måste tas tillvara.
I åtgärdsplanen skall tydligt regleras respektive myndighets ekono-
miska och personella åtagande i stadsdelen under programperioden. Det
skall regleras hur samverkan mellan olika myndigheter skall fungera.
Prop. 1997/98:165
Det kommunala åtagandet
Regeringens bedömning: Det statliga stödet till lokalt utvecklingsar-
bete bör förutsätta en minst likvärdig kommunal motprestation.
Kommunen bör i sin interna resursfördelning ta hänsyn till den eller
de utsatta stadsdelarnas behov. Kommunens sammanlagda insatser i
området bör vara minst lika omfattande under avtalsperioden som ti-
digare. Den eller de berörda kommunerna bör vara ansvariga för de
lokala utvecklingsavtalens genomförande.
80
Skälen för regeringens bedömning: Det bör vara respektive kom-
munstyrelse som fungerar som motpart gentemot staten i överläggning-
arna om lokala utvecklingsavtal. Visserligen berör avtalen inte hela
kommunerna utan endast vissa geografiskt avgränsade områden, men det
är av stor vikt att kommunen i sin helhet ställer sig bakom utvecklings-
avtalen och förbinder sig att verka för att dess mål uppfylls. I flera av de
berörda kommunerna finns en organisation med stadsdels- eller kom-
mundelsnämnder. Dessa bör självklart spela en mycket viktig roll i
framtagande och genomförande av de lokala utvecklingsavtalen. Hur den
exakta ansvarsfördelningen inom den kommunala organisationen skall se
ut är dock en fråga för respektive kommunledning.
Kommunernas åtagande i de lokala utvecklingsavtalen bör innefatta:
- att resursfördelningen inom kommunen tar hänsyn till de utsatta
stadsdelarnas behov,
- att eventuella projektmedel eller andra specialsatsningar från kommu-
nens sida i de utsatta stadsdelarna inte minskar,
- att det statliga stödet till det lokala utvecklingsarbetet motsvaras av en
minst likvärdig kommunal motprestation,
- att kommunen i all sin verksamhet inom de berörda områdena skall
verka för uppfyllandet av målen i det lokala utvecklingsavtalet, samt
- att kommunen utvecklar den lokala demokratiska dialogen så att invå-
narna blir delaktiga i det lokala utvecklingsarbetet.
Detta innebär att staten kommer att ställa upp krav på betydande mot-
prestationer från kommunernas sida för att de skall fa del av det statliga
stödet. Eftersom regeringens avsikt är att de lokala utvecklingsavtalen
skall ha karaktären av programsamarbete snarare än projektstöd är det
däremot inte lämpligt att i förväg ange någon procentsats för hur stor
grad av egen finansiering som kommunerna måste bidra med. De statliga
kraven på kommunala motprestationer kommer istället att komma till
uttryck vid utformandet av de lokala utvecklingsavtalen. Stor vikt kom-
mer då att läggas vid hur kommunerna avser att fördela reguljära verk-
samhetsresurser till de utsatta stadsdelarna.
Tidsplan
Det är av största vikt att staten och de berörda kommunerna arbetar lång-
siktigt gentemot de utsatta stadsdelarna. Stora insatser i projektform un-
der kort tid kan göra mer skada än nytta. Ett långsiktigt och genomtänkt
utvecklingsprogram byggt på en god lokal förankring har dock visat sig
kunna ge goda resultat, såväl i Sverige som i andra länder. Utvecklings-
avtalen bör därför ses som en bestående förändring av samarbetsformer-
na mellan stat och kommun och inte som ett tillfälligt program.
Regeringen föreslår att riksdagen avsätter medel under tre år för stöd
till lokala utvecklingsavtalen. För att nå en långsiktighet i avtalen kan det
vara rimligt att sluta avtal för en längre period trots att staten endast bi-
drar med medel under de tre första åren. Det bör göras en årlig avstäm-
ning av måluppfyllelse, åtgärder och ekonomi i samverkan mellan rege-
Prop. 1997/98:165
81
ringens storstadsdelegation och de berörda kommunerna. Det långsiktiga
utvecklingsarbetet i de berörda stadsdelarna bör i allt väsentligt bygga på
de befintliga resurserna i respektive kommun. De särskilda medel som
staten kan bidra med under perioden 1999-2001 är avsedda att stimulera
detta utvecklingsarbete. Effekterna av de genomförda insatserna bör ut-
värderas.
Erfarenheterna visar att lokala demokratiska processer av det slag som
skissats ovan tar lång tid. Arbetet med lokala utvecklingsavtal behöver
emellertid inte starta från noll - i samtliga berörda stadsdelar finns redan
en lång rad pågående verksamheter och även nätverk mellan olika aktö-
rer. Regeringen bedömer därför att lokala utvecklingsavtal kan tas fram
under år 1999 och att åt gårdsplanerna har kommit så pass långt att vissa
medel kan utbetalas redan detta år. I de stadsdelar som utgör nationella
exempel kommer arbetet att ha nått ännu längre eftersom de redan under
1998 får del av statliga medel.
Det är viktigt att formulera de lokala utvecklingsavtalen och hand-
lingsplanerna så att de kan förändras över tiden. Ett forändringsarbete av
detta slag är en process vars olika steg är omöjliga att från början förutse.
Därför bör en årlig revidering av avtalen ske i dialog mellan kommunen
och regeringens storstadsdelegation.
Prop. 1997/98:165
Regeringens bedömning: Regeringen avser att i budgetpropositionen
föreslå att medel anvisas under treårsperioden 1999-2001 för särskilt
statligt stöd till lokalt utvecklingsarbete i de utsatta stadsdelarna i
storstadsregionerna. Stödet skall vara direkt kopplat till de lokala ut-
vecklingsavtalen. För år 1999 bör sammanlagt 480 miljoner kronor
anvisas, för år 2000 beräknas 480 miljoner kronor och för år 2001 785
miljoner kronor. En mindre del av dessa medel kan gå till bostadsom-
råden utanför storstäderna.
Medlen fördelas av storstadsdelegationen efter beslut av regeringen
inom ramen för arbetet med lokala utvecklingsavtal. De statliga myn-
digheterna på lokal nivå skall verka för de effektmål och den åtgärds-
plan som tagits fram för respektive område och som ingår i utveck-
lingsavtalet.
Storstadskommitténs förslag: Kommittén föreslår att storstadsdele-
gationen skall ha vissa medel att fördela till lokala storstadspolitiska in-
satser. Kommittén ser den föreslagna nationella storstadspolitiken som en
kraftfull vidareutveckling av det redan pågående arbetet med stöd till
utsatta bostadsområden. Anslaget för detta ändamål bör överföras till den
särskilda delegationen som föreslås fa det direkta ansvaret för den natio-
nella storstadspolitiken.
Kommittén föreslår vidare att Allmänna arvsfondsdelegationen avsät-
ter 30 miljoner kronor för åren 1998 och 1999 för särskilda insatser för
barn och ungdomar i de utsatta stadsdelarna. Arvsfondsdelegationen och
82
den särskilda delegationen för storstadspolitik bör ha gemensamt bered-
ningsansvar vid fördelningen av dessa medel. De kommuner som ansöker
om stöd till lokala storstadspolitiska insatser bör själva delfinansiera in-
satserna.
Kommittén framhåller att det också finns andra statliga stöd som riktar
sig till kommuner, som exempelvis stöd till lokala investeringsprogram,
det särskilda stödet för vuxenutbildningssatsningen (Kunskapslyftet) och
projektmedel från andra centrala verk. När denna typ av medel ingår som
statlig delfinansiering i ett lokalt utvecklingsavtal måste givetvis de
kommunala insatserna stämma överens med målsättningarna för det be-
rörda stödet.
Storstadskommittén framhåller slutligen att anslaget för den nationella
storstadspolitiken enligt deras mening bör vara avsevärt högre redan år
2000, uppskattningsvis 1 miljard kronor om året under en tioårsperiod.
De menar att detta bör kunna finansieras genom en omprioritering inom
de utgiftsområden som sorterar under de departement som förslagsvis bör
ingå i den särskilda delegationen, dvs. inrikes-, närings-, arbetsmarknads,
utbildnings- och socialdepartementet.
Skälen för regeringens bedömning: Under ett inledande skede be-
hövs ett särskilt statligt stöd till arbetet med lokala utvecklingsavtal för
att säkerställa att verksamheten kommer igång. Statens åtagande bör
kunna vara att
- de statliga myndigheterna på lokal nivå får skall verka för de effekt-
mål och den åtgärdsplan som tagits fram för respektive område och
som ingår i utvecklingsavtalet
- särskilda medel beräknas inom ramen för av riksdagen anvisade an-
slag för statligt stöd till utveckling av storstädernas utsatta stadsdelar
för åren 1999-2001.
I 1998 års ekonomiska vårproposition (prop. 1997/98:150) föreslås att
350 miljoner kronor vardera för åren 1999 och 2000 samt 800 miljoner
kronor för år 2001 anvisas för åtgärder inom framtidsområdet Ett Sverige
för alla. I detta ingår att vissa medel har beräknats under åren 1999-2000
för insatser för förstärkning av diskrimineringsombudsmannen, nationellt
centrum för validering av utländska utbildningar och betyg samt kostna-
der för Mångfaldens år. Därutöver finns sedan tidigare 189 miljoner kro-
nor för år 1998 samt 150 miljoner kronor avsatta för vardera åren 1999
och 2000 för insatser i utsatta bostadsområden.
Regeringens avsikt är att den tidigare beslutade satsningen på natio-
nella exempel skall integreras i framtagandet av lokala utvecklingsavtal.
De bostadsområden som är aktuella för att bli nationella exempel ingår
alla i den större grupp av utsatta bostadsområden som avses omfattas av
de lokala utvecklingsavtalen. Den handlingsplan som tas fram för de na-
tionella exemplen blir en grund för lokala utvecklingsavtal. En komplet-
tering krävs främst vad avser de lokala statliga myndigheternas ansvar
för den lokala utvecklingen.
För åren 1999 och 2000 skall de tidigare beslutade medlen till insatser
i utsatta bostadsområden integreras i de medel som nu föreslås avsättas
för genomförande av de lokala utvecklingsavtalen. Den föreslagna stor-
Prop. 1997/98:165
83
stadsdelegationen skall sålunda bereda regeringens beslut om stöd, både
till den mindre grupp av bostadsområden som under 1998 far stöd som
nationella exempel och till den större grupp av områden som kommer att
omfattas av de lokala utvecklingsavtalen.
Det innebär att sammanlagt 480 miljoner kronor beräknas för 1999,
480 miljoner kronor för 2000 och 785 miljoner kronor för år 2001 för
stöd till utsatta bostadsområden. Dessa medel skall huvudsakligen för-
delas till berörda kommuner för genomförande av de lokala utvecklings-
avtalen. Vidare föreslås i denna proposition att 10 miljoner kronor årli-
gen under perioden 1999-2001 skall avsättas till förstärkning av kultur-
miljövård och arkitektoniska värde i storstäderna.
Storstadsdelegationen bör i sin fördelning av medel utgå från den in-
riktning som redovisas i de följande kapitlen. Det innebär att 150 miljo-
ner kronor per år skall avse försöksverksamhet med viss förskoleverk-
samhet i utsatta bostadsområden, 50 miljoner kronor skall gå till språkut-
veckling i skolan, 20 miljoner kronor till idrotts-, kultur- och fritidsverk-
samhet, och 20 miljoner kronor till integrerad praktik och svenskunder-
visning för vuxna invandrare. I övrigt skall de medel som fördelas till
utsatta bostadsområden användas för att finansiera de åtgärder som staten
och de berörda kommunerna kommer fram till i de lokala utvecklingsav-
talen. Eftersom ett huvudmål med det lokala utvecklingsavtalen skall
vara att höja graden av egenförsörjning bör en stor del av medlen använ-
das för detta ändamål. En närmare redovisning av propositionens ekono-
miska förutsättningar och konsekvenser återfinns i avsnitt 12.
Framtidsområdet Ett Sverige för alla handlar inte endast om insatser i
utsatta storstadsområden. Det handlar om fullföljandet av regeringens
integrationspolitik som beskrivits i avsnitt 5.6. Det innebär att även om-
råden utanför de tre storstadsregionerna med likartade problem kan fa del
av medel inom ovan angiven ram. Bl.a. bör de projekt inom Norrköping,
Eskilstuna, Landskrona och Trollhättan som tidigare fått stöd ur rege-
ringens anslag för utsatta bostadsområden slutföras. Stöd till dessa områ-
den bör också beredas av storstadsdelegationen och beslutas av regering-
en.
Prop. 1997/98:165
Ett av de viktigaste målen för storstadspolitiken är att höja sysselsätt-
ningsgraden i de utsatta bostadsområdena. Sysselsättningsgraden ligger i
allmänhet mellan 30 och 40 procent i de mest utsatta stadsdelarna. Efter-
som delaktigheten i samhällslivet och förutsättningarna för ett gott liv i
ekonomiskt, socialt och kulturellt hänseende i hög utsträckning hänger
samman med deltagande i arbetslivet och med en egen försörjning är
detta avgörande för den fortsatta samhällsutvecklingen.
Ett annat och näraliggande mål för storstadspolitiken är att minska so-
cialbidragsberoendet i de utsatta storstadsområdena. I de tre storstads-
84
kommunerna har socialbidragskostnadema näst intill tredubblats under
1990-talet. Förutom de kommunalekonomiska konsekvenserna av en
sådan utveckling är det för den enskilde mycket viktigt att kunna försörja
sig själv. Beroendet av försörjningsstöd är nära kopplat till ett utanför-
skap från arbetsmarknaden. I detta kapitel redovisas därför förslag till
åtgärder för att kunna öka sysselsättningsgraden och minska socialbi-
dragsberoendet i storstadsregionernas utsatta bostadsområden.
I avsnitt 6 redovisas regeringens överväganden och förslag när det
gäller att generellt stärka storstadsregionernas förutsättningar för tillväxt
och ökad sysselsättning. I detta kapitel läggs förslag som mer specifikt
syftar på åtgärder i de socialt utsatta bostadsområdena.
Regeringen redovisade i 1998 års ekonomiska vårproposition (prop
1997/98:150) att sysselsättningspolitiken bygger på arbets- och kompe-
tenslinjen. Arbetslösheten skall minskas, huvudsakligen genom att fler
människor far arbete eller utbildning som ger ökade möjligheter till ar-
bete. Arbetsmarknadspolitiken läggs om för att öka kvaliteten på åtgär-
derna och i än större utsträckning medverka till att minska flaskhalsar i
den uppåtgående konjunkturen och stigande sysselsättningen. Huvudde-
len av sysselsättningsökningen de kommande åren bör ske i den privata
sektom.
Arbetslösheten är allvarligast för de personer som stängs ute från ar-
betsmarknaden under långa perioder. De löper större hälsorisker än
många andra grupper, får sämre inkomstutveckling, förlorar kompetens
och löper därför risk att permanent slås ut från arbetsmarknaden. De har
svårt att komma ifråga för de lediga jobben och därmed att dra nytta av
den uppåtgående konjunkturen och den stigande sysselsättningen. I prak-
tiken uppkommer en inlåsning i arbetslöshet och bidragsberoende.
Arbetsförmedlingen behöver i det nuvarande konjunkturläget lägga
stor vikt vid att motverka inflationsdrivande flaskhalsar och att underlätta
för företagen att snabbt tillsätta lediga platser. För de som har svårt att
komma ifråga för de jobb som nu blir lediga kan emellertid utdragna pe-
rioder med enbart kontantstöd bidra till en passivisering och ett förlorat
självförtroende. Det är därför viktigt att också både upprätthålla och för-
bättra de arbetssökandes kompetens och att motverka en passivisering.
Det behövs därför särskilda insatser för de som inte omedelbart kan
komma i fråga för de lediga jobben, eller som har särskilda svårigheter
att fa och behålla ett arbete. Mot bakgrund av detta är det viktigt att den
arbetslöse som inte kan erhålla ett arbete inom rimlig tid istället erbjuds
en åtgärd som kan öka hans eller hennes anställbarhet och därmed chan-
ser att åter fa ett arbete på den reguljära arbetsmarknaden.
Arbets- och kompetenslinjen bygger på en uttalad ömsesidighet, där
den enskilde har både rättigheter och skyldigheter. Ä ena sidan är sam-
hället berett att stöda den som har svårt att finna arbete, såväl ekonomiskt
som med aktiva åtgärder. Å andra sidan förväntar sig samhället att den
Prop. 1997/98:165
85
arbetslöse aktivt utnyttjar sina egna resurser och möjligheter, och är be- Prop. 1997/98:165
redd att anta varje lämpligt arbete.
Regeringens bedömning: Kommuner som omfattas av lokala ut-
vecklingsavtal bör kunna sluta avtal med länsarbetsnämnd och försäk-
ringskassan i länet om lokal samverkan med utvecklingsprogram för
arbetslösa i de utsatta stadsdelarna. Länsarbetsnämnden kan delegera
avtalsslutandet till den lokala arbetsförmedlingsnämnden.
Avtalet skall ange form för samverkan, mål och målgrupp för åt-
gärderna samt formerna för redovisning av resultat och uppföljning av
verksamheten. Det är väsentligt att de olika kompetenser som finns i
de samverkande myndigheterna kan utnyttjas på bästa sätt. Därför bör
personal från de samverkande myndigheterna om möjligt vara place-
rade i den berörda stadsdelen.
Regeringen avser att tillkalla en särskild utredare för att förbereda
överläggningar om sådana avtal. I uppdraget bör ingå att analysera
vilka utvecklingsmöjligheter som finns för förbättrad samverkan
mellan olika offentliga aktörer och ersättningsystem. Målet med ut-
vecklingsprogrammen skall vara ett arbete på den reguljära arbets-
marknaden.
Bakgrund: Regeringen anförde i propositionen 1996/97:63 Samver-
kan, socialförsäkringens ersättningsnivåer och administration m.m. att
det finns ett stort behov av att mer effektivt utnyttja samhällets samlade
resurser för att bättre kunna tillgodose enskilda mäns och kvinnors behov
av olika stödåtgärder. Många människor med långvarig arbetslöshet,
psykosociala eller hälosmässiga problem kan lätt hamna i en gråzon
mellan de olika ersättningssystemen eftersom problembilden inte renod-
lat faller inom någon viss myndighets ansvarsområde. Detta kan leda till
en rundgång mellan socialtjänsten, försäkringskassan, arbetsförmedling-
en och landstingets primärvård, med många kortsiktiga och ineffektiva
insatser som följd. Regeringen anförde mot denna bakgrund att det finns
starka skäl att utveckla bra och ändamålsenliga samverkansmodeller som
ger bättre förutsättningar för rehabiliteringsarbetet.
Regeringen ansåg i propositionen att arbetet med samverkan inte läng-
re skulle ses som försöksverksamhet utan bli en naturlig del av berörda
myndigheters verksamhet i syfte att stödja alla som är i behov av särskil-
da insatser. Arbetet borde därför inriktas på generella lösningar. De lo-
kala samverkansprojekt som kommer att utvecklas skall inte behöva nå-
got särskilt godkännande av regeringen eller respektive myndigheter,
utan det är de enskilda aktörerna själva som bör besluta om att bedriva
samverkan utifrån lokala förutsättningar och behov.
Riksförsäkringsverket, Arbetsmarknadsstyrelsen, Socialstyrelsen och
Arbetarskyddsstyrelsen har som gemensamt mål i sina respektive regle-
86
ringsbrev att aktivt samarbeta på rehabiliteringsområdet så att en effekti-
vare användning av tillgängliga resurser uppnås. Syftet skall vara att
varje individs arbetsförmåga blir tillvaratagen så att det blir möjligt för
den enskilde att försörja sig genom eget arbete.
Pågående samverkansprojekt inom rehabilitering respektive
arbetsmarknadspolitik
SOCSAM är en lokal försöksverksamhet med finansiell samordning
mellan socialförsäkring, hälso- och sjukvård och socialtjänst. Försöks-
verksamheten får bedrivas under tiden den 1 juli 1994 - 31 december
2000 inom tio lokala områden. Godkännande finns för tillfället för åtta
kommuner, medan ytterligare ansökningar behandlas.
Riksförsäkringsverket och Socialstyrelsen har i en lägesrapport lämnat
en översikt och analys av de utvärderingar som utförs inom försöksom-
rådet Stenungsund, Finansiell samordning 1997:2. Rapporten fokuserar
på utfallet av de förändringsprocesser som pågår i projektet snarare än
försökets effekter hos utvalda målgrupper.
De pågående försöksverksamheterna kan enligt regeringen tjäna som
en utgångspunkt för lokala överenskommelser om myndighetssamverkan
i utsatta stadsdelar inom storstadsregionerna. I denna samverkan bör då
även arbetsförmedlingen ingå.
I den kommunala utvecklingsgarantin för ungdomar innebär att de
kommuner som vill kan erbjuda alla arbetslösa ungdomar från 20 t.o.m.
24 år aktiveringsprogram på heltid under 12 månader. Åtgärderna finan-
sieras av staten inom ramen för de arbetsmarknadspolitiska medlen. Se-
nast inom 90 dagar skall den som är arbetslös och mellan 20 och 24 år
tillsammans med arbetsförmedlingen och kommunen arbeta fram en in-
dividuell handlingsplan. Planen innebär att individen har både rättighet
och skyldighet att delta i en av kommunen anordnad aktivitet. Aktive-
ringsprogrammet skall vara individuellt anpassat och innehålla olika ty-
per av kompetensutveckling. Arbetsförmedlingsnämnderna far en nyck-
elroll med ansvar för att utvecklingsgarantin kommer till stånd i de olika
kommunerna. Stor vikt läggs vid att insatserna anpassas efter lokala för-
utsättningar och i nära samverkan med ortens näringsliv.
Skälen for regeringens bedömning: I de mest utsatta stadsdelarna i
storstäderna är deltagandet i arbetslivet mycket lågt. Sysselsättningsgra-
den ligger i allmänhet mellan 30 och 40 procent, dvs. ungefar hälften av
riksgenomsnittet. Den öppna arbetslösheten är ungefar dubbelt så hög
som i storstadsregionerna i sin helhet. Andelen av de arbetslösa som har
ersättning från arbetslöshetskassa är relativt låg och många är därför
hänvisade till socialbidrag för sin försörjning. Bland de arbetslösa finns
en grupp invandrare som enligt arbetsförmedlingens bedömning har för
dåliga kunskaper i svenska språket för att stå till arbetsmarknadens för-
fogande. Där finns också relativt många långtidssjukskrivna personer
som ofta har en komplex problembild och som under långa perioder har
befunnit sig i en rundgång mellan olika rehabiliterande åtgärder. Slutli-
gen finns en relativt stor grupp kvinnor som av kulturella och andra orsa-
ker inte har gått ut på arbetsmarknaden. Den låga sysselsättningsgraden
Prop. 1997/98:165
87
inom dessa områden medför att graden av försörjning via olika statliga
transfereringssystem respektive kommunala socialbidrag är hög. I avsnitt
3 beskrivs närmare det stora socialbidragsberoendet i dessa stadsdelar.
Den offentliga förvaltningen och de offentliga åtgärdsprogrammen är
organiserade efter politikområden och inriktade på väl definierade pro-
blem. Var och en arbetar självständigt med fokus på sin egen uppgift.
Den uppgift som samhället står inför i de utsatta stadsdelarna är emeller-
tid ofta mångfacetterad och komplex. I det enskilda fallet krävs inte säl-
lan en kombination av åtgärder inom olika ansvarsområden, antingen
parallellt eller i serie. Behovet av samverkan mellan olika statliga myn-
digheter och kommunens olika organ är således stort. Det är mot denna
bakgrund man skall se de initiativ som regeringen under senaste åren har
tagit för att stärka den lokala samverkan. Den ovan nämnda propositio-
nen 1996/97:63 är ett uttryck för denna inriktning, den kommunala ut-
vecklingsgarantin är en annan.
Trots stora resursinsatser från olika myndigheter i dessa områden kvar-
står betydande problem. Det finns svårigheter att hantera de mycket spe-
ciella förutsättningar som finns i de utsatta stadsdelarna inom storstads-
regionerna. I dessa stadsdelar finns det på många håll en utbredd kritik
mot de olika systemens bristande samverkan, liksom mot systemens
oförmåga att uppfylla övergripande integrationspolitiska mål. Nedan re-
dovisas några av problemen.
Arbetsförmedlingens huvuduppgift i nuvarande konjunkturläge är att
finna lämpliga sökande till de befintliga lediga platserna. Många arbets-
lösa i dessa områden bedöms inte komma ifråga för de lediga platserna,
och blir därmed inte aktuella för den direkta platsförmedlingen.
Arbetsmarknadsåtgärderna är tidsbegränsade och det kan vara svårt att
länka olika åtgärder till ett sammanhängande program som verkligen kan
leda till att den arbetslöse far förutsättningar att konkurrera på den öppna
arbetsmarknaden. Det gäller inte minst behovet av att kunna kombinera
utbildning och praktik.
Många av de som står utanför arbetsmarknaden har komplexa svårig-
heter som kräver en kombination av åtgärder för att lösa. Istället för att
samla de olika offentliga resurser som finns har dessa personer många
gånger flera års erfarenhet av rundgång mellan olika åtgärdsprogram.
Många av de arbetslösa kommer från andra länder, har svag eller ingen
erfarenhet av den svenska arbetsmarknaden, känner få personer på ar-
betsmarknaden och saknar därför i hög utsträckning referenser och kon-
takter. Därigenom ställer de speciella krav på platsförmedlingen.
Svenskundervisningen för invandrare (sfi) har i vissa fall inte gett till-
räckliga kunskaper och färdigheter. Bristen ligger främst i avsaknaden av
praktisk användning av det svenska språket i någon form av arbetsprak-
tik.
Behovet av att koppla samman passivt försörjningsstöd och aktiva in-
satser för att främja social integration och framtida förvärvsverksamhet
är särskilt stora i storstadsregionernas utsatta stadsdelar. För att under-
lätta samverkan bör gemensamma former för verksamheten utvecklas för
insatser i utsatta stadsdelar, som gör det vara lättare att fa en helhetssyn
på individens problem och möjligheter. De olika myndigheterna med
Prop. 1997/98:165
88
deras olika kompetenser och resurser kan därigenom medverka till att på
ett effektivt sätt stärka individens kompetens och utsikter att fa ett arbete
på den reguljära arbetsmarknaden. Regeringen noterar att man lokalt i
många fall, helt eller delvis, har gått över till ett sådant arbetssätt. Där-
med kan de individer som idag tenderar att vandra mellan olika myndig-
heter och utan att bli hjälpta få det stöd de behöver. Det är också mycket
angeläget att knyta representanter från näringslivet till denna verksamhet.
Syftet med verksamheten ska vara att fa ett arbete och då behövs kon-
takter med företagen.
I syfte att stärka de initiativ som tagits på många håll anser därför rege-
ringen att kommuner som omfattas av lokala utvecklingsavtal bör kunna
träffa avtal med länsarbetsnämnd och länets försäkringskassa om lokal
samverkan med utvecklingsprogram for arbetslösa i utsatta stadsdelar.
Vilka områden som skall omfattas, hur samverkan skall utformas och
vilka individer som skall beröras regleras slutligt i avtalet. Det bör såle-
des vara möjligt att välja olika lösningar for olika områden beroende på
förutsättningar och behov. En faktor av betydelse i detta sammanhang är
även andra insatser som pågår, t.ex. for arbetslösa ungdomar mellan 20-
24 år inom ramen for den kommunala utvecklingsgarantin.
Avtalen bör reglera samverkansformer, mål, målgrupp, redovisning
och uppföljning. De bör vidare precisera vilka åtaganden som staten gör
for de statliga myndigheternas räkning, liksom vilka åtaganden de berör-
da kommunerna samt försäkringskassan gör. Det skall möjliggöra att
man kan kedja åtgärder inom de olika myndighetsområdena till ett för
individen meningsfullt utvecklingsprogram.
De personer som ingår i målgruppen bör vara inskrivna vid arbetsför-
medlingen som arbetssökande, men kan också vara aktuella hos kommu-
nens socialtjänst eller hos försäkringskassan. Personerna bör innan de
erbjuds ett individuellt utvecklingsprogram ha prövats mot den reguljära
arbetsmarknaden genom kraftfulla förmedlingsinsatser. Personerna bör
vidare vara motiverade att deltaga i programmet, och bedömas ha realis-
tiska möjligheter att genom särskilda insatser få ett reguljärt arbete inom-
rimlig tid.
Regeringen anser det vara av betydelse att avtalen om samverkan träf-
fas på lokalnivå där man känner förhållandena bäst och vet på vilket sätt
som detta samarbete kan medverka till bra resultat. Verksamheten bör
som tidigare nämnts regleras i avtal mellan länsarbetsnämnd, kommun
och försäkringskassa. Finansieringen av åtgärderna i det individuella ut-
vecklingsprogrammet skall i huvudsak ske på basis av de samverkande
myndigheternas ordinarie anslag. Utgångspunkten är att de befintliga
åtgärdsmedel som idag satsas i den berörda stadsdelen bör användas in-
om det lokala utvecklingsprogrammet.
Detta kan ses som en utveckling av de intentioner till samverkan och
gemensamma mål for myndigheterna inom rehabiliteringsområdet som
regeringen redan har genomfört genom prop. 1996/97:63 i och med att
det även inkluderar länsarbetsnämnderna och arbetsförmedlingarna. För
att underlätta genomförandet av utvecklingsprogram bör en särskild utre-
dare tillkallas for att förbereda överläggningar om avtal om en samverkan
med denna inriktning. Verksamheten bör följas upp löpande. Den bör
Prop. 1997/98:165
89
göras en oberoende utvärdering under det tredje året. Därefter får ställ-
ning tas till hur det fortsatta arbetet med inriktning på utsatta stadsdelar i
storstadsregionerna skall bedrivas.
Prop. 1997/98:165
Regeringens bedömning: De utvecklingsprogram som föreslås i av-
snitt 8.3 bör vara inriktade på individuell utveckling för de personer
som är och riskerar att i långa tider förbli utan reguljärt arbete, eller
annan egen försörjning eller som behöver rehabiliterande eller arbets-
tränande insatser. De individuella programmen bör utformas i samråd
mellan den enskilde och de samverkande myndigheterna. De bör
präglas av en grundläggande ömsesidighet, där även den enskilde gör
ett åtagande och har ett ansvar.
Åtgärder och åtgärdstider bör, inom ramen för gällande regelverk,
utformas med hänsyn till den enskildes speciella behov. Målet skall
vara att de deltagande personerna skall öka sin anställbarhet och så
snart som möjligt finna arbete på den öppna arbetsmarknaden, påbörja
reguljära studier eller försörja sig genom eget företagande.
Skälen för regeringens bedömning: Behoven av insatser varierar
kraftigt mellan olika individer beroende på förutsättningar och behov.
Genom att arbeta med individuella utvecklingsprogram uppnås en mer
flexibel anpassning av insatserna till den enskildes behov, samtidigt som
samverkan mellan berörda aktörer underlättas.
I utvecklingsprogrammet bör anges vilka åtgärder som skall vidtas för
att stärka den enskildes möjligheter att så snart som möjligt komma ut på
arbetsmarknaden, påbörja reguljära studier eller försörja sig genom eget
företagande. Det individuella utvecklingsprogrammet bör utformas i en
dialog med den enskilde och präglas av en grundläggande ömsesidighet,
där även den enskilde gör ett åtagande och har ett ansvar.
Individuella utvecklingsprogram bör upprättas för personer som är bo-
satta i den aktuella stadsdelen, som saknar arbete och som riskerar att bli
arbetslösa under en längre tid eller är i behov av utbildningsinsatser eller
annan åtgärd för att förbättra sin anställningsbarhet.
En tydlig arbetslinje
I målgruppen finns både män och kvinnor som far sin försörjning från
olika ersättningssystem, som t.ex. arbetslöshetsförsäkring, sjukförsäkring
och/eller socialbidrag. En rätt till ersättning som intjänats inom eller som
följer av något av dessa system skall inte påverkas av försöksverksam-
heten. Frågan om vilka ersättningar som bör utgå under tid i aktivitet
behöver dock utredas närmare. Verksamheten bör kännetecknas av en
strävan att så långt som möjligt kanalisera alla kontakter med den enskil-
de genom en kontaktpunkt.
90
Försöksverksamheten bör som tidigare nämnts bygga på en tydlig öm-
sesidighet. Rätten till ersättning från de olika ersättningssystemen är
kopplad till någon form av villkor eller krav på motprestation från den
enskilde.
Arbetslöshetsförsäkringen är en integrerad del av arbetsmarknadspoli-
tiken och dess syfte är att verka som en omställningsförsäkring for per-
soner med en fast förankring på arbetsmarknaden. Ersättning kan under
en begränsad tid ges till den som blir arbetslös samt uppfyller vissa vill-
kor för att underlätta for denna att hitta ett nytt arbete. Arbetslöshetsför-
säkringen är ingen yrkesforsäkring. Det innebär att det ställs stora krav
på den som blir arbetslös att söka och acceptera nytt arbete även utanför
det yrkesområde där han eller hon tidigare varit verksam. Dessutom ställs
krav på att godta en förändrad lön, flytta eller pendla till arbete, omskola
sig eller delta i praktikåtgärder. Under tid i arbetsmarknadspolitisk åtgärd
erhåller den enskilde ersättning motsvarande arbetslöshetsersättningen,
s.k. utbildningsbidrag.
Kraven för rätt till ersättning sammanfattas i de s.k. grundvillkoren
som handlar om att stå till arbetsmarknadens förfogande. För att få er-
sättning krävs att den sökande, förutom att ha uppfyllt ett s.k. arbetsvill-
kor, är arbetsför och oförhindrad att ta arbete minst tre timmar per dag
och i genomsnitt 17 timmar per vecka, är beredd att anta erbjudet lämp-
ligt arbete, är anmäld som arbetssökande hos arbetsförmedlingen och inte
kan få lämpligt arbete. Om den sökande avvisar ett erbjudande om lämp-
ligt arbete eller arbetsmarknadspolitiska åtgärder träder sanktioner i kraft
som i normalfallet innebär avstängning från rätt till ersättning i 60 ersätt-
ningsdagar. Den sökande kan även avstängas tills dess att förvärvsarbete
utförts i 80 dagar om han eller hon upprepade gånger tackat nej till er-
bjudet arbete eller åtgärd.
Sjukpenning utges enligt lagen (1962:381) om allmän försäkring
(AFL) vid sjukdom som sätter ned den enskildes arbetsförmåga med
minst en fjärdedel. Vid bedömning av om sjukdom föreligger skall bort-
ses från arbetsmarknadsmässiga, ekonomiska, sociala och liknande för-
hållanden. Sjukpenning utges även när den enskilde genomgår en medi-
cinsk behandling eller medicinsk rehabilitering som syftar till att före-
bygga sjukdom eller att förkorta sjukdomstid eller att helt eller delvis
förebygga eller häva nedsättning av arbetsförmåga. Som villkor gäller att
behandlingen eller rehabiliteringen har ordinerats av läkare och ingår i en
av försäkringskassan godkänd plan.
Enligt bestämmelserna i AFL kan försäkringskassan dra in eller sätta
ned ersättningen enligt AFL bl.a. om den som är berättigad till ersätt-
ningen vägrar att genomgå undersökning av läkare eller att följa läkares
föreskrifter. Den enskilde kan också förlora rätten till ersättning om han
eller hon utan giltig anledning vägrar att genomgå utredning for bedöm-
ning av det medicinska tillståndet, arbetsförmågan samt behovet av och
möjligheterna till rehabilitering. Den enskilde är också skyldig att delta i
erforderlig rehabilitering för att inte förlora sin rätt till ersättning.
Frågan om skyldigheter för den enskilde som uppbär socialbidrag och
kommunernas aktiva åtgärder behandlas i regeringens proposition
1996/97:124 Ändring i socialtjänstlagen. Regeringen redogör där för
Prop. 1997/98:165
91
principerna i socialtjänstlagen som innebär att socialbidraget skall utfor-
mas tillsammans med den enskilde och på ett sådant sätt att det på sikt
stärker hans eller hennes förutsättningar för egenförsörjning. För att den
enskilde skall ha rätt till bistånd krävs att han/hon skall göra vad han/hon
kan för att bidra till egen försörjning bl.a. genom arbete. Den som inte
har arbete är skyldig att aktivt söka och även godta lämpligt anvisat ar-
bete. I den skyldigheten ligger också deltagande i den verksamhet som
samhället ställer till förfogande för arbetslösa inom ramen för arbets-
marknadspolitiken, t.ex. arbetsmarknadsutbildning. En arbetslös person
kan också vara skyldig att delta i arbetssökarverksamhet, utbildning i
svenska eller introduktionsprogram som syftar till att förbereda och un-
derlätta inträde på arbetsmarknaden.
Åtgärderna i utvecklingsprogrammen
De individuella utvecklingsprogrammen bör utformas som enskilda åt-
gärder utifrån förutsättningar och behov i det enskilda fallet. Ett indivi-
duellt utvecklingsprogram bör t ex kunna innehålla en kombination av
olika åtgärder som svenskundervisning integrerat med arbetsplatspraktik,
arbetsträning, arbetsmarknadsutbildning och anställningsstöd. Åtgärder-
na i de individuella utvecklingsprogrammen skall syfta till att stärka den
enskildes anställningsbarhet och möjliggöra en snar övergång till en an-
ställning på den reguljära arbetsmarknaden eller annan form av egen för-
sörjning.
Det individuella behovet bör vara avgörande. Med tanke på de speci-
ella skäl som föreligger till följd av långa tider utan reguljärt arbete och
att de mest utsatta grupperna saknar reell möjlighet att konkurrera om de
lediga jobben bör de möjligheter till förlängd åtgärdstid som finns för
dessa grupper utnyttjas i syfte att stärka deras framtida position på ar-
betsmarknaden. Den enskilde skall således i vissa fall kunna få arbets-
marknadsåtgärder med förlängd varaktighet, dvs. att den specifika åtgär-
den kan vara mer än sex månader. Det individuella utvecklingsprogram-
mets hela längd bör avpassas till den enskilde deltagarens behov men bör
inte vara längre än tre år. Den enskilde skall löpande prövas mot den or-
dinarie arbetsmarknaden.
De individuella utvecklingsprogrammen bör vara utåtriktade och sikta
till att öka individernas rörlighet och kontaktytor, såväl genom praktik-
platsernas förläggning som genom utbildningen. Det är också viktigt att
det tidigt finns en dialog med potentiella arbetsgivare.
Ett individuellt utvecklingsprogram bör ses som ett erbjudande till in-
dividen och inte en rättighet. Det bör således krävas en aktiv insats av
individen att tillsammans med berörda myndigheter lägga upp program-
met. Det är vidare viktigt att individen är motiverad om programmet skall
kunna ge ett lyckat resultat.
En grundtanke bakom de individuella utvecklingsprogrammen är att de
skall motverka passivisering. De arbetslösa bör inte enbart erhålla kon-
tantstöd utan kunna erbjudas en tillfällig sysselsättning parallellt med
eller i avvaktan på annan åtgärd. För att klara detta kan det vara nödvän-
Prop. 1997/98:165
92
digt att erbjuda placering i särskilt anordnade sysselsättningsprojekt, som
en del i det individuella utvecklingsprogrammet.
De statliga medel som utgår som stöd till de berörda kommunerna in-
om ramen för de lokala utvecklingsavtalen kan användas som en komp-
letterande finansiering av avtalen eller av åtgärder inom ramen för dessa.
Likaså bör det finnas möjligheter till delfinansiering via den europeiska
socialfonden, mål 3.
Det är väsentligt att de olika kompetenser som finns i de samverkande
myndigheterna kan utnyttjas på bästa sätt. Det är därför önskvärt att den
personal som arbetar med personer i stadsdelen är samlade på ett ställe i
stadsdelen. Arbetet kan också lättare synliggöras om man finns lokalise-
rad i området.
Prop. 1997/98:165
Regeringens bedömning: Det bör ingå i de lokala utvecklingsavtalen
att medborgarna i de utsatta stadsdelarna skall fa tillgång till gemen-
samma medborgarkontor för såväl statliga som kommunala myndig-
heter.
Skälen för regeringens bedömning: I flera av de berörda stadsdelarna
(bl.a. i Botkyrkas och Stockholms kommuner) finns idag kommunala
medborgarkontor med inriktningen att erbjuda medborgarna samlad
kommunal information men också enklare ärendehantering. Medborgar-
kontoren utgör ett skyltfönster för de olika kommunala myndigheterna.
En brist i uppbyggnaden av dessa medborgarkontor har varit att de statli-
ga myndigheterna sällan har varit integrerade i verksamheten.
I de lokala utvecklingsavtalen bör därför kunna ingå att dessa stadsde-
lar skall bli bland de första i landet där medborgarna far tillgång till ge-
mensamma medborgarkontor för statliga och kommunala myndigheter.
Det förutsätter att man lokalt kan komma överens om en medverkan från
t.ex. arbetsförmedlingen och försäkringskassan i medborgarkontor i de
utsatta stadsdelarna. Ett medborgarkontor kan på så sätt utgöra ett skylt-
fönster och inslussningspunkt för medborgarna till de samverkande myn-
digheterna. Möjligheterna att använda IT för en utbyggd service och
samverkan bör utnyttjas.
Riksdagen har tagit ställning till frågan om utveckling av myndighets-
utövning vid medborgarkontor. Verksamheten skall naturligtvis följa de
riktlinjer för myndighetssamverkan avseende bl.a. sekretess som har
lagts fast.
93
Prop. 1997/98:165
Regeringens bedömning: Frågan om socialtjänstens finansiering
kommer att utredas av den särskilde utredaren som har fått i uppdrag
att se över vissa frågor som gäller socialtjänstlagen (1980:620) och
socialtjänstens uppgifter (dir. 1997:109) bl.a. mot bakgrund av att so-
cialbidraget för vissa grupper kommit att fungera som ett permanent
försörjningsstöd.
Storstadskommitténs förslag: Kommittén lägger inte något konkret
förslag som gäller socialbidraget men presenterar olika modeller för hur
storstadskommunerna skulle kunna avlastas den del av bidraget som ut-
betalas av arbetsmarknadsskäl. Kommittén förordar därvid alternativet att
staten övertar alla kostnaderna för socialbidraget.
Remissinstansernas synpunkter: Socialstyrelsen avstyrker kommit-
téns bedömning med motiveringen att en sådan lösning skulle skapa en
felaktig incitamentsstruktur där kommunerna bedömer behovet av bidrag
och staten betalar. Även Riksförsäkringsverket är starkt kritiska och me-
nar att kommunen bör ha det yttersta ansvaret för sina invånare. Svenska
Kommunförbundet menar att staten bör ta ett större ansvar när det gäller
socialbidragen. Socialbidraget bör återgå till sin ursprungliga funktion att
utgöra ett sista skyddsnät i stället för att som idag fungera som en perma-
nent försörjningskälla för allt fler människor.
Skälen för regeringens bedömning: Socialbidrag är en mindre del av
de totala transfereringarna till hushållen. Bidraget är tänkt att vara ett
tillfälligt försörjningsstöd. Bidraget utgör det yttersta skyddsnätet när den
enskilde inte kan försörja sig på annat sätt, t.ex. genom arbete eller ge-
nom det generella socialpolitiska systemet och är i denna funktion det
mest utpräglat selektiva stödet. Socialbidraget är således den enda del av
välfärdssystemet som är helt relaterad till det enskilda hushållets försörj-
ningsbehov. Bidraget prövas mot såväl den enskildes inkomster som till-
gångar. Rätten till bistånd regleras i socialtjänstlagen (1980:620) och kan
avse såväl ekonomiskt bistånd (socialbidrag) som vård och stöd i andra
former.
Behovet av socialtjänstens insatser har ökat påtagligt under de senaste
åren, särskilt när det gäller behovet av socialbidrag. Den främsta orsaken
är den höga arbetslösheten. För att sanera den svenska ekonomin har det
varit nödvändigt att förändra stora delar av välfärdssystemen. Föränd-
ringarna har framförallt gällt garanti- och ersättningsnivåer, men det har
också i vissa fall funnits behov av att korrigera vissa systemfel som upp-
stått och som blivit tydligare under senare år.
Utvecklingen kan ha bidragit till att fler människor än tidigare ställts
utanför det generella välfärdssystemet och tvingats söka socialbidrag.
Socialbidraget har därför alltmer kommit att fungera som en allmän in-
komstgaranti under längre tider för allt fler människor. Ansvaret för soci-
altjänsten inklusive kostnaderna för socialbidrag ligger hos kommunerna.
Staten ger finansiellt stöd genom det generella statsbidraget. Dessutom
utbetalas statlig ersättning för mottagandet av flyktingar och andra ut-
94
ländska medborgare som omfattas av flyktingmottagandet. För kommu-
ner och landsting finns också ett utjämningssystem som syftar till att
skapa likvärdiga förutsättningar att bedriva verksamhet. Bland annat
finns det en modell som har till syfte att utjämna strukturella kostnads-
skillnader när det gäller individ- och familjeomsorgsverksamheten.
Regeringen delar Storstadskommitténs uppfattning att de ekonomiska
problemen inom den offentliga sektorn har bidragit till att skapa svårig-
heter när det gäller finansieringen av socialtjänsten, bl.a. när det gäller
kraftigt ökade kostnader för socialbidrag. Utvecklingen har varit mest
uttalad i storstäderna och då framförallt i de utsatta bostadsområdena och
att de kostnadsökningar detta fört med sig har ställt krav på nerdragning-
ar i andra verksamheter. Det finns därför behov av att å ena sidan fa till
stånd en långsiktig stabilitet i resurserna på socialtjänstens alla områden
och å andra sidan behoven och ambitionsnivån. Det gäller såväl äldre-,
handikapp, och barnomsorg som individ- och familjeomsorg.
Regeringen anser dock inte att ett statligt övertagande av alla kostnader
för socialbidragen vore en bra lösning på problemet. Ett system där en
huvudman bedömer behovet av insatser och en annan betalar för dessa
insatser har erfarenhetsmässigt visat sig leda till ännu större kostnader.
Förutsättningen för att kunna finna andra och bättre lösningar är enligt
regeringens bedömning bl.a. att samspelet mellan de generella trygghets-
systemen och det individuellt behovsprövade socialbidraget analyseras
på ett mer djupgående sätt än vad som hittills skett. Regeringen har där-
för tillkallat en särskild utredare som har fatt i uppdrag att analysera so-
cialbidraget och dess samband med övriga trygghetssystem utifrån de
olika förändringar som skett under 1990-talet, särskilt när det gäller de
statliga transfereringssystemen. Utredaren skall överväga hur systemen
bättre skall kunna samverka i förhållande till varandra utan att arbetslin-
jen inom bidrags- och ersättningssystemen överges.
Eventuella behov av att förändra principerna för socialtjänstens finan-
siering skall analyseras utifrån behovet av att fa till stånd en balans mel-
lan å ena sidan en mer långsiktig stabilitet i resurserna på socialtjänstens
alla omsorgsområden och å andra sidan behoven och ambitionsnivån.
Förslag skall lämnas till hur det ekonomiska biståndet kan förändras så
att det så långt som möjligt kan fungera som ett tidsbegränsat stöd för
enskilda med mer tillfälliga sociala eller ekonomiska problem. Utredaren
skall redovisa uppdraget till regeringen senast den 31 mars 1999. Rege-
ringen avser därefter att återkomma med förslag.
Ekonomisk trygghet för vissa äldre invandrare
Regeringens bedömning: Den nuvarande situationen för vissa äldre
invandrare är otillfredsställande. Det är viktigt att hitta en långsiktig
lösning på deras försörjningsbehov.
Prop. 1997/98:165
Skälen för regeringens bedömning: Vissa äldre invandrare är i dag
hänvisade till socialtjänsten på grund av att deras sammanlagda pensions-
förmåner inte räcker till en godtagbar försörjning. Detta beror på att
95
många personer som i dag invandrar till Sverige saknar pensionsrättig-
heter då de invandrar, antingen beroende på att landet de kommer ifrån
saknar pensionssystem eller att de där intjänat liten eller ingen pensions-
rätt. Är personen ung vid tiden för invandringen till Sverige skapar detta
inga problem. Personen uppfyller då vid tiden för sin pensionering kra-
ven som ställs för att få svensk pension. Kraven enligt huvudregeln är att
man för att få full folkpension skall ha arbetat i Sverige i 30 år alternativt
varit bosatt 40 år i landet. Problem uppstår dock då äldre personer, vid
t.ex. anhöriginvandring, invandrar till Sverige utan eller med små pen-
sionsrättigheter från landet de utvandrat ifrån. De saknar samtidigt på
grund av sin ålder möjlighet att tjäna in rätt till svensk pension som räck-
er till en godtagbar försörjning. Situationen har medfört en ökad belast-
ning på socialbidragssystemet. Staten täcker dock kommunernas kostna-
der för flyktingar som är 60 år eller äldre när de anländer till Sverige.
Regeringen har i proposition 1997/98:113 Nationell handlingsplan för
äldrepolitiken uttalat att frågan om ekonomisk trygghet för vissa äldre
invandrare bör utredas av den särskilde utredaren som har fått i uppdrag
att se över vissa frågor rörande socialtjänstlagen (1980:620) och social-
tjänstens uppgifter (dir. 1997:109).
Såsom beskrivits i avsnitt 3 är storstädernas utsatta stadsdelar mycket
bamrika. Medan 18 procent av befolkningen i storstadsregionerna bor i
områden med mycket låga eller extremt låga inkomster så bor inte mind-
re är 36 procent av storstadsregionernas barn och ungdomar i dessa om-
råden. Omkring 56 procent av barnen och ungdomarna i dessa områden
har utländsk bakgrund, dvs. minst en förälder är född utomlands. Enligt
storstadskommittén blir allt fler barn med utländsk bakgrund i de utsatta
bostadsområdena föremål för socialtjänstens insatser. Storstadskommit-
tén redovisar rapporter som visar att många barn i utsatta områden inte
klarar testerna vid fyraårskontrollen och att försenad tal- och språkut-
veckling är ett vanligt problem.
Barn i socialt utsatta områden står många gånger utanför barnomsor-
gen. I storstädernas utsatta områden har endast 55 procent av barnen till-
gång till barnomsorg jämfört med över 70 procent för riket. Fler elever i
utsatta stadsdelar lämnar skolan med ofullständiga betyg. Omkring 20
procent av eleverna som slutade grundskolan år 1994 hade låga eller
ofullständiga betyg. Motsvarande andel för storstäderna i övrigt var drygt
9 procent. Medelbetygen för skolorna i dessa områden är lägre än övriga
skolor. Övergångsfrekvensen från gymnasieskolan till högre utbildning
Prop. 1997/98:165
96
är generellt lägre i de utsatta stadsdelarna än genomsnittet för både stor-
städerna och riket som helhet.
Att förändra denna situation och ge barn, ungdomar och vuxna i de ut-
satta stadsdelarna möjlighet att skaffa sig en kvalificerad och meriterande
utbildning är en av de stora utmaningarna inför det kommande seklet.
Regeringen har tidigare i denna proposition angett följande mål för de
utsatta stadsdelarna med direkt anknytning till barn- och ungdomsfrågor-
na och utbildningssektom.
- det svenska språkets ställning skall stärkas, såväl bland barn och ung-
domar som i den vuxna befolkningen.
- alla elever skall ges förutsättningar att nå målen i grundskolan. Det är
särskilt viktigt att ingen elev lämnar grundskolan utan tillräckliga kun-
skaper i svenska eller svenska som andraspråk, engelska och matema-
tik.
- utbildningsnivån i den vuxna befolkningen måste höjas - de som sak-
nar utbildning motsvarande svensk gymnasiekompetens skall erbjudas
detta.
Regeringen bedömer att barns och ungdomars uppväxtvillkor i dessa
stadsdelar bör förbättras även i andra avseenden. Så är t.ex. tillgång på en
utvecklande och spännande kultur- och fritidsverksamhet av största vikt
för barns och ungdomars utveckling
Prop. 1997/98:165
Regeringens bedömning: Inom ramen för de lokala utvecklingsavta-
len mellan staten och storstadskommunerna bör 150 miljoner kronor
per år fördelas under perioden 1999-2001 för att underlätta för kom-
munen att erbjuda förskola från tre års ålder till barn i storstädernas
utsatta bostadsområden. Syftet är att förbättra barns integrationsmöj-
ligheter i samhället. Förskolans omfattning och inriktning fastställs i
de lokala utvecklingsavtalen.
Bakgrunden till regeringens förslag: I flera av storstädernas utsatta
bostadsområden pågår ett antal projekt och försöksverksamheter vad
gäller nya modeller av förskoleverksamhet. År 1995 anvisade regeringen
efter initiativ från Storstadskommittén och Allmänna arvsfondsdelega-
tionen 45 miljoner kronor för att under en treårsperiod utveckla, pröva
och utvärdera olika modeller av förskoleverksamhet i syfte att öka barns
integrationsmöjligheter i samhället. Medlen avser i huvudsak kostnader
för verksamhet som bedrivs i ett samarbete mellan ideella organisationer
och kommunen. Ett 20-tal projekt har hittills beviljats medel, och verk-
samheten pågår fortfarande i ett antal av de berörda områdena. Flertalet
projekt handlar om språkstimulans, föräldrastöd och pedagogiska meto-
der.
Anslaget för särskilda insatser i invandrartäta bostadsområden har i ett
antal kommuner använts för utvecklingsarbete för att stödja barns språk.
97
4 Riksdagen 1997/98. 1 saml. Nr 165
Insatserna har avsett en rad olika modeller för utvecklingsarbete i stor-
stadskommunernas utsatta områden. Stockholms stad har t.ex. inrättat ett
språkcentrum i Rinkeby med inriktning på tvåspråkighet i samarbete
mellan kommunen och Stockholms universitet. I Rågsved har tyngd-
punkten lagts på i första hand sexåringarnas språkutveckling inför skol-
starten, syftet är att alla barn skall behärska svenska språket senast i års-
kurs 9. I Rosengård i Malmö kommun bedrivs ett samverkansprojekt
mellan barnomsorg och skola för att bl.a. pröva nya vägar för övergångar
mellan de olika skolformerna. Södertälje kommun har startat förskolor i
tre stadsdelar, med verksamhet tre timmar per dag, i syfte att höja kun-
skaperna i svenska språket. I dessa språkförskolor ingår även tvåspråkig
personal. Botkyrka kommun har erbjudit avgiftsfri förskola under tre
timmar för i första hand alla hemmavarande femåringar i de socialt ut-
satta områdena. Även i andra kommuner förekommer förskolor med in-
riktning på att stärka språkutvecklingen hos barn som inte har tillgång till
den ordinarie barnomsorgen.
Skälen för regeringens bedömning: Storstadskommittén visar i sitt
delbetänkande Att växa bland betong och kojor - Om barns och ungdo-
mars uppväxtvillkor i storstädernas utsatta områden (SOU 1997:61) att
betydligt farre barn far del av den reguljära barnomsorgen i storstädernas
utsatta områden, jämfört med landet i övrigt.
Den sociala miljön och den pedagogiska stimulans som barn möter un-
der barndomsåren påverkar deras förutsättningar för utveckling och lä-
rande. Flera studier, däribland den långsiktiga uppföljningen i det s.k.
FAST-projektet, visar att barn som tidigt gått i daghem klarar sig bättre i
skolan än barn som inte gått där. Förskolans pedagogiska roll förstärks
ytterligare genom den läroplan som regeringen föreslår i proposition
1997/98:93. Förskolans inriktning fastställs i läroplanens mål och skall
bl.a. bidra till att barnen utvecklar öppenhet, respekt, solidaritet och tole-
rans. Språket har en framskjuten plats i förskolan, eftersom språkutveck-
ling och identitetsutveckling är nära förbundna med varandra. Språket
bidrar till gemenskap mellan människor och ökar möjligheterna till del-
aktighet och inflytande och därför har också kunskaper i det svenska
språket stor betydelse för barnens möjligheter att kommunicera och delta
i gemenskap med andra.
För att barn i storstädernas utsatta områden skall få tillgång till för-
skolans pedagogiska verksamhet och stöd i sin språkutveckling bör för-
skola erbjudas minst tre timmar om dagen till barn från tre års ålder. I
förskolorna i de utsatta områdena bör därför stor vikt läggas på en med-
veten satsning på det svenska språket. Förskolan bör också bidra till att
barn med annat modersmål än svenska får möjlighet att bibehålla och
utveckla sitt modersmål. En integrering mellan svenska barn och barn
med annat modersmål skall eftersträvas.
I de lokala utvecklingsavtalen skall kommunernas åtaganden precise-
ras, bl.a. vad gäller omfattning och inriktning för verksamheten. Olika
former av modeller, t.ex. när det gäller uppsökande verksamhet och för-
äldrasamarbete, kan behöva utvecklas för att kunna tillgodose barns och
föräldrars olika behov.
Prop. 1997/98:165
98
Prop. 1997/98:165
De allra flesta barnen går i den grundskola som ligger närmast hemmet.
Det betyder att den sociala strukturen i ett bostadsområde återspeglas i de
skolor som finns i området. Detta gäller framför allt skolor med årskur-
serna 1-6, eftersom de är mindre och därmed har ett mer homogent upp-
tagningsområde. Skolor med årskurserna 7-9 och i ännu högre grad
gymnasieskolor har ett vidare upptagningsområde och far därför en mer
allsidig social struktur än skolorna for de yngre barnen.
Den invandrarpolitiska kommittén belyser detta förhållande genom att
beskriva situationen i Malmö åren 1994-1995 (SOU 1996:55: Sverige,
framtiden och mångfalden). För analysen delade man in stadens skolor i
följande fyra kategorier med avseende på andelen elever med utländsk
bakgrund.
|
- Svenska skolor |
- 19 procent |
|
- Svenskdominerade skolor |
20-49 procent |
|
- Invandrardominerade skolor |
50-79 procent |
|
- Invandrarskolor |
80-99 procent |
Endast 11 procent av barnen med utländsk bakgrund gick i svenska sko-
lor i årskurs 1-3. Andelen steg med någon procentenhet i årskurs 4-6 re-
spektive årskurs 7-9.1 gymnasieskolan var andelen drygt 70 procent. Om
man också räknar in de svenskdominerade skolorna stiger andelen for
barn med utländsk bakgrund till 40, 43 respektive 45 procent i grund-
skolan. I gymnasieskolan blir den 100 procent, eftersom det inte finns
någon gymnasieskola i Malmö där minst hälften av eleverna har utländsk
bakgrund.
Kampen for den sammanhållna och likvärdiga skolan är nödvändig och
har på många sätt varit framgångsrik. Även om Sverige i jämförelse med
andra länder är ett ovanligt jämlikt samhälle och har en ovanligt jämlik
skola så kan man konstatera att skolan är en del av ett samhälle som ris-
kerar att bli allt mer segregerat och ojämlikt. Klassklyftoma har vidgats
och segregationen har tilltagit. Även om huvudorsakerna till problemen
ligger utanför skolan, måste skolans organisation och innehåll utvecklas i
riktning att motverka den negativa utvecklingen. Kommunerna behöver
därför uppmärksamma att fördelningen av resurser mellan skolorna inom
resp, kommun behöver anpassas efter de skiftande behoven i olika stads-
delar så att ojämlika förhållanden rättas till.
Regeringens bedömning: 50 miljoner kronor bör anvisas for vart och
ett av åren 1999, 2000 och 2001 för särskilda insatser för språkut-
veckling i utsatta storstadsområden. Medlen skall fördelas i de lokala
utvecklingsavtal som skall tecknas med storstadskommunerna.
99
Bakgrunden till regeringens förslag: Vår förmåga att göra oss för-
stådda och att förstå är en viktig del av vår personlighet. Det är genom
språket vi kan uttrycka vår personlighet och det är genom det vi får in-
tryck som kan utveckla oss som individer. Därför är det viktigt att ha
tillgång till språket för att kunna förmedla och för att kunna ta del av
synpunkter. Språket blir därmed också intimt förknippat med demokratin.
Det skrivna ordets betydelse har blivit allt viktigare. I dag ställs myck-
et höga krav på att hantera, tillgodogöra sig och värdera stora textmäng-
der både i yrkeslivet och i samhällslivet. I snart sagt alla arbeten ingår i
dag att själv producera texter, ofta med datorns hjälp. Kraven på läs- och
skrivförmåga har ökat dramatiskt. Därmed blir också skolans roll allt
viktigare.
Skolgången är speciellt betydelsefull för de barn med utländsk bak-
grund som genom skolan kanske har sin enda möjlighet att skaffa de
kunskaper och erfarenheter som är nödvändiga för att erövra en plats i
det svenska samhället. Många elever med utländsk bakgrund lever i dag i
miljöer där fa människor har svenska som modersmål och får i skolan
den första möjligheten att lära sig god svenska.
År 1995 beslutade riksdagen på regeringens förslag att svenska som
andraspråk skall betraktas som ett eget ämne i alla skolformer och att
timplanen för gymnasieskolan skall ändras så att svenska som andraspråk
utgör ett kärnämne och ett alternativ till kärnämnet svenska. Samtidigt
fastställde regeringen grundskolans kursplan i svenska som andraspråk.
Undervisningen i svenska som andraspråk är obligatorisk för elever
som behöver undervisningen. De kunskaper som undervisningen i ämnet
skall ge är jämförbara med de som undervisningen i svenska som mo-
dersmål skall ge. Godkänt betyg i svenska som andraspråk skall ge behö-
righet för vidare studier. Därmed är svenska som andraspråk ett likvär-
digt alternativ till undervisningen i svenska som modersmål.
Skälen for regeringens bedömning: En av skolans viktigaste uppgif-
ter är att skapa goda möjligheter för elevernas språkutveckling. Skolan
skall ge eleverna möjlighet att använda och utveckla sina färdigheter i att
lyssna, läsa, skriva och kunna tala god svenska. Språkutveckling, identi-
tetsutveckling och kunskapsutveckling går hand i hand. Språket under-
stödjer tankearbetet. Det svenska språket är nyckeln till samhället, till
arbetsliv och vidare utbildning.
I de utsatta stadsdelarna med fa elever med svenska som modersmål
skapas en språkmiljö i och utanför skolan, som försvårar språkinlärning-
en och ger för fa naturliga tillfallen att använda det svenska språket. Man
kan bo, leka, idrotta och umgås och hela tiden använda sitt eget moders-
mål. Denna segregering av boendet och skolan gör det svårare för barn,
ungdomar och vuxna att lära sig och utveckla det svenska språket. 50
miljoner kronor bör därför anvisas för vardera åren 1999, 2000 och 2001
för särskilda insatser för språkutveckling i de utsatta stadsområden som
omfattas av de lokala utvecklingsavtalen. I avtalen bör man även reglera
kommunens motprestation.
Det föreslagna stimulansbidraget skall stimulera skolor i utsatta bo-
stadsområden att hitta nya vägar att bidra till invandrarelevers språkut-
veckling i svenska. Bidraget skall syfta till att genom olika aktiviteter i
Prop. 1997/98:165
100
och utanför skolan främja språkutvecklingen i svenska hos invandrarele-
ver och ge eleverna bättre möjligheter till undervisning av hög kvalitet.
Språkträning genom olika kulturella uttrycksformer och olika kamrat-
stödjande insatser kan vara ett sätt att utveckla språket.
I de utsatta stadsdelarna är samarbetet med föräldrarna särskilt viktigt.
Dessa har en avgörande betydelse för att barnet skall klara skolgången.
Bidraget bör också kunna användas till projekt som uppmuntrar till ökat
föräldrainflytande.
Fr.o.m. läsåret 1997/98 har möjlighet öppnats för en alternativ utbild-
ningsväg inom program med yrkesämnen enligt förordningen om för-
söksverksamhet med lärlingsutbildning inom gymnasieskolan
(1997:762). Syftet med denna lärlingsutbildning är att möta arbetslivets
förändrade kompetensbehov, att ge arbetslivet möjlighet att vara med och
påverka utbildningens innehåll och genomförande samt att ge eleverna
möjlighet att genomföra en större del av utbildningen inom ett nationellt
program på en arbetsplats.
Lärlingsutbildningen skall uppnå samma program- och kursplanemål
som utbildning på ett nationellt program. Den skall ge grundläggande
behörighet till universitet och högskolor. Kommunen är huvudman för
lärlingsutbildningen, vilket innebär att elevstatus råder under hela utbild-
ningstiden. Berörda branschorganisationer och parterna på arbetsmark-
naden skall ingå i ett programråd som tillsammans med skolan medver-
kar i planering och genomförande av utbildningen.
Regeringen har t.o.m. maj 1998 beviljat 21 ansökningar för start av
pilotprojekt varvid kommunerna beräknat att kunna erbjuda ca 300 lär-
lingsplatser.
Lärlingsutbildning som utbildningsalternativ kan innebära en utökning
av den enskilda gymnasieskolans utbildningsutbud inom ett eller flera
program genom ett utökat samarbete med näringslivet och den offentliga
sektorn inom det egna upptagningsområdet. Lärlingsutbildning kan också
bidra till återväxten inom smala yrkesområden eller små företag där ut-
bildningen på ett nationellt program inte passar. Lärlingsutbildning kan
medverka till att mindre företag som inte kan ta emot ett flertal ungdomar
för APU ändå ställer sig positiva till att samarbeta med gymnasieskolan
för att ta emot en elev enligt lärlingsaltemativet.
Många ungdomar i de utsatta storstadsområdena har svårt att fungera i
den traditionella gymnasieskolan. En utbildningsform som lärlingsut-
bildningen med en kombination av teori och arbetsplatsförlagd praktik
kan vara ett bra alternativ för dessa ungdomar. Regeringen kommer där-
för att vidta åtgärder för att stimulera kommunerna i storstadsregionerna
att starta pilotprojekt med lärlingsutbildning inom gymnasieskolan.
5 Riksdagen 1997/98. 1 saml. Nr 165
Prop. 1997/98:165
101
Prop. 1997/98:165
Regeringens bedömning: 20 miljoner kronor bör anvisas för vart och
ett av åren 1999, 2000 och 2001 för särskilda insatser för arbetslösa
invandrare och sfi-studerande, främst för extra personalresurser i
kommunerna i samband med anskaffning av praktikplatser. Medlen
bör i huvudsak fördelas inom ramen för utvecklingsavtalen men andra
kommuner kan också komma att vara aktuella. Vid fördelningen av
stödet bör andelen arbetslösa invandrare inom kommunen beaktas.
Skälen för regeringens bedömning: För att bättre tillgodose vuxna
invandrares behov av undervisning i svenska och öka rekryteringen av
invandrare till kunskapslyftet behöver riktade satsningar göras för att i
ökad utsträckning få till stånd utbildning där praktik på arbetsplats kan
kombineras med utbildning i svenska.
Avsikten är att samtidigt åtgärda två problem som möter många in-
vandrare på dagens svenska arbetsmarknad; dels avsaknad av erfarenhet
från svenskt arbetsliv och dels otillräckliga kunskaper i svenska språket.
Insatserna bör således riktas till arbetslösa invandrare och sfi-studerande.
Vuxna invandrare som går på sfi eller annan svenskundervisning inom
vuxenutbildning och som har en yrkesutbildning från sitt hemland bör få
möjlighet att praktisera inom sitt yrkesområde i kombination med
svenskundervisning. Praktiken bör kunna ge individen möjligheter att
använda språket i ett yrkesmässigt sammanhang och samtidigt erfarenhet
av att utöva yrket i en svensk miljö. Genom en sådan kombination av
språkträning och yrkespraktik kan invandrare både få ökad möjlighet att
praktisera och utveckla sina svenskkunskaper och erhålla erfarenhet av
de sociala och kulturella spelreglerna på svenska arbetsplatser, och där-
med också ökade förutsättningar att få ett arbete.
Kommunerna har i dag små resurser för att anordna en sådan kombi-
nation av utbildning och yrkespraktik. Särskilt i kommuner med hög an-
del arbetslösa invandrare behövs förstärkta resurser, såväl inom kommu-
nernas studievägledning som inom arbetsförmedlingarna, för att få fram
lämpliga praktikplatser. Särskilda kontaktpersoner kan behövas för att
etablera kontakt mellan arbetsgivare och invandrare. Erfarenheter från
kommuner som lyckats få till stånd praktikplatser för invandrare visar att
det som behövs är särskilda uppsökare som tillsammans med den enskil-
de tar personlig kontakt med arbetsgivare. Både praktiken och undervis-
ningen skall ingå i de individuella handlingsplaner som skall upprättas.
Regeringen föreslår att 20 miljoner kronor av de medel som i 1998 års
vårproposition avsatts för framtidsområdet Ett Sverige för alla bör av-
sättas för detta ändamål under vart och ett av åren 1999, 2000 och 2001.
Stödet bör gå till kommunerna för särskilda insatser för arbetslösa in-
vandrare och sfi-studerande, främst för extra personalresurser i samband
med anskaffning av praktikplatser. Medlen skall i huvudsak fördelas in-
om ramen för utvecklingsavtalen, men andra kommuner kan också kom-
ma att vara aktuella. Vid fördelningen av stödet bör man beakta andelen
arbetslösa invandrare inom resp, kommun.
102
Regeringen avser att tillsätta en arbetsgrupp bestående av representan-
ter från utbildnings-, arbetsmarknads- och inrikesdepartementen för att
följa utvecklingen för invandrare i kunskapslyftet. Det gäller såväl re-
krytering till utbildningsplatser som eventuellt behov av ytterligare åt-
gärder för att stimulera värvning mellan utbildnings- och praktikinsatser.
Frågan om interkommunal samverkan för att effektivisera svenskunder-
visningen bör också uppmärksammas. Till arbetsgruppen bör också kny-
tas kontaktpersoner från Skolverket, Kommunförbundet, Folkbildnings-
rådet och det nya Integrationsverket.
Särskilda utvecklingssatsningar på kunskapslyftet i storstadsregionerna
Regeringens bedömning: Från anslaget Al3 Bidrag till viss verk-
samhet inom vuxenutbildningen bör 5 miljoner kronor avsättas år
1999 för utvecklingsinsatser i syfte att stimulera rekrytering av lågut-
bildade vuxna i storstäderna till kunskapslyftet. Regeringen avser att
tillsätta en arbetsgrupp med representanter från berörda kommuner för
att driva utvecklingsarbetet.
Prop. 1997/98:165
Bakgrunden till regeringens förslag: Såsom redovisats i avsnitt 3
finns det stora skillnader i utbildningsnivå inom storstadsregionerna. En
stor del av de vuxna i dessa bostadsområden saknar utbildning motsva-
rande gymnasiekompetens och många har bristande kunskaper även på
grundskolenivå.
Den femåriga vuxenutbildningssatsningen ‘Kunskapslyftet’ som inled-
des hösten 1997 är därför av stor betydelse för storstadsregionerna. Rege-
ringen tillkallade hösten 1996 en särskild delegation med företrädare för
utbildnings-, arbetsmarknads-, närings- och handels-, inrikes- samt fi-
nansdepartementet med uppgift att inledningsvis leda och följa vuxenut-
bildningssatsningen. Regeringen har i budgetpropositionen för 1998
(prop. 1997/98:1, utgiftsområde 16, avsnitt 4.3.5 Vuxenutbildning i för-
ändring) angett att delegationens uppgifter skall övertas av Skolverket
fr.o.m. 1 juli 1998.
Regeringens och riksdagens intentioner har förmedlats och diskuterats
i nära dialog mellan delegationen och kommunerna. Staten bidrar med ett
särskilt statsbidrag som totalt för landet motsvarar kostnaderna för ca
104 000 årsstudieplatser på gymnasial nivå och 5 000 platser i grundläg-
gande vuxenutbildning. Kommunerna har getts det fulla ansvaret för att
inventera utbildningsbehovet hos målgruppen, utveckla stödinsatser som
kan minska tröskeln in i vuxenutbildningen och anordna eller upphandla
utbildningen. Kommunerna får genom det statliga stödet möjlighet att
kraftigt utöka volymen för vuxenutbildning. Redan under hösten 1997
genomförde kommunerna utbildning motsvarande 97 000 årsstudieplat-
ser på gymnasial nivå.
Målgruppen för kunskapslyftet är i första hand vuxna arbetslösa som
saknar treårig gymnasiekompetens, i andra hand anställda som saknar
motsvarande kompetens. Vuxna som har störst behov av utbildning och
som hittills har fatt minst av samhällets utbildningsresurser skall få möj-
103
lighet att bygga på med nya kunskaper. Kartläggning av utbildningsbe-
hov genomfors i nära samverkan med arbetsförmedling, fackliga organi-
sationer och arbetsgivare. Olika former av uppsökande verksamhet, som
kan behövas för att motivera studieovana vuxna, genomfors ofta i nära
samverkan med lokala fackliga organisationer.
Satsningen på ett nationellt kunskapslyft har också som uppgift att för-
nya och utveckla vuxenutbildningen; organisatoriskt, innehållsmässigt
och pedagogiskt. Kommuner och arbetsförmedlingar bör utveckla ge-
mensamma vägledningscentra där både resurser och yrkeskompetens
samverkar för att ge den sökande bästa möjliga underlag för att göra väl
övervägda studieval. De nya arbetsförmedlingsnämnderna har på många
håll en viktig roll för att se till att samverkan kring kunskapslyftet leder
till att resurserna tas tillvara på ett effektivt sätt.
De statliga medlen har fördelats med hänsyn till arbetslöshet och ut-
bildningsnivå i respektive kommun, inriktning och omfattning av kom-
munens satsning samt de utvecklingsinsatser som kommunen planerat
och redovisat i sin ansökan. Statens stöd för utökning av vuxenutbildning
förutsätter att kommunerna upprätthåller tidigare nivå på den gymnasiala
vuxenutbildning som kommunerna själva bekostat. De sju storstads-
kommuner som har de mest utsatta bostadsområdena uppbär under 1998
sammanlagt 349 miljoner kronor i statsbidrag för genomförande av kun-
skapslyftet. Mest pengar går till Stockholms kommun (122 miljoner kro-
nor) och till Göteborg (110 miljoner kronor).
Ett antal kommuner har också fått stöd för en utökning av grundläg-
gande vuxenutbildning. Hänsyn har då tagits till arbetslöshet, utbild-
ningsnivå, andel utomnordiska invandrare samt kommunens egen sats-
ning på grundläggande utbildning för vuxna. De sju storstads-
kommunerna har under 1997 tilldelats 13,5 miljoner kronor för platser på
grundskolenivå inom kunskapslyftet.
Skälen för regeringens bedömning: Som ett led i satsningen på ut-
veckling i storstadsregionerna tillsätter regeringen en särskild arbets-
grupp för kunskapslyftet i storstäderna i syfte att stimulera rekrytering av
lågutbildade vuxna till vuxenutbildning. Vidare bör 5 miljoner kronor
anvisas för särskilt riktade insatser under år 1999. Arbetsgruppen bestå-
ende av representanter för kommunerna i de tre storstadsregionerna skall
ges i uppgift att utveckla strategier och förslag på åtgärder i syfte att nå
studieovana och lågutbildade vuxna. Arbetsgruppen bör i sitt arbete sam-
verka med länsarbetsnämnder, folkbildning, fackliga organisationer, ar-
betsgivare samt andra berörda i regionen. Arbetsgruppen far i uppdrag att
utarbeta förslag till motivationsskapande insatser, rekrytering, upprättan-
de av individuella handlingsplaner, informations- och marknadsförings-
åtgärder samt i samarbete mellan kommuner bedriva samarbetsprojekt
och aktivt stimulera erfarenhetsutbyte. Inom ramen för gruppens arbete
bör även ingå att stimulera att pilotprojekt med lärlingsutbildning kom-
mer till stånd i storstadsregionerna i enlighet med vad som beskrivs i kap.
9.5.
Prop. 1997/98:165
104
IT-baserade läromedel för svenska som andraspråk samt svenska för in- Prop. 1997/98:165
vandrare (sfi)
Regeringens bedömning: Det nationella centret för svenska som and-
raspråk och sfi vid Lärarhögskolan i Stockholm ges i uppdrag att i
samverkan Svenska Kommunförbundet utveckla IT-baserade lärome-
del för svenska som andraspråk och för sfi. För ändamålet bör 1,5
miljoner kronor avsättas för år 1999 från anslaget A2 Utveckling av
skolväsende och barnomsorg.
Bakgrunden till regeringens bedömning: Regeringen har uppdragit
åt Lärarhögskolan i Stockholm att inrätta ett nationellt resurscentrum för
utveckling av svenska som andraspråk och av svenskundervisningen för
invandrare (sfi). Detta centrum skall fungera som ett stöd till lärare och
kommuner i frågor som rör sfi och svenska som andraspråk. I uppgifter-
na ingår att samla, sammanställa och förmedla kunskap och erfarenheter
inom området. Centret skall också stödja och informera om lärome-
delsutveckling och IT-frågor. Verksamheten skall bedrivas som en för-
söksverksamhet under tre år.
Vid Göteborgs universitet har ett centrum med uppgiften att bedriva
forskning om svenska som andra språk och utveckling av undervisning
för invandrare inrättats.
Skälen för regeringens bedömning: Det är av stor vikt att läromedlen
för invandrarundervisningen utvecklas och att man tar tillvara de fram-
steg som gjorts inom multimediaområdet. Det råder en brist på avancera-
de IT-baserade läromedel för kärnämnet Svenska som andraspråk och
svenskundervisning för invandrare (sfi). En utveckling av bra IT-
baserade läromedel skulle kunna förbättra elevernas studieresultat och
göra dem mer förtrogna med datoranvändningen. Regeringen har därför
för avsikt att ge det nyligen inrättade nationella centret för svenska som
andraspråk och sfi vid Lärarhögskolan i Stockholm i uppdrag att i sam-
verkan med Kommunförbundet utveckla bra IT-baserade läromedel för
svenska som andraspråk och för sfi. För ändamålet bör 1,5 miljoner kro-
nor avsättas under år 1999 från anslaget A2 Utveckling av skolväsende
och barnomsorg.
Regeringens bedömning: Folkbildningen bör fortsätta sina ansträng-
ningar att genom kultur- och bildningsarbete underlätta en integration
mellan invandrare och svenskar. Särskilt i storstädernas ytterområden
bör folkbildningen, inte minst studieförbunden, kunna spela en stor
och viktig roll på detta område.
Skälen för regeringens bedömning: Regeringen har i proposition
1997/98:115 om folkbildning redovisat sin syn på studieförbundens och
folkhögskolans roll i integrationsarbetet mellan invandrare och svenskar.
105
Folkhögskolor och studieförbund kan aktivt bidra till att en ökad integra-
tion förverkligas i samhället. Genom sina insatser har folkbildningsarbe-
tet påtagligt ökat utsatta gruppers delaktighet i samhället. Inte sällan är
det just via folkbildningen som människor med olika bakgrund möts på
jämlika och likvärdiga villkor.
Folkbildningen står för grundläggande demokratiska värden och lika
rättigheter och möjligheter för män och kvinnor. Detta är av särskild vikt
i integrationsarbetet. Både studieförbund och folkhögskolor har också
visat att de kan göra betydelsefulla insatser i arbetet med att förebygga
och motverka främlingsfientlighet och rasism.
Folkbildningen kan även bidra till integrationsarbetet på andra sätt.
Folkhögskolorna kan erbjuda rika möjligheter för invandrade och svens-
kar att träffas och att arbeta tillsammans i konkreta utbildningssituatio-
ner. Det gäller särskilt de folkhögskolor som bedriver verksamhet i stor-
städerna. Även studiecirklar, som samlar människor som invandrat från
olika länder och svenskar kring gemensamma intressen, är viktiga. Det
kan vara ett bra komplement till svenskundervisningen för invandrare,
oavsett om denna bedrivs i kommunal regi eller inom folkbildningen som
ett uppdrag från en kommun.
Flera undersökningar har visat att vuxna invandrare som har varit en
kort tid i Sverige sällan kommer i kontakt med svenskar. Det finns
många erfarenheter av att både invandrare och svenskar som träffas i
t.ex. studiegrupper upplever en stark gemenskap, som de tidigare inte
trott vara möjlig. Även i samverkan med organisationer som har bildats
av invandrare eller på etnisk grund kan folkbildningen bidra med att ska-
pa nya vägar för människor från olika kulturer att mötas i ett gemensamt
samhällsarbete.
Folkbildningen har en lång tradition av att erbjuda svenska för invand-
rare. För många invandrare var det genom folkbildningen man fick den
första kontakten med det svenska språket och det svenska samhället.
Folkbildningen har alltjämt en viktig roll för att ge invandrare rika möj-
ligheter till att träna, öva och förbättra sina språkfärdigheter i svenska.
Samtidigt är det just som mötesplats mellan olika kulturer och mellan
människor med olika bakgrund och ursprung som folkbildningen kanske
har sin viktigaste roll för att förverkliga målen för integrationspolitiken.
Prop. 1997/98:165
Regeringens bedömning: I syfte att förbättra barns och ungdomars
uppväxtvillkor i de utsatta stadsdelarna och stimulera deras utveckling
till kreativa och ansvarstagande människor avsätts 10 miljoner kronor
till idrotts- och fritidsverksamhet och 10 miljoner kronor till kultur-
verksamhet under åren 1999-2001. Fördelningen av medel skall ske i
de lokala utvecklingsavtal som skall tecknas med berörda kommuner.
106
Skälen for regeringens bedömning: Tillgång till en utvecklande och Prop. 1997/98:165
spännande kultur- och fritidsverksamhet är av största vikt for barns och
ungdomars utveckling. Det handlar om glädjen i att fa uttrycka sig själv,
att finna sin identitet i samspel med andra och om att få vara med och ta
ansvar i ett demokratiskt sammanhang.
Genom flera tidigare satsningar finns en gedigen samlad erfarenhet av
projektverksamhet inom fritidsområdet inom de berörda stadsdelarna.
Det är viktigt att denna erfarenhet tas till vara när de lokala utvecklings-
avtalen tecknas. Viktiga erfarenheter finns från det s.k. PLUS-projektet
(Projektet för Lokal Utveckling genom Samverkan) som under åren
1991-1995 genomfördes i tolv stadsdelar i fem storstadsområden. Inom
projektet utvecklades metoder för arbete med ungdomar i eftersatta bo-
stadsområden genom att stimulera en ökad lokal samverkan mellan of-
fentliga förvaltningar, föreningar och andra ideella organisationer. Mot-
svarande utvecklingsprojekt drivs fr.o.m. år 1997 i ett antal medelstora
svenska kommuner.
Inom ramen för utvecklingsavtalen bör stöd kunna ges till pilotprojekt
i skolan som främst engagerar flickor och unga kvinnor i föreningar och
annan fritidsverksamhet. Medlen bör i första hand ges till projekt som
prövar nya former och idéer. I arbetet skall särskilt uppmärksammas de
förslag och idéer som fördes fram i betänkandet Fritid i förändring (SOU
1996:3) från Utredningen om jämställd fritid.
Stöd till idrotten bör avse projekt som syftar till att stärka idrottsverk-
samheten i de utsatta stadsdelarna. Inom idrotts- och fritidsverksamheten
bör i utvecklingsavtalen betoningen ligga på stöd till ideella organisatio-
ners samverkan med offentlig förvaltning.
Kultur är identitetsstärkande och har stor genomslagskraft bland barn
och ungdomar. Kultur är också kommunikation och med hjälp av museer,
teater, poesi, dans, musik, måleri, skulptur, fotografi osv skapas bilder av
det förflutna, av samtiden, av makten och av människorna. Med hjälp av
de konstnärliga uttrycksmedlen kan barn och ungdomars uppväxtvillkor i
de utsatta stadsdelarna förbättras.
Storstädernas förorter med sitt myller av människor från olika delar av
världen bör kunna ses som en underutnyttjad rikedom; som en tillgång
och som en möjlighet. Varje förort har sin egen karaktär och är många
människors hembygd. En av utgångspunkterna för insatser i utsatta
stadsdelar bör därför vara att via kulturen synliggöra både den gemen-
samma historien och medborgarnas olika historia.
Inom kulturområdet har insatser gjort för att stärka utvecklingen i hela
landet och i stor utsträckning kommer detta även storstadsregionerna till
del. Som exempel kan nämnas att en arbetsgrupp inom kultur- och ut-
bildningsdepartementen arbetar med att ta fram en ny strategi för kultur i
skolan. Backa teater i Göteborg har t.ex. regeringens särskilda uppdrag
att under åren 1997-99 utveckla barn- och ungdomsteatem. Dess reperto-
ar riktar sig bl.a. till ungdomar i Göteborgs invandrartäta områden och tar
upp centrala problemställningar med anknytning till människorätt och
tolerans. Vidare har en kommitté tillsatts under år 1998 med uppgift att
driva ett Forum för världskultur i Södra Teaterns lokaler i Stockholm.
Försöksverksamheten bedrivs i samverkan mellan staten, Stockholms
läns landsting och Stockholms stad. Dess huvuduppgift är att lyfta fram
den kulturella mångfalden i samhället och verka för att alla de kulturer
som numera finns representerade inom befolkningen erkänns och upp-
märksammas i kulturlivet. Stockholmsregionen kommer att utgöra en
viktig bas för verksamheten, men Forum för världskultur förutsätts göra
aktiva insatser även inom övriga storstadsregioner
Inom museiområdet har ett handlingsprogram som bygger på rapporten
Kunskap som kraft (Ds 1996:74) arbetats fram. I programmet behandlas
bl.a. hur museerna med sitt arbete kan motverka främlingsfientlighet och
rasism. Regeringen har för detta ändamål avsatt särskilda medel till Sta-
tens historiska museer, Naturhistoriska riksmuseet, Statens konstmuseer,
Folkens museum - etnografiska, Nordiska museet, Riksantikvarieämbe-
tet, Riksarkivet och Riksutställningar. Handlingsprogrammet förväntas
inledningsvis få störst betydelse i storstäderna.
I några av storstädernas förortsområden pågår projekt som syftar till att
synliggöra de historiska perspektiven. Huddinge kommun var en av de
första kommunerna att betona vikten av detta och har goda erfarenheter
av en kampanj för att motverka bristen på historiska perspektiv i den eg-
na kommunen. Stockholms läns museum bedriver liknande projektverk-
samhet i ett par av Stockholms norrförorter.
Utan kultur kan hembygden i storstaden inte synliggöras. I förorterna
skapar den unga generationen ur ett antal olika kulturer tillsammans vår
tids kultur. Instrumenten för detta är skapandet och ett gemensamt språk.
Befintliga resurser i form av lokaler, kunskap och kompetens ger goda
förutsättningar för att åstadkomma kulturcentrum i förorterna som kan
verka identitetsskapande, ge förutsättningar för en levande hembygd och
stimulera barns och ungdomars utveckling till kreativa och ansvarstagan-
de människor.
I de lokala utvecklingsavtal för utsatta stadsdelar som skall tecknas
med berörda kommuner bör det kunna ingå åtgärder som syftar till att
stimulera barns och ungdomars kulturella utveckling och möten med ett
levande, professionellt kulturutbud. För detta ändamål avsätts 10 miljo-
ner kronor under åren 1999-2001. Statens kulturråd skall ingå i en sär-
skild referensgrupp knuten till regeringens storstadsdelegation för att
kunna följa denna satsning.
I avsnitt 4 formuleras regeringens mål för storstadspolitiken. Två av des-
sa mål handlar om boendemiljön och folkhälsoläget i de utsatta stor-
stadsområdena:
- alla stadsdelar i storstäderna skall uppfattas som attraktiva och trygga
av dess invånare och utgöra goda och hälsosamma livsmiljöer
Prop. 1997/98:165
108
- folkhälsoläget, både i form av ohälsotal och självupplevd hälsa, skall Prop. 1997/98:165
förbättras
Insatser för att nå dessa mål måste framförallt beslutas lokalt i samverkan
mellan de boende och mellan de olika kommunala och statliga myndig-
heter som verkar i området. Därför bör de lokala utvecklingsavtalen in-
nehålla lokalt framtagna, konkreta effektmål under dessa två rubriker. De
lokala handlingsplanerna skall därefter utformas för att nå målen.
Regeringens bedömning: Bostadsförvaltningen i de utsatta stadsde-
larna bör kunna utvecklas genom en decentralisering av de kommu-
nala bostadsföretagens förvaltningsorganisation och ett utökat bruka-
rinflytande.
Skälen för regeringens bedömning: I avsnitt 5.4 har närmare beskri-
vits vilka krav situationen i de utsatta stadsdelarna ställer på fastighets-
förvaltningen och vilka positiva effekter som kan förväntas följa med
förändringar i förvaltningen. Av beskrivningen framgår också att många
allmännyttiga bostadsföretag redan har genomfört förändringar i riktning
mot en decentralisering av de förvaltningsorganisationen och ett utökat
brukarinflytande.
Regering och riksdag har tidigare beslutat om ändringar i kommunal-
skattelagen och hyresförhandlingslagen som är avsedda att främja s.k.
självförvaltning genom att tillåta att hyresavdrag på grund av medverkan
i förvaltningen till viss del inte beskattas (prop. 1996/97:119, bet. SkU
1996/97:24, rskr. 1996/97:277).
För att nå målet att alla stadsdelar skall uppfattas som attraktiva och
trygga av dess invånare krävs en utveckling av bostadsförvaltningen. Det
är angeläget att denna kan fortsätta och förstärkas. Det är en central upp-
gift för kommunerna och de kommunala bostadsföretagen att utforma
fastighetsförvaltningen så att den bättre svarar mot de boendes behov och
ger utrymme för praktisk medverkan och ansvarstagande från de boendes
sida. Förvaltningen bör också utvecklas så att arkitektoniska kvaliteter
och värden tas till vara. Åtgärder för att främja en decentraliserad fastig-
hetsförvaltning och ett ökat brukarinflytande bör kunna ingå i de förslag-
na lokala utvecklingsavtalen.
109
Regeringens bedömning: Det finns betydande behov av investering-
ar i såväl yttre miljö som i byggnaderna i de utsatta bostadsområdena.
Ansvaret för att de nödvändiga investeringarna kommer till stånd lig-
ger på kommunerna och fastighetsägarna. Investeringarna bör plane-
ras och genomföras i nära samråd med de boende.
Skälen for regeringens bedömning: De flesta länder i Europa har för-
skjutit tyngdpunkten i sina storstadspolitiska program från stora investe-
ringar i den fysiska miljön till insatser inom social-, utbildnings- och ar-
betsmarknadspolitiken. Samtidigt visar de internationella erfarenheterna
att det också kan krävas förbättringar i den fysiska miljön för att situatio-
nen inom utsatta stadsdelar skall kunna förbättras. Regeringen anser att
det finns betydande behov av investeringar i såväl yttre miljö som i själva
fastigheterna i många av de utsatta stadsdelarna. Ansvaret för dessa in-
vesteringar måste ligga på kommunerna och på fastighetsägarna.
Ytterstadssatsningen i Stockholm kan tjäna som ett exempel. Där av-
sätter kommunen och bostadsbolagen 250 miljoner kronor var till inves-
teringar i tretton utsatta bostadsområden. Inriktningen på insatserna av-
görs i samråd med lokala projektgrupper med boende. Närmare 2 000
personer har under de senaste tre åren varit aktiva i sådana grupper inom
ytterstadssatsningen.
Staten kan vidta vissa åtgärder för att stödja investeringar i de utsatta
stadsdelarna. I prop. 1997/98:119 Bostadspolitik för hållbar utveckling
har regeringen föreslagit ett särskilt investeringsbidrag för investeringar
som främjar ekologisk hållbarhet. Bidrag skall kunna lämnas med upp till
70 000 kronor per lägenhet vid ny- eller ombyggnad av hyres- och bo-
stadsrättshus i sammanhållna bostadsområden. Stödet kan användas till
merkostnaderna för införande och tillämpning av en ekologiskt hållbar
teknik som i första hand minskar den fortlöpande belastningen på omgiv-
ningen. Regeringen uppskattar att bidrag skall komma att lämnas för upp
till 5 000 lägenheter per år fr.o.m. år 2000.
De tre storstadskommunerna har under våren 1998 tilldelats medel för
lokala investeringsprogram och ekologisk hållbarhet. En betydande del
av dessa medel riktas till utsatta bostadsområden. Syftet är att genomföra
upprustning och miljöanpassning för att uppnå ekologisk hållbarhet.
Storstadskommunerna har möjlighet att återkomma med ansökningar
inför år 1999 och 2000 för ytterligare investeringsinsatser. En närmare
redovisning av detta program lämnas i avsnitt 5.5.
110
Prop. 1997/98:165
Regeringens bedömning: 8 miljoner kronor bör tillföras Riksantikva-
rieämbetet som extra medel till anslaget G 2 Bidrag till kulturmiljö-
vård (UO 17) årligen 1999-2001 för att genom särskilda insatser sä-
kerställa storstadsområdenas kulturmiljövärden. Storstädernas arki-
tektoniska kvaliteter och det offentliga rummets utformning bör lyftas
fram i en särskild kampanj som avslutas med ett arkitekturår 2001.
För detta syfte bör Arkitekturmuseet tillföras 2 miljoner kronor årli-
gen 1999-2001. För kampanjens uppläggning ansvarar Arkitekturmu-
seet i samråd med den storstadspolitiska delegationen och Boverket.
Bakgrunden till regeringens bedömning: Stockholm, Göteborg och
Malmö är städer som växt ur specifika historiska förutsättningar. Det
innebär att deras bebyggelsemiljöer är olika vilket också ger identitet och
karaktär. Samtidigt finns i storstäderna gemensamma problem kopplade
till bebyggelsen. De rör kanske framför allt kvalitetsskillnader mellan
olika områden och svårigheter att finna former för en varsam, men sam-
tidigt estetiskt stimulerande och nyskapande bebyggelseutveckling, där
de kulturhistoriska värdena kan förenas med en ofta snabb förändrings-
takt.
Regeringen har i propositionen Framtidsformer. Handlingsprogram för
arkitektur, formgivning och design (1997/98:117) betonat att det offent-
liga rummet - gator, torg, parker, offentliga lokaler och landskapsrum -
bör utformas med inlevelse och omsorg. Alltför ofta har olika anlägg-
ningar tillkommit utan att deras utformning satts i samband med kraven
på en visuellt tillfredsställande miljöutformning. Detta gäller i hög grad
storstadsmiljöema med dess bebyggelsetryck. Därför bör särskilda insat-
ser göras inom ramen för storstadssatsningen för att främja en mer ge-
nomtänkt estetisk utveckling av bebyggelsen. Nyskapande och konstnär-
ligt fullödig arkitektur bör uppmuntras som ett led i höjandet av storsta-
dens livskvaliteter.
Den fysiska miljön är således en viktig del i de samverkande faktorer
som påverkar storstädernas attraktivitet. Hur hus, torg, gator, parker,
grönområden och kommunikationsanläggningar ser ut och är disponerade
är centralt för vardagslivets förutsättningar. En omsorg om det offentliga
rummet, det vi alla vistas i, är därför också en omsorg om stadens inne-
vånare. Vackra och upplevelserika miljöer bidrar till människors välbe-
finnande. Men kulturhistoriska värden som ger djup och förankring och
hög kvalitet i arkitektur och landskap ger även staden en dragningskraft
långt utöver den lokala sfären. Såväl näringslivet som turister och tillfäl-
liga besökare värderar detta högt.
Genom sin ekonomiska dragningskraft och dynamik har storstaden ge-
nom århundradena också dragit till sig några av landets mest framstående
arkitekter och planerare. Utformningen av dessa bebyggelsemiljöer utgör
därför ofta spjutspetsen av vad åstadkommits i landet och har varit före-
bild för det som byggts på andra orter. Det finns därför stor anledning att
iaktta varsamhet vid förändringar och tillägg till dessa miljöer så att inte
111
deras värdefulla egenskaper onödigtvis förstörs utan tvärtom förstärks.
Det gäller inte bara den klassiska innerstaden utan också nyare tillägg,
inte minst förortsbyggandet, som under senaste tid ibland gjorts till före-
mål för en onyanserad behandling i ombyggnadssammanhang utan till-
räcklig kontakt med invånarna och deras önskemål.
En stor utmaning för en mer jämlik storstadsutveckling är att finna
former för att förvalta och utveckla storstadens bebyggelsearv. Att höja
kvaliteten i stadsmiljön generellt och samtidigt genom särskilda insatser
förebygga segregation är en strategiskt viktig del av det kvalitetsarbete
som kan leda till ökad attraktivitet och förstärkta livsvärden.
Skälen för regeringens bedömning: Förändringar i storstädernas be-
byggelsemiljöer är ofta av en sådan omfattning och komplexitet att de
kulturhistoriska värdena försummas. I storstäderna är dessutom en stor
andel av bebyggelsen från efterkrigstiden och kunskapen om och värde-
ringen av denna är alltför rudimentär. Investeringsnivån i de insatser som
görs i storstäderna utgör ytterligare ett hinder för att på ett varsamt sätt
hantera befintliga kvaliteter och förstärka bebyggelsens kvalitet.
För att komma tillrätta med denna obalans i kunskapsunderlag vid för-
ändringar i den byggda miljön och samtidigt skapa möjligheter att värna
kvalitén i storstadens bebyggelse behövs en förstärkning av anslaget för
kulturmiljövård. Under en treårsperiod 1999-2001 bör Riksantikvarie-
ämbetets anslag för kulturmiljövård förstärkas med 8 miljoner kronor per
år. Förstärkningen skall användas för att i de tre storstadsregionerna öka
kunskaperna om särskilt efterkrigstidens bebyggelse. Dessutom skall
resurserna användas i storstäderna samt till konkreta investeringar i sam-
band med byggnadsprojekt där kulturhistoriska eller arkitektoniska vär-
den tas tillvara. Länsstyrelsernas kulturmiljöenheter i de tre storstäderna
kommer därför att tilldelas medel så att verksamheten med särskild in-
riktning på efterkrigstidens kulturarv och de nya krav som dessa miljöer
ställer förstärks.
Storstadsbebyggelsens arkitektoniska värden och det offentliga rum-
mets estetiska kvaliteter är av avgörande betydelse för städernas attrakti-
vitet. Samtidigt är dessa värden allt svårare att hävda och utveckla i mil-
jöer med starka kommersiella och andra exploateringsintressen. För att fa
till stånd en bredare debatt om de gemensamma miljöernas arkitektur och
form och därigenom stimulera till en diskussion om hur dessa kvaliteter
bäst skall utvecklas och förstärkas krävs en koncentrerad utåtriktad in-
formationsinsats. Det finns idag en stor kunskap om bebyggelsens och
det offentliga rummets betydelse och kvaliteter i berörda kommuner och
också i centrala statliga institutioner. Ett samarbete mellan Arkitekturmu-
seet, den storstadspolitiska delegationen, Boverket, Riksantikvarieämbe-
tet och övriga berörda myndigheter samt kommunerna skulle kunna på-
tagligt förbättra möjligheterna till en fokusering på storstadens arkitekto-
niska kvaliteter och brister. En kampanj kring dessa frågor bör därför
initieras, där den samlade kompetensen bättre kan utnyttjas. Informa-
tionsinsatser, idétävlingar och riktade kunskaps- och debattunderlag kan
vara verktyg i detta arbete. Kampanjen bör resultera i en tydlig uppmärk-
sammad manifestation år 2001, då även resultaten av regeringens hand-
lingsprogram för arkitektur, formgivning och design kan redovisas kon-
Prop. 1997/98:165
112
kret. För detta ändamål beräknar regeringen ett medelsbehov om 2 miljo- Prop. 1997/98:165
ner kronor årligen under tre år.
Regeringens bedömning: Inom ramen för de lokala utvecklingsavta-
len bör lokala folkhälsoråd kunna inrättas. Folkhälsoråden bör for-
mulera lokala mål för folkhälsoarbetet och utveckla samarbetsformer
mellan t.ex. mödra-, barn- och skolhälsovården, allmänläkare och
distriktssköterskor samt öka samarbetet mellan olika kommunala
nämnder och stadsdelsnämnder, primärvård, försäkringskassa, arbets-
förmedling och övriga lokala resurser.
Bakgrund: Ett övergripande mål för folkhälsoarbetet är att minska
skillnaderna i ohälsa mellan olika grupper i samhället. Människor lever
under olika sociala och ekonomiska förhållanden och det visar sig att
ojämlikheten i hälsa har ökat under 1990-talet. Särskilt tydligt är det i
vissa utsatta stadsdelar i storstadsregionerna. För att framgångsrikt mins-
ka skillnaderna är det viktigt att de förebyggande insatserna anpassas till
de lokala förhållanden som råder, som t.ex. andel arbetslösa, andel äldre
respektive unga inom kommunen/stadsdelen.
Folkhälsoarbetet utförs på lokal, regional och nationell nivå. Insatserna
kan vara såväl samhällsinriktade som grupp- och individinriktade. Kom-
munerna har blivit en alltmer betydande hälsopolitisk aktör. Kommunal-
lagen innehåller emellertid inga övergripande krav om att kommunerna
skall arbeta med folkhälsan. Däremot finns dessa målsättningar i olika
speciallagar som t.ex. socialtjänstlagen, miljö- och hälsoskyddslagen och
plan- och bygglagen. Landstingen har ett lagreglerat folkhälsoansvar.
Sjukvårdshuvudmännen har enligt hälso- och sjukvårdslagen en skyldig-
het att medicinskt förebygga, utreda och behandla sjukdomar och skador.
Medicinskt förebyggande insatser är både miljö- resp, individinriktade.
Folkhälsoinstitutet (FHI) skall på nationell nivå bidra till en god häl-
soutveckling genom hälsofrämjande och sjukdomsförebyggande arbete.
Störst uppmärksamhet skall ägnas åt sådana insatser som kan bidra till att
minska hälsogapen i befolkningen. FHI skall i det förebyggande arbetet
prioritera sådan verksamhet som syftar till att utveckla folkhälsoarbetet
på regional och lokal nivå genom bl.a. generellt kunskaps- och me-
todstöd.
För att öka möjligheterna till att förankra och anpassa folkhälsoarbete
till de lokala förutsättningarna är det av största vikt att ett lokalt och tvär-
sektoriellt samarbete kommer till stånd. Redan idag har både Svenska
kommunförbundet och Landstingsförbundet program och nätverk som
syftar till att öka förståelsen för det lokala folkhälsoarbetet och dess be-
tydelse samt att verka för att folkhälsofrågoma lokalt införs i alla sam-
hällssektorer.
Storstadskommitténs betänkande: Storstadskommittén ger i sitt be-
tänkande några förslag till hur folkhälsoarbetet i storstadsområdena
113
skulle kunna förbättras. Till att börja med anser kommittén att resursför- Prop. 1997/98:165
delningen inom primärvården på ett bättre sätt måste avspegla de faktorer
som påverkar hälsans fördelning. Den sociala och etniska segregationen i
storstadsområdena bör därvid uppmärksammas. Kommittén redovisar
vidare det arbete med lokala folkhälsoråd som pågår i Malmö och Göte-
borg och varnar för en utveckling där primärvården avgränsar sitt intres-
se till individperspektivet, istället för att anlägga ett vidare socialt och
områdesperspektiv.
Kommittén pekar på vikten av kopplingen mellan forskningen och de
olika praktiska välfärdsverksamhetema. Förutom att den befintliga veten-
skapliga kunskapen borde tillämpas bättre i praktiken anser också kom-
mittén att forskningen bör stärkas med avseende på bl.a. resursfördel-
ningens betydelse, metodutveckling i välfärdsverksamhetema och på
könsperspektivet på folkhälsoffågoma.
Kommittén anser slutligen att det är ett statligt ansvar att samla, sprida
och bidra till att förbättra kunskapen om effektiva metoder i folkhälsoar-
betet. Kommittén anser att Folkhälsoinstitutet bör ansvara för att:
- främja en utvidgning av forskning som berör folkhälsofrågor i utsatta
områden och som har som mål att åstadkomma en bättre koppling
mellan praktik och teori,
- prioritera insatser som syftar till att förbättra folkhälsan i dessa stads-
delar utifrån ett hälsopolitiskt jämlikhetsperspektiv.
Skälen för regeringens bedömning: I avsnitt 3 redovisas de stora
skillnader i folkhälsa som finns mellan olika bostadsområden i storstä-
derna. Levnadsvanorna påverkas av kultur och traditioner och varierar
med bland annat ekonomiska villkor, arbetslöshet, utbildning och socio-
ekonomisk tillhörighet, socialt nätverk och känslan av sammanhang. Man
kan talar om strukturellt betingade levnadsvanor.
I storstadskommitténs betänkande Tre Städer (SOU 1998:25) redovisas
ett tydligt samband mellan arbetslöshet och ohälsa. Forskningen visar att
känslan av ett sammanhang och en tillhörighet - att vara behövd - är
mycket avgörande för den enskildes hälsa. Möjligheterna till arbete och
egen försörjning har därför även betydelse för folkhälsan. Denna är också
beroende av styrkan i det generella välfärdssystemet och av hur väl dess
olika institutioner samverkar.
Regeringen anser att en av de viktigaste folkhälsoinsatsema är att lo-
kalt fa till stånd en god samverkan mellan olika aktörer så att problem
kan förebyggas tidigt och med gemensamma krafter. Tvärsektoriella häl-
soråd eller hälsosamordnare finns idag i mer än hälften av landets kom-
muner. Det framgår av olika kartläggningar att folkhälsoråd är vanligare i
mindre städer än i storstadsregionerna. Råden fungerar vanligtvis som
rådgivare i hälsofrågor. Deras formerna varierar, men gemensamt är att
de innefattar ett flertalet av de lokala verksamheter som har betydelse för
folkhälsan. I de föreslagna folkhälsoråden bör förutom mödra-, barn- och
skolhälsovård även primärvård, barnomsorg, skola, socialtjänst, försäk-
ringskassa och arbetsförmedling ingå.
114
Prop. 1997/98:165
Regeringens bedömning: Socialstyrelsen bör ges i uppdrag att i sam-
råd med Boverket följa upp rapporten De bostadslösas situation i
syfte att fa aktuell kunskap om situationen för de hemlösa, omfatt-
ningen av hemlösheten och de insatser som görs för hemlösa och hus-
håll med svag ställning på bostadsmarknaden.
Bakgrund: Riksdagen gav i skrivelse (rskr. 1992/93:56) regeringen
till känna vad socialutskottet (bet. 1992/93:SoU5) anfört om de bostads-
lösas situation. Bakgrunden var att vissa undersökningar talade för att
problemet ökat i omfattning, särskilt bland yngre och personer med psy-
kiska funktionshinder. Utskottet ansåg att en kartläggning som omfattade
hela landet borde göras av de bostadslösas situation. Socialstyrelsen fick
år 1993 i uppdrag att i samråd med Boverket genomföra en kartläggning
av omfattningen av bostadslösheten och de bostadslösas situation. I upp-
draget ingick också att analysera orsakerna till bostadslöshet samt in-
ventera vilka insatser som står till buds för bostadslösa.
I rapporten De bostadslösas situation i Sverige (1994:15) konstaterade
Socialstyrelsen att det i mars 1993 fanns ca 10 000 hemlösa. Begreppet
hemlösa definierades i rapporten som personer som saknar egen eller
förhyrd bostad och som inte bor i något stadigvarande inneboendeför-
hållande samt är hänvisade till tillfälliga boendealternativ eller är utelig-
gare. Hälften av dem befann sig i de tre storstäderna. De dominerande
orsakerna till hemlöshet angavs vara svårigheter att betala hyran eller
svårighet att klara av att bo utan att störa andra boende.
Kartläggningen visade att det inte fanns något generellt behov av fler
bostäder eller institutionsplatser för hemlösa. Mycket pekade emellertid
på att de resurser som fanns inte var tillräckligt anpassade till de hemlö-
sas behov. Rapporten bekräftade också att många hemlösa med svårare
problem söker sig till de frivilliga organisationerna. De mest omfattande
frivilliginsatsema görs av Stadsmissionen och Frälsningsarmén som er-
bjuder möjligheter till tillfällig övernattning eller olika former av tillfäl-
ligt boende.
Oron för att allt fler personer med psykiska funktionshinder återfinns
bland de hemlösa har återkommit i flera senare undersökningar, och har
understrukits av ideella organisationer som t.ex. Riksförbundet för Social
och Mental Hälsa. Det finns behov av att utveckla och pröva olika stöd-
former som stärker psykiskt funktionshindrade att klara eget boende. För
att möjliggöra detta avsatte regeringen år 1997 30 miljoner kronor ur
Allmänna arvsfonden under en treårsperiod. Medlen skall användas för
ideella organisationers kostnader för att tillsammans med berörda kom-
muner utveckla och pröva nya modeller för stöd och boende för personer
med psykiska funktionshinder. Därvid skall behoven av insatser i stor-
stadsregionerna särskilt uppmärksammas.
Skälen för regeringens bedömning: Socialtjänsten har ett stort ansvar
för att stödja och hjälpa människor som av olika skäl är hemlösa och där-
för i behov av bistånd. Regeringen betonar att socialtjänsten i samverkan
115
med bostadsföretagen behöver engagera sig för hushåll med svag ställ- Prop. 1997/98:165
ning på arbetsmarknaden. Regeringen vill också lyfta fram den utveck-
ling som sker i Stockholms kommun när det gäller att utveckla social-
tjänstens metoder för arbetet med hemlösa, bl.a. genom att skapa boende-
former med stöd och behandling. Regeringen ser positivt på det arbete
som pågår med att anpassa insatserna för särskilda grupper av hemlösa,
t.ex. hemlösa med psykiska funktionshinder.
Socialstyrelsen pekade i sin rapport på ett antal möjliga förbättringar
när det gäller kommunens insatser för hemlösa och för att förebygga
hemlöshet. Förslagen gällde åtgärder riktade såväl till personer som sak-
nar bostad som personer som inte kan betala sin hyra eller har svårt att
klara av ett eget boende. Socialstyrelsen framhöll bland annat behovet av
ökade kunskaper om hemlöshet och uppföljning av förändringar i bo-
stadsförmedlingsverksamheten.
Personer som är hem- och bostadslösa lever under svåra förhållanden.
För att kunna förbättra situationen för dem är det angeläget att det finns
aktuell kunskap om omfattningen av hemlösheten och om behoven av
insatser. Regeringen anser därför att det kan finnas skäl att aktualisera
och följa upp den undersökning som gjordes av Socialstyrelsen år 1993.
Socialstyrelsen bör fa i uppdrag att i samråd med Boverket följa upp rap-
porten De bostadslösas situation. Denna uppföljning bör ge en aktuell
bild av omfattningen av hemlöshet, de hemlösas situation samt kunskap
om hur kommunerna arbetar med dessa frågor. Uppföljningen bör inne-
fatta en analys av faktorer och av den process som leder till hemlöshet
samt överväganden om olika sätt att stödja dem som redan är hemlösa.
Uppföljningen bör kunna utgöra ett värdefullt underlag för den bostads-
sociala beredning som regeringen avser tillsätta.
I avsnitt 3.10 beskrivs storstaden som demokratisk miljö. I de socialt ut-
satta stadsdelarna är den politiska delaktigheten låg och valdeltagandet
ligger ofta kring 50 procent av de röstberättigade. I avsnitt 4 har rege-
ringen angett som ett av de storstadspolitiska målen att det demokratiska
deltagandet och delaktigheten skall öka i de utsatta bostadsområdena. I
detta kapitel redovisas regeringens bedömningar och förslag avseende de
demokratiska processerna kring de lokala utvecklingsavtalen, ökade
möjligheter till självförvaltning samt förslag till nätverk mellan olika
lokala projekt.
116
11.2.1 Demokratiutvecklingskommittén
Demokratiutvecklingskommittén har lämnat betänkandet På medborgar-
nas villkor (SOU 1996:162). Kommitténs förslag kan delas in i tre grup-
per; rekommendationer till kommunerna, lagreglering av kommunernas
verksamhet och förslag som gäller staten.
Kommittén rekommenderade kommunerna att skapa demokraticent-
rum för möten, information och öppenhet. Kommittén föreslog också ett
ökat inslag av direktsändningar från politiska arenor. Samhällsinforma-
tionen borde också göras mer lättillgänglig. Lokalsamhällena är en viktig
beståndsdel i demokratiutvecklingen. Kommittén menade att dessa skulle
kunna utvecklas bl.a. genom en försöksverksamhet med direktvalda or-
gan. Kommittén föreslog därför att det borde bli möjligt för de kommu-
ner som vill införa direktvalda lokala organ att göra det i en eller flera
kommundelar.
Kommittén föreslog vidare att kommunallagen tillförs bestämmelser
som innebär att reglerna om folkinitiativ kompletteras med krav på kvali-
ficerad majoritet i kommunfullmäktige för att avslå ett förslag om folk-
omröstning. Kommittén förslog också att alla som är röstberättigade i
kommunalvalet far motionsrätt till kommunfullmäktige.
Kommitténs förslag i den delen som gäller staten handlade om att på
olika sätt stärka riksdagen roll i arbetet med EU-frågoma. Kommittén
menade också att det borde tillsättas en demokratiberedning i regerings-
kansliet.
11.2.2 Kommunala förnyelsekommittén
Kommunala förnyelsekommittén har lämnat betänkandet Förnyelse av
kommuner och landsting (SOU: 1996:169). Kommittén menar bl.a. att
den mycket svåra och komplicerade strävan att samtidigt demokratisera,
effektivisera och rättssäkra kommunerna inte bara bör fortsätta utan ock-
så intensifieras för att inte de värden som utmärkt de demokratiska ar-
betsformerna skall gå förlorade.
Kommittén anser att kommunerna borde upprätta demokratiska kon-
sekvensanalyser. Av dessa bör framgå hur olika medborgar-, brukar-,
förenings- och politikergruppers inflytande och ansvar kan komma att
påverkas. Kommittén uppehåller sig kring frågan om formerna för med-
borgerligt inflytande över kommunala verksamheter. Kommittén pekar
på vikten av att söka efter arbetsformer som genom att ge olika slags
medborgargrupper reella möjligheter att åta sig och utföra förtroende-
uppdrag ökar allsidigheten i de politiska diskussionerna, höjer represen-
tativiteten bland de förtroendevalda och tar vara på personalens erfaren-
heter, kunnande och kreativitet. Delaktiga medborgare är inte bara ett
mål utan också ett medel för en demokratiskt styrd verksamhet. Kom-
mittén förordar ett demokratiskt fördjupningsarbete som genom att in-
volvera medborgarna i lokala berednings- och beslutsprocesser komplet-
terar service- och kundinriktning. Olika former av brukarinflytande eller
117
brukarmakt kan vara en väg att skapa ett aktivt medborgarskap. Kom-
mittén framhåller också att förnyelsearbetet hittills har underskattat fri-
tidspolitikerna. Dessa är en viktig men dåligt utnyttjad resurs.
Avslutningsvis anser kommittén att statsmakterna har skäl att på ett
mer systematiskt sätt än hittills och mer löpande hålla sig å jour med vad
som händer i landsting och kommuner. Regeringen bör följa utveckling-
en vad avser demokrati, rättssäkerhet, kvalitet, ekonomi och effektivitet.
11.2.3 Storstadskommittén
Storstadskommittén har lämnat betänkandet Tre städer - en storstadspo-
litik för hela landet (1998:25). I betänkandet läggs flera förslag som syf-
tar till att stärka den lokala demokratin. Bland dessa kan nämnas:
- Självförvaltning i boendet
- Rätt för brukare av kommunal verksamhet att kräva självförvaltning.
Om minst hälften av brukarna kräver skall kommunen överlämna an-
svaret för driften till brukarna själva, i form av ett självförvaltningsor-
gan.
- Medborgarberedningar. Medborgarna ges möjlighet att bilda bered-
ningar och ta fram beslutsunderlag till kommunfullmäktige och/eller
stadsdelsnämnder.
- Motivrätt. Den enskilde medborgaren ges rätt att få motivering till
varför kommunen och inte den enskilde själv skall fatta beslut i ett
visst ärende.
- Initiativrätt till lokala folkomröstningar. Om minst 5 procent av de
röstberättigade i en stadsdel/kommundel begär skall en rådgivande
folkomröstning genomföras om inte en kvalificerad majoritet i nämn-
den avslår förslaget.
- Medborgerlig motionsrätt till stads-/kommundelsnämnder. Den en-
skilde skall ha rätt att väcka en fråga i sin stadsdelsnämnd. Om minst
2 procent av de röstberättigade skrivit under motionen skall den be-
handlas inom högst 6 månader.
11.2.4 Demokratikommittén
Demokratikommittén tillsattes av regeringen i september 1997. Kom-
mittén, som är parlamentariskt sammansatt, leds av förre statsrådet Bengt
Göransson. Uppgiften är att belysa de nya förutsättningar, problem och
möjligheter som det svenska folkstyret möter inför 2000-talet. Uppdraget
skall vara avslutat senast den 31 december 1999.
Uppdraget skall ses mot bakgrund av en rad viktiga förändringar som
skett under 1990-talet, däribland den statsfinansiella krisen, internationa-
liseringen av ekonomin och utvecklingen på de finansiella marknaderna;
Sveriges medlemskap i Europeiska unionen och demokratiseringsproces-
sen i vårt närområde; utvecklingen inom medieområdet och den nya in-
formationstekniken; miljöfrågornas ökade tyngd; samt att Sverige i ännu
större grad än tidigare blivit ett mångfaldens samhälle.
Prop. 1997/98:165
118
Utgångspunkten för kommitténs arbete skall vara varje medborgares
rätt till föll delaktighet i samhället. De senaste årens demokratiutredning-
ar och forskning skall summeras och värderas. Vid behov skall ytterliga-
re undersökningar och forskning initieras. Utöver analyser och beskriv-
ningar skall kommittén lämna konkreta förslag inom de områden där den
anser det behövligt. Arbetet ska bedrivas så att det offentliga samtalet
kring demokratin och det svenska folkstyret stimuleras och utvecklas.
Kommitténs arbete koncentreras till följande fyra områden.
- Internationaliseringen av ekonomin. Ekonomi och demokrati i sam-
spel.
Kommittén skall bl.a. belysa hur de arbetslöshetsnivåer som Sverige
har upplevt under de senaste fem åren har ökat känslan av att stå utan-
för och minskat tilltron till demokratin och till de folkvalda politikerna
på olika nivåer i samhället. Kommittén skall också kartlägga hur det
politiska handlingsutrymmet påverkades av 1990-talets ekonomiska
kris och vilka effekter som denna har haft på det svenska folkstyret.
- Sverige i Europeiska unionen
Sverige, liksom många andra västländer, är på väg från industrisam-
hället mot det som kallats kunskaps- eller informationssamhället. Des-
sa förhållanden har påverkat hur medborgarna uppfattar sig själva och
sin kulturella identitet. Till kommitténs uppgift hör bl.a. att analysera
dessa förhållanden.
- TVya informations- och kommunikationsmönster, informationstekniken.
Det nya medielandskapet.
Kommittén skall analysera på vilket sett de nya informations- och
kommunikationsmönstren och den nya informationsteknologin påver-
kar maktfördelningen och förutsättningarna för demokratiskt deltaga-
de. Likaså skall det nya medielandskapets påverkan på demokratin
analyseras.
- Förändringarna i den offentliga sektorn. Utvecklingen inom folkrörel-
serna.
Inom staten, landstingen och kommunerna har ett omfattande föränd-
rings- och förnyelsearbete bedrivits under det senaste decenniet. Ut-
över syftet att effektivisera har detta också haft som mål att finna nya
vägar att stärka demokratin och öka människors delaktighet i sam-
hällsutvecklingen. Kommitténs uppgift är att studera vilka resultat
dessa strävanden har gett samt föreslå åtgärder som är ägnade att för-
stärka demokratin på regional och lokal nivå.
I kommitténs uppdrag ingår vidare att belysa de förändringar i medbor-
garnas engagemang - genom föreningar och folkrörelser - som skett un-
der främst 1980- och 1990-talen.
11.2.5 Det fortsatta arbetet
Sökandet efter vägar som skapar goda förutsättningar för vuxna respekti-
ve ungdomar av båda könen oavsett ursprung att göra sig hörda i de
kommunala valen, i de politiska partiernas arbete samt att delta i de nya
Prop. 1997/98:165
119
formerna för inflytande som nu växer fram i lokala demokratiförsök un-
derlättas av lokal samverkan i olika former. Utgångspunkten måste vara
att tillvarata de kunskaper och erfarenheter som finns samlade i landets
kommuner, i lokala utvecklingsprojekt, i ideella organisationer, vid myn-
digheter etc.
Regeringen bedömer i 1998 års ekonomiska vårproposition (prop.
1997/98:150 kap. 7.6.1) att det finns ett behov av att på nationell nivå
kontinuerligt följa förnyelsearbetet inom kommuner och landsting fram-
för allt vad gäller effekterna på demokrati och rättssäkerhet. Det gäller
bl.a. frågor om representativitet för vissa grupper och det medborgerliga
deltagandet i grundläggande politiska processer.
Regeringen har gett Statskontoret i uppdrag att närmare följa upp
samtliga kommuners och landstings organisations-, styr- och verksam-
hetsformer. Statskontoret skall även närmare studera hur ett fortsatt ut-
vecklingsarbete kan bedrivas vad gäller uppföljningen av vilka effekter
olika organisations-, styr- och verksamhetsformer har på den lokala de-
mokratin, rättssäkerheten och medborgarnas möjligheter till inflytande.
Avsikten är att utforma en uppföljningsmodell som kan användas konti-
nuerligt i statens uppföljning av kommunerna.
Regeringens bedömning: Det är viktigt att kommunerna fortsätter att
utveckla nya former för den lokala demokratiska dialogen. Nya verk-
samhetsformer i kommundelsnämnder och ett ökat inslag av brukarin-
flytande är särskilt viktigt för att stimulera det demokratiska engage-
manget i de utsatta stadsdelarna. Även medborgarkontor kan spela en
viktig roll i utvecklingen av den lokala demokratin, liksom lokala IT-
nätverk.
Skälen för regeringens bedömning: Sverige är i likhet med en rad
andra industriellt utvecklade länder på väg in i ett nytt samhälle där kun-
skapens betydelse för utvecklingen får en mer framträdande plats. Detta
innebär nya förutsättningar och nya villkor för det offentliga livet och
den lokala demokratin. Med stigande kunskapsnivå i samhället ökar
kvinnors och mäns krav på inflytande och delaktighet, och på större makt
över sina egna liv; i närsamhället, i arbetslivet och i samhället i stort.
Den allmänna samhällsinformationen skall göra det möjligt för med-
borgarna att hävda sina idéer och intressen i den demokratiska processen.
Ansvaret för denna information ligger främst på de politiska partierna,
folkrörelserna och massmedierna. Dessa frågor har under de senaste de-
cennierna behandlats av en rad demokratiutredningar.
Parallellt med de statliga utredningar som nämnts ovan har en omfat-
tande utveckling skett av formerna för den kommunala demokratin. Den
nya kommunallagen med dess möjligheter att fritt välja nämndorganisa-
tion har gett ökat utrymme att pröva olika former för hur den kommunala
Prop. 1997/98:165
120
demokratiska processen skall organiseras. Diskussionerna har främst Prop. 1997/98:165
handlat om hur kanalerna mellan medborgarna och den valda represen-
tanterna skall kunna förbättras.
Det finns också ett starkt tryck från medborgarna på att få ett ökat in-
flytande över de kommunala verksamheter som närmast berör dem. Här
har diskussionerna främst handlat om olika slag av brukarinflytande och
självförvaltning. Den demokratiska dialogen förutsätter också att med-
borgarna kan orientera sig i samhället, och att de vet vart de skall vända
sig för att få information om verksamheterna och kunskap om sina rättig-
heter och skyldigheter.
Medborgarnas krav på inflytande och delaktighet är stort inte minst i
de tre storstadsregionerna. Samtidigt har de gamla kommunala organisa-
tionerna inte varit konstruerade för att möta de ökade medborgarkraven.
Ett sätt att möta dessa krav har varit att inrätta kommun- eller stadsdels-
nämnder. Stockholm, Göteborg och Malmö har under 1990-talet genom-
fört kommundelsreformer, där den kommunala organisationen har för-
ändrats från en sektorsindelad organisation till en geografiskt indelad.
Kommundelsnämnder finns också i vissa andra större kommuner i stor-
stadsregionerna som t.ex. Södertälje och Huddinge. Syftet med dessa
reformer har varit dubbelt; för det första att stärka och vitalisera den lo-
kala demokratin och för det andra att effektivisera den kommunala verk-
samheten genom samverkan över sektorsgränser.
I stora städer kan avståndet mellan valda och väljare bli mycket stora.
Tanken med kommundelsreformema är att minska detta avstånd och att
göra fler delaktiga i beslutsprocessen. Den organisatoriska förändringen i
sig är naturligtvis inte tillräcklig för att nå dessa mål, utan innebär endast
att nya möjligheter öppnas. I flera av storstädernas kommundelar har
man prövat nya former för dialog mellan valda och väljare. Några exem-
pel kan nämnas:
- Öppna sammanträden med stadsdelsnämnderna finns i Malmö och
Stockholm. Förutom att ge medborgare och lokala media bättre insyn i
nämndens arbete har det ofta kombinerats med allmän frågestund eller
temadelar av sammanträdena där allmänheten får yttra sig om ärenden
som senare skall beslutas i nämnden.
- Rätt för medborgare att väcka förslag i stadsdelsnämnderna tillämpas i
flera stadsdelar i Stockholm. Eftersom nämnden själv avgör vilka frå-
gor den skall behandla kräver inte detta någon ändring av kommunal-
lagen såsom medborgarförslag till kommunfullmäktige skulle göra.
- Stadsdelsting i olika former prövas av flera stadsdelsnämnder i Stock-
holm. Syftet är att erbjuda medborgarna möjlighet att delta i en slags
framtidsverkstad som en del av beredningsarbetet inför antagande av
den lokala budgeten.
I kommunerna pågår en lång rad utvecklingsprojekt med ett utökat bru-
karinflytande över kommunalt driven verksamhet. I många förskolor har
det inrättats brukarstyrelser med en majoritet av föräldrar som inom de
ramar som kommunen ställt upp ansvarar för förskolans ekonomi och
verksamhet. Inom skolområdet har riksdagen beslutat om möjlighet att
inrätta skolenhetsstyrelser med majoritet av föräldrar på grundskolan och
121
av elever på gymnasieskolan. Det finns många exempel på brukaravtal
där t.ex. föreningar har tagit över ansvar för drift av bl.a. idrottsplatser
och parker från kommunen.
Det demokratiska engagemanget börjar oftast med de frågor som direkt
berör den enskilde. Regeringen anser därför att det är av särskilt stor vikt
att kommunerna i de utsatta stadsdelarna fortsätter att driva på utveck-
lingen av brukarinflytande i olika former.
Regeringen bedömde i den integrationspolitiska propositionen (prop.
1997/98:16) att medborgarkontor kunde vara av särskild betydelse för
storstadsregionernas utsatta stadsdelar. Statliga och kommunala myndig-
heter borde sträva efter att samhällsinformationen når alla oavsett här-
komst och etnisk bakgrund, och efter att den är anpassad till mottagarnas
skilda behov och förutsättningar. Regeringen bedömer i avsnitt 8.5 i den-
na proposition att medborgarna i de utsatta stadsdelarna bör fa tillgång
till gemensamma kontor för såväl statliga som kommunala myndigheter.
Sådana medborgarkontor bör kunna fungera som en kontaktpunkt och
spela en viktig roll för utvecklingen av den lokala demokratin.
Regeringen bedömde i den förvaltningspolitiska propositionen att
myndigheterna bör erbjuda elektroniska tjänster för självbetjäning som
komplement till traditionella tjänster. Det bör bl.a. innebära möjlighet att
elektroniskt fa tillgång till bl.a. myndighetsinformation, blanketter, före-
skrifter, lagar och förordningar, samt att initiera ärenden elektroniskt, där
så är möjligt med hänsyn till lagstiftningen.
Allt fler kommuner och landsting har idag formulerat IT-strategier som
också omfattar demokratiaspekter. På kommunala initiativ utrustas idag
allt fler bostadsområden med bredbandsnät. Sådana nätverk kan fungera
som plattformer för ökade kontakter mellan medborgarna, och mellan
medborgarna och deras förtroendevalda politiker. Nätverken kan för-
medla erbjudanden om utbildningar och andra tjänster, samt information
om föreningar, arbetsgrupper och projekt som finns inom stadsdelen och
i kommunen.
Prop. 1997/98:165
Regeringens bedömning: Folkrörelserna utgör en viktig resurs i ar-
betet med att skapa och genomföra lokala utvecklingsavtal för utsatta
stadsdelar. I detta arbete bör folkrörelserna kunna spela en betydelse-
full roll, såväl när det gäller att utveckla nya idéer som att engagera
nya grupper i arbetet.
Skälen för regeringens bedömning: Åsikterna om dagens folkrörel-
ser går isär. Å ena sidan hävdas att de inte längre når ut till medborgarna
och att arbetsformerna ofta har stelnat. Å andra sidan ser vi nya former
av folklig mobilisering, i form av nätverk och föreningar, i mer eller
mindre tillfälliga aktionsgrupper. Om man med folkrörelse menar att
människor tillsammans tar strid i en angelägen fråga - då lever folkrörel-
122
serna i högsta grad också idag. Ibland i en ny form, ibland också inom Prop. 1997/98:165
ramen för en befintlig folkrörelse.
Folkrörelserna kan utgöra en betydelsefull kraft i förändringsarbetet i
ett samhälle. De svenska folkrörelsernas tidiga initiativ till insatser när
det gäller sådant som folkbildning, sociala frågor och arbetsrätt har varit
betydelsefulla och folkrörelsearbetet har ofta lett över till lagstiftning och
ett vidgat samhällsansvar på dessa områden.
En förutsättning för att människor skall engagera sig i och driva vikti-
ga frågor i organiserad form är dock att de själva har tagit initiativen och
själva driver frågorna. En sådan delaktighet utifrån egna idéer och resur-
ser kan vara den mobiliserande kraft, som vänder människors tillvaro
från anonym maktlöshet till aktivt engagemang.
Sådana exempel finns också i storstäderna, inte minst i de utsatta bo-
stadsområdena. Det kan handla om att de etablerade folkrörelserna och
bildningsförbund samarbetar med de nybildade föreningar och nätverk
som finns i stadsdelen, utifrån lokala behov och önskemål, som de boen-
de själva uttrycker.
Medborgarnas engagemang i viktiga samhällsfrågor kan på många om-
råden komplettera de offentliga insatserna med ideellt arbete. I debatten
om den ”svenska modellen” hävdas ibland att samhället alltför ofta tagit
ifrån de enskilda medborgarna och de ideella organisationerna initiativet
och ansvaret. Det kan finnas visst fog för denna uppfattning, men pen-
deln får inte slå över och tillbaka till att de ideella organisationerna för-
väntas överta stora delar av samhällets ansvar. Istället bör det handla om
att utveckla ett fruktbart samspel mellan offentligt ansvar och ett civilt
samhälle som förmår att komplettera och stöda den generella välfärdspo-
litiken. Folkrörelserna och de ideella organisationerna är således en
omistlig tillgång, både för medborgarnas skull och för demokratins
överlevnad.
Under åren 1991-1995 genomfördes i tolv stadsdelar i fem storstads-
områden det s.k. PLUS-projektet (Projektet för Lokal Utveckling genom
Samverkan). Syftet var att utveckla metoder för arbete med ungdomar i
utsatta stadsområden genom att stimulera en ökad lokal samverkan. Un-
der PLUS-projektets gång skapades ett nätverk mellan de lokala aktörer-
na i de olika projekten. Bl.a. genomfördes ett antal gemensamma träffar
som visade sig fa stor betydelsen för de olika lokala projektens utveck-
ling. Genom ett berikande erfarenhetsutbyte stärktes framför allt de lo-
kala krafter inom föreningar och ideella grupper, som annars saknar for-
mella strukturer för att mötas och inspireras av likasinnade.
De lokala utvecklingsavtal som föreslås i denna proposition bör utfor-
mas så att många lokala aktörer engageras i utformningen av lokala lös-
ningar. Regeringen ser det som viktigt att underlätta för personer inom
ideella föreningar och liknande sammanslutningar att mötas för ömsesi-
digt erfarenhetsutbyte. Därmed ökar också förutsättningarna för ett na-
tionellt kunnande och agerande. Regeringen har därför för avsikt att av-
sätta medel ur Allmänna arvsfonden för att möjliggöra gemensamma
träffar och erfarenhetsutbyte mellan lokala föreningsdrivna projekt för
barn, ungdomar och personer med funktionshinder.
123
Prop. 1997/98:165
I detta avsnitt ges en kortfattad redovisning av den ekonomiska omfatt-
ningen av de särskild storstadspolitiska åtgärder som föreslås i denna
proposition med angivande av vilka utgiftsområden som berörs. Samtliga
kostnader med anledning av propositionen finansieras inom de ramar
som angivits i 1998 års ekonomiska vårproposition (prop. 1997/98:150).
Insatser inom ramen för den föreslagna storstadsdelegationen
Regeringen har i 1998 års ekonomiska vårproposition föreslagit att ra-
marna sammanlagt utökas med 350 miljoner kronor år 1999, 350 miljo-
ner kronor år 2000 samt 800 miljoner kronor år 2001 med anledning av
den treårssatsning som genomförs inom ramen för framtidssatsningen
”Ett Sverige för alla” som redovisas i samma proposition.
Av dessa medel avser 5 vissa medel ökade kostnader för diskrimine-
ringsombudsmannen (DO) och validering av betyg samt 5 miljoner kro-
nor för år 1999 och år 2000 aktiviteter inom ramen för Mångfaldens år.
Dessa medel behandlas inte i denna proposition.
Riksdagen har tidigare för år 1998 anvisat 189 miljoner kronor till sär-
skilda insatser i utsatta bostadsområden (utgiftsområde 8, anslag B2). För
år 1999 och år 2000 beräknades vardera 150 miljoner kronor.
Regeringen föreslår i denna proposition att huvuddelen av de statliga
storstadspolitiska insatserna bör samlas inom ramen för lokala utveck-
lingsavtal. Det tidigare beslutade programmet för särskilda insatser i ut-
satta bostadsområden kommer därför att integreras i den föreslagna stor-
stadsdelegationens arbete. En del av de medel som anvisats för särskilda
insatser i utsatta bostadsområden bör dock även fortsättningsvis kunna
användas utanför storstadsregionerna.
Storstadssatsningama kommer att sammanlagt innebära 480 miljoner
kronor år 1999, 480 miljoner kronor år 2000 och 785 miljoner kronor år
2001 av medlen avsatta till ”Ett Sverige för alla” samt till utsatta bo-
stadsområden. Av dessa medel bör 10 miljoner kronor skall användas till
idrotts- och fritidsverksamhet och 10 miljoner kronor till kulturverksam-
het under vart och ett av åren 1999-2001.
Regeringen har vidare i 1998 års vårproposition redovisat att den avser
att avsätta vissa resurser ff.o.m. år 1999 för att stärka kunskaperna i
svenska språket i områden med hög andel invandrare. Regeringen före-
slår i denna proposition en utvidgad försöksverksamhet med deltidsför-
skola i utsatta stadsdelar, samt att 150 miljoner kronor av anvisade medel
avsätts för detta ändamål för vart och ett av åren 1999-2001. Vidare fö-
reslås särskilda insatser för språkutveckling i skolan i utsatta stadsdelar i
storstadsregionerna, samt att 50 miljoner kronor per år av anvisade medel
avsätts för detta ändamål för vart och ett av åren 1999-2001.
Regeringen föreslår också att resurser skall avsättas för vart och ett av
åren 1999-2001 för att stärka kunskaperna i svenska språket i områden
med hög andel invandrare genom en utveckling av svenskundervisning
integrerad med arbetsplatspraktik. Regeringen föreslår i denna proposi-
124
tion att en ram motsvarande 20 miljoner kronor per år under åren 1999-
2001 avsätts för detta ändamål.
Den närmare fördelningen av medlen till utsatta storstadsområden skall
ske inom ramen för lokala utvecklingsavtal. Delegationen bör dock också
kunna fördela medel till områden utanför storstäderna med hög andel
arbetslösa invandrare.
Regeringen föreslår i denna proposition att 10 miljoner kronor skall
avsättas för vart och ett av åren 1999-2001 för förstärkning av kultur-
miljövård och arkitektoniska värden i storstäderna. Dessa medel riktas
inte uteslutande till utsatta storstadsområden och de skall inte ingå i de
lokala utvecklingsavtalen.
I budgetpropositionen för år 1999 kommer regeringen att presentera
utgiftsområdesramar och anslag i enlighet med förslagen i denna propo-
sition.
Övriga storstadssatsningar
Regeringen föreslog i 1998 års vårproposition att resurser skulle avsättas
inom utgiftsområde 16 för ytterligare förstärkningar inom högskolesek-
torn, samt att den senare skulle återkomma till fördelningen av de nya
högskoleplatserna för år 2000 m.m. Regeringen föreslår i denna proposi-
tion att ytterligare 5 000 nya permanenta platser tillförs högskolan i stor-
stadsregionerna från höstterminen år 2000.
Vidare avsätts 5 miljoner kronor år 1999 för utvecklingsinsatser i syfte
att stimulera rekryteringen av lågutbildade vuxna i storstadsregionerna
till vuxenutbildning. Slutligen avsätts 1,5 miljoner kronor år 1999 för
utveckling av IT-baserade läromedel för svenska som andraspråk och för
SFI. Dessa satsningar finansieras inom utgiftsområde 16.
Regeringen föreslår slutligen i vårpropositionen att utgiftsområde 4 -
Rättsväsendet - skall tillföras ytterligare 200 miljoner kronor för år 1999,
250 miljoner kronor för år 2000 och 300 miljoner kronor för år 2001. De
nya medlen skall bl.a. användas för att säkerställa närpolisreformen och
kampen mot vardagsbrottsligheten samt för att förstärka ekobrottsbe-
kämpningen. Regeringen räknar med att en betydande del av dessa resur-
ser kommer att användas för storstadsregionerna.
Prop. 1997/98:165
125
Prop. 1997/98:165
Tabell 4 Sammanställning av budgeteffekter. Miljoner kronor.
|
1999 |
2000 |
2001 | |
|
Inom ramen för lokala utvecklingsavtal | |||
|
Stöd till utsatta bostadsområden |
150 |
150 |
- |
|
Utsatta storstadsområden |
90 |
90 |
545 |
|
Språkförskola |
150 |
150 |
150 |
|
Språkutveckling |
50 |
50 |
50 |
|
Kultur och idrott |
20 |
20 |
20 |
|
Integrerad praktik/ svenskundervisning |
20 |
20 |
20 |
|
Summa lokala utvecklingsavtal |
480 |
480 |
785 |
|
Övriga insatser | |||
|
Kulturmiljövård |
10 |
10 |
10 |
|
Rekrytering av lågutbildade |
5 |
- |
- |
|
IT-baserade läromedel |
1,5 |
- |
- |
|
Summa övriga insatser |
16,5 |
10 |
10 |
Till detta kommer medel för brottsförebyggande insatser i storstadsom-
rådena med 10 miljoner kronor under år 1998.
Uppdrag och uppgifter som åläggs statliga myndigheter i denna propo-
sition förutsätts finansieras inom respektive myndighets ram.
126
Arbetsmarknadsstyrelsen (AMS)
Arbetsmarknadsstyrelsen anser att det är fullt möjligt att på marginalen
bistå även grupper som befinner sig långt ifrån arbetsmarknaden. AMS
framhåller dock svårigheten med avvägningen att satsa på dessa grupper
och att samtidigt understödja generell tillväxt och undvika flaskhalsar.
AMS har positiva erfarenheter av starta-eget-bidraget. De anser det
krävs nya marknader för att fa igång sysselsättningen, varav privata
tjänster kan vara ett sådant område. AMS är positiva till en starkare lokal
samverkan mellan olika myndigheter samt tillstyrker att storstadsdelega-
tionen skall kunna fatta beslut om att undanröja hindrande regelsystem.
AMS tillstyrker också storstadskommitténs förslag om lärlingsutbild-
ning.
Skolverket
Skolverket instämmer i storstadskommitténs resonemang om betydelsen
av svenska språket, men framhåller även modersmålets betydelse för
barnens språkutveckling. Skolverket redovisade positiva resultat av för-
sök med elev- och föräldradominerade lokala styrelser för skolan. Skol-
verket tillstyrker kommitténs förslag om deltidsförskola för barn mellan
3-5 år men framhåller att den måste vara gratis för föräldrarna för att
önskad effekt skall kunna nås. Likaså tillstyrker Skolverket förslaget om
en pedagogisk utvecklingsfond, men är tveksamma till stöd till investe-
ringar i lokaler.
Socialstyrelsen
Socialstyrelsen betonar betydelsen av en allmänt ökad sysselsättning för
att de utsatta områdenas problem skall kunna lösas. Styrelsen tillstyrker
storstadskommitténs förslag om förstärkning av förskola och skola i ut-
satta områden. Man bör vidare beakta att olika invandrargrupper har väl-
digt olika behov och förutsättningar. Förslaget att staten skall överta an-
svaret för socialbidragen avstyrks. Individens behov bör vara styrande
för samverkan mellan kommun, socialtjänst och arbetsförmedling. Soci-
alstyrelsen anser att finansiell samverkan mellan olika myndigheter är
viktig men anser att någon ny lagstiftning inte bör införas innan det s.k.
SOCSAM-försöket utvärderats.
Boverket
Boverket instämmer i storstadskommitténs förslag om en nationell stor-
stadspolitik, inrättande av en storstadsdelegation samt framtagande av
Prop. 1997/98:165
Bilaga
127
lokala handlingsplaner. Däremot anser Boverket att kommittén inte har
beaktat bostadsmiljöns betydelse för människors identitet och självkäns-
la. Boverket betonar bostadsförvaltningens stora betydelse och hänvisar
till positiva erfarenheter av decentralisering av förvaltningsorganisationer
samt inslag av självförvaltning.
Invandrarverket
Invandrarverket betonar betydelsen av en fullgod kommersiell och of-
fentlig service i de utsatta områdena. De mest attraktiva utbildningarna
bör lokaliseras till dessa områden. Vidare betonar verket betydelsen av
utbildning i svenska som andraspråk. Invandrarverket anser att staten och
kommunerna bör förlägga arbetsplatser till de utsatta områdena. Verket
är kritisk till en särskild storstadsdelegation eftersom det finns en risk att
berörda myndigheter då avstår från att ta sin del av ansvaret.
Folkhälsoinstitutet
Institutet noterar att hälsoskillnadema har ökat mellan olika grupper.
Samtidigt som institutet delar storstadskommitténs uppfattning om stärkt
egenmakt för de boende i utsatta områden vill det markera att detta inte
kan motverka vilka materiella brister som helst. Institutet vill gärna ingå i
en referensgrupp till den föreslagna storstadsdelegationen.
Folkhälsoinstitutet tillstyrker förslaget om deltidsförskola i utsatta områ-
den och påminner dessutom om familjecentralemas stora betydelse.
Skolornas storskalighet är ett problem för elevernas psykosociala hälsa.
Institutet tillstyrker kommitténs förslag om lärlingsutbildning. Vidare
anser institutet att kommittén gett en alltför positiv bild av kultur- och
fritidsutbudet i utsatta områden. Institutet anser att en specifik samord-
ning av barn- och ungdomsfrågorna i kommunerna eller stadsdelarna bör
komma till stånd.
R iksförsäkringsverket
Frågan om finansiell samverkan mellan lokala aktörer är viktig men den
måste lösas på lokal nivå och bör inte se likadan ut i hela landet. RFV är
tveksamma till inrättandet av en storstadsdelegation. Förslaget att staten
skall ta över det finansiella ansvaret för socialbidragen från kommunerna
avstyrks starkt.
Länsstyrelsen i Stockholms län
Länsstyrelsen tillstyrker generellt insatser för att stärka invånarna i de
utsatta bostadsområdena. En långsiktig inriktning föredras framför tradi-
tionella projektsatsningar. Storstadsdelegationen bör endast vara ett po-
licyorgan, och verksamheten bör istället utgå från den etablerade myn-
dighetsstrukturen. Vidare anser länsstyrelsen att en tillväxtbefrämjande
näringspolitik behövs i hela storstadsregionerna. Det bör finnas dubbla
Prop. 1997/98:165
Bilaga
128
incitament för staten och kommunerna att minska socialbidragskostna-
dema. Länsstyrelsen tillstyrker en ökning av antalet högskoleplatser i
Stockholmsregionen. Länsstyrelsen har ett eget långtgående förslag till
förenkling för småföretagare, kallat självanställning, som man anser bor-
de genomföras. Det måste finnas gymnasier med spetskompetens i de
utsatta områdena.
Kommunförbundet
Det är viktigt med åtgärder också för dem som står långt ifrån arbets-
marknaden, vilket i hög utsträckning är liktydigt med invandrare och
flyktingar. Revirtänkandet inom arbetsmarknadsverket är ett problem och
kommunförbundet anser att de lokala arbetsförmedlingsnämnderna bör få
ökad beslutanderätt. Riskkapital för invandrare som vill starta eget bör
vara en prioriterad fråga. Kommunförbundet tillstyrker försök med lär-
lingsutbildning, mentorskap och praktikantplatser för att fa in invandrare
på arbetsmarknaden. En brist med Kunskapslyftet är att det endast riktas
till de som har en arbetsmarknadsanknytning. Förbundet menar att staten
bör ta ett större ansvar för socialbidragen, och att socialtjänsten bör kon-
centrera sig på dem som har en social problematik. Försöksverksamheten
FINS AM bör inte permanentas, men det kan däremot vara bra med andra
former för lokal finansiell samverkan. Kommunförbundet tillstyrker ökad
självförvaltning av bostäder enligt storstadskommitténs förslag.
Landstingsförbundet
Landstingsförbundet anser att det borde ha skett en ordentlig remissbe-
handling av kommitténs förslag. Folkhälsoskillnadema ökar och fördel-
ningen av hälso- och sjukvårdsresurserna är därvidlag en central fråga.
För att positiva folkhälsoeffekter skall nås krävs en bred lokal satsning,
förankrad hos flera aktörer. Landstingsförbundet framhåller vidare sys-
selsättningens stora betydelse för hälsan. Vidare anser förbundet att
forskningsresultat i betydligt högre utsträckning måste omsättas i praktik.
Prop. 1997/98:165
Bilaga
129
Utdrag ur protokoll vid regeringssammanträde den 14 maj 1998
Närvarande: statsministern Persson, ordförande, och statsråden Hjelm-
Wallén, Freivalds, Åsbrink, Schori, Andersson, Winberg, Uusmann, Ulv-
skog, Lindh, Johansson, von Sydow, Åhnberg, Pagrotsky, Östros, Mes-
sing, Engqvist
Föredragande: Östros
Prop. 1997/98:165
Regeringen beslutar proposition Utveckling och rättvisa - en politik för
storstaden på 2000-talet
130