
Prop.
1995/96:207
Regeringen överlämnar denna proposition till riksdagen.
Stockholm den 10 juni 1996
Göran Persson
ErikAsbrink
(Finansdepartementet)
Propositionen innehåller regeringens förslag till riktlinjer för den ekonomis-
ka politiken för att stärka sysselsättningen och minska arbetslösheten. I
propositionen föreslås att riksdagen ställer sig bakom målet att halvera den
öppna arbetslösheten från 8 procent 1994 till 4 procent år 2000 samt att en
process inleds för att stämma av utvecklingen varje halvår. Vidare redovisas
ett antal åtgärder för att öka syselsättningen.
1 Riksdagen 1995/96. 1 saml. Nr 207
Prop. 1995/96:207
1 Förslag till riksdagsbeslut ............................. 3
2 Sammanfattning..................................... 4
2.1 Åtgärder för att öka sysselsättningen .................... 4
2.2 Målet om en halvering av den öppna arbetslösheten........ 5
2.3 Löpande uppföljning................................. 5
3 En strategi för halvering av arbetslösheten................ 6
4 Den ekonomiska utvecklingen ......................... 16
5 Sysselsättning och arbetslöshet......................... 19
6 Sunda statsfinanser och stabila priser.................... 22
7 Skattepolitiken...................................... 24
8 Utbildning och kompetens ............................ 26
9 Arbetsmarknadspolitik ............................... 29
10 Effekterna på de offentliga finanserna ................... 32
11 Fördelningseffekter.................................. 38
Utdrag ur protokoll vid regeringssammanträde
den 10 juni 1996 .......................................... 41
Regeringen föreslår att riksdagen
1. godkänner de allmänna riktlinjerna för den ekonomiska politiken som
regeringen förordat samt
2. godkänner vad regeringen har anfört (2.2) om målet att halvera den
öppna arbetslösheten till 4 procent år 2000
Vidare föreslår regeringen att riksdagen beslutar att förkorta motionstiden
till 8 dagar.
Prop. 1995/96:207
1 * Riksdagen 1995/96. 1 saml. Nr 207
2.1 Åtgärder för att öka sysselsättningen
Den ekonomiska politiken syftar till god tillväxt, full sysselsättning och
stabila priser. Sunda statsfinanser är en nödvändig förutsättning för att ut-
hålligt få ned arbetslösheten. Målet är att halvera den öppna arbetslösheten
från 8 procent 1994 till 4 procent år 2000. För att bidra till uppfyllandet av
detta mål presenterar och konkretiserar regeringen nu ytterligare ett antal
åtgärder som främjar tillväxt och sysselsättning. Samtliga förslag är fullt ut
finansierade. Utgiftstaket ligger fast.
- Den reguljära utbildningen byggs ut med 100.000 platser i vuxenutbild-
ningen för att ge i första hand arbetslösa med låg utbildningsnivå en
chans att förbättra sina kunskaper och därmed sina möjligheter på arbets-
marknaden.
- Högskolan byggs ut med 30.000 platser. Utbyggnaden sker över hela
landet med särskild tyngdpunkt på Malmö, Sundsvall-Hämösand-Öster-
sund, Bergslagen och Sydöstra Sverige. Regeringen preciserar nu fördel-
ningen av de 30.000 platserna. Minst hälften av platserna blir inom
naturvetenskap och teknik.
- Ett program genomförs omfattande 1 miljard kronor för investeringar för
hållbar utveckling och kretsloppsanpassning.
- Ett program genomförs omfattande 1 miljard kronor för småföretags-
utveckling, förnyelse och tillväxt.
- En fond omfattande 1 miljard kronor för Östersjösamarbetet inrättas och
inriktas bl. a. på att stärka näringslivsutvecklingen. Den nordiska
investeringsbanken tillförs ytterligare resurser.
- Arbetsgivaravgifterna reduceras med 5 procentenheter för en lönesumma
motsvarande 600.000 kronor.
- Lättnader genomförs i dubbelbeskattningen med inriktning på små och
medelstora företag.
- Försäljningsskatten på motorfordon avskaffas för att stimulera bilförsälj-
ningen. Förmånsbeskattningen av tjänstebilar sänks och förändras så att
den blir beroende av den privata körsträckan.
- Stämpelskatten reduceras till en tredjedel under perioden 12 juni 1996 till
31 december 1997 för att stimulera fastighetsmarknaden.
- En översyn görs av förutsättningarna för expansion i tjänstesektorn.
Prop. 1995/96:207
- Arbetsförmedlingarna stärks samtidigt som de centrala resurserna redu-
ceras. Kommunerna far en starkare roll. Användningen av de
arbetsmarknadspolitiska medlen blir mer flexibel.
- Ersättningsnivån i a-kassan avses att höjas till 80 procent den 1 januari
1998. Kostnaderna finansieras helt genom regelförändringar inom a-
kassan.
- Arbetslöshetsförsäkringens roll som en omställningsförsäkring stärks. En
bortre parentes i arbetslöshetsförsäkringen införs den 1 januari 1997.
- Tydliga och konkreta individuella handlingsplaner skall upprättas i sam-
arbete mellan arbetsförmedlingen och den arbetssökande.
- Arbetslösa mellan 25 och 55 år ges möjlighet att studera under ett år på
grund- och gymnasieskolenivå med ett särskilt utbildningsbidrag mot-
svarande arbetslöshetsersättningen. Även anställda kan fa del av
utbildningsbidraget under förutsättning att de ersätts med långtidsarbets-
lösa inskrivna vid en arbetsförmedling.
- 40.000 äldre långtidsarbetslösa får sysselsättning i kommunerna,
landstingen och staten med ersättning på a-kassenivå.
2.2 Målet om en halvering av den öppna arbetslösheten
Det behövs en nationell kraftsamling för att framgångsrikt kunna bekämpa
arbetslösheten. Alla måste ta ett gemensamt ansvar. Det är därför av stor
vikt att riksdagen ställer sig bakom målet att halvera den öppna arbetslös-
heten från 8 procent 1994 till 4 procent år 2000. Regeringen föreslår därför
att riksdagen godkänner vad regeringen anfört om målet att halvera den
öppna arbetslösheten till 4 procent år 2000.
2.3 Löp ande uppföljning
Regeringen kommer att följa upp utfallet av den strategi som redovisas i
denna proposition för en halvering av den öppna arbetslösheten. En avstäm-
ning kommer att ske varje halvår, med böljan våren 1997. Därmed inleds en
process som är likvärdig med vad som gäller för det s.k. konvergenspro-
grammet.
Prop. 1995/96:207
Uppgiften
Regeringens viktigaste uppgift är att bekämpa arbetslösheten. Uppdraget är
att halvera den öppna arbetslösheten från 8 procent 1994 till 4 procent år
2000. Arbetslösheten undergräver välfärden genom att såväl samhällsekono-
mi som samhällsmoral försvagas. Arbetslösheten skapar klyftor och påfrest-
ningar både för vuxna och barn. Kampen för full sysselsättning är därför
ytterst en kamp för att hålla samman Sverige.
Regeringen och centerpartiet har sedan våren 1995 samarbetat om den
ekonomiska politiken. Detta samarbete har haft en avgörande betydelse för
den politiska stabiliteten och bidragit till sänkta räntor och stärkt krona.
Detta samarbete fullföljs nu genom en ekonomisk politik för att halvera den
öppna arbetslöshet till år 2000.
Målet att halvera den öppna arbetslösheten är mycket ambitiöst. Under
den djupa lågkonjunkturen i böljan av 1990-talet försvann mer än 500.000
arbetstillfällen. All europeisk erfarenhet pekar på svårigheten att få ned
arbetslösheten när den väl har nått en hög nivå. Uppgiften är svår, men inte
omöjlig. Det är inte nog med att jobb skall skapas för de arbetslösa. Dess-
utom måste jobb skapas för de latent arbetssökande som åter efterfrågar ett
jobb när möjligheten att fa ett jobb ökar. Därtill kommer den normala årliga
ökningen av arbetskraften. Sverige kommer därför att behöva flera år av god
sysselsättningstillväxt för att lyckas i kampen mot arbetslösheten.
har uppnåtts?
Den ekonomiska politiken har varit framgångsrik. Den bild som tecknades i
vårpropositionen (prop. 1995/96:150) visar en i flera avseenden positiv
utveckling de två första åren av mandatperioden:
- BNP ökade med 3,0 procent 1995 och beräknas öka med 1,4 procent
1996.
- Sysselsättningen ökade med 61.000 personer 1995 och beräknas öka med
ytterligare 16.000 personer 1996.
- Den öppna arbetslösheten minskade med 8.000 personer 1995 och be-
räknas minska med ytterligare 20.000 personer 1996.
- Inflationen beräknas falla från 2,6 procent 1995 till 1,9 procent 1996.
Inflationen är nu lägre än den har varit på decennier.
- Bytesbalansen visade ett rekordstort överskott på 35 miljarder kronor
1995 och beräknas ha ett överskott på 31 miljarder kronor 1996.
Sunda statsfinanser och stabila priser är grunden i regeringens strategi för en
halverad arbetslöshet. Saneringen av de offentliga finanserna är en nödvän-
Prop. 1995/96:207
dig förutsättning för att arbetslösheten uthålligt skall kunna bekämpas. Må-
len är att stabilisera statsskulden som andel av BNP 1996, att reducera un-
derskottet i de offentliga finanserna till mindre än 3 procent av BNP 1997
och att nå balans i de offentliga finanserna 1998. Utgiftstaket ligger fast. Att
fullfölja budgetsaneringen är en avgörande förutsättning för att räntorna
skall kunna pressas ned och för att vårt lands ekonomi åter skall kunna stär-
kas. Även i dessa avseenden har den ekonomiska politiken varit framgångs-
rik de första två åren:
- Den offentliga sektorns finansiella underskott minskade från 10,8 procent
av BNP 1994 till 8,1 procent 1995 och beräknas minska till 5,1 procent
1996.
- Räntan på en femårig statsobligation har minskat från ca 11 procent i
april 1995 till ca 7,5 procent i början av juni 1996.
- Riksbanken har sedan årsskiftet sänkt den s.k. reporäntan från ca 8,9
procent till 6,3 procent i början av juni.
- Den svenska kronan har stärkts med över 15 procent mot ecu-index se-
dan april 1995.
Sedan vårpropositionen presenterades i april 1996 finns det tecken på att
den ekonomiska utvecklingen har varit något svagare än enligt prognos-
erna. De offentliga finanserna tycks emellertid ha utvecklats något starkare.
Ett särskilt problem är att sysselsättningen inte har utvecklats fullt så positivt
och att arbetslösheten inte har minskat i den takt som då förväntades. Den
minskning som skett av antalet sysselsatta de senaste månaderna är oroande.
Delvis hänger denna utveckling samman med den fördjupade och utdragna
avmattningen av den internationella konjunkturen, särskilt i EU:s kärnlän-
der.
Ytterligare insatser behövs!
I den ekonomiska vårpropositionen beräknades att den öppna arbetslös-
heten skulle komma att minska med ca 30.000 personer mellan 1994 och
1996. Den skulle därmed komma att uppgå till 7,2 procent i år. Uppdraget är
således att minska den öppna arbetslösheten med ytterligare 3,2 procent-
enheter, vilket motsvarar ca 140.000 personer.
I vårpropositionen beräknades vidare den öppna arbetslösheten sjunka
från 7,2 procent 1996 till 5,7 procent år 2000. Det motsvarar en minskning
av arbetslösheten med drygt 60.000 personer. Dessa beräkningar baserades
på en tillväxt om 2-2,5 procent per år fram till sekelskiftet och inkluderade
effekten av den omfattande utbildningssatsningen. De åtgärder som nu pre-
senteras bedöms minska arbetslösheten de närmaste åren med ytterligare ca
40.000 personer. Samtidigt har utvecklingen hittills i år varit något svagare
när det gäller sysselsättning och arbetslöshet än vad som förutsågs i vårpro-
positionen. Den sammantagna effekten av nya förutsättningar och åtgärder
Prop. 1995/96:207
1** Riksdagen 1995/96. 1 saml. Nr 207
är svårbedömd. Det är emellertid klart att den ekonomiska tillväxten måste
bli högre och att svensk ekonomi måste fungera bättre för att det uppsatta
målet skall kunna nås. Detta kommer att kräva fortsatta insatser och en upp-
slutning från alla parter kring uppgiften.
För att lägga en god grund för en långsiktigt hållbar utveckling och
sysselsättningsökning behövs en helhetssyn i den ekonomiska politiken. En
grundläggande förutsättning är att återupprätta sunda offentliga finanser och
vidmakthålla prisstabilitet. Vidare krävs åtgärder som främjar tillväxten på
lång sikt. Det gäller både åtgärder som stärker individens kompetens och
åtgärder som förbättrar ekonomins funktionssätt. Slutligen behövs i dagens
läge även åtgärder som relativt snabbt stimulerar produktionen.
Ett livslångt lärande
För att möta framtidens utmaningar krävs en höjd kunskaps- och
kompetensnivå. Sveriges främsta konkurrensmedel skall vara en välutbildad,
kvalificerad och välbetald arbetskraft - inte en lågproduktiv och lågbetald
arbetskraft. Det kräver att utbildningen byggs ut och förbättras. Det fordrar
dessutom en förstärkt kompetensutveckling inom arbetslivet samt ett bättre
utnyttjande av befintlig kompetens. Det kräver också att utbildningen sker
under hela det yrkesverksamma livet, och inte enbart i unga år.
Regeringen framhöll i vårpropositionen att utbildningen måste förbättras
och byggas ut. Alla ungdomar skall tillförsäkras en god utbildning som
lägger grunden för ett livslångt lärande. Arbetslösa med låg utbildningsnivå
skall ges chansen att förbättra sina kunskaper och därmed sina möjligheter
på arbetsmarknaden. Den reguljära utbildningen byggs därför ut med
100.000 platser i vuxenutbildningen under fem år samtidigt som ett särskilt
utbildningsbidrag motsvarande arbetslöshetsersättningen införs.
Utbildningssatsningen vänder sig i första hand till arbetslösa med lägre
utbildningsnivå än treårigt gymnasium. Därutöver riktar sig satsningen ock-
så till anställda som helt eller delvis saknar gymnasieutbildning. Regeringen
föreslår dessutom att antalet platser vid universitet och högskolor utökas
med 30.000. Detta sker successivt fram till och med höstterminen 1999.
Denna massiva utbildningssatsning kostar ca 9,6 miljarder kronor per år när
den är fullt utbyggd och finansieras främst genom höjda energiskatter och
besparingar på arbetsmarknadspolitikens område.
Starka företag
För att möta framtidens utmaningar krävs också goda villkor för företag och
företagande. Det är i huvudsak inom den privata sektorn som de nya jobben
måste komma. Skatte- och näringspolitiken skall bidra till goda generella
förutsättningar för företagande i Sverige. Ett starkt omvandlingstryck och ett
gott företags- och företagarklimat stärker Sveriges långsiktiga konkurrens-
kraft. Sverige har sedan länge ett skattesystem som är förmånligt för företa-
gande. Regeringen lägger i denna proposition förslag om lättnader som yt-
terligare förbättrar villkoren.
Prop. 1995/96:207
Arbetsgivaravgiften reduceras från den 1 januari 1997 med fem procent-
enheter för den del av lönesumman i ett företag som understiger 600.000
kronor. Därigenom stimuleras särskilt de mindre företagen. Även egenföre-
tagare omfattas.
En permanent lättnad aviseras i dubbelbeskattningen med inriktning mot
små och medelstora företag. Vidare aviseras ändringar i räntefördelningen
för enskilda näringsidkare för att underlätta generationsskiften. Dessutom
kommer arbetet att intensifieras för att förenkla skattereglerna för enskilda
näringsidkare. För att förenkla skatteuppbörden särskilt för småföretag
kommer ett nytt enklare skatteuppbördssystem - skattekonton - att införas.
En översyn av skatte- och förmånsreglema för utländska experter och andra
nyckelpersoner skall ske. Slutligen har regeringen fattat beslut som innebär
att tullrutinema vid export förenklas.
Bättre förutsättningar försmå- och medelstora företag
För att föra landet ut ur sysselsättningskrisen krävs en omfattande förnyelse
av näringslivet. Förnyelsen måste bygga på investeringar i ny kunskap, på
bättre utnyttjande av kompetens och ny teknologi samt på innovationer.
Regeringen avsätter därför 1 miljard kronor till programmet för
småföretagsutveckling, förnyelse och tillväxt. Programmet, som har en
tydlig småföretagsinriktning, avser att underlätta för Sverige att utveckla
kunskapssamhället, göra det enklare att vara företagare och att påbörja om-
ställningen mot en hållbar utveckling. Programmet innebär bland annat att
en delegation för förenkling för småföretagen inrättas vars uppgift är att
redovisa förslag som kan stimulera till nyetableringar samt möjligheter till
förenklingar av regler för småföretag. Utöver småföretagsprogrammet avser
regeringen att initiera en bred samverkan i länen för en effektiv närings- och
regionalpolitik inriktad mot de mindre företagen.
En väl fungerande konkurrens är nödvändig för att Sverige skall förbli en
nation med en stark ekonomi och en hög levnadsstandard. Ett högt
konkurrenstryck driver på strukturomvandlingen så att resurser flyttas från
låg- till högproduktiv verksamhet. Det motiverar också företagen att succes-
sivt utveckla och förbättra sin produktionsteknik. Genom vårt medlemskap
i EU har förutsättningarna för svenska företag i viss mån förändrats. För att
ytterligare öka konkurrensen i den svenska ekonomin vill regeringen me-
dverka till att ännu fler svenska företag prövas i en internationell och mer
konkurrensutsatt miljö. Det skall ske genom att förbättra möjligheterna för
svenska företag att komma in på nya marknader, inte minst i Östersjöområ-
det, och genom att underlätta för utländska investeringar i Sverige.
Tjänstesektorn fyller en allt viktigare funktion i samhällsekonomin. Sek-
torn är mycket differentierad och där återfinns i dag såväl låg- som höglöne-
yrken. Omsättningen av konsumenttjänster, dvs tjänster riktade mot hus-
hållen och som köps av privatpersoner, har dock avtagit i takt med att löne-
skillnaderna minskat och genom att den offentliga sektorn vuxit, bl. a. genom
utbyggnaden av barn- och äldreomsorgen.
Mot bakgrund av den höga arbetslösheten och att enkla tjänster tidigare
fungerade som en introduktion till arbetsmarknaden finns det skäl att se över
Prop. 1995/96:207
regelsystemet. Regeringen kommer att låta göra en sådan översyn av regler-
na för anlitande av tjänster och analysera vilken roll privatpersoners köp av
tjänster har för samhällsekonomin och föreslå regeländringar som stimulerar
utbud och efterfrågan på tjänster riktade mot hushållen.
En väl fungerande arbetsmarknad
Arbetsmarknadspolitiken har en central roll i den ekonomiska politiken. Den
skall främja tillväxt och sysselsättning genom att öka flexibiliteten på arbets-
marknaden, motverka inflationsdrivande flaskhalsar, stärka arbetskraftens
kompetens och förebygga permanent utslagning av individer från arbetsli-
vet. Den aktiva arbetsmarknadspolitiken har traditionellt vilat på arbetslin-
jen, dvs aktivitet framför passivitet. Under senare år har det blivit alltmer
uppenbart att kompetenshöjning måste vara ett centralt inslag i strategin för
att återföra arbetslösa till reguljärt arbete. Nu tar regeringen steget fullt ut.
Arbetslinjen utvecklas till att bli arbets- och kompetenslinjen.
Arbetsmarknadspolitiken förnyas. De lokala arbetsförmedlingarna stärks
samtidigt som de centrala resurserna reduceras. Kommunerna får en tyd-
ligare roll. Användningen av de arbetsmarknadspolitiska medlen blir mer
flexibel och individinriktad. Konkreta och realistiska individuella handlings-
planer upprättas mellan den arbetssökande och arbetsförmedlingen. Syftet är
att snabbt hjälpa den arbetssökande att återgå till den reguljära arbetsmar-
knaden samtidigt som både den arbetssökandes och arbetsförmedlingens
ansvar förtydligas. Reguljär utbildning skall inte bedrivas inom arbetsmar-
knadspolitiken, med undantag för utbildning av utomnordiska invandrare
som har varit arbetslösa och inskrivna vid arbetsförmedlingen i minst två år
samt i vissa fall arbetshandikappade. Kvinnor som har varit arbetslösa en
längre tid får ett förlängt starta-eget bidrag. Decentralisering och målstyr-
ning ökar samtidigt som uppföljning och utvärdering av politiken stärks.
Arbetslöshetsförsäkringen roll som omställningsförsäkring förstärks. Den
skall bidra till trygghet för arbetstagarna samtidigt som den skall underlätta
den nödvändiga omställningen för den som förlorat sitt arbete. Den måste
därför vara utformad som en inkomstbortfallsförsäkring. Syftet med arbets-
löshetsförsäkringen är att den skall ge trygghet under en relativt kort och
aktiv omställningsperiod. Regeringen konkretiserar därför nu hur länge man
skall kunna varva arbetslöshet med åtgärder utan ordinarie arbete, den s.k.
bortre parentesen.
Regeringen anser att ersättningsnivån i arbetslöshetsförsäkringen bör
höjas till 80 procent den 1 januari 1998. Höjningen kostar 1,5 miljarder
kronor och skall finansieras fullt ut genom regelförändringar inom arbets-
löshetsförsäkringen. I samband med denna proposition föreslås förändringar
i arbetsvillkor och förvärvsbegrepp som beräknas reducera utgifterna med
0,5 miljarder kronor fr.o.m. 1997. Återstående besparingar på 1,0 miljarder
kronor skall genomföras fr.o.m. 1998 och kommer att avse förändringar
inom arbetslöshetsförsäkringen. En tillräcklig finansiering är en begränsning
av uppräkningen av ersättningen på grund av löneavtal till högst två procent
och en samordning av arbetslöshetsersättningen med avgångsvederlag, se-
mesterersättning och föräldrapenning.
Prop. 1995/96:207
10
Lönebildningen måste förbättras. Utgångspunkten måste vara att Sverige,
även vid väsentligt lägre arbetslöshetsnivåer än den nuvarande, skall ha en
lönekostnadsutveckling på låg europeisk nivå. En likartad syn på löneut-
vecklingen har uttryckts av den s.k. Edingruppen, inom vilken enighet råder
om att löneökningarna i Sverige inte bör vara högre än i övriga länder i
OECD-Europa. Lönebildningen måste utformas så att de arbetslösas intres-
sen tas tillvara i större utsträckning än i dag.
För att ta Sverige ut ur massarbetslösheten behövs ett nytt kontrakt för
samverkan på lönebildningens område. I samband med vårpropositionen
inbjöd regeringen arbetsmarknadens parter till att inför regeringen redovisa
sin syn på hur den framtida lönebildningen i Sverige skall utformas. Löne-
bildningen måste i första hand vara en fråga för arbetsmarknadens parter.
Samtidigt har staten ansvar för olika regelverk som formar förutsättningarna
för lönebildningen. Vid de diskussioner som påbörjades den 28 maj överen-
skoms att arbetsmarknadens parter senast den 10 juni 1996 skall redovisa
sin syn på lönebildningen och möjligheterna att gemensamt formulera nöd-
vändiga förändringar av förhandlings- och lönebildningssystem. Regering-
ens fortsatta agerande är beroende av de svar parterna lämnar.
Arbetsrätten behöver förändras. Den är en viktig fråga för både löntagare
och arbetsgivare. Arbetsrätten måste ha en ändamålsenlig utformning och
spegla en rimlig avvägning mellan löntagarnas behov av skydd mot god-
tyckliga och diskriminerande beslut och företagens behov av att kontinuer-
ligt kunna anpassa sin organisation och sin arbetsstyrka till förändrade förut-
sättningar och behov. Den skall också vara utformad så att den inte försvårar
för företag att nystarta och expandera. 1995 års arbetsrättskommission
nådde inte fram till en överenskommelse om en reformering av arbetsrätten.
Diskussionerna mellan arbetsmarknadens parter fortsätter nu med stöd av
medlare. Parterna skall senast den 23 augusti 1996 redovisa för regeringen
hur de anser att arbetsrätten bör förändras.
Åtgärder för att snabbt stimulera produktionen
Avmattningen i den svenska ekonomin förstärker behovet av åtgärder som
snabbt stimulerar ekonomisk aktivitet. Regeringen aviserar därför att för-
månsvärdet på tjänstebilar sänks den 1 januari 1997 samtidigt som förmåns-
havarens kostnad blir beroende av den privata körsträckan. Förslaget finan-
sieras genom en justering av hur skiktgränsen för statlig inkomstskatt räknas
upp. Dessutom avskaffas försäljningsskatten för motorfordon, vilket finan-
sieras av en höjning av fordonsskatten. På detta sätt stimuleras förnyelsen av
bilparken, vilket är önskvärt både för aktiviteten i ekonomin och för att för-
bättra miljön.
Stämpelskatten på fastigheter sätts tillfälligt ned till en tredjedel under
tiden 12 juni 1996 - 31 december 1997. Därmed minskar transaktionskost-
naden för fastigheter, vilket tillsammans med den sänkta räntenivån bör
stimulera fastighetsmarknaden. Vidare kommer behandlingen av bygg- och
planärenden inom regeringskansliet att ytterligare påskyndas för att få igång
fler byggnadsprojekt.
Prop. 1995/96:207
11
Regional och kommunal utveckling
Prop. 1995/96:207
Den regionala utvecklingen blir allt viktigare. Tillväxten måste komma hela
landet till del. Vaije region bär på sin egen tillväxtkraft, och den måste tas
till vara för att den sammanlagda utvecklingen skall bli så positiv som möj-
ligt. Det behövs ett aktivt statligt stöd till regional utveckling, framför allt i
form av en fortsatt utbyggnad av de mindre och medelstora högskolorna.
Samtidigt måste olika aktörer på både lokal och regional nivå själva aktivt
bidra till att skapa starka och dynamiska tillväxtprocesser i sin region. Rege-
ringen avser att initiera en bred samverkan i länen för att åstadkomma en
effektiv tillväxtinriktad närings- och regionalpolitik. Syftet är att mobilisera
ett stort antal aktörer i länen för att åstadkomma en regional och lokal kraft-
samling för profilering och tillväxt.
Kommuner och landsting måste också medverka till att målet om en hal-
verad arbetslöshet skall kunna uppnås. I enlighet med en tidigare träffad
överenskommelse har Kommun- och Landstingsförbunden bl. a. utfäst sig att
verka för att kommuner och landsting inte höjer skatten under 1997 och
1998 samt att de i möjligaste mån undviker att säga upp fast anställd per-
sonal så att denna inte hamnar i öppen arbetslöshet. Regeringen åtar sig bl. a.
att hålla statsbidragen på en nominellt oförändrad nivå och senarelägger
införandet av ett lagstadgat balanskrav för kommunerna till 1999 och för
landstingen till år 2000.
Äldre långtidsarbetslösa kommer att fa en möjlighet att med bibehållen
ersättningsnivå sysselsättas i kommunerna, landstingen och staten under
1997 och 1998. Det finns stora behov av kompletterande insatser inom vård,
omsorg och andra områden som kan tillfredsställas på detta sätt. Målet är att
detta program skall omfatta ca 40.000 äldre långtidsarbetslösa. Vidare kom-
mer kommunernas roll i arbetsmarknadspolitiken att öka ytterligare.
En hållbar utveckling
Miljöpolitiken har en övergripande roll i strategin för hög tillväxt och ökad
sysselsättning. Tillväxten stimuleras genom att vi ställer just de krav på
omställning av det svenska samhället som behövs för att tillväxten skall ske
på ett ekologiskt hållbart sätt. En tillväxt som bygger på rovdrift av naturen
är ingen långsiktigt hållbar tillväxt. Sverige skall därför ligga i frontlinjen
när det gäller att utveckla och använda ny miljöteknik. Kretsloppssamhället
ger nya jobb och nya företag. Sverige skall sträva efter att vara ett före-
gångsland där tillväxt och ekologi går hand i hand. Visionen är att skapa det
ekologiskt hållbara samhället.
Ett program om 1 miljard kronor för fem år för miljöinvesteringar
genomförs för att stimulera kretsloppsanpassning av VA- och avfallssystem,
bostadsområden och byggande. I övrigt föreslås insatser för att stärka miljö-
profilen inom arbetsmarknadspolitiken, näringsspolitiken m.m. En avfalls-
skatt skall införas 1998.
De internationella finansieringsinstitutionerna gör betydande insatser på
miljöområdet. Det gäller särskilt inom åtgärdprogrammet för att återställa
Östersjöns ekologiska balans. Genom vårt medlemskap i EU blev Sverige
12
delägare i Europeisk investeringsbanken, EIB. Av bankens totala utlåning
gick förra året drygt 30 miljarder kronor till olika miljöförbättrande åtgärder.
I Sverige har EIB sedan medlemskapet undertecknat lån till miljöprojekt om
drygt 500 miljoner kronor. För Nordiska investeringsbanken, NIB, spelar
miljöprojekten också en viktig roll. Av NIB:s nordiska lån under 1995 avsåg
nästan en tredjedel, ca 2,4 miljarder kronor, projekt med anknytning till
miljöinvesteringar. Som ett led i de gemensamma nordiska ansträngningarna
på miljöområdet finns dessutom ett förslag om att inrätta en miljölånefacili-
tet i NIB. Förslaget innebär en låneram om ca 830 miljoner kronor som
skulle utnyttjas för miljöinvesteringar av nordiskt intresse i närområdet.
Förutom gynnsamma miljöeffekter skulle förslaget ge svenska företag ökade
möjligheter att delta i denna typ av projekt. Kostnaden för Sveriges medver-
kan utgörs av erforderliga avsättningar för det svenska garantiåtagandet
under lånefaciliteten. Dessa avsättningar skall finansieras inom ramen för
östbiståndet. Regeringen verkar aktivt i den nordiska kretsen för att detta
förslag skall förverkligas.
Ett nytt energisystem skall utvecklas. Regeringen har påbörjat överlägg-
ningar med samtliga riksdagspartier om energipolitiken. Regeringen efter-
strävar en bred parlamentarisk majoritet kring frågan om omställningen av
energisystemet.
Internationell samverkan
Kampen mot arbetslösheten måste också bedrivas på en europeisk nivå.
Toppmötet i Madrid mellan EU:s stats- och regeringschefer upprepade att
sysselsättningen är den viktigaste frågan för EU och dess medlemsstater.
Samordningen mellan medlemsländerna behöver stärkas. Åtgärder som
visat sig framgångsrika i ett land skall med fördel kunna prövas i andra län-
der. Regeringen har i detta sammanhang föreslagit en revidering av EU:s
fördrag genom att ett särskilt sysselsättningskapitel införs.
Utvecklingen i Östersjöområdet kommer att ha en särskild betydelse för
vår egen tillväxt och ekonomiska utveckling under lång tid framöver. En
ökad ekonomisk integration inom regionen kan leda till en stark och dyna-
misk utveckling i länderna kring Östersjön och skapa en attraktiv miljö för
produktion och annan näringsverksamhet. Toppmötet i Visby syftade till att
vitalisera Östersjöregionen och öka utbytet mellan länderna kring regionen.
Statsministern har för riksdagen redovisat hur regeringen avser att driva
de svenska engagemanget i Östersjösamarbetet vidare. Fem områden utpe-
kades som särskilt viktiga: exportindustrin inkl, livsmedelsområdet, energi-,
utbildnings- och miljöområdena samt betalningssystemen. Olika energi-
system behöver knytas samman. Fler svenskar behöver lära sig de språk
som talas på andra sidan Östersjön samtidigt som Sverige måste kunna er-
bjuda fler av våra grannländers ungdomar att ta del av utbudet på svenska
universitet och högskolor. Stora steg har redan tagits för att rädda miljön i
och kring Östersjön, men ytterligare initiativ måste tas. De unga demokrati-
ernas infrastruktur måste stärkas, annars kan förutsättningarna för ett levan-
de näringsliv radikalt försämras. Därigenom kan tillväxten stärkas och ar-
betslösheten minska. För att lyfta fram Östersjöregionens betydelse för till-
Prop. 1995/96:207
13
växt och sysselsättning i Sverige inrättas en fond som tillförs 1 miljard kro-
nor. Regeringen har för avsikt att besluta om vissa ändringar i nuvarande
regler när det gäller den garantiram, för export till och investeringar i främst
Baltikum och Ryssland, som EKN administrerar.
Prop. 1995/96:207
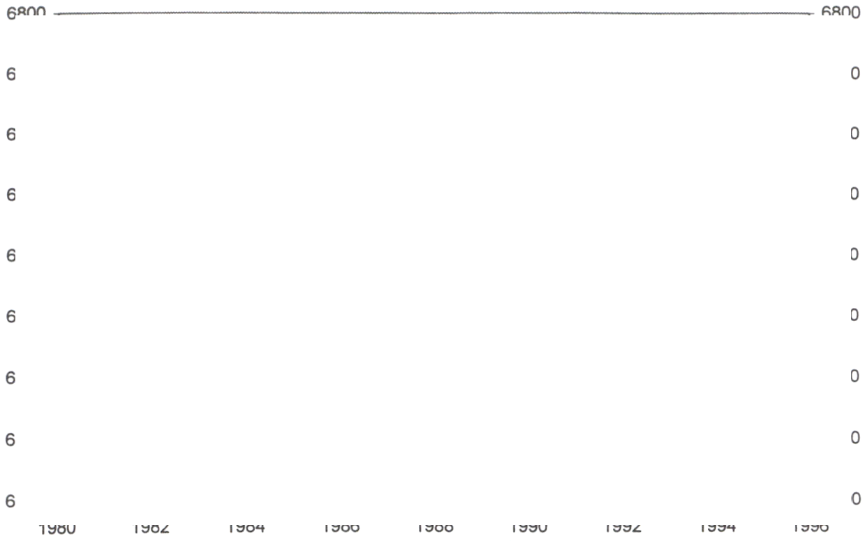
Löpande uppföljning
I vårpropositionen redovisades kalkyler för den ekonomiska utvecklingen i
vilka den öppna arbetslösheten reducerades till 5,7 procent år 2000.1 dessa
beräkningar ingick effekterna av den omfattande utbildningsatsningen. De
innebar att det återstod ett gap på 1,7 procentenheter, ca 70.000 personer,
som måste slutas för att nå målet om en halvering av den öppna arbets-
lösheten till 4 procent år 2000. I vårpropositionen redovisades även ett s.k.
tillväxtaltemativ, i vilket den öppna arbetslösheten skulle komma att falla till
4 procent vid sekelskiftet. De båda alternativen illustreras i diagram 3.1.
Diagram 3.1 Öppen arbetslöshet enligt vårpropositionen
Procent
I denna proposition redovisas ett antal åtgärder för att ytterligare stärka
tillväxten och minska arbetslösheten. De förslag som regeringen nu redovi-
sar beräknas minska den öppna arbetslösheten med ytterligare ca 40.000
personer de närmaste åren. I första hand är det ett resultat av den åtgärd som
handlar om att sysselsätta äldre långtidsarbetslösa i kommunerna, lands-
tingen och staten. Samtidigt har dock utveckling av sysselsättning och
arbetslöshet i böljan av 1996 varit något sämre än vad som tidigare antagits.
Den sammantagna effekten av en något svagare ekonomi och de nya åtgär-
derna är svår att bedöma.
Vidare presenteras ett antal åtgärder i syfte att förbättra ekonomins funk-
tionssätt. Det kommer att krävas en väl fungerande ekonomi samt även i
14
övrigt gynnsamma förutsättningar för att nå målet om en halvering av den
öppna arbetslösheten. De kalkyler som redovisades i vårpropositionen tydde
på att BNP-tillväxten fram till sekelskiftet skulle behöva vara i storleksord-
ningen 3 procent per år för att sysselsättningen skall öka i den omfattning
som krävs för att nå målet. Särskilt måste lönebildningen fungera väl så att
en sådan tillväxt kan komma till stånd utan att inflationen tilltar.
En annan viktig förutsättning är ökat förtroende för den ekonomiska
politiken och den ekonomiska utvecklingen så att efterfrågan och investe-
ringar stärks. Företagen måste få en starkare tilltro till den svenska ekono-
min och till spelreglerna på arbetsmarknaden så att de i än större utsträck-
ning investerar och ökar sysselsättningen. Medborgarnas tilltro till olika
försäkringssystem måste stärkas. Tydliga och stabila regler måste gälla vid
sjukdom, arbetslöshet och pension. Trygga individer förmår att ta de initiativ
som driver utvecklingen framåt.
Samtidigt finns en betydande osäkerhet om den ekonomiska utveck-
lingen. Den internationella konjunkturen är för närvarande inne i en avmatt-
ningsfas. Det kan inte uteslutas att den blir både djupare och mer långvarig
än förutsett. Vidare finns en osäkerhet om den svenska ekonomins förmåga
att skapa nya jobb i den utsträckning som krävs. Det krävs en nationell sam-
ling kring uppgiften att halvera den öppna arbetslösheten till sekelskiftet.
Inte minst måste arbetsmarknadens parter medverka till att de pågående
diskussionerna om såväl lönebildningen som arbetsrätten leder till överen-
skommelser som stärker den svenska ekonomin.
Regeringen kommer att regelbundet följa upp utvecklingen på arbets-
marknaden. En avstämning i förhållande till målet om en halverad arbets-
löshet år 2000 kommer att redovisas för riksdagen vaije halvår i anslutning
till vårpropositionen och budgetpropositionen. Detta kommer att ske med
böljan våren 1997. Därmed inleds en procedur av samma slag som den som
gäller för konvergensprogrammet. Vid avstämningstillfällena kommer ytter-
ligare åtgärder att kunna vidtas, om utvecklingen på ett ofördelaktigt sätt
skulle komma att avvika från den avsedda. Avstämningama kommer att
knytas ihop med uppföljningen av den politik för arbete, trygghet och ut-
veckling som redovisades i den s.k. tillväxtpropositionen och med det flerå-
riga sysselsättningsprogram, som Sverige liksom övriga EU-länder skall
redovisa varje år. Därmed ges i Sverige sysselsättning och arbetslöshet en
lika ambitiös hantering som EU:s konvergenskrav.
Genom en sådan procedur stärks förutsättningarna för att målet om en
halvering av den öppna arbetslösheten till sekelskiftet skall kunna förverk-
ligas.
Prop. 1995/96:207
1*** Riksdagen 1995/96. 1 saml. Nr 207
15
Den internationella utvecklingen
Tillväxten i OECD-området väntas bli något svagare i år än förra året. Rege-
ringens bedömning är att den nuvarande avmattningen är tillfällig. Det finns
dock tecken som pekar mot att vändningen i ekonomin kan komma något
senare än vad som tidigare förutsågs. Den svenska sysselsättningen och
tillväxten är därför mycket beroende av den internationella ekonomiska
utvecklingen. Det kan således inte uteslutas att avmattningen blir djupare
och mer långvarig än förväntat. Sverige är ett litet och handelsberoende
land. En djup konjunkturnedgång i övriga Europa, USA eller Asien skulle
allvarligt försvåra möjligheten att halvera arbetslösheten.
Det är framför allt i Europa som tillväxten är svagare än väntat. Både
OECD och EU- kommissionen har gjort nedrevideringar avseende BNP-
tillväxten så att de nu ligger närmare den bedömning som den svenska rege-
ringen gjorde i vårpropositionen. OECD beräknar tillväxten för OECD-
Europatill 1,6 procent 1996 och 2,7 procent 1997. Kommissionens prognos
för EU-ländema är 1,5 procent 1996 och 2,4 procent 1997. Motsvarande
bedömning i vårpropositionen var 1,7 procent 1996 och 2,5 procent 1997.
De flesta konjunkturbedömare räknar med att avmattningen i Europa är
mild och tillfällig och att tillväxten tar fart igen nästa år. I Tyskland pekar ett
flertal signaler i den riktningen. Både Storbritannien och Frankrike hade
förhållandevis god tillväxt första kvartalet 1996. En bidragande orsak till att
tillväxten kan förväntas ta fart igen är att räntorna har fallit. Dessutom är
inflationstakten i de flesta EU-länder mycket låg vilket innebär goda förut-
sättningar för ännu lägre räntor.
I Förenta Staterna har tillväxten däremot åter böijat ta fart. Privat kon-
sumtion och investeringar utvecklades starkt under första kvartalet 1996.
Arbetslösheten fortsätter att sjunka trots att sysselsättningen inte ökar nämn-
värt Vidare har de central- och sydamerikanska ekonomierna återhämtat sig
efter de problem som uppstod i samband med Mexikokrisen januari 1995
och tillväxten förväntas bli god.
Även i Japan har tillväxten tagit fart. Efter flera år av stagnation har den
japanska ekonomin påbörjat en återhämtning. Mycket låga räntor i kombi-
nation med finanspolitisk stimulans har bidragit till denna utveckling. By-
tesbalansunderskottet fortsätter att minska. Tillväxten i de övriga asiatiska
ekonomierna fortsätter att vara mycket god. I Kina bedöms tillväxttakten
fortfarande ligga runt 10 procent.
Flertalet östuropeiska länder är nu inne i en återhämtningsfas efter den
djupa krisen i samband med planekonomins sönderfall. Det forna östblocket
beräknas 1996 för första gången sedan 1989 sammantaget ha en positiv
tillväxt. Potentialen för fortsatta produktionsökningar är mycket stor, inte
minst mot bakgrund av det kraftiga fallet i produktionsnivån under senare år.
I hela regionen finns dock en osäkerhet om i vilken takt marknadsanpass-
ningen kommer att fortsätta. De baltiska länderna, förutom Litauen, upp-
visar en fortsatt hög tillväxt på 4-5 procent. Rysslands tillväxt blev negativ
Prop. 1995/96:207
16
förra året, men förväntas stiga till mellan 2 och 4 procent under det inne-
varande året.
Den svenska ekonomin
I vårpropositionen bedömdes tillväxten till 1,4 procent 1996 och 2,0 procent
1997. Det finns tecken som tyder på att den svenska ekonomin utvecklas
något svagare. Läget är emellertid svårbedömt och statistiken inte entydig.
Utrikeshandeln utvecklades något svagare än förväntat första kvartalet
1996, vilket sannolikt var en effekt av den svagare tillväxten i Europa. Ex-
porten var dock stark i april trots den senaste tidens förstärkning av den
svenska kronan, vilket tyder på att svenska företag fortfarande håller sina
marknadsandelar. Handelsbalansen för april visar att exporten ökat med 5
procent sedan årets början vilket är mer än helårsprognosen i vårpropositio-
nen. Ett enskilt månadsvärde måste dock tolkas med stor försiktighet.
Utfallsstatistiken tyder vidare på att även privat konsumtion har utveck-
lats något svagare än förväntat. Omsättningen i detaljhandeln låg enligt SCB
under det första kvartalet 1,3 procent lägre än under motsvarande period
förra året. Nybilsregistreringen har också blivit något sämre än förväntat.
Avvikelsen är dock tämligen liten, men det kan vara en signal om att hus-
hållen är mindre köpbenägna än vad som tidigare antagits. I SCB:s senaste
undersökning av inköpsplaner finns inte heller några tecken som tyder på att
hushållen skulle vara på väg att öka konsumtionstakten.
När det gäller bruttoinvesteringar har mycket lite information tillkommit
sedan vårpropositionen. Nybyggnationen av bostäder blev något lägre än
förväntat under det första kvartalet. Detta kompenseras dock av ett betydligt
högre antal påbörjade ombyggnationer än vad som tidigare beräknats.
Bostadsinvesteringama har därmed vänt uppåt. Enligt den senaste konjunk-
turbarometem fortsätter också industrins produktionsutbyggnad i relativt
stor omfattning. Mot bakgrund av denna information samt den fortsatta
räntenedgången är det sannolikt att investeringsutvecklingen blir fortsatt
positiv.
Det finns även andra tecken som tyder på att tillväxten håller på att åter-
hämta sig. Industrins förväntningar om orderingång är starka. Den fortsatt
goda utvecklingen för statens finanser ökar framtidstron och förbättrar möj-
ligheterna till lägre räntor.
De förbättrade utsikterna för prisstabilitet och de minskade inflationsför-
väntningarna möjliggjorde för Riksbanken att i början av 1996 inleda en
sänkning av styrräntorna - hittills i år har reporäntan sänkts med ca 2,6 pro-
centenheter. Räntorna på femåriga statsobligationer har sedan årsskiftet gått
ned med ca 0,6 procentenheter och motsvarande räntemarginal mot de tyska
räntorna har minskat med ca 1,0 procentenheter. I vårpropositionen beräk-
nades räntan på en svensk femårig obligation i slutet av 1996 ha fallit till 7,5
procent. Genom den senaste tidens räntenedgång har sannolikheten ökat att
denna nivå kommer att underskridas. Den svenska kronan har också stärkts
något mer än vad som tidigare har antagits.
En lägre tillväxt påverkar de offentliga finanserna i negativ riktning. Sam-
tidigt har under senare tid framkommit uppgifter som talar för att de offent-
Prop. 1995/96:207
17
liga finanserna utvecklas bättre än tidigare förutsett. Skatteintäkterna ökar
snabbare än väntat. Detta har bland annat medfört att Riksgäldskontoret har
reviderat ned sin prognos för statens lånebehov 1996 med ca 15 miljarder
kronor till 50-60 miljarder kronor mot bakgrund av att skatteinkomsterna
under perioden januari - april 1996 blev ca 10 miljarder kronor högre än
vad Riksgäldskontoret tidigare hade beräknat.
Sammantaget kvarstår därför bedömningen att de offentliga finansiella
sparandet kommer att understiga 3 procent av BNP 1997 utan att ytterligare
budgetförstärkande åtgärder behöver vidtas. Även målet om att nå balans i
de offentliga finanserna 1998 bedöms kunna uppfyllas.
Prop. 1995/96:207
18
Prop. 1995/96:207
Under de första åren på 1990-talet försvann drygt en halv miljon arbetstill-
fällen i Sverige. Av dessa var ca 410.000 i privat sektor och ca 120.000 i
offentlig sektor. Nedgångens djup var resultatet av en rad samverkande
faktorer. En kraftig uppgång av realräntan och en dramatisk omsvängning i
hushållens sparande medförde ett kraftigt fall i den inhemska efterfrågan.
Samtidigt utvecklades svensk export under början av 1990-talet mycket
dåligt eftersom överhettningen i den svenska ekonomin mot slutet av 1980-
talet hade urholkat industrins konkurrenskraft.
Diagram 5.1 Totalt antal sysselsatta och arbetskraftutbud
Antal personer, tusental
Den svenska kronans fall i november 1992 medförde att den svenska kon-
kurrenskraften förstärktes kraftigt. Under sommaren 1993 började de första
tecknen på återhämtning att skönjas; export och industriproduktionen ökade
något. År 1994 gick svensk exportindustri mycket bra. Hemmamarknaden
stod däremot still beroende på den höga räntenivån, osäkerheten om de
offentliga finanserna och hushållens svaga inkomstutveckling. Framgångar-
na för svensk exportindustri fortsatte under 1995 efterhand som den svenska
valutan förstärktes kraftigt i samband med att den förda ekonomiska politi-
ken gav resultat och förtroendet för Sverige återvände.
Mellan 1994 och 1996 beräknas sysselsättningen i den privata sektorn
öka med ca 97.000 personer. Samtidigt beräknas sysselsättningen minska
med ca 20.000 personer i offentlig verksamhet. Totalt innebär det att syssel-
sättningen ökar med ca 77.000 personer. Under första delen av 1996 har
dock sysselsättningen fallit beroende på avmattningen i konjunkturen.
Hälften av nedgången i antalet arbetade timmar mellan 1990 och 1993
har återtagits 1996. Under samma period har endast en knapp tiondel av
sysselsättningsbortfallet återtagits. Förklaringen är bl. a. att övertidsuttaget
har ökat samtidigt som sjukfrånvaron har minskat.
19
Prop. 1995/96:207
Miljoner timmar
Diagram 5.2 Antalet arbetade timmar i svensk ekonomi
Motsvarande skillnad finns mellan sysselsättnings- och arbetslöshetsutveck-
lingen. Trots att sysselsättningen beräknas öka med ca 2 procent mellan
1994 och 1996 beräknas arbetslösheten endast gå ned med 0,8 procenten-
heter. Skillnaden förklaras av att arbetskraftsdeltagandet ökar. Många som
tidigare inte tyckte det var lönt att söka jobb ingår nu i arbetskraften. Detta
beror i stor utsträckning på att möjligheten att få ett jobb har ökat. Många
som har varit i utbildning - trots att de hellre velat ha ett reguljärt arbete -
finns nu på arbetsmarknaden. Sammantaget beräknas arbetskraften därför
öka med 50.000 personer mellan 1994 och 1996.
Sedan mitten av 1995 har antalet nyanmälda platser understigit antalet
platser som registrerats året tidigare. Antalet lediga nyanmälda platser upp-
gick till 26.000 i april 1996, vilket var 5.000 färre jämfört med samma
period året innan. Det är i stor utsträckning inom tillverkningsindustrin som
fallet har ägt rum.
Det är främst de tillfälliga jobben som har varit känsliga för förändringar
i arbetskraftsefterffågan. När sysselsättningsökningen tog fart under 1994
var det främst de tillfälliga jobben som ökade och med en viss fördröjning
steg även de fasta jobben allt eftersom uppgången stabiliserades. Den syssel-
sättningsminskning som i dag äger rum motsvaras i hög grad av en min-
skning av antalet tillfälliga jobb.
Till skillnad från vid tidigare lågkonjunkturer var det i högre grad män än
kvinnor som drabbades av arbetslösheten i början av 1990-talet. Detta be-
rodde framför allt på att sysselsättningen minskade kraftigast i tillverknings-
industrin och byggsektorn. Sedan den ekonomiska utvecklingen började
vända har arbetslösheten dock minskat kraftigare bland män än bland kvin-
nor. Orsaken är att män traditionellt arbetar i exportindustrin medan kvinnor
arbetar i hemmamarknadsinriktade företag och i den offentliga sektorn.
Andelen arbetslösa män är fortfarande större än andelen arbetslösa kvinnor,
men om utvecklingen fortsätter i samma takt som i dag, kommer andelen
20
arbetslösa kvinnor att mot slutet av 1996 bli större än andelen arbetslösa
män. I maj 1996 var arbetslösheten bland män 7,7 procent och bland kvin-
nor 6,5 procent.
Det försvagade arbetsmarknadsläget har medfört att andelen långtids-
arbetslösa har ökat till 43 procent av totalt antal arbetslösa vilket motsvarar
134 000 personer. Det är en något högre andel än för ett år sedan. Andelen
är i stort sett densamma bland kvinnor och män.
Prop. 1995/96:207
21
Prop. 1995/96:207
Regeringen är fast besluten att fullfölja saneringen av de offentliga finanser-
na. Det är en avgörande förutsättning för att räntorna skall kunna pressas ner
och för att vårt lands ekonomi och sysselsättninga åter skall stärkas. Målen
är att stabilisera statsskulden som andel av BNP 1996, att begränsa under-
skottet i de offentliga finanserna till mindre än 3 procent av BNP 1997 och
att Sverige skall ha de offentliga finanserna i balans 1998. Utgiftstaket ligger
fast.
I vårpropositionen presenterade regeringen kalkyler för de offentliga
finanserna som visade att underskottet i det finansiella sparandet skulle upp-
gå till 3,3 procent 1997 och 0,8 procent 1998 vid frånvaro av beslut om
ytterligare budgetförstärkningar. Regeringen föreslog därför åtgärder för att
förbättra de offentliga finanserna med 10 miljarder kronor avseende år 1997
och 12 miljarder kronor avseende år 1998. Av dessa budgetförstärkningar
utgjorde 6 miljarder kronor permanenta besparingar och 2 miljarder kronor
permanenta skatte- och avgiftshöjningar som således förbättrar de offentliga
finanserna även 1999 och framåt. Saneringsprogrammet utvidgades därmed
från 118 miljarder kronor till 126 miljarder kronor, eller till ca 8 procent av
BNP. De budgetpolitiska målen beräknades komma att uppfyllas med de
nya åtgärderna. Den förbättring av de offentliga finanserna som skall upp-
nås, från ett underskott på 12,3 procent av BNP 1993 till balans 1998, sak-
nar motstycke bland OECD-ländema.
Bördorna av saneringspolitiken har en rimlig fördelningspolitik. Genom
en kombination av utgiftsneddragningar och skatte- och avgiftshöjningar
uppnås en god fördelningspolitisk profil. Saneringsprogrammet består till
ungefär hälften av utgiftsminskningar och till hälften av skatte- och avgifts-
höjningar. Resultatet är att den femtedel av hushållen som har den högsta
standarden bidrar med 37 procent av budgetförstärkningen, medan den fem-
tedel som har den lägsta standarden bidrar med 15 procent.
Regeringen har i proposition “Lag om statsbudgeten” (prop. 1995/96:20)
lagt förslag om förändringar till regeringsformens och riksdagsordningens
bestämmelser om statsbudgeten och finansmakten. Syftet är att fa en bättre
kontroll över budgetutvecklingen. Resultatet är att Sveriges budgetprocess
skärps betydligt. Institutionella reformer av budgetprocessen är väsentliga
för att åstadkomma en varaktig förbättring av de offentliga finanserna. Nu-
mera är Sverige ett av de länder som har den stramaste budgetprocessen.
Detta minskar riskerna för att Sverige åter skall hamna i samma budgetmo-
ras som under böljan av 1990-talet.
Penning- och valutapolitik
Penningpolitiken har som övergripande uppgift att värna penningvärdet.
Prisstabilitet stärker möjligheterna till en god ekonomisk utveckling och gör
ett land mindre sårbart vid oro på de internationella kapitalmarknaderna.
Riksbanken ansvarar för penningpolitiken och riksbanksfullmäktige har
definierat målet prisstabilitet som att ökningen i konsumentpriserna skall
begränsas till 2 procent med en tolerans om 1 procentenhet uppåt och nedåt.
22
Riksbankens mål ligger väl i linje med vad som gäller i de flesta andra EU-
länder. Regeringen stöder denna inriktning av penningpolitiken.
Det ökade förtroendet för den ekonomiska politiken har lett till att obliga-
tionsräntorna har fallit och kronan har förstärkts. Under det senaste året har
räntan på 5-åriga statsobligationer sjunkit med över 3 procentenheter och
kronan stärkts med ca 15 procent. Vidare har inflationstakten avtagit och
inflationsutsiktema för de närmaste åren ligger i linje med Riksbankens mål.
Det har därmed blivit möjligt för Riksbanken att under de senaste måna-
derna sänka de korta räntorna. Reporäntan har sänkts med ca 2,6 procent-
enheter sedan årsskiftet 1995/96.
Sveriges medlemskap i EU har förändrat förutsättningarna för penning-
och valutapolitiken. Sverige har nu möjligheter att delta i det europeiska
valutasamarbetet och i den europeiska växelkursmekanismen (ERM). Sveri-
ge skall senare ta ställning till deltagande i den monetära unionens tredje
etapp (EMU). En stabilitet i växelkursutvecklingen är önskvärd och måste
för att vara robust underbyggas med låg inflation och god balans i de offent-
liga finanserna. Det är inte aktuellt att knyta kronan till ERM. Ett beslut om
deltagande i EMU torde komma att behöva fattas av riksdagen hösten 1997.
Prop. 1995/96:207
23
Prop. 1995/96:207
Ökningen av sysselsättningen måste i huvudsak ske i det privata närings-
livet. För att uppnå detta behövs ett gott tillväxtklimat. Det handlar om att
upprätthålla goda villkor för företag och företagande. Här spelar skattesyste-
mets utformning en viktig roll. För att stimulera utvecklingen i ekonomin
föreslår regeringen ett antal förändringar på skatteområdet.
Stämpelskatten på fastigheter sätts tillfälligt ned till en tredjedel under
tiden 12 juni 1996 - 31 december 1997. Därmed minskar transaktionskost-
naden för fastighetsöverlåtelser, vilket tillsammans med den låga räntenivån
väntas stimulera fastighetsmarknaden. Även AP-fonden skall i fortsättning-
en betala stämpelskatt på samma villkor som andra skattskyldiga.
Försäljningsskatten för motorfordon avskaffas vilket finansieras genom
en höjning av fordonsskatten. För fordon i miljöklass 3 kvarstår dock en del
av försäljningsskatten. På detta sätt stimuleras förnyelsen av bilparken vilket
är önskvärt både för aktiviteten i ekonomin och för att förbättra miljön.
Regeringen avser att i höst lägga en proposition om nya regler för för-
månsbeskattning av tjänstebilar. Avsikten är att förmånsbeskattningen dels
skall bygga på en korrekt värdering av förmånen med hänsyn till bl. a. ränte-
läget och dels inte längre uppmuntra till överdriven privat köming. Rege-
ringen vill redan nu klargöra att förslaget kommer att bygga på ett alternativ
som innebär att den nuvarande överbeskattningen av förmånsbilar i stort sett
försvinner. Detta finansieras genom en lägre uppjustering av skiktgränsen
för statlig inkomstskatt.
För att stimulera särskilt de mindre företagen reduceras från den 1 januari
1997 arbetsgivaravgiften med fem procentenheter för den del av lönesum-
man som understiger 600.000 kronor. Även egenföretagare omfattas.
Sverige har sedan länge ett skattesystem som är förmånligt för företag-
ande. Regeringen har tidigare deklarerat att skatteuttaget för företagen skall
återställas till den nivå som etablerades i samband med skattereformen
1990-91. Detta preciserades till en skattesänkning för företagen på 2 mil-
jarder kronor. Därefter har bl. a. ett tillfälligt riskkapitalavdrag och en av-
dragsrätt för underskott i nystartad näringsverksamhet införts.
1992 års företagsskatteutredning fick i uppdrag att finna formen för en
mer permanent lättnad för företagen. Avsikten är att förbättra de skattemäs-
siga villkoren för nyinvesteringar och kapitalförsörjning. Den modell för en
generell lättnad på företagsnivå som tidigare har diskuterats har dock visat
sig vara olämplig av flera skäl.
En generell lättnad på ägamivån är av mindre intresse i en politik som
syftar till att främja investeringarna. Den huvudsakliga effekten av en sådan
åtgärd är att den påverkar sammansättningen av det svenska hushållsspar-
andet. Däremot blir effekterna på investeringarna begränsade. Detta gäller
för stora företag men även för mindre företag utan tillgång till den organise-
rade kapitalmarknaden. För den som överväger att spara i dessa företag har
avkastningen efter skatt på en alternativ investering i börsaktier ökat som ett
resultat av den generella lättnaden. Detta förhållande motverkar effekten av
skattelättnaden för utdelningar och reavinster från de mindre företagen.
Därmed blir effekterna på investeringarna små även för dessa företag.
24
Arbetet i företagsskatteutredningen kommer att påskyndas, och regering-
en kommer att i höst lägga fram ett förslag till permanent lättnad i dubbel-
beskattningen med inriktning mot små och medelstora bolag. Skattelätt-
naden beräknas till 3,5 miljarder kronor. De nya reglerna blir tillämpliga
fr.o.m. 1997.
Regeringen kommer vidare i samband med budgetpropositionen att före-
slå förändringar av skattereglerna som underlättar generationsskiften. En
översyn av enskilda näringsidkares beskattning i syfte att förenkla
regelsystemet skall göras. Regeringen kommer vidare att överväga om det
finns skäl att införa en särskild förmånsbehandling av utländska experter
och företagsledare.
Regeringen förbereder även ett nytt system för betalning av skatter och
avgifter som skall underlätta och effektivisera både företagens och skatte-
förvaltningens arbete. Arbetet är inriktat på att det nya systemet med s.k.
skattekonton skall sättas i verket 1998.
Som en del av finansieringen av åtgärderna som presenteras i propositio-
nen slopas den nuvarande förmånsbehandlingen av allemansfonder fr.o.m. 1
januari 1997. Tobaksskatten höjs från samma tidpunkt med 15 procent. En
avfallskatt kommer att införas under 1998. Vidare minskas avsättningsut-
rymmet till periodiseringsfond fr.o.m. inkomståret 1997.
Prop. 1995/96:207
25
Prop. 1995/96:207
Den viktigaste resursen för ett lands möjligheter till utveckling är dess med-
borgare. I en allt mer intemationaliserad värld ställs stora krav på individens
möjlighet att anpassa sig efter nya betingelser. Samhällets omvandling med-
för att allt högre krav ställs på kunskap och kompetens. Förr räckte det med
en utbildning i början av livet, nu behövs ett livslångt lärande.
En nödvändig förutsättning för att uppnå en hög tillväxt på längre sikt är
utbildning. Nyckeln till lägre arbetslöshet, högre tillväxt, ökad jämställdhet
och vidgad valfrihet är mer än något annat utbildning och kompetenshöj-
ning. För att skapa en långsiktigt stabil tillväxt och för att stärka individernas
kompetens på en arbetsmarknad i förändring måste Sverige konsekvent
satsa på en utveckling av kunskap och kompetens.
Den mest effektiva fördelningspolitiken är den som stimulerar den ekono-
miska tillväxten, eliminerar kunskapsbrister och minskar arbetslösheten.
Ökad kunskap är emellertid inte endast viktigt för vårt ekonomiska välstånds
utveckling, utan utgör även grunden för social, politisk och kulturell utveck-
ling. Därför krävs en andra utbildningsrevolution för Sverige inför 2000-
talet. Fler människor i utbildning - såväl i skolan och högskolan som i
vuxenutbildningen - innebär ökade investeringar i kunskap och kompetens.
Trots formellt längre utbildning återfinns kvinnor betydligt mer sällan än
män på positioner där deras kompetens fullt ut nyttjas. För högre tillväxt
måste bägge könens resurser och erfarenheter tas tillvara.
Utbildning för vuxna arbetslösa
En särskild stattig satsning på vuxenutbildning genomförs under fem år med
i storleksordningen 9,6 miljarder kronor per år när den är fullt utbyggd för
att under denna period ge utbildning upp till treårig gymnasiekompetens för
minst 100.000 vuxna, i första hand arbetslösa.
Den kraftiga ökningen av vuxenutbildningen är ett bidrag i kampen mot
arbetslösheten. Målgruppen för utbildningssatsningen är i första hand ar-
betslösa och därutöver anställda som helt eller delvis saknar treårig gymna-
siekompetens. Genomgående skall de prioriteras som har kortast utbildning
och störst behov av gymnasiekompetens för att fa en starkare ställning på
arbetsmarknaden. En bas i form av treårig gymnasiekompetens är oftast en
förutsättning för att byta yrkesinriktning och kunna utbilda sig för arbete i
andra branscher. Utbildningssatsningen skall också bidra till att bryta köns-
mässiga snedfördelningar på arbetsmarknaden.
Ansvaret för att genomföra vuxenutbildningssatsningen bör läggas på
kommunerna. Kommunerna kommer efter ansökan att kunna fa särskilda
bidrag under fem år med start den 1 juli 1997.
Kommunerna kan fritt välja den organisation och de utbildningsanord-
nare som effektivast och bäst svarar mot målgruppens behov och de lokala
förutsättningarna. Kommunerna skall vara huvudansvariga för verksam-
heten och för utbildningens kvalitet men de bör genom att lämna uppdrag
eller köpa utbildning kunna engagera många olika utbildningsanordnare för
att genomföra verksamheten och tillgodose denna stora grupp av vuxnas
26
skiftande intressen och behov. Kommunerna måste etablera ett nära samar- Prop. 1995/96:207
bete med arbetsförmedlingen vid planering och genomförande så att i första
hand arbetslösa som har behov av gymnasieutbildning kan ta del av utbild-
ningssatsningen.
Den satsning på vuxenutbildning som genomförs med de särskilda stat-
liga medlen skall avse utbildning på gymnasial nivå upp till treårig gym-
nasienivå och leda till formell kompetens. Betyg skall ges och motsvarande
intyg skall utfärdas av folkhögskolor. En individuell studieplan skall göras
upp och kontinuerligt revideras i dialog mellan individen och skolan. För de
arbetslösa skall studieplanen ingå som en del i den individuella handlings-
plan som arbetsförmedlingen och den arbetssökande skall upprätta. Det är
viktigt att man i varje kommun via arbetsförmedlingsnämnden hittar nya
samverkansformer mellan kommunens studie- och yrkesvägledning samt
arbetsförmedlingen så att den samlade kompetensen tas till vara.
En särskild delegation inrättas för att under den inledande fasen leda
utbildningssatsningen. Regeringen kommer att noggrant följa satsningen
genom uppföljning och utvärdering av den verksamhet som blir resultatet.
Arbetet skall ske i nära samverkan med berörda myndigheter och Svenska
Kommunförbundet.
Stud iefinans ier ingen
Vuxna mellan 25 och 55 år som är arbetslösa och studerar på grundskole-
eller gymnasienivå ges möjlighet att under högst ett studieår erhålla ett sär-
skilt utbildningsbidrag motsvarande nivån på arbetslöshetsersättningen.
Även anställda i samma åldersgrupp med minst fem års arbetslivserfarenhet
kan få del av det särskilda utbildningsbidraget under förutsättning att be-
rörda lokala parter slutit ett avtal där arbetsgivaren förbinder sig att som
ersättare bereda plats åt en långtidsarbetslös inskriven vid arbetsförmed-
lingen. De som efter ett år vill fortsätta utbilda sig ges möjlighet att studera
med ordinarie studiestöd.
Det särskilda utbildningsbidraget kommer att införas den 1 juli 1997 och
omfatta i storleksordningen 2,4 miljarder kronor netto. Även de som påbör-
jat sina studier tidigare och som fortsätter efter den 1 juli 1997 ges möjlighet
att söka det särskilda utbildningsbidraget. Dessutom tillkommer SVUXA
som omfattar 1,5 miljarder kronor netto. Studiestöden har ny hgen utretts.
Utredningen föreslår en reformering av studiestödssystemet till ett samman-
hållet studiestöd. Regeringen kommer att överväga utredningens förslag.
Expansion av den högre utbildningen
För att främja näringsliv och sysselsättning, men även för utvecklingen av
samhället i övrigt, är utbildning och forskning av central betydelse. Därför
fortsätter expansionen av den högre utbildningen. Denna sker från ett gott
utgångsläge då Sverige redan i dag har en, vid internationell jämförelse, hög
utbildningsstandard. Den är dock ojämnt fördelad. Utbildningsnivån bland
de anställda inom offentlig sektor är betydligt högre än inom den privata
sektorn.
27
Antalet sökande till högskolan har fördubblats sedan hösten 1991. Trots
den kraftiga utbyggnaden far många behöriga sökande inte plats på hög-
skolan. En fortsatt utbyggnad av högre utbildning är därför nödvändig för att
bereda fler ungdomar plats och ge möjlighet för fler vuxna att genomgå en
grundläggande högskoleutbildning eller vidareutbildning på denna nivå.
Den högre utbildningen är också ett viktigt regionalpolitiskt medel. Därför
kommer den kommande expansionen att huvudsakligen ske vid de mindre
och medelstora högskolorna. Men för att denna utbildningssatsning verk-
ligen skall komma hela samhället till del krävs att näringslivet verkligen
efterfrågar och anställer högutbildad arbetskraft.
Regeringen har i sysselsättningspropositionen gett förslag om fördelning
av de 30.000 nya platser som planeras att tillföras högskolan under perioden
1997-99. Utbyggnaden kommer att avlösa de tillfälliga utbildningsplatser
som finansieras med arbetsmarknadspolitiska medel. Hälften av de tillkom-
mande platserna kommer att inriktas mot naturvetenskap och teknik. I bud-
getpropositionen och den samtidigt avlämnade forskningspolitiska proposi-
tionen kommer regeringen att mer ingående motivera den högre utbildning-
ens och forskningens avgörande betydelse för att öka sysselsättningen.
Finansiering
Utbildningssatsningen finansieras, som redovisades i vårpropositionen,
genom höjda energiskatter, besparingar inom arbetsmarknadspolitiken samt
genom vissa indragningar.
Prop. 1995/96:207
28
Prop. 1995/96:207
En aktiv arbetsmarknadspolitik hjälper företagen att snabbt tillsätta lediga
platser samtidigt som den stöder individen vid svåra omställningar. Syftet är
att så snabbt som möjligt tillsätta lediga platser och hålla arbetslöshetstid-
ema så korta som möjligt. En god arbetsmarknadspolitik innebär ett ömse-
sidigt åtagande mellan samhället och medborgaren. Samhället ikläder sig
skyldigheter gentemot individen endast i den mån individen uppfyller sitt
ansvar. Det egna ansvaret ligger i att anta utmaningen att utveckla kompe-
tensen och aktivt söka arbete.
Vetskapen om att man som arbetslös inte hamnar utanför samhälls-
gemenskapen gör att man vågar ta de initiativ som behövs för att kunna
förbättra sin situation på arbetsmarknaden. Här är en försäkring som skyd-
dar mot inkomstbortfall under omställningen central. Regeringen anser där-
för att försäkringsnivån skall höja till 80 % från och med den 1 januari
1998. Denna höjning finansieras fullt ut med regelförändringar i systemet.
Höjningen av arbetslöshetsförsäkringen till 80 procent finansieras delvis
med ett skärpt arbetsvillkor och ett stramare förvärvsbegrepp. Resterande
del finansieras via förändringar inom a-kassan fr.o.m. 1998. En tillräcklig
finansiering är en begränsning av uppräkningen av ersättningen på grund av
löneavtal till högst två procent och en samordning av arbetslöshetsersätt-
ningen med avgångsvederlag, semesterersättning och föräldrapenning.
Arbetslöshetsförsäkringen renodlas genom att arbetsvillkoret skärps.
Regeringen föreslår att arbete på halvtid om minst 9 månader fördelat på
minst 12 månader (endast månad med 80 timmar far räknas) krävs för en
kvalificering. Den inkomst som ligger till grund för ersättningen kommer att
beräknas utifrån de senaste 12 månadernas inkomst. Dessutom stärks för-
värvsbegreppet genom att inga arbetsmarknadspolitiska åtgärder räknas som
arbete vid uppfyllande av arbetsvillkoret vid inträdet i arbetslöshetsförsäk-
ringen. Det innebär att arbetslöshetsförsäkringen blir mera likformig och
rättvis eftersom enbart vissa arbetsmarknadspolitiska åtgärder likställs med
arbete såsom regelsystemet är utformat i dag.
Den sammantagna effekten av det skärpta arbetsvillkoret och förvärvs-
begreppet gör det svårare att kvalificera sig för a-kassa. Mer arbete kommer
att krävas för att individen skall kunna ta full del av arbetslöshetsförsäk-
ringen.
Den höga arbetslösheten och stora åtgärdsvolymen har ställt arbetsmar-
knadspolitiken inför nya krav. Om arbetslöshetsförsäkringen förvandlas från
en omställningsförsäkring till en långsiktig försörjning hotas arbetslinjen.
Den aktiva arbetsmarknadspolitiken får inte nedgraderas till att enbart vara
en väg till en ny ersättningsperiod. Då hotas kvaliteten.
Åtgärderna skall vara en del i en individuell handlingsplan för en åter-
gång till den reguljära arbetsmarknaden. Som tidigare aviserats föreslår
regeringen en bortre parentes bl. a. för att tydliggöra arbetslöshetsförsäk-
ringens roll som en omställningsförsäkring. I samband med denna proposi-
tion föreslås att den totala ersättningstiden i omställningsförsäkringen varvat
med arbetsmarknadspolitiska åtgärder eller utbildning med stöd motsvaran-
de a-kassa bör sättas till längst tre år med möjlighet till förlängning till fyra
29
år för den som under ersättningstiden har utfört reguljärt förvärsarbete.
Inom denna tid skall det vara möjligt att finna en god lösning även för
arbetssökande som behöver omfattande insatser för att erhålla ett reguljärt
arbete.
Regeringen föreslår att den totala ersättningstiden delas upp i tre ersätt-
ningsperioder varav de två först belöper sig på vardera högst 300 dagar och
den tredje på resterande tid. För rätt till en ny ersättningsperiod inom ersätt-
ningstiden bör krävas att den arbetssökande utför minst sex månaders re-
guljärt förvärvsarbete eller deltar i arbetsmarknadspolitiska åtgärder eller i
utbildning med stöd motsvarande arbetslöshetsersättningen under samma
tid.
De mellan 55 och 64 år som varit inskrivna på arbetsförmedlingen längre
än två år kommer att få möjlighet att med bibehållen ersättning på a-kasse-
nivå sysselsättas i kommunerna, landstingen eller staten under 1997 och
1998. Det finns stora behov av kompletterande insatser inom vård, omsorg
och andra områden som kan tillfredsställas på detta sätt. Målet är att detta
program skall omfatta ca 40.000 äldre långtidsarbetslösa.
Lönebildningen
Även lönebildningen måste förbättras. Den fungerar i dag inte tillfredsstäl-
lande. Det kommer bl. a. till uttryck i att löneökningarna i allmänhet legat
över de i konkurrerande länder. Även för de kommande åren väntas löneök-
ningarna överstiga den genomsnittliga i EU. Så länge som lönebildningen
fungerar på nuvarande sätt är det näst intill omöjligt att hållbart minska
arbetslösheten. En väl fungerande lönebildning är därför en förutsättning för
att komma tillbaka till full sysselsättning.
Det svenska välfärdssamhället står nu inför ett avgörande vägval. Om det
skall vara möjligt att halvera den öppna arbetslösheten till år 2000 och på
lång sikt uppnå full sysselsättning, kan inte hela utrymmet som skapas tas i
anspråk av dem som redan har ett arbete. Sveriges möjligheter att även i
framtiden framstå som ett väl utvecklat välfärdssamhälle med hög sysselsätt-
ning och låg arbetslöshet beror på hur lönebildningen kommer att fungera.
Vad som nu behövs är en sund och balanserad lönebildning på god europe-
isk nivå.
Arbetsrätten
Arbetsrätten behöver förändras. Arbetsrätten måste ha en ändamålsenlig
utformning och spegla en rimlig avvägning mellan löntagarnas behov av
skydd mot godtyckliga och diskriminerande beslut och företagens behov av
att kontinuerligt kunna anpassa sin organisation och sin arbetsstyrka till
förändrade förutsättningar och behov. Den skall också vara utformad så att
den inte försvårar för företagen att nystarta och expandera.
Arbetsrättskommissionen, med företrädare för arbetsmarknadens parter,
redovisade i maj 1996 resultatet av sitt arbete. Arbetsmarknadens parter
meddelade att de inte kunde ställa sig bakom de förslag som kommissionens
ordförande presenterade. Regeringen anser det vara av största vikt att arbets-
Prop. 1995/96:207
30
marknadens parter kan komma överens om denna centrala fråga. Arbets-
marknadens parter har meddelat regeringen att de har för avsikt att fortsätta
försöken att nå en eller flera partsgemensamma uppgörelser på arbetsrättens
område. Regeringen har i samband härmed ställt medlare till parternas för-
fogande. Parterna skall senast den 23 augusti 1996 redovisa resultatet av
överläggningarna.
Arbetstider
Dagens arbetsmarknad ställer allt högre krav på flexibilitet. Kraven ökar på
snabba produktionstider, hög kvalitet och utvecklad kompetens.
Konjunktur- och verksamhetsanpassade arbetstider blir allt vanligare. Sam-
tidigt ökar antalet nya arbetsformer. Företagens allt högre krav på flexibilitet
påverkar de anställdas situation, och ställer helt nya krav på lagstiftningen
kring arbetstider och arbetsmiljö. Övertidsuttaget har ökat de senaste åren.
Den nya utvecklingen påverkar dessutom kvinnor och män olika.
Lagarna måste bättre än tidigare kombinera verksamheternas ökade be-
hov av flexibilitet med arbetstagarnas behov av trygghet och inflytande över
arbetstidens längd och förläggning. När flexibiliteten ökar blir det viktigare
att lagarna tar hänsyn till olika arbetstidsmönster och tidsanvändning. 1995
års arbetstidskommitté som regeringen tillsatte i januari 1995, har bland
annat till uppgift att utvärdera hur dessa krav och behov skall balanseras.
Utgångspunkten har varit att det är parterna som i första hand skall hantera
frågorna i kollektivavtal, men det är sannolikt nödvändigt att även göra vissa
förändringar av lagstiftningen. Arbetstidskommittén skall också studera om
det finns något samband mellan kortare arbetstid och möjligheten för fler att
få arbete.
Regeringens mål att halvera den öppna arbetslösheten till år 2000 måste
sättas i förgrunden för den kommande politiken. Efter det att arbetstidskom-
mittén har redovisat sitt uppdrag i höst, kommer regeringen att återkomma
till riksdagen med en samlad proposition kring dessa frågor.
Prop. 1995/96:207
31
Prop. 1995/96:207
För att bibehålla förtroendet för de offentliga finanserna skall utgiftsök-
ningar och inkomstminskningar vara fullt finansierade genom samtidigt
beslutade utgiftssänkningar eller inkomstökningar. Samtliga förslag som nu
redovisas är fullt ut finansierade.
De anslagsförändringar som begärs för budgetåret 1995/96 innebär en
bruttoökning som uppgår till 3 miljarder kronor. De finansieras genom
inleveranser från den statliga bolagssektom (tabell 10.1.).
Utgiftstaket ligger fast. I regeringens proposition 1995/96:150 föreslog
regeringen ett utgiftstak för staten inklusive socialförsäkringssektorn vid
sidan av statsbudgeten för år 1997 på 723 miljarder kronor, för år 1998 på
720 miljarder kronor och för år 1999 på 735 miljarder kronor. I detta
sammanhang redovisades även preliminära ramar för respektive utgifts-
område. I propositionen 1995/96:222 Vissa åtgärder för att halvera arbets-
lösheten till år 2000, ändrade anslag för budgetåret 1995/96, finansiering,
m.m. redovisas några förslag som kommer att påverka fördelningen mellan
ramarna för utgiftsområdena utan att detta påverkar taket för de totala stat-
liga utgifterna (tabell 10.2).
Skatteförslag presenteras och aviseras för att bidra till att skapa den
önskvärda stabiliteten samtidigt som den inhemska ekonomin främjas. De
olika skatteförslagen finansieras fullt ut (tabell 10.3.).
32
Tabell 10.1 Specifikation av förändringarna i utgiftsanslagen för budgetåret
1995/96 i förhållande till statsbudgeten
1 OOO-tals kronor
Prop. 1995/96:207
Belopp Förslag till Förändring
i stats- nytt anslags- Ökning (+)
budgeten belopp Minskning (-)
Reformer
Statschefen och regeringen
Samarbete odi utveckling inom
Östersjöregionen, reservationsanslag
Näringsdepartementet
Program för småföretagsutveckling,
förnyelse och tillväxt, reservationsanslag
1 000 000
1 000 000
+1 000 000
+ 1 000 000
Miljödepartementet
Investeringsbidrag för
främjande av omställning i
ekologiskt hållbar riktning,
100 000
1 100 000
+ 1 000 000
|
Summa |
100 000 |
3 100 000 |
+ 3 000 000 |
|
Finansiering | |||
|
Utdelning från Securum |
+ 3 000 000 |
33
Tabell 10.2 Spedfikation av tidigare aviserade åtgärder
Miljoner kronor
Prop. 1995/96:207
|
1995/96 |
1997 |
1998 |
1999 | |
|
Reformer | ||||
|
Utbildningsdepartementet | ||||
|
Utbildningssatsningar |
900 |
6600 |
8000 |
9600 |
|
Arbetsmarknadsdepartementet | ||||
|
Höjd ersättningsnivå i | ||||
|
arbetslöshetsförsäkringen (80%) |
1500 |
1500 | ||
|
_ |
_ |
_ |
_ | |
|
Summa reformer |
900 |
6600 |
9500 |
11100 |
|
Finansiering1 | ||||
|
Arbetsmarknadsdepartementet | ||||
|
Arbetsvillkor |
300 |
300 |
400 | |
|
Förvärvsbegrepp |
200 |
200 |
300 | |
|
Inväxling (arbetslöshetsförsäkring) |
1200 |
1500 |
1600 | |
|
Besparing a-kassan |
1000 |
1000 | ||
|
Effektivisering av arbetsmarknadspolitiska | ||||
|
åtgärder |
500 |
1185 |
1185 |
1185 |
|
Förändrat rekryteringsstöd och | ||||
|
arbetsmarknadsutbildning |
900 |
900 |
900 | |
|
Samhall |
100 |
100 |
100 | |
|
Myndigheter inom UO 14 |
30 |
30 | ||
|
Utbildningsdepartementet | ||||
|
Besparingar inom UO 16 |
1000 | |||
|
Övriga departement | ||||
|
Indragning av bl.a anslagssparande och | ||||
|
reservationsmedel (A, Fi, K och Fö) |
600 | |||
|
Besparing som preciseras i budgetpropositionen |
400 |
200 |
100 | |
|
_ |
_ |
— |
_ | |
|
Summa finansiering |
500 |
4885 |
5415 |
6615 |
'Återstoden av utbildningssatsningen finansieras via höjda energiskatter
34
Tabell 10.3 Specifikation av förändringarna på inkomstsidan
Miljoner kronor
Prop. 1995/96:207
1995/96 1997 1998 1999
Skattelättnader
Temporärt reducerad stämpelskatt
|
för fastigheter och tomträtter |
800 |
2000 |
200 | |
|
Slopad försäljningsskatt bilar |
600 |
1500 |
1500 |
1500 |
|
Förändrad bilförmånsbeskattning |
900 |
1000 |
1000 | |
|
Lättnad i dubbelbeskattningen |
3500 |
3500 | ||
|
Reducerade socialavgifter |
2100 |
2300 |
2300 | |
|
_ |
_ |
_ |
_ | |
|
Summa skattelättnader |
1400 |
6500 |
8500 |
8300 |
|
Finansiering | ||||
|
Höjd fordonsskatt |
300 |
1600 |
1600 |
1600 |
|
Höjd tobaksskatt med 15% |
1300 |
1200 |
1200 | |
|
Höjd skatt allemansfonder till 30% |
400 |
400 | ||
|
Utnyttjande av kvarvarande 2 miljarders | ||||
|
ram från proposition 1994/95:25 |
400 |
800 |
700 |
1600 |
|
Begränsning av maximal avsättning till | ||||
|
periodiseringsfond från 25 till 20% |
3000 |
3000 | ||
|
Begränsad uppräkning skiktgräns inför 1997 |
900 |
1000 |
1000 | |
|
Avfallsskatt |
400 |
400 | ||
|
_ |
_ |
_ |
_ | |
|
Summa finansiering |
700 |
4600 |
8300 |
9200 |
|
Saldoeffekter skatteåtgärder |
-700 |
-1900 |
-200 |
900 |
|
Utdelning från Securum |
800 |
2000 |
200 |
0 |
|
Saldo |
100 |
100 |
0 |
900 |
Genom en offensiv näringspolitik för tillväxt och sysselsättning avser
regeringen att bidra till företagstillväxt och en halvering av arbetslösheten
till år 2000. I syfte att stärka näringslivets tillväxt och öka sysselsättningen
föreslås därför ett särskilt treårigt program för småföretagsutveckling, för-
nyelse och tillväxt. För detta ändamål anvisas 1 miljard kronor. Dessutom
förändras inriktningen i regional- och näringspolitiken i syfte att bättre
utnyttja de samlade regional- och näringspolitiska resurserna. Vidare inrät-
tas en fond omfattande 1 miljard kronor inrättas med syfte att under en
femårsperiod stärka samarbete och utveckling i Östersjöregionen. Dess-
utom föreslås ett femårigt program för omställning till en hållbar utveckling
föreslås. Programmet syftar till att driva på den tekniska utvecklingen samt
att skapa sysselsättning främst genom kretsloppsanpassning av byggnader,
35
återvinning och minskad deponering av byggmaterial samt åtgärder inom
VA-området. 1 miljard kronor föreslås för detta ändamål. Högst 200 miljo-
ner kronor av de medel som är avsatta för särskilda insatser i vissa
kommuner och landsting för år 1996 kommer att få användas för projekt
som avser att bidra till omstruktureringen i den kommunala verksamheten.
Genom projekten förbättras förutsättningarna för att den fortsatta
anpassningen till den ekonomiska situationen görs på ett sätt som
säkerställer kvaliteten i den kommunala verksamheten i ett mer långsiktigt
perspektiv.
Utbildningssatsningen fullföljs genom att den reguljära utbildningen
byggs ut med 100 000 platser inom vuxenutbildningen och 30 000 nya
platser inom högskolan. Den särskilda satsningen på vuxenutbildningen
inleds redan under läsåret 1996/97. Från och med hösten 1997 inleds i nya
former den särskilda vuxenutbildningssatsningen som skall pågå under fem
år. Detta innebär en senareläggning av denna med ett halvår i förhållande
till vad som aviserats i proposition 1995/96:150. Den permanenta
utbyggnaden av högskolan påbörjas år 1997 med 15 000 platser. För att ge
utrymme för en god planering av den fortsatta expansionen bör de
återstående 15 000 platserna tillkomma först hösten 1999. Som
planeringsunderlag ger regeringen förslag till fördelning av de 30 000
platserna. Hälften av de tillkommande platserna kommer att inriktas mot
naturvetenskap och teknik. Kostnaderna för utbildningssatsningarna
finansieras genom förändringar och omprioriteringar inom olika
utgiftsområden bl.a. inom utbildningsområdet. Finansiering sker i huvudsak
inom arbetsmarknadsområdet och genom höjning av energiskatterna.
Därutöver sker finansiering genom att utbildningssatsningen får effekt på
den öppna arbetslösheten och att belastningen på arbetslöshetsförsäkringen
därmed minskar.
Inom det arbetsmarknadspolitiska området föreslås en ny inriktning av
arbetsmarknadspolitiken. Arbetsförmedlingarna stärks samtidigt som de
centrala resurserna reduceras. Kommunerna får en starkare roll.
Användningen av de arbetsmarknadspolitiska medlen blir mer flexibel. För
att öka kvaliteten i den offentliga servicen kommer tillfälligt offentligt
arbete erbjudas de som är 55 år eller äldre och som varit inskrivna vid
arbetsförmedlingen mer än två år. Arbetslösa mellan 25 och 55 år ges
möjlighet att studera under ett år på grund- och gymnasieskolenivå med
utbildningsbidrag motsvarande a-kassa. Även anställda kan få del av
utbildningsbidraget under förutsättning att de ersätts med en
långtidsarbetslös registrerad vid arbetsförmedling.
Arbetslöshetsförsäkringen som en omställningsförsäkring förstärks. En
bortre parentes i arbetslöshetsförsäkringen införs den 1 januari 1997 för att
förstärka arbetslinjen. Regeringen anser att ersättningsnivån i arbets-
löshetsförsäkringen bör höjas till 80 procent fr.o.m. den 1 januari 1998.
Höjningen kostar 1,5 miljarder kronor och skall finansieras fullt ut genom
regelförändringar inom arbetslöshetsförsäkringen. I samband med denna
proposition föreslås förändringar i arbetsvillkor och förvärvsbegrepp som
beräknas reducera utgifterna med 0,5 miljarder kronor fr.o.m. år 1997.
Prop. 1995/96:207
36
Återstående besparingar på 1 miljard kronor skall genomföras fr.o.m. år Prop. 1995/96:207
1998 och kommer att avse förändringar inom arbetslöshetsförsäkringen.
I det konvergensprogram som redovisades i juni 1995 aviserades utför-
säljningar av statliga tillgångar på 50 miljarder kronor under perioden t.o.m.
1998. Det gällde bl.a. Nordbanken och Securum. Sedan dess har delar av
statens innehav av aktier i Nordbanken sålts. Ytterligare preciseringar av
dessa åtgärder görs nu.
Regeringen kommer inom kort att återkomma till riksdagen med förslag
om försäljning av aktieinnehav i Stadshypotek AB. Aktierna i Stadshypotek
AB innehas av Stadshypotekskassan som ett led i ombildningen av Stads-
hypotek. I förarbetena till ombildningen konstaterades att såväl låntagarna
som staten hade bidragit till att bygga upp Stadshypoteks eget kapital. Lån-
tagarna i Stadshypotek har under 1994 erhållit 55 procent av kapitalet. En-
ligt regeringens mening har denna grupp därmed kompenserats för sitt bi-
drag till kapitaluppbyggnaden. De tillgångar som nu finns i kassan tillhör
därför staten. Värdet av aktierna beräknas idag vara ca 5,5 miljarder kronor.
Ställningen för Stadshypotekskassans obligationsinnehavare skall inte för-
sämras p.g.a. försäljningen av aktieinnehavet.
Utdelning från Securum kommer att användas som en del i finansieringen
av de åtgärder som regeringen nu föreslår. Dessa utdelningar beräknas upp-
gå till 6 miljarder kronor. De utdelningar som krävs för att finansiera de
föreslagna åtgärderna är i tabellerna 10.1 och 10.3 fördelade på budgetår,
men avses i praktiken inlevereras under 1997 och 1998.
37
Prop. 1995/96:207
Rättvis fördelning av välfärden bygger i hög grad på en jämn fördelning av
löneinkomster, som i sin tur möjliggörs av en hög och jämn sysselsättning.
Utbildning av hög kvalitet och en väl fungerande lönebildning är nyckelfak-
torer för sysselsättningens utveckling. De förändringar staten kan genomföra
i skatter, bidrag och offentligt finansierad verksamhet kan inte långsiktigt
kompensera för stora förändringar i spridningen av löneinkomster.
Under senare år har inkomstklyftorna ökat bl.a. till följd av den under-
liggande utvecklingen mot ökad lönespridning. Trenden är likartad i så gott
som samtliga länder som för statistik över inkomstfördelningen. Det finns en
ökad efterfrågan på dem med hög och modem utbildning samtidigt som den
teknologiska utvecklingen skapar allt fler innovationer som ersätter enkla
arbeten. Produktion som tidigare sysselsatt många med låg utbildningsnivå
flyttar till länder med lägre löner. I flera länder har kostnaderna för den höga
arbetslösheten tvingat fram besparingar i de sociala välfärdssystemen. Följ-
den har blivit ytterligare ökade inkomstklyftor.
Åtgärder för att öka och förbättra utbildningen är således inte bara viktiga
för den långsiktiga ekonomiska tillväxten och möjligheterna att minska
arbetslösheten, de är också viktiga inslag i fördelningspolitiken. En effektiv
satsning på utbildning kan få stor betydelse om den förhindrar den perma-
nenta ekonomiska och sociala utslagning av långtidsarbetslösa som upp-
kommit i flera andra länder som följd av en hög arbetslöshetsnivå. Med
utbildningssatsningar inom sektorer som har högt löneläge och brist på
arbetskraft motverkas dessutom den underliggande internationella tendensen
till ökad lönespridning.
Utbildningssatsningarna i sysselsättningspropositionen avser både riktade
åtgärder för långtidsarbetslösa, vuxenutbildning på gymnasienivå för dem
med lägst utbildning och satsningar på högskolan. Om fler personer deltar i
utbildning kan detta på kort sikt leda till en ökad spridning i hushållens års-
inkomster, eftersom fler får studiestöd i stället för arbetsmarknadsstöd eller
lön från arbete. Men i takt med att ökad utbildning medför minskad arbets-
löshet och därtill högre lön till följd av ökad kompetens, motverkas inkomst-
klyftorna.
I diagram 11.1 visas de beräknade fördelningseffekterna av en halverad
öppen arbetslöshet. Analysen visar att en minskad arbetslöshet kan förvän-
tas öka inkomsterna för de hushåll som har låg eller genomsnittlig ekono-
misk standard. Dessutom har minskad arbetslöshet andra mycket viktiga
långsiktiga effekter, såsom en jämnare fördelning av livsinkomstema, min-
skade risker för hälsoproblem, ökade resurser för den sociala välfärdspoli-
tiken. Det är effekter som inte kan fångas i redovisningen av den årliga
inkomstfördelningen.
38
Diagram 11.1 Fördelningseffekter aven halverad öppen arbetslöshet
Prop. 1995/96:207
Procent
Decilgrupp
Anm. Ett förenklat räkneexempel som endast visar de direkta effekterna på hushållens
disponibla inkomster. Förändringen av disponibel inkomst om arbetsmarknadsstöd för
arbetslösa byts ut mot tidigare arbetsinkomster, motsvarande en halvering av antalet
dagar i öppen arbetslöshet
I diagram 11.2 visas en beräkning av de fördelningseffekter som uppkom-
mer till följd av de viktigaste regelförändringar som nu föreslås i skattesys-
temet och i arbetslöshetsförsäkringen och som berör hushållen. Det är
främst ändrad beskattning av förmånsbilar, höjd beskattning av alle-
mansfond, justerad uppräkning av skiktgränsen för statlig skatt samt inom
arbetslöshetsförsäkringen höjd ersättningsnivå till 80 procent, bortre gräns
och skärpta arbetsvillkor m.m. Beräkningen är utförd enligt samma metoder
och på samma underlag som analyserna i kompletteringspropositionen 1995
(prop. 1994/95:150) samt i den ekonomiska vårpropositionen (prop.
1995/96:150) och visar de direkta effekterna av åtgärderna när de trätt i kraft
(fullfunktion) i 1996 års priser. I diagrammet visas även fördelningseffekt-
erna av skatte- och transfereringsåtgärdema i saneringsprogrammet inkl,
vårpropositionen.
De samlade effekterna av saneringsprogrammet, vårpropositionen och
sysselsättningspropositionen bedöms ha en rimlig fördelningspolitisk profil.
Nu redovisade åtgärder har jämförelsevis små direkta fördelningseffekter.
Även efter åtgärderna i sysselsättningspropositionen bidrar hushållen i
decilgruppema 9 och 10 tillsammans med ca 37 procent av
budgetförstärkningen (diagram 11.3)
39
Diagram 11.2 Förändring av disponibel inkomst genom skatte- och transfererings- Prop. 1995/96:207
åtgärder.
Procent
Decilgrupp
Diagram 11.3 Andel av den totala budgetförstärkningen som resp, decilgrupp
bidrar med.
Decilgrupp
40
Utdrag ur protokoll vid regeringssammanträde den 10 juni 1996
Närvarande: statsministern Persson, ordförande, och statsråden, Peterson,
Freivalds, Tham, Asbrink, Schori, Blomberg, Andersson, Winberg,
Uusmann, Johansson, von Sydow, Pagrotsky, Östros, Messing
Föredragande: statsrådet Erik Asbrink
Prop. 1995/96:207
Regeringen beslutar propositionen 1995/96:207 En ekonomisk politik för att
halvera den öppna arbetslösheten till år 2000.
41
gotab 50047, Stockholm 1996