77
9 SAMMANF ATf ANDE KOMMENTARER
Denna studie visar, enligt författarens uppfattning, att socialförsäkringssystemet i vissa avseendenbefinner sig i en identitetskris. Vad vill vi med systemet? Hur starka skall de individuella sambandenmellan inkomst och förmån vara? Hur öppet skall systemettillåtas vara och vilka skall få förfoga över
systemet?
Studienvisar på brister i incitamentsstruktur (för såväl försäkrade som arbetsgivare)och i ansvarsfördelning. Riksförsäkringsverkets och försäkringskassornasansvar för försäkringen (ekonomi och effekt) ifrågasätts inom vårdområdet av vårdgivare och specialistorgan utan ekonomiskt ansvar. Detta får närmast ses som uttryck för en rekvisitionsfilosofi.
Av de tidigare kapitlen framgår bland annat att
| .skyddet | mot höga kostnader för sjukvård och läkemedel är krångligt, i | |||
| vissa avseendenorättvist och att kostnadernainte kan kontrolleras | ||||
| .tandvårdsförsäkringens | kostnader i stor utsträckning bestäms av tand- | |||
| läkarkollektivet och att kostnaderna ej kan kontrolleras | ||||
| .förtidspension | och sjukfrånvaro ökar och drar stora kostnader som är | |||
| svåra att få under kontroll | ||||
| .vid | svag tillväxt hamnar pensionssystemet stora svårigheter | |||
| .det | finns | möjligheter | för ett kollektivt utnyttjande av socialförsäkringen | |
| .det | finns ingen klar uppfattning om socialförsäkringens roll som instru- | |||
| ment för sparande. | ||||
78
Socialförsäkringssystemetär med andra ord i vissa avseendenett öppet systemdär kostnadsutvecklingeninte bara bestäms av individens behov utan även av hur vårdkollektiven, enskilda arbetsgivare och arbetsmarknadens organisationer agerar. Detta är i sig inte ägnat att förvåna, eftersom systemet finns till hands och kan utnyttjas utan några omedelbart kännbara ekonomiska konsekvenserför "utnyttjaren". Bristande självrisk, odifferentierade avgifter och obefintligt kostnadsansvarleder till bristande insikt om behovet av avvägningar och prioriteringar.
De "förslag" till ändringar som förts fram i de tidigare kapitel är bland annat följande:
.högkostnadsskyddet förenklas genom att föra kostnadsbefriadeläkemedel till gruppen prisnedsatta
.ersättningssystemet för läkemedel ändras med hänsyn till förekomsten av
synonympreparat
.det bör finnas ett sammanhålletkostnadsansvarför läkemedel i såväl öppen som sluten vård
.relativt sett högre timersättning för förebyggande tandvård kombinerat med högre försäkring sandelför denna vård
.försäkringen ges möjlighet till kvalitetskontroll av utförd behandling
.tandvårdsförsäkringen ändras så att den till konstruktionen motsvarar vad som gäller inom sjukvård
.förtidspensioneringen sammanförs med sjukpenningförsäkringen
.avgifterna till denna "nya" försäkring differentieras
.kapitaltäckning bör övervägas vid förtidspensionering
.försäkringskassorna ges utökade möjligheter till generell upphandling av tjänster och friare användning av försäkringsmedel
79
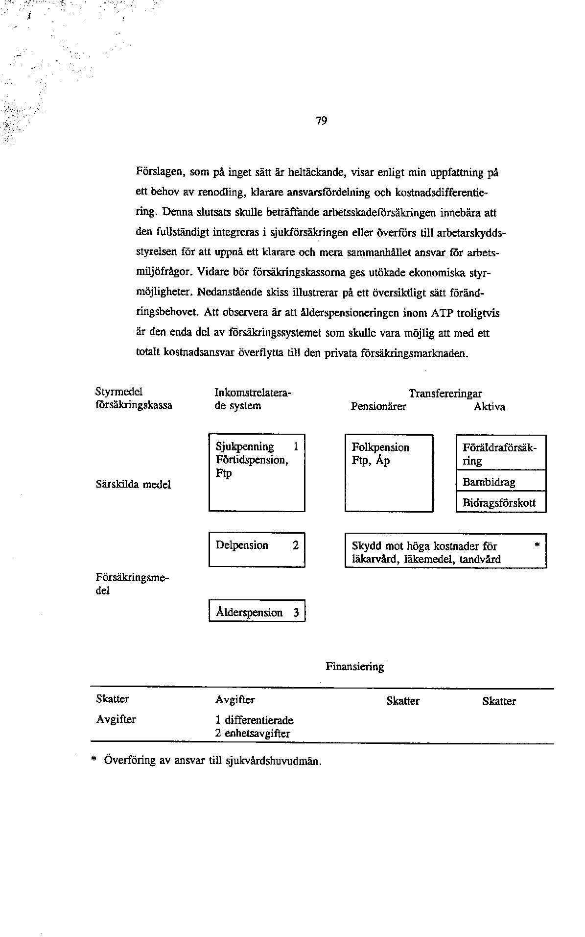
Förslagen, som på inget sätt är heltäckande, visar enligt min uppfattning på ett behov av renodling, klarare ansvarsfördelning och kostnadsdifferentiering. Denna slutsats skulle beträffande arbetsskadeförsäkringeninnebära att den fullständigt integreras i sjukförsäkringen eller överförs till arbetarskyddsstyrelsen för att uppnå ett klarare och mera sammanhålletansvar för arbetsmiljöfrågor. Vidare bör f6rsäkringskassomages utökade ekonomiska styrmöjligheter. Nedanståendeskiss illustrerar på ett översiktligt sätt förändringsbehovet. Att observeraär att ålderspensioneringeninom ATP troligtvis är denenda del av f6rsäkringssystemetsom skulle vara möjlig att med ett totalt kostnadsansvaröverflytta till den privata försäkringsmarknaden.
| Styrmedel | lnkomstrelatera- | Transfereringar | |||
| försäkringskassa | de system | Pensionärer | Aktiva | ||
| Sjukpenning | l | Folkpension | Föräldraförsäk- | ||
| Förtidspension, | Ftp, Ap | ring | |||
| Särskilda medel | Ftp | Barnbidrag | |||
| Bidragsförskott | |||||
| I Delpension | 2 I | Skydd mot höga kostnader för | * | ||
| I' | 1 | läkarvård, läkemedel, tandvård | |||
| Försäkringsme- | |||||
| del | |||||
| I Alderspension | 3 I | ||||
| Finansiering | |||||
| Skatter | Avgifter | Skatter | Skatter | ||
| Avgifter | l differentierade | ||||
2enhetsavgifter
*Överföring av ansvar till sjukvårdshuvudmän.